Abstract
Primary Biological Aerosol Particles (PBAPs) range in size from a few nanometres to hundreds of micrometres and include particles such as pollen and fungal spores, which are significant due to their prevalence and potential to induce allergic reactions and other health-related issues. This study employs real-time fluorescence spectroscopy devices, the Wideband Integrated Bioaerosol Sensor (WIBS-NEO) and IBAC-2, to monitor PBAPs in the urban environment of Dublin, Ireland, during a six-week campaign in the summer of 2019. The WIBS-NEO demonstrated moderate correlations (R2 = 0.5–0.7) in comparison with Hirst volumetric air sampler data for pollen and fungal spore concentrations following appropriate data filtering. In contrast, the IBAC-2 showed poor correlation with ambient fungal spore concentrations and lacked the necessary particle size ranges for reliable pollen measurement. Comparative analysis between WIBS-NEO and IBAC-2 revealed moderate correlation (R2 ≈ 0.6) for small fluorescent particles (fluorescent particles between 0.7 and 1.5 μm optical diameter) but lower correlation for larger particles and specific bioaerosol types. The findings suggest that while the WIBS-NEO is effective for real-time bioaerosol monitoring, further refinement is needed for IBAC-2. This study underscores the potential of using advanced real-time monitoring tools in urban environments and highlights the need for continued development to address current limitations.
1. Introduction
Primary Biological Aerosol Particle (PBAP) is a term used to describe pieces of matter in the air that are biological in nature. These particles can range in size from only a few nanometres, such as the size of individual virus or bacterial cells, all the way up to hundreds of micrometres, which encompasses particles like insect debris [1,2]. PBAPs such as pollen and fungal spores are of particular interest as they can negatively impact both human health and the agricultural sector [3,4,5,6,7,8,9,10,11,12]. Pollen emissions, particularly those derived from wind-pollenated species, are recognised as the main causative agents of allergic rhinitis in 30% of the world population [13] and up to 15% of asthmatic episodes are caused by the presence of allergens in pollen [14]. Likewise, fungal spores are among the most important aeroallergens, in relation to their potential to cause adverse health effects. Alternaria and Cladosporium are regarded as the most influential spore types for human health impacts [15]. Both types of fungal spores, along with others like Ganoderma, can be responsible for hospital admissions due to severe asthma attacks in sensitised individuals, especially children, and can manifest as acute respiratory failure [16,17].
Urban growth and the activities associated with the development and expansion of urban areas are often linked with increased PBAP emissions. Recent research studies have highlighted this, showing that specific anthropogenic sites or activities, such as open landfills, vegetable markets, and tree planting in parks and streets, have emerged as hotspots of both environmental and public health hazards [18,19]. The health-related implications of PBAP are significant, resulting in asthma, lung diseases, and allergies in large portions of adult urban populations. All dust, anthropogenic or naturally caused, can have negative implications for sensitised individuals, with increased concentrations of PM10 being strongly correlated with hospital admission rates and mortality rates, and any dust presence having the potential to cause reactions [20,21]. The frequency of respiratory allergic diseases, such as asthma, has increased year-on-year, resulting in significant health effects on people, and economically impacting governments due to increased health spending, and reduced productivity [17]. This frames our need to have monitoring systems that can evaluate these dynamics, and facilitate work related to prediction and mitigation, through early warning system development [22]. Fungal spores and pollen grains are found in many sizes, shapes, and colours/pigments, thus allowing for optical identification and differentiation by manual means such as microscopy [1,23,24,25,26,27,28,29,30,31].
Methods traditionally used for the detection and quantification of bioaerosols include the use of manual, off-line impactor devices such as the Hirst volumetric trap [32], which collects bioaerosol samples onto an adhesive surface. These samples are then analysed manually via optical microscopy, which is the recommended sampling method by the “European Aeroallergen Network” (EAN) and the European Aeroallergen Society (EAS) [33]. Such methods are incredibly labour-intensive and require a high level of expertise and training for instrument operation, sample preparation and optical discernment of a large variety of different fungal spores and pollen grains. Due to the lengthy analysis process, only a sub-section of the slides are analysed with the overall count being determined by extrapolation [34,35,36,37], resulting in a higher degree of experimental uncertainty [38,39]. The laborious and time-consuming process has also hindered the formation of nationwide and transcontinental bioaerosol monitoring networks—particularly in developing regions—that could greatly assist in the monitoring and tracking of possibly allergenic PBAPs [40].
Traditionally, when discussing human health, the concentrations of PBAPs have been considered insignificant in the ambient air when compared to non-biological aerosols [41]. This lack of concern was also driven by the simple inability to monitor bioaerosols to the same degree of speed and accuracy as is seen in anthropogenic air pollutant monitoring. Most traditional PBAP monitoring techniques are limited in their ability to yield the high-resolution time series data that is necessary for online, real-time monitoring [42]. In contrast, and in more recent years, real-time monitoring techniques, such as the use of bioluminescence assay, or laser/light-induced fluorescence (LIF) spectroscopy, allow for high-resolution real-time characterisation of biological particles, and were developed with the explicit purpose of achieving online detection of biological aerosols [42]. Obtaining higher temporal resolution, and shorter delays in publishing PBAP concentrations, was shown to reduce uncertainty in forecast and atmospheric transport models used in early warning systems [22,43]. This in turn leads to improved early warning systems and reduced public health costs.
Newer methods of identifying and quantifying PBAPs in the localised atmosphere have, in more recent times, become lower in cost and more readily available [44,45]. The majority of these devices can be described as using air-flow cytometry, although the overall operating principles of each instrument can differ substantially. For instance, light-induced fluorescence (LIF), light scatter, and holographic imaging are now routinely utilised for the measurement and analysis of the physical characteristics of particles. These instruments include KH-3000-01, WIBS-NEO, IBAC-2, the Plair Rapid-E, and the Swisens Poleno [46,47,48,49,50]. This study examines and compares the WIBS-NEO and the IBAC-2 devices.
The WIBS is a three-fluorescence channel single aerosol particle monitor. It detects “Fluorescent Aerosol Particles” (FAPs) in real-time using light-induced fluorescence (LIF). The individual shape and size of both fluorescent and non-fluorescent particles are obtained by measuring the forward and side optical scatter, and the spectrally unresolved fluorescent intensity of individual particles at a time resolution of a fraction of a second. Several versions of the WIBS instrument were used throughout the literature. Such versions include the Model 3 and 4 (prototype instruments) and WIBS-4A and WIBS-NEO, which are commercially available [51,52]. WIBS was deployed at a myriad of sites to monitor ambient bioaerosol variations, including rainforests, urban, bio-waste, green waste, and coastal and indoor environments both within Ireland and internationally [47,53,54,55,56,57,58,59,60,61,62]. Field studies have highlighted the proficiency of WIBS in identifying ambient bioaerosols when compared to traditional volumetric sampling methods (R2 > 0.9) [51,54,55,60,63].
The Instantaneous Bioaerosol Analysis and Collection (IBAC) instrument (previously known as FIDO B2) is an optical light continuous air monitor that was initially developed by ICx Biodefense and subsequently commercialised by FLIR Systems for the purpose of detecting potential threats related to biological aerosols. Primary customers of the first IBAC were described as the U.S. Department of Homeland Security as well as several private defence customers. It can differentiate between biological and non-biological particles via elastic scattering (use of photomultiplier tubes for the detection of extremely weak fluorescence signals) and particle fluorescence, utilising a 405 nm laser as an excitation source. The device also distinguishes between what it describes as small particles (less than 1.5 µm) and large particles (greater than or equal to 1.5 µm). Thus, IBAC allows for the broad discrimination of four differing particle groups based on their size and fluorescence properties. IBAC is capable of detecting particles ≥ 0.7 ums with response times of between 30 s and 1 min and was designed to be modular so that extra functions and capabilities such as aerosol samplers could later be integrated into the system [49,64,65,66,67]. Various studies have utilised the IBAC device as a control for the testing of novel particle analysis methods. In one such study by Choi et al., FIDO B2 IBAC was used as a comparison and validation tool, working alongside their proposed use of a correlation value for the classification of airborne particles based on the optical properties of these particles [68].
WIBS and IBAC, while both advanced instruments designed for detecting airborne biological particles, differ in their technical specifications and performance in various settings. WIBS utilises UV-induced fluorescence to classify bioaerosols based on their optical properties. This makes it effective for detailed environmental monitoring, especially in complex outdoor conditions, such as urban centres, where distinguishing between biological and non-biological particles is essential. IBAC, on the other hand, is optimised for the rapid detection of potential biological threats such as bacteria, viruses, and spores, making it more suited for military or industrial applications. While both devices are highly sensitive, WIBS provides more detailed classification, whereas IBAC is designed for as fast as possible real-time detection in critical scenarios. One differentiator between these real-time sensors and traditional monitoring methods is the current unmatched ability of the Hirst to allow for species specific identification. When trained, researchers can identify 30+ different species of pollen and fungal spore types. This level of granularity has not yet been seen in real-time sensor technology and necessitates some level of traditional sampling until that point is reached [69,70].
For the current study, three devices, the Hirst, WIBS, and IBAC, were co-located on a rooftop in an urban centre. The results between the traditional impactor method and both real-time monitoring methods were compared. An emphasis was placed on identifying WIBS and IBAC particle outputs that correlated significantly with ambient fungal spores and pollen concentrations.
This study makes several novel contributions to bioaerosol research. While previous Irish studies focused on rural settings [60,71], our work fills a critical gap by offering the first long-term urban dataset, revealing unique bioaerosol sources and concentrations that affect air quality and health. Additionally, this is the first comparison of WIBS-NEO with IBAC-2, achieved by filtering WIBS data to match IBAC-2 particle size range, thereby establishing a robust methodological framework for future studies.
2. Materials and Methods
Bioaerosol monitoring and sampling was conducted at the former TU Dublin Kevin Street site (53°20′12.1″ N, 6°16′04.0″ W) (Figure 1). This site is in the centre of the capital city, a coastal metropolitan area spanning approximately 318 km2 and has a population density of 4811 people per km2 [72]. The monitored area experiences a cool temperate oceanic climate, with average annual temperatures ranging from 8.5 to 10.8 °C, nationally [73]. The region records the lowest rainfall in the country, averaging between 750 and 1000 mm per year, compared to a national average exceeding 1200 mm annually [73].
Figure 1.
The sampling site location in Dublin on the east coast of Ireland, with the bioaerosol sample site at the red circle.
During this campaign, traditional methods of PBAP monitoring (Hirst–Lanzoni) were compared with newer spectrometric methods such as WIBS-NEO and IBAC-2 in efforts to assess their real-time monitoring potential. The monitoring campaign took place over the course of 41 days from the 7th of August, 12:00, to the 16th of September 2019, 12:00. The spectrometric instruments (WIBS-NEO and IBAC) were positioned on the roof of TU Dublin, Kevin Street, in appropriate proximity to the Hirst–Lanzoni volumetric trap to allow for parallel monitoring.
2.1. Bioaerosol Monitoring
Bioaerosol ambient concentrations were sampled using a Hirst–Lanzoni sampler and counted manually using an optical microscope at 400× magnification, according to the standardised protocols for airborne pollen monitoring counting and analysis established and published by the Spanish Aerobiology Network (REA) and EAN [38,74,75]. The sampling device comprises an electrically powered motor that draws air into the device at 10 L/min and impacts the air containing particulate matter onto an adhesive surface stored inside. The adhesive surface is then removed and subjected to full manual optical microscopic analysis. This is the most commonly used bioaerosol sampler due to its historical use, standardised operation, maintenance, and analysis procedures.
2.2. Real-Time Instrumentation Deployment
WIBS-NEO was co-located at the bioaerosol sampling site (Figure 1). It operated almost continuously (7 August 2019 12:00–16 September 2019 12:00), with only 1 brief period of inactivity registered for necessary maintenance checks. As a result, pollen/fungal spores recorded by the Hirst device during these hours were removed prior to any comparison. Additionally, daily force trigger mode ensured stable background fluorescence values so that no large variations were seen over the course of the campaign, and data could later be used to determine daily fluorescent thresholds. This threshold was determined in the same way as described in the literature previously [51,60].
IBAC-2 was co-located at the bioaerosol sampling site (Figure 1). The device operated almost continuously (7 August 2019–15 September 2019); however, the device was not operational for the 28th of August. As a result, the same data omission procedure as above was applied to ensure uniform comparison.
2.3. WIBS Data Analysis
Particles were designated “fluorescent” or “non-fluorescent” via the determination of the threshold limit of fluorescence (obtained via forced trigger mode). Upon determination of the fluorescent fraction, the particles were further categorised utilising the Perring nomenclature [76]. This annotation system categorises fluorescent particles into one of seven types depending on the three fluorescence bands detected by WIBS. These categories consider each channel individually (FL1, FL2, and FL3) but also include all possible combinations of channels. The FL1 channel refers to any particle which is excited at 280 nm and emits between 310 and 400 nm. Should the particle only exhibit these characteristics and no other, they are labelled an A type. The FL2 grouping refers to any particle which is excited at 280 nm and emits between 420 and 650 nm. Should the particle only exhibit these characteristics, they are labelled as B type. Finally, the FL3 grouping refers to any particle which is excited at 370 nm and emits between 420 and 650 nm. Should the particle only exhibit these characteristics, they are labelled as C type. However, particles can exhibit fluorescence across multiple channels and can be labelled accordingly (AB, AC, BC, or ABC) depending on their fluorescent characteristics. Full details can be seen in Table 1, below.
Table 1.
Excitation and emission wavelength ranges of each WIBS 4A channel.
The baseline (forced trigger threshold) was set as three standard deviations (3 σ) greater than the mean background fluorescence intensity in each channel. This is determined by operating WIBS-NEO in “forced trigger mode”, whereby the xenon lamps are activated when the pump is disengaged, meaning no particles are present within the sampling chamber. This method, commonly used in WIBS field studies, ensures that the threshold accurately characterises what constitutes a fluorescent particle, or what falls below the required threshold to be considered “fluorescent” [51,77,78]. This approach helps to distinguish FAPs from other ambient particles, ensuring that only particles with fluorescence intensities that are statistically significantly higher than the background levels are classified as FAPs. Several authors, however, have varied the values of sigma greater than the mean background fluorescence intensity in each channel. This is to aid in the discrimination of particles. Similarly to those works, both 6 and 9 sigma were also utilised during this study [79]. For example, certain bioaerosols may exhibit strong fluorescence signals that allow for the utilisation of higher thresholds to differentiate them from other fluorescent interferences, while others may require lower thresholds due to their inherent fluorescence properties.
Fluorescence characteristics were well studied previously with the WIBS device [52,61,80]. This approach avoids a one-size-fits-all methodology, acknowledging the broad nature of fluorescence, and recognising that the variability in particle sizes, compositions, and environmental influences can impact detection accuracy [81].
In addition to fluorescence intensity, WIBS-NEO also provides information on the size and shape of the sampled particles, further details of which can be seen in the manufacturers’ documentation [82]. The instrument calculates an “Asymmetric Factor” (AF) that is used to describe the relative shape of particles by providing a numerical value between 0 and 100. The closer the value is to 0, the more spherical the particle is, with particles closer to 100 illustrating a rod-like shape. The fluorescent characteristics, size, and AF distribution of the WIBS particles can aid in the possible identification of the contributing PBAP.
Various size and fluorescence filters were applied to WIBS particles in order to extract a representative fraction of the observed FAPs indicative as pollen grains or fungal spores. A set of correlation analyses and tests, including the Shapiro–Wilk test for normality (small size of the dataset) and Kruskal–Wallis tests, were carried out. Subsequently, Spearman’s correlation analyses were conducted, due to the non-normal distribution of much of the data, as is common in campaigns involving biological data. This robustness with non-parametric data is why Spearman’s correlation was used for comparisons within the paper, but for comparison, Pearson’s correlation analysis was also completed and is available for reference in the Supplementary Materials.
The same procedure was repeated subsequently when dealing with the IBAC dataset. The statistical analyses were performed by using the ggplot2, cowplot, ggpubr, tidyverse, lubridate, dplyr, ggthemes, forecast, gridExtra, ggalt, reshape2, corrplot, and MASS packages in R (RStudio 2024.12.0+467 “Kousa Dogwood” Release) [83,84,85,86,87,88,89,90,91,92,93,94,95,96].
3. Results and Discussion
3.1. Overview of Pollen Grains and Fungal Spores Observed During Monitoring Campaign
For the duration of the monitoring campaign (7 August 2019–16 September 2019), ambient pollen and fungal spore concentrations were recorded using the traditional volumetric Hirst method. In total, 13 different pollen and 15 different fungal spore taxa were identified by microscopic analysis. The average daily concentration of pollen grains measured over the study period was 119 pollen grains/m3. The most abundant pollen type was Urticaceae pollen, representing 78% of the total pollen recorded with a daily concentration of 92 pollen grains/m3. In comparison, the next most common pollen type, Poaceae, contributed only 11% of the total count with 13 grains/m3.
Temporal trends of the prevalent pollen taxa and their relative contributions to total bioaerosol concentrations are illustrated in Figure 2. The highest daily concentration was recorded on the 25th of August due to the presence of high ambient Urticaceae concentrations on that day. In comparison, the highest daily concentration of Poaceae was recorded on the 15th of August. Only 4 of the 41 days experienced Poaceae concentrations categorised as having a high daily ambient concentration (>30 pollen grains/m3) [97,98]. Following this, the overall trend in pollen was toward lower concentrations coinciding with the declining grass pollen season.
Figure 2.
Time series of ambient pollen and fungal spore concentrations.
These overall trends and concentrations are indicative of late summer/early autumn in Ireland. At this stage, the grass season is almost entirely completed and ambient pollen concentrations are dominated by herbaceous pollen, which will also be in decline around the start of September. Previous work has observed a similar trend [99].
In addition to pollen concentrations, a daily average fungal spore concentration of 1425 fungal spores/m3 was noted. The prevalent fungal spore types, their relative concentrations, and temporal trends are illustrated in Figure 2 below. Cladosporium constituted the vast majority of total spores for the period comprising 66% of the total with an average daily concentration of 945 spores/m3. One major exception to this was during the first week of the study, where a small rise in total fungal spore concentrations was seen during a time where Cladosporium concentrations were low.
While previous Irish studies have predominantly investigated bioaerosols in rural environments [60,71], our research fills a crucial gap by providing the first long-term data from an urban setting. This distinction is important because urban areas often experience different sources and concentrations of bioaerosols, which can affect air quality and health outcomes. Our approach not only enhances the understanding of urban bioaerosol dynamics but also offers a methodological framework for future studies in similar environments.
The highest daily concentration for total fungal spores was recorded the 26th of August, the day after the pollen peak date. This was due to the presence of high ambient Cladosporium concentrations, as well as rises in Alternaria and basidiospores, with all three aforementioned spore types peaking at this time. The adjacent days, August 25th and 27th, were the days with the second and third highest concentrations, respectively, indicating that this was a multi-day peak period. During this period, large increases in total ascospore concentrations and other minor spore types were also observed.
Ascospore concentrations were highest at the beginning of the study, reaching a peak on the 17th of August. This peak in ascospore concentration was followed by a gradual decline to a steady lower overall concentration for the remainder of the study. Basidiospore concentrations were relatively unchanged throughout the study period, aside from an increase in the third week of August during the main “peak” point of total fungal spores, which coincided with peaks in Cladosporium and Alternaria. The concentrations for Alternaria spores were similar to those of basidiospores, although they had lower relative concentrations outside of the study peak period.
3.2. Overview of Fluorescent Particles Detected by WIBS-NEO
Simultaneous fluorescent particle detection was carried out by WIBS-NEO. Over the campaign, a total of 47.3 million particles were recorded. Of all the particles sampled, only 14% possessed fluorescent intensities exceeding the force trigger threshold (at 3 σ). The filtered FAPs were then subdivided into seven classes based on their fluorescent characteristics in the three detector channels (FL1, FL2, and FL3), as described in Figure 3.
Figure 3.
Temporal trends of WIBS particles, fluorescent and non-fluorescent (3 σ threshold), as well as size distribution chart showing average size of each particle type by day of campaign.
The concentrations of fluorescent particles observed in Dublin were considerably higher than those seen in studies carried out in more rural Irish locations (Killarney National Park) at similar times of the year, with this pattern of higher concentrations in urban locations, and lower in rural, being seen time and again in various locations worldwide [52,60,100,101,102]. Since urban areas typically contain less plant material and green spaces when compared to more rural/wooded areas, such as national parks, it would be expected that a lower concentration of bioaerosols would be observed [60]. Similar trends were noted by Yu et al. [102] when comparing urban and rural FAP concentrations and concluded that such increases in FAPs can be attributed to the increased presence of combustion-related particles. These combustion particles were noted to fluoresce [103]. Other studies have also observed this effect [102].
B type particles were seen to represent over 43% of the recorded FAPs. Although B type particles were shown to influence some biogenic classes [81], they are more commonly linked to anthropogenic sources and other interfering particles [52,57,104]. The WIBS particle types with the next highest contributions were BC (15%) and ABC (14%), both of which were associated with the presence of airborne PBAP, most notably, pollen grains and to a lesser extent, fungal spores. A number of laboratory studies have highlighted the contribution of various pollen types to both BC and ABC categories [80,81,105].
The daily fraction of fluorescent particles is summarised in Figure 3. The figure depicts both the daily variation in fluorescent/non-fluorescent particles as well as WIBS FAP classes during the monitoring campaign. The temporal trend in the size distribution of each particle type is also summarised. Interestingly, it can be seen that on certain days, the percentage of FAP goes above 25%, with a range of values between 7 and 33% over the full campaign. The image plot highlights the preponderance of particles in the smaller size ranges as would be expected in an ambient site.
The majority of WIBS particle types were dominated by particles of size less than 8 μm. The exception to this was ABC particles, with this category containing a higher proportion of larger particles. It was shown that fluorescence intensity and fluorescence type are functions of particle size and as such, larger particles tend to favour the ABC category [81]. It should be noted that there is a potential for larger ABC particles to be composed of an agglomeration of several smaller particles, each fluorescing in a different channel, thus acting as an alternative explanation for why larger particles tend to group toward this ABC category. The larger ABC particles observed (greater than 15 μm) could represent pollen grains, especially Poaceae and Urticaceae pollen due to their relative size. These were the most common larger pollen types observed during the campaign. Both AB and BC type particles exhibited significantly high fluorescence intensities. AB type particles showed a higher relative fluorescence in the FL1 channel than they did in the FL2 channel. This was identified for particles present at all size ranges. It should be noted that these particles did fluoresce in FL1 and FL2, thus designating them AB type particles. The notable element here is the degree of fluorescence seen in FL1 in particular. This general trend could be representative of ambient fungal spore concentrations as fungal spore classification is often associated with strong FL1 fluorescence [80,81,105,106]. The fluorescence in the BC type particles was equally high in both the FL2 and Fl3 channels. Other types, namely AC type particles, were seen in very low concentrations, and had a negligible contribution to the fluorescent fraction (0.3%). Therefore, they did not meaningfully contribute to overall total aerosol concentrations. This limited presence for AC type particles has been well documented in previous WIBS studies [80,102,107].
Previous studies have shown that increasing the threshold for characterisation of FAPs can greatly elucidate aerosol characterisation [60,76,108,109,110]. Thus, this same process was undertaken here, increasing the standard deviations (σ) used in the calculation from 3 to 6 to 9. The size distributions of the different WIBS channels, utilising 9 σ values (the original 3 σ are in the supplemental), are shown in Figure 4 below. Figure 4 emphasises the larger average particle sizes associated with the ABC channel, along with similar increases in the distributions in the AB, AC, and BC channels. Although it should be noted that the shapes of these distributions are quite different from each other. This indicates that after increasing the fluorescence threshold through this standard deviation approach, the particles of larger than average size that remain within these fluorescence categories could potentially be biological in nature, as their sizing of >2 µm is similar to that of the bioaerosols observed during this campaign.
Figure 4.
Probability density size distribution chart of WIBS particles sampled during WIBS monitoring campaign.
Of the particle types that are routinely associated with known bioaerosol fractions, BC particles were the most correlated class observed by WIBS in this work. BC particles were largely classified at size ranges less than 20 µm, and with low AF (sphericity) values less than 9. The low value here indicates the observation of broadly spherical particles, and the size range matches those of many species of pollen grains and fungal spores. Previous studies have suggested that particles with high FL2 and FL3 fluorescence intensities, and lower (more spherical) AF values, correlate strongly with both pollen and fungal spores [60,61,111]. This could represent some smaller pollen grains such as Urticaceae, or fungal spores such as basidiospores, particularly considering the peak in BC particles noted on the 25th of August (Figure 2), which coincides with the highest observed Urticaceae and basidiospore concentrations.
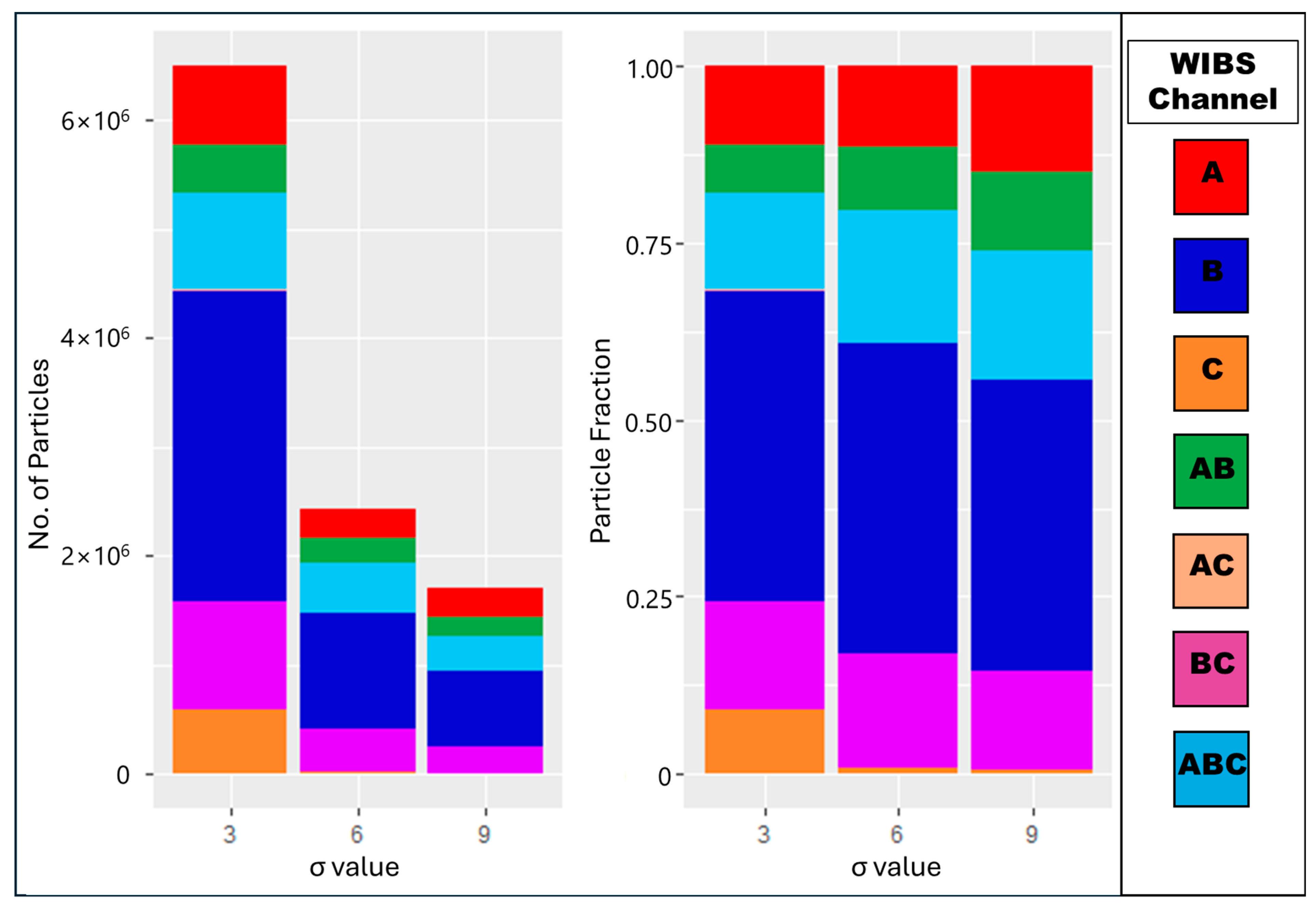
Increasing the fluorescent thresholds for each channel results in changes in the pathway of fluorescence used to categorise the sampled particles. These deviations are demonstrated in Figure 5 below.
Figure 5.
Particle counts at each fluorescent threshold, showing number of particles and fraction of total particles at each Sigma (σ) value graphical representation.
The clearest change witnessed as the fluorescent baseline increases is the reduction in C type particles, which decrease drastically from 3 σ to 9 σ. Although these changes appear stark, particularly in the case of C type particles, improved association between Hirst results and WIBS FAPs were observed with the application of higher fluorescent thresholds for all pollen and fungal spore classes. The proportion of A type particles increased in relation to other WIBS channels, as seen in Figure 5. This indicates that particles that previously exhibited fluorescence in multiple fluorescence channels (AB, ABC, AC) subsequently shifted to being only A type particles, as they fell below the set fluorescence threshold in the other FL channels (FL2 and FL3).
3.3. Comparison Between Hirst and WIBS
FAP data collected by WIBS were used to construct temporal profiles for comparison with pollen and fungal spore concentrations determined by the Hirst volumetric impactor method. While many studies compare the performance of real-time pollen monitoring instruments to the Hirst, caution must be taken when comparing such methods due to both the uncertainty in measurements produced by the Hirst, as well as any differences introduced by the varying operating principles, and inlets, vertical inlet (WIBS) vs. wind vane oriented (Hirst) [112]. For fluorescence-based instruments like WIBS and others, it was speculated that some bioaerosols may fluoresce too weakly to be detected under certain circumstances [60]. As such, before any comparisons to the Hirst are made, it is first necessary to assess the performance of the real-time instruments under ambient conditions, and to quantify the extent of any limitations associated with real-time methods.
WIBS operates via the use of optical scatter for the detection of particles and thus can detect particles at lower size ranges than the visual identification of the Hirst. WIBS can record particles as low as 0.5 μm in size, making it applicable for monitoring other small bioaerosols such as bacteria [81,113,114,115]. The Hirst is limited by its use of microscopic analysis, limiting it to detection of particles > 2 μm in size [116]. In an effort to improve any comparison of the two methods, WIBS particles less than 2 µm were removed from the collected fluorescent data prior to analysis. A comparison of observed impactor pollen and fungal spore concentrations to the WIBS FAP data was carried out to discern if any direct link between the two instruments was apparent. In addition, a series of size and fluorescent filters were also applied to the FAP data in an effort to extract more representative FAP fractions for comparison to more similar pollen and fungal spore types associated with impactor methods. The data from the Hirst device has a maximum temporal resolution of hourly bioaerosol concentration measurement at a flow rate of 10 L/min. In order to ensure fair and accurate comparison, the values from the WIBS device were converted to provide as direct a comparison as possible with the Hirst device, as was carried out in previous similar studies [117,118,119].
3.4. Comparison of Pollen Grains to Isolated FAP Categories
Total pollen and Urticaceae pollen concentrations were found to correlate the strongest with BC particles greater than 9 µm in size and at a 6 σ fluorescent baseline, yielding R2 values of 0.52 and 0.53, respectively. The further in depth comparisons between daily trends of pollen and extracted BC type particles are highlighted in Figure 6. BC type particle classes were shown previously to be indicative of pollen grains [63,80,81].
Figure 6.
(A) Time series of Hirst total pollen counts, WIBS BC type particles, and Urticaceae pollen counts (daily). (B) Linear scatter plot of Hirst total pollen counts vs. WIBS type particles (daily). (C) Linear scatter plot of Hirst Urticaceae pollen counts vs. WIBS type particles (daily).
Throughout the course of the analysis, few statistically significant relationships were observed for Poaceae pollen and the WIBS particle categories at any of the various fluorescent thresholds examined. The best apparent correlation for pollen was observed for BC particles greater than 9 µm at 6 σ (R2 = 0.52). However, this isolated fraction of BC particles failed to account for several peaks in Poaceae pollen. The results observed for Poaceae pollen correlation analysis could be hampered somewhat due to the relatively low concentrations observed during the sampling period. It was also noted in laboratory studies that WIBS-NEO has lower counting efficacies at larger particle size ranges [63]. Equally, larger particles such as Poaceae can experience sedimentation losses in the WIBS system inlet, leading to under sampling of pollen grains [54,120,121,122]. The lower flow rate of WIBS, a sampling rate of 0.3 L/min relative to the Hirsts’ 10 L/min, combined with the sedimentation tendencies, could contribute to this apparent discrepancy. Indeed, the Hirst is optimised for the collection of larger particles [123]. Other potential limitations include the scattering angle sensitivity of WIBS, which is optimised for the smallest particles, the possibility of the larger particles moving at slower speed through the optical chamber, and flow rate and sampling volume differences between devices [52,124,125,126].
Overall, increasing the fluorescent threshold from 3 σ to 6 σ showed a marked improvement in the correlation of the results gathered from the two instruments for both Urticaceae and total pollen. However, several correlative variances between the two instruments remained, the most obvious being the peak in BC particles seen on the 20th of August (red peak preceding the largest peak of the campaign) when pollen concentrations were notably low. This peak illustrates the potential limitations in utilising WIBS for the selective detection of specific pollen taxa, or on lower concentration days. Although the isolated BC particles do generally follow the trend of observed pollen in comparison with the impactor method, the deviations may stem from other biological particles or highly fluorescent interferents [52,127]. Previous WIBS campaigns conducted in Ireland have demonstrated the ability of WIBS to detect individual pollen taxa. A study by O’Connor et al. [63] showed the success of WIBS-4 in detecting Yew pollen (R2 = 0.9). Such studies have shown the capability of WIBS to monitor selected pollen species in less diverse environments but have cautioned that the introduction of other PBAP types such as additional pollen taxa, fungal spores, and other fluorescent interferences could complicate the selective monitoring ability of WIBS [63]. Indeed, in the O’Connor et al. study, Yew dominated the ambient pollen concentrations.
Further increasing the fluorescent threshold from 6 σ to 9 σ does not improve the correlation between BC particles and Urticaceae pollen at any size range. Even though increasing the fluorescent threshold was previously shown to reduce the impact of chemical interferents, several highly fluorescent chemical species were shown to be substantively unaffected in terms of their interference by these filters [81]. Consequently, the decreased correlation at 9 σ may result either from the removal of certain biological particles in favour of highly fluorescent chemical interferents, or from the reclassification of fluorescent pollen particles into different FAP categories at the higher threshold [81]. Observations of these unexplained BC particle peaks when compared to ambient pollen concentrations indicate that other particles are also present in this fraction. Improved separation could be achieved with the inclusion of additional fluorescent channels such as those previously suggested for the detection of chlorophyll [103,128,129]. The inclusion of such channels could aid in the differentiation of major grass and herbaceous pollen types, as observed during this campaign. Detecting the presence of chlorophyll could further differentiate these pollen types from anthropogenic, highly fluorescent particles in addition to other bioaerosols such as fungal spores since such spores do not possess chlorophyll, with studies having shown the ability to differentiate such types through the detection of pollen specific fluorophores [103,118,128,129]. Newer devices such as the Swisens Poleno monitoring device may have the potential to exploit this biomarker [130,131,132].
3.5. Comparison of Fungal Spores to Isolated FAP Categories
A series of similar analyses were applied to various fungal spore groups when comparing them to the WIBS fluorescent classes. A further in depth set of analyses can be seen in full detail within the Supplementary Materials of this publication.
Once again, increasing the fluorescent threshold from 3 σ to 6 σ and 9 σ was required to optimise the correlation and potentially limit the impact of interfering particles and extract representative fungal fractions. BC type particles were also determined to be the most representative FAP fraction for total fungal spore concentrations. Although several studies have highlighted the importance of FL2 (B) and FL3 (C) type fluorescence for certain fungal spore fractions [60], the majority of studies have linked FL1 fluorescence to fungal spores [61,80,81,106]. However, upon examination of the data from the current study, weak correlation (correlation of <0.2) was observed for the majority of particle types with FL1 fluorescence. There are several potential reasons for this, firstly, a range of WIBS models (WIBS-3, WIBS-4, etc.) have been used to date, with this study employing yet another WIBS model—WIBS-NEO. If differences in fluorescence sensitivity from the previous models compared to WIBS-NEO exist, even a slight increase in FL2 or FL3 channel sensitivity (compared to other channels) could result in a shift toward particles with B and C type fluorescence [108].
When looking at the FL1 channels, FAPs detected by the WIBS in more complex urban environments show that anthropogenic/combustion particles favour the FL1 and FL2 channels over FL3 [81,102,133,134,135]. A study by Yu et al. using WIBS-4 illustrated such findings and noted that anthropogenic aerosols, such as black carbon, almost exclusively possessed FL1 type fluorescence, thereby inhibiting the detection of PBAPs that could have fluoresced in this range [102]. For the FL2 channel, a study in Saclay, France, using WIBS-4A found strong association between black carbon concentrations and B type, or FL2 type fluorescence [118]. Additionally, a recent study by Forde et al. compared WIBS-NEO to its predecessor WIBS-4, with notable differences in fluorescent intensity being observed when examining various PBAP samples. In this study, the deviation appeared to have been driven by higher fluorescent intensities that were detected in the FL1 channel [45]. It is therefore possible that due to the higher sensitivity of the FL1 channel, coupled with the urban environment of the sampling site, that some potential detection of PBAPs in the FL1 channel could be masked by the fluorescence of anthropogenic aerosols.
One of the more interesting discoveries during the WIBS particle analysis was revealed upon looking at the particle number distributions of each WIBS particle type vs. fluorescence intensity. Throughout several previous campaigns and studies, no WIBS device has previously shown any bimodal distribution within fluorescence intensity [15,47,54,61,116,117].
A bimodal distribution is obvious in the intensities within the FL1 channel of WIBS-Neo for ABC type particles, but not so in the FL2 and FL3 channels. This can be seen in Figure S4 of the Supplementary Materials. To further investigate the possibility of significance of this result, the bimodal distribution was divided into two separate datasets, seen again in Figure S4. They were categorised as ABC_1, and ABC_2, indicating the first and second mode, respectively. It was subsequently found that when these new parameters were used for correlation analysis, each grouping was significantly correlated with a completely different type of fungal spore (Table 2). As a result, the two modes were treated as separate parameters within the creation of different bioaerosol comparison plots. When combined as one parameter, the ABC channel was not significant as a correlative factor or as a predictor for any spore type, but each mode, separately, has very different relationships with fungal spores, as well as with some pollen types. This is highlighted in Table 2 below.
Table 2.
Spearman correlation plot comparing fungal spore and WIBS band concentrations at 9 σ.
Table 2, above, shows the results of a Spearman correlation analysis, comparing the daily concentrations of various spore types with the particle type outputs of the WIBS-NEO monitoring device. Ascospores showed significant correlation with AB, AC, and ABC_2 type particles. This trend was unique, as the other main spore types, basidiospores, Cladosporium, and Alternaria, all correlated with C, BC, and ABC_1 type particles. There were also significant correlations between basidiospores and B type particles, as well as between Cladosporium and AC type particles.
The difference in how the two ABC modes interact with the different spore types is of particular interest. The correlation between ABC_2 and ascospores could relate to the fact that the ABC_2 category has higher FL1 intensities, a characteristic noted previously for ascospores [106].
Although good correlation between the two instruments was observed for basidiospores, there are periods where WIBS does not account for peaks in spores, and similarly, there are periods where peaks in the ABC_1 particles do not correspond to an increase in spores. This is seen in Figure 7, below. Since it is known that ABC particles also correlate well with other PBAP types, albeit at lower fluorescent thresholds, these peaks that do not equate to basidiospore could be indicative of other PBAP or potential interferences that are not removed using fluorescent filtering (bacteria, for instance).
Figure 7.
(A) Time series of Hirst basidiospore counts and ABC First Mode WIBS particles (daily); (B) linear Hirst basidiospore counts vs. ABC First Mode WIBS type particles (daily).
Poor correlation was observed for Cladosporium spores, even though they were the most prevalent spore type sample, which is a trend that was observed in previous studies such as Healy et al., who noted that Cladosporium spores may have been miscounted by the WIBS-4A instrument [55,60,116]. In particular, WIBS was shown to be unable to fully characterise sharp increases in all Cladosporium species. Several reasons for these observations were proposed including the physical aspects of Cladosporium, as it can be released in clusters, which could lead to increased wall loss, as well as the photophysical properties of the spore, which could inhibit the absorption of light by biofluorophores within the cell [106]. This spore type has also typically shown an association with FL1 fluorescence. The likely fluorescence characteristic overlap between FL1 type biological particles and anthropogenic interferences may have led to WIBS being unable to differentiate Cladosporium like particles from other FL1 particles [106]. In similar campaigns conducted in less diverse ambient environments, Cladosporium has shown affinity to FL1 or A type particles [45,108,116]. Similarly, in a study by Healy et al., basidiospores showed considerably higher percentage contributions to total spore concentrations than Cladosporium [60]. The findings of the Healy et al. study demonstrated that fungal spores showed stronger correlation with FL2 and FL3 channels, corroborating the link observed for basidiospores and BC particles seen during the current study. This could explain why significant correlation was observed for certain spore types and not for others.
A look at the potential of combining certain pollen and fungal species together was investigated, and details are available in the Supplementary Materials. Total pollen counts, and Alternaria spores combined, showed significant correlation with BC particles greater than 9 µm in size at 6 σ (R2 = 0.59), whereas basidiospores illustrated significant correlation with the ABC_1 particles between 2 and 30 µm in size at 9 σ (R2 = 0.49).
3.6. Overview of Particle Detection by IBAC-2
Boxplots of daily IBAC particle concentrations recorded during the monitoring campaign are shown in Supplementary Figures S1 and S2. Each boxplot represents the average hourly concentration (particles per litre) over 24 h, which minimises the number of outliers visible at the maximum temporal resolution. A notable peak in IBAC concentrations occurred on August 9th during an episode of heavy rainfall. In this case, IBAC recorded an increase in particulate numbers—likely due to sampling rain droplets—even though rainfall suppressed fungal spore release, as indicated by concurrent data from WIBS and fungal spore monitors. Conversely, during the main fungal spore peak in the last week of August, IBAC did not capture a similar increase, resulting in lower correlation values with fungal spore concentrations (see Table 3).
Table 3.
Spearman correlation table of IBAC particles versus fungal spores and pollen grains. (Additional statistical analysis can be seen in Supplementary Table S1.)
The IBAC-2 automated bio-detection sensor, which operates with a single 405 nm laser, outputs particle data in “particles per litre” across several categories: “Small Particles” (0.7–1.5 μm), “Large Particles” (1.5–10 μm), “Small Biological Particles” (0.7–1.5 μm above a fluorescent threshold), and “Large Biological Particles” (1.5–10 μm above a fluorescent threshold). Comparisons between the IBAC-2 and Hirst devices (Table 3) reveal that while both systems offer valuable insights into bioaerosol concentrations, IBAC-2’s rapid real-time detection comes at the cost of reduced sensitivity and specificity. For example, fungal spore concentrations correlated poorly with the IBAC-2 biological particle (FAP) data. The highest correlation observed was 0.28 for Alternaria and “Large Biological” particles, which is not statistically significant and nearly identical to the 0.27 R2 value for “Small Biological” particles. Given that Alternaria spores are typically larger than 2 μm, the similarity in correlations for both particle size ranges indicates that IBAC-2 may not be a robust indicator of fungal spore fructification, as further evidenced by the low correlation (0.1) between Basidiospores and “Small Biological” particles.
3.7. Comparison Between IBAC and WIBS
The WIBS-NEO and IBAC particle sensors were both run across the same period in summer 2019 to allow for a direct comparison between the two sensors. While both devices use similar technology, there is a significant difference in the quantity of information outputted by the devices. This is due to WIBS monitoring a wider range of particle sizes (0.5–30 μm) and outputting it as single particle data. IBAC has two defined particle size bands, 0.7–1.5 and 1.5–10 μm, rendering IBAC data far more agglomerated. In addition, individual particle fluorescence intensities are determined by WIBS (with two excitation wavelengths and emission bands) while IBAC-2 utilises only one excitation source.
A correlation table for the particle categories of the two instruments was constructed, with the values shown in Table 4 below. While the WIBS instrument is capable of monitoring a different range compared to that of IBAC-2, its data were size filtered for this comparison, leaving the size ranges and groups exhibited by IBAC-2 compatible with WIBS for this analysis. There is a relatively good level of correlation between the two machines, particularly when comparing the “Small Biological Particle” output of the IBAC device with the different outputs of the WIBS apparatus.
Table 4.
Spearman correlation table of IBAC particles and WIBS-Neo particles (WIBS fluorescent particles are at 3 σ threshold). (Additional statistical analysis can be seen in Supplementary Tables S2 and S3.)
Spearman correlation between approximately 0.57 and 0.65 was seen for the “Small Bio” IBAC group compared with that of WIBS. It should be noted that fluorescent particles in the WIBS groups reflect any fluorescent particles regardless of origin.
As summarised in Figure 8, a direct comparison of the two size bands for total particles was conducted. Overall, IBAC-2 sampled more particles than WIBS. Additionally, the IBAC-2 derives both size and fluorescence information from a single 405 nm laser, as opposed to WIBS-NEO, which interrogates each particle under analysis using both the sizing laser and two separate xenon flash lamps. Thus, the potential for missed particles in IBAC is far lower than that of WIBS given that the sequence of analysis involves fewer variables, and a simpler, stripped-back particle analysis process. Similarly, due to the narrower particle size range of IBAC, the counting efficiency for smaller particles may be greater than that of WIBS. Given the extended size range of the particles WIBS can analysis in comparison to IBAC, optimisation for all size ranges would be difficult. While counting efficiency estimation of WIBS was conducted [62,126], similar estimates have not been carried out for IBAC-2 in the scientific literature.
Figure 8.
Comparison between WIBS NEO and IBAC particle sensor for all particle types and size ranges. Small particles (0.7–1.5 µm) and large (1.5–10 µm) are shown in two separate plots, emphasising levels of agreement between two devices.
WIBS was previously compared to other LIF and real-time devices [45,47,119] as well as previous WIBS models [45]. However, neither WIBS-NEO nor any of its predecessors have yet been compared to IBAC-2 and as such, this study represents the first comparison between the two devices and is also one of the few IBAC-2 monitoring studies. Due to the aforementioned difference in particle sampling size ranges, WIBS particle data were filtered to align with the size ranges detected by IBAC.
Overall, a higher concentration of particles was sampled by IBAC-2 in comparison to WIBS. IBAC-2 recorded 1.5 times more particles than WIBS, which is not unexpected considering the sampling process differences between the devices. WIBS collects far more information about each particle, and this can result in missed particle counts. Interestingly, WIBS-NEO recorded a greater concentration of particles in the larger size range (1.5–10 µm), which is likely explained by WIBS being designed to detect much larger particles, thereby making it more efficient at sampling particles at the 10 µm size limit of IBAC-2. Similarly, more fluorescent particles were detected by WIBS, with IBAC-2 recording more non-fluorescent particles. This is due to WIBS possessing more excitation and emission channels than IBAC-2, therefore enhancing its capacity to detect fluorescent particles unobserved by IBAC-2. The full correlative differences between the two devices is outlined below in Figure 9.
Figure 9.
Comparison of WIBS to IBAC: (A) % difference between two for each day (red line representing mean % difference), (B) total particles, (C) fluorescent particles, and (D) non-fluorescent particles.
The greatest correlation between the two instruments was seen for non-fluorescent particles in the range of 1.5–10 µm (R2 = 0.63) and fluorescent particles in the range of 0.7–1.5 µm (R2 = 0.60). In an effort to improve correlation between the two instruments, individual FL channels of WIBS were compared directly to IBAC-2. Graphical representations of this comparison are available in Supplementary Materials as Figures S1 and S2. The highest correlation was observed for the FL1 channel (R2 = 0.4) specifically for fluorescent particles between 0.7 and 1.5 µm (R2 = 0.6). Although the FL3 channel is more similar to IBAC-2 in terms of excitation and emission wavelengths, the increased sensitivity of the FL1 channel in WIBS-NEO appears to be more representative of the ambient FAPs observed by both instruments.
4. Conclusions
This study provides the first real-time pollen and fungal spore monitoring dataset for Dublin City, evaluating the performance of WIBS-NEO and IBAC-2 for real-time bioaerosol monitoring potential against a traditional impactor method in an urban environment. The results indicate that WIBS-NEO demonstrated strong potential for real-time bioaerosol monitoring, particularly for pollen and fungal spores when applying size and fluorescence-based filters. In contrast, IBAC-2 showed limited utility due to its restriction to only two particle size bins, and weak correlations with traditional monitoring data. The device requires further refinement to be used effectively for bioaerosol detection. Longer monitoring campaigns are necessary to validate these findings and further explore the utility of real-time instruments in replacing traditional bioaerosol sampling methods.
This campaign represents the first real-time pollen and fungal monitoring study for Dublin City. The study also sought to address the current deficits in the literature, examining the possible limitations of the real-time aerobiological samplers utilised. WIBS-NEO was deployed from 7 August 2019 to 16 September 2019 to assess its potential to identify and detect atmospheric pollen and spore concentrations in a relatively complex ambient environment. The WIBS-NEO and IBAC-2 real-time samplers were run in parallel with the traditional Hirst volumetric sampler to allow for a careful comparison with the observed pollen and fungal spore concentrations. A series of size and fluorescent filters were applied to the collected WIBS data in order to isolate FAPs believed to be representative of pollen and fungal spores. A notable correlation between the methods was observed for both pollen and fungal spore concentrations, especially with BC type particles at higher fluorescent thresholds (6 σ and 9 σ). The findings indicate that WIBS-NEO has significant potential as a real-time bioaerosol monitoring tool.
IBAC-2 was also evaluated for its potential to sample PBAPs. Initially, IBAC-2 was compared to WIBS for similar particle size ranges and showed good correlation for non-fluorescent particles in the range of 1.5–10 µm (R = 0.67) and fluorescent particles in the range of 0.7–1.5 µm (R = 0.60). The size range of IBAC-2 diminished its capability of sampling pollen grains and poor correlation with the Hirst sampler was also observed for both pollen and fungal spore concentrations. The device’s poor performance in this context limits its appropriateness for ambient bioaerosol monitoring, particularly in urban environments, which require the detection of larger particles. IBAC-2 was found more suitable for environments where smaller, potentially harmful bioaerosols, such as bacteria, are of more pressing concern.
This study emphasises the promise of real-time instruments like WIBS-NEO in monitoring atmospheric bioaerosols in urban settings, where traditional methods are labour-intensive and time-consuming. IBAC-2 requires further research to identify its particular potential in the field, and to target its best form of application. Both devices reflect significant strides in bioaerosol monitoring technology but underscore the need for further refinement, particularly in differentiating bioaerosols from anthropogenic fluorescent particles. Future research should incorporate extended monitoring periods, incorporate fluorescent markers (e.g., chlorophyll detection), and employ meteorological data analysis to enhance bioaerosol source identification and improve real-time monitoring accuracy. These continued technological advancements and extended monitoring campaigns can bridge the gap between traditional and real-time bioaerosol detection methods.
While the focus of this study was on the relationships and correlations between the three instruments themselves, some minor investigation of external influences was described. Additional research is currently being carried out to investigate the potential influences and impacts of all measured external parameters and how they may impact the instrumentation. As part of this campaign, meteorological data and anthropogenic pollution datasets are being interrogated, and the influences of these air quality metrics are being examined. This work aims to build upon the work of this paper, further exploring the relationships among the devices, and evaluating the potential for real-time instrumentation to eventually replace traditional monitoring methods.
Supplementary Materials
The following supporting information can be downloaded at: https://www.mdpi.com/article/10.3390/atmos16030275/s1, Figure S1: Daily boxplots of all small (0.7–1.5 μm) and large (1.5–10 μm) IBAC particles; Figure S2: Daily boxplots of biological small (0.7–1.5 μm) and large (1.5–10 μm) IBAC particles; Figure S3: Log10 size distribution chart of WIBS particles sampled during WIBS monitoring campaign; Figure S4: Bimodal distribution of ABC category in FL1 channel; Figure S5: (A) Time series of total Hirst fungal spore counts and BC WIBS particles (daily), and (B) linear Hirst total fungal spore counts vs. WIBS type particles (daily); Figure S6: (A) Time series of Hirst “non-ascospore” spore counts and WIBS ABC_1 particles (daily), and (B) linear Hirst spore counts vs. WIBS particles (daily); Figure S7: (A) Time series of Hirst basidiospore counts and ABC_1 WIBS particles (daily), and (B) linear Hirst basidiospore counts vs. ABC_1 WIBS type particles (daily); Figure S8: (A) Time series of Hirst Alternaria and total pollen counts vs. BC WIBS particles (daily), and (B) linear Hirst Alternaria and total pollen counts vs. BC WIBS type particles (daily); Table S1: Pearson correlation table of IBAC particles versus fungal spores and pollen grains; Table S2: Pearson correlation table of IBAC particles and WIBS-Neo particles; Table S3: Spearman correlation table of IBAC “Biological” particles and WIBS-Neo “Fluorescent” particles.
Author Contributions
Conceptualization, D.J.O., J.H.C. and E.M.; methodology, J.H.C. and E.M.; software, J.H.C. and E.M.; validation, D.J.O., E.J.M., G.S., A.M.V.-P. and G.D.; formal analysis, J.H.C. and E.M.; investigation, M.M.-B., J.M.M.-M., E.M. and J.H.C.; resources, R.S.-E., D.B. and D.J.O.; data curation, M.M.-B., J.M.M.-M., E.M. and J.H.C.; writing—original draft preparation, J.H.C. and E.M.; writing—review and editing, J.H.C., E.M., D.J.O., E.J.M., G.S., A.M.V.-P. and G.D.; visualisation, J.H.C. and E.M.; supervision, D.J.O. and M.M.-B.; project administration, D.J.O.; funding acquisition, D.J.O., R.S.-E. and D.B. All authors have read and agreed to the published version of the manuscript.
Funding
This research was funded by the Environmental Protection Agency of Ireland under the projects: Pollen Monitoring and Modelling (POMMEL), grant number 2017-CCRP-FS.35, and Fungal mOnitoring NeTwork ANd Algorithm (FONTANA), grant number 2018-CCRP-MS.53. E.M. acknowledges support from the Irish Research/EPA, grant number GOIPG/2019/4195. J.H.C. acknowledges support from the Irish Research/EPA, grant number GOIPG/2021/464.
Institutional Review Board Statement
Not applicable.
Informed Consent Statement
Not applicable.
Data Availability Statement
Data will be made available on request. Data is not publicly available, as it is still being used as part of ongoing, unpublished research projects.
Acknowledgments
The authors would like to acknowledge and thank Droplet Measurement Technologies (DMT) for provision of the WIBS-NEO real-time monitoring device.
Conflicts of Interest
The authors declare no conflicts of interest. The funders had no role in the design of the study; in the collection, analyses, or interpretation of the data; in the writing of the manuscript; or in the decision to publish the results.
References
- Kasprzyk, I. Aeromycology—Main Research Fields of Interest During the Last 25 Years; Kay, A.B., Kaplan, A.P., Bousquet, J., Holt, P.G., Eds.; Wiley-Blackwell: Oxford, UK, 2008; Volume 15, ISBN 9781444300918. [Google Scholar]
- Després, V.R.; Alex Huffman, J.; Burrows, S.M.; Hoose, C.; Safatov, A.S.; Buryak, G.; Fröhlich-Nowoisky, J.; Elbert, W.; Andreae, M.O.; Pöschl, U.; et al. Primary Biological Aerosol Particles in the Atmosphere: A Review. Tellus Ser. B Chem. Phys. Meteorol. 2012, 64, 15598. [Google Scholar] [CrossRef]
- Kay, A.B.; Bousquet, J.; Holt, P.G.; Kaplan, A.P. Allergy and Allergic Diseases. In Allergy and Allergic Diseases; Blackwell Publishing: Hoboken, NJ, USA, 2008; Volume 2, ISBN 9781405157209. [Google Scholar]
- Sofiev, M.; Bergmann, K.-C. Allergenic Pollen: A Review of the Production, Release, Distribution and Health Impacts; Springer Science & Business Media: Berlin/Heidelberg, Germany, 2012; ISBN 978-94-007-4881-1. [Google Scholar]
- de Weger, L.A.; Bergmann, K.C.; Rantio-Lehtimäki, A.; Dahl, Å.; Buters, J.; Déchamp, C.; Belmonte, J.; Thibaudon, M.; Cecchi, L.; Besancenot, J.-P.; et al. Impact of Pollen. In Allergenic Pollen: A Review of the Production, Release, Distribution and Health Impacts; Sofiev, M., Bergmann, K.-C., Eds.; Springer: Dordrecht, The Netherlands, 2013; pp. 161–215. ISBN 978-94-007-4881-1. [Google Scholar]
- Idrose, N.S.; Lodge, C.J.; Erbas, B.; Douglass, J.A.; Bui, D.S.; Dharmage, S.C. A Review of the Respiratory Health Burden Attributable to Short-Term Exposure to Pollen. Int. J. Environ. Res. Public Health 2022, 19, 7541. [Google Scholar] [CrossRef] [PubMed]
- Alam, S.; Nisar, M.; Bano, S.A.; Ahmad, T. Impact of Aerial Fungal Spores on Human Health. In Hazardous Environmental Micro-pollutants, Health Impacts and Allied Treatment Technologies; Ahmed, T., Hashmi, M.Z., Eds.; Springer International Publishing: Cham, Switzerland, 2022; pp. 219–240. ISBN 978-3-030-96523-5. [Google Scholar]
- Delfino, R.J.; Zeiger, R.S.; Seltzer, J.M.; Street, D.H.; Matteucci, R.M.; Anderson, P.R.; Koutrakis, P. The Effect of Outdoor Fungal Spore Concentrations on Daily Asthma Severity. Environ. Health Perspect. 1997, 105, 622–635. [Google Scholar] [CrossRef]
- Ortega Rosas, C.I.; Calderón-Ezquerro, M.D.C.; Gutiérrez-Ruacho, O.G. Fungal Spores and Pollen Are Correlated with Meteorological Variables: Effects in Human Health at Hermosillo, Sonora, Mexico. Int. J. Environ. Health Res. 2020, 30, 677–695. [Google Scholar] [CrossRef] [PubMed]
- Rossman, A.Y. The Impact of Invasive Fungi on Agricultural Ecosystems in the United States. In Ecological Impacts of Non-Native Invertebrates and Fungi on Terrestrial Ecosystems; Langor, D.W., Sweeney, J., Eds.; Springer: Dordrecht, The Netherlands, 2009; pp. 97–107. ISBN 978-1-4020-9680-8. [Google Scholar]
- Telloli, C.; Chicca, M.; Leis, M.; Vaccaro, C. Fungal Spores and Pollen in Particulate Matter Collected during Agricultural Activities in the Po Valley (Italy). J. Environ. Sci. 2016, 46, 229–240. [Google Scholar] [CrossRef] [PubMed]
- Wang, M.; Kriticos, D.J.; Ota, N.; Brooks, A.; Paini, D. A General Trait-Based Modelling Framework for Revealing Patterns of Airborne Fungal Dispersal Threats to Agriculture and Native Flora. New Phytol. 2021, 232, 1506–1518. [Google Scholar] [CrossRef] [PubMed]
- Pawankar, R. Allergic Diseases and Asthma: A Global Public Health Concern and a Call to Action. World Allergy Organ. J. 2014, 7, 1–3. [Google Scholar] [CrossRef]
- Kim, K.-H.; Kabir, E.; Jahan, S.A. Airborne Bioaerosols and Their Impact on Human Health. J. Environ. Sci. 2018, 67, 23–35. [Google Scholar] [CrossRef] [PubMed]
- O’Connor, D.J.; Sadyś, M.; Skjøth, C.A.; Healy, D.A.; Kennedy, R.; Sodeau, J.R. Atmospheric Concentrations of Alternaria, Cladosporium, Ganoderma and Didymella Spores Monitored in Cork (Ireland) and Worcester (England) during the Summer of 2010. Aerobiologia 2014, 30, 397–411. [Google Scholar] [CrossRef]
- Eduard, W. Fungal Spores: A Critical Review of the Toxicological and Epidemiological Evidence as a Basis for Occupational Exposure Limit Setting. Crit. Rev. Toxicol. 2009, 39, 799–864. [Google Scholar] [CrossRef]
- Kasprzyk, I.; Grinn-Gofroń, A.; Ćwik, A.; Kluska, K.; Cariñanos, P.; Wójcik, T. Allergenic Fungal Spores in the Air of Urban Parks. Aerobiologia 2021, 37, 39–51. [Google Scholar] [CrossRef]
- Kathiriya, T.; Gupta, A.; Singh, N.K. An Opinion Review on Sampling Strategies, Enumeration Techniques, and Critical Environmental Factors for Bioaerosols: An Emerging Sustainability Indicator for Society and Cities. Environ. Technol. Innov. 2021, 21, 101287. [Google Scholar] [CrossRef]
- Cariñanos, P.; Foyo-Moreno, I.; Alados, I.; Guerrero-Rascado, J.L.; Ruiz-Peñuela, S.; Titos, G.; Cazorla, A.; Alados-Arboledas, L.; Díaz de la Guardia, C. Bioaerosols in Urban Environments: Trends and Interactions with Pollutants and Meteorological Variables Based on Quasi-Climatological Series. J. Environ. Manag. 2021, 282, 111963. [Google Scholar] [CrossRef]
- Reyes, M.; Díaz, J.; Tobias, A.; Montero, J.C.; Linares, C. Impact of Saharan Dust Particles on Hospital Admissions in Madrid (Spain). Int. J. Environ. Health Res. 2014, 24, 63–72. [Google Scholar] [CrossRef] [PubMed]
- Stafoggia, M.; Zauli-Sajani, S.; Pey, J.; Samoli, E.; Alessandrini, E.; Basagaña, X.; Cernigliaro, A.; Chiusolo, M.; Demaria, M.; Díaz, J.; et al. Desert Dust Outbreaks in Southern Europe: Contribution to Daily PM10 Concentrations and Short-Term Associations with Mortality and Hospital Admissions. Environ. Health Perspect. 2016, 124, 413–419. [Google Scholar] [CrossRef]
- Vélez-Pereira, A.M.; De Linares, C.; Belmonte, J. Aerobiological Modeling I: A Review of Predictive Models. Sci. Total Environ. 2021, 795, 148783. [Google Scholar] [CrossRef]
- Dijksterhuis, J. Fungal Spores: Highly Variable and Stress-Resistant Vehicles for Distribution and Spoilage. Food Microbiol. 2019, 81, 2–11. [Google Scholar] [CrossRef]
- Dilcher, D.L.; Sheffy, M.V. Morphology and Taxonomy of Fungal Spores. Palaeontogr. Abt. B 1971, 133, 34–51. [Google Scholar]
- Reponen, T.; Grinshpun, S.A.; Conwell, K.L.; Wiest, J.; Anderson, M. Aerodynamic versus Physical Size of Spores: Measurement and Implication for Respiratory Deposition. Grana 2001, 40, 119–125. [Google Scholar] [CrossRef]
- Heikkilä, P.; Kotimaa, M.; Tuomi, T.; Salmi, T.; Louhelainen, K. IDENTIFICATION AND COUNTING OF FUNGAL SPORES BY SCANNING ELECTRON MICROSCOPE *. Ann. Occup. Hyg. 1988, 32, 241–248. [Google Scholar] [CrossRef] [PubMed]
- Gopalakrishnan, S.; Arigela, R.; Thyagarajan, S.; Raghunathan, R. Comparison and Evaluation of Enumeration Methods for Measurement of Fungal Spore Emission. J. Aerosol Sci. 2022, 165, 106033. [Google Scholar] [CrossRef]
- Li, D.-W.; Yang, C.S.; Harrington, F. Microscopic Analytical Methods for Fungi. In Sampling and Analysis of Indoor Microorganisms; John Wiley & Sons, Ltd.: Hoboken, NJ, USA, 2007; pp. 75–103. ISBN 978-0-470-11243-4. [Google Scholar]
- Sivaguru, M.; Mander, L.; Fried, G.; Punyasena, S.W. Capturing the Surface Texture and Shape of Pollen: A Comparison of Microscopy Techniques. PLoS ONE 2012, 7, e39129. [Google Scholar] [CrossRef]
- Landsmeer, S.H.; Hendriks, E.A.; de Weger, L.A.; Reiber, J.H.C.; Stoel, B.C. Detection of Pollen Grains in Multifocal Optical Microscopy Images of Air Samples. Microsc. Res. Tech. 2009, 72, 424–430. [Google Scholar] [CrossRef]
- Pospiech, M.; Javůrková, Z.; Hrabec, P.; Štarha, P.; Ljasovská, S.; Bednář, J.; Tremlová, B. Identification of Pollen Taxa by Different Microscopy Techniques. PLoS ONE 2021, 16, e0256808. [Google Scholar] [CrossRef] [PubMed]
- Hirst, J.M. An Automatic Volumetric Spore Trap. Ann. Appl. Biol. 1952, 39, 257–265. [Google Scholar] [CrossRef]
- Oteros, J.; Pusch, G.; Weichenmeier, I.; Heimann, U.; Möller, R.; Röseler, S.; Traidl-Hoffmann, C.; Schmidt-Weber, C.; Buters, J.T.M. Automatic and Online Pollen Monitoring. Int. Arch. Allergy Immunol. 2015, 167, 158–166. [Google Scholar] [CrossRef] [PubMed]
- Maya-Manzano, J.M.; Smith, M.; Markey, E.; Hourihane Clancy, J.; Sodeau, J.; O’Connor, D.J. Recent Developments in Monitoring and Modelling Airborne Pollen, a Review. Grana 2021, 60, 1–19. [Google Scholar] [CrossRef]
- Comtois, P.; Alcazar, P.; Néron, D. Pollen Counts Statistics and Its Relevance to Precision. Aerobiologia 1999, 15, 19–28. [Google Scholar] [CrossRef]
- Cariñanos, P.; Emberlin, J.; Galán, C.; Dominguez-Vilches, E. Comparison of Two Pollen Counting Methods of Slides from a Hirst Type Volumetric Trap. Aerobiologia 2000, 16, 339–346. [Google Scholar] [CrossRef]
- Fragola, M.; Arsieni, A.; Carelli, N.; Dattoli, S.; Maiellaro, S.; Perrone, M.R.; Romano, S. Pollen Monitoring by Optical Microscopy and DNA Metabarcoding: Comparative Study and New Insights. Int. J. Environ. Res. Public Health 2022, 19, 2624. [Google Scholar] [CrossRef] [PubMed]
- Galán, C.; Smith, M.; Thibaudon, M.; Frenguelli, G.; Oteros, J.; Gehrig, R.; Berger, U.; Clot, B.; Brandao, R. Pollen Monitoring: Minimum Requirements and Reproducibility of Analysis. Aerobiologia 2014, 30, 385–395. [Google Scholar] [CrossRef]
- Clot, B.; Gilge, S.; Hajkova, L.; Magyar, D.; Scheifinger, H.; Sofiev, M.; Bütler, F.; Tummon, F. The EUMETNET AutoPollen Programme: Establishing a Prototype Automatic Pollen Monitoring Network in Europe. Aerobiologia 2020, 4, 3–11. [Google Scholar] [CrossRef]
- Martínez-Bracero, M.; Markey, E.; Clancy, J.H.; Sodeau, J.; O’Connor, D.J. First Long-Time Airborne Fungal Spores Study in Dublin, Ireland (1978–1980). Atmosphere 2022, 13, 313. [Google Scholar] [CrossRef]
- Penner, J.E.; Xu, L.; Wang, M. Satellite Methods Underestimate Indirect Climate Forcing by Aerosols. Proc. Natl. Acad. Sci. USA 2011, 108, 13404–13408. [Google Scholar] [CrossRef] [PubMed]
- An, T.; Liang, Z.; Chen, Z.; Li, G. Recent Progress in Online Detection Methods of Bioaerosols. Fundam. Res. 2024, 4, 442–454. [Google Scholar] [CrossRef] [PubMed]
- Vélez-Pereira, A.M.; De Linares, C.; Belmonte, J. Aerobiological Modelling II: A Review of Long-Range Transport Models. Sci. Total Environ. 2022, 845, 157351. [Google Scholar] [CrossRef]
- Martinez-Bracero, M.; Markey, E.; Clancy, J.H.; McGillicuddy, E.J.; Sewell, G.; O’Connor, D.J. Airborne Fungal Spore Review, New Advances and Automatisation. Atmosphere 2022, 13, 308. [Google Scholar] [CrossRef]
- Forde, E.; Gallagher, M.; Walker, M.; Foot, V.; Attwood, A.; Granger, G.; Sarda-Estève, R.; Stanley, W.; Kaye, P.; Topping, D. Intercomparison of Multiple UV-LIF Spectrometers Using the Aerosol Challenge Simulator. Atmosphere 2019, 10, 797. [Google Scholar] [CrossRef]
- Matsuda, S.; Kawashima, S. Relationship between Laser Light Scattering and Physical Properties of Airborne Pollen. J. Aerosol Sci. 2018, 124, 122–132. [Google Scholar] [CrossRef]
- O’Connor, D.J.; Healy, D.A.; Sodeau, J.R. The On-Line Detection of Biological Particle Emissions from Selected Agricultural Materials Using the WIBS-4 (Waveband Integrated Bioaerosol Sensor) Technique. Atmos. Environ. 2013, 80, 415–425. [Google Scholar] [CrossRef]
- Šauliene, I.; Šukiene, L.; Daunys, G.; Valiulis, G.; Vaitkevičius, L.; Matavulj, P.; Brdar, S.; Panic, M.; Sikoparija, B.; Clot, B.; et al. Automatic Pollen Recognition with the Rapid-E Particle Counter: The First-Level Procedure, Experience and next Steps. Atmos. Meas. Tech. 2019, 12, 3435–3452. [Google Scholar] [CrossRef]
- Santarpia, J.L.; Ratnesar-Shumate, S.; Gilberry, J.U.; Quizon, J.J. Relationship between Biologically Fluorescent Aerosol and Local Meteorological Conditions. Aerosol Sci. Technol. 2013, 47, 655–661. [Google Scholar] [CrossRef]
- Niederberger, E.; Abt, R.; Burch, P.; Zeder, Y. First Experiences with the Newly-Developed Swisens Pollen Monitor 9. In Proceedings of the Technical Conference on Meteorological and Environmental Instruments and Methods. (Abst O2_9), Amsterdam, The Netherland, 8–16 October 2018. [Google Scholar]
- Fennelly, M.; Sewell, G.; Prentice, M.; O’Connor, D.; Sodeau, J. Review: The Use of Real-Time Fluorescence Instrumentation to Monitor Ambient Primary Biological Aerosol Particles (PBAP). Atmosphere 2017, 9, 1. [Google Scholar] [CrossRef]
- Toprak, E.; Schnaiter, M. Fluorescent Biological Aerosol Particles Measured with the Waveband Integrated Bioaerosol Sensor WIBS-4: Laboratory Tests Combined with a One Year Field Study. Atmos. Chem. Phys. 2013, 13, 225–243. [Google Scholar] [CrossRef]
- Li, J.; Wan, M.P.; Schiavon, S.; Tham, K.W.; Zuraimi, S.; Xiong, J.; Fang, M.; Gall, E. Size-Resolved Dynamics of Indoor and Outdoor Fluorescent Biological Aerosol Particles in a Bedroom: A One-Month Case Study in Singapore. Indoor Air 2020, 30, 942–954. [Google Scholar] [CrossRef]
- Daly, S.M.; O’Connor, D.J.; Healy, D.A.; Hellebust, S.; Arndt, J.; McGillicuddy, E.; Feeney, P.; Quirke, M.; Wenger, J.; Sodeau, J. Investigation of Coastal Sea-Fog Formation Using the WIBS (Wideband Integrated Bioaerosol Sensor) Technique. Atmos. Chem. Phys. 2019, 19, 5737–5751. [Google Scholar] [CrossRef]
- O’Connor, D.J.; Daly, S.M.; Sodeau, J.R. On-Line Monitoring of Airborne Bioaerosols Released from a Composting/Green Waste Site. Waste Manag. 2015, 42, 23–30. [Google Scholar] [CrossRef]
- Feeney, P.; Rodríguez, S.F.; Molina, R.; McGillicuddy, E.; Hellebust, S.; Quirke, M.; Daly, S.; O’Connor, D.; Sodeau, J. A Comparison of On-Line and off-Line Bioaerosol Measurements at a Biowaste Site. Waste Manag. 2018, 76, 323–338. [Google Scholar] [CrossRef] [PubMed]
- Gabey, A.M.; Stanley, W.R.; Gallagher, M.W.; Kaye, P.H. The Fluorescence Properties of Aerosol Larger than 0.8 μ in Urban and Tropical Rainforest Locations. Atmos. Chem. Phys. 2011, 11, 5491–5504. [Google Scholar] [CrossRef]
- Gabey, A.M.; Gallagher, M.W.; Whitehead, J.; Dorsey, J.R.; Kaye, P.H.; Stanley, W.R. Measurements and Comparison of Primary Biological Aerosol above and below a Tropical Forest Canopy Using a Dual Channel Fluorescence Spectrometer. Atmos. Chem. Phys. 2010, 10, 4453–4466. [Google Scholar] [CrossRef]
- Whitehead, J.D.; Gallagher, M.W.; Dorsey, J.R.; Robinson, N.; Gabey, A.M.; Coe, H.; McFiggans, G.; Flynn, M.J.; Ryder, J.; Nemitz, E.; et al. Aerosol Fluxes and Dynamics within and above a Tropical Rainforest in South-East Asia. Atmos. Chem. Phys. 2010, 10, 9369–9382. [Google Scholar] [CrossRef]
- Healy, D.A.; Huffman, J.A.; O’Connor, D.J.; Pöhlker, C.; Pöschl, U.; Sodeau, J.R. Ambient Measurements of Biological Aerosol Particles near Killarney, Ireland: A Comparison between Real-Time Fluorescence and Microscopy Techniques. Atmos. Chem. Phys. 2014, 14, 8055–8069. [Google Scholar] [CrossRef]
- Healy, D.A.; O’Connor, D.J.; Burke, A.M.; Sodeau, J.R. A Laboratory Assessment of the Waveband Integrated Bioaerosol Sensor (WIBS-4) Using Individual Samples of Pollen and Fungal Spore Material. Atmos. Environ. 2012, 60, 534–543. [Google Scholar] [CrossRef]
- Healy, D.A.; O’Connor, D.J.; Sodeau, J.R. Measurement of the Particle Counting Efficiency of the “Waveband Integrated Bioaerosol Sensor” Model Number 4 (WIBS-4). J. Aerosol Sci. 2012, 47, 94–99. [Google Scholar] [CrossRef]
- O’Connor, D.J.; Healy, D.A.; Hellebust, S.; Buters, J.T.M.; Sodeau, J.R. Using the WIBS-4 (Waveband Integrated Bioaerosol Sensor) Technique for the on-Line Detection of Pollen Grains. Aerosol Sci. Technol. 2014, 48, 341–349. [Google Scholar] [CrossRef]
- Anchlia, P. Aerosol Data Modeling & Similarity Assessment—A Probabilistic Approach. Ph.D. Thesis, University of Houston, Houston, TX, USA, December 2015. [Google Scholar]
- Jonsson, P.; Kullander, F.; Tjärnhage, T. (Eds.) Bioaerosol Detection with Fluorescence Spectroscopy. In Bioaerosol Detection Technologies; Springer: New York, NY, USA, 2014; pp. 111–141. [Google Scholar]
- Pazienza, M.; Britti, M.S.; Carestia, M.; Cenciarelli, O.; D’Amico, F.; Malizia, A.; Bellecci, C.; Fiorito, R.; Gucciardino, A.; Bellino, M.; et al. Use of Particle Counter System for the Optimization of Sampling, Identification and Decontamination Procedures for Biological Aerosols Dispersion in Confined Environment. J. Microb. Biochem. Technol. 2014, 6, 043–048. [Google Scholar] [CrossRef]
- DeFreez, R. LIF Bio-Aerosol Threat Triggers: Then and Now. In Optically Based Biological and Chemical Detection for Defence V; SPIE: Bellingham, WA, USA, 2009; Volume 7484, 74840H. [Google Scholar] [CrossRef]
- Choi, K.; Koh, Y.J.; Jeong, Y.S.; Chong, E. Experimental Studies on the Classification of Airborne Particles Based on Their Optical Properties. Bull. Korean Chem. Soc. 2018, 39, 369–374. [Google Scholar] [CrossRef]
- Erb, S.; Graf, E.; Zeder, Y.; Lionetti, S.; Berne, A.; Clot, B.; Lieberherr, G.; Tummon, F.; Wullschleger, P.; Crouzy, B. Real-Time Pollen Identification Using Holographic Imaging and Fluorescence Measurements. Atmos. Meas. Tech. 2024, 17, 441–451. [Google Scholar] [CrossRef]
- Buters, J.; Clot, B.; Galán, C.; Gehrig, R.; Gilge, S.; Hentges, F.; O’Connor, D.; Sikoparija, B.; Skjoth, C.; Tummon, F.; et al. Automatic Detection of Airborne Pollen: An Overview. Aerobiologia 2024, 40, 13–37. [Google Scholar] [CrossRef]
- McDonald, M.S.; O’Driscoll, B.J. Aerobiological Studies Based in Galway. A Comparison of Pollen and Spore Counts over Two Seasons of Widely Differing Weather Conditions. Clin Allergy 1980, 10, 211–215. [Google Scholar] [CrossRef] [PubMed]
- Census of Population 2022—CSO—Central Statistics Office. Available online: https://www.cso.ie/en/statistics/population/censusofpopulation2022/ (accessed on 4 February 2025).
- Coonan, B.; Curley, M.; Ryan, C. Ireland’s Climate Averages 1991–2020: Summary Report; Met Éireann: Dublin, Ireland, 2024. [Google Scholar]
- Galán, C.; Gonzalez Cariñanos, P.; Purificación Alcázar, T.; Domínguez Vilches, E. Spanish Aerobiology Network (REA): Management and Quality Manual; Servicio de Publicaciones Universidad de Córdoba: Córdoba, Spain, 2007; ISBN 9788469063545. [Google Scholar]
- Tormo-Molina, R.; Rodríguez, A.M.; Palacios, I.S. Sampling in Aerobiology. Differences between Traverses along the Length of the Slide in Hirst Sporetraps. Aerobiologia 1996, 12, 161–166. [Google Scholar] [CrossRef]
- Perring, A.E.; Schwarz, J.P.; Baumgardner, D.; Hernandez, M.T.; Spracklen, D.V.; Heald, C.L.; Gao, R.S.; Kok, G.; McMeeking, G.R.; McQuaid, J.B.; et al. Airborne Observations of Regional Variation in Fluorescent Aerosol across the United States. J. Geophys. Res. Atmos. 2015, 120, 1153–1170. [Google Scholar] [CrossRef]
- Lancia, A.; Gioffrè, A.; Di Rita, F.; Magri, D.; D’Ovidio, M.C. Aerobiological Monitoring in an Indoor Occupational Setting Using a Real-Time Bioaerosol Sampler. Atmosphere 2023, 14, 118. [Google Scholar] [CrossRef]
- Gratzl, J.; Seifried, T.M.; Stolzenburg, D.; Grothe, H. A Fluorescence Approach for an Online Measurement Technique of Atmospheric Microplastics. Environ. Sci. Atmos. 2024, 4, 601–610. [Google Scholar] [CrossRef] [PubMed]
- Morrison, D.; Li, J.; Crawford, I.; Che, W.; Flynn, M.; Chan, M.N.; Lau, A.K.H.; Fung, J.C.H.; Topping, D.; Yu, J.; et al. The Observation and Characterisation of Fluorescent Bioaerosols Using Real-Time UV-LIF Spectrometry in Hong Kong from June to November 2018. Atmosphere 2020, 11, 944. [Google Scholar] [CrossRef]
- Hernandez, M.; Perring, A.E.; McCabe, K.; Kok, G.; Granger, G.; Baumgardner, D. Chamber Catalogues of Optical and Fluorescent Signatures Distinguish Bioaerosol Classes. Atmos. Meas. Tech. 2016, 9, 3283–3292. [Google Scholar] [CrossRef]
- Savage, N.J.; Krentz, C.E.; Könemann, T.; Han, T.T.; Mainelis, G.; Pöhlker, C.; Alex Huffman, J. Systematic Characterization and Fluorescence Threshold Strategies for the Wideband Integrated Bioaerosol Sensor (WIBS) Using Size-Resolved Biological and Interfering Particles. Atmos. Meas. Tech. 2017, 10, 4279–4302. [Google Scholar] [CrossRef]
- Wideband Integrated Bioaerosol Sensor—Droplet Measurement Technologies. Available online: https://www.dropletmeasurement.com/product/wideband-integrated-bioaerosol-sensor/ (accessed on 19 February 2025).
- R Core Team. R: A Language and Environment for Statistical Computing; R Core Team: Vienna, Austria, 2017. [Google Scholar]
- Wickham, H.; Chang, W.; Henry, L.; Pedersen, T.L.; Takahashi, K.; Wilke, C.; Woo, K.; Yutani, H.; Dunnington, D.; van den Brand, T. Ggplot2: Create Elegant Data Visualisations Using the Grammar of Graphics; Springer: New York, NY, USA, 2024. [Google Scholar]
- Wilke, C.O. Cowplot: Streamlined Plot Theme and Plot Annotations for “Ggplot2”. R Package Version 1.1.3. 2024. Available online: https://wilkelab.org/cowplot/ (accessed on 19 February 2025).
- Kassambara, A. Ggpubr: “ggplot2” Based Publication Ready Plots, R Package Version 0.6.0. 2023. Available online: https://rpkgs.datanovia.com/ggpubr/ (accessed on 19 February 2025).
- Wickham, H. Tidyverse: Easily Install and Load the “Tidyverse”. R Package Version 2.0.0. 2023. Available online: https://tidyverse.tidyverse.org (accessed on 19 February 2025).
- Spinu, V.; Grolemund, G.; Wickham, H.; Vaughan, D.; Lyttle, I.; Costigan, I.; Law, J.; Mitarotonda, D.; Larmarange, J.; Boiser, J.; et al. Lubridate: Make Dealing with Dates a Little Easier. J. Stat. Softw. 2023, 40, 1–25. [Google Scholar]
- Wickham, H.; François, R.; Henry, L.; Müller, K.; Vaughan, D. Dplyr: A Grammar of Data Manipulation. R Package Version 1.1.4. 2023. Available online: https://dplyr.tidyverse.org (accessed on 19 February 2025).
- Arnold, J.B.; Daroczi, G.; Werth, B.; Weitzner, B.; Kunst, J.; Auguie, B.; Rudis, B.; Wickham, H.; Talbot, J.; London, J. Ggthemes: Extra Themes, Scales and Geoms for “Ggplot2”. R Package Version 5.1.0.9000. 2024. Available online: https://jrnold.github.io/ggthemes/ (accessed on 19 February 2025).
- Hyndman, R.; Athanasopoulos, G.; Bergmeir, C.; Caceres, G.; Chhay, L.; Kuroptev, K.; O’Hara-Wild, M.; Petropoulos, F.; Razbash, S.; Wang, E.; et al. Forecast: Forecasting Functions for Time Series and Linear Models. R Package Version 8.23.0.9000. 2024. Available online: https://pkg.robjhyndman.com/forecast/ (accessed on 19 February 2025).
- Auguie, B.; Antonov, A. gridExtra: Miscellaneous Functions for “Grid” Graphics. R Package Version 2.3. 2017. Available online: https://CRAN.R-project.org/package=gridExtra (accessed on 19 February 2025).
- Rudis, B.; Bolker, B.; Marwick, B.; Schulz, J.; Matev, R. Ggalt: Extra Coordinate Systems, “Geoms”, Statistical Transformations, Scales and Fonts for “Ggplot2”. Version 0.4.0. 2017. Available online: https://github.com/hrbrmstr/ggalt (accessed on 19 February 2025).
- Wickham, H. Reshape2: Flexibly Reshape Data: A Reboot of the Reshape Package. Version 1.4.4. 2020. Available online: https://github.com/hadley/reshape (accessed on 19 February 2025).
- Wei, T.; Simko, V.; Levy, M.; Xie, Y.; Jin, Y.; Zemla, J.; Freidank, M.; Cai, J.; Protivinsky, T. Corrplot: Visualization of a Correlation Matrix. Version 0.95. 2021. Available online: https://github.com/taiyun/corrplot (accessed on 19 February 2025).
- Ripley, B.; Venables, B.; Bates, D.M.; Hornik, K.; Gebhardt, A.; Firth, D. MASS: Support Functions and Datasets for Venables and Ripley’s MASS. In Modern Applied Statistics with S, 4th ed.; Springer: Berlin/Heidelberg, Germany, 2024; Available online: https://www.stats.ox.ac.uk/pub/MASS4/ (accessed on 19 February 2025).
- Pollen and Mold Center|Pollen Levels—General Information. Available online: https://pollenandmold.stlouisco.com/html/PollenLevels.html (accessed on 6 February 2025).
- Pollen Information—MeteoSwiss. Available online: https://www.meteoswiss.admin.ch/climate/the-climate-of-switzerland/pollen-information.html (accessed on 6 February 2025).
- Markey, E.; Clancy, J.H.; Martínez-Bracero, M.; Maya-Manzano, J.M.; Smith, M.; Skjøth, C.; Dowding, P.; Sarda-Estève, R.; Baisnée, D.; Donnelly, A.; et al. A Comprehensive Aerobiological Study of the Airborne Pollen in the Irish Environment. Aerobiologia 2022, 38, 343–366. [Google Scholar] [CrossRef] [PubMed]
- Petersson Sjögren, M.; Alsved, M.; Šantl-Temkiv, T.; Bjerring Kristensen, T.; Löndahl, J. Measurement Report: Atmospheric Fluorescent Bioaerosol Concentrations Measured during 18 Months in a Coniferous Forest in the South of Sweden. Atmos. Chem. Phys. 2023, 23, 4977–4992. [Google Scholar] [CrossRef]
- Addor, Y.S.; Baumgardner, D.; Hughes, D.; Newman, N.; Jandarov, R.; Reponen, T. Assessing Residential Indoor and Outdoor Bioaerosol Characteristics Using the Ultraviolet Light-Induced Fluorescence-Based Wideband Integrated Bioaerosol Sensor. Environ. Sci. Process. Impacts 2022, 24, 1790–1804. [Google Scholar] [CrossRef]
- Yu, X.; Wang, Z.; Zhang, M.; Kuhn, U.; Xie, Z.; Cheng, Y.; Pöschl, U.; Su, H. Ambient Measurement of Fluorescent Aerosol Particles with a WIBS in the Yangtze River Delta of China: Potential Impacts of Combustion-Related Aerosol Particles. Atmos. Chem. Phys. 2016, 16, 11337–11348. [Google Scholar] [CrossRef]
- Pöhlker, C.; Huffman, J.A.; Pöschl, U. Autofluorescence of Atmospheric Bioaerosols: Spectral Fingerprints and Taxonomic Trends of Pollen. Atmos. Meas. Tech. 2013, 6, 3369–3392. [Google Scholar] [CrossRef]
- Twohy, C.H.; McMeeking, G.R.; DeMott, P.J.; McCluskey, C.S.; Hill, T.C.J.; Burrows, S.M.; Kulkarni, G.R.; Tanarhte, M.; Kafle, D.N.; Toohey, D.W. Abundance of Fluorescent Biological Aerosol Particles at Temperatures Conducive to the Formation of Mixed-Phase and Cirrus Clouds. Atmos. Chem. Phys. 2016, 16, 8205–8225. [Google Scholar] [CrossRef]
- Hughes, D.D.; Mampage, C.B.A.; Jones, L.M.; Liu, Z.; Stone, E.A. Characterization of Atmospheric Pollen Fragments during Springtime Thunderstorms. Environ. Sci. Technol. Lett. 2020, 7, 409–414. [Google Scholar] [CrossRef]
- O’Connor, D.J.; Healy, D.A.; Sodeau, J.R. A 1-Month Online Monitoring Campaign of Ambient Fungal Spore Concentrations in the Harbour Region of Cork, Ireland. Aerobiologia 2015, 31, 295–314. [Google Scholar] [CrossRef]
- Hand, J.L.; Schichtel, B.A.; Malm, W.C.; Pitchford, M.; Frank, N.H. Spatial and Seasonal Patterns in Urban Influence on Regional Concentrations of Speciated Aerosols across the United States. J. Geophys. Res. Atmos. 2014, 119, 12832–12849. [Google Scholar] [CrossRef]
- Ila Gosselin, M.; Rathnayake, C.M.; Crawford, I.; Pöhlker, C.; Fröhlich-Nowoisky, J.; Schmer, B.; Després, V.R.; Engling, G.; Gallagher, M.; Stone, E.; et al. Fluorescent Bioaerosol Particle, Molecular Tracer, and Fungal Spore Concentrations during Dry and Rainy Periods in a Semi-Arid Forest. Atmos. Chem. Phys. 2016, 16, 15165–15184. [Google Scholar] [CrossRef]
- Robinson, E.S.; Gao, R.-S.; Schwarz, J.P.; Fahey, D.W.; Perring, A.E. Fluorescence Calibration Method for Single-Particle Aerosol Fluorescence Instruments. Atmos. Meas. Tech. 2017, 10, 1755–1768. [Google Scholar] [CrossRef]
- Ziemba, L.D.; Beyersdorf, A.J.; Chen, G.; Corr, C.A.; Crumeyrolle, S.N.; Diskin, G.; Hudgins, C.; Martin, R.; Mikoviny, T.; Moore, R.; et al. Airborne Observations of Bioaerosol over the Southeast United States Using a Wideband Integrated Bioaerosol Sensor. J. Geophys. Res. Atmos. 2016, 121, 8506–8524. [Google Scholar] [CrossRef]
- Sodeau, J.; O’connor, D.; Feeney, P.; Quirke, M.; Daly, S.; Fennelly, M.; Buckley, P.; Hellebust, S.; McGillicuddy, E.; Wenger, J. Online Bioaerosol Sensing (OLBAS); Environmental Protection Agency: Country Wexford, Ireland, 2019; ISBN 9781840958157. [Google Scholar]
- Pereira, S.G.; Guedes, A.; Abreu, I.; Ribeiro, H. Testing the Raman Parameters of Pollen Spectra in Automatic Identification. Aerobiologia 2021, 37, 15–28. [Google Scholar] [CrossRef]
- Robinson, N.H.; Allan, J.D.; Huffman, J.A.; Kaye, P.H.; Foot, V.E.; Gallagher, M. Cluster Analysis of WIBS Single-Particle Bioaerosol Data. Atmos. Meas. Tech. 2013, 6, 337–347. [Google Scholar] [CrossRef]
- Savage, N.J.; Huffman, J.A. Evaluation of a Hierarchical Agglomerative Clustering Method Applied to WIBS Laboratory Data for Improved Discrimination of Biological Particles by Comparing Data Preparation Techniques. Atmos. Meas. Tech. 2018, 11, 4929–4942. [Google Scholar] [CrossRef]
- Santander, M.V.; Mitts, B.A.; Pendergraft, M.A.; Dinasquet, J.; Lee, C.; Moore, A.N.; Cancelada, L.B.; Kimble, K.A.; Malfatti, F.; Prather, K.A. Tandem Fluorescence Measurements of Organic Matter and Bacteria Released in Sea Spray Aerosols. Environ. Sci. Technol. 2021, 55, 5171–5179. [Google Scholar] [CrossRef]
- Fernández-Rodríguez, S.; Tormo-Molina, R.; Lemonis, N.; Clot, B.; O’Connor, D.J.; Sodeau, J.R. Comparison of Fungal Spores Concentrations Measured with Wideband Integrated Bioaerosol Sensor and Hirst Methodology. Atmos. Environ. 2018, 175, 1–14. [Google Scholar] [CrossRef]
- Markey, E.; Hourihane Clancy, J.; Martínez-Bracero, M.; Neeson, F.; Sarda-Estève, R.; Baisnée, D.; McGillicuddy, E.J.; Sewell, G.; O’Connor, D.J. A Modified Spectroscopic Approach for the Real-Time Detection of Pollen and Fungal Spores at a Semi-Urban Site Using the WIBS-4+, Part I. Sensors 2022, 22, 8747. [Google Scholar] [CrossRef]
- Markey, E.; Hourihane Clancy, J.; Martínez-Bracero, M.; Sarda-Estève, R.; Baisnée, D.; McGillicuddy, E.J.; Sewell, G.; Skjøth, C.A.; O’Connor, D.J. Spectroscopic Detection of Bioaerosols with the Wibs-4+: Anthropogenic and Meteorological Impacts. Sci. Total Environ. 2024, 943, 173649. [Google Scholar] [CrossRef] [PubMed]
- Tummon, F.; Adamov, S.; Clot, B.; Crouzy, B.; Gysel-Beer, M.; Kawashima, S.; Lieberherr, G.; Manzano, J.; Markey, E.; Moallemi, A.; et al. A First Evaluation of Multiple Automatic Pollen Monitors Run in Parallel. Aerobiologia 2021, 40, 93–108. [Google Scholar] [CrossRef]
- Moran-Zuloaga, D.; Ditas, F.; Walter, D.; Saturno, J.; Brito, J.; Carbone, S.; Chi, X.; Hrabě De Angelis, I.; Baars, H.; Godoi, R.H.M.; et al. Long-Term Study on Coarse Mode Aerosols in the Amazon Rain Forest with the Frequent Intrusion of Saharan Dust Plumes. Atmos. Chem. Phys. 2018, 18, 10055–10088. [Google Scholar] [CrossRef]
- Von Der Weiden, S.L.; Drewnick, F.; Borrmann, S. Particle Loss Calculator—A New Software Tool for the Assessment of the Performance of Aerosol Inlet Systems. Atmos. Meas. Tech. 2009, 2, 479–494. [Google Scholar] [CrossRef]
- Könemann, T.; Savage, N.; Klimach, T.; Walter, D.; Fröhlich-Nowoisky, J.; Su, H.; Pöschl, U.; Alex Huffman, J.; Pöhlker, C. Spectral Intensity Bioaerosol Sensor (SIBS): An Instrument for Spectrally Resolved Fluorescence Detection of Single Particles in Real Time. Atmos. Meas. Tech. 2019, 12, 1337–1363. [Google Scholar] [CrossRef]
- Bhat, M.M.; Rajasab, A.H. Efficiency of Vertical Cylinder Spore Trap and Seven Day Volumetric Burkard Spore Trap in Monitoring Airborne Pollen and Fungal Spores. Grana 1989, 28, 147–153. [Google Scholar] [CrossRef]
- Particle Measurement—An Overview|ScienceDirect Topics. Available online: https://www.sciencedirect.com/topics/materials-science/particle-measurement (accessed on 16 August 2024).
- Willeke, K.; Baron, P. Aerosol Measurement: Principles, Techniques, and Applications; Wiley: Hoboken, NJ, USA, 2001. [Google Scholar] [CrossRef]
- Lieberherr, G.; Auderset, K.; Calpini, B.; Clot, B.; Crouzy, B.; Gysel-Beer, M.; Konzelmann, T.; Manzano, J.; Mihajlovic, A.; Moallemi, A.; et al. Assessment of Real-Time Bioaerosol Particle Counters Using Reference Chamber Experiments. Atmos. Meas. Tech. 2021, 14, 7693–7706. [Google Scholar] [CrossRef]
- Yue, S.; Li, L.; Xu, W.; Zhao, J.; Ren, H.; Ji, D.; Li, P.; Zhang, Q.; Wei, L.; Xie, Q.; et al. Biological and Nonbiological Sources of Fluorescent Aerosol Particles in the Urban Atmosphere. Environ. Sci. Technol. 2022, 56, 7588–7597. [Google Scholar] [CrossRef] [PubMed]
- O’Connor, D.J.; Lovera, P.; Iacopino, D.; O’Riordan, A.; Healy, D.A.; Sodeau, J.R. Using Spectral Analysis and Fluorescence Lifetimes to Discriminate between Grass and Tree Pollen for Aerobiological Applications. Anal. Methods 2014, 6, 1633–1639. [Google Scholar] [CrossRef]
- O’Connor, D.J.; Iacopino, D.; Healy, D.A.; O’Sullivan, D.; Sodeau, J.R. The Intrinsic Fluorescence Spectra of Selected Pollen and Fungal Spores. Atmos. Environ. 2011, 45, 6451–6458. [Google Scholar] [CrossRef]
- Lucas, R.W.; Bunderson, L. A Review of Pollen Counting Networks: From the Nineteenth Century into the Twenty-First Century. Curr. Allergy Asthma Rep. 2024, 24, 1–9. [Google Scholar] [CrossRef] [PubMed]
- Levetin, E.; McLoud, J.D.; Pityn, P.; Rorie, A.C. Air Sampling and Analysis of Aeroallergens: Current and Future Approaches. Curr. Allergy Asthma Rep. 2023, 23, 223–236. [Google Scholar] [CrossRef]
- Maya-Manzano, J.M.; Tummon, F.; Abt, R.; Allan, N.; Bunderson, L.; Clot, B.; Crouzy, B.; Daunys, G.; Erb, S.; Gonzalez-Alonso, M.; et al. Towards European Automatic Bioaerosol Monitoring: Comparison of 9 Automatic Pollen Observational Instruments with Classic Hirst-Type Traps. Sci. Total Environ. 2023, 866, 161220. [Google Scholar] [CrossRef] [PubMed]
- Calvo, A.I.; Baumgardner, D.; Castro, A.; Fernández-González, D.; Vega-Maray, A.M.; Valencia-Barrera, R.M.; Oduber, F.; Blanco-Alegre, C.; Fraile, R. Daily Behavior of Urban Fluorescing Aerosol Particles in Northwest Spain. Atmos. Environ. 2018, 184, 262–277. [Google Scholar] [CrossRef]
- Cheng, B.; Yue, S.; Hu, W.; Ren, L.; Deng, J.; Wu, L.; Fu, P. Summertime Fluorescent Bioaerosol Particles in the Coastal Megacity Tianjin, North China. Sci. Total Environ. 2020, 723, 137966. [Google Scholar] [CrossRef] [PubMed]
- Ma, Y.; Wang, Z.; Yang, D.; Diao, Y.; Wang, W.; Zhang, H.; Zhu, W.; Zheng, J. On-Line Measurement of Fluorescent Aerosols near an Industrial Zone in the Yangtze River Delta Region Using a Wideband Integrated Bioaerosol Spectrometer. Sci. Total Environ. 2019, 656, 447–457. [Google Scholar] [CrossRef] [PubMed]
Disclaimer/Publisher’s Note: The statements, opinions and data contained in all publications are solely those of the individual author(s) and contributor(s) and not of MDPI and/or the editor(s). MDPI and/or the editor(s) disclaim responsibility for any injury to people or property resulting from any ideas, methods, instructions or products referred to in the content. |
© 2025 by the authors. Licensee MDPI, Basel, Switzerland. This article is an open access article distributed under the terms and conditions of the Creative Commons Attribution (CC BY) license (https://creativecommons.org/licenses/by/4.0/).








