Abstract
Row crops represent the most important crops in terms of global cultivated area. Such crops include soybean, corn, wheat, rice, rapeseed, sunflower, and cotton. Row crops agriculture is generally an intensive system of farming used to obtain high yields by employing elevated quantities of organic and mineral fertilizers. Considering this, and the decrease in area of arable land, it becomes crucial to ensure high yield and quality using alternative strategies, such as the use of plant biostimulants. These compounds are increasingly recognized as sustainable solution to optimize nutrient uptake, crop yield, quality, and tolerance to abiotic stresses. In this work, by means of high-throughput plant phenotyping, we evaluated the effectiveness of a set of three new foliar biostimulant prototypes (coded as 52096, 52097, 52113) applied on corn and soybean at application rates 2.5 and 5 mL/L (corresponding to 1 and 2 L/ha respectively). This allowed us to select the most effective prototype (52097, commercial name “YieldOn®”) in increasing digital biovolume (DB) and greener area (GGA) either in soybean (both application rates) or corn (rate 5 mL/L) and decreasing Stress Index (SI) in soybean (both application rates). Molecular mechanism of action of selected prototype 52097 was subsequently characterized through Next Generation Sequencing (NGS). In corn, genes involved in hormone (cytokinin and auxin) metabolism/catabolism, maltose biosynthesis, sugar transport and phloem loading were upregulated after application of prototype 52097. In soybean, genes involved in nitrogen metabolism, metal ion transport (mainly zinc and iron), sulfate reduction, and amino acid biosynthesis were induced. The proposed approach supports the integration of multiple omics to open new perspectives in the discovery, evaluation, and development of innovative and sustainable solutions to meet the increasing needs of row-crops agriculture.
1. Introduction
The increase in global population and the uncertainty produced by climate change represent big challenges for current and future agriculture [1,2]. Agricultural activity should ensure crop production systems that can tolerate increasingly adverse environmental conditions, such as drought, flooding, and other stressful events. At the same time, it should provide adequate yields to guarantee an economic return for farmers, and high-quality produce to satisfy the demands of consumers [3]. With a decreasing acreage of arable land and the limits of genetic potential of primary crops, to reach such objective it becomes necessary to increase crop yield, producing “more with less” [4,5,6] and to avoid overexploitation of natural resources, such as soil and water [7]. According to this, many research projects are supporting to design energy-efficient and eco-friendly cultivation systems, which are less dependent on the use of external inputs (e.g., fertilizers) [8,9].
To achieve these goals, the use of plant biostimulants (PBS) appears to be one of the most promising strategies [10]. According to the European Biostimulant Industry Council (EBIC, 2019) [11], plant biostimulants “contain substance(s) and/or microorganisms, whose function when applied to plants or the rhizosphere is to stimulate natural processes to enhance/benefit nutrient uptake, nutrient efficiency, tolerance to abiotic stress, and crop quality”. The PBS formulations are generally proprietary compositions based on micro and macro-algae, plant extracts, hormone-like compounds, complex organic materials, amino acids or humic acids. Extensive reviews have recently discussed the discovery and the characterization of the activity of PBS derived from seaweeds, especially Ascophyllum nodosum [12,13,14,15,16,17]. In addition, several studies on the beneficial effects of natural PBS on plant growth, production and fruit quality in various crops have been recently published [18,19,20,21]. Physiological aspects in relation to the supply of PBS, like increased root and shoot growth, tolerance to abiotic stress, plant water uptake, and reduction of transplant shock, have also been reported [22,23,24,25,26]. Moreover, application of specific PBS may reduce fertilizer use and nutrient solution concentrations in hydroponic systems [27]. The development of PBS can therefore be used for the modulation of some plant physiological processes such as growth stimulation, stress mitigation, leading to increase yield and nutritional value of edible organs [16,17,18,28].
Considering the row crops sector, effective PBS are needed. Row/industrial crops such as soybean, corn, wheat, rice, rapeseed, sunflower, and cotton represent the most important crops in terms of global cultivated area [29]. It should be pointed out that row crops agriculture is generally based on an intensive farming system aimed at obtaining high yields by the use of high external inputs including organic and mineral fertilizers [9]. This is inconsistent with a vision of sustainable eco-compatible agricultural activity. Consequently, the use of PBS represents a sustainable strategy to contribute to ensure high yield and quality of product in this sector.
Recently, it was proposed to use transcriptomics together with plant phenomics to screen PBS and characterize their influence on plant physiology including the mechanisms activated by specific formulations [16,24]. Through transcriptomics, it is possible to identify possible modes of action of different substances and in turn predicting their role as biostimulants [30]. In addition to the transcriptomic profiling via microarrays, the novel technology Next Generation Sequencing (NGS) has been recently proposed as a tool to monitor the impact of PBS on the transcriptome of non-model plants, making it feasible to perform genomics in agricultural crops [31,32].
Using phenomics, it is possible to study the effect of PBS on plant biomass accumulation and the performances of the photosynthetic apparatus based on multi-spectrum, high-throughput image analysis to detect morphometric and specific physiological parameters (e.g., “Digital” Biovolume) [33,34]. This represents a step forward compared to “classical” in vitro and in vivo bioassays based on manual determination of simple physiological and morphological traits, evaluating nutrient uptake and growth stimulation through destructive quantification of root and shoot biomass. Such measurements result in a partial evaluation of PBS effects, without giving a real explanation of the mechanisms by which certain PBS exerts their effect(s). Among the different bioassays, the root growth inhibition of cress and the chicory hypocotyl growth are the most frequently used tests [35].
On the other hand, plant phenomics, based on multi-spectrum analysis of reflected or re-emitted light from the plant crown, stem and leaves provides a series of information related to plant structure and function, for example, plant water and nutritional status, pathogen infection, as well as on the plant’s ability to intercept light. The use of high-throughput imaging analysis system allows to successfully integrate the experiments involving many variables, a large number of samples, and multiple comparisons [36]. Moreover, the high-throughput image analysis system is a non-invasive method that has the potential to determine the plant phenotypic response to experimental variable(s) (e.g., abiotic stress conditions), throughout the growing (or part of it) of experimental crops [24,25,37].
Hence, very recent papers showed that the use of a “multi-omics” approach, in particular metabolomics and plant phenotyping, represents an effective tool to examine plant performances under different experimental conditions [24,34]. The application of such integrated approach could offer a better explanation of the mechanism(s) of action of different PBS molecules or compounds on crops. This can be obtained by the identification of several biomarkers of PBS action as reported in Paul et al. (2019b) and Ugena et al. (2018) [34,36].
The aim of this study was the selection and characterization of a novel biostimulant formulation conceived to increase the yield of row crops. To achieve such objective, using a phenomic approach we investigated—on corn and soybean—the effect and physiological mechanism(s) of action of three different foliar biostimulant formulations/prototypes. This allowed the selection of the most effective one, subsequently characterized at transcriptomic level to understand its molecular action. This study, based on the integration of phenomic and genomic tools, opens new perspectives to release effective formulations for row-crops agriculture.
2. Materials and Methods
2.1. Plant Material and Growing Conditions
Experiments were performed on corn (Zea mays L., hybrid P0423, Pioneer) from November to December 2016, and soybean (Glycine max L. Merr.), from May to June 2017.
Plants were grown in a greenhouse under natural light conditions at the Plant Phenomics Platform, ALSIA-Metapontum Agrobios Research Center, Italy (N 40°23′ E 16°47′). Temperatures, humidity (RH%), and radiation (PAR µmol m−2 s−1) are reported in Supplemental Table S1.
Both species were sowed directly into white pots (16 cm diameter, 20 cm height), containing 3.5 L of substrate consisting of a 50:50 mixture of peat and river sand. The day before sowing, 20 units of nitrogen, 40 units of phosphate, and 20 units of potassium oxide were added to the substrate mixture. Both soybean and corn plants were irrigated daily with 100 mL water, for 12 days. Afterwards, water was increased to 200 mL until the end of experiment to ensure an adequate water supply.
Three different biostimulant prototypes based on different combinations of seaweed and plant extracts formulated with selected micronutrients such as Mn, Zn, Mo (prototypes coded as 52096, 52097, 52113; proprietary composition Valagro SpA) were sprayed (using a portable atomizer sprayer) on both species at the third true leaf stage. Two rates were applied: 2.5 (lower dosage) and 5 mL/L (higher dosage) (corresponding to 1 and 2 L/ha respectively) during the experiment on soybean, while 5 mL/L was the unique rate applied during the experiment on corn. Untreated control plants were sprayed with distilled water. The experimental setup was composed by 5 biological replicates (plants) for each experimental condition using a completely randomized experimental design.
For NGS and qRT-PCR analysis, samples were collected just before (t = 0) and after the foliar application of PBS 52097 (5 ml/L) at 8, 24, 48, and 168 h. Both corn and soybean 3 leaves were removed from the plants and immediately submerged in liquid nitrogen. For each experimental condition (treatment and time-point), three biological replicates were collected from different plants at the third fully expanded leaf stage. Each biological replicate consisted of three entire leaves (central position) collected from three individual plants and pooled.
Plants used for sampling leaves were excluded from subsequent imaging acquisition or additional leaf sampling. All samples were collected at around 9:00 a.m.
2.2. Non-Destructive Measurements
The morphological and physiological characterization of the plants was carried out, non-destructively, by plant imaging. Images of plants were acquired, throughout the experiment, with the plant phenotyping platform Scanalyzer 3D (LemnaTec GmbH). Detailed information on the platform is reported in Briglia et al. (2019) [38]. Briefly, it is composed of 2 imaging chambers visible light (RGB) and fluorescence (FLUO), respectively. FLUO images, recorded into the fluorescence imaging chamber, were used to evaluate the photosynthetic performance through the “Stress Index” (see below). For each imaging chamber three images per plant were taken, one from top view of the plant and two from side view (0° and 90°).
2.2.1. Digital Biovolume Assessment
Plant growth was assessed through the digital biovolume (DB) [39] as follow:
where pixel sideview 0°, 90° and top view are the plant pixel areas from all sides and top view images.
2.2.2. Color Classification
During the experiment the resulting RGB images were then analyzed by categorizing the pixels according to their color.
After the color segmentation process, that allow to separate the plant from the background, the RGB images were converted to HSI color space (Hue, Saturation, Intensity) and then the hue histogram was calculated. According to Casadesús et al. (2007) [40] the relative greener area (GGA) of each image was calculated as the sum of frequencies of the histogram classes included in the hue angle ranging from 80° to 180°. The GGA were used to evaluate the health status of the plant via colour classification (e.g., green: healthy and active leaf surface; yellow: degree of the plant senescence) [40].
2.2.3. Stress Index
The performance of photosynthetic system is not constant and depends mainly on the health and stress condition of a plant. When a plant is placed under stress, more fluorescent light of higher energy is released and this change in the pixel distribution can be measured using the fluorescence imaging chamber.
The Stress Index was calculated according to Petrozza et al. (2014) [25] as (Fx − Fy)/(Fx + Fy) where F is the number of pixels in the x, y color classes, under the assumption that any impairments of the photosynthesis result in a change of pixel number at the x and y color class [25].
The x, y color classes were determined experimentally, by examining the hue histogram. Values of photosynthetic Stress Index vary from +1, poor photosynthetic efficiency, to −1, greater photosynthetic efficiency and should be considered only as a relative level when compared to other plants in the same experiment.
2.3. RNA-Seq Analysis
Single samples from leaves from untreated control plants (UTC) and from those treated with PBS 52097 (24 h after application) were used for RNA-sequencing. For each sample, total RNA was isolated using a CTAB-based protocol as described by Chang et al. (1993) [41]. RNA-seq libraries were prepared according to the so-called “dUTP method” to generate mRNA-seq libraries [42,43]. In short, mRNA was purified from 4 μg total RNA using oligo-dT beads, fragmented, and converted to cDNA. Libraries were subsequently made using the Illumina mRNA-Seq Sample Preparation Kit according to the manufacturer’s instructions. An amount of 4 pmol of each library was sequenced by BaseClear B.V. (The Netherlands) using the Illumina HiSeq2500 system, with a read length of 50 nucleotides.
Single-end sequencing reads were filtered using the Illumina Casava pipeline version 1.8.3 and Illumina Chastity filtering. Additional filtering on the remaining reads was performed using the FASTQC quality control tool version 0.10.0. For RNA-seq analysis, sequence reads were mapped (per sample) to the reference using CLC Bio Genomics Workbench software (version 5.1.5). As a reference for corn, the publicly available B73 reference sequence (AGPv3.22, downloaded from the ZmGDB genome browser) consisting of 63,241 sequences was used. For soybean, the Glycine max_275_Wm82.a2.v1 primary transcripts [44], consisting of 88,647 sequences were used as a reference. To determine gene expression levels and differential gene expression, RPKM values (read counts corrected for library size and transcript length) were calculated using the CLC Bio software. Differentially expressed genes (DEGs) were selected by calculating the ratio of the RPKM value of treated samples over the RPKM value of untreated samples. Only genes with at least 50 reads and an RPKM value of over 5 in at least one sample were considered.
To functionally categorize the corn and soybean gene sequences, gene ontology (GO) terms were assigned to each assembled contig using Blast2GO software (version 3.1). GO terms provide a controlled vocabulary to describe the functions of genes across species. Blast2GO is an automated tool for the assignment of GO terms based on sequence similarity [45]. Statistical assessment of GO term enrichment in groups of DEGs were done using Fisher′s Exact Test in combination with false discovery rate (FDR) correction for multiple testing.
2.4. qRT-PCR Analysis
qRT-PCR analysis was performed on single samples collected 8, 24, 48, and 168 h after PBS(s) application. Total RNA was isolated as described above. First-strand cDNA was prepared using 80 ng total RNA and qScript™ cDNA Supermix (Quanta Biosciences). Two and a half μL of 1:5 diluted first-strand cDNA was used as a template in the subsequent PCR, performed on a Bio-Rad CFX using 5 pmol of both primers (sequence of primers reported in Supplemental Table S2) and PerfeCta SYBR Green SuperMix UNG (Quanta Biosciences) in a final volume of 12.5 μL per reaction, according to the manufacturer′s instructions. All transcript levels were normalized using a eukaryotic translation initiation factor gene (corn) or actin gene (soybean) as a control.
2.5. Statistical Analysis of Data
The statistical analysis was performed using R software (3.3.2 version; R foundation for Statistical Computing, Vienna, Austria). Phenotyping results were analyzed using one-way analysis of variance (ANOVA), and the means were compared with Duncan’s New Multiple Range Test (p < 0.05).
3. Results and Discussion
3.1. Phenomic Parameters
3.1.1. Digital Biovolume
Plant development was assessed through the DB which is a morphometric measurement previously employed in high-throughput (HTP) studies to monitor the influence of abiotic stresses, mainly drought, on plant growth [34,38].
The DB of soybean plants was significantly improved after 10 days from the application of each of the three prototypes tested both at lower (2.5 mL/L) and higher (5 ml/L) concentration, in comparison with UTC (Figure 1A,B). However, the most consistent results (higher DB increase) were obtained using formulation 52097 at the lower dosage (2.5 mL/L; Figure 1A) reaching—at the end of experiment—the mean DB value of 49.58 k units (+72% compared to UTC plants). Such improvement in DB was clearly observed after 10 days from prototype application and maintained during time until the end of DB measurements in soybean, which was 26 days after treatment (Figure 1A).
Figure 1.
Mean values ± SE (n = 5) of digital biovolume (DB) measured on (A) soybean plants treated at lower dosage, (B) soybean plants treated at higher dosage, and (C) corn plants treated at higher dosage. Dashed lines and filled black circles (●) identify the untreated control plants (UTC).
Parallel measurements on corn confirmed that the 52097 PBS prototype exerted the higher increasing effect on DB in comparison with the other treatments and UTC plants (Figure 1C). In this case, beside an early plant response to the treatment observed already 7 days after treatment, the plants treated with 52097 maintained a greater DB throughout the experiment. No statistically significant differences between the 52113 and control plants were noted. At day 10 after treatment the plants treated with the 52097 reached a DB level of 27.92 k units, 81% higher than that of the UTC plants.
For both soybean and corn, plants treated with prototype 52097 showed a constant and consistent increase in DB accumulation compared to plants treated with 52096 or 52113.
3.1.2. Greener Area
The value of greener area (GGA) in soybean showed a general decrease during time (Figure 2A,B), as expected, due to the progression of phenological phases, which lead to senescence and yellowing. This was observed in untreated soybean plants, but also in treated with prototypes 52096 and 52113. Interestingly, soybean plants treated with prototype 52097 at both rates showed a consistent persistence of optimal (ranging from 0.7 to 0.8) GGA values during time (Figure 2A,B), even during the latest phenomic measurements (19–26 DAT).
Figure 2.
Mean values ± SE (n = 5) of greener area (GGA) measured on (A) soybean plants treated with biostimulants at lower dosage, (B) soybean plants treated with biostimulants at higher dosage at 12, 14, 19, and 26 days after treatment (DAT). (C) Acquired RGB images of representative UTC (top) and 52097-treated (bottom) soybean plants, showing the effect of PBS application on color and growth during the trial (from T0 to 26 days after treatment). (D) GGA measurements taken on corn plants at 7, 10, 13, and 15 days after treatment (DAT). Solid black bars identify the untreated control plants (UTC).
For the first 12 days after treatment (DAT), no statistically significant differences were observed between the treatments, since all plants showed the same mean GGA value around 0.8 (Figure 2A,B). Starting from 14 days after treatment the first yellowing/sign of senescence were recorded on the untreated control plants and the plants treated with 52113 and 52096 prototypes. At the end of the experiment it was possible to see how, at both rates tested, the application of 52097 on soybean allowed a higher level of GGA, in particular around 0.77 (2.5 ml/L dosage) and 0.75 (5 mL/L dosage). On the other hand, control plants and plants treated with 52113 and 52096 prototypes reached values between 0.40 and 0.28 respectively (Figure 2A,B). It can be concluded that only prototype 52097 was able to preserve and improve GGA in comparison with the other experimental conditions. This can be attributed to a positive effect of prototype 52097 on the “stay-green” condition, that is known to allow plants to maintain high photosynthetic activity [46], and gain benefits on biomass accumulation, as confirmed by the data previously shown on DB (Figure 1).
The positive results on GGA observed after application of prototype 52097 were visibly clear by looking at the set of pictures taken during the cycle, by mean of the visible camera (Figure 2C).
Considering the same test on corn, all the formulations exerted a slight increase in GGA in comparison with untreated control (UTC) plants (Figure 2D), statistically significant at 7, 10, and 13 days after treatment with prototypes 52096 and 52097.
3.1.3. Stress Index
The measurement of Stress Index of treated and untreated soybean plants did not show statistically significant differences during the first four data acquisitions time (Figure 3). As expected, due to the plant cycle progression and senescence, during the last three data acquisitions a higher Stress Index—ranging from 0.4 to 0.7—was observed for UTC. Treating plants with 52096 or 52113 did not affect the Stress Index. Interestingly, soybean plants treated with 52097 showed a lower level of Stress Index than the other treatments, with values stable around 0.2 (Figure 3).
Figure 3.
Mean values ± SE (n = 5) of Stress Index (SI) measured on (A) soybean plants treated at lower dosage, (B) soybean plants treated at higher dosage. Dashed lines and filled black circles (●) identify the untreated control plants (UTC).
This was not observed on corn plants, where both UTC and treated plants showed a Stress Index value ranging from 0.2 to 0.4 throughout the experiment (Supplemental Table S3).
3.2. Molecular Analyses
Based on the obtained results, although some differences were observed between soybean and corn, we selected compound 52097 as the best candidate for further NGS analyses. Leaf tissue from untreated soybean and corn plants was compared to its 52097-treated counterpart by RNA-seq analysis. Per sample, over 25 million single reads were generated and mapped to the relevant reference transcriptome (see Material and Methods). For corn, around 77% of the available sequencing reads could be mapped to this assembly, for soybean this was 89%. By comparing 52097-treated samples to untreated controls, differentially expressed genes (DEGs) were identified. Naturally, the number of DEGs depended on the fold-change threshold applied (Table 1). In general, the number of DEGs was higher in corn than in soybean. Lists of the 20 most upregulated genes for both crops are provided in Supplemental Table S4 (soybean) and Table S5 (corn).
Table 1.
Number of differentially expressed genes (up and down-regulated) in corn and soybean 24 h after application of formulation 52097 when compared to mock-treated control plants.
3.3. Functional Annotation Using Gene Ontology
Of the 63,241 sequences present in the reference transcriptome from corn, 49,426 sequences (78%) could be functionally annotated using GO, meaning that one or more biological processes, molecular functions, or cellular localizations could be linked to these sequences based on sequence homology. For soybean, from the 88,647 genes present in the soybean transcriptome, 70,776 sequences (80%) could be functionally annotated using GO.
For corn, all DEGs up- or downregulated more than 3-fold were used for enrichment analysis. Several biological processes, including nitrogen assimilation, maltose biosynthesis, and cytokinin metabolism were enriched among the 331 upregulated genes from corn (Figure 4A). Analysis of the 593 downregulated corn transcripts resulted in 55 enriched GO-terms (biological process). By filtering out the most reduced GO-terms, that is, removing parent terms of already present statistically significant child GO terms, a list of 13 significantly enriched biological processes remained (Figure 4B). These terms included divalent metal ion transport, response to carbohydrate, phenylalanine degradation, and flavonoid biosynthesis.
Figure 4.
Gene ontology (GO) term enrichment analysis of the differentially expressed contigs from prototype 52097-treated plants (24 h after application; false discovery rate (FDR) < 0.05). (A) Upregulated GO terms in corn. (B) Down-regulated GO terms in corn. (C) Upregulated GO terms in soybean. (D) Down-regulated GO terms in soybean. The absolute number of contigs in the test set is represented by the bars in the graphs on the right (numbers of contigs in the test/reference sets are reproduced next to each bar).
For soybean, first, all DEGs up- or downregulated more than 3-fold were used for enrichment analysis. Analysis of the 65 upregulated soybean transcripts resulted in 25 enriched GO-terms (biological process), including metal ion transport, sulfate reduction, asparagine biosynthesis, and serine metabolism (not shown). However, there were no significantly enriched GO terms among the 59 downregulated soybean transcripts. For this reason, it was decided to include all soybean contigs with a FC greater than 2. This resulted in 16 significantly enriched (reduced) GO terms for the 278 upregulated contigs (Figure 4C), and 13 for the 321 downregulated contigs, including auxin-activated signaling, sulfur amino acid metabolism, iron transport, and sulfur compound biosynthesis (Figure 4D).
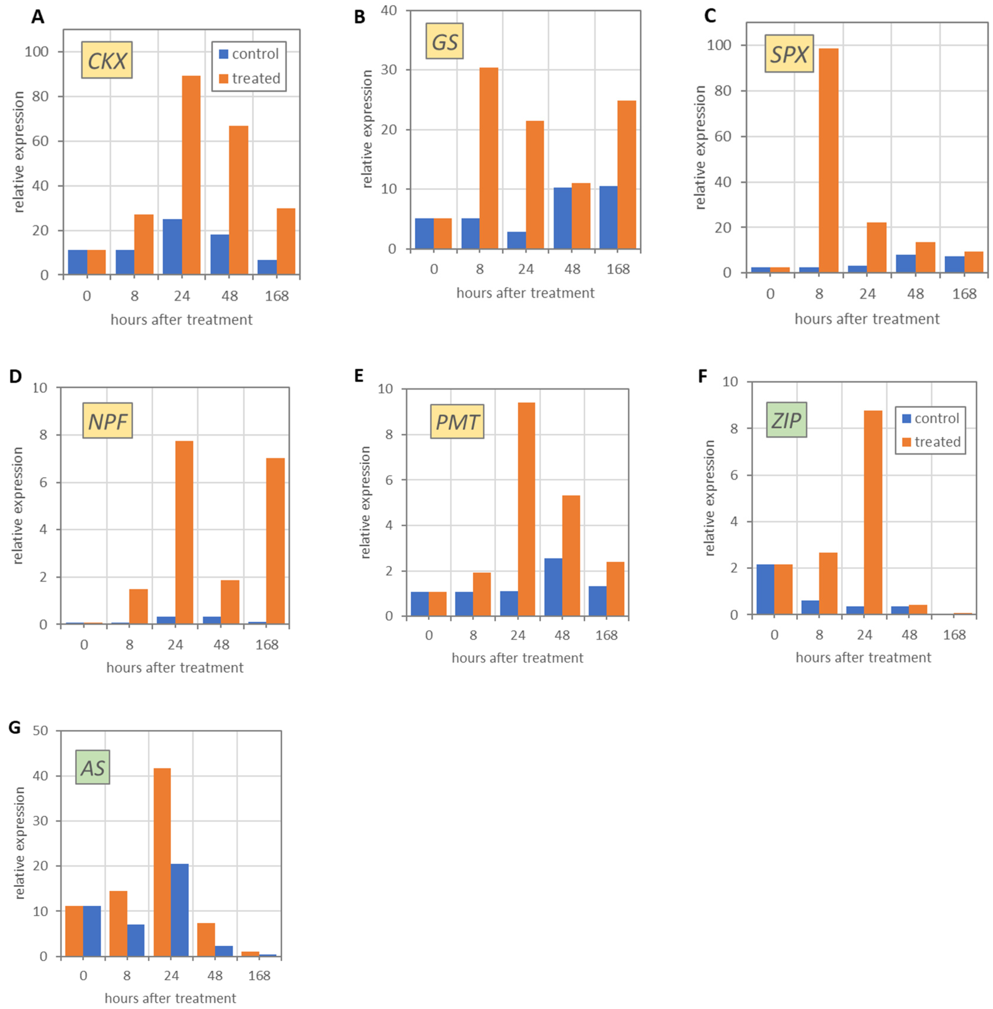
From both crops, two individual DEGs were selected using the results from the GO enrichment analysis. For corn, these were a cytokinin dehydrogenase (CKX; Figure 5A) and a glutamine synthetase (GS; Figure 5B). CKX catabolizes the plant hormone cytokinin and plays an important role in cytokinin regulated processes [47]. GS is required for nitrogen assimilation and allocation within the plant, and for nitrogen remobilization in both source and sink tissues [48]. GS is important for ammonium assimilation in roots, during senescence, and during photorespiration. Several studies have indicated that GS plays an essential role in plant development and yield formation in cereals. For example, in corn, leaf-localized GS are of specific importance for the development of the cob with respect to kernel number and kernel size [49]. A putative GS gene is induced by treatment with product 52097 (Figure 5B).
Figure 5.
Gene expression of selected genes as determined by qRT-PCR. Samples were collected before (T0), and 8, 24, 48, and 168 h after treatment with formulation 52097. Expression of genes (A) CKX (cytokinin dehydrogenase), (B) GS (glutamine synthase), (C) SPX domain-containing protein, (D) NPF family protein (NRT1/PTR), and (E) PMT (polyol/monosaccharide transporter) was analysed in corn, while (F) ZIP (ZRT, IRT-like transporter) and (G) AS (asparagine synthetase) expression was assessed in soybean samples. Relative expression levels are in ddCt.
In addition, 3 more genes from corn were selected on the basis of their functionality: An SPX domain-containing protein (named after SYG1/Pho81/XPR1 proteins; Figure 5C), a NRT1/PTR FAMILY (NPF) protein (Figure 5D, and a polyol/monosaccharide transporter (PMT; Figure 5E). It is well described that plant growth and development are highly dependent on the availability of inorganic phosphate (Pi). Among the many proteins involved in the plant response to Pi starvation, proteins containing the SPX domain are key players involved in the maintenance of internal levels of Pi. Indeed, SPX genes have been reported to be induced upon Pi starvation in roots and shoots, and proteins harboring the SPX domain have been shown to be involved in P use efficiency [50]. Members of the plant NITRATE TRANSPORTER 1/PEPTIDE TRANSPORTER (NRT1/PTR) family display protein sequence homology with peptide transporters in animals. In comparison to their animal and bacterial counterparts, the plant NRT1/PTR family proteins transport a wide variety of substrates: nitrate, peptides, amino acids, dicarboxylates, glucosinolates, IAA, and ABA [51]. The transcript identified here shows the highest similarity to the first identified member of the NRT1/PTR family: NRT1.1. NRT1.1 is an Arabidopsis nitrate transporter that also functions as a nitrate sensor and can transport auxins. As such, it links nutrient and hormone signaling [51]. PMTs are proteins capable of transporting a range of sugar alcohols and monosaccharides including glucose, fructose, sorbitol, mannitol, xylitol, xylose, and galactose [52]. PMTs are believed to be involved in phloem loading [52]. Hence, the induction of a PMT gene identified in this study could point towards increased phloem loading.
For soybean, we selected a ZIP (ZRT, IRT-like protein; Figure 5F) transporter and an asparagine synthetase (AS; Figure 5G). ZIP transporters are important during uptake and transport of zinc and iron and other divalent metal cations [53]. AS, like GS, functions in nitrogen metabolism [54].
For all these genes, expression was determined in leaf samples collected on several timepoints after application of prototype 52097. It was observed that data obtained by qRT-PCR corroborated the NGS results. Twenty-four hours after application, the differences in gene expression between treated and untreated leaves were very comparable. The additional timepoints showed that GS and SPX expression already peaked 8 h after application (Figure 5B,C), whereas the other 5 genes reached their maximum expression after 24 h (Figure 5A,D–G).
4. Conclusions
This study highlights the use of high-throughput/efficiency plant phenotyping (phenomics) together with Next Generation Sequencing to investigate the effectiveness and mechanism of action of new biostimulant formulations. Such formulations were specifically conceived as foliar applications to increase yield of different row/industrial crops, such as corn and soybean.
Phenomic-based measurements of digital biovolume, Greener Area, and Stress index allowed us to select 52,097 (commercial name “YieldOn®”) as the most effective prototype among the ones tested. Subsequently, through NGS a deep characterization of the molecular mechanisms by which the biostimulant under investigation exerts its positive effect was performed. This analysis explained the mechanism of action of the biostimulant under investigation, which in corn upregulated specific processes like nitrogen and phosphate assimilation and metabolism, maltose biosynthesis, sugar transport and phloem loading, hormone (cytokinin) metabolism. In soybean nitrogen metabolism, metal ion transport (mainly zinc and iron), sulfate reduction, and amino acid biosynthesis were upregulated.
In conclusion, the results showed in this work support the integration of multiple “omics” as robust and objective tools in the discovery, evaluation, and development of innovative, sustainable, and targeted solutions to meet the emerging needs of row-crops agriculture.
Supplementary Materials
The following are available online at https://www.mdpi.com/2073-4395/9/11/761/s1, Table S1: Temperatures, humidity (RH%), and radiation (PAR µmol m−2 s−1) parameters measured during the trial. Table S2: Sequence of primers used for qRT-PCR analysis; Table S3: Stress Index measurements in corn; Table S4: lists of the 20 most upregulated genes for soybean; Table S5: lists of the 20 most upregulated genes for corn.
Author Contributions
N.B. Conceptualization, main writing and structuring of the paper, High efficiency phenotyping Data Curation and Formal analysis; A.P. Methodology, High efficiency phenotyping Data Curation; F.A.H. Writing, Methodology, Next Generation Sequencing Data Curation and Formal Analysis; N.V. Methodology, Next Generation Sequencing Data Curation and G.P. Conceptualization, writing, review, editing and supervision.
Funding
The research conducted was funded by Valagro SpA, which provided biostimulant prototypes that were blindly identified by a numbered code to avoid any conflict of interest in the data production. The prototypes were named only at the end of the experiments.
Acknowledgments
The authors wish to thank Prem Warrior and Giuseppe Montanaro for their critical review of the manuscript. YieldOn® is a trademark registered by Valagro in Italy and other countries.
Conflicts of Interest
The authors declare that the research was conducted in the absence of any commercial or financial relationships that could be construed as a potential conflict of interest.
References
- Takeda, S.; Matsuoka, M. Genetic approaches to crop improvement: Responding to environmental and population changes. Nat. Rev. Genet. 2008, 9, 444–457. [Google Scholar] [CrossRef] [PubMed]
- Kang, Y.; Khan, S.; Ma, X. Climate change impacts on crop yield, crop water productivity and food security—A review. Prog. Nat. Sci. 2009, 19, 1665–1674. [Google Scholar] [CrossRef]
- Eckardt, N.A.; Cominelli, E.; Galbiati, M.; Tonelli, C. The future of science: Food and water for life (Meeting Report). Plant Cell 2009, 21, 368–372. [Google Scholar] [CrossRef] [PubMed]
- Food and Agriculture Organization of the United Nations [FAO]. Towards the Future we Want. End Hunger and Make the Transition to Sustainable Agricultural and Food Systems. Rome: FAO at Rio+20. 2012. Available online: http://www.fao.org/docrep/015/an894e/an894e00.pdf (accessed on 15 November 2019).
- Carvalho, S.; Vasconcelos, M.W. Producing More with Less: Strategies and novel technologies for plant-based food biofortification. Food Res. Int. 2013, 54, 961–971. [Google Scholar] [CrossRef]
- International Food Policy Research Institute [IFPRI]. Producing More With Less? 2014. Available online: http://www.ifpri.org/blog/producing-more-less (accessed on 15 November 2019).
- Montanaro, G.; Xiloyannis, C.; Nuzzo, V.; Dichio, B. Orchard management, soil organic carbon and ecosystem services in Mediterranean fruit tree crops. Sci. Hort. 2017, 217, 92–101. [Google Scholar] [CrossRef]
- Pearson, C.J. Regenerative, Semiclosed Systems: A Priority for Twenty-First-Century Agriculture. BioScience 2007, 57, 409–418. [Google Scholar] [CrossRef]
- Kremen, C.; Iles, A.; Bacon, C. Diversified farming systems: An agroecological, systems-based alternative to modern industrial agriculture. Environ. Stud. Sci. 2012, 17, 44. [Google Scholar] [CrossRef]
- du Jardin, P. Plant biostimulants: Definition, concept, main categories and regulation. Sci. Hort. 2015, 196, 3–14. [Google Scholar] [CrossRef]
- European Biostimulant Industry Council (EBIC). 2018. Available online: http://www.biostimulants.eu/ (accessed on 15 November 2019).
- Khan, W.; Rayirath, U.P.; Subramanian, S.; Jithesh, M.N.; Rayorath, P.; Hodges, D.M. Seaweed extracts as biostimulants of plant growth and development. J. Plant Growth Regul. 2009, 28, 386–399. [Google Scholar] [CrossRef]
- Craigie, J.S. Seaweed extract stimuli in plant science and agriculture. J. Appl. Phycol. 2011, 23, 371–393. [Google Scholar] [CrossRef]
- Calvo, P.; Nelson, L.; Kloepper, J.W. Agricultural uses of plant biostimulants. Plant Soil 2014, 383, 3–41. [Google Scholar] [CrossRef]
- Sharma, H.S.S.; Fleming, C.; Selby, C.; Rao, J.R.; Martin, T. Plant biostimulants: A review on the processing of macroalgae and use of extracts for crop management to reduce abiotic and biotic stresses. J. Appl. Phycol. 2014, 26, 465–490. [Google Scholar] [CrossRef]
- Povero, G.; Mejia, J.F.; Di Tommaso, D.; Piaggesi, A.; Warrior, P. A Systematic Approach to Discover and Characterize Natural Plant Biostimulants. Front. Plant Sci. 2016, 7. [Google Scholar] [CrossRef] [PubMed]
- Yakhin, O.I.; Lubyanov, A.A.; Yakhin, I.A.; Brown, P.H. Biostimulants in Plant Science: A Global Perspective. Front. Plant Sci. 2017, 7. [Google Scholar] [CrossRef] [PubMed]
- Parađiković, N.; Vinković, T.; Vinković Vrček, I.; Žuntar, I.; Bojić, M.; Medić-Šarić, M. Effect of natural biostimulants on yield and nutritional quality: An example of sweet yellow pepper (Capsicum annuum L.) plants. J. Sci. Food Agric. 2011, 91, 2146–2152. [Google Scholar] [CrossRef] [PubMed]
- Parađiković, N.; Vinković, T.; Vinković Vrček, I.; Tkalec, M. Natural biostimulants reduce the incidence of BER in sweet yellow pepper plants (Capsicum annuum L.). Agric. Food Sci. 2013, 22, 307–317. [Google Scholar] [CrossRef]
- Bulgari, R.; Morgutti, S.; Cocetta, G.; Negrini, N.; Farris, S.; Calcante, A.; Spinardi, A.; Ferrari, E.; Mignani, I.; Oberti, R.; et al. Evaluation of Borage Extracts As Potential Biostimulant Using a Phenomic, Agronomic, Physiological, and Biochemical Approach. Front. Plant Sci. 2017, 8, 935. [Google Scholar] [CrossRef]
- Saa, S.; Olivos-Del Rio, A.; Castro, S.; Brown, P.H. Foliar application of microbial and plant based biostimulants increases growth and potassium uptake in almond (Prunus dulcis [Mill.] D.A. Webb). Front. Plant Sci. 2015, 6. [Google Scholar] [CrossRef]
- Adani, F.; Genevini, P.; Zaccheo, P.; Zocchi, G. The effect of commercial humic acid on tomato plant growth and mineral nutrition. J. Plant. Nutr. 1998, 21, 561–575. [Google Scholar] [CrossRef]
- Parrado, J.; Bautista, J.; Romero, E.J.; García-Martínez, A.M.; Friaza, V.; Tejada, M. Production of a carob enzymatic extract: Potential use as a biofertilizer. Bioresour. Technol. 2008, 99, 2312–2318. [Google Scholar] [CrossRef]
- Paul, K.; Sorrentino, M.; Lucini, L.; Rouphael, Y.; Cardarelli, M.; Bonini, P.; Reynaud, H.; Canaguier, R.; Trtílek, M.; Panzarová, K.; et al. Understanding the Biostimulant Action of Vegetal-Derived Protein Hydrolysates by High-Throughput Plant Phenotyping and Metabolomics: A Case Study on Tomato. Front. Plant Sci. 2019, 10. [Google Scholar] [CrossRef] [PubMed]
- Petrozza, A.; Santaniello, A.; Summerer, S.; Di Tommaso, G.; Di Tommaso, D.; Paparelli, E.; Piaggesi, A.; Perata, P.; Cellini, F. Physiological responses to Megafol® treatments in tomato plants under drought stress: A phenomic and molecular approach. Sci. Hort. 2014, 174, 185–192. [Google Scholar] [CrossRef]
- Alam, M.Z.; Braun, G.; Norrie, J.; Hodges, D.M. Ascophyllum extract application can promote plant growth and root yield in carrot associated with increased root-zone soil microbial activity. Can. J. Plant Sci. 2014, 94, 337–348. [Google Scholar] [CrossRef]
- Vernieri, P.; Borghesi, E.; Tognoni, F.; Serra, G.; Ferrante, A.; Piagessi, A. Use of biostimulants for reducing nutrient solution concentration in floating system. Acta Hortic. 2006, 718, 477–484. [Google Scholar] [CrossRef]
- Danzi, D.; Briglia, N.; Petrozza, A.; Summerer, S.; Povero, G.; Stivaletta, A.; Cellini, F.; Pignone, D.; De Paola, D.; Janni, M. Can high throughput phenotyping help food security in the Mediterranean area? Front. Plant Sci. 2019. [Google Scholar] [CrossRef]
- Leff, B.; Ramankutty, N.; Foley, J.A. Geographic distribution of major crops across the world. Glob. Biogeochem. Cycles 2004. [Google Scholar] [CrossRef]
- Santaniello, A.; Giorgi, F.M.; Di Tommaso, D.; Di Tommaso, G.; Piaggesi, A.; Perata, P. Genomic approaches to unveil the physiological pathways activated in Arabidopsis treated with plant-derived raw extracts. Acta Hortic. 2013, 1009, 161–174. [Google Scholar] [CrossRef]
- Hoeberichts, A.; Povero, G.; Ibañez, M.; Strijker, A.; Pezzolato, D.; Mills, R.; Piaggesi, A. Next Generation Sequencing to characterise the breaking of bud dormancy using a natural biostimulant in kiwifruit (Actinidia deliciosa). Sci. Hort. 2017, 225, 252–263. [Google Scholar] [CrossRef]
- Trevisan, S.; Manoli, A.; Ravazzolo, L.; Franceschi, C.; Quaggiotti, S. mRNA-Sequencing Analysis Reveals Transcriptional Changes in Root of Corn Seedlings Treated with Two Increasing Concentrations of a New Biostimulant. J. Agric. Food Chem. 2017, 65, 9956–9969. [Google Scholar] [CrossRef]
- Furbank, R.T.; Tester, M. Phenomics-technologies to relieve the phenotyping bottleneck. Trends Plant Sci. 2011, 16, 635–644. [Google Scholar] [CrossRef]
- Paul, K.; Sorrentino, M.; Lucini, L.; Rouphael, Y.; Cardarelli, M.; Bonini, P.; Miras Moreno, M.B.; Reynaud, H.; Canaguier, R.; Trtílek, M.; et al. A Combined Phenotypic and Metabolomic Approach for Elucidating the Biostimulant Action of a Plant-Derived Protein Hydrolysate on Tomato Grown Under Limited Water Availability. Front. Plant Sci. 2019, 10. [Google Scholar] [CrossRef]
- Summerer, S.; Petrozza, A.; Cellini, F. High throughput plant phenotyping: A new and objective method to detect and analyse the biostimulant properties of different products. Acta Hortic. 2013, 1009, 143–148. [Google Scholar] [CrossRef]
- Ugena, L.; Hýlová, A.; Podlešáková, K.; Humplík, J.F.; Doležal, K.; De Diego, N.; Spíchal, L. Characterization of Biostimulant Mode of Action Using Novel Multi-Trait High-Throughput Screening of Arabidopsis Germination and Rosette Growth. Front. Plant Sci. 2018, 9. [Google Scholar] [CrossRef] [PubMed]
- Rouphael, Y.; Spíchal, L.; Panzarová, K.; Casa, R.; Colla, G. High-Throughput Plant Phenotyping for Developing Novel Biostimulants: From Lab to Field or From Field to Lab? Front. Plant Sci. 2018, 9. [Google Scholar] [CrossRef] [PubMed]
- Briglia, N.; Montanaro, G.; Petrozza, A.; Summerer, S.; Cellini, F.; Nuzzo, V. Drought phenotyping in Vitis vinifera using RGB and NIR imaging. Sci. Hort. 2019, 256, 108555. [Google Scholar] [CrossRef]
- Eberius, M.; Lima-Guerra, J. High-throughput plant phenotyping-data acquisition, transformation, and analysis. In Bioinformatics; Edwards, D., Stajich, J., Hansen, D., Eds.; Springer: New York, NY, USA, 2013; pp. 259–278. [Google Scholar] [CrossRef]
- Casadesús, J.; Kaya, Y.; Bort, J.; Nachit, M.M.; Araus, J.L.; Amor, S.; Ferrazzano, G.; Maalouf, F.; Maccaferri, M.; Martos, V. Using vegetation indices derived from conventional digital cameras as selection criteria for wheat breeding in water-limited environments. Ann. Appl. Biol. 2007, 150, 227–236. [Google Scholar] [CrossRef]
- Chang, S.; Puryear, J.; Cairney, J. A simple and efficient method to isolate RNA from pine trees. Plant Mol. Biol. Rep. 1993, 11, 114–117. [Google Scholar] [CrossRef]
- Parkhomchuk, D.; Borodina, T.; Amstislavskiy, V.; Banaru, M.; Hallen, L.; Krobitsch, S.; Lehrach, H.; Soldatov, A. Transcriptome analysis by strand-specific sequencing of complementary DNA. Nucl. Acids Res. 2009, 37, 123. [Google Scholar] [CrossRef] [PubMed]
- Levin, J.Z.; Yassour, M.; Adiconis, X.; Nusbaum, C.; Thompson, D.A.; Friedman, N.; Gnirke, A.; Regev, A. Comprehensive comparative analysis of strand-specific RNA sequencing methods. Nat. Methods 2010, 7, 709–715. [Google Scholar] [CrossRef]
- Schmutz, J.; Cannon, S.B.; Schlueter, J. Genome sequence of the palaeopolyploid soybean. Nature 2010, 463, 178–183. [Google Scholar] [CrossRef]
- Conesa, A.; Götz, S.; García-Gómez, J.M.; Terol, J.; Talón, M.; Robles, M. Blast2GO: A universal tool for annotation, visualization and analysis in functional genomics research. Bioinformatics 2005, 21, 3674–3676. [Google Scholar] [CrossRef] [PubMed]
- Thomas, H.; Smart, C.M. Crops that stay green. Ann. Appl. Biol. 1993, 123, 193–219. [Google Scholar] [CrossRef]
- Jameson, P.E.; Song, J. Cytokinin: A key driver of seed yield. J. Exp. Bot. 2016, 67, 593–606. [Google Scholar] [CrossRef] [PubMed]
- Bernard, S.M.; Habash, D.Z. The importance of cytosolic glutamine synthetase in nitrogen assimilation and recycling. New Phytol. 2009, 182, 608–620. [Google Scholar] [CrossRef]
- Thomsen, H.C.; Eriksson, D.; Møller, I.S.; Schjoerring, J.K. Cytosolic glutamine synthetase: A target for improvement of crop nitrogen use efficiency? Trends Plant Sci. 2014, 19, 656–663. [Google Scholar] [CrossRef]
- Secco, D.; Wang, C.; Arpat, B.A.; Wang, Z.; Poirier, Y.; Tyerman, S.D. The emerging importance of the SPX domain-containing proteins in phosphate homeostasis. New Phytol. 2012, 193, 842–851. [Google Scholar] [CrossRef]
- Léran, S.; Varala, K.; Boyer, J.C.; Chiurazzi, M.; Crawford, N.; Daniel-Vedele, F. A unified nomenclature of NITRATE TRANSPORTER 1/PEPTIDE TRANSPORTER family members in plants. Trends Plant Sci. 2014, 19, 5–9. [Google Scholar] [CrossRef]
- Slewinski, T. Diverse transporters and their homologs in vascular plants: A physiological perspective. Mol. Plant. 2011, 4, 641–662. [Google Scholar] [CrossRef]
- Hall, J.L.; Williams, L.E. Transition metal transporters in plants. J. Exp. Bot. 2003, 54, 2601–2613. [Google Scholar] [CrossRef]
- Gaufichon, L.; Reisdorf-Cren, M.; Rothstein, S.J.; Chardon, F.; Suzuki, A. Biological functions of asparagine synthetase in plants. Plant Sci. 2010, 179, 141–153. [Google Scholar] [CrossRef]
© 2019 by the authors. Licensee MDPI, Basel, Switzerland. This article is an open access article distributed under the terms and conditions of the Creative Commons Attribution (CC BY) license (http://creativecommons.org/licenses/by/4.0/).




