Abstract
A triple cropping system, combining spring maize, pearl millet, and twice-cut blast disease resistant Italian ryegrass, was examined for the 2016–2017 and 2017–2018 growing seasons to achieve quality herbage production in Miyazaki, southern Kyushu, Japan. The growth of the three crops reached to harvest, even though typhoon and heavy rainfall occurred. Annual dry matter (DM) yield of the triple crops was 4098 g m−2 and 4349 g m−2 in the first and second cropping seasons, respectively. The observed total digestible nutrients (TDN) were higher in spring maize (up to 68.2% and 76.8%), pearl millet (up to 60.0% and 67.9%), and Italian ryegrass (up to 71.6% and 68.6%), during the first and second season, respectively, leading to an annual TDN yield of 2357 g m−2 and 2938 g m−2. The results suggest that the present established triple cropping system is feasible for obtaining high yields with more digestible nutrients in the forages.
1. Introduction
The world is facing global challenges with the projected increase in world population from the current seven-billion people to 9.6-billion people by 2050 [1]. Commensurate with the growing population, increased urbanization and income growth changes in dietary patterns boost substantial increases in human food, to which milk, meat, and milk products are predicted to be in highest demand by 2050 [2,3]. Sustainable intensification in agriculture, including a livestock production system, is required to overcome this global food challenge [2,4,5]. In line with these demands, a stable supply of animal feed is essential for developing continuous livestock production [5,6]. However, in eastern Asian countries, including China and Japan, feed supply for animal production largely depends on imported concentrates, and it is easily affected by the unstable and increasing tendency in the price of imported feeds [7]. This is due to adverse climatic conditions in forage producing areas, such as the corn belt in the United States, competition with bio-fuel feedstuffs, variable international exchange rates, and fluctuating prices of petroleum used in the operation of farm machinery and transportation [8]. Climate change causes a major stress on livestock production [9] and it affects the quantity and quality of forage crops. The mitigation of stress in forage cropping systems varies for specific regions [10,11], such as Europe and China [12], and optimum management practices include shifting of planting dates, switching crop varieties, and modifying and widening crop rotations [12]. An additional solution is to strengthen the production of self-sufficient forage crops by increasing the yield and quality or by increasing times of cultivation (multi-crop production) with the combination of summer and winter crops [13].
Maize (Zea mays L.) is the main summer crop in the warm regions of Japan [14]. Optimizing the sowing date to the early-sowing of maize based on the last spring-freezing frost will partially offset the projected increase in heat and drought, and it can play an essential role in maximizing forage yield [11]. In the warm regions of Japan, early-sowing of spring maize is important in avoiding the adverse effects of typhoon damage in late summer [14]. Maize sown in mid-March showed a stable yielding ability due to the lower risk of climatic hazards, such as heavy rainfall and typhoon damage [15], accommodating a high forage quality estimated by total digestible nutrient (TDN) concentration [13,16].
Pearl millet (Pennisetum glaucum (L.) Leeke) is a major food crop in subsistence agriculture on both the African continent and the Indian subcontinent [17]. It is an annual millet that is largely grown with the indispensable ability to produce grain and fodder crops in infertile soils of low water-holding capacity under hot and drought conditions, where other crops generally fail to completely mature [18,19]. When compared with other C4 plants, such as maize and sorghum, pearl millet is more tolerant to drought and heat effects, with ideal growth temperatures from 21 °C to 35 °C and annual precipitation ranging from 125 mm to 900 mm [19]. The crop has a leafy forage structure before heading within two months from sowing [20].
Italian ryegrass (Lolium multiflorm Lam.) is a cool-season annual forage grass and it is one of the most popular winter forage crops [21]. Blast disease or gray leaf spot is a major foliar disease of perennial ryegrass (Lolium perenne L.) in the United States [22] and Italian ryegrass in Japan [23] that is caused by a common pathogenic fungal species, Magnaporthe grisea (Herbert) Barr, alternately stated as Pyricularia grisea (Cooke) Saccardo [24] in perennial ryegrass, and by Pyricularia oryzae Cavara in Italian ryegrass [25]. Environmental factors that can trigger blast disease infection include sowing-season temperatures above 24 °C [26], a relative humidity above 80%, and extended periods of leaf wetness, together with intermittent dry periods [27]. In addition, the emergence stage [26] and growth stage through maturity (4–7 weeks after sowing) influence the symptoms of blast disease in Italian ryegrass [28]. Italian ryegrass is ordinarily considered to be sown in October in southern Kyushu, Japan, when the mean air temperature declines to close to 20 °C. Recently, blast-disease resistant (heat-tolerant) lines of the species were bred for sowing suitability in mid- or late-September in the region and they are scheduled to be used for sowing in mid-September and harvested twice in mid-December and early-mid March for the first- and the second-cut, respectively [29].
There should be a vacant season for cropping in late-summer for the system of normal maize-Italian ryegrass cropping in southern Kyushu, Japan [14], as typhoon damage is frequent in September and October. However, an ordinary cropping system will consequently miss a harvest season in early winter (December). Blast-disease resistant Italian ryegrass can overcome these problems of herbage production in the southern Kyushu area, and, if Italian ryegrass can be successfully established, typhoon damage to Italian ryegrass growth can be prevented due to the juvenile growth stage, even during typhoon season.
Dairy farmers have an increased need to rely on supplies of domestically produced forages or total mixed rations (TMR) due to the rapid decrease in Japanese livestock producers because of increasing labor costs. Miyazaki Prefecture is planning to build a TMR factory in the Koyu district to supply TMRs to dairy cows at a 1000-head level in the next few years. Therefore, stable and efficient cropping systems of annual forage crops in the region should be developed to supply herbaceous raw materials of TMR as self-sufficient forages.
The present study was an extension of previous trials [13,15], which compose the second and third maize and winter barley crops, being replaced by annual species of the tropical pearl millet and Italian ryegrass to achieve quality herbage production. The new multi-forage cropping system should be examined for growth and forage quality in building a stable herbage production system for beef cow and calf and dairy cows under the variable climatic conditions during summer and autumn in the region, and triple forage cropping system over a couple of years should be determined to evaluate the feasibility of the cropping system in southern Kyushu, Japan.
2. Materials and Methods
2.1. Crop Species
The experimental site was situated in southern Kyushu (31°49′39″ N, 131°24′46″ E, 27 m above sea level), facing a high frequency of typhoons from late July to September, whereas heavy rainfall during September to October. A triple cropping system with early-spring sowing of maize, early-summer sowing of pearl millet, and twice-cut late-summer sowing of Italian ryegrass was conducted, evaluating the performance of crops under prevailing climatic conditions. Two spring maize cultivars (Solido, relative maturity (RM) 78, Anjou-284, RM 90) were cultivated from April to mid-July (2016–2017), whereas three cultivars (Snow Dent, RM-108, Neo Dent Acyl, RM 90, Anjou-284, RM 90) during early March to early July during 2017–2018. The pearl millet “NatsuItalian” was grown from mid-July to mid-September, whereas the heat tolerant blast disease tolerant lines of Italian ryegrass (“Kyushu 1”, “Kyushu No. 2”) were planted from mid-September to mid-March, as compared with the non-disease tolerant “Hanamiwase”. In the 2017–2018 season, spring maize switched cultivars with RM 78 and 90 to those with RM 90 and 108, due to earlier sowing by 20 days in spring, while “Anjou 284, RM 90” was examined in both seasons (Figure 1).
Figure 1.
Cultivation schedule and monthly precipitation and mean temperature in the 2016 and 2017 seasons and in a normal year (based on averages for 1980–2010). Source: Japan Meteorological Agency. MZ: spring maize, PM: pearl millet, IR: Italian ryegrass, E: early, M: mid, L: Late.
2.2. Climatic Conditions
In the 2016–2017 season, precipitation was higher at 607 mm, 389 mm and 670 mm in June, July, and September, respectively, than that in a normal year (based on averages for 1980–2010), and one typhoon hit the Miyazaki region in late September, while precipitation in August was lower than that in a normal year. In the 2017–2018 season, precipitation was higher in March, April, August, October, and November than that in a normal year, was highest at 575 mm and 557 mm in September and October, respectively. Lower than normal precipitation amounts of 222 mm, 363 mm, and 124 mm occurred in May, June, and July, respectively. Two typhoons hit the Miyazaki region, one in early August and one in mid-September. The annual precipitation was 2951 mm and 2722 mm in 2016 and 2017, respectively, which was higher than the normal amount of 2510 mm averaged over 30 years from 1980–2010 [30].
The annual mean temperature was higher in the 2016–2017 season (18.6 °C) than a normal year (17.4 °C), especially from September to December, for the period of the first-cut Italian ryegrass. In the 2017–2018 season, the mean temperature was higher in June, July, and October, and was lower in December than in a normal year, while the annual mean temperature of 17.6 °C was almost the same as in a normal year (Figure 1), based on the observation in Japan Meteorological Agency [30].
2.3. Experimental Design and Treatments
Arrangement of maize and Italian ryegrass cultivars was allocated in a randomized block design with three replicated blocks (replications). The field was allocated to three blocks and one block with an area of 13 × 3 m (39 m2) was divided into three plots for each cultivar, sized at 3 × 3.5 m (10.5 m2), with the border at 3 × 1.25 m (3.75 m2) between plot (cultivar) for both spring maize and Italian ryegrass in both the 2016–2017 and 2017–2018 growing seasons. Pearl millet was cultivated in the whole of block (39 m2) with three replications. Before the present study, the previous triple cropping system in the 2013–2014 and 2014–2015 growing seasons [13,15] was examined in the field with the same manure and chemical fertilizer application. The sowing time of each crop was the same among cultivars in each growing season. Sampling was conducted to avoid the edge effect of each plot by getting plants at least two rows inner from the edge.
Soils were fine volcanic ash soils (Andosol). The plots were rotary-plowed, and cattle manure at 3 kg·m−2 and slaked lime at 0.15 kg·m−2 were applied as basal fertilizer before the sowing of maize, pearl millet, and Italian ryegrass. The plant densities of maize were 13.3 plants/m2 and 8.89 plants/m2 by thinning to one plant per spot at the fourth–fifth leaf stage in the 2016–2017 and 2017–2018 season, respectively. Decrease in plant density during the second growing season was due to escape from the risk of lodging of higher RM cultivars if grown under the high density. Chemical fertilizer was split applied three times at the rate 18 g m−2 of N, P2O5, and K2O during each growing season. The measurement for plant growth was carried out by two plants per replication at 2–3-week intervals from the fourth–fifth stage, and harvested in mid-July. The plant attributes determined were plant height, leaf age, and fresh and dry weights of each plant fraction.
The commercial cultivar of pearl millet, “NatsuItalian”, was cultivated in the same block area (39 m2) as spring maize with three replications. Ridge sowing was conducted at a rate of 1 g·m−2 with an inter-row spacing of 40 cm. Chemical fertilization was additionally split-applied to a total of twice at 12 g·m−2 each of N, P2O5, and K2O in mid-July for both growing seasons. Plant emergence was measured from two weeks after sowing, and plant attributes, such as plant height, tiller density, and fresh and dry weights of each plant fraction were determined by two samples of 50 cm-length of row per replication at three-week intervals up to harvest at the stem elongation stage in early September for both seasons.
Italian ryegrass was cultivated in the same block area (39 m2) as pearl millet, and the cultivars were allocated in a randomized block design with three replications. Ridge sowing at 1.5 g·m−2 was conducted with an inter-row spacing of 40 cm. The chemical fertilizer was additionally split-applied a total of three times at 14 g·m−2 each of N, P2O5, and K2O. Plant attributes, such as plant height, tiller density, heading tiller density, and fresh and dry weights of each plant fraction were determined by two samples of 50 cm × 50 cm quadrat per replication at two-week intervals up to the first-cut in mid-December, and the second-cut in late February 2017 and mid-March 2018.
Crop growth rate (CGR) was evaluated by the difference of the DM yield (g·m−2) at the present and that at the previous sampling, divided by the sampling period (day) for each crop and cultivar. The annual DM yield was calculated with the summation of the average of DM yield in each crop for each growing season.
Effective cumulative temperature (ECT) was calculated, as follows:
ECT = Σ (daily mean temperature −10 °C) for the growth periods, based on the observation in Japan Meteorological Agency [30].
2.4. Forage Quality Analyses
The plant samples were fractionated into each plant fraction and dried at 72 °C for 72 h in a forced air oven. Dried plant fractions at harvest for milk-yellow ripe stage in spring maize, stem-elongating to pre-heading stage in pearl millet, and early heading stage in Italian ryegrass were ground to pass through a 1-mm sieve in a duplicate per replication. Neutral detergent fiber (NDF), acid detergent fiber (ADF), and acid detergent lignin (ADL) were determined by a detergent method [31] using ANKOM filter bag procedures [32] with the ANKOM-200 Fiber Analyzer.
Total digestible nutrient (TDN) concentration of Italian ryegrass was estimated while using the following regression equation from the ADF concentration [33]:
and the corresponding regression equation for spring maize and pearl millet crops [34] (Committee for the Nutritive Value of Grass and Forage Crops, 1991) was:
TDN = 87.57 − 0.737 × ADF
TDN = 89.89 − 0.752 × ADF
In vitro dry matter (DM) digestibility (IVDMD) was determined by a pepsin-cellulase assay [35] using the filter-bag method.
2.5. Statistical Analysis
Statistical analysis was conducted to compare the physical contents, DM yield, IVDMD, NDF, ADF, and ADL content of all cultivars for each of spring maize, pearl millet, and Italian ryegrass on a per-harvest basis. Differences in means were evaluated by Fisher’s least significant difference test at the 5% level using Excel Statistics 2016 software (Microsoft® Excel for Mac) by one-way analysis of variance.
3. Results
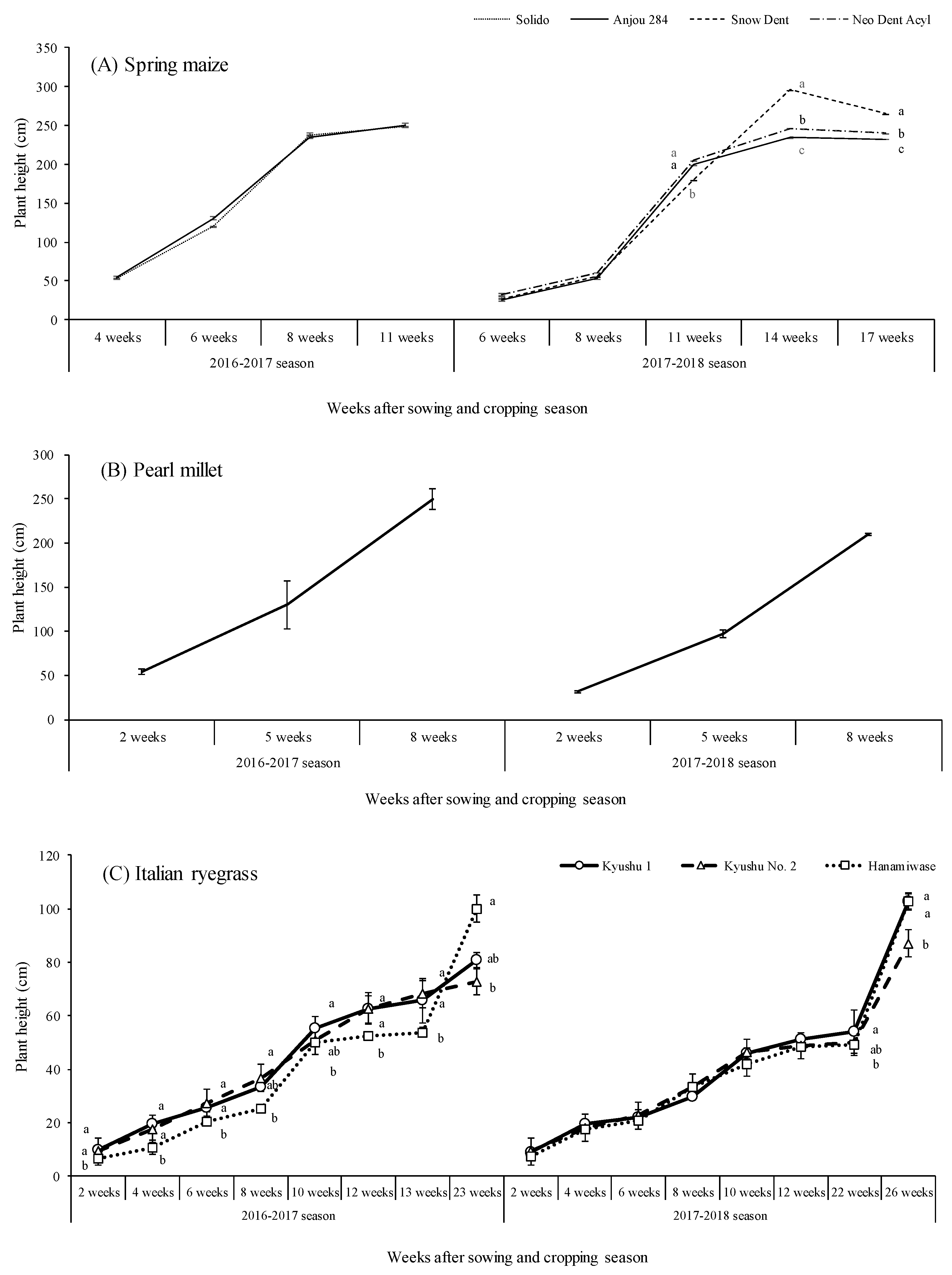
In the first season (2016–2017), spring maize crops, including “Solido, RM 78” and “Anjou 284, RM 90” were cultivated from late April to mid-July, reaching the yellow-ripe stage, with a plant height extremely similar between the cultivars “Solido” at 249 cm and “Anjou 284” at 250 cm at harvest. In the second season (2017–2018), the plant height tended to be higher at 265 cm in “Snow Dent” as compared with “Neo Dent Acyl” at 240 cm, followed by “Anjou 284” at 233 cm (Figure 2A). For pearl millet “NatsuItalian”, plant height tended to be lower by 40 cm at eight weeks from sowing at the second than at the first growing season (Figure 2B). In the first season of Italian ryegrass, plant height during the early growth stage was significantly higher in “Kyushu 1” and “Kyushu No. 2” than in “Hanamiwase”, while it was significantly higher in “Hanamiwase” than in “Kyushu No. 2” at harvest of the second-cut plants. However, in the second cropping season, plant height did not differ among the three cultivars from the early growth stages up to the first cut, contrary to the higher plant height in “Kyushu 1” and “Hanamiwase” than “Kyushu No. 2” at the harvest of the second-cut plants (Figure 2C).
Figure 2.
Changes in plant height in spring maize (A), pearl millet (B) and twice-cut Italian ryegrass (C) in two cropping seasons. Values show mean ± standard error (n = 3). a–c p < 0.05 among cultivars in the same cropping season and system.
The changes in the tiller density in both pearl millet and Italian ryegrass for two growing seasons showed that the tiller density in pearl millet “NatsuItalian” was highest at two weeks after sowing and they tended to decrease with growth up to harvest both in the first and second cropping seasons (Figure 3A). However, for Italian ryegrass, “Kyushu 1” and “Kyushu No. 2” had increased tiller density from the early growth stage up to harvest in the first cropping season, when “Hanamiwase” had significantly lower density, while the cultivar reached the highest density at harvest in the second cuts. Except for the first month after sowing, tiller density in all three Italian ryegrass cultivars did not differ in the second cropping season (Figure 3B).
Figure 3.
Changes in tiller density in pearl millet (A) and twice-cut Italian ryegrass (B) in two cropping seasons. Values show mean ± standard error (n = 3). a–c p < 0.05 among cultivars in the same cropping season and date.
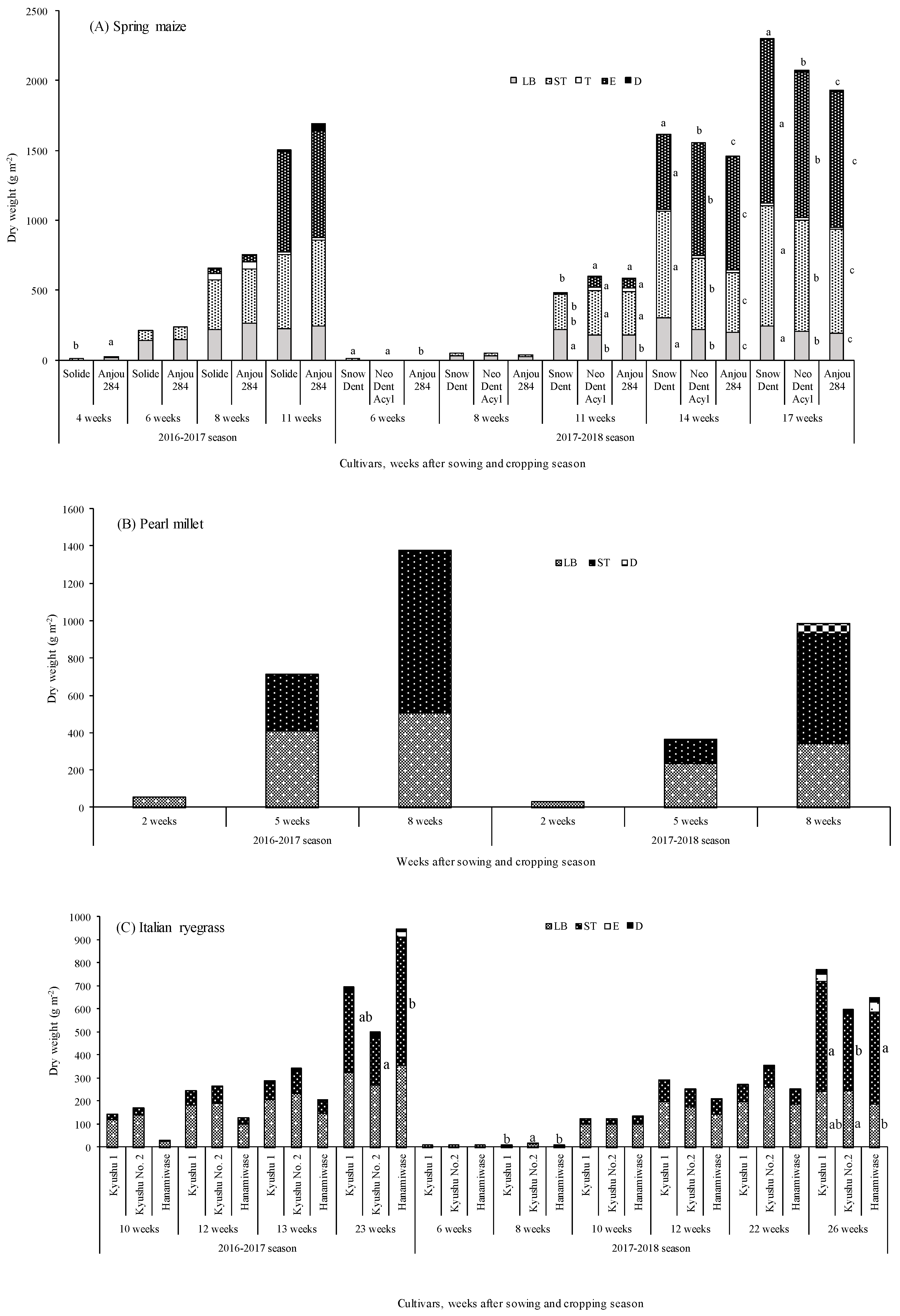
The dry weight of whole spring maize plants was highest at 2304 g·m−2 in “Snow Dent”, as compared with “Neo Dent Acyl” at 2073 g·m−2, followed by “Anjou 284” at 1936 g·m−2 in the second cropping season, while no differences were observed between “Anjou 284” and “Solido” from six to 11 weeks after sowing in the first season. In the second cropping season, the dry weights of leaves and stems were significantly higher in “Snow Dent”, followed by “Neo Dent Acyl” and “Anjou 284” at the milk-filling stages (14 weeks after sowing); however, no differences were observed in either plant fraction among the three maize cultivars at the yellow-ripe stage (17 weeks after sowing) in the second cropping season (Figure 4A).
Figure 4.
Changes in dry weight of plant fractions in spring maize (A), pearl millet (B) and twice-cut Italian ryegrass (C) in two cropping seasons. Plant fraction: Leaf blade (LB), Stem inclusive of leaf sheath (ST), Ear (E), Tassel (T) and Dead leaf (D). a–c p < 0.05 among cultivars in the same cropping season and date.
The leaf blade and stem dry weights of pearl millet tended to be higher in the first than in the second cropping season, while the opposite was observed for dead leaf weight (Figure 4B).
The dry weight of Italian ryegrass did not differ among the three cultivars in all developmental stages, up to the first cut in both the first and second cropping seasons, while the stem dry weights at the second cuts were the highest in “Hanamiwase”, and “Kyushu 1” and “Hanamiwase” in the first and second seasons, respectively (Figure 4C).
In the first growing season of spring maize, when the sowing date was 20 days later than in the second growing season, the rise in the crop growth rate (CGR) was delayed by about 200 °C and CGR reached its peak around 50 g·m−2·day−1 at harvest (Figure 5A). In the second season, the rise in CGR was faster in the cultivars of “Neo Deny Acyl” and “Anjou 284, RM 90” than “Snow Dent, RM 108”, while “Snow Dent” surpassed the other two cultivars after 800 °C up to harvest, followed by “Neo Dent Acyl, RM 90”, and the lowest in “Anjou 284, RM 90”, as shown in Figure 5A.
Figure 5.
Changes in crop growth rate against effective cumulative temperature (ECT) in spring maize (A), pearl millet (B), and twice-cut Italian ryegrass (C,D) in two cropping seasons.
Pearl millet “NatsuItalian” tended to have a similar CGR up to 600 °C among the two seasons, while CGR was higher in the second season than in the first season due to the higher ECT (Figure 5B). Italian ryegrass in the first season delayed the rise of CGR by 300 °C when compared with the second season for the first-cut plants, while the rise of CGR was uniformly faster among the two seasons in the second-cut plants due to the optimum temperature for the regrowth of grass in February and March (Figure 5C,D). For the second-cut plants, the CGR values were higher in the second season than in the first season among the three cultivars (Figure 5C).
The plant DM yields of spring maize, pearl millet, and Italian ryegrass in both the first and second seasons showed that DM production of maize increased from the first to the second season when ECT increased by 40 °C, which suggested that the thermal condition has positive physiological effects on plant DM productivity (Table 1). On the other hand, DM yield in pearl millet “NatsuItalian” decreased from the first to the second season, despite the increase in ECT from 979 °C to 1050 °C. The precipitation in July 2017 was significantly lower than that in July 2016, when the pearl millet was in the early vegetative stage, and the drought conditions might have hindered growth.
Table 1.
Fractionated dry matter proportion, dry matter yield, total digestible nutrients (TDN) concentration, TDN yields and maturity of spring maize, pearl millet, and Italian ryegrass in the 2016–2017 and 2017–2018 seasons.
In general, no differences in DM yield appeared between the maize cultivars “Solido” and “Anjou 284”, and among Italian ryegrass cultivars “Kyushu 1”, “Kyushu No. 2”, and “Hanamiwase”. However, the leaf blade yield was significantly higher in “Anjou 284” than in “Solido”, contrary to the lower stem yield in “Anjou 284” than in “Solido”. The ear percentage of maize was highest in cultivars with RM 108, followed by those with RM 90, and RM 78 across the two growing seasons.
No significant differences appeared in the DM yield for leaves, stems, or ears among either Italian ryegrass cultivar in the first-cut plants. However, the stem DM yield of the second-cut plants in “Hanamiwase” was significantly higher than that in “Kyushu No. 2”.
The TDN concentration in whole plants and TDN yield in stem fractions in the maize cultivar “Anjou 284” were significantly higher than those in “Solido”, while no difference appeared in terms of TDN concentration for each plant fraction, or TDN yield for each plant fraction between the two cultivars. It was also noticeable that both leaf and stem DM yields of “Anjou 284” were significantly higher than those of “Solido”, while no difference appeared in the ear or whole plant DM yields across maize cultivars.
Significant differences appeared in the TDN yields in the leaves and stems in the second-cut Italian ryegrass among the three cultivars, showing the lowest yield in “Kyushu No. 2” due to the lowest TDN yield in stems. However, the TDN yields of Italian ryegrass in the second-cut plants moderately decreased from the first to the second season (Table 1).
The forage quality attributes of IVDMD and concentrations of structural carbohydrates (NDF, ADF, and ADL) in maize, pearl millet, and Italian ryegrass in both the first and second growing seasons (Table 2) showed that no significant differences in IVDMD, NDF, ADF, or ADL appeared between two maize cultivars “Solido” and “Anjou 284” in terms of stem and ear fractions, except for leaf IVDMD, which was significantly higher (p < 0.05) in “Solido” than in “Anjou 284”. On the other hand, significant differences appeared in the stem IVDMD of Italian ryegrass cultivars in the first-cut plants in the first growing season and leaf and stem IVDMD in the second-cut plants in the second season.
Table 2.
Digestibility and fiber concentrations of spring maize, pearl millet and Italian ryegrass in the 2016–2017 and 2017–2018 seasons.
Annual DM and TDN yields in the two growing seasons (Figure 6) showed that the DM and TDN yields in both maize and the second-cut Italian ryegrass were higher in the second growing season than in the first season, since maize used “Snow Dent, RM 108” in the second season from “Anjou 284, RM 90” in the first season, and annual TDN yield was higher in the second season than in the first season (Figure 6). The annual DM yield of the triple crops was 4098 g DM/m2 and 4349 g DM/m2 in the first and second cropping seasons, respectively. The observed TDN were higher in the spring maize (up to 68.2% and 76.8%), pearl millet (up to 60.0% and 67.9%), and Italian ryegrass (up to 71.6% and 68.6%) during the first and second season, respectively, leading to an annual TDN yield of 2357 g DM/m2 and 2938 g DM/m2 in the first and second seasons, respectively.
Figure 6.
Annual dry matter (DM) and total digestible nutrient (TDN) yields of the triple-cropping system in the 2016–2017 and 2017–2018 seasons. *, p < 0.05.
4. Discussion
There is growing concern regarding the impacts of climatic change on forage productivity and quality for livestock animals worldwide. The mitigation of climatic change includes the utilization of different crops, increasing forage production, sowing dates, and improving cropping systems. In southern Kyushu, Japan, Yang et al. [15] developed a triple maize with barley (quadruple) cropping system to achieve a high level of DM yield at 40 Mg/ha in southern Kyushu, Japan. However, in this former study, switching from the preceding to the following crop remained only a few days in difficulty to be carried out, and the DM yields of the second and third maize crops were not very stable due to the adverse effects of heavy rainfall and typhoon damage, and the lower temperature in the growing season, respectively. Therefore, the second and third maize crops and winter barley crop were replaced with tropical and temperate annual grass species to improve stable herbage.
In this study, the second and third maize and the winter barley crops were replaced with pearl millet and Italian ryegrass to achieve quality herbage production. During the 2016–2017 cropping season, spring maize “Anjou 284, RM 90” showed higher DM yield than “Solido, RM 78”, which agreed with the previous findings [15]. Among the three cultivars of maize in the 2017–2018 season, “Anjou 284, RM 90” showed the lowest yield, as compared with cultivars of RM 108, even though the DM yield in Anjou 284 was higher in 2017 than in 2016, which corresponded with the slight increase in ECT (ceiling temperature at 10 °C, as in [36]) by 40 °C from the 2016 season. Early sowing of maize should be more feasible to select the cultivars with an RM of over 90 for this region [37], when it is sown in mid-March.
Pearl millet achieved a yield of 1381 g DM/m2 and 985 g DM/m2, and 823 and 634 g·m−2 of TDN in two months during the first and second growing season, respectively. The yield decrease in the second season may be an effect of drought stress at the early vegetative stage in late July and early-mid August, 2017. Drought stress specifically at the germination stage and during the pre-harvest season is a major stressor to pearl millet, which significantly affects its establishment and crop yield, respectively. However, DM and TDN yield levels of pearl millet under two-month growth were almost comparable with summer maize crops under three-month growth in the previous study [13,15]. No lodging happened in the crop, even by two hits of typhoon in 2017. Pearl millet has the greatest potential among all summer-sown annual forage crops, as it possesses all of the desirable characteristics of forage yield and quality [38], when compared with the other species. It is more robust and quick-growing, more drought resistant, has more profuse tillering and produces a higher number of leaves than proso millet (Panicum miliaceum) and sudangrass (Sorghum bicolor), has a higher leaf/stem ratio than sudangrass and sorghum × sudangrass, and it has better digestibility than sorghum × sudangrass [38] and sorghum [39]. In addition, with the exception of pearl millet, all summer annual grasses, such as sorghum and sudangrass, are known as nitrate accumulators in which nitrates cause prussic acid toxicity and sudden death to livestock when they are harvested at the juvenile stage [40].
In order to maximize the yield for the early winter season, two newly introduced late summer sowing and blast disease-resistant Italian ryegrass cultivars (“Kyushu 1” and “Kyushu No. 2”) were evaluated and compared with an early-autumn sowing Italian ryegrass cultivar (“Hanamiwase”), which is sensitive to blast disease under sowing in late summer and evaluation for two-cutting practices. Typhoon damage in the examined site during the initial establishment in the first season did not affect the DM yield of the first-cut crop in the first season in a range of 205–342 g·m−2 as compared with that in the second season in 211–290 g·m−2. DM yield in “Kyushu 1” was more productive than in “Hanamiwase” and “Kyushu No. 2” for the first- and second-cuts in the two growing seasons among three cultivars, which had the slight negative effect of high precipitation levels in late summer.
Crop growth rate (CGR) is majorly dependent on growing temperature if drought stress is not imposed [41]. Based on our data, DM production in maize, pearl millet, and Italian ryegrass was positively related with CGR, and it was efficient when CGR peaked under the optimum ECT. The early-heading cultivar “Kyushu 1” showed the highest DM yield and CGR in the first and second-cuts in the second season, even though typhoons also hit the region in late October 2017. Higher ECT of the first-cut Italian ryegrass in the first growing season by 222 °C was mainly due to mid-September sowing rather than late-September sowing in the second season. However, high ECT at the sowing season had a negligible effect on the peak of CGR around 10–12 g·m−2·day−1 at the pre-harvest season of the first-cut Italian ryegrass. Therefore, the harvest of pearl millet should better be delayed to mid-September, if the sowing of blast-disease resistant Italian ryegrass is achievable in late September. The fast peak in CGR that was achieved within limited ECT in the second-cut Italian ryegrass was derived from “spring-flush” with early heading in the crop. Therefore, mid- or late-September sowing of Italian ryegrass might be feasible and safe to gain twice cuts until mid-March for the region.
Climatic disasters are inevitable in southern Kyushu, Japan, including low winter temperatures, frost damage on the emergence of maize, heavy rainfall in the rainy season (June to early July), summer drought stress, lodging stress from typhoons in pearl millet and high precipitation levels, and erosion damage at the plant establishment stage of Italian ryegrass from typhoons. Our results indicate that the sowing of maize in early spring obtained a higher DM yield; however, it is possible that the lower than normal precipitation rate in June and July may have positively affected maize yield in the second season. Early-summer sowing of pearl millet was initially productive in the first cropping season, but waterlogging during the initial establishment can affect its production. However, pearl millet still produces a higher yield when compared to other short-term summer forage crops, such as Teff and maize. In addition, it is possible to harvest twice in early-winter and early-spring with the introduction of the newly blast-disease resistant Italian ryegrass cultivars. As observed during this study, it is possible that this triple cropping system can escape the climatic disasters, such as typhoon and heavy rainfall in southern Kyushu.
The forage quality of pearl millet in summer and the first harvest of Italian ryegrass in early-winter can achieve high digestibility of herbages. Italian ryegrass and oats are important forage crops in early-winter and the following spring in southern Kyushu, Japan. However, the conditions for cultivation (high temperature, daylength shift, and temperature shift) of late-summer-sown oats are not favorable, as they influence panicle emergence and subsequent growth [14]. Blast-disease resistant and heat-tolerant Italian ryegrass can be a promising forage crop to compensate for seasonal changes from late summer to fall.
Annual DM and TDN yields of the triple crops was 4098 g DM/m2 and 2377 g·m−2, respectively, in the first cropping season and 4349 g DM/m2 and 2938 g·m−2, respectively, in the second cropping seasons, which surpassed 3100 g DM/m2 in double cropping of maize and Italian ryegrass [42] and 2200 g·m−2 of TDM yield in maize double-cropping system in the region [43].
5. Conclusions
In the first and second seasons, the combination of spring maize, pearl millet, and twice-cut Italian ryegrass achieved higher DM and TDN yields as compared with those in the common maize and Italian ryegrass cropping and successfully avoided yield loss due to the typhoon in mid-September. Blast-resistant and heat-tolerant Italian ryegrass can be a promising forage crop to compensate for seasonal changes from late summer to fall. The present cropping system suggests the feasibility to achieve high-yielding and quality herbage production without being affected by climatic disasters in southern Kyushu, Japan.
Author Contributions
Conceptualization, Y.I., S.I. and M.T.; Formal analysis, S.I. and M.N.; Funding acquisition, K.N.; Investigation, B.L. and Y.Y.; Project administration, K.N.; Supervision, Y.I.; Writing—original draft, B.L.; Writing—review & editing, Y.I.
Funding
This research was partly supported by the grant-in-aid of the special scheme project on regional developing strategy (BRAIN).
Acknowledgments
The authors acknowledge the support by Agri-Partner Miyazaki (Co. Ltd.) for their field operation.
Conflicts of Interest
The authors declare no conflict of interest.
References
- United Nations. World Population Prospects: The 2010 Revision; United Nations: New York, NY, USA, 2011. [Google Scholar]
- Alexandratos, L.; Bruinsma, J. World Agriculture towards 2030/2050 the 2012 Revision; FAO: Rome, Italy, 2012. [Google Scholar]
- Food and Agriculture Organization (FAO). World Agriculture: Towards 2030/2050; Global Perspective Studies Unit; FAO: Rome, Italy, 2006; Available online: http://www.fao.org/fileadmin/user_upload/esag/docs/Interim_report_AT2 050web.pdf (accessed on 19 January 2019).
- Thornton, P.K. Livestock production: Recent trends, future prospects. Philos. Trans. R. Soc. B 2010, 365, 2853–2867. [Google Scholar] [CrossRef]
- Food and Agriculture Organization (FAO). The Future of Food and Agriculture: Trends and Challenges; FAO: Rome, Italy, 2017; Available online: http://www.fao.org/3/a-i6583e.pdf (accessed on 16 January 2019).
- Makkar, H.P. Animal nutrition in a 360-degree view and a framework for future R&D work: Towards sustainable livestock production. Anim. Prod. Sci. 2016, 56, 1561–1568. [Google Scholar]
- Food and Agriculture Organization (FAO). Optimization of Feed Efficiency in Ruminant Production Systems. In Proceedings of the FAO Symposium, Bangkok, Thailand, 27 November 2012. [Google Scholar]
- Makkar, H.P.S.; Beever, D. Optimization of feed use efficiency in ruminant production systems. In Proceedings of the FAO Symposium, Bangkok, Thailand, 27 November 2012. [Google Scholar]
- Sugiura, T.; Sumida, H.; Yokoyama, S.; Ono, H. Overview of recent effects of global warming on agricultural production in Japan. Jpn. Agric. Res. Q. 2012, 46, 7–13. [Google Scholar] [CrossRef]
- Ramirez-Cabral, N.Y.Z.; Kumar, L.; Shabani, F. Global alterations in areas of suitability for maize production from climate change and using a mechanistic species distribution model (CLIMEX). Sci. Rep. 2017, 7, 1–13. [Google Scholar] [CrossRef] [PubMed]
- Prasad, R.; Gunn, S.K.; Rotz, C.A.; Kartsen, H.; Roth, G.; Buda, A.; Stoner, A.M.K. Projected climate and agronomic implicatios for corn production in the Northeastern United States. PLoS ONE 2018, 13, e0198623. [Google Scholar] [CrossRef] [PubMed]
- Debaeke, P.; Pellerin, S.; Scopel, E. Climate-smart cropping systems for temperate and tropical agriculture: Mitigation, adaptation and trade-offs. Cah. Agric. 2017, 26, 1–12. [Google Scholar] [CrossRef]
- Yang, Y.; Li, B.; Ishii, Y.; Idota, S. Forage quality of triple maize crops with winter barley in Kyushu, Japan. Asian J. Crop Sci. 2017, 9, 1–10. [Google Scholar] [CrossRef]
- Katsura, M. Summer-sown cultivation of forage oats and breeding in Japan. Jpn. Agric. Res. Q. 1999, 33, 57–63. [Google Scholar]
- Yang, Y.; Ishii, Y.; Idota, S. Year-round forage yield stability through a system combining triple-maize crops with winter barley in Kyushu, Japan. Am. J. Agric. Biol. Sci. 2016, 11, 19–28. [Google Scholar] [CrossRef]
- Li, B.; Ishii, Y.; Idota, S.; Tobisa, M.; Niimi, M.; Arakawa, A.; Takai, T.; Arima, N.; Nishimura, K. Feasibility of early sowing of spring maize (Zea mays) in triple forage cropping in southern Kyushu, Japan. In Proceedings of the 7th Japan-China-Korea Grassland Conference, Sapporo, Japan, 8–10 July 2018; pp. 202–203. [Google Scholar]
- Andrews, D.J.; Kumar, A.K. Pearl millet for food, feed and forage. Adv. Agron. 1992, 48, 89–139. [Google Scholar]
- Patil, B.D.; Singh, S.A. Forage Crops and Grasses. In Handbook of Agriculture; Viswanath, C.S., Ed.; Indian Council of Agricultural Research: New Delhi, India, 2004; pp. 1353–1417. [Google Scholar]
- Food and Agriculture Organization (FAO). Grassland Index. A Searchable Catalogue of Grass and Forage Legumes; FAO: Rome, Italy, 2009. [Google Scholar]
- Reddy, B.V.S.; Reddy, P.S.; Bidinger, F.; Blümmel, M. Crop management factors influencing yield and quality of crop residues. Field Crops Res. 2003, 84, 57–77. [Google Scholar] [CrossRef]
- Redfearn, D.D.; Venuto, B.C.; Pitman, W.D.; Blouin, D.C.; Alison, M.W. Multilocation annual ryegrass Cultivar performance over a twelve-year period. Crop Sci. 2005, 45, 2388–2393. [Google Scholar] [CrossRef]
- Uddin, W.; Viji, G.; Vince, P., III. Gray Leaf Spot (Blast) of perennial ryegrass turf: An emerging problem for the turfgrass industry. Plant Dis. 2003, 87, 880–889. [Google Scholar] [CrossRef]
- Miura, Y.; Ding, C.; Ozaki, R.; Hirata, M.; Fujimori, M.; Takahashi, W.; Cai, H.; Mizuno, K. Development of EST- derived CAPS and AFLP markers linked to a gene for resistance to ryegrass blast (Pyricularia sp.) in Italian ryegrass (Lolium multiflorum Lam.). Theor. Appl. Genet. 2005, 111, 811–818. [Google Scholar] [CrossRef] [PubMed]
- Rossman, A.Y.; Howard, R.J.; Valent, B. Pyricularia grisea, the correct name for the rice blast disease fungus. Mycologia 1990, 82, 509. [Google Scholar]
- Kusaba, M.; Hirata, K.; Sumida, Y.; Yamagashira, A.; Konagai-Urata, H.; Yaegashi, H. Molecule genetic characterization and host specificity of Pyricularia isolates from annual ryegrass in Japan. J. Plant Path. 2006, 5, 72–79. [Google Scholar]
- Tsunoda, Y.; Fukuhara, H.; Inoue, K.; Kujiro, R.; Mizuno, K.; Fujiwara, K. A study on the occurrence of Italian ryegrass blight caused by blast fungus: Development of a test method for clarifying ecology and resistant breeding. Yamaguchi Agric. Res. Rep. 2003, 54, 29–36. [Google Scholar]
- Moss, M.A.; Trevathan, L.E. Environmental conditions conducive to infection of ryegrass by Pyricularia grisea. Phytopathology 1987, 77, 863–866. [Google Scholar] [CrossRef]
- Watanabe, T.; Miura, Y.; Sasaki, T.; Takamizo, T. Identification of a novel major locus for gray leaf spot resistance in Italian ryegrass (Lolium multiflorum Lam). BMC Plant Biol. 2014, 14, 303. [Google Scholar]
- National Agriculture and Food Research Organization (NARO). List of Varieties of Italian Ryegrass Subspecies (Lolium multiflorum Lam. ssp. Italicum (A. br.) Volkart); National Agriculture and Food Research Organization: Tsukuba, Japan, 2017. [Google Scholar]
- Japan Meteorological Agency. Meteorological Statistical Data for Miyazaki, Miyazaki Prefecture. 2018. Available online: http// www.jma.go.jp/jma/menu/report.html (accessed on 1 March 2019).
- Van Soest, P.J.; Robertson, J.B.; Lewis, B.A. Methods for dietary fiber, neutral detergent fiber, and nonstarch polysaccharides in relation to animal nutrition. J. Dairy Sci. 1991, 74, 3583–3597. [Google Scholar] [CrossRef]
- ANKOM Technology Corporation. ANKOM—Automation Made Simple; ANKOM Technology: Macedon, NY, USA, 2019; Available online: https://www.ankom.com/ (accessed on 19 January 2019).
- Tsurusaki, M.; Munekado, K.; Abe, R. Estimation of TDN concentration common to grass hay and silages. Grassl. Sci. 1990, 36, 139–140. [Google Scholar]
- Committee for the Nutritive Value of Grass and Forage Crops. The Guidebook of Nutritive Values of Herbage and Forage Crop; Hokunoukai: Sapporo, Japan, 1991; pp. 41–45. [Google Scholar]
- Goto, I.; Minson, D.J. Prediction of the dry matter digestibility of tropical grasses using a pepsin-cellulase assay. Anim. Feed Sci. Technol. 1977, 2, 247–253. [Google Scholar] [CrossRef]
- Bonhomme, R. Bases and limits to using degree. day units. Eur. J. Agron. 2000, 13, 1–10. [Google Scholar] [CrossRef]
- Tamaki, M.; Sato, H.; Mitsuhashi, H.; Kikawada, T. A study on genomewide selection for maize (Zea mays L.) breeding in Japanese public sectors: Heritability of maturity- and yield-related traits in the training populations. Japan Agric. Res. Q. 2015, 49, 255–260. [Google Scholar] [CrossRef][Green Version]
- Ball, C.R. Pearl Millet. USDA Farmers Bull. 1903, 168. [Google Scholar]
- Wheeler, J.L.; Mulchahy, C. Consequences for animal production of cyanogenesis in forage sorghum & hay: A review. Trop. Grassl. 1989, 23, 193–202. [Google Scholar]
- Sidhu, P.; Bedi, G.; Meenakshi, V.M.; Mahajan, V.; Sharma, S.; Gupta, K.S.; Gupta, M.P. Evaluation of factors contributing to excessive nitrate accumulation in fodder crops leading to ill-health in dairy animals. Toxicol. Int. 2011, 18, 22–26. [Google Scholar] [CrossRef]
- Hatfield, J.L.; Prueger, J.H. Temperature extremes: Effect on plant growth and development. Water Clim. Extrem. 2015, 10, 4–10. [Google Scholar] [CrossRef]
- Harada, H.; Sunaga, Y.; Kawachi, T. Cesium-137 concentration of forage corn and Italian ryegrass in a double cropping system under different rates of cattle farmyard manure application after the Fukushima Daiichi Nuclear Power Station accident in 2011. Soil Sci. Plant Nutr. 2015, 61, 972–982. [Google Scholar] [CrossRef]
- Kato, N.; Hattori, I.; Sato, K.; Muraki, M.; Kobayashi, R.; Yoshikawa, Y. Suitable maize (Zea mays L.) double-cropping system for silage in northern Kyushu, Japan. Jpn. J. Grassl. Sci. 2018, 64, 1–6, (In Japanese with English Summary). [Google Scholar]
© 2019 by the authors. Licensee MDPI, Basel, Switzerland. This article is an open access article distributed under the terms and conditions of the Creative Commons Attribution (CC BY) license (http://creativecommons.org/licenses/by/4.0/).





