Abstract
In this study, the standard tent used by the China International Medical Team (Sichuan) was used as the research object to study the internal temperature change in medical tents in a low-temperature environment relying on heating equipment. Method: Four temperature sensors were arranged along the horizontal direction at a 1.2 m height in the medical tent, and more sensors were installed at heights of 0.1, 0.2, 0.6, 1.2, 1.8, 2.4, and 2.5 m. A total of 11 temperature sensors were set. Temperature tests were conducted in January and February 2021 in Chengdu, Sichuan Province. During the test, the running time of the heating equipment was controlled in real time according to the temperature change trend. A Kolmogorov–Smirnov(K-S) test was used to verify the reliability of the experimental data. The temperature change trend was used to characterize the influence of the heating and cooling equipment on the temperature change inside the tent. Results: Due to the position angle of the heating equipment and the influence of the external environment, the spatial distribution of the ambient temperature inside the medical tent was obviously uneven. In winter, an electric heater with a heating power of about 2500 W can increase the internal temperature of the tent to 16.7 °C, significantly improving the internal thermal environment of the medical tent. The ambient temperature in the medical tent is positively correlated with the height and the installation position of the heating equipment. Conclusion: Medical tents can maintain the ambient temperature well to meet medical needs with the support of heating equipment with sufficient power. The temperature distribution law of medical tents in this experiment has good guiding significance for the placement angle of heating equipment and the configuration position of medical equipment and provides a reference for the development of thermal insulation materials for medical tents.
1. Introduction
In this study, the difference between emergency medical tents and conventional buildings and other emergency buildings was analyzed, and the temperature changes in tents in different environments (heating and no heating) were compared through control experiments. Based on this, the experimental texture, heating mode, and energy efficiency evaluation of emergency medical tents were also analyzed. The results of this experiment can provide a reference for the design of medical tents and have guiding significance in the selection of heating equipment. Figure 1 shows the framework and ideas for this article.
Figure 1.
The framework and ideas for this article.
In recent years, emergency medical tents have played a crucial role in responding to both natural and human-made disasters by providing prompt and feasible medical assistance to affected areas. The medical tent system plays a pivotal role in emergency medical rescue operations, providing essential support for life-saving and injury-management efforts. Its functionalities encompass surgery, first aid, and patient admission, among others, with the maintenance of an appropriate internal environmental temperature being a critical factor in ensuring the smooth operation of these functionalities. Particularly for surgical procedures, the management of the environmental temperature directly impacts the efficacy of the outcomes. According to the “Operating Room Nursing Technical Manual”, heating and cooling equipment should be installed in operating rooms with a minimum winter temperature requirement of 20 °C and a relative humidity level not falling below 30% [1]. However, attributable to the tents’ lightweight construction, their capabilities for thermal insulation and retention are comparatively deficient, leading to pronounced issues with overheating during summer months and excessive cold during winter periods [2,3]. Such conditions often have a detrimental effect on the health of the inhabitants within the tent and may potentially influence medical outcomes [4,5,6]. In order to fulfill the health needs of those inside, emergency medical tents require enhanced management of the internal thermal environment to ensure thermal comfort [7,8,9,10].
The air temperature is a crucial parameter in the thermal environment of the evaluation room and serves as the primary factor influencing the thermal response of the human body, playing a pivotal role in body temperature regulation. Statistical data indicate that mental work efficiency reaches its peak when the temperature is around 25 °C. However, work efficiency sharply declines when temperatures fall below 18 °C or rise above 28 °C. Compared to work efficiency at 25 °C (100%), it drops to only 50% at 35 °C and further decreases to just 30% at 10 °C. Considering hygienics, the lower limit of a building’s thermal environment is around 12 °C [11].
The ambient air temperature determines the temperature difference in the convective heat transfer between the human body surface and the environment, affecting the convective heat transfer, and thus, affecting the thermal balance of the human body. In the face of a cold environment, the body will initially exhibit blood vessel constriction, muscle tension, tremors, and other physiological reactions that do not endanger health. However, when working in an extremely cold environment for a long time, the body temperature will drop and enter the cooling area of the human body because it cannot generate enough heat to maintain thermal balance. Hypothermia is generally considered to be a body temperature below 35 °C, showing severe shivering in the range of 35–32 °C. When it drops below 32 °C, shivering stops, accompanied by heart rate and respiration inhibition and mental confusion. Further cooling may lead to a coma, which is life-threatening at around 22–23 °C. Excessive exposure to a cold environment may also cause local tissue necrosis problems, and direct exposure of the skin has varying degrees of risk of frostbite [12].
Many studies have detailed the reasonable technology for the indoor thermal environment of temporary residential buildings after disasters, and the thermal insulation performance of the selected envelope materials is the main research direction at present [13]. On the one hand, numerous scholars have studied passive methods to regulate the thermal environment of tents [2,14,15,16,17,18]. Their research has concluded that these passive measures cannot fully alleviate the discomfort caused by excessive indoor heat, highlighting the limitations of these approaches in maintaining comfortable indoor temperatures. On the other hand, scholars have also studied active methods to regulate the thermal environment in tents [19,20,21], including air conditioning in summer and heating in winter [14]. However, overall, there is a relative scarcity of research in this area, indicating a gap in the comprehensive understanding of active temperature control strategies in emergency medical tents. Tao et al. [22] concluded that while new materials and designs can improve the thermal environment inside medical tents, they are not fully effective in solving the issues of excessive heat from sunlight or the “cold room effect”. To maintain temperatures in emergency medical tents that meet medical needs, active temperature control remains necessary.
Additionally, scholars are using architectural simulation software to study the thermal load and energy-saving measures in tents. The use of architectural simulation software like Ansys Fluent [23], ESP-r [24], Trnsysv.17 Environment [25], Energy Plus [26], and IDA Indoor Climate and Energy 4.5 [27], is common in these studies. The simulations focus on challenging aspects, such as the translucency of the tent fabric, the air tightness of the tent, and ground heat transfer. These elements are essential for accurate modeling, understanding the thermal dynamics of the tent, and developing effective temperature control strategies. In addition, the study of thermal comfort still has limitations, mainly due to inefficient simulations and challenges in applying the evaluation results early in the design process [28,29].
The existing literature has carried out a lot of research and discussion on the thermal performance of tent emergency building envelopes, the thermal environment characteristics of tents under hot or cold conditions, the improvement effects of various passive environmental control means on the thermal environment of tents, air conditioning and heating methods, the cooling and heating load size, and energy-saving measures. The difference between emergency medical tents and other emergency buildings is that they are reusable and the area of use is not fixed, even across climate zones. Unlike other temporary buildings that only need to provide simple shelter to occupants, emergency medical tents are places where disaster relief workers, such as medical personnel, work, and their internal thermal environment requirements are high.
It is inevitable for emergency medical tents to use air conditioning and heating and other active environmental control means, and passive control means have been pointed out as being unable to thoroughly eliminate a bad thermal environment. The existing active environmental control research is almost all based on the traditional building thermal environment theory, which is unreasonable. The thermal performance and thermal environment characteristics of emergency medical tents under different meteorological conditions need to be studied more systematically, and the thermal environment characteristics and control effects of the active environmental control of air conditioning and heating lack in-depth research. At present, there are many kinds of mature building simulation software that can simulate and calculate the building thermal environment and cooling and heating loads under different meteorological conditions, but the software does not have theories for the basic characteristics of tent emergency buildings, such as the heat transfer of a lightweight envelope structure and the ground heat transfer of temporary buildings. The heat storage capacity of a lightweight envelope is almost negligible, which is different from traditional heavy envelopes. The ground heat transfer of conventional buildings can be considered as a periodic steady state, while the ground heat transfer of temporary buildings is non-periodic, and the influence of heat storage before construction must be considered.
Based on a field experiment in winter, this paper studied the distribution and variation in the ambient temperature inside the medical tents used by the China International Emergency Medical Team in a hot summer and cold winter area (Chengdu). At the same time, by improving the design and heating equipment, the aim was to improve the quality of the thermal environment inside the medical tent to ensure the best comfort for patients and medical staff. The research results provide a reference for the design of medical tents and have guiding significance for the selection of heating equipment.
2. Methods
2.1. Subjects and Setting
2.1.1. Experimental Subjects
The thermal environment of emergency medical tents was measured using the standard tents of the China International Emergency Medical Team (Sichuan, China). Designed manufactured by Beijing Huilong New Technology Co., Ltd. (Beijing, China), these are semi-foldable, double-layered tents with an air gap, measuring 6000 mm × 5000 mm × 2700 mm (length × width × height). These tents, weighing ≤250 kg and withstanding wind up to level 8, are used for triage, medical departments, kitchens, dining areas, and restrooms in field conditions or during emergencies. The frame is made of steel and aluminum alloy, and the covering is white PVC-coated fabric (550 g/m2) less than 5 mm thick, with a thermal conductivity of 0.0814 W/(m·°C). A field test image of the tent in winter conditions is shown in Figure 2.
Figure 2.
Emergency medical tent; winter thermal environment test site.
The parameters of the tent are shown in Table 1. The vertical east and west sides have an area of 9.5 m2; both the north and south angles are 73.3°, and the area is 11.2 m2. The upper two planes have an inclination of 29.3° and an area of 12.7 m2. The thickness of the tarp is less than 5 mm, and the thermal conductivity is about 0.086 m2·K/W. The tent is a double fabric structure with an air compartment.
Table 1.
Thermophysical parameters of the tent model.
2.1.2. Experimental Methods and Test Instruments
To more accurately assess the temperature changes inside emergency medical tents in winter, a series of tests was conducted in Chengdu, Sichuan Province, from 15 January to 10 February 2021. As shown in Table 2, the test groups included scenarios with and without temperature control, as well as conditions with heating. During the testing process, all the doors and windows in the tent were closed, and the gaps were tightly sealed to eliminate obvious air leakage. Figure 3 shows a schematic of the tent doors and windows. This method can comprehensively evaluate the thermal performance of tents under different winter conditions.
Table 2.
Tent thermal environment test conditions.
Figure 3.
Emergency medical tent door and window layout.
Firstly, three days prior to the experiment (15–18 January), a medical tent was established in an open and unobstructed area to acclimate to the surrounding environment and minimize experimental errors and interference. To ensure data reliability and eliminate random errors, the experiment was conducted without heating from 30 January to 4 February when outdoor meteorological conditions exhibited similar changes, as depicted in Figure 4. The average temperature during this period was recorded at 9.48 °C, with the outdoor weather data for these six days serving as the recorded data due to their consistency. Heating experimentation occurred between midnight and eight o’clock on 19 January, which was chosen as the recorded date because it represented the lowest outdoor temperature observed during testing; if heating control could achieve indoor thermal comfort under such adverse weather conditions, it was expected that the tents would maintain indoor thermal comfort with controlled heating equipment.
Figure 4.
Outdoor meteorological data of Chengdu, 30 January–4 February: (a) surface wind speed and air temperature; (b) surface horizontal radiation and relative humidity.
Secondly, this experiment adopted the multi-channel temperature heat flow tester (JTDL-80) manufactured by Jian Tong Technology Co, Ltd., (Beijing, China), which can record the temperature of the measuring point every minute and every hour and automatically record it on its built-in memory card when used with a blue wire thermocouple, which can effectively improve the accuracy of the experiment.
Finally, the outdoor solar radiation intensity, the inner and outer surface temperatures of the tent facade, the interior temperature of the tent, the air temperatures at different levels in the tent, and the air temperature in different directions at the same height in the tent on the selected recorded date were collected and plotted.
Figure 5 and Table 3 provide a detailed overview of the testing equipment and instrument specifications used in this study from an academic editor’s perspective. The experimental platform recorded the variations in the solar total radiation intensity using the solar radiation data logger manufactured by Jian Tong Technology Corporation (Beijing, China) (JTR-13). This instrument allows for the hourly testing of changes in the solar total radiation intensity, automatically recording the total radiation intensity every minute. Variations in the air velocity, relative humidity, and other parameters within the tent were recorded using the indoor air quality tester from TSI Inc. (TrakPro-64, Shoreview, MN, USA), an American company. This instrument can simultaneously measure and store multiple parameters, such as the dry-bulb temperature, black-bulb temperature, relative humidity, air velocity, CO concentration, and CO2 concentration, among others, and calculate the dew point temperature, wet-bulb temperature, and outdoor air relative humidity. The temperature data were recorded using the multi-channel temperature heat flux tester produced by Jian Tong Technology Corporation (JTDL-80), which, when used in conjunction with blue wire thermocouples, can record point temperature data on an hourly basis and automatically store them on its built-in memory card.
Figure 5.
Experimental testing instruments: (a) solar radiation recorder; (b) indoor air quality tester; (c) point thermocouple sensor; (d) multichannel automatic temperature and heat flow recorder.
Table 3.
Experimental test instrument types and accuracy.
2.2. Layout of Measurement Points
Throughout the experiment, a comprehensive range of indoor and outdoor environmental parameters were meticulously measured. These encompassed the outdoor solar radiation intensity, the surface temperatures on both sides of the tent’s facade, the ground temperature within the tent, the air temperature at various heights within the enclosure, and the horizontal air temperature with different orientations at identical heights inside the tent. Temperature sensors were installed on all top and side surfaces, both inside and outside of the tent, as shown in Figure 6. There were a total of 11 sensors for measuring the indoor air temperature, of which 3 were set in the center of the tent at heights of 0.6 m, 1.2 m and 1.8 m, corresponding to the temperature of the human knee, waist and head, and the air temperature of the main living area of the human body [30]. Two sets of sensors were set up at heights of 0.1 m and 0.2 m, respectively, to measure the temperature of the human ankle and calf. In addition, two sensors were placed at heights of 2.4 m and 2.5 m, respectively, to study the temperature distribution at the top of the medical tent. Since the temperature conditions of the human head and feet have an important impact on individual comfort, non-uniform radiation and the temperature difference between the head and the feet will have an impact on human thermal comfort, so monitoring the temperature of the tent top is highly significant for maintaining human thermal comfort [31]. In addition, four other sensors were placed at the 1.2 m height plane. Considering that the height of the emergency bed in the medical tent is 0.4 m, and the height of the operating bed is 0.6–0.95 m, we chose a position of 1.2 m, which is similar to these heights, to obtain the temperature data of the environment of recumbent patients [22].
Figure 6.
Schematic diagram of air temperature measuring points in the tent. A, B, C and A′, B′, C′ play a role in dividing the space inside the tent, helping to visually and objectively determine the specific location of the temperature sensor.
3. Results
3.1. Thermal Environment under Unregulated Winter Conditions
3.1.1. Air Temperature
The air temperature and its horizontal distribution in the tent at a height of 1.2 m under unregulated conditions during part of the winter test period (30 January to 4 February) are depicted in Figure 7. Throughout the experiment, the door curtain of the tent remained closed. Generally, there is uniformity in the horizontal distribution of the air temperature at five measuring points: east, west, south, north, and middle; however, slight unevenness occurs during nighttime hours. The air temperature in the tent fluctuates with changes in the environmental conditions, showing an obvious “synchronous, amplified” “greenhouse” phenomenon, but different from the negative effect of “overheating” in summer, the effect of winter is positive. When receiving solar radiation during the day, part of the tent inside the air temperature was more than 20 °C, or even close to 25 °C, reaching the thermal neutral temperature range. When the solar radiation intensity was weak, the tent air temperature was close to the ambient temperature. At night, the temperature in the tent was slightly higher than the ambient temperature, and sometimes, a “cold room” phenomenon occurred, where it was lower than the ambient temperature.
Figure 7.
Horizontal distribution of air temperature in a tent under unregulated winter conditions.
The vertical air temperature inside the tent exhibited a significant stratification phenomenon, as depicted in Figure 8. During the daytime, there was an increasing trend of the temperature with height, whereas during the nighttime, the opposite pattern was observed. An analysis of the two highest temperature days on 31 January and 1 February follows. On 31 January, the highest temperatures at 2.5 m, 2.4 m, 1.8 m, 1.2 m, 0.6 m, 0.2 m, and 0.1 m were 28.3 °C, 28.8 °C, 26.4 °C, 25.3 °C, 23.3 °C, 21.2 °C, and 19.9 °C, respectively. On 1 February, the highest vertical temperatures were 28.1 °C, 28.5 °C, 26.5 °C, 25.5 °C, 23.5 °C, 21.5 °C, and 20.2 °C, respectively. It can be seen that the temperature difference in the air in the vertical direction reached more than 8 °C, the temperature difference between 1.8 m and 1.2 m reached more than 1 °C, the temperature difference between 1.2 m and 0.6 m reached more than 2 °C, and the temperature difference between 0.6 m and 0.2 m reached 2 °C. The ground surface has a significant effect on the thermal environment of the tent. On 31 January, the highest ground temperature was 16.9 °C, 8.4 °C lower than the air temperature at 1.2 m and 3.0 °C lower than that at 0.1 m. On 1 February, the maximum ground temperature inside the tent was 17.0 °C, 8.5 °C lower than the air at 1.2 m and 3.2 °C lower than the air at 0.1 m. The ground temperature was obviously lower than the air temperature during the day, absorbing indoor heat. At night, it was higher than the air temperature, releasing heat into the room.
Figure 8.
Vertical distribution of air temperature in a tent under unregulated winter conditions.
3.1.2. Internal Surface Temperature
The temperature variation curves for the east, west, south, and north facades inside the tent are depicted in Figure 9, highlighting significant fluctuations in the internal surface temperatures, attributed to the lightweight structure and limited insulation and heat storage abilities of the tent. During periods of weak solar radiation or at night, the internal surface temperatures closely aligned with the external environmental temperature. On 1 February, for instance, the highest external air temperature was 16.5 °C, while the internal surface temperatures of the east, west, south, and north sides were 24.3 °C, 29.2 °C, 24.3 °C, and 25.3 °C respectively. The temperature in the east was the lowest, 7.8 °C higher than the outside, and the temperature in the west was the highest, about 5 °C higher than the east and about 12.7 °C higher than the outdoor air temperature.
Figure 9.
The inner surface temperature around the tent under unregulated winter conditions.
The temperature of the tent’s top internal surface fluctuated in accordance with the environmental conditions, similar to that of its sidewalls. During periods of weak solar radiation or at night, it closely approximated the ambient air temperature. However, under intense solar radiation, it reached up to approximately 30 °C, as depicted in Figure 10. On 1 February, when the outdoor air temperature was 16.5 °C, the temperatures of the south and north roofs of the tent were 28.6 °C and 27.5 °C, respectively, 12.1 °C and 11.0 °C higher than the outdoor temperature. The ground temperature inside the tent was close to the outdoor temperature during the day and significantly higher than the outdoor temperature at night.
Figure 10.
The top surface temperature and ground temperature inside the tent under unregulated winter conditions.
3.1.3. Characteristics of the Thermal Environment
The variation curves of the average temperature on the inner surface of the tent, surrounding facades, ground, and air under uncontrolled conditions in winter are depicted in Figure 11. It is evident in the figure that significant fluctuations occurred in both the inner surface temperature of the tent and the average air temperature. For example, on 31 January and 1 February, the temperature fluctuation range reached 15~20 °C. The reason is that the insulation capacity of the tent envelope was poor and the heat storage capacity was small. In contrast, the ground (soil) had a strong heat storage capacity, and the surface temperature fluctuated within 5 °C day and night. Thus, the tent presented an obvious “greenhouse” phenomenon. For example, on 1 February, when the outdoor air temperature was 16.5 °C, the average temperature of the inner surface of the roof of the tent was 28.1 °C, the average temperature of the inner surface of the surrounding facade was 25.8 °C, the average air temperature was 25.1 °C, and the ground temperature was 17.0 °C. The order of temperature was: top > envelope > air > floor. The “greenhouse” phenomenon had a positive impact on the thermal environment of the tent during winter. However, due to its limited heat storage capacity, the indoor temperature decreased rapidly as the solar radiation intensity weakened. During periods of low solar radiation or at night, the temperature inside the tent approached that of the external ambient temperature, and even exhibited a “cold room” phenomenon lower than the ambient temperature due to cold sky radiation. For example, on the night of 3 February, the minimum temperature of the top surface was 7.2 °C, the minimum temperature of the facade surface was 8.1 °C, the minimum air temperature was 9.1 °C, and the minimum ground temperature was 10.8 °C. The order from high to low is: ground temperature > air temperature > facade temperature > top temperature.
Figure 11.
The inner surface temperature and air temperature of the tent under unregulated winter conditions.
From 30 January to 4 February, Figure 12 shows that the temperature difference between the tent’s top internal surface and the external environment reached a maximum of approximately 12.7 °C. The side facades showed a maximum difference of about 10.4 °C, while the highest difference in average air temperature was around 9.4 °C. The ground temperature’s difference stayed within 4 °C. Overall, the temperature differences fluctuated significantly, with most surface and air temperatures within ±1 °C of the external temperature.
Figure 12.
The difference between the temperature inside the tent and the ambient temperature under unregulated winter conditions.
3.2. Thermal Environment under Winter Heating Conditions
The winter heating experiment in the tent was conducted at night on 19 January, starting at midnight (00:00), and ending at 08:00 in the morning. The heating system, as illustrated in Figure 13, was facilitated by an electric heater boasting a power output of approximately 2500 W.
Figure 13.
Electric heater heating site image.
3.2.1. Air Temperature
As shown in Figure 14, the outdoor air temperature around the tent fluctuated around 3 °C. Inside the tent, at a height of 1.2 m, the air temperature rose to 16 °C within 15 min and eventually stabilized around 18 °C, meeting the minimum heating requirements for conventional buildings. The temperatures at the four measuring points (east, west, south, and north) stabilized between 18.0 °C and 18.3 °C, with a variation of less than 0.3 °C. The use of electric heating ensured a relatively uniform distribution of air temperature horizontally inside the tent.
Figure 14.
Horizontal distribution of air temperature in the tent under winter heating conditions.
The vertical distribution of the air temperature inside the tent is depicted in Figure 15, revealing a distinct stratification characterized by higher temperatures at the upper levels compared to the lower ones. Between 04:00 and 06:00, the air temperature was considered stable, with the temperatures ranging from highest to lowest at 2.5 m, 2.4 m, 1.8 m, 1.2 m, 0.6 m, 0.2 m, 0.1 m, and the ground level, being approximately 19.2 °C, 19.8 °C, 17.7 °C, 18.0 °C, 16.1 °C, 11.9 °C, 10.6 °C, and 10.3 °C, respectively. The temperatures between 1.2 m and 1.8 m were relatively close, while below 0.6 m, the temperatures were lower.
Figure 15.
Vertical distribution of air temperature in the tent under winter heating conditions.
3.2.2. Internal Surface Temperature
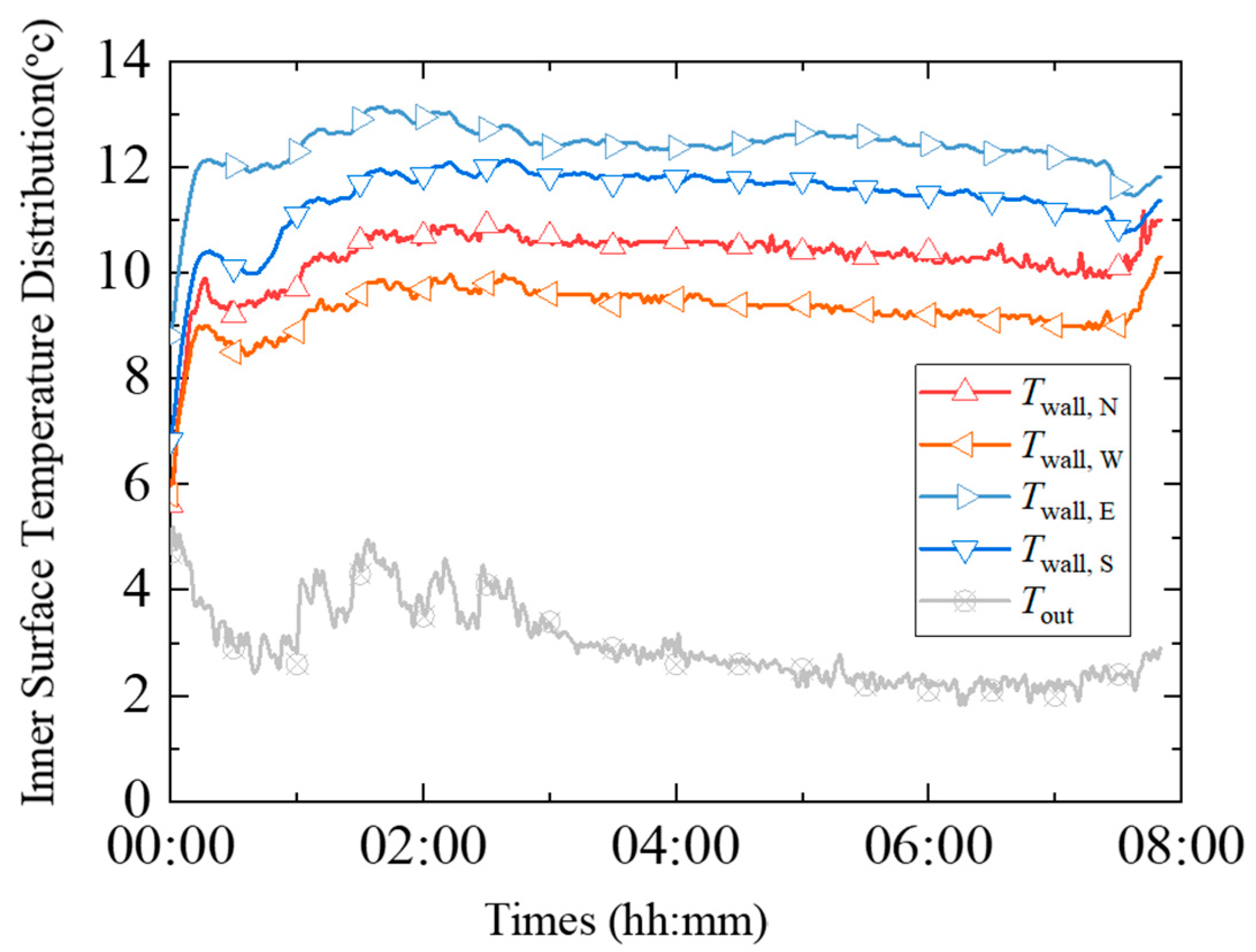
The temperature curves of the inner surfaces of the east, west, south, and north facades of the tent are depicted in Figure 16. The surface temperatures exhibited a generally low and uneven distribution. During the stable phase, the temperatures of the east, west, south, and north sides were approximately 12.5 °C, 9.4 °C, 11.7 °C, and 10.6 °C, respectively. The east side was the warmest, while the west side was the coldest, with a difference of about 3.1 °C between them.
Figure 16.
The internal surface temperature around the tent under winter heating conditions.
The temperature curves of the tent’s top surface and ground during the heating period are depicted in Figure 17. The top surface temperatures of the south and north sides were approximately 10.2 °C and 10.4 °C respectively, showing close similarity, while the ground surface temperature was around 10.3 °C, indicating that both the top and ground temperatures were relatively low and consistent with each other during the stable phase.
Figure 17.
Tent top surface temperature and ground temperature under winter heating conditions.
3.2.3. Characteristics of the Thermal Environment
Figure 18 summarizes the average temperatures of the tent’s top interior, side facades, ground, and air under winter heating conditions. The heated tent environment demonstrated a rapid temperature response, with the surface radiation temperatures lower than the air temperatures, resulting in the occurrence of “cold roof” and “cold wall” effects and a relatively high thermal load. With an environmental air temperature of 3–4 °C and a heating power of 2500 W, the top interior surface temperature rose to about 10.3 °C, the average temperature of the side facades rose to around 9.7 °C, and the ground temperature rose to approximately 10.3 °C, while the average air temperature reached 16.7 °C. The air temperature inside the tent was significantly higher than the outside environment, with a difference of over 13.7 °C.
Figure 18.
The inner surface temperature and air temperature of the tent under heating conditions in winter.
4. Discussion
This study initially conducted systematic experimental research on the thermal environment of the standard tent used by the China International Emergency Medical Team (Sichuan) during winter in Chengdu, an area with hot summers and cold winters. It involved an in-depth analysis and discussion of the thermal characteristics of the tents, such as the “greenhouse effect” and the “cold room” phenomenon, considering the tents’ lightweight structure with poor insulation, air-permeable doors and windows, and the soil’s heat storage properties. The thermal environment of the tent under two working conditions was further studied, the causes of the cold chamber effect were analyzed, and the energy efficiency and heating mode selection of the emergency tent are discussed below.
4.1. Experimental Texture Analysis
The characteristics of the thermal environment of tents in winter without temperature control were analyzed. In winter, the tents exhibited a notable “greenhouse” effect, positively impacting the internal thermal comfort. During moments of intense solar radiation, the temperature difference between inside and outside the tent could reach about 9.4 °C. Sometimes, solar radiation alone was sufficient to maintain a comfortable thermal environment inside the tent. However, a significant characteristic of the tent’s thermal environment was the large temperature fluctuations due to its limited heat storage capacity, leading to rapid temperature drops as the solar radiation weakened. At times of weak solar radiation or at night, the tent’s temperature neared the external environment’s temperature, even displaying a “cold room” phenomenon, lower than the external temperature, due to cold sky radiation. Only the ground (soil) had a strong heat storage capacity, somewhat moderating the tent’s thermal environment. The larger the thermal capacity of the soil, the bigger the temperature difference [32].
The characteristics of the thermal environment of the tent under winter heating conditions were analyzed. When using electric heating in the tents at night during winter, the air temperature inside the tent was evenly distributed horizontally, but showed significant stratification vertically, with higher temperatures at the top and lower temperatures at the bottom. The tents exhibited “cold roof” and “cold wall” phenomena, where the internal surface temperature was significantly lower than the air temperature.
The unregulated test data from the tent revealed the presence of a nocturnal cold chamber effect within. The cold chamber effect refers to the phenomenon wherein the temperature within the tent is lower than that of the surrounding environment. According to the test results, the author analyzed that the reason the air temperature in the tent was lower than the outdoor temperature was that the intensity of solar radiation was much greater than that of long-wave radiation during the day, so the effect of long-wave radiation could be ignored. There is no solar radiation at night, the background temperature of the sky is much lower than the air temperature, and the radiation of the tent to the sky cannot be ignored, especially in cases where the angle coefficient between the tent and the sky is relatively large. Under a clear night sky, without the cover of clouds, the heat radiated out cannot be compensated for; the tent loses heat, and the temperature is reduced. On cloudy days, the clouds in the sky will reflect back part of the heat radiated out, so the cold room effect is more obvious under a clear night sky but weaker on cloudy days.
4.2. Heating Method Analysis
In the distinct field of architecture designed for emergency and disaster relief, selecting a heating apparatus presents a more complex challenge than in conventional structures, owing to the emphasis on features such as simplicity, utility, and lightweight design. A substantial body of scholarly work has investigated the application of fuel-based heating stoves within emergency medical tents to manage the indoor thermal and moisture conditions [33,34,35]. However, due to the occurrence of thermal layering and the increased risk of combustion, among other issues, the utilization of fuel-based heating systems is not advised as the primary warming strategy for tents. Such methods should be considered only as interim alternatives.
In contemporary society, particularly within the contexts of rescue operations, disaster relief, and post-catastrophe resettlement, the provision of a reliable power supply system is deemed an essential lifeline. This encompasses the utilization of power for rescue efforts, communication devices, and the construction and maintenance of mechanical apparatuses. Researchers have explored the application of electrical energy for heating within tents as part of their experimental investigations. Wang [30] conducted an empirical comparison of the indoor thermal and humidity conditions within tents, under both heated and unheated scenarios during winter. The heating apparatus selected was a 1000 W electric furnace. Post-heating, the tent’s temperature experienced a significant increase; the average internal temperature of the tent that was heated was 6.1 °C higher than that of the tent without heating, accompanied by a reduction in the relative humidity, thereby markedly enhancing the living conditions. An et al. [36] performed a simulation analysis on the heating and air supply modalities for tents, deriving an efficacious heating air supply strategy that addresses the dual issues of high energy consumption and suboptimal internal thermal conditions in tents. In 2021, Tao et al. [22] executed heating and cooling trials in Shenyang (January) and Guangzhou (August), respectively. Their findings indicated that a heater with a 5 kW capacity could sustain an interior tent temperature exceeding 22.5 °C in a −14.9 °C low-temperature environment.
4.3. Energy Efficiency Assessment of Solar Emergency Medical Tents
The utilization of solar energy to enhance the thermal environment of tents is a promising practice in the specialized field of disaster relief construction, considering various factors, such as integration and transportation convenience. Zhao et al. [37] suggested enhancing the insulation and air tightness of the building envelope while harnessing solar energy to minimize heat loss indoors during winter. After field experiments and computer simulation experiments, Liu [38] concluded that the ventilation and lighting equipment of a modular solar emergency relief tent consumed 0.786 kWh of electricity throughout the day, which has the characteristics of self-sustaining energy. In the design of disaster relief shelter and related products, stable electric energy technology is incorporated into the shelter body to achieve a sufficient and stable power supply at any time. This innovation has great potential for development. In addition, three principles need to be paid attention to in the design of emergency and disaster relief buildings: quick construction, comfortable living, and energy self-sufficiency. For emergency medical tents in large-scale camps, sustained energy supply is often a serious challenge. Therefore, the use of easily accessible green energy, such as solar energy, to improve the thermal environment inside tents is a promising solution.
The most important feature of a solar emergency building is still its emergency response ability; that is, it must be designed with this immediacy in mind, otherwise all other factors will be irrelevant. The traditional field emergency power supply system relies on an oil generator for power generation, which not only consumes a lot of energy but also causes serious pollution. At the same time, in the case of complex disaster areas and blocked roads, relying solely on oil transportation increases the transportation pressure on the lines leading to the disaster areas. Previous studies have shown that new materials and designs can improve the thermal environment inside medical tents but cannot effectively solve the “cold chamber effect” problem faced by tents [22]. In order to maintain the indoor environment, air conditioning equipment is still necessary. Therefore, in the selection of emergency medical tent technology, a combination of solar active and passive technology can be used, and the design principle of “passive, active as a supplement” can be followed to minimize the energy demand of tents. Additionally low-technology means can be widely used so that tents can adapt to the environmental climate under various climatic conditions and only a minimum degree of transformation needs to be carried out.
5. Conclusions
This study reveals two different thermal environment characteristics and rules of emergency medical tents in winter when they are not regulated and when they are heated. Here are the main conclusions:
- In regions with hot summers and cold winters, when a winter tent is unheated, during periods of weak solar radiation or at night, the temperature inside the tent approaches that of the external ambient temperature. Furthermore, even in cold weather conditions where radiation is present, the “cold room” phenomenon occurs below the ambient temperature. This indicates that achieving thermal comfort solely based on the insulation performance of the tent itself is nearly impossible without solar thermal radiation or any adjustments.
- When testing the tent thermal environment in hot summer and cold winter areas, when the outdoor ambient temperature is 3–4 °C, the ambient temperature inside the tent can be raised to 16.7 °C by using an electric heater with a heating power of about 2500 watts. It is inferred that the medical tent can maintain the ambient temperature well to meet the medical needs with the support of sufficient power heating equipment and is expected to achieve thermal comfort.
- After testing electric heating as a method for tent heating, it was observed that while the air temperature was evenly distributed horizontally, there was noticeable vertical stratification, with higher temperatures in the upper part and lower temperatures in the lower part. This suggests that the placement of electric heaters influences the temperature variation inside medical tents. Understanding this distribution pattern can guide optimal angles, heights, and positions for ventilation and cooling equipment within medical tents.
- The temperature distribution of an emergency medical tent in this experiment has important guiding significance for the placement of beds and medical equipment. Based on the characteristics of general disaster relief personnel and medical personnel, the methods of adjusting the thermal environment of emergency medical tents were discussed in depth, aiming at providing a reference for the thermal environment adjustment of emergency medical tents and the development of thermal insulation materials.
Although this study provides valuable insights, there were limitations on the data collection, which mainly focused on winter and did not fully consider the impact of different seasons on the thermal environment of emergency shelters. Future studies need to broaden the scope of data collection to further evaluate the thermal environmental effects under diverse climatic conditions. In addition, given the critical role of medical tents in disasters, future research should focus on the thermal comfort requirements of medical operations in winter disaster sites and on how to optimize tent design based on these requirements to enhance the efficiency and effectiveness of medical response to disasters.
Author Contributions
Conceptualization, M.H. and Y.Z. (Yin Zhang); methodology, Z.J.; experiment, M.H., Z.J. and Y.Z (Ying Zhao).; validation, M.H., Z.J. and Y.Z. (Yin Zhang); formal analysis, M.H.; investigation, M.Z.; resources, M.H.; data curation, M.H.; writing—original draft preparation, M.H. and Z.J.; writing—review and editing, M.Z. and W.H.; visualization, Y.Z. (Ying Zhao); supervision, Y.Z (Yin Zhang). All authors have read and agreed to the published version of the manuscript.
Funding
This research was funded by the Fundamental Research Funds for the Central Universities, Southwest Minzu University, (2024SYJSCX147).
Institutional Review Board Statement
Not applicable.
Informed Consent Statement
Not applicable.
Data Availability Statement
The data, original images, and detailed design model materials will be made available upon request. The data are not publicly available due to privacy.
Acknowledgments
The authors would like to thank the Southwest Minzu University, for the funding support.
Conflicts of Interest
The authors declare no potential conflicts of interest concerning the research, authorship, and/or publication of this article.
References
- Ji, R.; Lu, Z.; Fan, J.; Luo, G.; Wu, P.; Luo, B.; Cheng, X.; Yuan, Y.; Hou, J.; Liang, S. The recent advances and future evolution of anti-fogging technology in laparoscopic surgery. J. Minim. Invasive Urol. 2022, 11, 424–428. (In Chinese) [Google Scholar] [CrossRef]
- Jiang, Y.; Chen, X. An experimental study on the improvement of indoor thermal environment of tents by shading in summer. J. Phys. Conf. Ser. 2019, 1176, 042087. [Google Scholar] [CrossRef]
- Tan, A.Y.K.; Tan, C.-K. Thermal Comfort Performances of Temporary Shelters Using Experimental and Computational Assessments. Buildings 2021, 11, 655. [Google Scholar] [CrossRef]
- Wang, Y.; Deng, S.; Wang, L.; Xiang, M.; Long, E. The Influence of the Deteriorations in Living Environments on the Health of Disaster Victims Following a Natural Disaster. In Proceedings of the 9th International Symposium on Heating Ventilation and Air Conditioning ISHVAC Joint with the 3rd International Conference on Building Energy and Environment COBEE, Tianjin, China, 12–15 July 2015; pp. 203–211. [Google Scholar]
- Kakoulli, C.; Kyriacou, A.; Michaelides, M.P. A Review of Field Measurement Studies on Thermal Comfort, Indoor Air Quality and Virus Risk. Atmosphere 2022, 13, 191. [Google Scholar] [CrossRef]
- Emmitt, S. Bedrooms and the Vulnerability of Sleepers to Extreme Heat Events. Atmosphere 2023, 14, 1782. [Google Scholar] [CrossRef]
- Zhang, L.; Meng, X.; Liu, F.; Xu, L.; Long, E. Effect of retro-reflective materials on temperature environment in tents. Case Stud. Therm. Eng. 2017, 9, 122–127. [Google Scholar] [CrossRef]
- Gong, P.; Cai, Y.; Chen, B.; Zhang, C.; Stravoravdis, S.; Sharples, S.; Ban, Q.; Yu, Y. An Artificial Neural Network-based model that can predict inpatients’ personal thermal sensation in rehabilitation wards. J. Build. Eng. 2023, 80, 108033. [Google Scholar] [CrossRef]
- Orman, Ł.J.; Majewski, G.; Radek, N.; Pietraszek, J. Analysis of Thermal Comfort in Intelligent and Traditional Buildings. Energies 2022, 15, 6522. [Google Scholar] [CrossRef]
- Zender-Swiercz, E.; Telejko, M.; Galiszewska, B. Influence of Masks Protecting against SARS-CoV-2 on Thermal Comfort. Energies 2021, 14, 3315. [Google Scholar] [CrossRef]
- China Science Communication. Available online: https://www.kepuchina.cn/ (accessed on 31 December 2021). (In Chinese).
- Fallahi, A.; RezaSalimpour, M.; Shirani, E. A 3D Thermal Model to Analyze the Temperature Changes of Digits during Cold Stress and Predict the Danger of Frostbite in Human Fingers. J. Therm. Biol. 2017, 65, 153–160. [Google Scholar] [CrossRef]
- Qin, M.; Chew, B.; Yau, Y.; Yang, Z.; Han, X.; Chang, L.; Liu, Y.; Pan, S. Characteristic analysis and improvement methods of the indoor thermal environment in post-disaster temporary residential buildings: A systematic review. Build. Environ. 2023, 235, 110198. [Google Scholar] [CrossRef]
- Wang, Y.; Long, E.; Deng, S. Applying passive cooling measures to a temporary disaster-relief prefabricated house to improve its indoor thermal environment in summer in the subtropics. Energy Build. 2017, 139, 456–464. [Google Scholar] [CrossRef]
- Liu, J.; Jiang, Y.; Gong, Z.; Yang, H. Experiment Research on Shading to Improve the Thermal Environment of Tents. MATEC Web Conf. 2016, 61, 01009. [Google Scholar] [CrossRef]
- Ahmad, E.; Ruth, S.; Bernardino, D.A.; Francesco, P. A parametric thermal analysis of refugees’ shelters using incremental design and affordable construction material. Energy Build. 2023, 290, 113110. [Google Scholar]
- Zhang, L.; Yu, Y.; Xu, L.; Zhang, W.; Shen, Q. Experimental study on indoor air thermal equilibrium model of the tent. Int. J. Low-Carbon Technol. 2017, 12, 36–42. [Google Scholar] [CrossRef]
- Maracchini, G.; D’Orazio, M. Improving the livability of lightweight emergency architectures: A numerical investigation on a novel reinforced-EPS based construction system. Build. Environ. 2022, 208, 108601. [Google Scholar] [CrossRef]
- Xu, L.; Zhang, W.; Wang, W.; Gao, B.; Chen, M. Impact of different improvement measures on the thermal performance of ultra-thin envelopes. Energy 2020, 203, 117802. [Google Scholar] [CrossRef]
- Wang, C.; Huang, X.; Deng, S.; Long, E.; Niu, J. An experimental study on applying PCMs to disaster-relief prefabricated temporary houses for improving internal thermal environment in summer. Energy Build. 2018, 179, 301–310. [Google Scholar] [CrossRef]
- Meng, X.; Luo, T.; Wang, Z.; Zhang, W.; Yan, B.; Ouyang, J.; Long, E. Effect of retro-reflective materials on building indoor temperature conditions and heat flow analysis for walls. Energy Build. 2016, 127, 488–498. [Google Scholar] [CrossRef]
- Tao, X.; Lu, G.; Duan, D.; Li, H.; Chen, E.; Zhang, Z. Experimental study on warming and cooling in medical tent. Chin. Med. Equip. J. 2021, 42, 17–22. [Google Scholar] [CrossRef]
- Song, Y.; Lan, M.; Li, Y.; Guo, X.; Lin, H.; Liu, X. Experimental and simulation study on internal thermal environment adaptability of tents under extreme temperature. J. Saf. Sci. Technol. 2022, 18, 216–222. [Google Scholar]
- Crawford, C.; Manfield, P.; McRobie, A. Assessing the thermal performance of an emergency shelter system. Energy Build. 2004, 37, 471–483. [Google Scholar] [CrossRef]
- Salvalai, G.; Imperadori, M.; Scaccabarozzi, D.; Pusceddu, C. Thermal performance measurement and application of a multilayer insulator for emergency architecture. Appl. Therm. Eng. 2015, 82, 110–119. [Google Scholar] [CrossRef]
- Wang, C.; Deng, S.; Niu, J.; Long, E. A numerical study on optimizing the designs of applying PCMs to a disaster-relief prefabricated temporary-house (PTH) to improve its summer daytime indoor thermal environment. Energy 2019, 181, 239–249. [Google Scholar] [CrossRef]
- Andolsun, S.; Culp, C.H.; Haberl, J.S.; Witte, M.J. EnergyPlus vs DOE-2.1e: The effect of ground coupling on cooling/heating energy requirements of slab-on-grade code houses in four climates of the US. Energy Build. 2012, 52, 189–206. [Google Scholar] [CrossRef]
- Eslamirad, N.; Sepúlveda, A.; De Luca, F.; Sakari Lylykangas, K.; Ben Yahia, S. Outdoor Thermal Comfort Optimization in a Cold Climate to Mitigate the Level of Urban Heat Island in an Urban Area. Energies 2023, 16, 4546. [Google Scholar] [CrossRef]
- Eslamirad, N.; Luca, F.D.; Lylykangas, K.S. The role of building morphology on pedestrian level comfort in Northern climate. J. Phys. Conf. Ser. 2021, 2042, 012053. [Google Scholar] [CrossRef]
- Tao, W. Research on Indoor Thermal and Humidity Environment and Simulation of Improvement Measures for Relief Tents. Master’s Thesis, Chongqing University, Chongqing, China, 2009. (In Chinese). [Google Scholar]
- Guo, H.; Aviv, D.; Loyola, M.; Teitelbaum, E.; Houchois, N.; Meggers, F. On the understanding of the mean radiant temperature within both the indoor and outdoor environment, a critical review. Renew. Sustain. Energy Rev. 2020, 117, 109207. [Google Scholar] [CrossRef]
- Ding, P.; Li, J.; Xiang, M.; Cheng, Z.; Long, E. Dynamic Heat Transfer Calculation for Ground-Coupled Floor in Emergency Temporary Housing. Appl. Sci. 2022, 12, 11844. [Google Scholar] [CrossRef]
- Sun, R.; Wang, S.; Wang, C.; Qi, X.; Zhang, X.; Lu, H. Temperature field simulation analysis of oil furnace heating in net tent in cold regions. Med. J. Natl. Defending Forces Northwest China 2020, 41, 405–409. (In Chinese) [Google Scholar] [CrossRef]
- Li, H.; Zhang, S.; Gao, H.; Liu, I.; Zuo, X.; Wang, K. The Influence of Coal-fired Stove Structure on indoor Thermal Environment of Tent. Build. Energy Environ. 2021, 40, 35–37+67. (In Chinese) [Google Scholar]
- Ghaddar, N.; Salam, M.; Ghali, K. Steady Thermal Comfort by Radiant Heat Transfer: The Impact of the Heater Position. Heat Transf. Eng. 2006, 27, 29–40. [Google Scholar] [CrossRef]
- An, R.; Yang, X.; Zhuang, C. Optimization and Simulation of Heating Supply for Military Tents. Refrig. Air Cond. 2015, 29, 206–210+228. (In Chinese) [Google Scholar]
- Zhao, E.; Di, Y.; Zhao, W.; Zhao, Y.; Shen, Y.; Zhang, Y. Analysis and improvement measures of thermal environment in tent. Low Temp. Archit. Technol. 2015, 37, 152–154. (In Chinese) [Google Scholar] [CrossRef]
- Liu, C. “Design—Construction” Research on Green and Healthy Solar-Powered Emergency Shelters. Master’s Thesis, Tianjin University, Tianjin, China, 2018. (In Chinese). [Google Scholar]
Disclaimer/Publisher’s Note: The statements, opinions and data contained in all publications are solely those of the individual author(s) and contributor(s) and not of MDPI and/or the editor(s). MDPI and/or the editor(s) disclaim responsibility for any injury to people or property resulting from any ideas, methods, instructions or products referred to in the content. |
© 2024 by the authors. Licensee MDPI, Basel, Switzerland. This article is an open access article distributed under the terms and conditions of the Creative Commons Attribution (CC BY) license (https://creativecommons.org/licenses/by/4.0/).

















