Next Article in Journal
Reinterpreting Trends: The Impact of Methodological Changes on Reported Sea Salt Aerosol Levels
Next Article in Special Issue
Future Scenarios of Design Rainfall Due to Upcoming Climate Changes in NSW, Australia
Previous Article in Journal
The Effects of Different Sowing Dates on the Autumn Development and Yield of Winter Wheat in Central Lithuania
Previous Article in Special Issue
Regionalization of the Onset and Offset of the Rainy Season in Senegal Using Kohonen Self-Organizing Maps
 
 
Font Type:
Arial Georgia Verdana
Font Size:
Aa Aa Aa
Line Spacing:
Column Width:
Background:
Article

Comparison of Future Design Rainfall with Current Design Rainfall: A Case Study in New South Wales, Australia

by
Iqbal Hossain
1,*,
Monzur Imteaz
1,
Shirley Gato-Trinidad
1 and
Abdullah Gokhan Yilmaz
2
1
Department of Civil and Construction Engineering, Swinburne University of Technology, Hawthorn 3122, Australia
2
Department of Engineering, La Trobe University, Melbourne 3086, Australia
*
Author to whom correspondence should be addressed.
Atmosphere 2024, 15(7), 739; https://doi.org/10.3390/atmos15070739
Submission received: 2 June 2024 / Revised: 19 June 2024 / Accepted: 20 June 2024 / Published: 21 June 2024
(This article belongs to the Special Issue Statistical Approaches in Climatic Parameters Prediction)

Abstract

Climate change impacts have the potential to alter the design rainfall estimates around the world. Decreasing trends in the summer and winter rainfall in New South Wales (NSW), Australia have already been observed due to climate variability and change. The derivation of design rainfall from historical rainfall, which is required for the design of stormwater management infrastructure, may be ineffective and costly. It is essential to consider climate change impacts in estimating design rainfall for the successful design of stormwater management infrastructure. In this study, the probability of the occurrence of daily extreme rainfall has been assessed under climate change conditions. The assessment was performed using data from 29 meteorological stations in NSW, Australia. For the evaluation of future design rainfall, the probability of the occurrence of extreme rainfall for different recurrence intervals was developed from daily extreme rainfall for the periods of 2020 to 2099 and compared with the current Australian Bureau of Meteorology (BoM) design rainfall estimates. The historical mean extreme rainfall across NSW varied from 37.71 mm to 147.3 mm, indicating the topographic and climatic influences on extreme rainfall. The outcomes of the study suggested that the future design rainfall will be significantly different from the current BoM estimates for most of the studied stations. The comparison of the results showed that future rainfall in NSW will change from −4.7% to +60% for a 100-year recurrence interval. However, for a 2-year recurrence interval, the potential design rainfall change varies from an approximately 8% increase to a 40% decrease. This study revealed that the currently designed stormwater management infrastructure will be idle in the changing climate.

1. Introduction

It is widely accepted that the design rainfall, which is employed for the design of stormwater management infrastructure, is tremendously influenced by climate change. The influence of global climate change on the changing intensity, frequency, and duration of extreme rainfall, including the hydrologic cycle, has been reported by many researchers [1,2,3,4]. Climate change is expected to have profound impacts on natural phenomena, e.g., increased floods, erosions, landslides, and health impacts [5]. Damage to property, including loss of life, is significantly impacted by these increased natural hazards [6,7]. Therefore, it is essentially important to have a proper understanding of the influence of climate change on design rainfall, which is conventionally used to design flood mitigation structures.
Design rainfalls are traditionally determined from the intensity–frequency–duration (IFD) curve or table. IFD, which is also called intensity–duration–frequency (IDF), usually determines the relationship between extreme rainfall intensity, frequency, and duration. The conventional IDF curve is derived on the basis of historical extreme rainfall data under the stationarity assumption. The IDF curve is used to characterize drought by a few researchers [8]. However, rainfall is considered a complex atmospheric global phenomenon, and it has the potential to change over time due to changes in the atmospheric components [9]. As a result, the IDF relationship will change over time due to climate change and variability. Consequently, the adequacy of stormwater management infrastructure, which is constructed to reduce flood effects, will be significantly impacted by the changes in design rainfall [10,11,12,13].
Historical annual extreme rainfall is typically used to characterize the future extreme rainfall for different recurrence intervals under the assumption of stationarity [2]. As climate change has profound impacts on the frequency, duration, and magnitude of extreme rainfall, the stationary assumption has the potential to misinterpret future conditions [14]. Kourtis and Tsihrintzis [15] and Fowler et al. [16] also noted that stormwater management infrastructure designed based on historical extreme rainfall will be inadequate to convey the excessive runoff caused by climate change. Consequently, urban drainage systems may fail posing threats to infrastructure and properties including the environment [17]. Recent trends in extreme rainfall in Australia suggested the fact that there will be changes in future extreme rainfall [18,19,20].
In addition to climate change impacts on rainfall (and design rainfall), Australian rainfall is extremely manipulated by several climate drivers including El-Nino Southern Oscillation (ENSO), Indian Ocean Dipole (IOD), and Southern Annual Mode (SAM) [21,22,23,24]. Due to the natural variability and changes in the large-scale climatic modes from excessive greenhouse gas emissions, rainfall in the southeast area of Australia has decreased over the last 20 years [25]. In most parts of NSW, there has been a 12% reduction in rainfall since the late 1990s. Although the intensity of short-duration extreme rainfall increased in the north, the drivers of heavy rainfall declined in the south [25]. As a result, declined streamflow has been observed in three quarters of the gauge stations in NSW since 1975. Winter and spring rainfall, including surface runoff and streamflow, is projected to decrease significantly in most parts of NSW due to climate change [26]. Therefore, traditional approaches to drainage design systems impose additional capital and maintenance costs [27].
The influence of climate change impacts on design rainfall has been examined in many parts of the world. For example, Martel et al. [28] found that there will be increased extreme rainfall all over the world. Bibi and Tekesa [9] and Bulti et al. [11] investigated the influences of climate change on the IDF curve development in Ethiopia and observed that urban flooding will increase due to climate change. In the same region, Meresa et al. [29] showed that there is potential to increase streamflow by 50% due to climate change. Climate change has the capability to influence design rainfall in the USA by up to 300% [10]. Hajani [30] demonstrated that a non-stationary analysis of climate change has better potential to derive the IDF in NSW, Australia. Yazdanfar and Sharma [27] and Hajani [30] recognized the importance of considering climate change influences in design rainfall estimation for drainage design.
In Australia, the national guideline of the Australian Bureau of Meteorology (BoM) provides design rainfalls to design flood mitigation structures. However, climate change impacts on design rainfall estimation have not been implemented yet [31]. Therefore, stormwater management infrastructure designed considering the historical rainfall has the potential to be inefficient, under/over-designed, and uncertain. A few researchers have attempted to develop design rainfall from the projected data in Australia. For example, ref. [32] developed derived rainfall using the projected rainfall and found 9% to 41% increase in the future design rainfall. A decrease in frequent flooding for the projected rainfall was observed by Wasko et al. [33]. Nevertheless, the alteration of design rainfall and its estimation due to climate change remains challenging.
The main aim of this research is to identify the impacts of climate change on the probability of the occurrence of extreme rainfall for different recurrence intervals in NSW, Australia. More specifically, the estimation of design rainfalls from the projected extreme rainfall data and their comparison with the current Australian standard is the prime focus of this study. This paper has the potential to contribute to a better understanding of climate change’s influence on design rainfalls, which are essential for the design and construction of new stormwater infrastructure, and the management of existing infrastructure. An improved understanding of climate change impacts on design rainfall has the potential to reduce flood risks and economic losses. This study helps to strengthen the current knowledge regarding the derivation of design rainfall and the future re-development of the IDF table/curve incorporating climate change impacts.

2. Study Area

This study is conducted in NSW, Australia. The NSW state is located on the eastern coast of Australia, facing the southwesterly seas of the Pacific Ocean. The GPS coordinates of NSW are 31°50′24.388″ S and 145°36′46.0548″ E. The southern, western, and northern parts of the state are surrounded by land masses, whereas the eastern part of the state overlooks the Sea of Tasmania and the Coral Sea. The state is about 810,000 square kilometers, consisting of residential, industrial, and commercial areas including green and open spaces. The topographic elevation of the state ranges from 1000 m to 2229 m.
The recorded minimum temperature of the state was observed as −23 °C in winter (June), whilst the recorded extreme temperature was noted as 49.7 °C in summer (December). The average maximum and minimum annual rainfall in NSW were between 150 mm and 500 mm, respectively. The highest recorded daily rainfall was observed at 415.2 mm for the study period (1900–2019).

Rainfall Data

Two sets of daily rainfall data (historical rainfall data and future project rainfall data) were collected and applied to fulfill the objectives of this research. Historical daily rainfall data from 1900 to 2019 from 29 meteorological stations were obtained from the SILO database (https://www.longpaddock.qld.gov.au/silo/, accessed on 1 August 2020). The SILO obtains data from the Australian BoM, which is the executive agency of the Australian government and provides weather service nationwide. A missing value in the SILO data is automatically filled using the interpolation technique. Table 1 shows the list of the rainfall stations used in this study.
Table 1 shows that the average extreme rainfall across NSW varies from 37.71 mm to 147.3 mm. The geography and climatic pattern of the state have the potential to have a much higher variation in extreme rainfall. The standard deviation of extreme rainfall fluctuates from 16.35 to 67.68, indicating that extreme rainfall varies significantly across the state, as shown in Table 1.
These stations, which have recorded long-term historical data and are well-spread across the state, were selected for the analysis. The spatial distribution of the selected stations is shown in Figure 1.
The evaluation of climate change impacts on the designed rainfall depends on the accuracy of the climate model [34,35]. Three criteria (availability of long-term projected data, spatially fine resolution of projected data, and authenticity of modeling outcomes applying statistical techniques) are suggested by Smith et al. [36] in the selection of the Global Climate Model (GCM). Future (projected) daily rainfall data for this research were obtained from the NSW climate data portal (https://climatedata-beta.environment.nsw.gov.au/, accessed on 1 August 2020). The projected data in the portal apply to the NSW and Australian Regional Climate Modeling (NARCLiM) projections [37]. NARCLiM is the NSW government-led project for generating detailed climate projections, where internationally recognized techniques are adopted. Although many governments and research organizations provide data for climate projections derived from the GCM, only a few of them are easily accessible and tailored to support regional decision-making. NARCliM is one of the sources of climate projections that provide the most comprehensive and reliable data reliable southeastern Australia, including NSW. Since the projection of the NARCLiM follows the international best practice process for downscaling future data, precipitation data from NARCLiM was collected and applied in this research.
Although NARCliM is capable of generating climatic projection outputs from four separate GCM outputs, bias-corrected daily data from CSIRO ACCESS 3.0 were used in this research. It is worth noting that NARCliM adopts the dynamic downscaling method to generate high-resolution climatic projections. This process helps in capturing regional climatic attributes more precisely and supports the evaluation of localized climate impacts. The spatial resolution of the data set was 10 km.

3. Methods

The probability of the occurrence of daily extreme rainfall for different recurrence intervals has been evaluated in this research. To fulfill the objectives of this research, daily extreme rainfall for the period of 2020 to 2099 is used to derive the daily design rainfall for different recurrence intervals and compared with the current Australian BoM estimates. The overall process applied in this research involves (i) processing the observed rainfall data, (ii) processing the projected rainfall data, (iii) a frequency analysis of the extreme rainfall data, and (iv) a comparison of the outcomes with the current guideline. A graphical representation of the methodological framework is shown in Figure 2.
Project rainfall data obtained from NARCliM are limited to daily time steps. Therefore, it is required to derive the extreme rainfall from the daily time-series data sets. There are two frequently applied techniques (block maxima approach and peak over threshold or POT approach) to extract the extreme value [2,38]. In hydrological applications, the most common technique for extreme data extraction is the block maxima approach, where the maximum value over a period (usually one year) is obtained. On the other hand, all maximum values over a threshold are obtained in the POT approach. The selection of an appropriate threshold value is the most challenging task in the POT technique. Furthermore, too low a threshold violates the assumption of independency in the data sets, and too high a threshold leads the data sets to have high variance, which has the potential to increase uncertainty [39]. Due to the simplicity and common application in hydrology, the block maxima approach has been adopted in this research to obtain extreme rainfall data sets. In this research, the duration of a calendar year is considered as the block length. The extreme rainfall from the daily records is extracted from each block for further analysis. The extreme is obtained from both the historical and projected rainfall separately.
The probability of the occurrence of severe events is conventionally determined by applying a frequency analysis. To depict the entire spatial and temporal pattern of extreme events, only one or two statistical distributions is not sufficient. Therefore, numerous distributions are examined by hydrologists in different parts of the world [40]. Although there are different theoretical distributions to fit the extreme data series, the generalized extreme value distribution (GEVD) is the most applied technique in rainfall frequency analysis [2,41]. The GEVD is the collective of three statistical distributions that are commonly applied for flood hazard analysis. Rainfall IDF curves/tables are generally used for determining the design rainfall for different recurrence intervals using the GEVD. In this study, the GEVD is adopted for estimating the rainfall depth for standard recurrence intervals.
The GEVD is fitted to the extreme data sets extracted from historical (1900 to 2019) and projected (2020 to 2099) extreme rainfall in NSW, Australia. The three parameters of the GEVD can be expressed according to the probability density function, as shown in Equation (1):
f x = e x p 1 + ξ y μ σ 1 ξ
where y : 1 + ξ y μ σ > 0 , μ ,   σ ,   a n d   ξ are defined as the location, scale, and shape parameters, respectively, for the GEVD.
The estimation of the GEVD parameters can be determined by applying numerous techniques. However, the L-moments method is the recommended approach in determining the hydrological extremes [42,43,44,45]. Therefore, the L-moments method is adopted in this study.
R T = μ ^ σ ^ ξ ^ × 1 l o g 1 p ξ ^   f o r   ξ ^ 0 μ ^ σ ^ × l o g l o g 1 p   f o r   ξ ^ = 0  
where R T is the rainfall depth for a T -year return period, and T = 1 / p , where p is the non-exceedance probability.
The performance of the analysis is assessed and compared with the Australian Rainfall and Runoff (ARR), which is the national guideline to select design rainfall in Australia. The graphical comparison and percentage change in the daily design rainfall from the ARR are reviewed for the standard recurrence intervals. The evaluation is performed for each of the meteorological locations.

4. Results and Discussion

The main objective of this research was the evaluation of climate change influences on design rainfalls. To achieve the main aim, statistics of extreme rainfall were determined for historical and projected extreme rainfalls. Table 2 shows the statistics of the extreme rainfall for the selected stations in NSW, Australia.
In comparing with the historical extreme rainfall, the GCM underestimates the extreme rainfall for most of the meteorological stations, as shown in Table 2. For some stations, the variation is much higher. As such, the observed extreme rainfall at station #60085 is 415.20 mm; however, the projected rainfall for the same station was obtained as 240.75 mm, as evidenced in Table 2. This argument is valid for the majority of the meteorological stations in NSW. The outcomes of this study oppose the claim made by Feng et al. [46], who discovered that global daily extreme precipitation will increase by 50%. However, their study adopted extreme rainfall from the CMPI6 model. The overall accuracy of extreme data sets was tested by using the coefficient of variation (CV). It is apparent from Table 2 that the CV for the extreme data of projected rainfall is lower than that of the historical extreme rainfall for most of the chosen stations. Therefore, the variability of the extreme data from the mean values is relatively low for the projected rainfall. This may be one of the reasons for having a lower extreme value for the projected rainfall.
Table 3 shows the three linear moments of the extreme data sets. As shown in the table, the variances of the extreme data sets are too high, indicating higher variability of both historical and projected extreme rainfall. The skewness of the extreme data sets shows that the distribution of data is not symmetrical; rather, they are highly skewed. Obviously, the distributions of the data are more peaked than the normal distribution, as demonstrated by the high kurtosis values both for the historical and projected extreme rainfall.
The derivation of design rainfall using the GEVD requires the identification of its three parameters (location, scale, and shape). The Australian BoM also adopted this technique for the estimation of the GEVD parameters for design rainfall investigation. Accordingly, the L-moments parameter estimation technique has been applied in this research. Table 4 shows the estimated GEVD parameters for the selected stations.
As shown in Table 4, the shape parameter of the GEVD is either zero or positive for the historical rainfall. This indicates that historical extreme rainfall follows either the Fréchet (when the shape parameter is positive) distribution or the Gumbel (when the shape parameter is zero) distribution. A similar observation is found for the projected rainfall. However, the negative shape parameter is found for four stations, where the GEVD is the Weibull type. However, there is no consistency to follow the distribution type between the historical and projected extreme rainfall. For example, Station #48027 follows the Fréchet type distribution for the historical data, whereas it follows the Gumbel distribution for the projected rainfall, as evidenced in Table 4. This variation may arise from the potential climate change variables used in the projected rainfall estimation.
A comparison of the return level estimations between the projected and historical extremes is presented in Table 5. The evaluation is performed for 2-year, 5-year, 10-year, 20-year, 50-year, and 100-year return periods for 24 h-duration rainfall depths. Obviously, the design rainfall increases with the increased return periods. For example, the 2-year design rainfall for station #50031 is 51.9 mm, whereas the 100-year design rainfall for the same station is 137.1 mm. However, the magnitude of the design rainfall for a particular recurrence interval varies across NSW. Nevertheless, there are significant variations in the design rainfall developed using the historical rainfall (1900–2019) and projected rainfall (2020–2099), as evidenced in Table 5. As such, the 100-year design rainfall for station #48027 is 110.3 mm when developed using the historical rainfall. For the same rainfall station, the design rainfall is 131.0 mm when derived using the projected rainfall. The 100-year design rainfall derived from the historical rainfall ranges from 91.1 mm to 371.4 mm. For the same return period, the design rainfall estimated from the projected rainfall is between 58.1 mm and 217.7 mm.
The probability of the occurrence of the design rainfall based on the projected rainfall is lower than that of the historical rainfall for most of the stations. For some meteorological stations, a significant difference is discovered between the design rainfalls derived from the projected rainfall and historical rainfall. Differences in the climatic parameters between historical and projected rainfall formulation have profound impacts to produce such variation. In addition, spatial location, proximity to mountains or the ocean, atmospheric circulation, prevailing wind direction, topographic and orographic effects, urbanization, etc. have the potential to influence extreme rainfall significantly. The estimation of the design rainfall in this research from historical data does not consider the future climate change scenarios. Emission scenarios and the associated climate change impacts are considered in determining the projected rainfall.
The outcomes of this study are aligned with the existing literature where the projected rainfall from the GCM produces different rainfall depths and intensities [47,48]. However, higher rainfall depths and intensities were also observed by Simonovic and Peck [49] from the extreme value of projected rainfall compared with the historical data. Therefore, climate change impacts significantly influence design rainfall, which is the essential element for the design of stormwater management infrastructure. Consequently, these impacts should be considered in the derivation of design rainfall in NSW. The difference in the data length may be attributed to the variation between the historical and projected rainfall [40,43,44]. In this research, historical data are collected for 119 years, whereas the projected rainfall data are collected for 80 years.
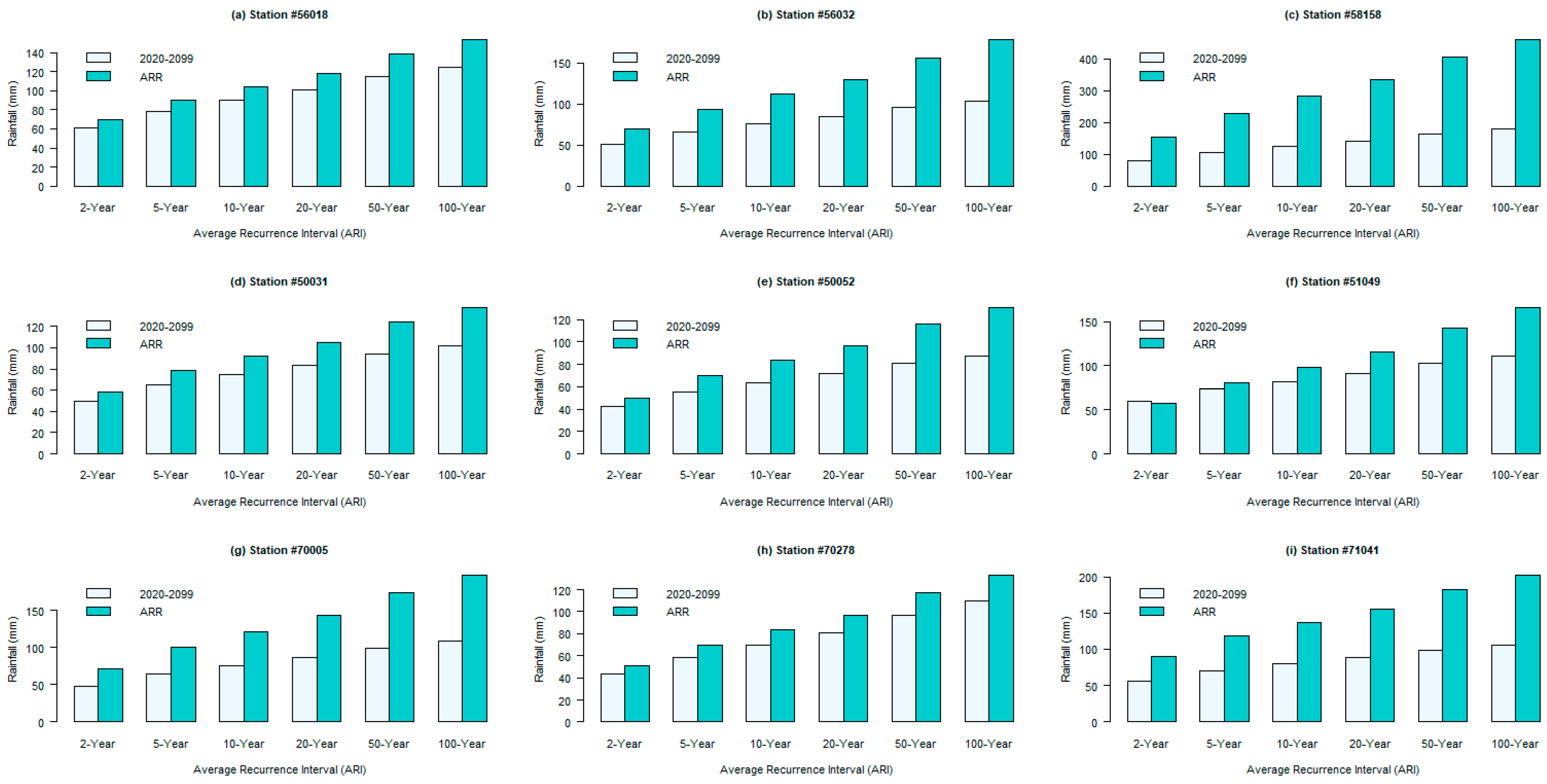
A graphical representation of the investigation of climate change impacts on design rainfall is shown in Figure 3. The comparison is illustrated between the design rainfall extracted from the Australian BoM and the design rainfall prepared from the extreme rainfall of the projected data for the same stations. It is worth noting that the Australian BoM does not include climate change impacts in the estimation of design rainfall. As demonstrated in Figure 3, the daily design rainfall will decrease due to potential climate change in NSW for the selected nine meteorological stations in three different regions (northeast, central, and southeast). Other stations also exhibit a similar trend. It is obvious that climate change influence has significant impacts on the design rainfall in NSW, and future daily design rainfall will decrease due to potential climate change impacts. Furthermore, there is a high variation in the magnitude of the high-recurrence intervals and a low variation for the low-recurrence intervals, as shown in Figure 3. These outcomes are consistent with the results observed by Meresa et al. [29].
The percentage changes in the daily design rainfall due to climate change in NSW are shown in Table 6. These changes are estimated considering the design rainfall in the Australian BoM as the base. As discussed, the comparisons show that the probability of the occurrence of future extreme rainfall in NSW will decrease in most of the regions for most of the recurrence intervals. As shown in Table 6, the daily design rainfall will decrease for 27 out of the 29 meteorological stations for the 100-year recurrence interval. The decrease amount ranges from 4% to 60.8% due to potential changes in the climatic parameters in NSW. The two stations where an increase in the future daily design rainfall is observed ranges from 0.6% to 4.7%, as evidenced in Table 6. Similar outcomes are observed for all other recurrence intervals. However, other parts of the world have the potential to have different outcomes due to topographic and climatic variability. For example, Yang et al. [50] observed increased extreme rainfall in summer and a −15.38% to +32.33% change in extreme rainfall in winter in Germany. This research acknowledges the impacts of global warming on the spatial and temporal variability of extreme rainfall.
It should be noted that the derivation of design rainfall in the Australian BoM applies regional smoothing to the outputs from the GEVD. This research considers the application of the GEVD to the projected rainfall without considering regional smoothing. However, there will not be much variation from the output of this research after the application of regional smoothing, as observed by Hossain et al. [42]. Therefore, potential climate change impacts should be incorporated into the derivation of design rainfall in the Australian BoM.
The findings of this study suggest decreased extreme rainfall in NSW and hence decreased flood potentiality from climate change consequences. It is common practice to design stormwater management infrastructure from design rainfall developed from historical extreme rainfall. This hypothesis seems to be invalid under climate change conditions due to probable shifts in the frequency and magnitude of extreme rainfall. Moreover, the uncertainty of current stormwater management will be increased for the future design rainfall attained from projected rainfall. Nevertheless, contradictory consequences were discovered in other parts of the world. Some researchers [51,52,53] noted higher severity and risks of flood from climate-change-induced extreme rainfall. The probable cause of the conflicting observations may be the changes in the characteristics of the climatic variables. Apparently, the outcomes of this research are compatible with the research outcomes obtained from similar topographic locations [54]. Consequently, regional investigation into the influences of climate change impacts on design rainfall is crucial for the effective design of stormwater management infrastructure. Risks and uncertainty surrounding inadequate drainage systems can be addressed by the findings of this research. As the currently adopted design rainfall is overestimated, this study has the potential to enhance the current state of knowledge in the cost-effective design of stormwater management infrastructure.

5. Conclusions and Recommendations

The investigation into climate change impacts on design rainfall in NSW, Australia has been demonstrated in this research. Projected rainfall (2020 to 2099) from the GCM (CSIRO BOM ACCESS 3.0) and historical rainfall (1900 to 2019) were evaluated to determine the probability of the occurrence of the design rainfall for different recurrence intervals. To identify the variation in the design rainfall estimated from the projected data, the computed design rainfall was compared with the standard design rainfall obtained from the Australian BoM. The following are the major conclusions from this study:
  • Future extreme rainfall will be significantly impacted by climate change in most parts of NSW; nevertheless, this change has different impacts on different recurrence intervals.
  • The future design rainfall will be decreased in most of the locations in NSW, indicating the potential for drought with the changing climate.
  • The probability of the occurrence of an increase in the future design rainfall is 4.7%, whereas the probability of a decrease in the design rainfall is up to 60% for the 100-year recurrence interval. This changing rate varies amongst the recurrence intervals. However, the design rainfall will decrease for most of the meteorological stations in NSW.
  • Stormwater management infrastructure that is designed from historical extreme rainfall will lead to over-design or under-design, leading to uncertainty in flood mitigation. Global climate model and return periods have considerable influence on the extent of this uncertainty.
Further analysis is required to have a better understanding of climate change impacts on flood risks and the associated stormwater infrastructure design in NSW. The current procedure adopted by the Australian BoM for the derivation of design rainfall should be revised to include potential climate changes impacts. It should be noted that this study concentrates on the analysis of daily extreme rainfall. Further investigation of climate change impacts should be conducted on sub-daily rainfall for an improved understanding of the influences.

Author Contributions

All authors contributed to the study’s conception and design. Material preparation, data collection, and analysis were performed by I.H. Correction of the analysis, supervision, and comments were provided by S.G.-T., M.I., and A.G.Y. The first draft of the manuscript was written by I.H. and all authors commented on previous versions of the manuscript. All authors have read and agreed to the published version of the manuscript.

Funding

This research received no external funding.

Institutional Review Board Statement

Not applicable.

Informed Consent Statement

Not applicable.

Data Availability Statement

The data presented in this study are available on request from the corresponding author due to (specify the reason for the restriction).

Conflicts of Interest

The authors declare no conflict of interest.

References

  1. Hettiarachchi, S.; Wasko, C.; Sharma, A. Increase in flood risk resulting from climate change in a developed urban watershed–the role of storm temporal patterns. Hydrol. Earth Syst. Sci. 2018, 22, 2041–2056. [Google Scholar] [CrossRef]
  2. Yilmaz, A.G.; Perera, B.J.C. Extreme Rainfall Nonstationarity Investigation and Intensity–Frequency–Duration Relationship. J. Hydrol. Eng. 2014, 19, 1160–1172. [Google Scholar] [CrossRef]
  3. Fadhel, S.; Rico-Ramirez, M.A.; Han, D. Uncertainty of intensity–duration–frequency (IDF) curves due to varied climate baseline periods. J. Hydrol. 2017, 547, 600–612. [Google Scholar] [CrossRef]
  4. Myhre, G.; Alterskjær, K.; Stjern, C.W.; Hodnebrog, Ø.; Marelle, L.; Samset, B.H.; Sillmann, J.; Schaller, N.; Fischer, E.; Schulz, M. Frequency of extreme precipitation increases extensively with event rareness under global warming. Sci. Rep. 2019, 9, 16063. [Google Scholar] [CrossRef] [PubMed]
  5. Boylan, S.; Beyer, K.; Schlosberg, D.; Mortimer, A.; Hime, N.; Scalley, B.; Alders, R.; Corvalan, C.; Capon, A. A conceptual framework for climate change, health and wellbeing in NSW, Australia. Public Health Res. Pract. 2018, 28, e2841826. [Google Scholar] [CrossRef] [PubMed]
  6. Mirhosseini, G.; Srivastava, P.; Stefanova, L. The impact of climate change on rainfall Intensity–Duration–Frequency (IDF) curves in Alabama. Reg. Environ. Change 2013, 13, 25–33. [Google Scholar] [CrossRef]
  7. Yilmaz, A.G.; Hossain, I.; Perera, B.J.C. Effect of climate change and variability on extreme rainfall intensity–frequency–duration relationships: A case study of Melbourne. Hydrol. Earth Syst. Sci. 2014, 18, 4065–4076. [Google Scholar] [CrossRef]
  8. Abu Arra, A.; Şişman, E. Characteristics of hydrological and meteorological drought based on intensity-duration-frequency (IDF) curves. Water 2023, 15, 3142. [Google Scholar] [CrossRef]
  9. Bibi, T.S.; Tekesa, N.W. Impacts of climate change on IDF curves for urban stormwater management systems design: The case of Dodola Town, Ethiopia. Environ. Monit. Assess. 2023, 195, 170. [Google Scholar] [CrossRef]
  10. Tousi, E.G.; O’Brien, W.; Doulabian, S.; Toosi, A.S. Climate changes impact on stormwater infrastructure design in Tucson Arizona. Sustain. Cities Soc. 2021, 72, 103014. [Google Scholar] [CrossRef]
  11. Bulti, D.T.; Abebe, B.G.; Biru, Z. Climate change–induced variations in future extreme precipitation intensity–duration–frequency in flood-prone city of Adama, central Ethiopia. Environ. Monit. Assess. 2021, 193, 784. [Google Scholar] [CrossRef] [PubMed]
  12. Butcher, J.B.; Zi, T.; Pickard, B.R.; Job, S.C.; Johnson, T.E.; Groza, B.A. Efficient statistical approach to develop intensity-duration-frequency curves for precipitation and runoff under future climate. Clim. Change 2021, 164, 3. [Google Scholar] [CrossRef] [PubMed]
  13. Cook, L.M.; McGinnis, S.; Samaras, C. The effect of modeling choices on updating intensity-duration-frequency curves and stormwater infrastructure designs for climate change. Clim. Change 2020, 159, 289–308. [Google Scholar] [CrossRef]
  14. Rosenberg, E.A.; Keys, P.W.; Booth, D.B.; Hartley, D.; Burkey, J.; Steinemann, A.C.; Lettenmaier, D.P. Precipitation extremes and the impacts of climate change on stormwater infrastructure in Washington State. Clim. Change 2010, 102, 319–349. [Google Scholar] [CrossRef]
  15. Kourtis, I.M.; Tsihrintzis, V.A. Update of intensity-duration-frequency (IDF) curves under climate change: A review. Water Supply 2022, 22, 4951–4974. [Google Scholar] [CrossRef]
  16. Fowler, H.J.; Wasko, C.; Prein, A.F. Intensification of short-duration rainfall extremes and implications for flood risk: Current state of the art and future directions. Philos. Trans. R. Soc. A 2021, 379, 20190541. [Google Scholar] [CrossRef] [PubMed]
  17. Liang, C.; Li, D.; Yuan, Z.; Liao, Y.; Nie, X.; Huang, B.; Wu, X.; Xie, Z. Assessing urban flood and drought risks under climate change, China. Hydrol. Process. 2019, 33, 1349–1361. [Google Scholar] [CrossRef]
  18. Yilmaz, A.G.; Perera, B.J.C. Spatiotemporal Trend Analysis of Extreme Rainfall Events in Victoria, Australia. Water Resour. Manag. 2015, 29, 4465–4480. [Google Scholar] [CrossRef]
  19. Herath, S.M.; Sarukkalige, R.; Nguyen, V.T.V. Evaluation of empirical relationships between extreme rainfall and daily maximum temperature in Australia. J. Hydrol. 2018, 556, 1171–1181. [Google Scholar] [CrossRef]
  20. Hajani, E.; Rahman, A.; Ishak, E. Trends in extreme rainfall in the state of New South Wales, Australia. Hydrol. Sci. J. 2017, 62, 2160–2174. [Google Scholar] [CrossRef]
  21. Hossain, I.; Esha, R.; Alam Imteaz, M. An Attempt to Use Non-Linear Regression Modelling Technique in Long-Term Seasonal Rainfall Forecasting for Australian Capital Territory. Geosciences 2018, 8, 282. [Google Scholar] [CrossRef]
  22. Hossain, I.; Rasel, H.M.; Imteaz, M.A.; Mekanik, F. Long-term seasonal rainfall forecasting: Efficiency of linear modelling technique. Environ. Earth Sci. 2018, 77, 280. [Google Scholar] [CrossRef]
  23. Hossain, I.; Rasel, H.M.; Imteaz, M.A.; Mekanik, F. Long-term seasonal rainfall forecasting using linear and non-linear modelling approaches: A case study for Western Australia. Meteorol. Atmos. Phys. 2020, 132, 331–341. [Google Scholar] [CrossRef]
  24. Khastagir, A.; Hossain, I.; Anwar, A.H.M.F. Efficacy of linear multiple regression and artificial neural network for long-term rainfall forecasting in Western Australia. Meteorol. Atmos. Phys. 2022, 134, 69. [Google Scholar] [CrossRef]
  25. CSIRO; Australian Bureau of Meteorology. State of the Climate 2020. Available online: http://www.bom.gov.au/state-of-the-climate/2020/ (accessed on 1 November 2021).
  26. Olson, R.; Evans, J.P.; Di Luca, A.; Argüeso, D. The NARCliM project: Model agreement and significance of climate projections. Clim. Res. 2016, 69, 209–227. [Google Scholar] [CrossRef]
  27. Yazdanfar, Z.; Sharma, A. Urban drainage system planning and design–challenges with climate change and urbanization: A review. Water Sci. Technol. 2015, 72, 165–179. [Google Scholar] [CrossRef]
  28. Martel, J.-L.; Brissette, F.P.; Lucas-Picher, P.; Troin, M.; Arsenault, R. Climate change and rainfall intensity-duration-frequency curves: Overview of science and guidelines for adaptation. J. Hydrol. Eng. 2021, 26, 03121001. [Google Scholar] [CrossRef]
  29. Meresa, H.; Tischbein, B.; Mekonnen, T. Climate change impact on extreme precipitation and peak flood magnitude and frequency: Observations from CMIP6 and hydrological models. Nat. Hazards 2022, 111, 2649–2679. [Google Scholar] [CrossRef]
  30. Hajani, E. Climate change and its influence on design rainfall at-site in New South Wales State, Australia. J. Water Clim. Change 2020, 11, 251–269. [Google Scholar] [CrossRef]
  31. Australian Bureau of Meteorology. 2022. Available online: http://www.bom.gov.au/climate/data/?ref=ftr (accessed on 1 November 2021).
  32. Doulabian, S.; Tousi, E.G.; Shadmehri Toosi, A.; Alaghmand, S. Non-stationary precipitation frequency estimates for resilient infrastructure design in a changing climate: A case study in Sydney. Hydrology 2023, 10, 117. [Google Scholar] [CrossRef]
  33. Wasko, C.; Guo, D.; Ho, M.; Nathan, R.; Vogel, E. Diverging projections for flood and rainfall frequency curves. J. Hydrol. 2023, 620, 129403. [Google Scholar] [CrossRef]
  34. Gu, H.; Yu, Z.; Wang, G.; Wang, J.; Ju, Q.; Yang, C.; Fan, C. Impact of climate change on hydrological extremes in the Yangtze River Basin, China. Stoch. Environ. Res. Risk Assess. 2015, 29, 693–707. [Google Scholar] [CrossRef]
  35. Sun, X.; Li, R.; Shan, X.; Xu, H.; Wang, J. Assessment of climate change impacts and urban flood management schemes in central Shanghai. Int. J. Disaster Risk Reduct. 2021, 65, 102563. [Google Scholar] [CrossRef]
  36. Smith, D.M.; Kniveton, D.R.; Barrett, E.C. A statistical modeling approach to passive microwave rainfall retrieval. J. Appl. Meteorol. Climatol. 1998, 37, 135–154. [Google Scholar] [CrossRef]
  37. ARC Centre of Excellence for Climate System Science. NSW and ACT Regional Climate Model (NARCliM) Project Dataset; ARC Centre of Excellence for Climate System Science: Sydney, Australia, 2012. [Google Scholar]
  38. Wi, S.; Valdés, J.B.; Steinschneider, S.; Kim, T.-W. Non-stationary frequency analysis of extreme precipitation in South Korea using peaks-over-threshold and annual maxima. Stoch. Environ. Res. Risk Assess. 2016, 30, 583–606. [Google Scholar] [CrossRef]
  39. Sane, Y.; Panthou, G.; Bodian, A.; Vischel, T.; Lebel, T.; Dacosta, H.; Quantin, G.; Wilcox, C.; Ndiaye, O.; Diongue-Niang, A. Intensity–duration–frequency (IDF) rainfall curves in Senegal. Nat. Hazards Earth Syst. Sci. 2018, 18, 1849–1866. [Google Scholar] [CrossRef]
  40. Anghel, C.G.; Ilinca, C. Predicting Future Flood Risks in the Face of Climate Change: A Frequency Analysis Perspective. Water 2023, 15, 3883. [Google Scholar] [CrossRef]
  41. Charras-Garrido, M.; Lezaud, P. Extreme Value Analysis: An Introduction. J. Société Française Stat. 2013, 154, 66–97. [Google Scholar]
  42. Hossain, I.; Imteaz, M.A.; Khastagir, A. Effects of estimation techniques on generalised extreme value distribution (GEVD) parameters and their spatio-temporal variations. Stoch. Environ. Res. Risk Assess. 2021, 35, 2303–2312. [Google Scholar] [CrossRef]
  43. Ilinca, C.; Anghel, C.G. Flood Frequency Analysis Using the Gamma Family Probability Distributions. Water 2023, 15, 1389. [Google Scholar] [CrossRef]
  44. Ilinca, C.; Anghel, C.G. Flood-Frequency Analysis for Dams in Romania. Water 2022, 14, 2884. [Google Scholar] [CrossRef]
  45. Khastagir, A.; Hossain, I.; Aktar, N. Evaluation of different parameter estimation techniques in extreme bushfire modelling for Victoria, Australia. Urban Clim. 2021, 37, 100862. [Google Scholar] [CrossRef]
  46. Feng, T.; Zhu, X.; Dong, W. Historical assessment and future projection of extreme precipitation in CMIP6 models: Global and continental. Int. J. Climatol. 2023, 43, 4119–4135. [Google Scholar] [CrossRef]
  47. Alam, M.S.; Elshorbagy, A. Quantification of the climate change-induced variations in Intensity–Duration–Frequency curves in the Canadian Prairies. J. Hydrol. 2015, 527, 990–1005. [Google Scholar] [CrossRef]
  48. DeGaetano, A.T.; Castellano, C.M. Future projections of extreme precipitation intensity-duration-frequency curves for climate adaptation planning in New York State. Clim. Serv. 2017, 5, 23–35. [Google Scholar] [CrossRef]
  49. Simonovic, S.P.; Peck, A. Updated Rainfall Intensity Duration Frequency Curves for the City of London under the Changing Climate; Department of Civil and Environmental Engineering, The University of Western: London, ON, Canada, 2009. [Google Scholar]
  50. Yang, L.; Franzke, C.L.E.; Duan, W. Evaluation and projections of extreme precipitation using a spatial extremes framework. Int. J. Climatol. 2023, 43, 3453–3475. [Google Scholar] [CrossRef]
  51. Hassan, W.H.; Nile, B.K.; Al-Masody, B.A. Climate change effect on storm drainage networks by storm water management model. Environ. Eng. Res. 2017, 22, 393–400. [Google Scholar] [CrossRef]
  52. Kundzewicz, Z.W.; Kanae, S.; Seneviratne, S.I.; Handmer, J.; Nicholls, N.; Peduzzi, P.; Mechler, R.; Bouwer, L.M.; Arnell, N.; Mach, K. Flood risk and climate change: Global and regional perspectives. Hydrol. Sci. J. 2014, 59, 1–28. [Google Scholar] [CrossRef]
  53. Nile, B.K.; Hassan, W.H.; Alshama, G.A. Analysis of the effect of climate change on rainfall intensity and expected flooding by using ANN and SWMM programs. ARPN J. Eng. Appl. Sci. 2019, 14, 974–984. [Google Scholar]
  54. Li, J.; Evans, J.; Johnson, F.; Sharma, A. A comparison of methods for estimating climate change impact on design rainfall using a high-resolution RCM. J. Hydrol. 2017, 547, 413–427. [Google Scholar] [CrossRef]
Figure 1. Locations of the meteorological stations used for the collection of historical and projected rainfall.
Figure 1. Locations of the meteorological stations used for the collection of historical and projected rainfall.
Atmosphere 15 00739 g001
Figure 2. Framework for identifying the influence of climate change effects on design rainfall.
Figure 2. Framework for identifying the influence of climate change effects on design rainfall.
Atmosphere 15 00739 g002
Figure 3. Comparison of the design rainfall between ARR and projected rainfall for nine meteorological stations ((ac) are in the northeastern region, (df) are in the central region, and (gi) are in the southeast region).
Figure 3. Comparison of the design rainfall between ARR and projected rainfall for nine meteorological stations ((ac) are in the northeastern region, (df) are in the central region, and (gi) are in the southeast region).
Atmosphere 15 00739 g003
Table 1. Locations of the selected stations used in this study.
Table 1. Locations of the selected stations used in this study.
Station NoStation NameLatitudeLongitudeElevationMean ExtremeStandard Deviation
48027Cobar MO31.48145.8326042.6519.1
48031Collarenebri (Albert St)29.54148.5814563.8337.67
49002Balranald (Rsl)34.64143.566138.3616.35
50031Peak Hill Post Office32.72148.1928556.6422.94
50052Condobolin Ag Research Stn33.07147.2319543.2017.94
51049Trangie Research Station AWS31.99147.9521551.1225.20
52020Mungindi Post Office28.98148.9916061.0425.67
54003Barraba (Clifton Lane)30.38150.6149961.7926.39
55049Quirindi Post Office31.51150.6839057.6118.53
56018Inverell Research Centre29.78151.0866460.4320.64
56032Tenterfield (Federation Park)29.05152.0283866.4126.66
58158Murwillumbah (Bray Park)28.34153.388147.367.68
60085Yarras (Mount Seaview)31.39152.25155120.555.19
61288Lostock Dam32.33151.4620069.7833.47
63005Bathurst Agricultural Station33.43149.5671349.0917.62
64008Coonabarabran (Showgrounds)31.28149.2852071.0827.33
68192Camden Airport AWS34.04150.697478.3036.94
69132Braidwood Racecourse AWS35.43149.7866570.0529.15
70005Bombala (Therry Street)36.91149.2470561.6930.10
70263Goulburn TAFE34.75149.767057.9424.11
70278Cooma Visitors Centre36.23149.1277848.3418.94
71041Thredbo Village36.5148.3138072.7826.38
72043Tumbarumba Post Office35.78148.0164557.3519.77
72150Wagga Wagga AMO35.16147.4621244.2717.70
73007Burrinjuck Dam35148.639061.4227.89
73014Grenfell (Manganese Rd)33.89148.1539053.1018.73
74106Tocumwal Airport35.82145.611442.1417.33
75032Hillston Airport33.49145.5212243.1519.85
75041Griffith Airport AWS34.25146.0713437.7119.95
Table 2. Climate change effects on the statistics of extreme rainfall.
Table 2. Climate change effects on the statistics of extreme rainfall.
Station No1900–20191920–2099
MaximumMeanStandard DeviationCVMaximumMeanStandard DeviationCV
48027113.2042.6519.100.45130.8161.2925.720.42
48031312.0063.8337.670.59119.1266.6424.450.37
4900293.3038.3616.350.4338.0424.386.360.26
50031133.9056.6422.940.4173.2851.4213.140.26
50052127.2043.2017.940.4281.0646.1214.530.32
51049226.8051.1225.200.49102.7362.7214.680.23
52020208.0061.0425.670.42154.7963.4632.720.52
54003194.3061.7926.390.43109.2762.1623.390.38
55049136.7057.6118.530.32125.9163.2223.650.37
56018140.0060.4320.640.34112.2364.6719.500.30
56032190.6066.4126.660.4098.4457.5519.910.35
58158338.60147.3367.680.46162.9085.4924.710.29
60085415.20120.5355.190.46240.75104.7641.810.40
61288184.1069.7833.470.48172.2685.8932.820.38
63005108.7049.0917.620.3673.7349.2811.470.23
64008167.6071.0827.330.3889.9764.2014.020.22
68192198.7078.3036.940.47117.7865.4523.270.36
69132201.0070.0529.150.42131.7869.2627.120.39
70005249.4061.6930.100.49105.2449.1923.250.47
70263148.2057.9424.110.4274.9947.2812.510.26
70278107.2048.3418.940.39124.6146.7123.860.51
71041165.5072.7826.380.36104.0656.8617.220.30
72043164.6057.3519.770.3490.8461.3315.670.26
72150110.8044.2717.700.4068.0743.3412.490.29
73007162.5061.4227.890.4588.9858.8217.600.30
73014110.7053.1018.730.35101.7255.6416.950.30
74106117.7042.1417.330.4175.9235.8314.490.40
75032123.0043.1519.850.46105.7138.4719.640.51
75041149.8037.7119.950.5357.0937.5910.630.28
Table 3. Three linear moments of the extreme data sets.
Table 3. Three linear moments of the extreme data sets.
Station No1900–20191920–2099
VarianceSkewnessKurtosisVarianceSkewnessKurtosis
48027364.921.425.41526.350.933.86
480311418.673.2518.62648.114.53
49002267.320.983.8798.91.436.49
50031526.351.14.03280.570.733.48
50052321.871.36.46207.820.63.19
51049635.053.3421.57422.480.773.67
52020658.741.9510.83642.361.114.33
54003696.222.229.58583.522.4811.7
55049343.481.064.86540.211.134.2
56018425.941.245.07370.460.833.52
56032710.831.456.15273.490.73.09
581584580.390.843.2903.311.225
600853046.051.718.61991.331.949
612881119.961.173.99729.131.053.84
63005310.471.164.34140.620.683.07
64008746.881.24.39588.871.245.52
681921364.791.174564.590.823.36
69132849.611.687.631276.261.65.84
70005905.763.0717.24356.220.733.27
70263581.051.445.25277.171.014.15
70278358.640.863.23311.081.436.23
71041695.651.134.31250.010.944.33
72043391.011.9110.01280.970.863.68
72150313.181.525.48244.191.214.12
73007777.641.916.98191.531.075.42
73014350.950.733.15375.761.546.42
74106300.471.426.15175.951.024.29
75032394.081.66.48261.181.848.31
75041398.142.8914.52254.040.984.54
Table 4. Climate change effects on the GEV parameter estimation.
Table 4. Climate change effects on the GEV parameter estimation.
Station #1900 to 20192020 to 2099
LocationScaleShapeLocationScaleShape
4802733.612.90.146.518.20.0
4803148.018.40.252.720.10.0
4900230.912.60.021.37.30.0
5003145.716.20.144.614.1−0.1
5005235.213.90.038.212.3−0.1
5104940.614.20.155.911.50.0
5202049.618.10.147.018.30.1
5400350.115.60.149.913.30.2
5504949.314.60.055.116.70.1
5601851.115.40.055.315.60.0
5603253.417.30.246.313.9−0.1
58158116.052.10.072.622.90.0
6006594.436.70.175.820.60.1
6128852.621.00.267.019.80.1
6300541.013.00.041.99.90.0
6400857.818.60.165.818.70.0
6819260.124.40.253.319.10.0
6913257.020.50.150.020.40.2
7000548.916.70.241.715.70.0
7026346.315.30.240.712.70.0
7027839.213.90.138.612.30.1
7104160.519.20.151.813.00.0
7204348.814.40.057.013.60.0
7215035.811.10.238.410.60.1
7300748.515.90.245.111.3−0.1
7301444.615.10.041.313.00.1
7410634.212.50.132.110.20.0
7503234.013.40.133.110.90.1
7504128.910.00.236.812.90.0
Table 5. Climate change effects on the return level estimation.
Table 5. Climate change effects on the return level estimation.
Station #1900 to 20192020 to 2099
2 Years5 Years10 Years20 Years50 Years100 Years2 Years5 Years10 Years20 Years50 Years100 Years
4802738.554.966.879.096.3110.353.273.987.6100.9118.1131.0
4803153.578.7100.9127.7172.4215.460.182.897.8112.2130.8144.7
4900235.550.159.869.381.791.124.032.638.544.352.158.1
5003151.972.186.5101.1121.1137.149.764.974.583.394.2102.1
5005240.556.266.475.988.096.842.655.864.071.680.987.5
5104945.163.378.094.5120.0142.760.173.382.391.0102.5111.3
5202056.377.992.9107.8127.9143.653.876.292.3108.6131.2149.4
5400355.175.291.5109.7137.8162.854.973.287.9104.2129.4151.6
5504954.470.981.992.5106.4116.961.381.696.1110.7130.8146.9
5601856.574.587.099.3116.0128.961.078.589.9100.8114.7125.0
5603260.383.1100.1117.9143.6164.851.366.475.984.695.5103.4
58158135.1196.3237.7277.9331.0371.481.0107.2124.6141.5163.4180.0
60065109.2156.2189.9224.3272.0310.383.5109.4128.4148.1176.1199.0
6128861.790.8112.6135.8169.5197.874.498.5115.6132.9156.7175.6
6300545.560.971.882.897.8109.745.556.363.369.777.883.7
6400865.489.3106.3123.7147.8167.172.793.9108.0121.6139.2152.5
6819269.7101.8125.7150.7186.6216.360.381.996.1109.8127.5140.7
6913264.388.8106.3123.9148.3167.757.886.6110.3137.2179.5217.7
7000554.776.794.1113.4142.6168.247.464.675.685.898.7108.0
7026352.072.287.8104.6129.4150.645.460.170.079.792.5102.3
7027844.861.973.785.2100.7112.643.258.569.681.096.9109.9
7104167.490.6107.0123.6146.3164.456.570.779.788.098.5106.1
7204353.870.281.592.9108.3120.262.077.186.996.2108.0116.8
7215039.954.665.978.396.6112.442.455.966.076.691.8104.4
7300753.975.393.0113.3145.3174.449.261.368.975.984.590.6
7301450.267.378.488.7101.8111.446.162.574.687.2105.2119.9
7410638.953.964.274.588.298.935.947.655.563.173.180.7
7503239.055.767.880.397.9112.137.250.660.470.484.595.9
7504132.546.758.672.494.4114.741.555.965.273.985.093.2
Table 6. Changes in the percentage of daily design rainfall from the ARR design rainfall due to climate change in NSW.
Table 6. Changes in the percentage of daily design rainfall from the ARR design rainfall due to climate change in NSW.
Station #2 Years5 Years10 Years20 Years50 Years100 Years
480278.1%5.1%2.9%0.9%−3.2%−5.7%
48031−5.4%−9.8%−14.2%−18.1%−24.0%−27.7%
49002−40.1%−43.0%−44.0%−44.7%−45.4%−45.7%
50031−14.5%−17.1%−18.9%−20.7%−24.0%−26.0%
50052−15.1%−20.2%−23.3%−26.2%−30.3%−33.2%
510494.8%−8.9%−15.9%−21.5%−28.3%−33.0%
52020−16.6%−17.8%−18.4%−19.0%−21.0%−22.6%
54003−13.7%−14.0%−13.0%−10.9%−7.6%−4.0%
55049−5.3%−4.1%−3.0%−2.0%−0.1%0.6%
56018−12.3%−13.0%−13.5%−14.6%−16.9%−18.3%
56032−26.4%−29.4%−32.3%−34.9%−38.8%−41.9%
58158−47.7%−53.2%−55.8%−57.8%−59.6%−60.8%
60065−29.8%−33.3%−34.5%−35.0%−35.3%−35.0%
61288−13.1%−15.8%−17.5%−18.0%−20.1%−21.6%
63005−13.7%−19.2%−22.3%−25.0%−28.6%−31.4%
64008−4.5%−8.8%−12.2%−15.0%−18.1%−20.6%
68192−20.4%−24.2%−27.2%−30.1%−32.2%−33.6%
69132−25.8%−19.8%−14.5%−9.7%−1.9%4.7%
70005−33.6%−35.4%−37.5%−40.0%−43.0%−45.2%
70263−21.4%−23.7%−25.6%−27.5%−29.9%−31.8%
70278−15.6%−16.3%−16.5%−16.5%−17.2%−17.4%
71041−37.5%−40.1%−41.9%−43.2%−45.9%−47.5%
720430.6%−2.4%−4.4%−5.7%−8.4%−10.2%
72150−16.6%−17.7%−17.4%−16.7%−15.0%−13.7%
73007−16.1%−22.4%−27.1%−31.6%−36.5%−40.0%
73014−18.1%−17.3%−15.8%−13.7%−10.1%−7.7%
74106−20.7%−24.4%−26.4%−28.2%−30.4%−31.7%
75032−19.7%−20.5%−19.9%−18.8%−18.0%−16.6%
75041−3.4%−5.5%−7.7%−10.2%−13.0%−15.3%
Disclaimer/Publisher’s Note: The statements, opinions and data contained in all publications are solely those of the individual author(s) and contributor(s) and not of MDPI and/or the editor(s). MDPI and/or the editor(s) disclaim responsibility for any injury to people or property resulting from any ideas, methods, instructions or products referred to in the content.

Share and Cite

MDPI and ACS Style

Hossain, I.; Imteaz, M.; Gato-Trinidad, S.; Yilmaz, A.G. Comparison of Future Design Rainfall with Current Design Rainfall: A Case Study in New South Wales, Australia. Atmosphere 2024, 15, 739. https://doi.org/10.3390/atmos15070739

AMA Style

Hossain I, Imteaz M, Gato-Trinidad S, Yilmaz AG. Comparison of Future Design Rainfall with Current Design Rainfall: A Case Study in New South Wales, Australia. Atmosphere. 2024; 15(7):739. https://doi.org/10.3390/atmos15070739

Chicago/Turabian Style

Hossain, Iqbal, Monzur Imteaz, Shirley Gato-Trinidad, and Abdullah Gokhan Yilmaz. 2024. "Comparison of Future Design Rainfall with Current Design Rainfall: A Case Study in New South Wales, Australia" Atmosphere 15, no. 7: 739. https://doi.org/10.3390/atmos15070739

APA Style

Hossain, I., Imteaz, M., Gato-Trinidad, S., & Yilmaz, A. G. (2024). Comparison of Future Design Rainfall with Current Design Rainfall: A Case Study in New South Wales, Australia. Atmosphere, 15(7), 739. https://doi.org/10.3390/atmos15070739

Note that from the first issue of 2016, this journal uses article numbers instead of page numbers. See further details here.

Article Metrics

Back to TopTop