Abstract
Field studies and satellite imagery were conducted on an oat cultivation field located on sandy soil with significant spatial heterogeneity in southwestern Poland. Observations and field measurements were carried out during the BBCH growth stages 12, 31, 49, 77, and 99 at 40 points each. Satellite images were acquired at specific intervals, and selected remote sensing indices (NDVI, GNDVI, SAVI, EVI, NDMI, MCARI) were calculated to investigate possibility of early detection of nitrogen demand at the early stage of oat development. The results of this study confirmed that sandy soils, characterized by limited water and nutrient capacity, require a specialized approach to resource management. The selected remote sensing indices provided an effective method for monitoring oat canopy variability in real time. At BBCH 12 growing stage, the highest correlations with plant density were shown by NDVI, SAVI, GNDVI, and EVI. The correlation coefficients ranged from 0.38 to 0.56, with a significance level of ≤0.01, which indicates their usefulness for monitoring crop emergency and early development. At early growing stage (BBCH 31–34), GNDVI was significantly correlated with the final nitrogen uptake (r = 0.44, p < 0.01) and biomass yield of oat (r = 0.39, p = 0.01). This suggests that the GNDVI index is particularly useful for predicting the final nitrogen uptake and biomass yield of oat. It offers a reliable estimation of the plant’s nitrogen status and its potential for nitrogen absorption, allowing for fertilization management at this critical stage.
1. Introduction
The primary factor influencing soil variability is the type of parent rock. For many soils, the parent materials are glacial and fluvioglacial deposits, characterized by significant vertical and spatial heterogeneity. The heterogeneous soil material is a mixture of sand, silt, clay, and stones. The texture of such soils can vary greatly, even across small areas.
Sandy soils are a distinctive category of soil [1]. They exhibit unique physical and chemical properties, including rapid infiltration and thermal conductivity, high susceptibility to drought and wind erosion, and low capacity for water and nutrient retention [2]. Soils containing 70% sand (particle size fraction of 0.05–2.0 mm) and less than 15% clay fraction (<0.002 mm) are classified as sandy soils, according to the WRB classification system [3]. Globally, sandy soils cover nearly 5 billion hectares, accounting for approximately 31% of the planet’s total land surface [4]. A substantial portion of these soils is either unused for agriculture or managed extensively [5]. An additional characteristic of sandy soils is their occurrence in flat or hilly terrains. Due to their unfavorable physical and chemical properties, sandy soils are often afforested in most regions of the world, though in flat areas, they may also be utilized for agricultural purposes [2].
In Poland, approximately 50% of soils are classified as sandy [6]. These soils are characterized by low organic matter content (1–2%), low water-holding capacity, and high permeability [7]. Consequently, in areas with low and uneven precipitation, water deficits commonly occur in sandy soils during the growing season, significantly influencing their relative productivity.
Additionally, sandy soils exhibit significant morphological, chemical, and spatial variability. The primary sources of this variability are linked to soil-forming factors, terrain topography, and cultivation practices [8,9].
One of the most critical limitations in agricultural production in such soils is their low capacity to retain water and nutrients, particularly nitrogen [10]. Nitrogen fertilization and minimizing its losses are crucial from both economic and environmental perspectives [11,12]. Nitrogen is highly mobile and is rapidly lost from agroecosystems. Therefore, the proper application of fertilizers, including selecting an appropriate type, dosage, and timing synchronized with nitrogen uptake dynamics, is essential [13].
Traditional fertilization technologies rely on the application of average fertilizer quantities across the entire field, treating it as a homogeneous unit. This approach is now outdated and insufficient, particularly for soils with variability in granulometric composition and fertility. A significant drawback of such methods is the environmental impact of nitrogen on soil and water systems. Over the past 50 years, nitrogen surplus (calculated as the difference between nitrogen supplied to the environment and nitrogen removed through harvest) has increased from approximately 20 million tons in 1961 to 90 million tons in 2010 [14]. In addition, the efficiency of nitrogen use has varied across European countries from 80 to 20% without significant changes in the last 50 years [15].
In precision agriculture, fields are viewed as heterogeneous systems characterized by significant spatial variability [16]. The use of digital technologies enables a shift from routine field-wide fertilization to precise applications of minimal, necessary amounts at specific times, locations, and under specific conditions.
The aim of this study was to utilize remote sensing technologies to assess the rationale for fertilizing oats under spatially diverse soil conditions. Field study results were analyzed statistically alongside remote sensing indices such as NDVI, GNDVI, SAVI, EVI, NDMI, and MCARI [17]. The research aimed to determine the extent to which these remote sensing indices align with soil and plant measurements under variable soil conditions.
2. Materials and Methods
2.1. Field and Laboratory Studies
The experiment was conducted in the village of Lubnów (51°15′36.2″ N, 16°54′21.5″ E) in southwestern Poland. The study took place on a private farm across a field with a total area of 33 hectares. The research area is characterized by significant variability in parent materials, with diverse physicochemical and chemical properties of the soil. The study site is located at the transition between post-glacial denuded moraine (Pleistocene), presently recognizable as undulated lowland, and the higher terraces (Pleistocene) of the Odra River, recognizable as flat lowland. However, both landform units were dissected with numerous local streams, presently drained or channeled, which left the (Holocene) alluvial sediments, covering irregularly the older ones. As a result, the lithology of sediments noticeably differs across the experimental field, which results in contrasting soil cover. Within the field, soils range from very light to heavy, classified into soil quality classes IIIb, IVb, V, and VI. The field features variable topography, with a 12 m elevation difference between the highest and lowest points (Figure 1).
Figure 1.
A topographic map of the field where the research was conducted.
The scope of the field studies included:
- Analysis of the physical and chemical properties of the soil;
- Sowing of oats and determination of plant density after germination;
- Analysis of selected biomass indices of oat plants at various growth stages;
- Monitoring of the crop using remote sensing techniques throughout the plant’s growing season.
Sampling locations for plant and soil samples, as well as remote sensing index measurements, were evenly distributed across the field, with a total of 40 sampling positions (Figure 2).
Figure 2.
A map of soil and plant sampling and determination of remote sensing indices.
In February 2024, prior to oat sowing, and in September, following the harvest, soil samples were collected to determine parameters including ammonium nitrogen (N-NH4) and nitrate nitrogen (N-NO3) content. The granulometric composition analysis was conducted once, in February 2024. All samples were obtained using Egner soil probes. At each sampling location (minimum 5–7 sub-samples per site), three composite samples were collected for subsequent analysis from the following soil layers:
- ➢
- 0–20 cm: for granulometric composition and pH analysis;
- ➢
- 0–30 cm and 31–60 cm: for quantification of available mineral nitrogen in nitrate (N-NO3) and ammonium (N-NH4) forms.
Oat sowing was performed on 5 March 2024, and the harvest was completed on 15 July 2024. To provide a comprehensive understanding of the meteorological conditions during the experimental period, the distribution of rainfall and temperature is presented (Figure 3).
Figure 3.
Rainfall distribution and average daily temperature during the oat growing season.
During the oat growing season, four developmental stages were selected for measurements and plant sample collection at designated sampling points (Table 1). Specific growing phases (BBCH—Biologische Bundesanstalt, Bundessortenamt und Chemische Industrie) were selected for measurements due to their basic importance for assessing the crop yield indices as well as the possibility of making management decisions related to the correction of agricultural technology [18,19]:
Table 1.
Dates of field observation and measurement and remote sensing indices data collection.
- (a)
- BBCH 31 stage: beginning of stem elongation;
- (b)
- BBCH 49 stage: appearance of the first awns;
- (c)
- BBCH 77 stage: late milk stage of grain maturity;
- (d)
- BBCH 99 stage: grain harvesting and seed dormancy period.
The selected image dates were the closest to the field analysis dates. The satellite captures images every five days; so those that best matched the study periods and had minimal cloud cover were chosen to avoid distorting the results. Other available images were rejected due to high cloud cover, which could have negatively impacted the quality of the analysis.
Above-ground oat plant biomass was harvested from a 0.25 m2 area delineated using a frame. During each sampling, soil moisture was measured at two depths (0–7 cm and 14–21 cm) using an SM 150 Kit soil moisture meter. Additionally, the SPAD index was recorded. At BBCH 49, 77, and 99 stages, canopy height measurements were also performed.
After laboratory drying at the Institute of Agroecology and Plant Production of the Wroclaw University of Environmental and Life Sciences, nitrogen content in oat biomass was determined using the Kjeldahl method [20].
2.2. Application of Remote Sensing Techniques
The monitoring of the tested oat field using remote sensing techniques was conducted with the AGRICOLUS program, which provides access to satellite data from the Sentinel-2 satellite [17]. Data were retrieved via the Copernicus Open Access Hub portal. The integration of satellite data within the AGRICOLUS program enables the analysis of various remote sensing indices calculated from processed satellite imagery.
For detailed observations corresponding to specific measurement points within the field, satellite images from the Copernicus portal were utilized. These images were obtained for specific dates, and the values of selected remote sensing indices were subsequently calculated using the QGIS software (3.42.0).
Level 2A data that have already been atmospherically corrected were used. This correction resulted in data that reflect real conditions on the surface, not just the atmospheric conditions at a measurement moment. Atmospheric correction at level L2A was performed using the Sen2Cor algorithm.
Using Sentinel-2 data at level L2A, the C2RCC (Sentinel-2 Cloud and Cloud Shadow Mask) algorithm, used by the Copernicus system, automatically detects clouds by creating appropriate cloud masks. Thanks to this process, which takes place at the data processing stage, pixels containing clouds and cloud shadows were removed from the analyzed images.
In the data analysis, specific point locations were selected, and the point sampling tool plug-in was used to precisely determine them.
Data from individual spectral bands (e.g., red, blue, near-infrared) were employed to compute the following remote sensing indices [21]:
- ➢
- NDVI (Normalized Difference Vegetation Index) used to quantify photosynthetically active biomass in plants [22];
- ➢
- GNDVI (Green Normalized Difference Vegetation Index) used for estimating photosynthetic activity and determining water and nitrogen uptake into the plant canopy [23,24];
- ➢
- SAVI (Soil Adjusted Vegetation Index) used to correct NDVI for the influence of soil brightness and very useful in areas with sparse vegetation [25,26];
- ➢
- EVI (Enhanced Vegetation Index) used to evaluate the vitality and health of plants and accounting for atmospheric conditions and soil background;
- ➢
- NDMI (Normalized Difference Moisture Index) used to determine vegetation water content and often used for monitoring changes in water content of leaves [27];
- ➢
- MCARI (Modified Chlorophyll and Reflectance Index) used for assessing the chlorophyll content of plants and offering insights into their physiological status and health [28,29,30].
The following formulas for individual indices were used for calculations:
- NDVI = (NIR − RED)/(NIR + RED)
- GNDVI = (NIR–G)/(NIR + G)
- SAVI = (NIR − RED) × (1 + L)/(NIR + RED + L)
- EVI = G × (NIR − RED)/(NIR + C1 × RED − C2 × BLUE + L)
- NDMI = (NIR − SWIR)/(NIR + SWIR)
- MCARI = [(RED_EDGE1 − RED) − 0.2 × (RED_EDGE1 − GREEN)] × (RED_EDGE1/RED)
The QGIS software was utilized to create maps depicting the distribution of mineral nitrogen in the soil across the field. The process of map creation proceeded through the following stages:
- ➢
- Preparation of Source Data: Based on field studies, the mineral nitrogen content in the soil was determined at 40 measurement points. The results were recorded in a CSV file containing the coordinates of the measurement points (in the WGS84 coordinate system) and the Nmin content in the soil (in kg N·ha−1).
- ➢
- Importing Data into QGIS: After verifying the completeness and accuracy of the geographic coordinates, the data were imported into QGIS.
- ➢
- Data Processing: The following steps were undertaken during data processing:
- ➢
- Addition of a Basemap: Maps from the geoportal [31] were used as a spatial background.
- ➢
- Import of Point Data: The CSV file was imported as a point layer, and the measurement points were displayed on the map.
- ➢
- Data Interpolation: To represent the spatial distribution of element content, the interpolation tool available in QGIS was employed. The inverse distance weighting (IDW) method was applied, assuming that closer points exert a greater influence on the interpolated value than more distant ones.
- ➢
- Raster Generation and Visualization: Upon completion of the interpolation, a raster representing the spatial distribution of Nmin content in the soil was generated. This raster was overlaid on the basemap, enabling visualization of the data.
Subsequently, a range scale for Nmin content was developed to facilitate precise representation of the results. Maps were prepared for the specified Nmin content in the soil during spring and autumn, allowing for comparative analysis. Comparing the spring and autumn nitrogen maps enabled an assessment of seasonal changes in Nmin content and provided a deeper understanding of the dynamics of its occurrence in the soil.
2.3. Statistical Analysis
All collected data from soil analyses, field measurements, and remote sensing indices were subjected to statistical analysis. For each studied characteristic and remote sensing index at the 40 designated field points, the following statistical parameters were calculated: minimum, maximum, mean, median, standard deviation, and coefficient of variation.
Analyzed parameters like N uptake, sand content(%), or GNDVI in different phenological stages represent left-skewed distribution samples, although the correlation and p-values were calculated to estimate the most promising parameters to use for predicting biomass yield and N uptake by oats.
Relationships between the physical and chemical properties of the soil, as well as plant growth and condition (e.g., soil moisture, plant density, SPAD index, canopy height, nitrogen uptake), and remote sensing indices (calculated based on satellite imagery) were assessed across different characteristics and sampling dates.
Statistical analyses were performed using the Statistica 13.3 software package, the R programming environment, and Microsoft Excel.
3. Results
Soil conditions and the availability of macronutrients play a pivotal role in shaping the cultivation environment and directly influence plant growth and development. A summary of the sand, silt, and clay content is presented as values of five statistical indicators (Table 2).
Table 2.
Variation in soil granulometric composition.
The sand content in the soil was predominant, averaging 85.9% and exhibiting the lowest variability. The silt and clay contents were significantly lower but demonstrated high variability, particularly for clay (V = 149). The coefficients of variation for silt and clay were higher than for sand, indicating greater heterogeneity in these fractions within the soil. Soil granulometric analysis was used to determine the agronomic soil category for each of the 40 measurement points, with approximately 75% of the field area classified as very light soils and 7.5% as heavy soils.
Statistical values concerning changes in soil mineral nitrogen (Nmin) content (including ammonium and nitrate forms) in kg·ha−1 within the 0–60 cm soil layer in spring (prior to vegetation onset) and autumn (post-oat harvest) are presented in Table 3. The minimum nitrogen content decreased from 21.8 to 10.2 kg·ha−1 (−53.2%), while the maximum increased from 110.0 to 168.6 kg·ha−1 (+53.3%). The mean content showed a slight decrease from 48.84 to 47.63 kg·ha−1 (−2.5%), while the median remained stable (46.2 to 46.1 kg·ha−1). The standard deviation (σ) increased from 16.4 to 25.4 kg·ha−1 (+54.8%), and the coefficient of variation (V) rose from 33.6% to 53.3%, indicating greater variability in Nmin content in the soil during autumn.
Table 3.
Nmin content in the soil (layer 0–60 cm) in kg·ha−1.
The spatial variability of mineral nitrogen content in spring and autumn is presented on maps (Figure 4).
Figure 4.
The content of Nmin in the soil (kg·ha−1) in the soil layer 0–60 cm.
On 2 April 2024, the first measurements were conducted in an oat field during the BBCH 12 growth stage. The plant density of oats was determined, and soil moisture was measured at two depths: 0–7 cm and 14–21 cm. Measurements were performed at 40 designated points, which were located using a digital device and a spatial GPS point map. The map of sampling points was prepared in Google Earth, and then, the points in the field were navigated using Google Maps. To accurately locate the points, a built-in GPS receiver in a mobile phone was used, which allowed for determining geographic coordinates. The accuracy of the location estimates depended on the quality of the GPS signal. In most cases the accuracy was 2–3 m.
At the earliest possible date for field observations (2 April 2024), satellite images captured by the Sentinel-2 satellite on 9 April 2024, were obtained. Indices including NDVI, GNDVI, SAVI, EVI, NDMI, and MCARI were calculated for each of the observed points.
The results were subjected to statistical analysis, considering the same statistical parameters as in previous measurements (Table 4).
Table 4.
Soil and oat parameters and remote sensing indices at BBCH 12.
The average plant density was 341 plants per 1 m2. The min-max range (85–504 plants per 1 m2) indicates considerable variability in plant density across the field. In field conditions, it is very difficult to maintain the assumed crop density parameters. Terrain, which was not flat (differences in elevation up to 12 m), different operating speeds, and the quality of seed material had an effect on the obtained oat plant density. Soil moisture in the upper layer varied from 2% (minimum) to 34% (maximum), with an average of 12%, which suggests low soil moisture accompanied by high variability (V = 67%). In the deeper layer, moisture levels were higher, indicating better water retention and greater moisture stability (V = 53%). The NDVI index ranged from 0.207 to 0.368, with an average value of 0.267, reflecting moderate vegetation condition. Low variability (V = 14%) suggests relatively uniform oat development at this growth stage across the field. The GNDVI index exhibited similar results to NDVI, with a range of 0.292–0.399 and an average of 0.336, but with lower variability (V = 9%) compared to NDVI (V = 14%). These findings indicate that GNDVI is a more stable and accurate indicator of chlorophyll content as it responds more effectively to changes in chlorophyll concentration and, thus, plant health. The SAVI index ranged from 0.320 to 0.808, with an average value of 0.409. The coefficient of variation for this index was V = 20%, which may be associated with differences in vegetation cover. Greater variability in the EVI index (V = 29%) suggests diversity in the density and structure of oat plants across the field. The EVI index ranged from 0.491 to 1.697, with an average of 0.695. The NDMI moisture index ranged from −0.129 to 0.076, with an average of −0.051, indicating low moisture content in plants and showing high variability (V = −86%). The MCARI index ranged from 530.68 to 6073.74, with an average of 1772.21, reflecting very high variability (V = 53%), which indicates significant differences in chlorophyll content.
The correlation between soil moisture at 0–7 cm and NDMI was −0.21 (p = 0.20), indicating a very weak negative relationship. This negative correlation may be attributed to the early developmental stage of oats during the initial growing (Figure 5).
Figure 5.
Correlation coefficient of soil moisture data and remote sensing indices at growing stage BBCH 12.
The results from field studies conducted at the BBCH 31 growth stage demonstrate considerable variability, particularly in soil moisture (0–7 cm layer: V = 110%; 14–21 cm layer: V = 61%) and dry matter content (V = 48) (Table 5). Nitrogen uptake values by plants also vary significantly, indicating uneven nutritional conditions across the studied field. The high coefficient of variation for nitrogen (V = 46%) suggests differences in the availability of this nutrient at various points within the field.
Table 5.
Parameters of soil, oat canopy, and remote sensing indices at BBCH 31.
The greatest variability (V = 54%) was observed for NDMI, indicating a high degree of variation in water content within the plants. EVI exhibited the widest range of values (0.595–2.281), corresponding to a coefficient of variation (V = 25%) and reflecting diversity in the structure of the oat plants. NDVI, GNDVI, and SAVI showed lower variability (V = 13–19%), suggesting a more stable representation of vegetation conditions across the field. MCARI displayed considerable dispersion (σ = 2599.82), indicating significant differences in chlorophyll content among the plants.
The results obtained at the BBCH 49 growth stage showed considerable variability in soil moisture (0–7 cm layer: V = 244%; 14–21 cm layer: V = 141%), as well as in SPAD and oat biomass yield (with coefficients of variation of 42% and 41%, respectively) (Table 6). These values indicate uneven plant growth conditions and differences in habitat conditions across the study field. The dry matter yield of oats ranged from 0.5 t·ha−1 to 3.4 t·ha−1 in this stage, indicating significant differences in biomass production at different points in the field.
Table 6.
Soil and oat parameters and remote sensing indices at BBCH 49.
The remote sensing indices exhibit considerable variability, particularly for NDMI (V = 54%), which suggests uneven water content in the oat plants across the study area (Table 6). The EVI index (V = 25%) shows similar variability to that observed in the previous measurement, indicating that it may be less sensitive to changes in vegetation condition at this growth stage. The NDVI, GNDVI, and SAVI indices, on the other hand, exhibit lower variability in oat plant condition. Meanwhile, the variability in MCARI (V = 38%) indicates greater differences in chlorophyll content among plants at this developmental stage.
At the early heading stage of oats (BBCH 77), the average soil moisture in the 0–7 cm layer was 5.7%, ranging from 0.1% to 25.9%, with a high variability (V = 100%). In the 14–21 cm layer, the moisture range was from 3.5% to 28.4%, with V = 56% (Table 7). The SPAD index reached an average value of 32.2, with a range from 7.9 to 79.5 and variability (V = 52%). The average dry matter yield was 3.6 t·ha−1 (range: 1.4–6.4 t·ha−1), and the coefficient of variation was similar to the previous period (V = 42%). A similar coefficient of variation was calculated for nitrogen uptake by oat plants, with a range from 56.2 to 222.8 kg·ha−1.
Table 7.
Soil and oat parameters and remote sensing indices at BBCH 77.
The greatest variability in remote sensing indices was observed for NDMI (V = 46%), which may be associated with differences in water content in the plants. In contrast, the NDVI and GNDVI indices exhibited the least variability, indicating the homogeneity of the oat crop during this developmental phase.
At BBCH 31, the highest correlation between dry matter yield was observed for the NDVI index (r = 0.58, p < 0.01) (Figure 6). A particularly significant relationship was found between the NDVI index and the dry matter expressed in t·ha−1. Conversely, the lowest correlations were recorded between the GNDVI index and the other studied parameters. Significant correlations were also observed between the nitrogen uptake by the plants and selected remote sensing indices: NDVI (r = 0.62, p < 0.01), SAVI (r = 0.55, p < 0.01), EVI (r = 0.52, p < 0.01), and NDMI (r = 0.50, p < 0.01).
Figure 6.
Correlation coefficient of field measurement data and remote sensing indices at three growth stages—BBCH 31, BBCH 49, and BBCH 77.
At BBCH 49, the highest correlation was observed between dry matter yield and all remote sensing indices (Figure 6). Significantly high correlations between remote sensing indices and nitrogen uptake by plants have also been found. At this growing stage, the highest correlations occurred between the SPAD index, dry matter yield, and nitrogen uptake by plants.
At the BBCH 77 phase, a decrease in correlation values was noted compared to the previous BBCH 49 phase (Figure 6). Statistical significance and correlations decreased for the GNDVI index parameters and the SPAD parameter in all cases of indices. The highest values were observed between dry matter yield (r = 0.61, p < 0.01) and nitrogen uptake by plants (r = 0.61, p < 0.01) and the NDMI index.
Spatial variability of GNDVI, NDVI, and SAVI indices was observed within the studied field, enabling an assessment of their usefulness in monitoring crop conditions at the BBCH 31 growth stage (Figure 7). The analysis of the obtained data reveals significant differences in the ability of individual indices to reflect the yield parameters of oat plants.
Figure 7.
GNDVI, SAVI, and NDVI distribution map from 4 May 2024 (BBCH 31) with marked sampling points.
The GNDVI index exhibits relatively uniform spatial distribution, which is reflected in its weak correlation with plant density (r = 0.30, p = 0.06) and other analyzed variables (Figure 8). This suggests its limited applicability in detecting biomass variability at growth stage BBCH 31. These findings indicate that GNDVI may be less effective in identifying changes related to nitrogen uptake and canopy structure, which should be considered when interpreting remote sensing data.
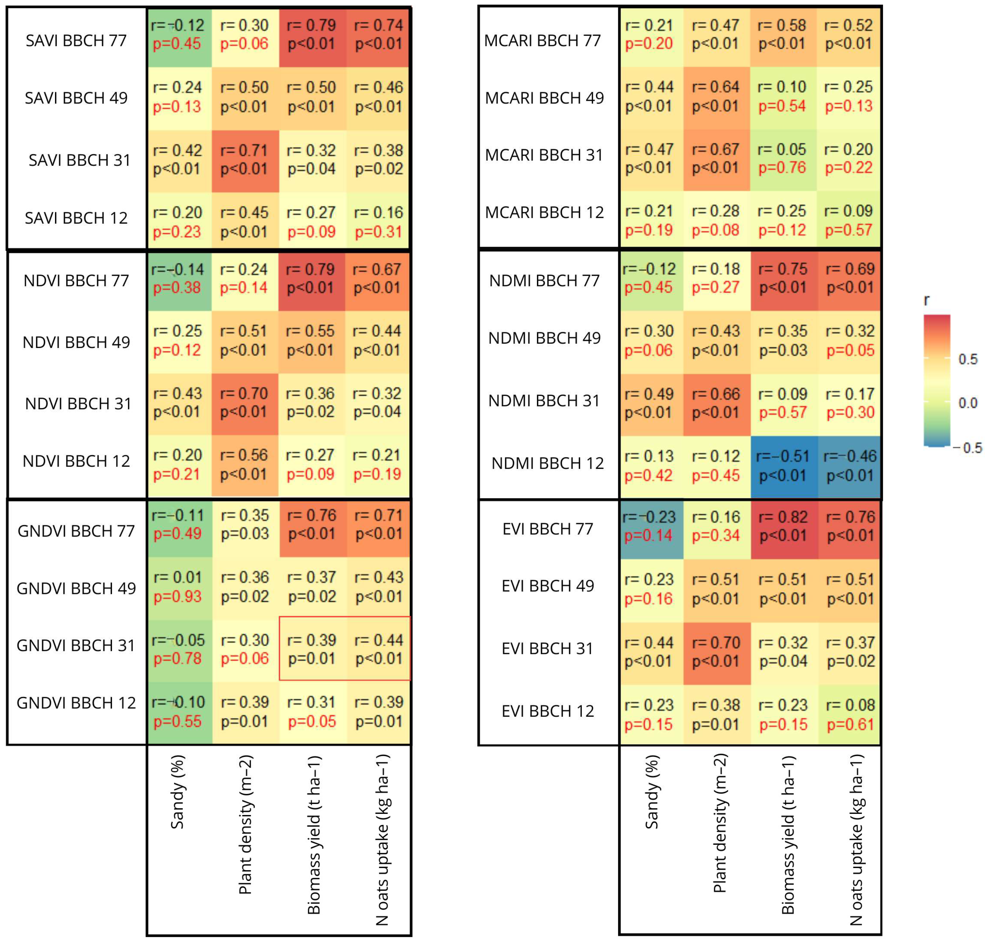
Figure 8.
Correlation coefficient of field data, dry matter, and nitrogen uptake by crop with the remote sensing indices from four dates. Red boxes represent selected for further analysis index at BBCH 31 stage.
The NDVI index at BBCH 31 shows pronounced spatial variability, consistent with its strong correlation with plant density (r = 0.70, p < 0.01) (Figure 8). Areas with lower NDVI values may indicate limited biomass production or nitrogen deficiencies, highlighting its significance in precise crop condition monitoring (Figure 7). Additionally, NDVI exhibits a significant relationship with soil sand content, suggesting that soil texture variability may influence the interpretation of this index.
The SAVI index, which accounts for soil background effects on spectral reflectance, exhibits even greater spatial variability than NDVI, as evidenced by its highest correlation with plant density (r = 0.71, p < 0.01) (Figure 8). Areas with reduced SAVI values may indicate localized soil moisture deficits or lower plant density. Due to its characteristics, this index appears particularly useful in heterogeneous soil conditions, making it a valuable tool for spatial analyses.
The studies conducted at full maturity of oats in the BBCH 99 stage indicate significant variability in soil and yield parameters (Table 8). Soil moisture exhibits considerable variation both in the surface layer (0–7 cm, V = 99%) and in the deeper layer (14–21 cm, V = 61%). Dry matter yield values range from 1.81 t·ha−1 to 9.49 t·ha−1, reflecting substantial variability in the total biomass production of straw and grain. The values for nitrogen uptake by oats show considerable discrepancies, ranging from 40.41 kg·ha−1 to 169.91 kg·ha−1, with an average of 96.87 kg·ha−1. The high standard deviation (34.7) and coefficient of variation (36%, classified as average) indicate significant differences in the amount of nitrogen absorbed by oats at different points across the field.
Table 8.
Soil and oat parameters and remote sensing indices at BBCH 99.
The presented correlation coefficients (Figure 8) include NDVI, GNDVI, SAVI, EVI, NDMI, and MCARI indices, calculated based on satellite imagery from four dates (09.04, 04.05, 14.05, 29.05), as well as parameters related to plant density (02.04), the difference in dry matter yield of oats between BBCH stages 77–31, and the amount of nitrogen absorbed by the plants during the growing season, determined from straw and grain analysis. Additionally, the percentage of sand content in the soil (%) was included in the correlation analysis due to its effect on water permeability, water retention, and nitrogen availability. Soil texture significantly influences plant growth conditions, making this parameter crucial in correlation analyses.
At the BBCH 12 stage, the highest correlations with plant density were observed for the NDVI (r = 0.56, p < 0.01), SAVI (r = 0.45, p < 0.01), GNDVI (r = 0.39, p = 0.01), and EVI (r = 0.38, p = 0.01) indices (Figure 8). These findings suggest that vegetation indices can serve as reliable indicators for monitoring early plant development and predicting plant density. Furthermore, a statistically significant negative correlation was observed between the NDMI index and both biomass yield (r = −0.51, p < 0.01) and nitrogen uptake by the crop (r = −0.46, p < 0.01).
At the BBCH 31 stage, strong correlations with plant density were observed for most vegetation indices, including SAVI (r = 0.71), NDVI and EVI (r = 0.70), MCARI (r = 0.67), and NDMI (r = 0.66), all with a very high level of statistical significance (p < 0.01) (Figure 8). The only exception was GNDVI, which exhibited a weak correlation (r = 0.30) with low statistical significance (p = 0.06). Additionally, significant correlations were found between vegetation indices at BBCH 31 and soil sand content, with the highest associations observed for NDMI (r = 0.49, p < 0.01) and MCARI (r = 0.47, p < 0.01). The relationships for EVI, SAVI, and NDVI were at a comparable level. These findings suggest that soil texture plays a crucial role in influencing spectral reflectance, which should be considered when interpreting remote sensing data for crop monitoring.
Among the evaluated indices, GNDVI at BBCH 31 demonstrated a significant correlation with final nitrogen uptake by the crop (r = 0.44, p < 0.01) and biomass yield (r = 0.39, p = 0.01). This distinguishes it from other indices whose correlations with these parameters were weaker or statistically insignificant, as observed in the cases of MCARI and NDMI. Given its stronger and statistically significant relationships with key agronomic parameters, GNDVI appears to be the most effective predictive index for assessing nitrogen uptake by the total crop and biomass accumulation during the BBCH 31 stage.
The BBCH 31 stage is a crucial period for agronomic decision-making, particularly regarding nitrogen fertilization. Since the BBCH 30–32 phase represents the optimal timing for the application of the second nitrogen dose, precise determination of the required amount is essential. Therefore, at this stage, particular attention was given to two key parameters: biomass yield and nitrogen uptake.
Sand (%)—Sand percentage in the soil (%); biomass yield t ha−1; N oat uptake kg ha−1—nitrogen uptake by the total crop (BBCH 99)
The correlations between vegetation indices and plant growth parameters strengthen as oat development progresses, reaching their highest values during the BBCH 49 and BBCH 77 stages.
In the BBCH 49 stage, strong correlations between vegetation indices and key agronomic parameters, such as biomass yield and nitrogen uptake, were observed, reinforcing the utility of remote sensing techniques in assessing crop productivity. The highest correlation with biomass yield was recorded for the NDVI index (r = 0.55, p < 0.01), highlighting its strong association with plant biomass accumulation (Figure 8). However, the correlation coefficients for GNDVI with these parameters slightly declined compared to the BBCH 31 stage. That phase marks a developmental stage where further corrective agronomic interventions are no longer feasible. Consequently, the monitoring of nitrogen uptake beyond this stage holds limited practical significance for nitrogen management.
Nevertheless, the observed correlations provide valuable insights into the spatial variability of plant nutritional status and productivity, providing a basis for creating fertility maps used in subsequent crops.
At the BBCH 77 phase, the highest correlations with biomass yield and crop nitrogen uptake were observed. The biomass yield (r = 0.82, p < 0.01) and the nitrogen uptake index by oats (r = 0.76, p < 0.01) show a particular relationship with EVI index (Figure 8). The remaining indices are characterized by a similar level of correlation.
The analysis (Figure 9) indicates the positive, but relatively weak, correlation between GNDVI and nitrogen uptake by plants at BBCH 99. The observed data dispersion is primarily due to high soil variability, which significantly affects nitrogen uptake. Many factors like sand content, moisture, and soil nutrient availability may modify the relationship between vegetation indices and final nitrogen status. Nevertheless, the observed increasing trend confirms the potential utility of the GNDVI index as a supporting tool for assessing nitrogen uptake by plants at the end of the growing season. It has proven to be particularly useful in determining fertilization needs in fields with different soil properties.
Figure 9.
Relationship between the GNDVI index (BBCH 31) and nitrogen uptake by plants at the BBCH 99 stage on highly variable soils.
4. Discussion
The study was conducted in a field with significant variability in soil conditions caused by wide granulometric fraction content and nitrogen availability. The soils were predominantly composed of sand fractions (average 85.9%), which resulted in low water retention capacity and potentially limited nutrient storage capabilities.
Soil moisture was identified as a key factor determining plant development and the efficiency of nutrient utilization. Temporal and spatial variability in soil moisture in the 0–7 cm and 14–21 cm layers revealed significant differences in the soil’s retention capacity. The primary determinant of a soil’s suitability for efficient crop production is its ability to retain water within the profile [32].
Samples taken and analyzed at four growth stages of oats (BBCH 31, BBCH 49, BBCH 77, and BBCH 99) revealed dynamic changes in the nitrogen requirements of the crop. High coefficients of variation for nitrogen uptake (V = 30–46%) indicated substantial spatial heterogeneity in plant nutrition. Variability in biomass yield and nitrogen uptake highlighted the necessity of implementing differentiated fertilization strategies tailored to the specific conditions of field sections and the growth rate of the plants.
While remote sensing indices at BBCH stages 49 and 77 are valuable for yield prediction, earlier, such as BBCH 12 and 31, remain critical for agrotechnical interventions [33]. Indices like GNDVI and SAVI reflect the influence of soil quality on yields at these stages, and hyperspectral imaging enables the detection of early biochemical changes in leaves. In earlier studies, GNDVI has not been used to monitor the nutritional status of plants in early growing stages. However, satellite imagery may directly reflect differences in plant growth due to the inherent patterns of soil fertility and management [34]. Similar studies show [35] that NVDI can be used for improving the efficiency of P and K fertilization and providing farmers with a new tool for evaluating the spatial variability of soybean growth and nutrition. The illustrated correlations of field basic parameters, such as biomass yield, nitrogen uptake, or soil texture with GNDVI indicate its usefulness for monitoring plant conditions. Early identification of the dependence of GNDVI on soil moisture can be a valuable tool for optimizing fertilization and making decisions affecting yield.
Wavelengths associated with chlorophyll and other pigment absorption allow for the identification of nutrient deficiencies before visible symptoms appear, supporting precise crop management [36]. At BBCH stage 12, the highest correlations were observed between soil moisture and the GNDVI index, highlighting the significant role of soil texture in water and nutrient availability. GNDVI was also strongly correlated with plant density, biomass yield, and nitrogen uptake, making it highly useful for assessing early crop conditions [37]. At BBCH stage 31, NDMI showed the highest correlation with sand content, likely linked to the root system development and more efficient resource utilization. During this phase, plant density was most strongly correlated with the EVI index, which accounts for both soil and vegetation cover effects, while biomass and nitrogen uptake remained closely associated with GNDVI, affirming its versatility [38,39]. Early identification of adverse conditions, such as low soil moisture or restricted nitrogen uptake, during BBCH stages 12 and 31 allows for timely interventions to optimize yields [40]. The shifts in dominant correlational indices are attributed to the dynamic development of plants and their interactions with the environment, emphasizing the importance of adjusting indices to specific growth stages.
5. Conclusions
Remote sensing enables rapid and spatially explicit monitoring of environmental conditions, facilitating precise assessment of the nutritional requirements of oats under varying soil conditions, particularly in highly variable, very light soils. The integration of field study results and laboratory analyses with vegetation indices has provided a deeper understanding of the relationships between plant conditions and environmental variability. The findings suggest that remote sensing techniques, including NDVI, EVI, and SAVI, can be effectively utilized in precision agriculture to predict oat biomass yield during late growing stages (BBCH 77). These indices reflect chlorophyll content and plant health, which are directly linked to nitrogen availability. Remote sensing allows to track changes in crop development despite high diversity of soils and nutritional needs. In addition, it is possible to estimate critical information necessary for precise crop management, such as the nutritional demands of plants in real-time monitoring. This capability enhances fertilization efficiency and optimizes yields under diverse environmental conditions. The research confirmed that remote sensing, and particularly the GNDVI index, serves as a valuable tool for plant density analysis on light soils with high spatial variability at the early growing stage BBCH 12, while at BBCH 31 growing stage, NDVI, SAVI, EVI, NDMI, and MCARI could be used for assessing the final oat biomass productivity.
In agricultural practice, it is worth using a combination of remote sensing data with field measurements (e.g., soil sampling and plant analysis), computer modeling, or monitoring of weather conditions. Only such an approach allows for a more complete and effective assessment of plant condition and planning of agrotechnical activities, including fertilization, which leads to a better use of resources and sustainable soil management and will allow for correcting the data obtained from the satellite.
Author Contributions
Conceptualization W.F., J.S., A.G. and A.F.; methodology J.S., A.F., W.F. and A.G.; software A.F., A.G., J.S. and W.F.; validation A.F., J.S., W.F. and A.G.; formal analysis A.F. and A.G.; investigation A.F., J.S., A.G. and W.F.; resources W.F., A.G. and A.F.; data curation A.F. and A.G.; writing—original draft preparation A.F. and J.S.; writing—review and editing A.F. and J.S.; visualization, A.F.; supervision W.F. and A.G.; project administration, W.F. and A.G.; funding acquisition W.F. All authors have read and agreed to the published version of the manuscript.
Funding
This research was funded by the National Science Centre, Poland, Grant number 2022/47/I/ST10/02453, and Swiss National Foundation, Grant number: 216926 under the OPUS call in the Weave programme. Lab analysis was funded by the National Science Centre Poland., Grant number: 2024/08/X/ST10/00095. For the purpose of open access, the author has applied a CC-BY public copyright licence to any author-accepted manuscript (AAM) version arising from this submission. The research is co-financed from the subsidy increased by the minister responsible for higher education and science for the period 2020–2026 in the amount of 2% of the subsidy referred to Art. 387 (3) of the Act of 20 July 2018—Law on Higher Education and Science, obtained in 2019. APC is financed by Wroclaw University of Environmental and Life Sciences.
Data Availability Statement
Data are contained within the article.
Acknowledgments
The authors would like to thank Natalia Wielgocka for consultation on remote sensing technique application and Leading Research Group Inoter for scientific motivation and inspiration.
Conflicts of Interest
The authors declare no conflicts of interest.
References
- Bockheim, J.G.; Hartemink, A.E.; Huang, J. Distribution and properties of sandy soils in the conterminous USA—A conceptual thickness model. and taxonomic analysis. Catena 2020, 195, 104746. [Google Scholar] [CrossRef]
- Yost, J.L.; Hartemink, A.E. Soil organic carbon in sandy soils: A review. Adv. Agron. 2019, 158, 217–310. [Google Scholar] [CrossRef]
- FAO WRB 2014. Available online: https://openknowledge.fao.org/server/api/core/bitstreams/bcdecec7-f45f-4dc5-beb1-97022d29fab4/content (accessed on 28 December 2024).
- Huang, J.; Hartemink, A.E. Soil and environmental issues in sandy soils. Earth Sci. Rev. 2020, 208, 103295. [Google Scholar] [CrossRef]
- Hartemink, A.E.; Huting, J. Land cover, extent, and properties of Arenosols in South-ern Africa. Arid. Land Res. Manag. 2008, 22, 134–147. [Google Scholar] [CrossRef]
- Rutkowska, A.; Pikuła, D. Effect of Crop Rotation and Nitrogen Fertilization on the Quality and Quantity of Soil Organic Matter. In Soil Processes and Current Trends in Quality Assessment; Hernandez Soriano, M.C., Ed.; IntechOpen: Rijeka, Croatia, 2013; pp. 249–267. [Google Scholar]
- Usowicz, B.; Lipiec, J. Spatial variability of soil properties and cereal yield in a cultivated field on sandy soil. Soil Tillage Res. 2017, 174, 241–250. [Google Scholar] [CrossRef]
- Pedrera-Parrilla, A.; Brevik, E.C.; Giráldez, J.V.; Vanderlinden, K. Temporal stability of electrical conductivity in a sandy soil. Int. Agrophys. 2016, 30, 349–357. [Google Scholar] [CrossRef][Green Version]
- Gałka, B.; Kabała, C.; Karczewska, A.; Sowiński, J. Variability of soil properties in an intensively cultivated experimental field. Soil Sci. Annu. 2016, 67, 10–16. [Google Scholar] [CrossRef]
- Penuelas, J.; Coello, F.; Sardans, J. A better use of fertilizers is needed for global food security and environmental sustainability. Agric. Food Secur. 2023, 12, 5. [Google Scholar] [CrossRef]
- Sowiński, J.; Kabała, C.; Karczewska, A.; Szydełko-Rabska, E.; Gałka, B. Content of mineral nitrogen in sandy soils after the application of slow-release fertilizers in the sweet sorghum cultivation. J. Elem. 2016, 21, 1127–1139. [Google Scholar] [CrossRef]
- Kabała, C.; Karczewska, A.; Gałka, B.; Cuske, M.; Sowiński, J. Seasonal dynamics of nitrate and ammonium ion concentrations in soil solutions collected using MacroRhizon suction cups. Environ. Monit. Assess. 2017, 189, 304. [Google Scholar] [CrossRef] [PubMed]
- Allwood, J.W.; Martinez-Martin, P.; Xu, Y.; Cowan, A.; Pont, S.; Griffiths, I.; Sungurtas, J.; Clarke, S.; Goodacre, R.; Marshall, A.; et al. Assessing the Impact of Nitrogen Supplementation in Oats across Multiple Growth Locations and Years with Targeted Phenotyping and High-Resolution Metabolite Profiling Approaches. Food Chem. 2021, 355, 129585. [Google Scholar] [CrossRef] [PubMed]
- Zhang, X.; Zou, T.; Lassaletta, L.; Mueller, N.D.; Tubiello, F.N.; Lisk, M.D.; Lu, C.; Conant, R.T.; Dorich, C.D.; Gerber, J.; et al. Quantification of global and national nitrogen budgets for crop production. Nat. Food 2021, 2, 529–540. [Google Scholar] [CrossRef] [PubMed]
- Lassaletta, L.; Billen, G.; Grizzetti, B.; Anglade, J.; Garnier, J. 50 year trends in nitrogen use efficiency of world cropping systems: The relationship between yield and nitrogen input to cropland Environ. Res. Lett. 2014, 9, 105011. [Google Scholar] [CrossRef]
- Zha, H.; Miao, Y.; Wang, T.; Li, Y.; Zhang, J.; Sun, W.; Feng, Z.; Kusnierek, K. Improving Unmanned Aerial Vehicle Remote Sensing-Based Rice Nitrogen Nutrition Index Prediction with Machine Learning. Remote Sens. 2020, 12, 215. [Google Scholar] [CrossRef]
- Available online: https://www.agricolus.com (accessed on 7 January 2024).
- Rao, M.S.; Reddy, V.R. Nutrient management in cereal crops: The early growth phases and their impact on yield. Agron. J. 2016, 108, 2376–2389. [Google Scholar]
- Meier, U. Growth Stages of Mono and Dicotyledonous Plants; BBCH Monograph, Federal Biological Research Centre for Agriculture and Forestry: Bonn, Germany, 2001; p. 204. [Google Scholar]
- Amin, M.; Flowers, T.H. Evaluation of Kjeldahl digestion method. J. Res. Sci. 2004, 15, 159–179. [Google Scholar]
- Vidican, R.; Mălinaș, A.; Ranta, O.; Moldovan, C.; Marian, O.; Ghețe, A.; Ghișe, C.R.; Popovici, F.; Cătunescu, G.M. Using Remote Sensing Vegetation Indices for the Discrimination and Monitoring of Agricultural Crops: A Critical Review. Agronomy 2023, 13, 3040. [Google Scholar] [CrossRef]
- Rouse, J.W.; Haas, R.H.; Schell, J.A.; Deering, D.W. Monitoring vegetation systems in the Great Plains with ERTS. In Proceedings of the Third Earth Resources Technology Satellite-1 Symposium, Washington, DC, USA, 10–14 December 1973; Tom 1, pp. 309–317. [Google Scholar]
- Gitelson, A.A.; Merzlyak, M.N. Signature analysis of leaf reflectance spectra and a new method for estimating chlorophyll content in higher plants. Remote Sens. Environ. 1996, 58, 293–305. [Google Scholar]
- Zarco-Tejada, P.J.; Ustin, S.L. Water stress detection using a vegetation index in combination with soil line and canopy background reflectance. Int. J. Remote Sens. 2001, 22, 3875–3890. [Google Scholar]
- Huete, A.R. A soil-adjusted vegetation index (SAVI). Remote Sens. Environ. 1988, 25, 295–309. [Google Scholar] [CrossRef]
- Huete, A.R.; Jackson, R.D. Soil and vegetation effects on reflectance of the vegetation index. Remote Sens. Environ. 1989, 29, 229–238. [Google Scholar]
- Gao, B.C. NDWI—A normalized difference water index for remote sensing of vegetation liquid water from space. Remote Sens. Environ. 1996, 58, 257–266. [Google Scholar] [CrossRef]
- Datt, B. Visible/near infrared reflectance and chlorophyll content in Eucalyptus leaves. Remote Sens. Environ. 1999, 61, 250–263. [Google Scholar] [CrossRef]
- Haboudane, D.; Miller, J.R.; Pattey, E. Hyperspectral vegetation indices for the detection of plant chlorophyll content: Review and applications. Remote Sens. Environ. 2002, 81, 224–234. [Google Scholar]
- Daughtry, C.S.T.; Walthall, C.L.; Kim, M.S.; Colstoun, E.B.D.; Mcmurtrey, J.E.I. Estimation of chlorophyll concentration in maize leaves based on leaf and crown light reflection. Remote Sens. Environ. 2000, 74, 229–239. [Google Scholar] [CrossRef]
- Geoportal. Available online: https://www.geoportal.gov.pl/ (accessed on 28 December 2024).
- Qin, C.-C.; Abdalkarim, S.Y.H.; Zhou, Y.; Yu, H.-Y.; He, X. Ultrahigh water-retention cellulose hydrogels as soil amendments for early seed germination under harsh conditions. J. Clean. Prod. 2022, 370, 133602. [Google Scholar] [CrossRef]
- Nagy, A.; Szabó, A.; Adeniyi, O.D.; Tamás, J. Wheat Yield Forecasting for the Tisza River Catchment Using Landsat 8 NDVI and SAVI Time Series and Reported Crop Statistics. Agronomy 2021, 11, 652. [Google Scholar] [CrossRef]
- Blaes, X.; Chomé, G.; Lambert, M.-J.; Traore, P.C.S.; Schut, A.G.T.; Defoury, P. Quantifying fertilizer application response variability with VHR satellite time-series in a rainfed smallholder cropping system of Mali. Remote Sens. 2016, 8, rs8060531. [Google Scholar] [CrossRef]
- Farias, G.D.; Dubeux, J.C.B.; Savian, J.V.; Duarte, L.P.; Martins, A.P.; Tiecher, T. Integrated crop-livestock system with system fertilization approach improves food production and resource-use efficiency in agricultural lands. Agron. Sustain. Dev. 2020, 40, 39. [Google Scholar] [CrossRef]
- Sanaeifar, A.; Yang, C.; Min, A.; Jones, C.R.; Michaels, T.E.; Krueger, Q.J.; Barnes, R.; Velte, T.J. Noninvasive Early Detection of Nutrient Deficiencies in Greenhouse-Grown Industrial Hemp Using Hyperspectral Imaging. Remote Sens. 2024, 16, 187. [Google Scholar] [CrossRef]
- Chai, J.; Wang, L. A Comparative Study of Vegetation Indices for Predicting Vegetation Biomass and Nitrogen Content in Crops. Agronomy 2020, 10, 317. [Google Scholar] [CrossRef]
- Berca, M.; Horoiaș, R. NDMI use in recognition of water stress issues, related to winter wheat yields in southern Romania. Scientific Papers Series Management. Econ. Eng. Agric. Rural. Dev. 2022, 22, 105–111. [Google Scholar]
- Deng, X.; Li, Z.; Xie, Y. Use of Vegetation Indices for Crop Monitoring and Yield Prediction. Remote Sens. 2020, 12, 2459. [Google Scholar] [CrossRef]
- Harfenmeister, K.; Itzerott, S.; Weltzien, C.; Spengler, D. Detecting Phenological Development of Winter Wheat and Winter Barley Using Time Series of Sentinel-1 and Sentinel-2. Remote Sens. 2021, 13, 5036. [Google Scholar] [CrossRef]
Disclaimer/Publisher’s Note: The statements, opinions and data contained in all publications are solely those of the individual author(s) and contributor(s) and not of MDPI and/or the editor(s). MDPI and/or the editor(s) disclaim responsibility for any injury to people or property resulting from any ideas, methods, instructions or products referred to in the content. |
© 2025 by the authors. Licensee MDPI, Basel, Switzerland. This article is an open access article distributed under the terms and conditions of the Creative Commons Attribution (CC BY) license (https://creativecommons.org/licenses/by/4.0/).








