Abstract
Remote sensing satellite monitoring involving the use of shortwave infrared (SWIR) solar backscatter radiation to measure atmospheric CH4 column concentrations provides wide−ranging and accurate data for quantitatively determining atmospheric CH4 emissions and is highly important for human studies of atmospheric composition and environmental protection. The ESA−launched Sentinel−2 satellite equipped with a tropospheric monitoring instrument (TROPOMI) can provide the concentration of CH4 columns in every piece of the global atmosphere every day. However, these data may be affected by surface albedo, SWIR, aerosols, cirrus cloud scattering, and other factors. The greenhouse gas observing satellite (GOSAT) launched by Japan has fairly accurate data that are minimally affected by the aforementioned factors; however, its data density is much less than that of the TROPOMI. In this study, we propose a CH4 model that combines the TROPOMI and GOSAT data. We construct the model by analyzing the data from the TROPOMI and GOSAT at the same location at the same time. Then, we apply the proposed model to a certain location at a certain time with TROPOMI data but without GOSAT data to obtain a large range of high−precision CH4 data. The most developed urban agglomeration in the Yangtze River Delta in China was selected for model construction and the correlations between the TROPOMI and GOSAT data and their spatial and temporal trends were analyzed. First, we analyzed the CH4 concentrations in the same area measured by both models. The results revealed a high degree of temporal and spatial correlation in the YRD region. The correlation coefficient reached 0.71 in the metropolitan area of the YRD. At the small−city scale, the correlation is much more significant, with the correlation reaching 0.80, 0.79, and 0.71 for Nanjing, Shanghai, and Ningbo, respectively. The most accurate model was screened through comparative construction to calibrate the TROPOMI data and high−precision and high−coverage CH4 concentration information was obtained for the study area. Five models (linear model, quadratic term model, cubic term model, lognormal model, and logistic model) were used to select the best−fitting model. The magnitudes of the differences in the CH4 concentrations calculated by each model were compared. The final results showed that the linear model, as the prediction model, had the highest accuracy, with a coefficient of determination (R22) of 0.542. To avoid the specificity of the constructed model, we used the same method in several simulations to validate. The coefficient of determination of the model constructed with different stochastic data was greater than 0.5. Subsequently, we used Nanjing as the study area and applied the same method to construct the model. The coefficient of determination of the model (R22) was approximately 0.601. The model constructed in this research can be used not only for data conversion between the same products from different sensors to obtain high−precision data products but also for calibrating newly developed satellite data products that utilize mature data products.
1. Introduction
In the context of global warming, the climate problems caused by greenhouse gas (GHG) emissions have received widespread attention in recent years [1,2,3,4,5,6]. In December 2020, at the 75th Session of the United Nations General Assembly, China formally and explicitly proposed reducing the intensity of carbon emissions and formulating an action program for carbon emissions peaking by 2030, followed by a steady decline after peaking [7]. CH4 is one of the major GHGs. Before the industrial revolution, the atmospheric concentration of CH4 remained at approximately 790 parts per billion (ppb). However, in the past 150 years, the CH4 concentration has continued to increase. According to the latest data from the Mauna Kea Observatories in Hawaii, atmospheric CH4 concentrations have approached 1920 ppb [8]. According to the NOAA−ESRL Global Monitoring Laboratory, CH4 contributes up to 20%–39% of the global greenhouse effect [9,10]. Compared with CO2 control, CH4 emission reduction entails low−cost operation and has obvious climate benefits. Reducing CH4 emissions can effectively curb the rate of global warming and sea level rise and reduce the magnitude of mid−century warming; additionally, reducing CH4 emissions is essential for achieving long−term temperature control goals [11,12]. Therefore, obtaining a more accurate CH4 concentration in the atmosphere is important for analyzing CH4 sources and sinks and assessing and predicting the changing trend of CH4 concentrations.
Satellite remote sensing observations have the advantages of rapid observation speeds, low costs, and synchronized monitoring over large areas and have become effective methods for obtaining global sustained observations of atmospheric CH4 concentrations [13,14]. At present, the satellites capable of CH4 detection include the Sentinel−5P satellite of the European Space Agency, which carries the tropospheric monitoring instrument (TROPOMI) with high−resolution and high−sensitivity CH4 monitoring capability; the greenhouse gas observing satellite (GOSAT), which was launched by Japan and carries the thermal and near−infrared (NIR) sensing system (TANSO−FTS) instrument, which has high resolution and high sensitivity; and the GOSAT, which was launched by Japan and has a high resolution and high sensitivity CH4 monitoring capability. A thermal and near−infrared (NIR) sensor for carbon observation, the Fourier transform spectrometer (TIR), was used to measure radiation in the atmosphere and determine GHG concentrations and distributions. In addition, the United States National Aeronautics and Space Administration has a number of satellites for CH4 monitoring, including the moderate resolution imaging spectroradiometer (MODIS) instrument on the Terra satellite and the atmospheric infrared sounder (AIRS) instrument on the Aqua satellite. Among them, the GOSAT and TROPOMI are among the most widely used satellites and sensors; although the accuracy of satellite remote sensing observations is still insufficient compared with ground−based monitoring, their inversion products have been widely used in the study of the spatial and temporal evolution of the global atmospheric CH4 concentration and its source and sink information [15]. The GOSAT has provided accurate data since 2009. Data from 2009 GOSAT observations were analyzed by Zhang et al., who inverted the CH4 data observed by the GOSAT from June 2009 to November 2011 and analyzed its spatial and temporal variation characteristics [16].
Monteil et al. [17] used the TM5−4DVAR inverse modeling framework to explore the use of GOSAT inversions in inverse modeling and analyzed the results of these inversions in comparison with those retrieved using SCIAMACHY and those from the National Oceanic and Atmospheric Administration. Saito et al. [18] used GOSAT CH4 data to estimate global surface CH4 fluxes and surface fluxes to simulate the 3D global distribution of atmospheric CH4 concentrations. Kuze [19] used a range of available GOSAT data for emission detection from a single point source to detect CH4 emissions from individual local sources. Byckling et al. [20] reported regional monthly CH4 and CO2 fluxes from GOSAT column data by using an ensemble Kalman filter and the GEOS–Chem chemical transport model and compared these posterior values against those inferred from surface mole fraction data, allowing carbon surface fluxes of CO2 and CH4 to be observed. The Sentinel−5P satellite equipped with the TROPOMI sensor was launched in 2017 and additional application studies have been conducted. Zhang [21] reported that the remote sensing inversion products of the Sentinel−5P satellite TROPOMI sensor exhibited obvious spatial aggregation and temporal variations in the atmospheric CH4 concentration in China in 2018. Yang [22] explored the spatial distribution characteristics and temporal variation characteristics of CH4 concentrations in the alpine peatland of Ruoergai against the background of climate change based on low−resolution AIRS and medium−resolution TROPOMI remote sensing data. Liu et al. [23] used the TROPOMI CH4 product to estimate CH4 emissions from agricultural areas in eastern Ontario, allowing the predictions of agricultural CH4 emissions in eastern Ontario to be validated. Hachmeister et al. [24] inversely extrapolated TROPOMI−derived data to obtain the latest global CH4 concentration trends. Jerome et al. [25] used CH4 data from the high−resolution TROPOMI dataset for processing and simple classification to detect anomalous emissions from various sources. Maurya et al. [26] used TROPOMI data to monitor the spatial and temporal variations in CH4, a major atmospheric pollutant, via cloud computing and demonstrated the usefulness and stability of the TROPOMI in monitoring and assessing air quality and pollutant distribution. Gao et al. [27] used the CH4 data from the TROPOMI to obtain global oil and gas CH4 source observations. Dimitrova et al. [28] used TROPOMI data for the spatial and temporal monitoring of air pollution in the largest industrial area in Bulgaria and determined the level of pollution from sources and CH4 emissions in the industrial area.
Although the GOSAT and TROPOMI provide numerous CH4 monitoring data, they differ in their characteristics and working modes. The GOSAT obtains data from subsatellite points, which implies monitoring relatively few targets [29]. Moreover, the GOSAT mainly observes the infrared rays radiated by the sun and reflected by the ground surface and those radiated by the ground surface and the atmosphere itself. As infrared rays pass through carbon dioxide and CH4, specific wavelengths are absorbed. These wavelengths can subsequently be used to deduce the concentrations of these two gases in the atmosphere. Once the specific wavelengths of carbon dioxide and CH4 are absorbed, the concentrations of these two gases in the atmosphere can be deduced. Only the data from the corresponding ground point of the satellite can be selected and only 2% to 5% of the collected data can be used for calculating the column concentration of CH4. These situations can be explained by the condition that only the area under clear sky conditions is selected, resulting in a sparse selection of the data points. Moreover, the data points are based on pixels with a diameter of 10.5 km as units spaced approximately 270 km apart and have a return time of three days. The TROPOMI, as a push−scan spectrometer, allows observations to be gathered using high−resolution telescopes. It can accurately determine the location and spatial resolution of areas to be monitored. The TROPOMI can provide accurate daily data on global atmospheric tropospheric CH4 concentrations. However, the TROPOMI uses a different spectral observation window, has a coarser spectral resolution, and relies on a range of detectors; thus, it is more susceptible to bias than the GOSAT [7]. Given that the strengths and weaknesses of the aforementioned two satellites can be complementary, they can be combined for CH4 detection studies. The synergistic use of data acquired by satellites or sensors with different detection modes for improving the accuracy and usefulness of the data has also been investigated. Schneider et al. proposed the synergistic use of an infrared atmospheric sounding interferometer and TROPOMI data products for modeling by using the same spatial and temporal data. This approach is equivalent to combining products from different sensors, thus saving time and directly benefiting from the high quality and recent improvements of one of the sensors [30]. Butz et al. compared terrestrial inversion data from the first year of the GOSAT program with total carbon column observing network (TCCON) ground−based observations to compare the first year of GOSAT terrestrial inversion data with TCCON ground−based observation data. Butz et al. also obtained highly accurate CH4 data with a root−mean−square deviation of 0.015 ppm after bias correction of the TCCON observation data [31]. However, the aforementioned studies did not involve CH4 concentration monitoring. On the one hand, most of the studies simply use other data to correct the accuracy of CH4 inversion by a certain satellite; however, they do not truly combine the two datasets to obtain high−precision and high−coverage CH4 concentration information. In this study, we plan to construct a functional model to combine the data from the GOSAT and TROPOMI and improve the CH4 detection accuracy of the TROPOMI. The GOSAT information is used to correct bias in the TROPOMI data to obtain much more accurate CH4 concentration information over a relatively large geographic range and a relatively small temporal range.
2. Study Area and Data
2.1. Study Area
This study uses the Yangtze River Delta (YRD) region and the Beijing–Tianjin–Hebei (BTH) region in China as the main study areas. Figure 1 shows the urban agglomerations in the YRD and BTH regions. The YRD is an alluvial plain located in the area before the Yangtze River enters the sea and the region is centered on Lake Taihu. This region is shaped like a butterfly and features a terrain “high in the middle and low around it”, with plains dominating the terrain and low hills in between. The average elevation in the YRD is less than 10 m above sea level. The YRD region is also the first major economic zone in China with the strongest comprehensive strength and is thus regarded as an important international gateway in the Asia−Pacific region. It has a globally important advanced manufacturing base and is the first region in China to be among the world−class urban agglomerations established by the central government. This study, particularly, uses the city as the research object. According to the YRD City Cluster Development Plan issued by the State Council in 2016, the city cluster includes four province−level administrative regions, namely, the Shanghai, Jiangsu, Zhejiang, and Anhui provinces. This urban agglomeration is undoubtedly highly representative of the country. Knowing the spatial and temporal distributions of atmospheric CH4 concentrations and the driving mechanism in this region can provide a decision−making basis for the construction of China’s national ecological civilization and energy conservation and emission reduction. In this manner, China can achieve carbon peaking as early as possible and realize the sustainable development of a low−carbon economy.
Figure 1.
Urban agglomeration in the YRD region.
2.2. Research Data
2.2.1. TROPOMI
The Sentinel−5P satellite is a global atmospheric pollution monitoring satellite that was launched on 13 October 2017 by the ESA. The satellite carries the TROPOMI, which can effectively observe trace gas components, including NO2, O3, SO2, HCHO, CH4, and CO, in the atmosphere worldwide. These trace gas components are important indicators of human activities and allow for the observation of aerosols and clouds. The TROPOMI sensor has an imaging resolution of 7 km × 3.5 km, which is a significant improvement over previous OMI sensors in terms of spatial resolution. The spatial and temporal resolution of the TROPOMI is much better than that of the previous OMI sensor and it is the spectrometer with the most advanced technical performance and the highest spatial and temporal resolution for detecting atmospheric pollution. Additionally, the TROPOMI can be detected once a day but can also cover the whole world [32]. The TROPOMI sensor has a high signal−to−noise ratio. As sensor data have been collected for a long time, satellites can accurately invert the column concentration of trace gases in each altitude layer of the atmosphere to improve the forecasting of air quality capabilities while providing favorable support for regionalized air pollution control [33,34].
2.2.2. GOSAT
The GOSAT, launched by Japan to monitor CO2 and CH4 concentrations, has been in orbit since January 2009 [35]. The GOSAT observes infrared light reflected and emitted from the Earth’s surface and the atmosphere and calculates the column concentrations of CO2 and CH4 based on the observed data. The GOSAT travels at an altitude of approximately 666 km, completes a lap in approximately 100 min, and returns to space within 3 days to the same point in space. The observational instrument onboard the satellite is the thermal and NIR sensor for carbon observation (TANSO). The TANSO consists of two subunits: the Fourier transform spectrometer (FTS) and the cloud and aerosol imager. Moreover, sensors in the visible infrared, NIR, and thermal infrared bands are utilized to observe the absorption and scattering phenomena of target gases in different spectral ranges, enabling the concentration and distribution of GHGs to be determined. The observational data from the GOSAT are important for understanding global climate change, assessing the sources of GHGs, and formulating related policies.
The data used in this research are secondary data from the tropospheric CH4 column concentration for the TROPOMI sensor and secondary data products for the FTS sensor. The coverage period is from January to December 2021. The specific information is shown in Table 1.
Table 1.
TROPOMI and GOSAT data used for the high−precision model.
3. Data Analysis and Comparison
3.1. Satellite Missing Data Rate
When satellite sensors are used for the inversion of trace gas column concentrations, missing values arise. The missing data rate varies across the different sensors, directly affecting the accuracy and range of detection. In this study, we first compare the missing data rate between these two datasets. The missing data rate for satellite data is calculated as follows:
where R denotes the missing data rate of the monthly CH4 column concentration data, V denotes the number of dates in the study area where the data were obtained after monthly data resampling, and N denotes the total number of dates in each month. In this research, the results were obtained using the TROPOMI tropospheric CH4 secondary data and the GOSAT secondary data. After calculating the monthly missing data rate, we were able to obtain the missing data rate for a one−year time horizon. Then, we processed the data for 2021 and calculated the missing data rate for the two types of satellite data. The results are shown in Table 2. A line graph of the missing data rate for the two types of data is shown in Figure 2.
R = V/N,
Table 2.
Missing data rates in 2021 for two types of satellite data (unit:%).
Figure 2.
Missing data rates for two kinds of satellite data in 2021.
Table 1 and Figure 2 show that the missing data from the two sensors in 2021 exhibit the same trend, with high missing data rates in spring and summer and low missing data rates in autumn and winter. Both sensors had the highest missing data rate in April–August 2021, with the missing data rates of the GOSAT and TROPOMI sensors reaching 100% and 40%, respectively. This limitation is mainly due to the influence of weather and vegetation. The urban agglomeration of the YRD is mostly characterized by a subtropical monsoon climate. The spring and summer from May to the rainy season are the cloudiest periods. The winter airflow is mainly associated with dry and cold air in Northwest China. Moreover, when the temperature is low, evaporation is low and clouds are less abundant. This phenomenon leads to a significantly greater percentage of missing data in the summer than in the winter. The missing data rate of the TROPOMI is also much lower than that of the GOSAT, which is mainly due to the different methods used to observe the tropospheric CH4 column concentrations of the two satellites. The observation method of the GOSAT differs from that of land observation satellites, such as Sentinel−5P, which is based on the surface scanning method. The GOSAT involves column scanning at points, which causes the satellite to have a few points selected for detection within the study area. The features in the study area were selected for detection; thus, the percentage of missing data from the GOSAT sensor was much greater than that from the TROPOMI sensor. Therefore, the expected high coverage can be obtained by utilizing TROPOM to monitor atmospheric CH4 concentrations. However, the detection accuracy of TROPOM is lower than that of the GOSAT [36]. The GOSAT is needed to correct the bias in the TROPOMI data and improve the CH4 detection accuracy of the TROPOMI.
3.2. Differences in the Spatial and Temporal Distributions of CH4 Concentrations in the YRD Measured by the TROPOMI and GOSAT
3.2.1. Temporal Differences
The two satellites were first used to simultaneously obtain the atmospheric CH4 concentration in the study area in 2021. Then, the differences in the inversion results were used to analyze the variability of the two monitoring methods on a temporal scale. The column concentrations of CH4 in the urban agglomeration of the YRD region for 2021 measured by the TROPOMI and GOSAT are shown in Figure 3.
Figure 3.
CH4 column concentrations in the YRD urban agglomeration area in 2021 measured by the TROPOMI and GOSAT.
Figure 3 shows the trend plot of the tropospheric CH4 column concentrations obtained by the TROPOMI and GOSAT sensors in our study area during the overlapping time period of the satellite data. The trends in the CH4 column concentrations obtained by both satellites are similar after one year; that is, the CH4 column concentration data obtained by these two sensors have relatively consistent temporal variation characteristics. However, numerically, the results measured by the GOSAT are generally greater than those obtained by the TROPOMI. The average CH4 concentrations measured by both satellites over the whole year are 1921.087, 1921.087, and 1900.435 ppb. A systematic bias that is notoriously difficult to handle for space−based solar backscatter observations is when aerosol and cirrus clouds scatter along the lightpath through the Earth’s atmosphere. The lower spectral resolution of the TROPOMI dataset is susceptible to these factors, resulting in less accurate atmospheric CH4 column concentrations than those of the GOSAT dataset. Furthermore, atmospheric scattering can lead to small measurements. Thus, the atmospheric CH4 column concentrations detected by the TROPOMI are generally marginally lower than the values measured by the GOSAT, as shown in Figure 3. [37].
GOSAT data from July to August 2021 were lacking. Therefore, two values were predicted using the TROPOMI dataset as the atmospheric CH4 column concentrations to replace the GOSAT dataset for these two months. Figure 3 and Table 3 show large differences between the atmospheric CH4 column concentrations measured by the TROPOMI and GOSAT in the summer months, possibly because the GOSAT uses both the NIR and shortwave infrared channels. The sensing ability of the GOSAT for atmospheric CH4 in hotter and more humid summer months is superior to that of the TROPOMI. The measured atmospheric CH4 concentration is also more accurate and slightly greater than that of the TROPOMI. Moreover, with higher humidity in summer and greater scattering factors in the atmosphere (clouds and aerosols), the TROPOMI dataset is highly susceptible to these effects and its measurement results are relatively small. This phenomenon may be explained by the stable atmosphere in winter and the weak vertical mixing of atmospheric constituents. Then, CH4 concentrations are homogeneously distributed in the vertical direction, reducing the discrepancies between different observation techniques. Changes in CH4 emissions may be less dramatic in winter than in summer. Many natural emissions, such as wetland CH4, are released in lower proportions in winter because of low temperatures, resulting in overall lower CH4 emissions in winter. However, the sources become stable, with negligible differences in the observations.
Table 3.
CH4 concentrations in the YRD as measured by satellite data from 2021 (unit: ppb).
3.2.2. Spatial Differences
Large−scale geographic areas (i.e., the BTH region versus the YRD region) and small−scale geographic areas (i.e., different cities in the YRD region) were analyzed to verify the correlation of tropospheric CH4 column concentrations obtained by both the TROPOMI and GOSAT.
Figure 4 shows the trend plot of the tropospheric CH4 column concentrations obtained by the TROPOMI and GOSAT in the urban agglomeration in the BTH region during the overlapping time period of the satellite data. The trends in the CH4 column concentrations in the BTH region obtained by the TROPOMI and GOSAT sensors are similar over time within a year. Furthermore, the variability in the values between the TROPOMI and GOSAT datasets is smaller than that in our research area, with annual average column concentrations of 1895.527 and 1904.375 ppb, respectively, depicting a difference of only 8.848 ppb. The CH4 concentration in the BTH region was slightly lower than that in our research area. This difference is mainly caused by the different geographic locations and crops grown in the BTH region and YRD region. From a geographic location viewpoint, the research area is rich in water resources, has many rivers and lakes, and has a good natural geographic environment for the production of CH4. Moreover, our research area is one of the largest rice−growing areas in China. Rice plants grow in paddy fields and emit more CH4 than dryland crops, such as wheat; these plants grow more in the BTH region [38].
Figure 4.
CH4 column concentrations in the BTH urban agglomeration area in 2021 measured by the TROPOMI and GOSAT.
Figure 3 and Figure 4 show that, regardless of geographical location, the trends in the CH4 column concentration over time in the BTH region obtained by the TROPOMI and GOSAT methods are essentially the same, with a certain degree of significant correlation; however, these findings exclude the possibility of random results being obtained for the data in a certain region. Thus, the data sources from the two sensors can be corrected in an integrated manner. After this study, we plan to focus on the measurement data in the YRD region for processing and analysis.
Figure 5 shows the tropospheric CH4 column concentrations obtained by the TROPOMI and GOSAT in different cities in the YRD region during the overlapping time period of the satellite data. The labels (a), (b), and (c) represent Shanghai, Ningbo, and Nanjing, respectively. The annual CH4 column concentrations in Shanghai, Ningbo, and Nanjing obtained by the TROPOMI and GOSAT were consistent and significantly correlated.
Figure 5.
Atmospheric CH4 column concentrations in major cities in the YRD measured by the TROPOMI and GOSAT: (a–c) represent Shanghai, Ningbo, and Nanjing, respectively.
An integrated analysis indicates that the two datasets are correlated at a certain level, regardless of the large−scale research scope or its subdivision into small−scale research scopes. The findings indicate that the CH4 column concentration data obtained by the two satellites have relatively consistent spatial variability characteristics. Additionally, the correlation improved at the small scale in subsequent analyses, which can be explained by the influencing factors at the small scale being related to those at the large scale. Similarly, there are fewer influencing factors at the small scale than at the large scale; hence, the correlation between the two datasets is better. The seasonal variation in the atmospheric CH4 concentration in Ningbo is smaller than that in Nanjing and Shanghai, probably because Ningbo is located in a coastal area with a mild climate and high relative humidity. The conditions in Ningbo are favorable for the stable existence of CH4 in the atmosphere and, hence, do not easily fluctuate significantly with seasonal change. By contrast, Nanjing and Shanghai (especially the latter) are economically developed and densely populated, with a significant heat island effect, which increases the summer temperatures in these cities and facilitates the production of CH4. Thus, the measured atmospheric CH4 concentrations are also high.
3.3. Correlation Analysis
This study analyzed the correlation between the CH4 concentrations measured by the TROPOMI and GOSAT at the scale of the whole YRD region and those measured at the scale of the cities of Shanghai, Nanjing, and Ningbo. The final results of the correlation analyses are shown in Figure 6 and Figure 7. The correlation values are listed in Table 4.
Figure 6.
Scatterplot of CH4 column concentrations in the urban agglomeration of the YRD region measured by the TROPOMI and GOSAT.
Figure 7.
Scatterplots of CH4 column concentrations in major cities in the YRD region measured by the TROPOMI and GOSAT: (a–c) represent Shanghai, Ningbo, and Nanjing, respectively.
Table 4.
Correlation analysis of CH4 concentrations measured by the TROPOMI and GOSAT.
Figure 6 shows the scatterplots of tropospheric CH4 column concentrations obtained by the TROPOMI and GOSAT sensors in the urban agglomeration area of the YRD region during the overlapping time period of satellite data in 2021. The CH4 column concentrations obtained by the TROPOMI and GOSAT were significantly correlated at certain scales, as shown in Table 4. The correlation coefficient is 0.71 in the urban agglomeration of the YRD and the values are even more significant at smaller urban scales, reaching 0.80 in Nanjing, 0.79 in Shanghai, and 0.79 in Ningbo. Thus, the CH4 column concentrations obtained by these two sensors exhibit consistent spatial and temporal variability.
4. Model Construction and Data Prediction
4.1. Model Construction
From the analysis presented above, given the differences in the working principles and performances of the sensors, the TROPOMI has a large amount of data but with low data accuracy whereas the GOSAT has a small amount of data but with high data accuracy. Therefore, a functional model can be constructed for using GOSAT data to correct the accuracy of the TROPOMI data, allowing a high degree of coverage and high accuracy of the CH4 concentration data to be obtained. In this study, five models (linear model, quadratic term model, cubic term model, lognormal model, and logistic model) were used to select the best−fitting model. Comparisons of the magnitudes of difference in CH4 concentrations calculated by each model were used in the evaluation. The accuracy of the models was evaluated two times by using the coefficient of determination (R2). According to Chicco et al., the coefficient of determination is more informative and realistic than SMAPE in regression analysis and does not have the interpretable limitations of MSE, RMSE, MAE, or MAPE [39]. Therefore, in this study, R2 was used as a standardized metric to evaluate the current model. For analysis and comparison, we use 1 minus the square of the RMSE and abbreviated it as R12 within our article.
The specific steps are as follows:
- The matched TROPOMI and GOSAT tropospheric CH4 column concentration measurements from the 2021 satellite data overlap time period in the urban agglomeration area of the YRD were selected as the raw data for model construction. The dataset was labeled P;
- First, 80% of the measurements were randomly taken and used for model accuracy validation, with the dataset labeled Q1. The remaining 20% of the measurements were subsequently used for model accuracy validation, with the dataset labeled Q2;
- Dataset P was used to construct the five models. The expression of each model was obtained using the regression coefficient R12 of the model, which represents the fit of all the data to the model. However, this scheme does not guarantee the accuracy of the model after it has been used for prediction;
- Dataset Q1 was used for model construction and the TROPOMI measurements from Dataset Q2 (labeled Q2t0) were used as input values for the five models constructed to obtain the corresponding outputs (labeled Q2t);
- The respective model outputs (Q2t) were compared with the GOSAT measurement data (Q2g) in dataset Q2. The sum of the squared differences between two variables (SSR) and the sum of the squared differences between each of the data values of Q2g and its mean (SST) were both calculated;
- The fitting accuracy of the model is calculated as follows:R22= 1 − (SSR/SST).
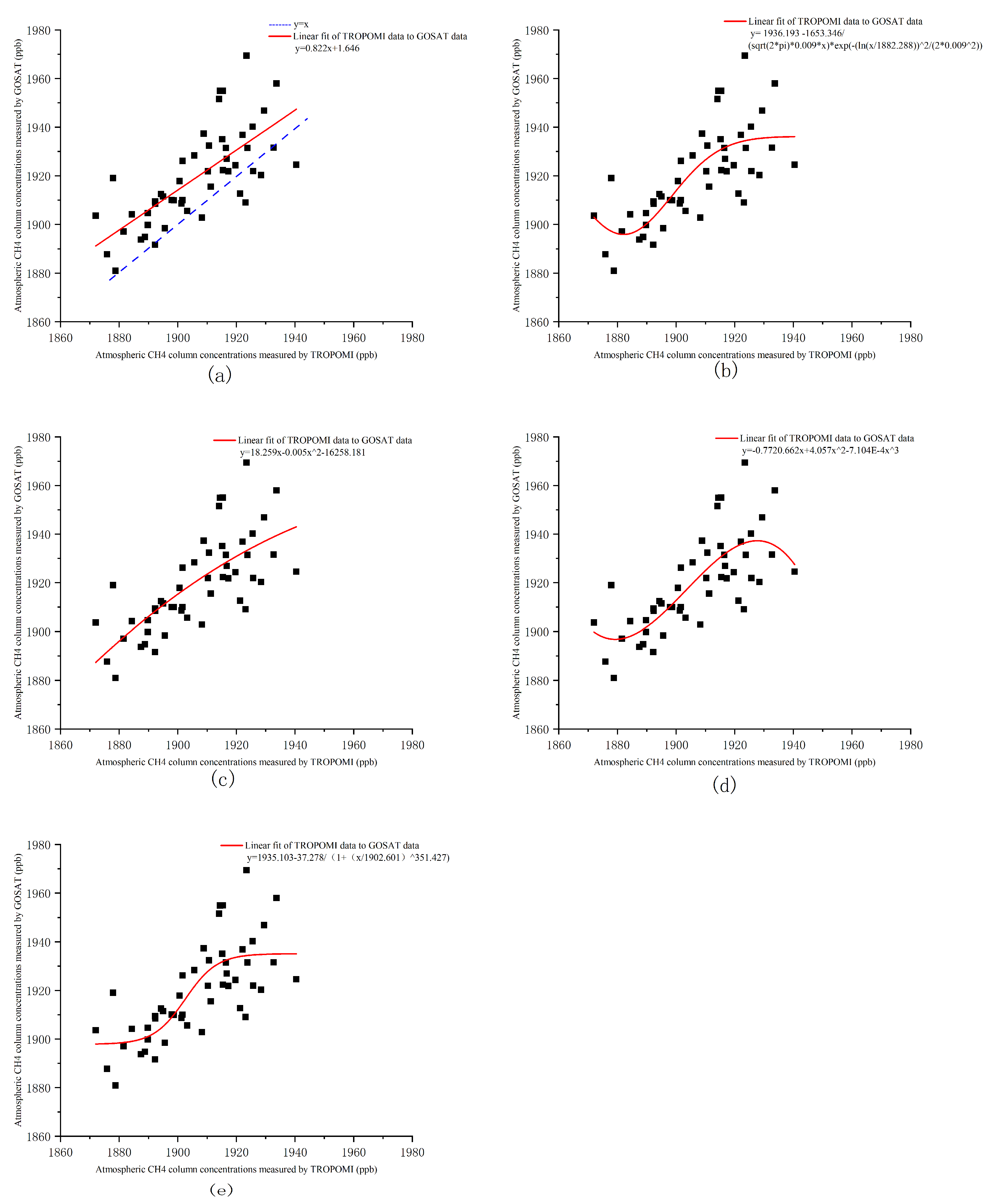
Figure 8 shows the effect of the five fitted models. The final calculated results are shown in Table 5. The logistic model has the highest fitting accuracy when only R12 is considered. However, when R22 is considered, the linear model has the highest accuracy; thus, it was selected as the predictive model.
Figure 8.
Model construction. (a) Linear model, (b) lognormal model, (c) quadratic term model, (d) cubic term model, and (e) logistic model constructed using all the matched TROPOMI and GOSAT tropospheric CH4 column concentration measurements in the 2021 satellite data overlap time period for the urban agglomeration in the YRD region.
Table 5.
Comparison of fitting model accuracies.
Contrasting high values of R12 and R22 were obtained by the logistic model and the linear model, respectively. R12 represents the fit between all the compliant data in the YRD region and the model constructed from these data. The R22 represents the accuracy of the prediction model after such a research method was used for prediction. Moreover, the present model was used to predict accurate CH4 concentrations by using a large range of CH4 data. And we can also find that, in Table 5, the coefficient of determination is larger for the linear and quadratic models while it is smaller for the lognormal, cubic, and logistic models. This is due to the fact that the lognormal, cubic, and logistic models are not generalized enough and R22 is what detects the generalization of the models. Thus, the R22 will be smaller for these three models. When predicting accurate CH4 concentrations, generalized predictions are important; thus, R22 is an important evaluation index. The trend of each model is shown in Figure 8. The prediction from using the TROPOMI data is greater than 1921 ppb, which can be regarded as a poor result; we can therefore infer that the large R12 of the model is related to the good fit of the data for values less than 1921 ppb. Consequently, the prediction model to be selected needs to predict much more accurate CH4 data for arbitrarily sized TROPOMI measurements. For the linear model, R12 was not extremely small and R22 was the largest; thus, it was chosen as the final prediction model. Eighty percent of the data were randomly selected to construct the model. The results are shown in Figure 9. At R12 = 0.509 and R22 = 0.536, the model is suitable for most of the data in the urban agglomeration of the YRD.
Figure 9.
Random predictions by the linear model by using 80% of the YRD city cluster data.
4.2. Accuracy Analysis of Prediction Results
The same method of performing multiple simulations within the YRD city cluster was used to avoid the specificity of the constructed model. Similarly, different random datasets were used to verify the accuracy of the constructed model. The results are shown in Table 6. For the coefficients of determination of the model constructed with different random datasets (i.e., R22), the values are all greater than 0.5. Thus, the model constructed in this study is accurate and stable.
Table 6.
Results of the high−precision linear regression model.
Nanjing was used as the study area to verify the applicability of the model at different spatial scales. The same method of constructing the model was adopted. The R22 coefficient of determination is approximately 0.601. Thus, the model can sufficiently predict city−scale YRD values, further demonstrating the usability of the model.
Finally, all the matched TROPOMI and GOSAT measurements of tropospheric CH4 column concentrations in the urban agglomeration of the YRD from the 2021 satellite data overlap time period were used for modeling:
y = 0.822x + 352.540
4.3. Calculation of Atmospheric CH4 Column Concentrations in the YRD Region Based on TROPOMI and GOSAT Data
The constructed functional model was utilized to obtain high−precision and high−coverage monthly atmospheric CH4 column concentrations for the urban agglomeration in the YRD in 2021. The data were based on the TROPOMI and GOSAT measurements collected over approximately three days as a unit. The results are shown in Figure 10.
Figure 10.
Monthly atmospheric CH4 column concentrations in the urban agglomeration of the YRD in 2021 obtained from the TROPOMI and GOSAT.
The obvious annual cycle of the tropospheric CH4 column concentration can be attributed to emission sources and climatic conditions. The atmospheric CH4 column concentrations have high values in summer and fall, low values in spring, and moderate values in winter. Most of the CH4 concentrations in the urban agglomeration in the YRD region peak in June when the region is about to enter summer and in September when the region is about to leave summer. Additionally, most of the minimum CH4 concentrations occur in April and May. The main reasons for the low CH4 emissions in spring are as follows:
First, spring is the season when everything is revived, plants grow actively, and the intensity of photosynthesis is greater. Thus, the ability of plants to absorb and fix CH4 increases. Second, our study area is not as warm in winter or spring. CH4−producing microorganisms are usually active under warm conditions.
Moreover, CH4 emissions are usually high in the summer and fall for the following reasons: First, the temperature increases in the summer and early fall. Warm temperatures favor microbial activity, resulting in a high microbial output of CH4. Second, rainfall is common in summer and fall, soil moisture is high, and an increase in humidity in an area is conducive to the formation of anaerobic environments, which prompts microbes to produce CH4. Third, summer and fall are the growing periods of rice, an important crop in our study area; one of the most important sources of CH4 is rice paddies [40]. Therefore, the CH4 emissions in summer and fall are greater than those in winter and spring.
4.4. Calculation of the Spatial Distribution of CH4 in the YRD Based on TROPOMI and GOSAT Data
The spatial distribution map was obtained using the correction method mentioned previously. Then, the corrected spatial distribution data were collected. Meanwhile, the null regions not captured by the TROPOMI were interpolated by kriging interpolation, which is a method derived from the theory of regionalized variables. This approach relies on the variational function to represent the spatial variation of an attribute, minimizes the prediction error of its own estimation, and is a highly accurate spatial interpolation method [41]. The ordinary kriging method, in which the kernel function is an exponential function, was used in this study. The semivariable functions include the exponential function, the Gaussian function, and the spherical function. The comparative results are shown in Table 7.
Table 7.
Accuracy assessment of the selection of semivariable functions.
Table 7 shows the different types of errors coinciding with the requirements of a semivariance function acting as an exponential function. The kriging interpolation results indicate high accuracy.
Figure 11a and Figure 12a show the spatial distribution of the total CH4 column concentration in the urban agglomeration of the YRD in spring 2021. The average tropospheric CH4 column concentration is 1887.81 ppb. The distribution pattern of the CH4 column concentration is greater in the eastern and northern parts and lower in the central and southeastern parts of the region. The high atmospheric CH4 column concentrations were mainly distributed in Suzhou City, Jiangsu Province, and Shaoxing City, Zhejiang Province. The low atmospheric CH4 column concentrations are mainly distributed in Zhoushan City, Zhejiang Province, and Lishui City, Zhejiang Province. Figure 11b and Figure 12b show the spatial distribution of the tropospheric CH4 column concentrations in the urban agglomeration of the YRD in the summer of 2021. The average tropospheric CH4 column concentration is 1907.16 ppb. The overall distribution pattern of the CH4 column concentration is greater in the northern part and lower in the central (transition) and southeastern parts. The high atmospheric CH4 column concentrations are mainly distributed in Fuyang City, Anhui Province, and Suqian City, Jiangsu Province. The low atmospheric CH4 column concentrations are mainly distributed in Zhoushan City, Zhejiang Province, and Wenzhou City, Zhejiang Province. Figure 11c and Figure 12c show the spatial distribution of the tropospheric CH4 column concentration in the urban agglomeration area of the YRD in autumn 2021. The mean tropospheric CH4 column concentration is 1906.03 ppb. The CH4 column concentration generally exhibited a greater distribution pattern in the northern part and a lower distribution pattern in the southwestern part. The high atmospheric CH4 column concentrations are mainly distributed in Huaibei City and Huizhou City, Anhui Province. The low atmospheric CH4 column concentrations are mainly distributed in Huangshan City, Anhui Province, and Lishui City, Zhejiang Province. Figure 11d and Figure 12d show the spatial distribution of the tropospheric CH4 column concentration in the urban agglomeration area of the YRD in the winter of 2021. The average tropospheric CH4 column concentration is 1893.11 ppb. In general, the CH4 column concentration exhibited a greater distribution pattern in the northern part and a lower distribution pattern in the southern part. The high atmospheric CH4 column concentrations are mainly distributed in Bengbu City and Huaibei City, Anhui Province. The low atmospheric CH4 column concentrations are mainly distributed in Chizhou City and Huangshan City, Anhui Province.
Figure 11.
Spatial distribution of atmospheric CH4 concentrations in 2021 according to the corrected CH4 column concentration data. Spatial distribution of CH4 concentrations in the urban agglomeration area of the YRD in (a) spring, (b) summer, (c) autumn, and (d) winter.
Figure 12.
CH4 column concentrations of cities in the urban agglomeration of the YRD across the four seasons. Spatial distribution of CH4 concentrations in the urban agglomeration area of the YRD in (a) spring, (b) summer, (c) autumn, (d) winter and (e) average.
The spatial distribution of CH4 in the urban agglomeration area of the YRD tends to increase in the north and decrease in the south across all seasons. The northern part of the YRD region has many paddy fields and wetland paddy fields are among the most important anthropogenic sources of CH4 emissions. In the northern part of the region, rivers and lakes account for a large percentage of the total area. Wetlands, such as waterbodies, are also important sources of natural CH4 emissions [42] and a large number of wetlands and biogenic sources, such as paddy fields, increase CH4 concentrations during the process of growth [43]. Moreover, given the lower latitude in the southern region, the temperature is slightly greater than that in the northern region from a year−round perspective. As the daytime temperature increases, the near−surface boundary layer of the atmosphere rises and the atmospheric vertical diffusion conditions improve. This phenomenon is favorable for the diffusion and dilution of pollutants and GHG concentrations [44], resulting in increasing trends of CH4 concentrations in the north.
The spatial distribution in spring in the urban agglomeration area of the YRD is slightly different from that in the other three seasons. These differences may be explained by the complex weather conditions in spring and the varying topographic conditions that led to vegetative growth. Furthermore, the extent of vegetation cover differs from that in the other three seasons and the emission of CH4 is strongly related to vegetation. Consequently, the spatial distribution of CH4 in the spring was not the same as those in the other three seasons. Across all seasons, certain areas in the western and southwestern parts of Jiangsu Province have CH4 concentrations that are much lower than those in the surrounding areas. This difference is particularly evident in the fall. These phenomena can be explained by the two areas being located in the Hongze Lake and Taihu Lake regions, respectively, where there are few or no CH4 emissions from human activities in large water bodies. In these areas, microorganisms can consume CH4 in water bodies or lake sediments, thus limiting the amount of CH4 released from water bodies to the atmosphere. By contrast, the difference between the tropospheric CH4 concentration over land and the tropospheric CH4 concentration over water bodies is highly pronounced in the fall because of the high levels of tropospheric CH4 over land.
5. Summary
The YRD region of China was used as the study area and the CH4 emissions measured by the TROPOMI and GOSAT in 2021 were analyzed. The rates of missing data from the two sensors exhibited the same trend, with high missing data rates in spring and summer and low missing data rates in autumn and winter. Similarly, the missing data rate in the GOSAT dataset was much greater than that in the TROPOMI dataset, accounting for 86.44% and 21.14%, respectively. The GOSAT had less data but higher accuracy whereas the TROPOMI had more data but lower accuracy. Thus, we combined the GOSAT and TROPOMI datasets. In particular, we used the GOSAT dataset to correct for bias in the TROPOMI dataset to improve the accuracy of CH4 detection in the TROPOMI method, allowing us to further obtain high−coverage and high−precision datasets for the YRD region. Consequently, a model for obtaining this information was constructed in our study.
Before model construction, we first analyzed the CH4 concentrations in the same area measured by both models. The results revealed a high degree of temporal and spatial correlation between the two regions in both large−scale geographic areas (i.e., the BTH region and YRD region) and small−scale geographic areas (i.e., different cities in the YRD region). Additionally, the correlation coefficient reached 0.71 in the metropolitan area of the YRD. At the small−city scale, the correlation between the two regions is much more significant, with the correlation reaching 0.80, 0.79, and 0.71 for Nanjing, Shanghai, and Ningbo, respectively. These findings indicate that a correlation model can be constructed to feasibly combine these two kinds of data.
Subsequently, five models (linear model, quadratic term model, cubic term model, lognormal model, and logistic model) were used to select the best−fitting model. The magnitudes of the differences in CH4 concentrations calculated by each model were compared. The final results showed that the linear model, as the prediction model, had the highest accuracy, with a coefficient of determination (R22) of 0.542. To avoid the specificity of the constructed model, we used the same method in several simulations for the urban agglomeration in the YRD. The coefficient of determination of the model constructed with different stochastic data was greater than 0.5. Then, to verify the applicability of the model at different spatial scales, we used Nanjing as the study area and applied the same method to construct the model. The coefficient of determination of the model (R22) was approximately 0.601. These findings fully prove that the model constructed in this study has good accuracy and stability. The constructed model was subsequently used to calculate the monthly atmospheric CH4 column concentrations in the urban agglomeration of the YRD in 2021 based on the TROPOMI and GOSAT data. Then, the spatial distribution across the four seasons was mapped to analyze the spatial and temporal variations in the CH4 concentration in the urban agglomeration in the YRD region.
The proposed model can improve the accuracy of atmospheric CH4 concentration measurements via the TROPOMI. This approach can be used for global atmospheric CH4 concentrations monitored by the TROPOMI when the data are within the range and location of the constructed model and when the region and time span of the constructed model are relatively small. The more data points used in the constructed model, the more accurate the obtained data will be. Additionally, the model−building framework proposed in this study can be extended to any set of satellite instruments, in which one instrument provides a dataset with a large amount of data but has low data accuracy while the other instrument provides a more accurate but sparser dataset for the same variable. The method proposed in this work offers theoretical references for subsequent related research and can help combine the advantages of two satellites as a means of obtaining higher−quality detection data. Admittedly, our model is relatively simple, the accuracy is not high enough for a larger study area, and the method we used in the article is just an exploration for obtaining more accurate satellite data; we would like to provide a reference for subsequent research and we also very much hope that subsequent scholars can make some improvements to our method.
Author Contributions
This study was completed with the cooperation of all authors. C.X. and T.C. designed the research topic; T.C. conducted the experiment; C.X. checked and analyzed the experimental results; C.X. and T.C. wrote the paper. All authors have read and agreed to the published version of the manuscript.
Funding
This research was funded, in part, by the Natural Science Foundation of Jiangsu Province, China, under Grants BK20180809; in part, by the National Natural Science Foundation of China under Grants 41901274; and in part, by the Talent Launch Fund of Nanjing University of Information Science and Technology under Grant 2017r066.
Institutional Review Board Statement
Not applicable.
Informed Consent Statement
Not applicable.
Data Availability Statement
Publicly available datasets were analyzed in this study. This data can be found here: [https://data2.gosat.nies.go.jp/GosatDataArchiveService/usr/download/DownloadPage/view] [https://s5phub.copernicus.eu/dhus/#/home] (accessed 19 February 2024).
Conflicts of Interest
The authors declare no conflict of interest.
References
- Bai, J.; Fan, Z.; Lin, L.; Li, Q.; Sun, X.; Ma, X.; Li, D. Characteristics of spatial and temporal changes of soil respiration in urban green space in Shenyang. J. Meteorol. Environ. 2020, 36, 105–112. [Google Scholar]
- Shi, T.; Han, G.; Ma, X.; Gong, W.; Chen, W.; Liu, J.; Zhang, X.; Pei, Z.; Gou, H.; Bu, L. Quantifying CO2 uptakes over oceans using LIDAR: A tentative experiment in Bohai Bay. Geophys. Res. Lett. 2021, 48, e2020GL091160. [Google Scholar] [CrossRef]
- Zhang, H.; Han, G.; Ma, X.; Chen, W.; Zhang, X.; Liu, J.; Gong, W. Robust algorithm for precise XCO2 retrieval using single observation of IPDA LIDAR. Opt. Express 2023, 31, 11846–11863. [Google Scholar] [CrossRef] [PubMed]
- Pei, Z.; Han, G.; Mao, H.; Chen, C.; Shi, T.; Yang, K.; Ma, X.; Gong, W. Improving quantification of methane point source emissions from imaging spectroscopy. Remote Sens. Environ. 2023, 295, 113652. [Google Scholar] [CrossRef]
- Shi, T.; Han, G.; Ma, X.; Pei, Z.; Chen, W.; Liu, J.; Zhang, X.; Li, S.; Gong, W. Quantifying strong point sources emissions of CO2 using spaceborne LiDAR: Method development and potential analysis. Energy Convers. Manag. 2023, 292, 117346. [Google Scholar] [CrossRef]
- Pei, Z.; Han, G.; Shi, T.; Ma, X.; Gong, W. A XCO2 Retrieval Algorithm Coupled Spatial Correlation for the Aerosol and Carbon Detection Lidar. Atmos. Environ. 2023, 309, 119933. [Google Scholar] [CrossRef]
- Patra, P.K.; Houweling, S.; Krol, M.; Bousquet, P.; Belikov, D.; Bergmann, D.; Bian, H.; Cameron−Smith, P.; Chipperfield, M.P.; Corbin, K.; et al. TransCom model simulations of CH4 and related species: Linking trans⁃port, surface flux and chemical loss with CH4 variability in the troposphere and lower stratosphere. Atmos. Chem. Phys. 2011, 11, 12813–12837. [Google Scholar] [CrossRef]
- Global Monitoring Laboratory. Globally Averaged Marine Surface Annual Mean Data. Available online: https://gml.noaa.gov/webdata/ccgg/trends/CH4/CH4_mm_gl.txt2023−05−04 (accessed on 7 June 2023).
- Shen, Y. Updating assessment results of global cryospheric change from spm of IPCC wgi fifth assessment report. J. Glaciol. Geocryol. 2013, 35, 1065–1067. [Google Scholar]
- Liu, L.; Zhou, L.; Wen, M.; Zhang, F.; Fang, S.; Yao, B. Characteristics of atmospheric CH4 background concentrations at four national field stations in China. Prog. Clim. Chang. Res. 2009, 5, 285–290. [Google Scholar]
- Ocko, I.B.; Sun, T.; Shindell, D.; Oppenheimer, M.; Hristov, A.N.; Pacala, S.W.; Mauzerall, D.L.; Xu, Y.; Hamburg, S.P. Acting rapidly to deploy readily available CH4 mitigation measures by sector can immediately slow global warming. Environ. Res. Lett. 2021, 16, 054042. [Google Scholar] [CrossRef]
- Shi, T.; Han, G.; Ma, X.; Mao, H.; Chen, C.; Han, Z.; Pei, Z.; Zhang, H.; Li, S.; Gong, W. Quantifying factory−scale CO2/CH4 emission based on mobile measurements and EMISSION−PARTITION model: Cases in China. Environ. Res. Lett. 2023, 18, 034028. [Google Scholar] [CrossRef]
- Pei, Z.; Han, G.; Ma, X.; Shi, T.; Gong, W. A Method for Estimating the Background Column Concentration of CO2 Using the Lagrangian Approach. IEEE Trans. Geosci. Remote Sens. 2022, 60, 1–12. [Google Scholar] [CrossRef]
- Qiu, R.; Han, G.; Li, X.; Xiao, J.; Liu, J.; Wang, S.; Li, S.; Gong, W. Contrasting responses of relationship between solar−induced fluorescence and gross primary production to drought across aridity gradients. Remote Sens. Environ. 2024, 302, 113984. [Google Scholar] [CrossRef]
- Zou, M.; Xiong, X.; Wu, Z.; Li, S.; Zhang, Y.; Chen, L. Increase of atmospheric methane observed from space−borne and ground−based measurements. Remote Sens. 2019, 11, 964. [Google Scholar] [CrossRef]
- Zhang, C.; Qu, Y.; Chestnut, Y. Characterization of spatial and temporal variations of CO2 and CH4 based on remote sensing detection by GOSAT satellites. In Proceedings of the 2012 Western Photonics Symposium Abstracts, Xi’an, China, 21 September 2012; p. 13. [Google Scholar]
- Monteil, G.; Houweling, S.; Butz, A.; Guerlet, S.; Schepers, D.; Hasekamp, O.; Frankenberg, C.; Scheepmaker, R.; Aben, I.; Röckmann, T. Comparison of CH4 inversions based on 15 months of GOSAT and SCIAMACHY observations. J. Geophys. Res. Atmos. 2013, 118, 11807–11823. [Google Scholar] [CrossRef]
- Saito, M.; Niwa, Y.; Saeki, T.; Cong, R.; Miyauchi, T. Overview of model systems for global carbon dioxide and CH4 flux estimates using GOSAT and GOSAT−2 observations. J. Remote Sens. Soc. Jpn. 2019, 39, 50–56. [Google Scholar]
- Kuze, A.; Kikuchi, N.; Kataoka, F.; Suto, H.; Shiomi, K.; Kondo, Y. Detection of CH4 emission from a local source using GOSAT target observations. Remote Sens. 2020, 12, 267. [Google Scholar] [CrossRef]
- Byckling, K.; Boesch, H.; Parker, R.; Webb, A.; Palmer, P.; Feng, L.; Fraser, A. Constraining Carbon Surface Fluxes with GOSAT Column Observations of CO2 and CH4. In Proceedings of the EGU General Assembly Conference Abstracts, Vienna, Austria, 7–12 April 2013; p. EGU2013−8615. [Google Scholar]
- Zhang, S. Spatial and Temporal Distribution of Atmospheric CH4 Concentration and Its Response to Anthropogenic Emissions in China Based on Ground−Based Monitoring and Satellite Remote Sensing. Master’s Thesis, East China Normal University, Shanghai, China, 2022. [Google Scholar] [CrossRef]
- Yang, Y. Study on Spatial and Temporal Changes of CH4 and Climate Impacts in Ruoergai Wetland Based on Remote Sensing Technology. Ph.D. Thesis, University of Electronic Science and Technology, Chengdu, China, 2021. [Google Scholar] [CrossRef]
- Liu, J.; Desjardins, R.; VanderZaag, A.; Worth, D.L.; Worthy, D.; Wunch, D. Assessment of TROPOMI CH4 Product for Estimating CH4 Emissions from an Agricultural Region in Eastern Ontario. In Proceedings of the AGU Autumn Meeting Abstracts, Online, 1–17 December 2020; Volume 2020, pp. A005–A0019. [Google Scholar]
- Hachmeister, J.; Schneising, O.; Buchwitz, M.; Burrows, J.P.; Notholt, J.; Buschmann, M. Recent CH4 trends derived from S5P/TROPOMI data. In Proceedings of the Copernicus Meetings, Online, 1–31 April 2023. [Google Scholar]
- Barré, J.; Aben, I.; Agusti−Panareda, A.; Balsamo, G.; Bousserez, N.; Dueben, P.; Engelen, R.; Inness, A.; Lorente, A.; McNorton, J.; et al. Systematic detection of local CH4 emissions anomalies combining satellite measurements and high−level resolution forecasts. Atmos. Chem. Phys. Discuss. 2020, 7, 3. [Google Scholar]
- Maurya, N.K.; Pandey, P.C.; Sarkar, S.; Kumar, R.; Srivastava, P.K. Spatio−Temporal Monitoring of Atmospheric Pollutants Using Earth Observation Sentinel 5P TROPOMI Data. Impact of Stubble Burning a Case Study. ISPRS Int. J. Geo Inf. 2022, 11, 301. [Google Scholar] [CrossRef]
- Gao, M.; Xing, Z.; Vollrath, C.; Hugenholtz, C.H.; Barchyn, T.E. Global observational coverage of oil and gas CH4 sources with TROPOMI. Res. Sq. 2023, 4, 023012. [Google Scholar]
- Dimitrova, M.; Trenchev, P.; Avetisyan, D.; Spasova, T. Spatio−temporal monitoring of air pollution over Bulgaria’s largest industrial area using Sentinel− 5p TROPOMI data. In Proceedings of the Ninth International Conference on Remote Sensing and Geoinformation of the Environment (RSCy2023), Ayia Napa, Cyprus, 3–5 April 2023; SPIE: Bellingham, WA, USA, 2023; Volume 12786, pp. 615–622. [Google Scholar]
- Wang, T.; Wang, B.; Shen, Y.; Zhao, L. Assessment of the simulation capability of CMIP5 model for Liaoning Province and the time of occurrence of the future 2 °C warming threshold. J. Meteorol. Environ. 2020, 36, 49–61. [Google Scholar]
- Schneider, M. Synergetic use of IASI and TROPOMI for generating a tropospheric CH4 profile product. In Proceedings of the EGU General Assembly Conference Abstracts, Online, 19–30 April 2021; p. EGU21−9757. [Google Scholar]
- Butz, A.; Guerlet, S.; Hasekamp, O.; Schepers, D.; Galli, A.; Aben, I.; Frankenberg, C.; Hartmann, J.M.; Tran, H.; Kuze, A.; et al. Toward accurate CO2 and CH4 observations from GOSAT. Geophys. Res. Lett. 2011, 38, L14812. [Google Scholar] [CrossRef]
- Li, X.W.; Yue, Z.; Sheng, J.; Wang, T.T.; Jiang, X.Y.; Mao, J.J.; Ming, D. Preliminary application of Sentinel−5P satellite TROPOMI sensor in air pollution monitoring in Jiangsu province. Environ. Monit. Early Warn. 2019, 11, 10–16. [Google Scholar]
- Song, J.; Chen, Y.; Liu, Q.; Pan, Q.; Zheng, Y. Analysis of spatial and temporal distribution of formaldehyde and influencing factors in the Yangtze River Delta region based on TROPOMI satellite data. J. Environ. Sci. 2023, 43, 366–374. [Google Scholar]
- Kuze, A.; Suto, H.; Nakajima, M.; Hamazaki, T. Thermal and near infrared sensor for carbon observation Fourier−transform spectrometer on the Greenhouse Gases Observing satellite for greenhouse gases monitoring. Appl. Opt. 2009, 48, 6716–6733. [Google Scholar] [CrossRef] [PubMed]
- Shah, V.; Jacob, D.J.; Li, K.; Silvern, R.F.; Zhai, S.; Liu, M.; Lin, J.; Zhang, Q. Effect of changing NOx lifetime on the seasonality and long⁃term trends ofsatellite⁃observed tropospheric NO2 columns over China. Atmos. Chem. Phys. 2020, 20, 1483–1495. [Google Scholar] [CrossRef]
- Balasus, N.; Jacob, D.J.; Lorente, A.; Maasakkers, J.D.; Parker, R.J.; Boesch, H.; Chen, Z.; Kelp, M.M.; Nesser, H.; Varon, D.J. A blended TROPOMI+ GOSAT satellite data product for atmospheric CH4 using machine learning to correct retrieval biases. Atmos. Meas. Tech. 2023, 16, 3787–3807. [Google Scholar]
- Aben, I.; Hasekamp, O.; Hartmann, W. Uncertainties in the space−based measurements of CO2 columns due to scattering in the Earth’s atmosphere. J. Quant. Spectrosc. Radiat. Transf. 2007, 104, 450–459. [Google Scholar] [CrossRef]
- Xiao, Z.; Lin, X.; Gao, X.; Chen, Y.; Wang, C.; Shi, Y.; Chen, W.; Liu, S.; Xie, J. 2010–2019 Analysis of spatial and temporal variations of CH4 in China and the factors affecting them. Environ. Sci. Technol. 2023, 46, 18A–24A. [Google Scholar]
- Chicco, D.; Warrens, M.J.; Jurman, G. The coefficient of determination R−squared is more informative than SMAPE, MAE, MAPE, MSE and RMSE in regression analysis evaluation. PeerJ Comput. Sci. 2021, 7, e623. [Google Scholar] [CrossRef]
- Tang, Z.; Zhang, J.; Deng, A.; Zhang, W. Spatial and temporal characteristics of CH4 emissions from rice paddies in China and ways to reduce them. Chin. J. Ecol. Agric. 2022, 30, 582–591. [Google Scholar]
- Oliver, M.A.; Webster, R. Kriging: A method of interpolation for geographical information systems. Int. J. Geogr. Inf. Syst. 1990, 4, 313–332. [Google Scholar] [CrossRef]
- Xiao, Q.; Zhang, M.; Hu, Z.; Gao, Y.; Hu, C.; Liu, C.; Liu, S.; Zhang, Z.; Zhao, J.; Xiao, W.; et al. Spatial variations of CH4 emission in a large shallow eutrophic lake in subtropical climate. J. Geophys. Res. Biogeosciences 2017, 122, 1597–1614. [Google Scholar] [CrossRef]
- Feng, M.; Zhang, G.; Xia, L.; Xiong, L.; Li, B.; Kong, P.; Zhan, M.; Zhang, Y. Spatial and temporal distribution of atmospheric CH4 column concentrations in six provinces in the middle and lower reaches of the Yangtze River. Geochemistry 2021, 50, 121–132. [Google Scholar]
- Zhou, M.; Zhang, X.; Mu, Q. Time−varying characteristics of surface CH4 concentration in typical cities of the Yangtze River Delta and its influencing factors. Earth Environ. 2024, 6, 1–8. [Google Scholar]
Disclaimer/Publisher’s Note: The statements, opinions and data contained in all publications are solely those of the individual author(s) and contributor(s) and not of MDPI and/or the editor(s). MDPI and/or the editor(s) disclaim responsibility for any injury to people or property resulting from any ideas, methods, instructions or products referred to in the content. |
© 2024 by the authors. Licensee MDPI, Basel, Switzerland. This article is an open access article distributed under the terms and conditions of the Creative Commons Attribution (CC BY) license (https://creativecommons.org/licenses/by/4.0/).











