The Effects of Different Sowing Dates on the Autumn Development and Yield of Winter Wheat in Central Lithuania
Abstract
1. Introduction
2. Materials and Methods
2.1. Experimental Design
2.2. Weather Data
2.3. Statistical Analysis
3. Results
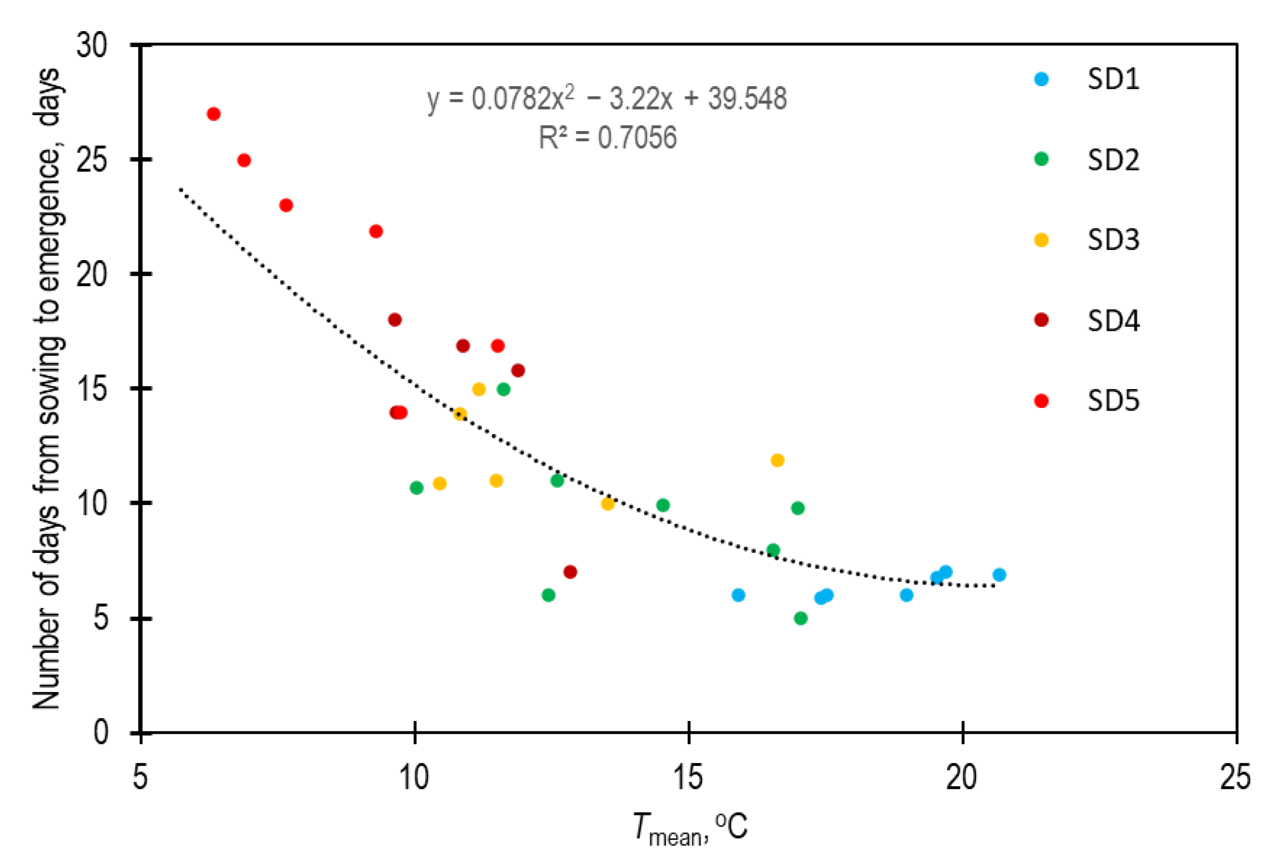
3.1. Effects of Sowing Time on the Emergence of Winter Wheat
3.2. Effects of Sowing Time on the Growth of Winter Wheat in Autumn
4. Discussion
5. Conclusions
Author Contributions
Funding
Institutional Review Board Statement
Informed Consent Statement
Data Availability Statement
Conflicts of Interest
References
- Reynolds, M.P.; Braun, H.J. Wheat Improvement: Food Security in a Changing Climate; Springer Nature: Berlin, Germany, 2022; pp. 1–629. [Google Scholar] [CrossRef]
- Wójcik-Gront, E.; Iwańska, M.; Wnuk, A.; Oleksiak, T. The Analysis of Wheat Yield Variability Based on Experimental Data from 2008–2018 to Understand the Yield Gap. Agriculture 2022, 12, 32. [Google Scholar] [CrossRef]
- Mäkinen, H.; Kaseva, J.; Trnka, M.; Balek, J.; Kersebaum, K.C.; Nendel, C.; Gobin, A.; Olesen, J.E.; Bindi, M.; Ferrise, R.; et al. Sensitivity of European Wheat to Extreme Weather. Field Crops Res. 2018, 222, 209–217. [Google Scholar] [CrossRef]
- Miedaner, T.; Akel, W.; Flath, K.; Jacobi, A.; Taylor, M.; Longin, F.; Würschum, T. Molecular Tracking of Multiple Disease Resistance in a Winter Wheat Diversity Panel. Theor. Appl. Genet. 2020, 133, 419–431. [Google Scholar] [CrossRef] [PubMed]
- Magyar, Z.; Pepó, P.; Gyimes, E. Effects of Agrotechnical Factors on the Quality and Quantity of Yield in Winter Wheat Production. Acta Agrar. Debreceniensis 2020, 1, 69–75. [Google Scholar] [CrossRef] [PubMed]
- Bastos, L.M.; Carciochi, W.; Lollato, R.P.; Jaenisch, B.R.; Rezende, C.R.; Schwalbert, R.; Vara Prasad, P.V.; Zhang, G.; Fritz, A.K.; Foster, C.; et al. Winter Wheat Yield Response to Plant Density as a Function of Yield Environment and Tillering Potential: A Review and Field Studies. Front. Plant Sci. 2020, 11, 498501. [Google Scholar] [CrossRef]
- Slafer, G.A.; Savin, R.; Pinochet, D.; Calderini, D.F. Crop Physiology Case Histories for Major Crops; Academic Press: Cambridge, MA, USA, 2021; pp. 98–163. [Google Scholar] [CrossRef]
- Christensen, B.T.; Jensen, J.L.; Thomsen, I.K. Impact of Early Sowing on Winter Wheat Receiving Manure or Mineral Fertilizers. Agron. J. 2017, 109, 1312–1322. [Google Scholar] [CrossRef]
- Liu, K.; Zhang, C.; Guan, B.; Yang, R.; Liu, K.; Wang, Z.; Li, X.; Xue, K.; Yin, L.; Wang, X. The Effect of Different Sowing Dates on Dry Matter and Nitrogen Dynamics for Winter Wheat: An Experimental Simulation Study. PeerJ 2021, 9, e11700. [Google Scholar] [CrossRef] [PubMed]
- Ding, D.Y.; Feng, H.; Zhao, Y.; He, J.Q.; Zou, Y.F.; Jin, J. Modifying Winter Wheat Sowing Date as an Adaptation to Climate Change on the Loess Plateau. Agron. J. 2016, 108, 53–63. [Google Scholar] [CrossRef]
- Radchenko, L.A.; Ganotskaya, T.L.; Radchenko, A.F.; Babanina, S.S. Sowing Dates and Their Effect on Productivity and Grain Quality of the Winter Wheat Varieties. Grain Econ. Russ. 2021, 6, 95–103. [Google Scholar] [CrossRef]
- Hayman, G.; Redhead, J.W.; Brown, M.; Pinnington, E.; Gerard, F.; Brown, M.; Fincham, W.; Robinson, E.L.; Huntingford, C.; Pywell, R.F. A Framework for Improved Predictions of the Climate Impacts on Potential Yields of UK Winter Wheat and Its Applicability to Other UK Crops. Clim. Serv. 2024, 34, 100479. [Google Scholar] [CrossRef]
- Khan, A.; Ahmad, M.; Ahmed, M.; Iftikhar Hussain, M. Rising Atmospheric Temperature Impact on Wheat and Thermotolerance Strategies. Plants 2021, 10, 43. [Google Scholar] [CrossRef]
- Shimoda, S.; Yazaki, T.; Nishio, Z.; Hamasaki, T.; Hirota, T. Possible Soil Frost Control by Snow Compaction on Winter Wheat Fields. J. Agric. Meteorol. 2015, 71, 276–281. [Google Scholar] [CrossRef]
- Khaeim, H.; Kende, Z.; Balla, I.; Gyuricza, C.; Eser, A.; Tarnawa, Á. The Effect of Temperature and Water Stresses on Seed Germination and Seedling Growth of Wheat (Triticum Aestivum L.). Sustainability 2022, 14, 3887. [Google Scholar] [CrossRef]
- Ru, C.; Hu, X.; Chen, D.; Wang, W.; Zhen, J. Photosynthetic, Antioxidant Activities, and Osmoregulatory Responses in Winter Wheat Differ during the Stress and Recovery Periods under Heat, Drought, and Combined Stress. Plant Sci. 2023, 327, 111557. [Google Scholar] [CrossRef]
- Xie, Y.; Wang, C.; Yang, W.; Feng, M.; Qiao, X.; Song, J. Canopy Hyperspectral Characteristics and Yield Estimation of Winter Wheat (Triticum Aestivum) under Low Temperature Injury. Sci. Rep. 2020, 10, 244. [Google Scholar] [CrossRef]
- Moitzi, G.; Wagentristl, H.; Liebhard, P.; Neugschwandtner, R. Influence of Tillage Systems in a Long-Term Experiment On Track Depths and Crop Yields under Pannonian Climate; Uniwersytet Przyrodniczy w Lublinie: Lublin, Poland, 22 November 2017; pp. 250–254. [Google Scholar]
- Yang, Y.; Huang, Y.; Zhang, Y.; Tong, X. Optimal Irrigation Mode and Spatio-Temporal Variability Characteristics of Soil Moisture Content in Different Growth Stages of Winter Wheat. Water 2018, 10, 1180. [Google Scholar] [CrossRef]
- Ren, X.; Cai, T.; Chen, X.; Zhang, P.; Jia, Z. Effect of Rainfall Concentration with Different Ridge Widths on Winter Wheat Production under Semiarid Climate. Eur. J. Agron. 2016, 77, 20–27. [Google Scholar] [CrossRef]
- Lei, L.; Zhu, X.; Wang, S.; Zhu, M.; Carver, B.F.; Yan, L. TaMFT-A1 Is Associated with Seed Germination Sensitive to Temperature in Winter Wheat. PLoS ONE 2013, 8, e73330. [Google Scholar] [CrossRef] [PubMed]
- Synowiec, A.; Jop, B.; Domaradzki, K.; Podsiadło, C.; Gawęda, D.; Wacławowicz, R.; Wenda-Piesik, A.; Nowakowski, M.M.; Bocianowski, J.; Marcinkowska, K.; et al. Environmental Factors Effects on Winter Wheat Competition with Herbicide-Resistant or Susceptible Silky Bentgrass (Apera Spica-Venti L.) in Poland. Agronomy 2021, 11, 871. [Google Scholar] [CrossRef]
- Ren, A.X.; Min, S.U.N.; Wang, P.R.; Xue, L.Z.; Lei, M.M.; Xue, J.F.; Gao, Z.Q.; Yang, Z.P. Optimization of Sowing Date and Seeding Rate for High Winter Wheat Yield Based on Pre-Winter Plant Development and Soil Water Usage in the Loess Plateau, China. J. Integr. Agric. 2019, 18, 33–42. [Google Scholar] [CrossRef]
- Harkness, C.; Semenov, M.A.; Areal, F.; Senapati, N.; Trnka, M.; Balek, J.; Bishop, J. Adverse Weather Conditions for UK Wheat Production under Climate Change. Agric. Meteorol. 2020, 282–283, 107862. [Google Scholar] [CrossRef]
- Jarecki, W. Response of Winter Wheat to Delayed Sowing and Varied Nitrogen Fertilization. Agriculture 2024, 14, 121. [Google Scholar] [CrossRef]
- Shah, F.; Coulter, J.A.; Ye, C.; Wu, W. Yield Penalty Due to Delayed Sowing of Winter Wheat and the Mitigatory Role of Increased Seeding Rate. Eur. J. Agron. 2020, 119, 126120. [Google Scholar] [CrossRef]
- Kanapickas, A.; Vagusevičienė, I.; Juknys, R.; Sujetovienė, G. Effects of Climatic and Cultivar Changes on Winter Wheat Phenology in Central Lithuania. Int. J. Biometeorol. 2022, 66, 2009–2020. [Google Scholar] [CrossRef] [PubMed]
- Meier, U. Growth Stages of Mono- and Dicotyledonous Plants: BBCH Monograph; Federal Biological Research Centre for Agriculture and Forestry; Blackwell: Berlin, Germany, 2001; ISBN 9783955470715. Available online: https://www.politicheagricole.it/flex/AppData/WebLive/Agrometeo/MIEPFY800/BBCHengl2001.pdf (accessed on 30 April 2024).
- Juknys, R.; Velička, R.; Kanapickas, A.; Kriaučiūnienė, Z.; Masilionytė, L.; Vagusevičienė, I.; Pupalienė, R.; Klepeckas, M.; Sujetovienė, G. Projecting the Impact of Climate Change on Phenology of Winter Wheat in Northern Lithuania. Int. J. Biometeorol 2017, 61, 1765–1775. [Google Scholar] [CrossRef]
- Linvill, D.E. Calculating Chilling Hours and Chill Units from Daily Maximum and Minimum Temperature Observations. HortScience 2019, 25, 14–16. [Google Scholar] [CrossRef]
- Leblois, A.; Quirion, P. Agricultural Insurances Based on Meteorological Indices: Realizations, Methods and Research Challenges. Meteorol. Appl. 2013, 20, 1–9. [Google Scholar] [CrossRef]
- Iwanska, M.; Paderewski, J.; Stępien, M.; Rodrigues, P.C.; Madesis, P.; Nianiou-Obeidat, I. Winter Wheat Cultivar Recommendation Based on Expected Environment Productivity. Agriculture 2021, 11, 522. [Google Scholar] [CrossRef]
- Vlăduţ, A.Ş.; Nikolova, N.; Licurici, M. Procjena Aridnosti Za Južnu Rumunjsku i Sjevernu Bugarsku. Hrvat. Geogr. Glas. 2017, 79, 5–26. [Google Scholar] [CrossRef]
- Chmist-Sikorska, J.; Kępińska-Kasprzak, M.; Struzik, P. Agricultural Drought Assessment on the Base of Hydro-Thermal Coefficient of Selyaninov in Poland. Ital. J. Agrometeorol. 2022, 2022, 3–12. [Google Scholar] [CrossRef]
- Sattar, A.; Cheema, M.; Farooq, M.; Wahid, M.A. Evaluating the Performance of Wheat Cultivars under Late Sown Conditions. Artic. Int. J. Agric. Biol. 2010, 79, 648. [Google Scholar]
- Zhu, Y.; Chu, J.; Dai, X.; He, M. Delayed Sowing Increases Grain Number by Enhancing Spike Competition Capacity for Assimilates in Winter Wheat. Eur. J. Agron. 2019, 104, 49–62. [Google Scholar] [CrossRef]
- Zhou, B.; Sun, X.; Ge, J.; Li, C.; Ding, Z.; Ma, S.; Ma, W.; Zhao, M. Wheat Growth and Grain Yield Responses to Sowing Date-Associated Variations in Weather Conditions. Agron. J. 2020, 112, 985–997. [Google Scholar] [CrossRef]
- Qiao, S.; Harrison, S.P.; Prentice, I.C.; Wang, H. Optimality-Based Modelling of Wheat Sowing Dates Globally. Agric. Syst. 2023, 206, 103608. [Google Scholar] [CrossRef]
- Trischuk, R.G.; Schilling, B.S.; Low, N.H.; Gray, G.R.; Gusta, L.V. Cold Acclimation, de-Acclimation and Re-Acclimation of Spring Canola, Winter Canola and Winter Wheat: The Role of Carbohydrates, Cold-Induced Stress Proteins and Vernalization. Environ. Exp. Bot. 2014, 106, 156–163. [Google Scholar] [CrossRef]
- Vico, G.; Hurry, V.; Weih, M. Snowed in for Survival: Quantifying the Risk of Winter Damage to Overwintering Field Crops in Northern Temperate Latitudes. Agric. Meteorol. 2014, 197, 65–75. [Google Scholar] [CrossRef]









| Year | Sowing Date (SD) | ||||
|---|---|---|---|---|---|
| SD1 | SD2 | SD3 | SD4 | SD5 | |
| 2015 | September 10 | September 17 | September 24 | October 1 | October 8 |
| 2016 | September 8 | September 15 | September 22 | September 29 | October 8 |
| 2017 | September 1 | September 14 | September 21 | October 1 | October 10 |
| 2018 | September 4 | September 14 | September 21 | October 1 | October 10 |
| 2019 | September 4 | September 11 | September 19 | September 30 | October 7 |
| 2020 | September 9 | September 16 | September 23 | September 30 | October 7 |
| 2021 | September 7 | September 14 | September 21 | September 28 | October 5 |
| Growing conditions | |||||
| GDD, °C × day | 126.5 | 128.9 | 149.2 | 154.7 | 175.8 |
| Tmean, °C | 18.5 | 14 | 12.3 | 11.7 | 8.6 |
| Tmax, °C | 24.4 | 19.1 | 17.1 | 16.7 | 12.6 |
| Tmin, °C | 12.1 | 8.7 | 7.6 | 6.6 | 4.8 |
| Prec, mm | 12.0 | 15.3 | 20.1 | 27.4 | 36.1 |
| HTC | 1.4 | 1.4 | 2.3 | 4.6 | 6.1 |
Disclaimer/Publisher’s Note: The statements, opinions and data contained in all publications are solely those of the individual author(s) and contributor(s) and not of MDPI and/or the editor(s). MDPI and/or the editor(s) disclaim responsibility for any injury to people or property resulting from any ideas, methods, instructions or products referred to in the content. |
© 2024 by the authors. Licensee MDPI, Basel, Switzerland. This article is an open access article distributed under the terms and conditions of the Creative Commons Attribution (CC BY) license (https://creativecommons.org/licenses/by/4.0/).
Share and Cite
Kanapickas, A.; Vagusevičienė, I.; Sujetovienė, G. The Effects of Different Sowing Dates on the Autumn Development and Yield of Winter Wheat in Central Lithuania. Atmosphere 2024, 15, 738. https://doi.org/10.3390/atmos15060738
Kanapickas A, Vagusevičienė I, Sujetovienė G. The Effects of Different Sowing Dates on the Autumn Development and Yield of Winter Wheat in Central Lithuania. Atmosphere. 2024; 15(6):738. https://doi.org/10.3390/atmos15060738
Chicago/Turabian StyleKanapickas, Arvydas, Ilona Vagusevičienė, and Gintarė Sujetovienė. 2024. "The Effects of Different Sowing Dates on the Autumn Development and Yield of Winter Wheat in Central Lithuania" Atmosphere 15, no. 6: 738. https://doi.org/10.3390/atmos15060738
APA StyleKanapickas, A., Vagusevičienė, I., & Sujetovienė, G. (2024). The Effects of Different Sowing Dates on the Autumn Development and Yield of Winter Wheat in Central Lithuania. Atmosphere, 15(6), 738. https://doi.org/10.3390/atmos15060738

