Decadal and Bi-Decadal Periodicities in Temperature of Southern Scandinavia: Manifestations of Natural Variability or Climatic Response to Solar Cycles?
Abstract
1. Introduction
2. Materials and Methods
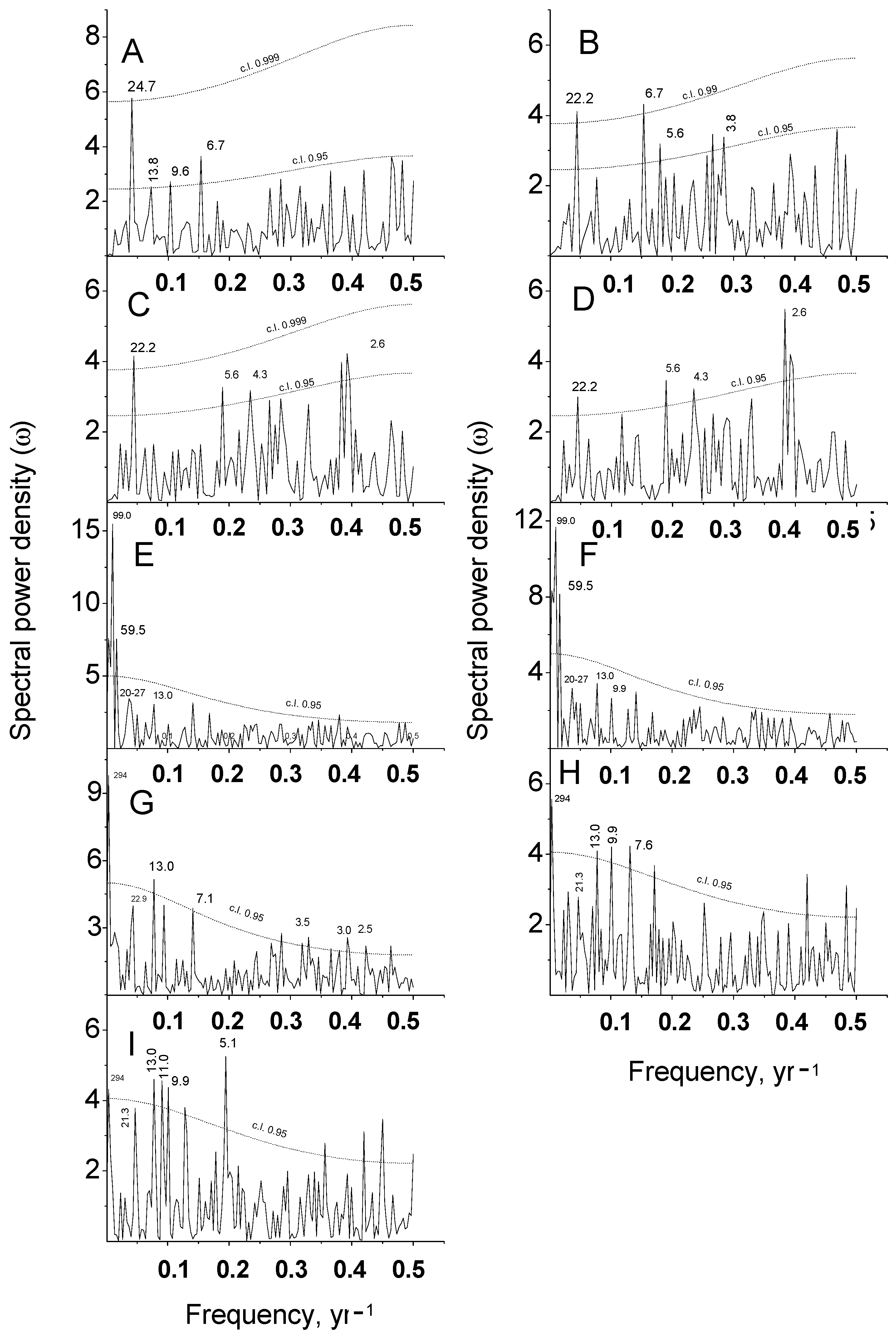
3. Results
- (a)
- The significant (p < 0.05) quasi 22–24 year (bi-decadal) periodicity was found in four records of growing season temperature. In one of them—temperature at gridpoint (55° N, 10° E), the significance of the bi-decadal variation exceeded 0.999.
- (b)
- The significant (p < 0.05) quasi 10–13 year (decadal) periodicity was present in three proxy records of the temperature in the growing season spring and winter.
- (c)
- The significant (p < 0.05) 60 year and 99 year periodicities were present in the summer temperatures of West-Central Scandinavia. These variations were likely manifestations of the century-scale (60–130 years) cyclicity which has been revealed in the Northern Fennoscandia temperature proxies and was attributed to solar activity changes [2,19].
- (a)
- Statistically significant (p < 0.05) negative correlation between climatic records and solar forcing data at a time scale relevant to the Hale (ca. 22 years) cycle was found for three reconstructions of the growing season temperature at latitude 60° N as well as for a proxy of winter temperature in Tallinn. Correlation reached maximum when the phase shift between the solar cycle and climatic reaction was 1 year for the summer temperature at 60° N and 6 years for the winter temperature in Tallinn.
- (b)
- There was no significant correlation between strong 24.7 year periodicity in the growing season temperature at gridpoint (55° N, 10° E) and the solar cycle of Hale.
- (c)
- Statistically significant (p < 0.02) positive correlation between climatic records and solar forcing data at a time scale relevant to the Schwabe (ca. 11 years) cycle was found for three reconstructions of the growing season temperature in West-Central Scandinavia and Finnish Lakeland. Correlation was maximal when the phase shift was 1 year.
- (d)
- There was no significant correlation between the 10–13 year variation of winter temperatures in Tallinn and the solar cycle of Schwabe.
4. Discussion and Conclusions
- (1)
- Obtaining and analyzing new independent reconstructions of temperature of different seasons in SF. It would allow the study of very local temperature variations over this region in more detail.
- (2)
- Obtaining and analyzing the reconstructions of temperature over northeastern Europe area outside SF. It would allow the tracing of the regional distribution of the solar-type periodicities and the manifestations of the possible solar–climatic link in more detail.
- (3)
- Expanding the time interval of the analysis by means of different proxies of the Sun’s activity.
Funding
Institutional Review Board Statement
Informed Consent Statement
Data Availability Statement
Conflicts of Interest
References
- Ogurtsov, M.G.; Kocharov, G.E.; Lindholm, M. Solar activity and regional climate. Radiocarbon 2001, 43, 439–447. [Google Scholar] [CrossRef][Green Version]
- Ogurtsov, M.; Lindholm, M.; Jalkanen, R.; Veretenenko, S.V. New evidence of solar variation in temperature proxies from Northern Fennoscandia. Adv. Space Res. 2013, 52, 1647–1654. [Google Scholar] [CrossRef]
- Ogurtsov, M.; Veretenenko, S.V.; Helama, S.; Jalkanen, R.; Lindholm, M. Assessing the signals of the Hale solar cycle in temperature proxy records from Northern Fennoscandia. Adv. Space Res. 2020, 66, 2113–2121. [Google Scholar] [CrossRef]
- Haltia-Hovi, E.; Saarinen, T.; Kukkonen, M.A. 2000-year record of solar forcing on varved lake sediment in eastern Finland. Quat. Sci. Rev. 2007, 26, 678–689. [Google Scholar] [CrossRef]
- Helama, S.; Fauria, M.M.; Mielikäinen, K.; Timonen, M.; Eronen, M. Sub-Milankovitch solar forcing of past climates: Mid and late Holocene perspectives. GSA Bull. 2010, 122, 1981–1988. [Google Scholar] [CrossRef]
- Ogurtsov, M.G.; Raspopov, O.M.; Helama, S.; Oinonen, M.; Lindholm, M.; Jungner, H.; Meriläinen, J. Climatic variability along a North-South transect of Finland over the last 500 years: Signature of solar influence or internal climate oscillations? Geogr. Ann. 2008, 90, 141–150. [Google Scholar] [CrossRef]
- McCarroll, D.; Loader, N.J.; Jalkanen, R.; Gagen, M.H.; Grudd, H.; Gunnarson, B.E.; Kirchhefer, A.J.; Friedrich, M.; Linderholm, H.W.; Lindholm, M.; et al. A 1200-year multiproxy record of tree growth and summer temperature at the northern pine forest limit of Europe. Holocene 2013, 23, 471–484. [Google Scholar] [CrossRef]
- Veretenenko, S.; Ogurtsov, M. Regional and temporal variability of solar activity and galactic cosmic ray effects on the lower atmosphere circulation. Adv. Space Res. 2012, 49, 770–783. [Google Scholar] [CrossRef]
- Ogurtsov, M.; Veretenenko, S.; Lindholm, M.; Jalkanen, R. Possible solar-climate imprint in temperature proxies from the middle and high latitudes of North America. Adv. Space Res. 2016, 57, 1112–1117. [Google Scholar] [CrossRef]
- Sfîcă, L.; Iordache, I.; Voiculescu, B. Solar signal on regional scale: A study of possible solar impact upon Romania’s climate. J. Atmos. Solar Terr. Phys. 2018, 177, 257–265. [Google Scholar] [CrossRef]
- Briffa, K.R.; Jones, P.D.; Schweingruber, F.H. Summer temperature patterns over Europe: A reconstruction from 1750 A.D. based on maximum latewood density indices of conifers. Quat. Res. 1988, 30, 36–52. [Google Scholar] [CrossRef]
- Zhang, P.; Linderholm, H.W.; Gunnarson, B.E.; Björklund, J.; Chen, D. 1200 years of warm-season temperature variability in central Scandinavia inferred from tree-ring density. Clim. Past 2016, 12, 1297–1312. [Google Scholar] [CrossRef]
- Gunnarson, B.E.; Linderholm, H.W.; Moberg, A. Improving a tree-ring reconstruction from west-central Scandinavia: 900 years of warm-season temperatures. Clim. Dyn. 2011, 36, 97–108. [Google Scholar] [CrossRef]
- Helama, S.; Vartiainen, M.; Holopainen, J. A palaeotemperature record for the Finnish Lakeland based on microdensitometric variations in tree rings. Geochronometria 2014, 41, 265–277. [Google Scholar] [CrossRef]
- Leijonhufvud, L.; Wilson, R.; Moberg, A.; Söderberg, J.; Retsö, D.; Söderlind, U. Five centuries of Stockholm winter/spring temperatures reconstructed from documentary evidence and instrumental observations. Clim. Change 2010. [Google Scholar] [CrossRef]
- Tarand, A.; Nordli, P. The Tallinn temperature series reconstructed back half a millennium by use of proxy data. Clim. Change 2001, 48, 189–199. [Google Scholar] [CrossRef]
- SILSO. World Data Center–Sunspot Number and Long-term Solar Observations, Royal Observatory of Belgium, on-line Sunspot Number catalogue. 2019. Available online: http://www.sidc.be/SILSO (accessed on 21 May 2021).
- Ferreira, S.E.S.; Potgeiter, M.S. Long-Term Cosmic-Ray Modulation in the Heliosphere. Astrophys. J. 2004, 603, 744–752. [Google Scholar] [CrossRef]
- Ogurtsov, M.G.; Kocharov, G.E.; Lindholm, M.; Meriläinen, J.; Eronen, M.; Nagovitsyn, Y.A. Evidence of solar variation in tree-ring-based climate reconstructions. Sol. Phys. 2002, 205, 403–417. [Google Scholar] [CrossRef]
- Veretenenko, S.; Pudovkin, M. Latitudinal dependence of helio/geophysical effects on the solar radiation input to the lower atmosphere. J. Atmos. Solar Terr. Phys. 2000, 62, 567–572. [Google Scholar] [CrossRef]
- Mendoza, B. Total solar irradiance and climate. Adv. Space Res. 2005, 35, 882–890. [Google Scholar] [CrossRef]
- Marsh, N.; Svensmark, H. Low cloud properties influenced by cosmic rays. Phys. Rev. Lett. 2000, 85, 5004–5007. [Google Scholar] [CrossRef] [PubMed]
- Palle, E.; Buttler, C.J.; O’Brien, K. The possible connection between ionization in the atmosphere by cosmic rays and low level clouds. J. Atmos. Solar Terr. Phys. 2004, 66, 1779–1790. [Google Scholar] [CrossRef]
- Veretenenko, S.; Ogurtsov, M. Stratospheric polar vortex as a possible reason for temporal variations of solar activity and galactic cosmic ray effects on the lower atmosphere circulation. Adv. Space Res. 2014, 54, 2467–2477. [Google Scholar] [CrossRef]


| Reference | Region | Type of Proxy Data | Season | Period |
|---|---|---|---|---|
| Briffa et al. [11] | (55° N, 10° E) | MXD | April–September | 1750–1975 |
| Briffa et al. [11] | (60° N, 10° E) | MXD | April–September | 1750–1975 |
| Briffa et al. [11] | (60° N, 20° E) | MXD | April–September | 1750–1975 |
| Briffa et al. [11] | (60° N, 30° E) | MXD | April–September | 1750–1975 |
| Zhang et al. [12] | West-Central Scandinavia (62.8–63.2° N, 13.2–14.9° E) | MXD | April–September | 1700–2000 |
| Gunnarson et al. [13] | Jämtland (62.2–62.3° N, 13.15–13.6° E) | MXD | April–September | 1700–2000 |
| Helama et al. [14] | Finnish Lakeland (61.8–62.85° N, 25.48–31.17° E) | MXD | May–September | 1700–2000 |
| Leijonhufvud et al. [15] | Stockholm (59.2° N, 18.03° E) | H | January–April | 1756–2000 |
| Tarand and Nordli [16] | Tallinn, Estonia, (59.4° N, 24.75° E) | H | December–March | 1700–2000 |
| Reconstructed Variable (Reference) | Region | Period | Schwabe (9–14 Years) | Hale (18–25 Years) |
|---|---|---|---|---|
| Briffa et al. [11] | (55° N, 10° E) | 1750–1975 | 24.7 | |
| Briffa et al. [11] | (60° N, 10° E) | 1750–1975 | 22.2 | |
| Briffa et al. [11] | (60° N, 20° E) | 1750–1975 | 22.2 | |
| Briffa et al. [11] | (60° N, 30° E) | 1750–1975 | 22.2 | |
| Zhang et al. [12] | West-Central Scandinavia (62.8–63.2° N, 13.2–14.9° E) | 1700–2000 | ||
| Gunnarson et al. [13] | Jämtland (62.2–62.3° N, 13.15–13.6° E) | 1700–2000 | ||
| Helama et al. [14] | Finnish Lakeland (61.8–62.85° N, 25.48–31.17° E) | 1700–2000 | 13.0 | |
| Leijonhufvud et al. [15] | Stockholm (59.2° N, 18.03° E) | 1756–2000 | 13.0, 9.9 | |
| Tarand and Nordli [16] | Tallinn, Estonia, (59.4° N, 24.75° E) | 1700–2000 | 13.0, 11.0, 9.9 |
| Region | Period | Schwabe (9–14 Years) | Hale (18–25 Years) |
|---|---|---|---|
| (55° N, 10° E) | 1750–1975 | −0.04 (1, <0.5) | −0.26 (2, 0.75) |
| (60° N, 10° E) | 1750–1975 | 0.15 (1, 0.83) | −0.61 (1, 0.963) |
| (60° N, 20° E) | 1750–1975 | 0.16 (0, 0.84) | −0.65 (1, 0.982) |
| (60° N, 30° E) | 1750–1975 | 0.16 (0, 0.82) | −0.64 (1, 0.985) |
| West-Central Scandinavia (62.8–63.2° N, 13.2–14.9° E) | 1700–2000 | 0.31 (1,0.993) | −0.20 (2, 0.78) |
| Jämtland (62.2–62.3° N, 13.15–13.6° E) | 1700–2000 | 0.34 (1, 0.988) | −0.26 (2, 0.80) |
| Finnish Lakeland (61.8–62.85° N, 25.48–31.17° E) | 1700–2000 | 0.27 (1, 0.985) | −0.21 (2, 0.55) |
| Stockholm (59.2° N, 18.03° E) | 1756–2000 | 0.08 (0, <0.5) | −0.47 (6, 0.86) |
| Tallinn, Estonia, (59.4°N, 24.75° E) | 1700–2000 | −0.09 (0, <0.5) | −0.56 (6, 0.983) |
Publisher’s Note: MDPI stays neutral with regard to jurisdictional claims in published maps and institutional affiliations. |
© 2021 by the author. Licensee MDPI, Basel, Switzerland. This article is an open access article distributed under the terms and conditions of the Creative Commons Attribution (CC BY) license (https://creativecommons.org/licenses/by/4.0/).
Share and Cite
Ogurtsov, M. Decadal and Bi-Decadal Periodicities in Temperature of Southern Scandinavia: Manifestations of Natural Variability or Climatic Response to Solar Cycles? Atmosphere 2021, 12, 676. https://doi.org/10.3390/atmos12060676
Ogurtsov M. Decadal and Bi-Decadal Periodicities in Temperature of Southern Scandinavia: Manifestations of Natural Variability or Climatic Response to Solar Cycles? Atmosphere. 2021; 12(6):676. https://doi.org/10.3390/atmos12060676
Chicago/Turabian StyleOgurtsov, Maxim. 2021. "Decadal and Bi-Decadal Periodicities in Temperature of Southern Scandinavia: Manifestations of Natural Variability or Climatic Response to Solar Cycles?" Atmosphere 12, no. 6: 676. https://doi.org/10.3390/atmos12060676
APA StyleOgurtsov, M. (2021). Decadal and Bi-Decadal Periodicities in Temperature of Southern Scandinavia: Manifestations of Natural Variability or Climatic Response to Solar Cycles? Atmosphere, 12(6), 676. https://doi.org/10.3390/atmos12060676
