Abstract
Root systems are pivotal for nutrient absorption, exhibiting high plasticity in phosphorus (P) acquisition, and significantly influencing soil phosphorus availability. However, the impacts of different P application methods on root parameters and P utilization efficiency in cotton (Gossypium hirsutum L.) under Xinjiang conditions are still not well understood. To identify optimal P fertilization strategies, a consecutive two-year field experiment (2023–2024) under mulched drip irrigation was conducted. Three P application methods were tested: no P (CK), basal P application (PB), and drip P application (PD). Results revealed that P application methods significantly affected cotton dry matter, P use efficiency, root morphology, and yield (p < 0.05). Over the two years, the optimized treatment (25% P applied at bud stage and 25% at flowering-boll stage, PD) increased yield by 13.62% and 9.50% compared to full basal application (PB), with P use efficiency improved by 22.04–31.51% and agronomic efficiency improved by 6.56–9.75 kg kg−1. PB significantly increased soil-available P in 0–20 cm (34.17–70.09%) and 20–40 cm layers (30.37–70.32%) compared to CK. During the bud stage, PD treatment exhibited higher soil-available P in the 20–40 cm layer than PB. PD enhanced P uptake and dry matter accumulation, with increases of 22.43–36.33% and 7.90–15.55% in reproductive organ P accumulation compared to other treatments. Root parameters followed PD > PB > CK across all treatments. At the seedling stage, PB increased total root length by 19.79% compared to CK, while PD increased root volume by 46.15% compared to PB. During the bud stage, PB increased root volume by 53.33% compared to CK, and PD enhanced root surface area and volume by 39.25% and 47.82% compared to PB. Root volume showed a significant positive correlation with phosphorus absorption across growth stages. The PD treatment significantly enhanced soil P availability and P use efficiency and optimized root spatial distribution. This treatment consistently increased cotton yield by 30.41–39.09% (p < 0.05) compared to CK, demonstrating stable positive effects. This study highlights that adjusting P application methods can establish sustainable, high-yield agricultural fertilization systems.
1. Introduction
Phosphorus (P) serves as a vital nutrient for crop growth and development [1]. Soil P deficiency not only restricts crop growth but also leads to reductions in yield and quality [2]. Although P fertilization can enhance soil-available P, excessive or irrational P inputs give rise to low P use efficiency (ranging from 10% to 25%) [3,4], rapid depletion of phosphate resources [5,6], and environmental risks caused by soil P surplus [7]. It is projected that the global annual consumption of P fertilizer will reach 22–27 Tg by 2050 [8]. Therefore, analyzing the long-term yield-enhancing effects of P application, optimizing fertilization techniques, and understanding the trends in P use efficiency are of great significance for alleviating the current high surplus of P in agricultural soils [9].
The application method of P fertilizer exerts a significant influence on crop P uptake and utilization efficiency [10]. Conventional P fertilizers are predominantly applied as basal dressing; their recovery efficiency remains suboptimal (10–15%) due to soil phosphorus fixation and runoff losses [11,12,13]. Fertigation technology integrates drip irrigation with fertilization by harnessing fertilization by the water-nutrient coupling effect [14,15]. This system enables the precision design of site-specific water-fertilizer formulas according to real-time soil conditions, crop nutrient demands, and growth-stage water requirements. By optimizing the spatiotemporal synchrony of water and fertilizer delivery, fertigation enhances rhizosphere nutrient availability, promoting yield increases and water/fertilizer use efficiency [16,17]. Previous studies have predominantly examined single phosphate fertilizer types and application rates [18,19,20,21], and recent systematic reviews have synthesized progress in drip irrigation-applied phosphate fertilizers across multiple cropping systems [22]. Specifically, few studies explore the mechanisms of water-P interaction in improving P availability and uptake efficiency.
The root system serves as the primary organ for crop P uptake, with its development directly influencing aboveground growth and yield formation [23]. Root architecture determines the spatial range and density distribution of roots. By regulating morphology and spatial distribution, roots enhance rhizosphere physiological processes to achieve efficient nutrient acquisition [24]. Crops enhance phosphorus (P) absorption primarily through morphological adaptations: increased root length, higher lateral root density, and greater total root length collectively expand the root-soil contact area, directly facilitating P uptake [25]. Specifically, studies demonstrate that wheat genotypes with longer total root length and finer root diameters (i.e., higher specific root length) develop larger root surface areas. This architectural optimization improves spatial congruence between roots and soil nutrients, thereby increasing the efficiency of available nutrient capture [26]. Therefore, investigating the root morphology of cotton under different P application methods and the associated changes in root and P responses under integrated water-phosphorus management holds significant theoretical importance.
Xinjiang, China’s dominant cotton-producing region, contributing over 90% of national output, produces approximately one-fourth (24–26%) of global cotton, making it the world’s largest production base [27]. As an advanced water-nutrient delivery system, under-mulch drip irrigation enhances crop productivity and fertilizer use efficiency compared to conventional irrigation, primarily through synchronized water-P delivery that minimizes leaching losses [28]. Existing research has thoroughly explored the impacts of this technology on crop growth, soil water-fertilizer regulation, yield quality, and production efficiency, with primary focuses on cotton, maize, jujube trees, and apple crops [29,30,31]. P represents the second most limiting factor for cotton yield improvement [32]. Current studies on phosphorus-efficient utilization in cotton predominantly center on fertilizer types [33], application rates [34], and placement strategies [35,36,37]. However, significant knowledge gaps exist between water-phosphorus coupling and root architecture modification that drive yield enhancement and phosphorus use efficiency [38,39]. Therefore, the objectives of this study were (1) to assess the effects of P fertilizer drip irrigation on cotton yield and P use efficiency; (2) to investigate the impacts of drip-irrigation P fertilizer on cotton root growth; and (3) to quantify how root system parameters influence cotton yield and P use efficiency under different P fertilizer application methods.
2. Materials and Methods
2.1. Overview of the Experimental Site
A field study was conducted in cotton fields located in Hutubi County (44°10′ E, 86°58′ N) in the northern part of Xinjiang (44°10′ E, 86°58′ N, 450–700 m), China, during the 2023 and 2024 growing seasons. The region features a typical continental climate, ranging from arid to semi-arid, with ≥10 °C accumulated growing degree-days (GDD) reaching 3600 °C·d and a frost-free period of approximately 180 days. The mean daily temperature is 5.7 °C, with an annual precipitation of 190 mm and an annual evaporation of 2200 mm. The experimental soil is classified as a loamy gray desert soil; the basic physical and chemical properties of the soil in the top 0–40 cm deep at the field site are presented in Table 1.
Table 1.
Soil characteristics by depth layer: pH, organic matter, nitrogen and phosphorus availability, and electrical conductivity.
2.2. Experimental Design
The experiment comprised 3 treatments, each with 3 replicates, arranged in a randomized complete block design in the field, totaling 9 plots. (34.5 m2, 6.9 m × 5 m), The planting density is 195,000 plants per hectare, using “Jinken 1441” cotton seeds (produced by Xinjiang Zhijin Seed Industry Co. Ltd., Wensu, China). The P fertilizer rate was consistent across all treatments; a control treatment, CK (no phosphorus fertilizer application), and PB treatment were applied once as a banded basal dressing beneath the seeding rows before planting. PD treatment (50% as basal dressing and the remaining 25% + 25% applied through irrigation water at the bud stage and flowering-boll stage, respectively). All nitrogen fertilizer (N 46%) and potassium fertilizer (K2O 50%) were applied via fertigation. Application rates were 300 kg/ha for N, 75 kg/ha for P2O5, and 75 kg/ha for K2O. The same cultivar was used to ensure continuity in the 2024 growing season.
The planting system utilized a drip irrigation setup under mulch; each plot was covered with three sheets of plastic film mulch (2.05 m wide). Each sheet accommodated six cotton rows with three drip lines. Row spacing was 12 cm (between rows 1–2, 3–4, and 5–6) and 66 cm (between rows 2–3 and 4–5). Drip lines were placed in the 12 cm interrows. The field was established using a dry sowing with wet emergence technique, with initial irrigation commencing at seedling emergence (15 June). From the seedling stage through harvest, irrigation was applied at intervals of 7–8 days, totaling 11 irrigation cycles and a cumulative water application of 3500 m3/ha. For the PD treatment, a 25 L differential pressure fertilizer applicator was used for fertilization. Monoammonium phosphate was applied at two critical growth stages: the bud stage (10 July) and the flowering-boll stage (10 August). The tank was then filled with water and stirred until complete dissolution. Fertilization was performed by opening the fertilizer valve for 120 min, followed by a 180 min flush with clean water to ensure uniform nutrient distribution and prevent system clogging. All other field management practices, including pest control and weed management, were conducted according to conventional local farming protocols to maintain consistency across experimental conditions.
2.3. Sampling Methods and Measurements
2.3.1. Soil, Cotton Samples, and Phosphorus Content
Soil sampling was performed at three key growth stages of cotton in 2023 and 2024: seedling stage (mid-June), bud stage (mid-July), and flowering-boll stage (mid-August). During each sampling, soil cores were extracted from 0–20 cm to 20–40 cm layers with a soil drill, employing an S-shaped five-point composite sampling protocol to ensure spatial representativeness. In each experimental plot, five random sampling points were selected to form a composite sample, which was transported to the laboratory for analysis of soil phosphorus availability.
Approximately 1 kg of homogenized soil was placed in sealed bags, transported to the laboratory, and air-dried at room temperature. Prior to analysis, samples were pre-processed by removing stones, plant roots, and visible organic residues, then sequentially sieved through 1 mm and 0.125 mm mesh screens for subsequent determination of available phosphorus.
Cotton plant samples were collected at the same growth stages. Three representative plants with uniform growth were selected from each plot and dissected into three tissue categories: root systems, vegetative organs (stems and leaves), and reproductive organs (flower buds, bolls, hulls, and fibers). All plant materials were subjected to enzyme deactivation at 105 °C for 30 min, followed by oven-drying at 70 °C until constant weight was reached. The dried tissues were then ground and passed through a 40-mesh sieve for accurate dry matter quantification. The phosphorus accumulation in the plant organs was determined by multiplying the organ biomass by the corresponding phosphorus concentration.
Soil available phosphorus was extracted with 0.5 mol·L−1 NaHCO3 and quantified using the vanadium-molybdenum blue colorimetric method [40].
2.3.2. Cotton Yield
For each sampled plot, the cotton was harvested from a 6.67 m2 area in the middle of the plastic film on 15 October 2023 and 11 October 2024, respectively. The number of cotton plants and the number of bolls per plant in each sample plot were recorded. Subsequently, 15 cotton bolls were randomly collected from the upper, middle, and lower parts of the cotton plants, respectively. The boll weight was then calculated after drying.
2.3.3. Root Sampling
After harvesting the aboveground shoots at the seedling stage and budding and flowering-boll stages, root systems of sampled plants were excavated using a monolith method with a root collector (60 cm long × 10 cm wide × 40 cm high). The monolith method involves excavating intact soil-root cubes by driving the collector vertically into the soil profile. Soil cubes with volumes of 500 cm3, 500 cm3, 1000 cm3, and 2000 cm3 were separately collected from soil layers of 0–5 cm, 5–10 cm, 10–20 cm, and 20–40 cm, respectively. A total of 20 monoliths were obtained for the two sampled plants [41]. Each soil cube was placed in an individually labeled plastic bag with spatial coordinates. All visible roots within each soil block were carefully extracted using forceps, stored in an icebox, and thoroughly cleaned prior to scanning. Root morphological parameters, including total root length, total root surface area, and average root diameter, were quantified from digital images using Win-Rhizo Pro software (Regent Instruments Inc., 2001., Québec City, QC, Canada). Root systems were classified into fine roots (0–0.2 mm), middle roots (0.2–0.4 mm), and coarse roots (>0.4 mm) based on diameters [42].
The densities of root length, root surface area, and root volume were calculated as the following formulas: root length density (RLD, mm/cm3) = RL/v; root surface area density (RSD, mm2/cm3) = RS/v; and root volume density (RVD, mm3/cm3) = RV/v, where v represents the volume of the soil cubes (cm3).
2.4. Phosphorus Fertilizer Use Efficiency and Calculation Methods
Phosphorus use efficiency indices were calculated by using the following formulas [43]:
(where P is total P uptake by cotton in fertilized plots, P0 is total P uptake by cotton in unfertilized (control) plots, and PF is the amount of P fertilizer applied)
(where Y is crop yield obtained under fertilization)
Apparent Efficiency of Fertilizer P (PRE) = (P − P0)/PF
Partial Factor Productivity of Applied P (PFP) = Y/PF
2.5. Statistical Analysis
Data analysis was conducted using three software packages: Excel 2003 (Microsoft, Bothell, WA, USA) for basic statistical calculations; SPSS version 27.0 (SPSS Inc., Chicago, IL, USA) for analysis of variance (ANOVA) with least significant difference (LSD) post-hoc test at p < 0.05 (including descriptive statistics and comparative analyses); and Origin 2022 (Origin Lab, Inc., Northampton, MA, USA) for data visualization and principal component analysis, and generated column charts and stacked plots illustrating soil available phosphorus, dry matter accumulation, plant phosphorus accumulation, and root parameters.
3. Results
3.1. Impact of Phosphorus Application Methods on Soil Phosphorus Availability
The application of P fertilizer significantly increased the available P content in cotton fields (Figure 1). Compared with the control, basal P application significantly enhanced drip P application, further increasing available P in the 0–20 cm layer by 70.09%, 55.72–71.65% (bud stage), and 16.00–87.99% (flowering-boll stage), at the seedling stage, 19.17% to 54.59% at the bud stage, and 35.42% at the flowering-boll stage. In the 20–40 cm soil layer, basal P application increased available P by 30.37–38.24% (seedling stage), 70.32% (bud stage), and 46.55% (flowering-boll stage) compared to CK. Drip P application significantly enhanced available P in this layer by 79.61% and 31.31–53.95%. Overall, soil available P across growth stages followed the trend: flowering and boll stage > bud stage > seedling stage. Drip P application achieved the highest available P content at the flowering-boll stage (28.93–30.03 mg kg−1), with a vertical distribution pattern of 0–20 cm > 20–40 cm. In both soil layers.
Figure 1.
Phosphorus fertilizer application methods influenced soil available phosphorus content across soil layers and growth stages from 2023 to 2024. (CK: Control treatment, PB: Phosphorus fertilizer basal application treatment, PD: Phosphorus fertilizer drip application treatment, S: Seedling stage, B: Bud stage, FB: Flowering and boll stage). Different lowercase letters denote significant differences (p < 0.05) among treatments.
3.2. Impact of Phosphorus Application Methods on Phosphorus Accumulation
Both the basal application and drip application methods of P fertilizer significantly influenced the accumulation of P in various cotton organs (Figure 2). Compared to the control, the P accumulation in roots with basal application of P fertilizer significantly increased by 32.73% at the seedling stage, while drip application led to a significant increase of 53.93% at the bud stage. In vegetative organs, basal application of P fertilizer resulted in significant P accumulation increases of 10.90%, 8.53%, and 5.84% at the seedling, bud, and boll stages, respectively. Meanwhile, drip application of P fertilizer at the seedling and bud stages led to significant P accumulation increases of 20.81% and 14.87%, respectively.
Figure 2.
Effects of phosphorus application methods on phosphorus accumulation in different plant organs across growth periods from 2023 to 2024. (CK: Control treatment, PB: Phosphorus fertilizer basal application treatment, PD: Phosphorus fertilizer drip application treatment, S: Seedling stage, B: Bud stage, FB: Flowering and boll stage). Different lowercase letters denote significant differences (p < 0.05) among treatments.
3.3. Impact of Phosphate Application Methods on Cotton Biomass and Yield
3.3.1. Impact of Phosphorus Application Methods on Cotton Biomass
The application of P fertilizer significantly increased the dry matter mass of cotton roots, vegetative organs, and reproductive organs (Figure 3). Compared to the control, during the seedling, bud, and flowering-boll stages, the dry matter mass of roots with basal application of P fertilizer increased by 33.63% to 58.99%, 12.30% to 35.62%, and 32.66%, respectively, while drip application increased by 51.43% to 69.26%, 33.51%, and 49.58% to 61.44%, respectively. During the seedling, bud, and flowering-boll stages, basal application of P fertilizer significantly increased P accumulation in vegetative organs by 63.34%, 29.68~59.63%, and 35.19%, respectively, while drip application significantly increased it by 19.88%, 32.98%, and 32.73%, respectively. Basal application of P fertilizer significantly increased P accumulation in reproductive organs by 22.75~46.66%, 8.40~18.59%, and 19.11~41.36%, respectively, while drip application increased it by 45.47~73.34%, 48.20%, and 60.13~65.55%, respectively.
Figure 3.
Effects of phosphorus application methods on dry matter mass of plant organs across growth stages from 2023 to 2024. (CK: Control treatment, PB: Phosphorus fertilizer basal application treatment, PD: Phosphorus fertilizer drip application treatment, S: Seedling stage, B: Bud stage, FB: Flowering and boll stage). Different lowercase letters denote significant differences (p < 0.05) among treatments.
3.3.2. Impact of Phosphorus Application Methods on Cotton Yield
Both basal and drip applications of P fertilizer significantly enhanced cotton yield (Table 2). Compared to the control, basal and drip applications increased yield by 19.12% and 30.41%, respectively. Drip application also raised the number of bolls per plant by 30.65% and 14.69% over the CK treatment and basal application treatments, respectively. Additionally, drip application of P fertilizer increased P use efficiency by 22.03% compared to the basal application.
Table 2.
Effects of phosphorus application methods on cotton yield components and phosphorus use efficiency from 2023 to 2024. (CK: Control treatment, PB: Phosphorus fertilizer basal application treatment, PD: Phosphorus fertilizer drip application treatment). Different lowercase letters denote significant differences (p < 0.05) among treatments.
3.4. Impact of Phosphorus Application Methods on Root Morphological Parameters
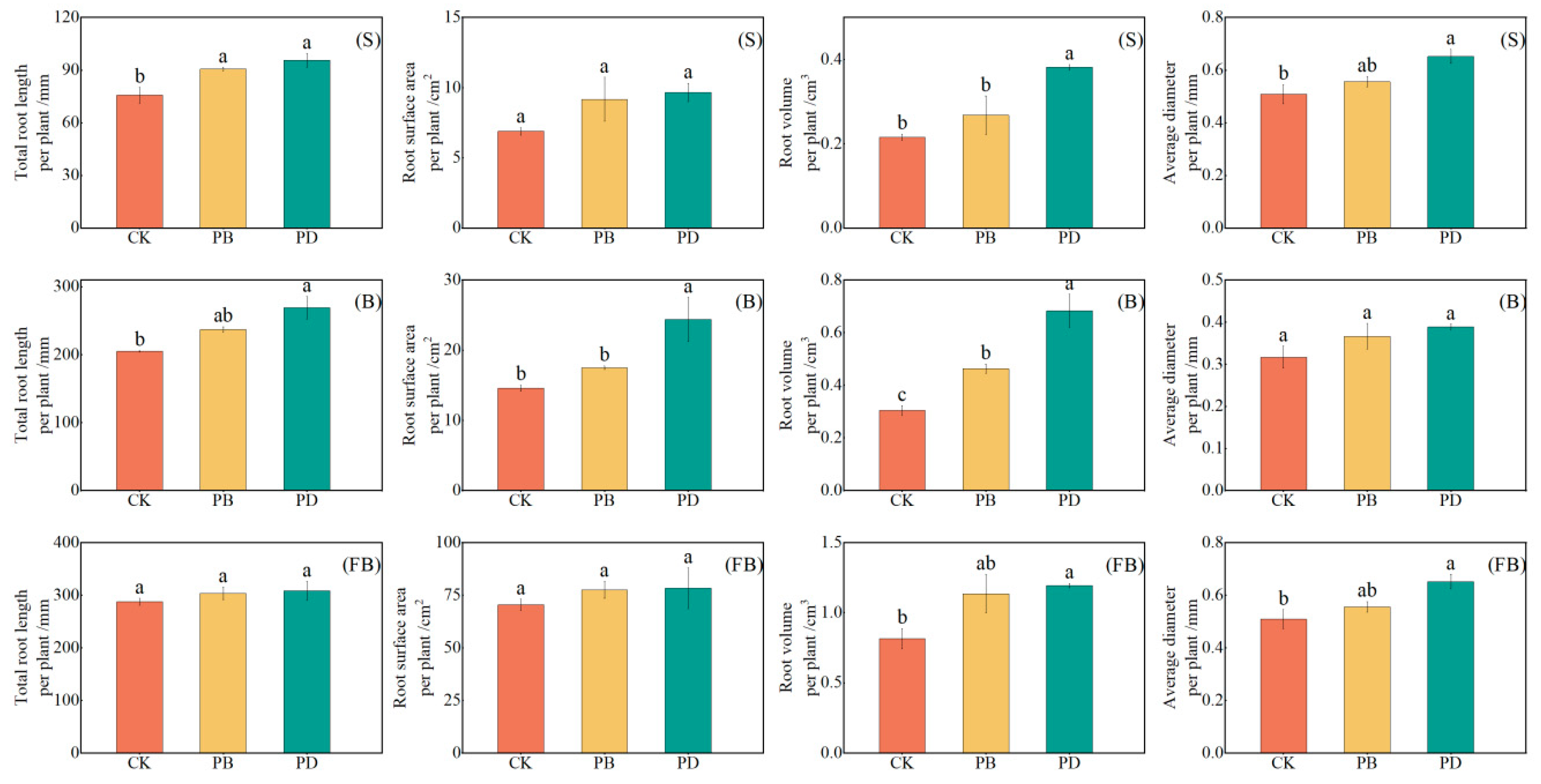
Phosphorus application methods significantly affected total root length, root volume, and root surface area at different growth stages (Figure 4). Compared to the control, basal application of P fertilizer significantly increased total root length by 19.79%, 15.63%, and 5.61% at the seedling, bud, and boll stages, respectively, while drip application increased it by 26.28%, 31.14%, and 7.22%, respectively. At the bud and boll stages, basal application significantly increased root volume by 53.33% and 39.50%, respectively, whereas drip application increased it by 126.66% and 46.91%. Basal application significantly enhanced root surface area by 32.94%, 20.10%, and 10.04% at the seedling, bud, and boll stages, respectively, while drip application increased it by 40.34%, 67.26%, and 11.11%, respectively. Additionally, basal application significantly increased root average diameter by 16.12% and 11.62% at the bud and boll stages, respectively, and drip application increased it by 27.90% at the boll stage.
Figure 4.
Effects of phosphorus application methods on cotton root parameters across growth stages in 2024. (CK: Control treatment, PB: Phosphorus fertilizer basal application treatment, PD: Phosphorus fertilizer drip application treatment, S: Seedling stage, B: Bud stage. FB: Flowering and boll stage). Different lowercase letters denote significant differences (p < 0.05) among treatments.
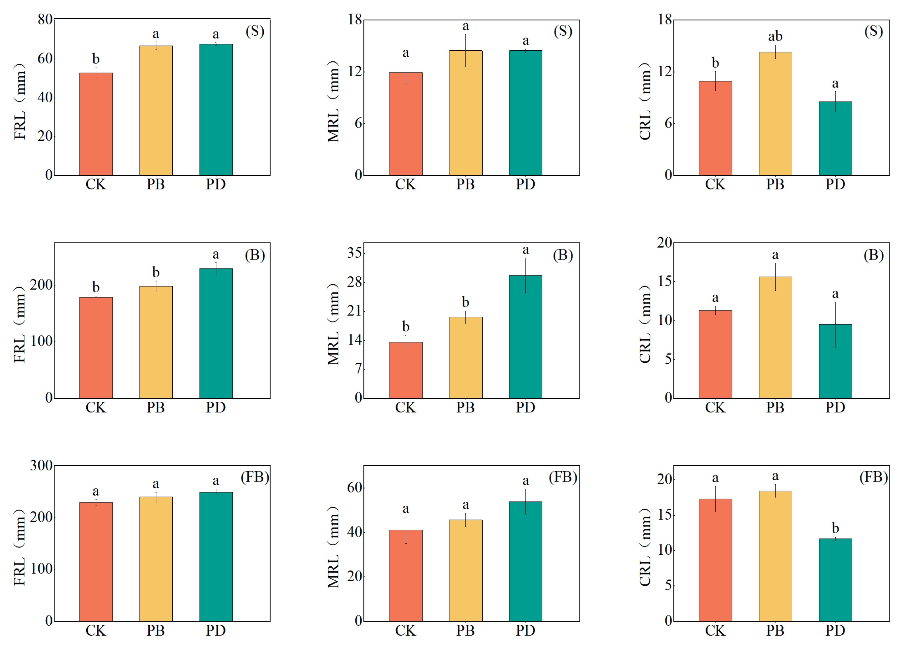
Phosphorus application methods significantly influenced fine and medium root length in cotton (Figure 5). Compared to the control, basal application increased fine root length by 26.48% and 25.63% at the seedling and bud stages, respectively, while drip application enhanced fine root length by 28.11% at the seedling stage. At the boll stage, drip application significantly increased medium root length by 15.69%. Compared to basal application, drip application significantly enhanced fine and medium root length by 119.33% and 51.71%, respectively, at the bud stage. During the boll stage, drip application increased fine and medium root length by 4.13~8.86% and 17.91~31.15%, respectively, compared to both the control and basal application treatments.
Figure 5.
Effects of phosphorus application methods on cotton root length across growth stages in 2024. (FRL: Fine root length, MRL: Medium root length, CRL: Coarse root length, CK: Control treatment, PB: Phosphorus fertilizer basal application treatment, PD: Phosphorus fertilizer drip application treatment, S: Seedling stage, B: Bud stage, FB: Flowering and boll stage). Different lowercase letters denote significant differences (p < 0.05) among treatments.
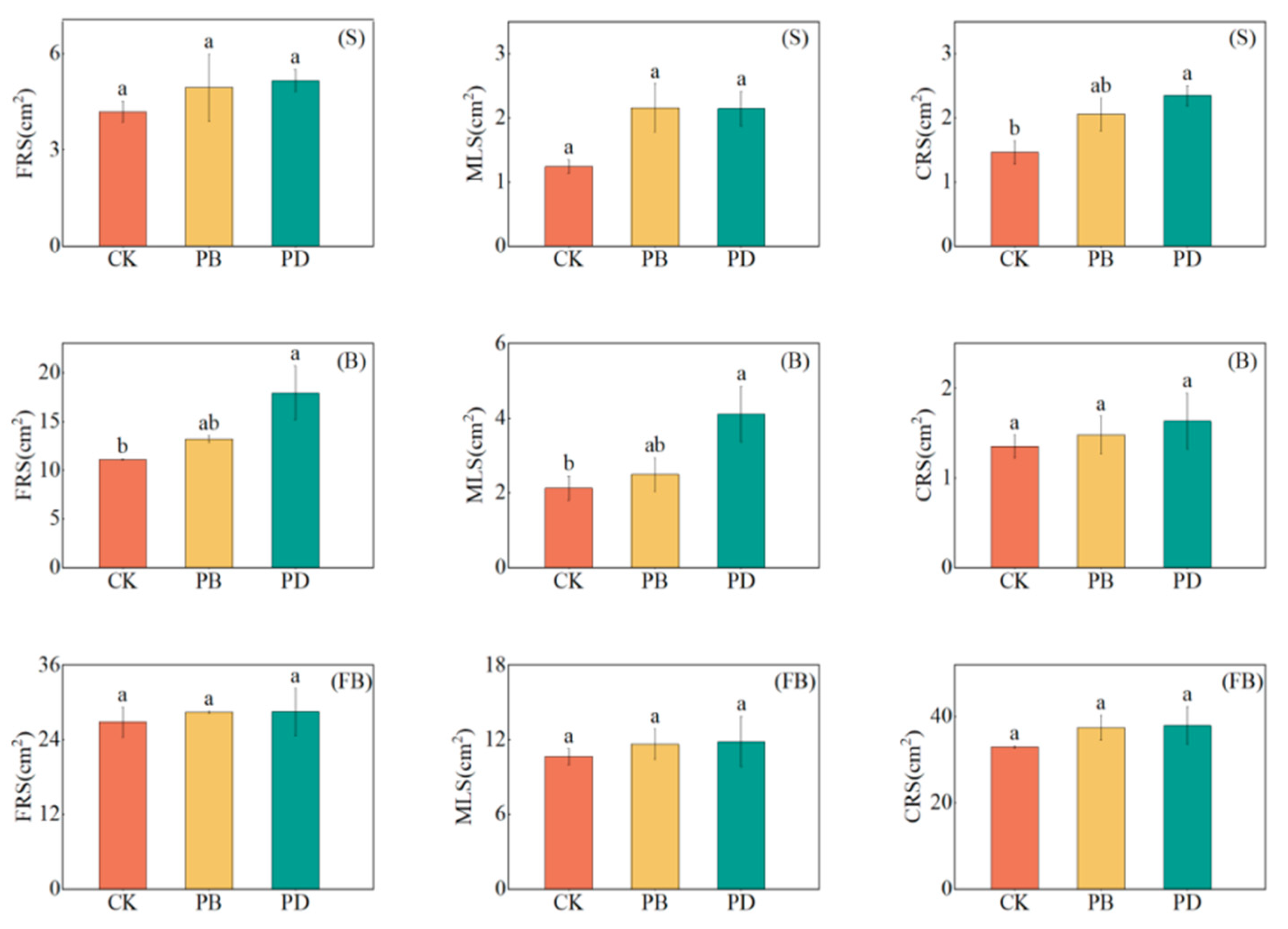
Phosphorus application methods also induced significant differences in fine and medium root surface area in cotton (Figure 6). At the seedling, bud, and boll stages, drip application increased fine root surface area by 23.35%, 61.80%, and 6.29%, respectively, compared to the control, and by 4.64%, 36.02%, and 3.16%, respectively, compared to basal application. At the bud stage, drip application significantly increased the surface area of the medium root by 93.41% compared to the control.
Figure 6.
Effects of phosphorus application methods on cotton root surface area across growth stages in 2024. (FRS: Fine root surface area, MRS: Medium root surface area, CRS: Coarse root surface area, CK: Control treatment, PB: Phosphorus fertilizer basal application treatment, PD: Phosphorus fertilizer drip application treatment, S: Seedling stage, B: Bud stage, FB: Flowering and boll stage). Different lowercase letters denote significant differences (p < 0.05) among treatments.
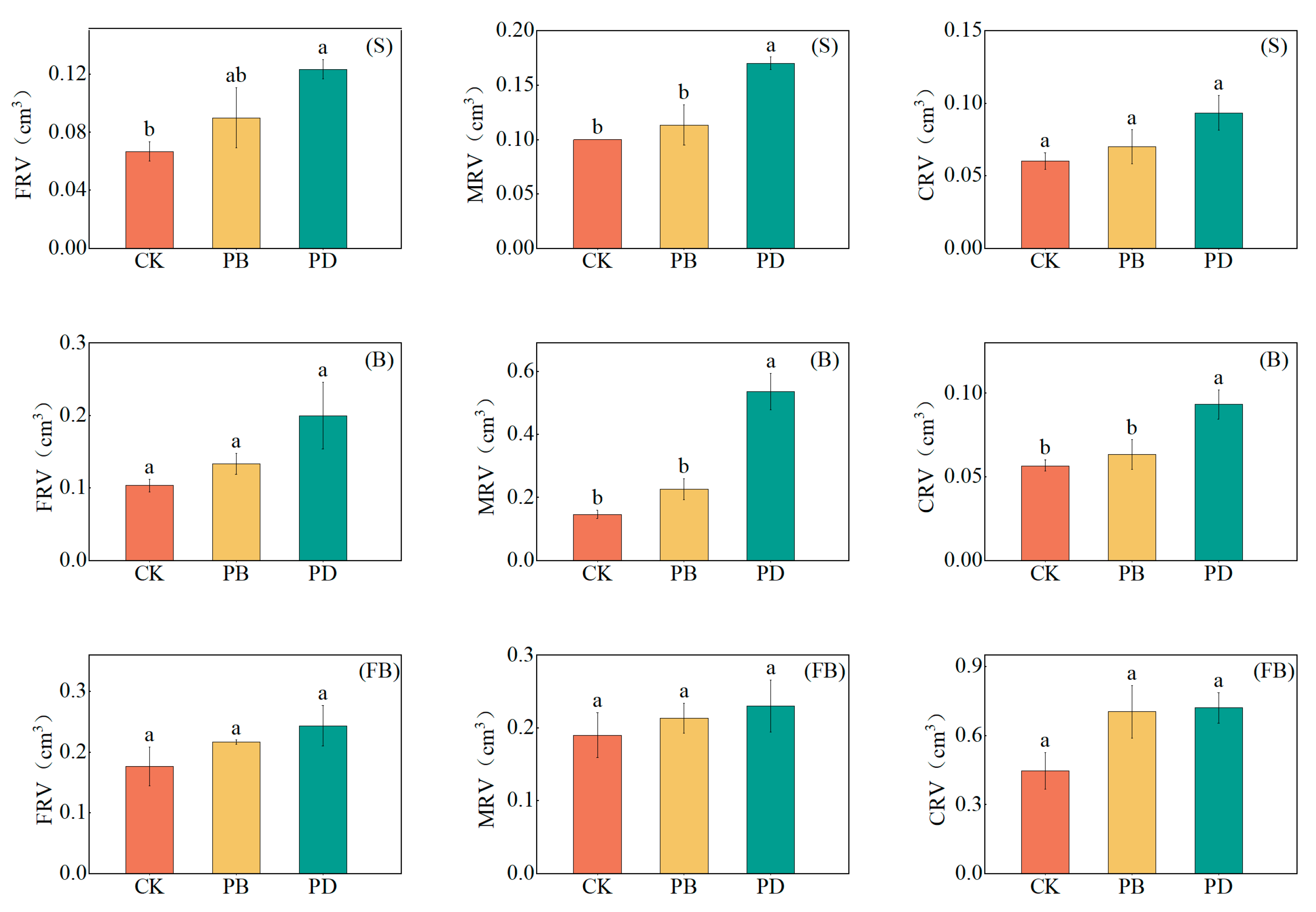
The P application method significantly influenced the volume of fine and medium roots in cotton (Figure 7). Compared to the control, drip P fertilization led to a significant increase in fine root volume by 84.85% at the seedling stage. Additionally, compared to the control, drip P fertilization significantly increased in middle root volume by 70.00% at the seedling stage and 265.84% at the bud stage.
Figure 7.
Effects of phosphorus application methods on cotton root volume across growth stages in 2024. (FRV: Fine root volume, MRV: Medium root volume, CRV: Coarse root volume, CK: Control treatment, PB: Phosphorus fertilizer basal application treatment, PD: Phosphorus fertilizer drip application treatment, S: Seedling stage, B: Bud stage, FB: Flowering and boll stage). Different lowercase letters denote significant differences (p < 0.05) among treatments.
3.5. Correlations Between Total Root Morphological Parameters, P Accumulation, and Yield
Principal Component 1 (PC1) and Principal Component 2 (PC2) explained 56.97% and 22.1% of the total data variation, respectively, collectively accounting for 79.07% of the variation. This effectively captured the differences in key characteristic variables across treatments (Figure 8). The primary contributing variables of PC1 included coarse root length (CRL), total root length (TRL), root surface area (RSA), and specific root length (SRL), indicating significant differences in these variables among treatments, particularly with greater contributions to the PB group. The main contributing variables of PC2 were P absorption efficiency (PAE), fine root length (FRL), and yield, suggesting these variables dominated in the PD group.
Figure 8.
Correlation diagram of root morphology with phosphorus uptake and yield.(* : p < 0.05, indicates significant correlation, ** : p < 0.01, indicates highly significant correlation, *** : p < 0.001, indicates extremely significant correlation.)
From the sample grouping perspective, the PB group (yellow) samples were distributed farther along the PC1 axis, indicating their prominent performance in root length-related variables (CRL and TRL). The PD group (green) showed significant distribution along the PC2 axis, reflecting their advantages in P absorption and yield. In contrast, the CK group (orange) samples showed tight clustering in the negative PC1 region, characterized by lower root average diameter (RD) and root dry weight (RDM).
Phosphorus use efficiency was extremely significantly correlated with fine root length, total root length, root surface area, root volume, and root dry weight (p < 0.001, Figure 8); it was significantly positively correlated with medium root length (p < 0.05). Crop yield was extremely significantly positively correlated with fine root length and total root length (p < 0.001); it was significantly positively correlated with medium root length, root volume, and root diameter (p < 0.05).
4. Discussion
4.1. Soil Phosphorus Status, Phosphorus Uptake, and Use Efficiency
Phosphorus (P), an essential nutrient [44], widespread use of conventional chemical P fertilizers has increased soil availability of P in cotton fields, but it has also raised concerns about soil P accumulation and subsequent environmental losses. Drip application of P fertilizer (PD) has been shown to enhance soil P (AP) content [45,46]. In this study, significant variations in 0–20 cm soils’ AP content were observed among treatments during the cotton growing season. Aligning with previous findings, PD significantly increased AP levels compared to both no-P (CK) and broadcast-applied P treatments [47,48]. This underscores the pivotal role of P application methods in regulating soil P availability. Drip fertigation improves AP by reducing soil fixation and enhancing P mobility in the soil solution [49,50]. Notably, previous studies in maize have documented a decline in available phosphorus levels in both 0–20 cm and 20–40 cm soil layers during the second year, which was attributed to enhanced crop P uptake efficiency under consecutive fertilization [51]. These results indicate that split P application via drip irrigation optimizes P supply intensity, synchronizing soil P availability with crop demand during critical growth stages.
Phosphorus fertilizer significantly improves P use efficiency in cotton. The allocation of absorbed P to different plant organs plays a crucial role in cotton growth and development [52,53]. This study showed that the cumulative P absorption generally increased with advancing growth stages, consistent with prior findings that the peak P uptake intensity occurs during the flowering and boll-forming stage, accounting for 50–56% of the total P absorption over the entire growth period [54]. A two-year consecutive experiment revealed that the drip application of P fertilizer increased phosphorus accumulation in all cotton organs compared to basal application, with P fertilizer utilization efficiency increasing by 22.09–29.05% [55].
4.2. Cotton Dry Matter Accumulation and Distribution and Yield
Dry matter accumulation and partitioning constitute the material foundation for crop yield [45]. Sustained dry matter production and its efficient allocation to reproductive organs are both essential for realizing yield potential [56]. The results of this study showed that under drip irrigation of phosphorus fertilizer, the biomass of reproductive organs and roots was significantly higher than that under the control (CK) treatment and basal P application (by 65.55%, 61.44%, 17.08%, and 21.69%, respectively). In 2024, root biomass under P fertigation was 11.20–36.42% higher than both control and basal treatments. These results align with previous findings by Wang et al. [57]. Demonstrating that P application methods influence dry matter allocation, particularly the partitioning of nutrients between vegetative and reproductive organs. The primary reason for this phenomenon was that P fertilization might increase P content in leaves and other plant parts, thereby influencing nutrient uptake and establishing an improved source-sink relationship. A balanced source-sink system supports robust plant development and ultimately boosts yield [58]. Compared with the no-P treatment, basal P application and fertigation increased cotton yield by 19.12% and 30.41%, respectively.
4.3. Root Morphological Parameters Distribution
Crop roots’ P uptake capacity largely depends on root mass and surface area [59,60,61]. Root morphological traits influence water and nutrient absorption, transport, and utilization in plants [58]. Previous studies have shown that integrated water-fertilizer management promotes root development, increases root length, and enhances plant P uptake [62,63], consistent with the findings of this study. Drip P application demonstrated superior root length compared to other treatments, expanding the root-soil contact area between. At the bud stage, basal P application significantly increased root surface area volume by 53.33% compared to the CK treatment, while drip P application significantly improved root surface area and volume by 39.25% and 47.82%, respectively. Under drip irrigation, root distribution in the soil became more optimized, exhibiting higher plasticity [64,65]. Among different P application methods, drip P application improved root morphology during critical cotton growth stages, showcasing better root morphological parameters (root length density) and more effectively satisfying plant P demands.
4.4. Correlations Between Total Root Morphological Parameters and P Accumulation
Crop P uptake influences soil P distribution, thereby shaping root growth and development [38]. Root length, surface area, and spatial distribution govern soil exploration and nutrient interception, making a well-developed root critical for improving P accumulation [66]. Previous research indicates that the P acquisition efficiency (PAE)—particularly the ability to mobilize P from unavailable soil pools—is linked to root traits [67]. In this study, drip P application significantly improved cotton root growth parameters compared to the control, including RL (FRL and MRL), RV, and RS. Furthermore, PAE showed the strongest correlation with FRL, RSA, RV, and RDM; PD treatment significantly increased RS (by 67.19% and 39.21%), RV (by 79.98–124.38% and 42.68–47.56%), FRL (by 28.45% and 15.69%), and MRV (by 70.00% and 54.54%). The strong positive correlations between PAE and FRL, RSA, RV, and root dry mass (RDM) [68] highlight how optimized root morphology under drip fertigation directly enhances P accumulation [65,69]. Exhibiting a highly significant positive relationship, indicating that root parameters play an important role in improving P fertilizer use efficiency to some extent [67]. We also found that, compared to basal P application, drip P application enhanced all root parameters. likely because integrated water-P fertilization migrates nutrients to the root zone, optimizing root architecture and facilitating P uptake [65]. By synchronizing water and P delivery to the root development, drip irrigation achieves spatiotemporal alignment of nutrient supply and demand, thereby boosting both P uptake efficiency and yield potential [69].
5. Conclusions
Our study demonstrates that under the same fertilizer input, rational integration of fertilization and irrigation strategies can promote P uptake, enhance dry matter accumulation and distribution, optimize root morphology, and increase cotton yield during the 2023–2024 growing season. Specifically, drip-applied phosphorus fertilizer outperformed basal application and control treatments in phosphorus absorption by vegetative and reproductive organs, achieving peak phosphorus use efficiency (29.05%). Soil P availability increased with the growth period, with higher P content in the 0–20 cm layer than in the 20–40 cm layer. Compared to other treatments, drip P application promoted root distribution in the soil, significantly increasing FRL, RL, and RV. Thereby better meeting cotton’s demand and boosting yield. Considering both cotton yield and P use efficiency, drip-applied phosphorus fertilizer is the optimal fertilization strategy in Northwest China, effectively increasing cotton yield, which is of great significance for guiding rational fertilization.
Author Contributions
Conceptualization, Y.W. and B.C., methodology, Y.W., J.Z. and L.Z., software, Y.W. and X.W., validation, J.Z. and X.W., formal analysis, Y.W. and L.Z., investigation, Y.W. and J.Z., resources, B.C., data curation, Y.W. and L.Z., writing-original draft preparation, Y.W.; writing-review and editing, Y.W. and B.C., funding acquisition, B.C. All authors have read and agreed to the published version of the manuscript.
Funding
This work was supported by the Project for Young Top-Notch Talents in Science and Technology of Xinjiang Uygur Autonomous Region (Grant No. 2022TSYCCX0085), the Science Foundation for Outstanding Young Scholars of Xinjiang Uygur Autonomous Region (Grant No. 2024D01E06), the National Natural Science Foundation of China (Grant No. 32360793 and 31960629), the Key Research and Development Project in Xinjiang Uygur Autonomous Region (Grant No. 2022B02033-1), and Special Topics of Major Science and Technology in Xinjiang Uygur Autonomous Region (Grant No. 2022A02007-2). We thank David for editing the English text of a draft of this manuscript.
Data Availability Statement
The original contributions presented in this study are included in the article. Further inquiries can be directed to the corresponding author.
Acknowledgments
We appreciate and thank the anonymous reviewers for helpful comments that led to an overall improvement of the manuscript.
Conflicts of Interest
The authors declare that they have no known competing financial interests or personal relationships that could have appeared to influence the work reported in this paper.
References
- Zhao, F.; Zhang, Y.; Dijkstra, F.A.; Li, Z.; Zhang, Y.; Zhang, T.; Yang, L. Effects of amendments on phosphor-ous status in soils with different phosphorous levels. Catena 2019, 172, 97–103. [Google Scholar] [CrossRef]
- Iqbal, B.; Kong, F.; Ullah, I.; Ali, S.; Li, H.; Wang, J.; Khattak, W.A.; Zhou, Z. Phosphorus application improves the cotton yield by enhancing reproductive organ biomass and nutrient accumulation in two cotton cultivars with different phosphorus sensitivity. Agronomy 2020, 10, 153. [Google Scholar] [CrossRef]
- Liu, X.; Sheng, H.; Jiang, S.; Yuan, Z.; Zhang, C.; Elser, J.J. Intensification of phosphorus cycling in China since the 1600s. Proc. Natl. Acad. Sci. USA 2016, 113, 2609–2614. [Google Scholar] [CrossRef] [PubMed]
- Liu, X.; Vitousek, P.; Chang, Y.; Zhang, W.; Matson, P.; Zhang, F. Evidence for a historic change occurring in China. Environ. Sci. Technol. 2016, 50, 505–506. [Google Scholar] [CrossRef] [PubMed]
- Feng, G.; Gai, J.; Feng, X.; Li, H.; Zhang, L.; Yi, K.; Li, Y. Strategies for improving fertilizer phosphorus use efficiency in Chinese cropping systems. Front. Agric. Sci. Eng. 2019, 6, 341. [Google Scholar] [CrossRef]
- Sattari, S.Z.; Bouwman, A.F.; Giller, K.E.; van Ittersum, M.K. Residual soil phosphorus as the missing piece in the global phosphorus crisis puzzle. Proc. Natl. Acad. Sci. USA 2012, 109, 6348–6353. [Google Scholar] [CrossRef]
- Xu, M.; Gao, P.; Yang, Z.; Su, L.; Wu, J.; Yang, G.; Xiao, Y. Biochar impacts on phosphorus cycling in rice ecosystem. Chemosphere 2019, 225, 311–319. [Google Scholar] [CrossRef]
- Mogollón, J.M.; Beusen, A.H.W.; Van Grinsven, H.J.M.; Westhoek, H.; Bouwman, A.F. Future agricultural phosphorus demand according to the shared socioeconomic pathways. Glob. Environ. Change 2018, 50, 149–163. [Google Scholar] [CrossRef]
- Andrews, S.S.; Karlen, D.L.; Cambardella, C.A. The soil management assessment framework: A quantitative soil quality evaluation method. Soil Sci. Soc. Am. J. 2004, 68, 1945–1962. [Google Scholar] [CrossRef]
- Hopkins, B.G.; Hansen, N.C. Phosphorus management in high-yield systems. J. Environ. Qual. 2019, 48, 1265–1280. [Google Scholar] [CrossRef]
- Nkebiwe, P.M.; Weinmann, M.; Bar-Tal, A.; Müller, T. Fertilizer placement to improve crop nutrient acqui-sition and yield: A review and meta-analysis. Field Crops Res. 2016, 196, 389–401. [Google Scholar] [CrossRef]
- Van Vuuren, D.P.; Bouwman, A.F.; Beusen, A.H.W. Phosphorus demand for the 1970–2100 period: A sce-nario analysis of resource depletion. Glob. Environ. Change 2010, 20, 428–439. [Google Scholar] [CrossRef]
- Cabugao, K.G.; Timm, C.M.; Carrell, A.A.; Joanne, C.; Lu, T.S.; Pelletier, D.A.; Weston, D.J.; Norby, R.J. Root and rhizosphere bacterial phosphatase activity varies with tree species and soil phosphorus availability in Puerto Rico tropical forest. Front. Plant Sci. 2017, 8, 1834. [Google Scholar] [CrossRef]
- Yan, F.; Zhang, F.; Fan, X.; Fan, J.; Wang, Y.; Zou, H.; Wang, H.; Li, G. Determining irrigation amount and fertilization rate to simultaneously optimize grain yield, grain nitrogen accumulation and economic benefit of drip-fertigated spring maize in northwest China. Agric. Water Manag. 2021, 243, 106440. [Google Scholar] [CrossRef]
- Zou, H.; Fan, J.; Zhang, F.; Xiang, Y.; Wu, L.; Yan, S. Optimization of drip irrigation and fertilization regimes for high grain yield, crop water productivity and economic benefits of spring maize in Northwest China. Agric. Water Manag. 2020, 230, 105986. [Google Scholar] [CrossRef]
- Lenka, S.; Singh, A.K.; Lenka, N.K. Soil water and nitrogen interaction effect on residual soil nitrate and crop nitrogen recovery under maize–wheat cropping system in the semi-arid region of northern India. Agric. Ecosyst. Environ. 2013, 179, 108–115. [Google Scholar] [CrossRef]
- Li, Q.; Bian, C.; Liu, X.; Ma, C.; Liu, Q. Winter wheat grain yield and water use efficiency in wide-precision planting pattern under deficit irrigation in North China Plain. Agric. Water Manag. 2015, 153, 71–76. [Google Scholar] [CrossRef]
- Du, Y.; Cui, B.; Zhang, Q.; Wang, Z.; Sun, J.; Niu, W. Effects of manure fertilizer on crop yield and soil pro-perties in China: A meta-analysis. Catena 2020, 193, 104617. [Google Scholar] [CrossRef]
- Ma, Q.; Sun, L.; Tian, H.; Rengel, Z.; Shen, J. Deep banding of phosphorus and nitrogen enhances Rosa multiflora growth and nutrient accumulation by improving root spatial distribution. Sci. Hortic. 2021, 277, 109800. [Google Scholar] [CrossRef]
- De Bauw, P.; Vandamme, E.; Senthilkumar, K.; Lupembe, A.; Smolders, E.; Merckx, R. Combining phosphorus placement and water saving technologies enhances rice production in phosphorus-deficient lowlands. Field Crops Res. 2019, 236, 177–189. [Google Scholar] [CrossRef]
- Wu, P.; Liu, F.; Li, H.; Cai, T.; Zhang, P.; Jia, Z. Suitable fertilizer application depth can increase nitrogen use efficiency and maize yield by reducing gaseous nitrogen losses. Sci. Total Environ. 2021, 781, 146787. [Google Scholar] [CrossRef]
- Wang, T.Y.; Wang, Z.H.; Zhang, J.Z.; Ma, K. An optimum combination of irrigation amount, irrigation water salinity and nitrogen application rate can improve cotton (for fiber) nitrogen uptake and final yield. Ind. Crops Prod. 2022, 187, 115386. [Google Scholar] [CrossRef]
- Chen, Z.; Tao, X.; Khan, A.; Tan, D.K.; Luo, H. Biomass accumulation, photosynthetic traits and root development of cotton as affected by irrigation and nitrogen-fertilization. Front. Plant Sci. 2018, 9, 173. [Google Scholar] [CrossRef]
- Zhu, B.; Gutknecht, J.; Herman Herman, D.; Keck, D.C.; Firestone, M.K.; Cheng, W.X. Rhizosphere priming effects on soil carbon and nitrogen mineralization. Soil Biol. Biochem. 2014, 76, 183–192. [Google Scholar] [CrossRef]
- Liu, D. Root developmental responses to phosphorus nutrition. J. Integr. Plant Biol. 2021, 63, 1065–1090. [Google Scholar] [CrossRef]
- Tian, Z.; Fan, Y.; Yin, M.; Wang, F.; Cai, J.; Jiang, D.; Dai, T. Genetic Improvement of Root Growth and Its Relationship with Grain Yield of Wheat Cultivars in the Middle-Lower Yangtze River. Acta Agron. Sin. 2015, 41, 613–622. [Google Scholar] [CrossRef]
- Zhu, Y.; Sun, L.; Luo, Q.; Chen, H.; Yang, Y. Spatial optimization of cotton cultivation in Xinjiang: A climate change perspective. Int. J. Appl. Earth Obs. Geoinf. 2023, 124, 103523. [Google Scholar] [CrossRef]
- Braunack, M.V.; Johnston, D.B.; Price, J.; Gauthier, E.J.F.C.R. Soil temperatureand soil water potential under thin oxodegradable plastie film impact on cottoncrop establishment and yield. Field Crops Res. 2015, 184, 91–103. [Google Scholar] [CrossRef]
- Dai, Z.; Fei, L.; Huang, D.; Zeng, J.; Chen, L.; Cai, Y. Coupling efects of irrigation andnitrogen levels on yield, water and nitrogen use efficiency ofsurge root irigated jujube in a semiarid region. Agric. Water Manag. 2019, 213, 146–154. [Google Scholar] [CrossRef]
- Zhang, S.; Hu, T.; Chen, S.; Ye, R.; Chen, J.; Geng, C. Responses of rootphysiology and yield of apple tree to water and nitrogen amountsunder drip fertigation. J. Plant Growth Regul. 2023, 42, 2787–2799. [Google Scholar] [CrossRef]
- Chen, S.; Zhang, S.; Hu, T.; Li, H.; Sun, J.; Sun, G.; Liu, J. Responses of soil reactivenitrogen pools and enzyme activities to water and nitrogen levels andtheir relationship with apple yield and quality under drip fertigation. Sci. Hortic. 2024, 324, 112632. [Google Scholar] [CrossRef]
- Constable, G.A.; Bange, M.P. The yield potential of cotton (Gossypium hirsutum L.). Field Crops Res. 2015, 182, 98–106. [Google Scholar] [CrossRef]
- Wang, X.X.; Liu, S.; Zhang, S.; Li, H.; Maimaitiaili, B.; Feng, G.; Rengel, Z. Localized ammonium and phosphorus fertilization can improve cotton lint yield by decreasing rhizosphere soil pH and salinity. Field Crops Res. 2018, 217, 75–81. [Google Scholar] [CrossRef]
- Poorter, H.; Bihler, J.; Van Dusschoten, D.; Climent, J.; Postma, J.A. Pot size matters: A meta-analysis of the effects of rooting volume on plant growth. Funct. Plant Biol. 2012, 39, 839–850. [Google Scholar] [CrossRef] [PubMed]
- Kuchenbuch, R.O.; Gerke, H.H.; Buczko, U. Spatial distribution of maize roots by complete 3D soil monolith sampling. Plant Soil 2009, 315, 297–314. [Google Scholar] [CrossRef]
- Su, W.; Liu, B.; Liu, X.; Li, X.; Ren, T.; Cong, R.; Lu, J. Effect of depth of fertilizer banded-placement on growth, nutrient uptake and yield of oilseed rape (Brassica napus L.). Eur. J. Agron. 2015, 62, 38–45. [Google Scholar] [CrossRef]
- Fanello, D.D.; Kelly, S.J.; Bartoli, C.G.; Cano, M.G.; Alonso, S.M.; Guiamet, J.J. Plasticity of root growth and respiratory activity: Root responses to above-ground senescence, fruit removal or partial root pruning in soybean. Plant Sci. 2019, 290, 110296. [Google Scholar] [CrossRef]
- Wu, P.; Liu, F.; Wang, J.; Liu, Y.; Gao, Y.; Zhang, X.; Chen, G.; Huang, F.; Ahmad, S.; Zhang, P.; et al. Suitable fertilization depth can improve the water productivity and maize yield by regulating development of the root system. Agric. Water Manag. 2022, 271, 107784. [Google Scholar] [CrossRef]
- Muhammad, T.; Zhou, B.; Liu, Z.; Chen, X.; Li, Y. Effects of phosphorus-fertigationon emitter clogging in drip irrigation system with saline water. Agric. Water Manag. 2021, 243, 106392. [Google Scholar] [CrossRef]
- Olsen, S.R.; Cole, C.V.; Watanabe, F.S.; Dean, L.A. Estimation of available phosphorus in soils by extraction with NaHCO3. In United States Department of Agriculture Circular No. 939; US Government Printing Office: Washington DC, WA, USA, 1954; pp. 1–19. [Google Scholar]
- Chen, B.; Ye, Z.; Tang, X.; Chai, Z.; Ma, Y.; Sheng, J.; Feng, G. A comprehensive evaluation of the optimum amount of phosphate fertilizer for drip irrigation of cotton under mulch based on root morphology, physiology, and mycorrhizal symbiosis. Soil Tillage Res. 2024, 244, 106276. [Google Scholar] [CrossRef]
- Wang, L.; Wang, X.; Maimaitiaili, B.; Kafle, A.; Khan, K.S.; Feng, G. Breeding practice improves the mycorrhizal responsiveness of cotton (Gossypium spp. L). Front. Plant Sci. 2021, 12, 780454. [Google Scholar] [CrossRef]
- Fageria, N.K.; Baligar, V.C. Enhancing nitrogen useefciency in crop plants. Adv. Agron. 2005, 88, 97–185. [Google Scholar] [CrossRef]
- Lu, D.; Song, H.; Jiang, S.; Chen, X.; Wang, H.; Zhou, J. Managing fertiliser placement locations and source types to improve rice yield and the use efficiency of nitrogen and phosphorus. Field Crops Res. 2019, 231, 10–17. [Google Scholar] [CrossRef]
- Liu, P.; Yan, H.; Xu, S.; Lin, X.; Wang, W.; Wang, D. Moderately deep banding of phosphorus enhanced winter wheat yield by improving phosphorus availability, root spatial distribution, and growth. Soil Tillage Res. 2022, 220, 105388. [Google Scholar] [CrossRef]
- Qu, Z.; Chen, Q.; Deng, H.; Wang, Q.; Yao, S.; Chen, Q.; Dong, H.; Liu, Y.; Feng, H.; Li, C. Controlled-release phosphate fertilizer improves soil fertility and soybean productivity by regulating soil microbial diversity and composition and increasing enzyme activities. Field Crops Res. 2025, 325, 109836. [Google Scholar] [CrossRef]
- Gao, Y.J.; Kang, L.F.; Chu, G.X. Polymerization degree and rate of polyphosphate fertilizer affected the availability of phosphorus, Fe, Mn and Zn in calcareous soil. J. Plant Nutr. Fertil. 2018, 24, 1294–1302. [Google Scholar] [CrossRef]
- Kang, L.; Zhang, G.; Chu, G. Split delivering phosphorus via fertigation to a calcareous soil increased P availability and maize yield (Zea mays L.) by reducing P fixation. J. Soils Sediments 2021, 21, 2287–2300. [Google Scholar] [CrossRef]
- Lombi, E.; McLaughlin, M.J.; Johnston, C.; Armstrong, R.D.; Holloway, R.E. Mobility, solubility and lability of fluid and granular forms of P fertilizer in calcareous and non-calcareous soils under laboratory conditions. Plant Soil 2004, 269, 25–34. [Google Scholar] [CrossRef]
- Bertrand, I.; McLaughlin, M.J.; Holloway, R.E.; Armstrong, R.D.; McBeath, T. Changes in P bioavailabili-ty induced by the application on the liquid and powder sources of P, N and Zn fertilizers in alkaline soils. Nutr. Cycl. Agroecosystems 2006, 74, 27–40. [Google Scholar] [CrossRef]
- Torres-Dorante, L.O.; Claassen, N.; Steingrobe, B.; Olfs, H.W. Fertilizer-use efficiency of different inorga-nic polyphosphate sources: Effects on soil P availability and plant P acquisition during early growth of cor-n. J. Plant Nutr. Soil Sci. 2006, 169, 509–515. [Google Scholar] [CrossRef]
- Ben-Gal, A.; Dudley, L.M. Phosphorus availability under continuous point source irrigation. Soil Sci. Soc. Am. J. 2003, 67, 1449–1456. [Google Scholar] [CrossRef]
- Wang, Z.; Li, J.; Hao, F.; Li, Y. Effects of phophorus fertigation and lateral depths on distribution of Olsen-P in soil and yield of maize under subsurface drip irrigation. In 2017 ASABE Annual International Me-Eting; American Society of Agricultural and Biological Engineers: St Joseph, MI, USA, 2017; p. 1. [Google Scholar] [CrossRef]
- Dorahy, C.G.; Rochester, I.J.; Blair, G.J. Response of Field-grown Cotton (Gossypium hirsutum L.) to phosphorus fertilisation on alkaline soils in eastern Australia. Aust. J. Soil Res. 2004, 42, 913–920. [Google Scholar] [CrossRef]
- He, Z.; Dang, X.; Lin, X.; Ma, F.; Liu, Y. Integrated deep banding and fertigation of phosphorus improves cotton yield by regulating root spatial distribution and growth. Field Crops Res. 2024, 318, 109604. [Google Scholar] [CrossRef]
- Wang, J.X.; Wang, H.W.; Jiang, W.Y.; Zhao, B.; Man, Y.P.; Zhang, K.Y. Effects of different planting patterns on dry matter accumulation, distribution and yield of maize. Maize Sci. 2021, 29, 128–136. [Google Scholar] [CrossRef]
- Wang, C.; Lv, J.; Coulter, J.A.; Xie, J.; Yu, J.; Li, J.; Zhang, J.; Tang, C.; Niu, T.; Gan, Y. Slow-release fertilizer improves the growth, quality, and nutrient utilization of wintering Chinese chives (Allium-tuberosum Rottler ex Spreng.). Agronomy 2020, 10, 381. [Google Scholar] [CrossRef]
- Du, S.P.; Ma, Z.M.; Xue, L. Effects of different kinds of organic fertilizer on fruit yield, quality and nutrient uptake of watermelon in gravel-mulched field. Ying Yong Sheng Tai Xue Bao = J. Appl. Ecol. 2019, 30, 1269–1277. [Google Scholar] [CrossRef]
- Ma, X.; Liu, Y.; Shen, W.; Kuzyakov, Y. Phosphatase activity and acidification in lupine and maize- rhizosphere depend on phosphorus availability and root properties: Coupling zymography with planar-optodes. Appl. Soil Ecol. 2021, 167, 104029. [Google Scholar] [CrossRef]
- Zhang, P.; Wang, Y.; Sheng, D.; Zhang, S.; Gu, S.; Yan, Y.; Huang, S. Optimizing root system architecture to improve root anchorage strength and nitrogen absorption capacity under high plant density in maize. Field Crops Res. 2023, 303, 109109. [Google Scholar] [CrossRef]
- Zhong, Y.; Wang, X.; Yang, J.; Zhao, X. Tracing the fate of nitrogen with 15N isotope considering suitable fertilizer rate related to yield and environment impacts in paddy field. Paddy Water Environ. 2017, 15, 943–949. [Google Scholar] [CrossRef]
- Chen, Z.; Khan, A.; Shi, X.; Hao, X.; Tan, D.K.Y.; Luo, H. Water-nutrient management enhances root morphophysiological functioning, phosphorus absorption, transportation and utilization of cotton in arid region. Ind. Crops Prod. 2020, 143, 111975. [Google Scholar] [CrossRef]
- Wang, H.; Wu, L.; Wang, X.; Zhang, S.; Cheng, M.; Feng, H.; Xiang, Y. Optimization of water and fertilizer management improves yield, water, nitrogen, phosphorus and potassium uptake and use efficiency of cotton under drip fertigation. Agric. Water Manag. 2021, 245, 106662. [Google Scholar] [CrossRef]
- Chen, W.; Jin, M.; Ferré, T.P.; Liu, Y.; Huang, J.; Xian, Y. Soil conditions affect cotton root distribution and cotton yield under mulched drip irrigation. Field Crops Res. 2020, 249, 107743. [Google Scholar] [CrossRef]
- Chen, X.; Ren, H.; Zhang, J.; Zhao, B.; Ren, B.; Wan, Y.; Liu, P. Deep phosphorus fertilizer placement increases maize productivity by improving root-shoot coordination and photosynthetic performance. Soil Tillage Res. 2024, 235, 105915. [Google Scholar] [CrossRef]
- Ma, Q.; Chen, L.; Du, M.; Zhang, Y.; Zhang, Y. Localized and moderate phosphorus application improves plant growth and phosphorus accumulation in Rosa multiflora thunb. ex murr. via efficient root system development. Forests 2020, 11, 570. [Google Scholar] [CrossRef]
- Campos, P.; Borie, F.; Cornejo, P.; López-Ráez, J.A.; López-García, Á.; Seguel, A. Phosphorus acquisition efficiency related to root traits: Is mycorrhizal symbiosis a key factor to wheat and barley cropping? Front. Plant Sci. 2018, 9, 752. [Google Scholar] [CrossRef]
- Han, M.; Chen, Y.; Li, R.; Yu, M.; Fu, L.; Li, S.; Su, J.; Zhu, B. Root phosphatase activity aligns with the collaboration gradient of the root economics space. New Phytol. 2021, 234, 837–849. [Google Scholar] [CrossRef]
- Liu, C.; Yan, H.; Wang, W.; Han, R.; Li, Z.; Lin, X.; Wang, D. Layered application of phosphate fertilizer increased winter wheat yield by promoting root proliferation and phosphorus accumulation. Soil Tillage Res. 2023, 225, 105546. [Google Scholar] [CrossRef]
Disclaimer/Publisher’s Note: The statements, opinions and data contained in all publications are solely those of the individual author(s) and contributor(s) and not of MDPI and/or the editor(s). MDPI and/or the editor(s) disclaim responsibility for any injury to people or property resulting from any ideas, methods, instructions or products referred to in the content. |
© 2025 by the authors. Licensee MDPI, Basel, Switzerland. This article is an open access article distributed under the terms and conditions of the Creative Commons Attribution (CC BY) license (https://creativecommons.org/licenses/by/4.0/).







