Abstract
Predicting global ionospheric total electron content (TEC) is critical for high-precision GNSS applications, but some existing models fail to jointly capture spatial heterogeneity and multiscale temporal trends. To address the problem, this work proposes a spatio-temporal graph neural network (STGNN) that addresses these limitations through (1) a trainable positional attention mechanism to dynamically infer node dependencies without fixed geographical constraints and (2) a GRU–Transformer sequential module to hierarchically model local and global temporal patterns. The proposed network is validated by different solar and geomagnetic activities. With a training dataset with a time span between 2008 and 2018, the proposed model is tested in a high solar phase for the year 2015 and a low solar phase for the year 2018. For 2015, the experimental results show a 21.9% RMSE reduction at low latitudes compared to the results of the iTransformer model. For the geomagnetic storm event, the proposed STGNN achieves 16.0% higher stability. For the one-week (84 step) prediction test, the STGNN shows a 27.0% lower error compared to the MLPMultivariate model. The model’s self-adaptive spatial learning and multiscale temporal modeling uniquely enable TEC forecasting under diverse geophysical conditions.
1. Introduction
The ionosphere is defined as the ionized part in the upper Earth atmosphere. The ionosphere is ionized primarily by solar extreme ultraviolet (EUV, 10–121 nm) and X-ray radiation, creating free electrons that affect radio wave propagation. The ionosphere serves as the critical media for trans-ionosphere radio signal propagation [1,2,3,4]. The trans-ionosphere radio signals suffer from wave diffraction, leading to major signal delay errors for satellite navigation systems [5,6].
The temporal series of total electron content (TEC) exhibits periodic variations influenced by solar activity (quantified by the F10.7 cm radio flux (solar irradiance at 10.7 cm wavelength) and sunspot number (SSN), modulating ionospheric electron density through EUV radiation and particle precipitation) and geomagnetic disturbances (quantified by Dst and Kp indices). These patterns drive the need for advanced prediction methods, as ionospheric delays account for a large proportion of ranging errors in high-precision GNSS applications such as satellite-based augmentation systems. Recent advancements in machine learning, particularly deep learning networks, show promise in addressing these challenges. Current TEC prediction methodologies face dual challenges in modeling spatiotemporal heterogeneity and maintaining long-term forecasting accuracy. Traditional approaches struggle to reconcile localized ionospheric irregularities, often exhibiting compromised performance when handling concurrent short-term fluctuations and long-period trends. Particularly, the inherent trade-off between capturing fine-grained spatial dependencies and preserving temporal coherence remains unresolved in conventional architectures, limiting their applicability across diverse geophysical conditions.
Habarulema et al. first constructed an artificial neural network for TEC prediction in the South African region [7], incorporating parameters such as the number of days, sunspot number, and the K magnetic index. While their results outperformed the International Reference Ionosphere (IRI) model, the framework was region-specific and required manual selection of input features, limiting its global applicability. Later, some machine learning schemes like random forest and XGBoost were used for TEC prediction in combination with multiple influential factors, such as solar activity indices and geomagnetic indices. However, these methods often rely on predefined feature engineering, which may fail to capture dynamic spatial dependencies. Typically, Long Short-Term Memory (LSTM) and Gated Recurrent Unit (GRU) networks have dominated short-term TEC prediction due to their ability to model temporal sequences [8]. For instance, one-dimensional LSTM networks were used to predict spherical harmonic function coefficients for Global Ionospheric Map (GIM) models or directly forecast TEC values, achieving reasonable accuracy for localized regions [8]. Two-dimensional ConvLSTM architectures were further proposed to capture spatio-temporal features in global ionospheric predictions, leveraging IGS final products for training [9,10]. Despite their effectiveness, LSTM/GRU-based models suffer from modeling error accumulation over longer prediction horizons, a limitation inherent to recurrent networks’ sequential processing. To address this, attention mechanisms were introduced to handle medium-to-long-term temporal dependencies by explicitly modeling global temporal relationships [11,12]. Transformer-based frameworks, such as the Informer proposed by Bi et al., became popular for their efficient long-term sequence modeling. Bi et al. successfully applied Informer to forecast the foF2 parameter, demonstrating its capability in capturing multi-scale temporal patterns [13]. Xia et al. extended this idea with their CAiTST architecture for better TEC prediction of IGS GIM products [14]. To extend medium- and long-term ionosphere TEC prediction capabilities, a network based on Informer was proposed and achieved satisfied performances during varied geomagnetic conditions [15]. Moreover, Ren et al. used the F10.7 index, sunspot number, geomagnetic Ap, and Dst index to construct a joint LSTM and XGBoost network to make more accurate short-term global ionospheric forecasts during geomagnetic storms, enabling real-time monitoring of ionospheric changes [16]. However, these Transformer-based methods focus primarily on time series modeling and lack the ability to model spatial dependencies, which is a key limitation in global prediction of ionospheric TEC.
Representing VTEC maps in the conventional form of regular grids (images) becomes challenging and may not be appropriate, as standard image convolution techniques (assuming uniform distances between adjacent pixels) do not fit into VTEC maps. The irregular and non-square nature of VTEC maps further exacerbates this mismatch with common grid or sequence structures, such as greater distances at the same longitude at low latitudes than near poles. Graph neural networks (GNNs) have become a hot research topic in TEC prediction because of their advantage in capturing spatial dependencies. Researchers have significantly improved the performance of TEC predictions by combining GNNs with other deep learning architectures. For instance, Yu proposed an improved model based on GNNs that effectively integrates spatial heterogeneity information in the ionosphere using map structure, resulting in significant results in TEC predictions [17]. Liu et al. proposed a GNNTrans model with isotropic and pyramid structures. It showed that GNNTrans surpassed the CODE one-day forecasting product across various dimensions [18]. Moreover, most current studies face difficulties in TEC modeling and prediction in the EIA region, which is the region with the most complex spatial and temporal variability in the entire ionosphere. A recent study proposed a multilayer perceptron neural network (MLP-NN) for short-term TEC prediction in the Brazilian region, where very particular electrodynamics involving several mechanisms are dominant [19]. These studies provide new insights into understanding the complex spatiotemporal features of the ionosphere.
In this work, a graph neural network is proposed to extract the spatial and temporal variations in data simultaneously. The GNN can store spatial dependence features in graph network and infer the data values in next epoch with iteration operation [20]. Nevertheless, the original GNN framework is unable to automatically learn the spatial dependencies without prior knowledge, further hampering the performance of the GNN in varied time scale prediction tasks. On this basis, the spatio-temporal GNN (STGNN) is used to capture the spatial features of nodes. The STGNN model can achieve excellent performance in complex spatio-temporal series prediction tasks, and the proposed framework can learn the variation patterns and trends for different time scales without prior knowledge. Based on the proposed STGNN framework, the TEC products provided by the international GNSS service (IGS) can be predicted properly in the short and medium terms.
2. Data and Methodology
2.1. Data Source
The Global Ionospheric Map (GIM) used in this work is composed of IGS final products. The IGS GIM has a time span of more than twenty years, with global spatial resolution in 2.5° latitudes and 5° longitude. The GIM product generally is updated every 2 h [21,22,23].
To balance computational efficiency with continuity, we employ a rolling window methodology. The sliding window approach is critical for capturing temporal dependencies [24,25]. Each input window spans P = 84 time steps (equivalent to 7 days of historical data at 2 h intervals) to predict the next Q = 12 time steps (24 h). The sample-making process is shown in Figure 1, with each block representing 12 TEC maps for one day. The window slides by a one-day interval with each iteration, ensuring continuity in training and validation. In the experiments, a time span from 2008 to 2018 was considered as the data set, in which the data from years 2015 and 2018 were selected as the test data set. Further, 90% of the remaining twelve years of data were used as training data sets and 10% were used for validation sets.
Figure 1.
Structure diagram of sliding window.
2.2. Methodology
The depicted STGNN architecture in Figure 2 consists of three key components: the spatial graph neural network (S-GNN) layer, the GRU layer, and the transformer layer. The input TEC data undergoes linear layer processing, adjusting its shape to [B, T, N, F], where B denotes the batch size, T represents the time step, N indicates the number of nodes, and F signifies the number of features.
Figure 2.
The used spatial temporal graph neural network framework information can be retained or discarded as needed.
The S-GNN layer is responsible for modeling the spatial connections between nodes. It is applied to both the input data and the hidden states of the GRU unit, as illustrated in Figure 2. The S-GNN layer dynamically learns the spatial relationships between nodes through a learnable spatial relation matrix R, which is updated end-to-end during training. This enables the model to effectively capture the spatial dependencies inherent in the ionospheric TEC data. The GRU layer processes sequential information by dynamically updating the hidden state through reset and update gates. This mechanism allows the model to capture local temporal dependencies within the time series data. Finally, the transformer layer employs multi-head attention mechanisms to capture global temporal dependencies, ensuring robust learning of long-range temporal patterns. This layer enhances the model’s ability to understand and predict complex temporal dynamics in the TEC data. By integrating the S-GNN, GRU, and transformer layers, the STGNN architecture effectively handles the spatiotemporal heterogeneity of ionospheric TEC, enabling accurate predictions of future TEC values across all nodes [26,27].
2.2.1. Graph-Based Neural Network Representations
The spatiotemporal heterogeneity of ionospheric TEC arises from the intricate coupling of solar radiation, geomagnetic disturbances, and neutral atmospheric dynamics. This coupling results in dynamic variations in the correlation between nodes at different latitudes and longitudes, contingent upon both temporal and spatial conditions. To address this complexity, a learnable spatial relation matrix (R) is introduced. The formulas have been drawn from [28]. Through end-to-end training, this matrix is capable of adaptively capturing the implicit and dynamic interactions that exist between the nodes. Specifically, for each node, a potential location representation of was learned. Then, the pairwise relationship between any node was modeled as
The correlation strength between nodes a and b is dynamically determined by a learnable scoring function:
The scoring function assesses the semantic similarity of embedding vectors using the dot product, thereby eliminating the reliance on fixed geographical distance. It also facilitates the transformation and propagation of information across the network. Specifically, given an input information on on the network, the output can be generated as follows [29]:
where introduces self-connections to preserve the node’s own characteristics and is the refined degree matrix . is a non-linear activation function and ReLU (·) was adopted. is the parameter that can be learned. For convenience, the operation in Equation (6) was summarized as follows:
2.2.2. Gated Recurrent Unit for Sequential Data Processing
To capture the temporal dependency, the GRU was applied to process the sequence information. The GRU is a neural network unit with a gated mechanism that is specifically designed to process sequence data and is suitable for modeling long-time dependency tasks [30]. Different from LSTM, the GRU possesses a relatively simple structure, featuring only two gates, the update gate and the reset gate, instead of LSTM’s three gates (input, forget, and output). This structural simplification enables the GRU to enhance computational efficiency while preserving effective sequence learning capabilities. The output of the GRU at each time step is determined jointly by these two gating mechanisms. Specifically, the reset gate controls how much of the past information to forget, while the update gate decides how much of the previous hidden state to carry over to the current state, both mechanisms considering the current input to make these decisions
In the GRU network, the hidden state not only retains the memory information before the sequence but also can update or reset the information through the gating mechanism. This design allows the network to hold contextual information for long periods of time during sequential tasks while adapting to changes in the data.
Then, for each node at time step , the GRU processes features through the following steps:
(1) Calculate, update, and reset gates:
(2) Calculate candidate hidden states:
(3) Update hidden status:
where and are the parameters to be learned, is the bias vector, denotes the element-wise multiplication, and is the input of the current time step and the output of the next time step.
2.2.3. Attention-Driven Model for Global Dependency Capture
After the GRU layer, it is also needed to capture global temporal features, so the Transformer is adapted to capture global dependencies directly. A Transformer layer consists of a multi-head attention layer, a shared feed-forward neural work layer, and batch normalization layers between them [31]. The core mechanism of the Transformer is a self-attention mechanism, which allows it to compute in parallel and realize long-distance dependent capture. Compared with sequential models such as RNNs and CNNs, the Transformer more easily performs efficient training and reasoning on hardware such as a GPU and TPU, avoiding the possible problem of gradient disappearance or gradient explosion. The multi-head attention layer is built upon the self-attention mechanism, whose inputs consist of queries, keys with dimension , and values with dimension of all the positions in the sequence. The result of the multi-head attention is a concatenation of the output of each single-headed attention function. In the single-headed attention mechanism, three vectors are first generated from the input vector (Embedding) from each encoder, namely the query vector, the key vector, and the value vector. Then, the dot product between the Query (Q) matrix and the Key (K) matrix is calculated (that is, the sum of the corresponding elements after multiplication), the similarity or match degree between the Query and each Key is measured. Because the result of the dot product operation can be very large, the softmax function may enter the saturation zone when calculating the attention weight. To avoid this problem, scaling dot product attention introduces a scaling factor, usually the square root of the input dimension dk, then the softmax operation is applied to normalize the result to a probability distribution, and the matrix is multiplied by V to obtain a representation of the weight summation. The whole calculation process can be expressed as
In the multi-head attention, a total sets of projection matrices are utilized to project to different sets of queries, keys, and values. Specifically, it can be expressed as follows:
where , and are the projection matrices for the s-th attention head and is linear output projection. It is worth noting that since the Transformer model does not have a cyclic structure, it cannot infer the position order of elements from the input sequence like a recurrent neural network, so a position coding mechanism is added to embed the position information for each element. The position code is generated by using the sine and cosine functions of different frequencies and then added to the corresponding position word vector. It can be defined as
After multiple attention layers, the output state is passed to a point-to-point feed-forward neural network layer and batch normalization layers. Finally, the output of the Transformer layer is obtained, which can be expressed as .
Since the Transformer ignores the order between sequences, it is needed to use positional coding so that the Transformer knows the position of each element of the sequence.
After the Transformer layer, {} is used as input to predict TEC data for future periods using a multi-layer feed-forward network.
2.2.4. Evaluation Metrics
Prediction accuracy was evaluated using Mean Absolute Error (MAE) and Root Mean Square Error (RMSE), defined as
where n is the number of the test set samples, = () is the ground truth, and = () represents the predicted values.
2.3. Implementation Details
In this study, we utilize the PyTorch 2.5.0 deep learning framework to implement the proposed STGNN model. The choice of PyTorch is motivated by its flexible dynamic computation graph and extensive community support, which facilitate model development and debugging. To predict the values of the next 12 time steps, we employ 84 historical time steps as input, enabling the capture of long-term dependencies within the time series. In the STGNN architecture, a single spatio-temporal block is adopted, aiming to balance model complexity and predictive performance while avoiding excessive computational costs and potential overfitting risks. The model is configured with 8 attention heads, each operating in an 18-dimensional space, enhancing its ability to model intricate spatio-temporal relationships. Additionally, we set the batch size to 64, the number of training epochs to 35, and the initial learning rate to 0.001. The Adam optimizer is employed, coupled with the MAE loss function, to optimize the model effectively.
3. Results
To evaluate the effectiveness and accuracy of the proposed STGNN in ionospheric TEC prediction, a series of models (iTransformer, MLPMultivariant, and SOFTS) were selected as comparisons. All these models are commonly used in the field of time series prediction tasks.
3.1. Performance Under Different Solar Activities
In this part, two weeks of test data were selected to evaluate the prediction performance of the proposed STGNN under different solar activities, with the iTransformer, SOFTS, and MLPMultivariate models as comparisons.
Figure 3 and Figure 4 evaluate model performance during 22–28 April 2015 (high solar activity, F10.7 > 150 SFU) and 22–28 April 2018 (low solar activity, F10.7 < 80 SFU), with the Kp index consistently below 4 in both periods. By selecting identical seasonal windows (mid-spring) and suppressing geomagnetic disturbances (low Kp), seasonal variations (e.g., winter–summer asymmetry) and geomagnetic storm effects are minimized, isolating solar activity as the dominant variable.
Figure 3.
Predicted ionospheric TEC of various models in high solar activity year.
Figure 4.
Predicted ionospheric TEC of various models in low solar activity year.
In Figure 3 (high solar activity), the RMSE and MAE values are significantly higher (RMSE: 4.70–6.56 TECU; MAE: 3.56–5.19 TECU) due to intensified ionospheric disturbances driven by enhanced EUV radiation and plasma dynamics, and the STGNN achieves the lowest errors (MAE = 3.56 TECU, RMSE = 4.70 TECU), outperforming iTransformer by 31.4% (MAE) and 28.4% (RMSE). Figure 4 also shows errors decline sharply (RMSE: 1.52–1.99 TECU; MAE: 1.15–1.57 TECU), reflecting the reduced ionospheric variability during solar minima. The STGNN maintains superiority (MAE = 1.15 TECU, RMSE = 1.52 TECU), but the performance gap between the models during this period has narrowed. SOFTS (MAE = 1.15 TECU) matches the STGNN in MAE, benefiting from state-space decomposition of stable diurnal trends. During the high solar activity year, enhanced solar EUV radiation and frequent coronal mass ejections significantly exacerbated the spatiotemporal heterogeneity of ionospheric TEC, manifested by violent fluctuations in electron density at low latitudes, an enhanced equatorial ionospheric anomaly (EIA) structure, and frequent plasma bubble activity. This complex dynamic leads to other models’ (e.g., iTransformer) prediction error rates being significantly increased (MAE = 5.19TECU, RMSE = 6.56TECU), as they cannot capture spatial heterogeneity because they rely only on temporal modeling. In contrast, the STGNN dynamically models spatial dependencies through the location-aware graph attention mechanism and collaboratively optimizes local and global temporal features in combination with GRU–Transformer cascade modules, showing significant advantages under high solar activity conditions; its error rate is 31.4% and 28.4% lower than that of iTransformer. This performance gap highlights the critical role of space-time joint modeling for ionospheric disturbances driven by solar activity. However, in the low solar activity year, the ionospheric variation tends to be gentle, and the STGNN still maintains the optimal RMSE (1.52 TECU), but SOFTS and other models are equal to it in MAE (1.15 TECU) due to dependent periodic decomposition.
The prediction performance was further evaluated for an entire year of test data. Two years in different solar phases were selected: 2015 in the high solar activity phase and 2018 in the low solar activity phase. The performances of four models, iTransformer, MLPMultivariant, SOFTS and the STGNN, are demonstrated in Figure 5.
Figure 5.
Global RMSE distribution of STGNN predictions under (a) high (2015) and (b) low (2018) solar activity conditions.
This shows that the RMSE decreases with the increment of latitudes and the RMSE of all four models demonstrates larger values in the high solar phase rather than in the low solar phase. iTransformer exhibited the worst performance across all solar activity phases, with RMSE values 21.9% higher than the STGNN during high solar activity (2015) and 14.1% higher during solar minimum (2018) in low-latitude regions. The STGNN model outperformed the other three models, with the lowest RMSEs in the global region, especially in the low-latitude region. This indicates that the STGNN model has a strong ability to extract the spatial variation features in the ionosphere and can effectively learn the fluctuations of the ionosphere in low latitudes.
In order to quantitatively evaluate the prediction effect of the models at different latitudes, the MAE and RMSE values of the predicted results for the STGNN model in the corresponding regions of all latitudes under different solar activities are calculated, respectively, with comparison to the prediction results of the iTransformer, MLPMultivariate and SOFTS models, as shown in Table 1.
Table 1.
Ionospheric TEC prediction accuracy with latitude distribution for each model for two test years.
The proposed STGNN model demonstrates consistent superiority in low-latitude regions across both solar activity phases, with performance advantages intensifying during high solar activity (2015). Under intense solar conditions (F10.7 > 150 SFU), the STGNN achieves a 21.9% RMSE reduction (5.56 vs. 7.12 TECU) compared to iTransformer in low latitudes, alongside 10.7% and 18.4% improvements over MLPMultivariate and SOFTS, respectively. This highlights its ability to resolve complex equatorial dynamics, such as solar-driven ionization anomalies and diurnal variability, where spatial correlations are stronger due to direct solar radiation dominance. During solar minima (2018, F10.7 < 80 SFU), the STGNN maintains a lead in low latitudes (RMSE = 2.55 TECU, 14.1% lower than iTransformer), but the performance gap narrows as ionospheric variability diminishes. Notably, the STGNN’s relative advantage weakens at mid-to-high latitudes: in 2015, its mid-latitude RMSE (3.40 TECU) is only 10.3% lower than MLPMultivariate, while in 2018, its mid-latitude RMSE (1.59 TECU) slightly exceeds SOFTS (1.45 TECU). This latitudinal performance gradient stems from differing geophysical drivers—low latitudes are governed by solar–EUV coupling, whereas mid-to-high latitudes involve solar wind–magnetosphere interactions that reduce spatial coherence. The model’s hybrid architecture (S-GNN + GRU + Transformer) thus excels in capturing solar-dominated equatorial patterns but faces challenges in regions dominated by auroral processes. These results underscore the STGNN’s robustness in solar-active epochs while emphasizing the need for adaptive mechanisms to address latitudinal heterogeneity.
In Figure 6, the performances for four models (iTransformer, MLPMultivariate, SOFTS, and the STGNN) are compared at the grid point 0° N, −120° E, with evaluation metrics of R2 and RMSE. It shows that R2 is of the largest at low latitudes, followed by mid-latitudes, and the smallest at high latitudes. For the test grid point, all models exhibit strong correlations (R2 > 0.9), with the STGNN achieving the lowest RMSE values. For the year 2018, although R2 values drop slightly, the STGNN maintains competitive accuracy, consistently outperforming iTransformer and MLPMultivariate. For the year 2015, the mean R2 correlation coefficients for all grid points of the four models were 0.8223, 0.8447, 0.8314, and 0.8746, respectively, while for the year 2018, the mean R2 correlation coefficients for all grid points of the four models were 0.8493, 0.8495, 0.8570, and 0.8468, respectively. It is noticed that R2 coefficients for the results of the STGNN model are significantly higher than the other three models for the year 2015, in the high solar activity phase.
Figure 6.
Scatter diagram of ionospheric TEC prediction results.
3.2. Performance Under Geomagnetic Storms
In this part, the performances of the iTransformer, MLPMultivariate, SOFTS, and STGNN models were evaluated under geomagnetic storms. It is well known that the ionosphere TEC demonstrates strong fluctuations with larger RMSEs under geomagnetic disturbances. To address the problem, two strong geomagnetic storms in solar cycle 24 were selected for validation.
One is a geomagnetic storm that occurred on March 17 in 2015, indicated as Storm A in the following test, with the minimum Dst index dropping to −223 nT; the other one is a geomagnetic storm that occurred in June 23 in 2015, with the minimum Dst index dropping to −204 nT. Figure 7 shows the RMSEs for temporal prediction during these two geomagnetic storms, with four models considered. It shows that the STGNN manifests a strong prediction ability for TEC fluctuations during geomagnetic storms.
Figure 7.
Schematic diagram of global distribution of RMSE for prediction of ionospheric TEC under geomagnetic storm events for each model.
A more quantitative evaluation result for models during geomagnetic storms is represented in Figure 8, in which the RMSEs were statistically grouped and analyzed.
Figure 8.
Statistical distribution of RMSE for prediction of ionospheric TEC under geomagnetic storm events for four models.
The probability of achieving a prediction RMSE less than 7 TECu was calculated and analyzed for Storm A and B, as shown in Figure 8. The values of the STGNN for Storm A and B were 64% and 87%, respectively, outperforming the other three models. For Storm A, the probability for the STGNN increased 10.3%, 6.7%, and 10.3% compared with the iTransformer, MLPMultivariate, and SOFTS models. For Storm B, the probability of the STGNN increased by 16.0%, 7.4%, and 11.5% compared with iTransformer, MLPMultivariate, and SOFTS. This indicates that the proposed GNN-based framework has a stronger ability to learn the drastic variations in ionosphere TEC under strong geomagnetic conditions.
3.3. Performance Under Different Prediction Steps
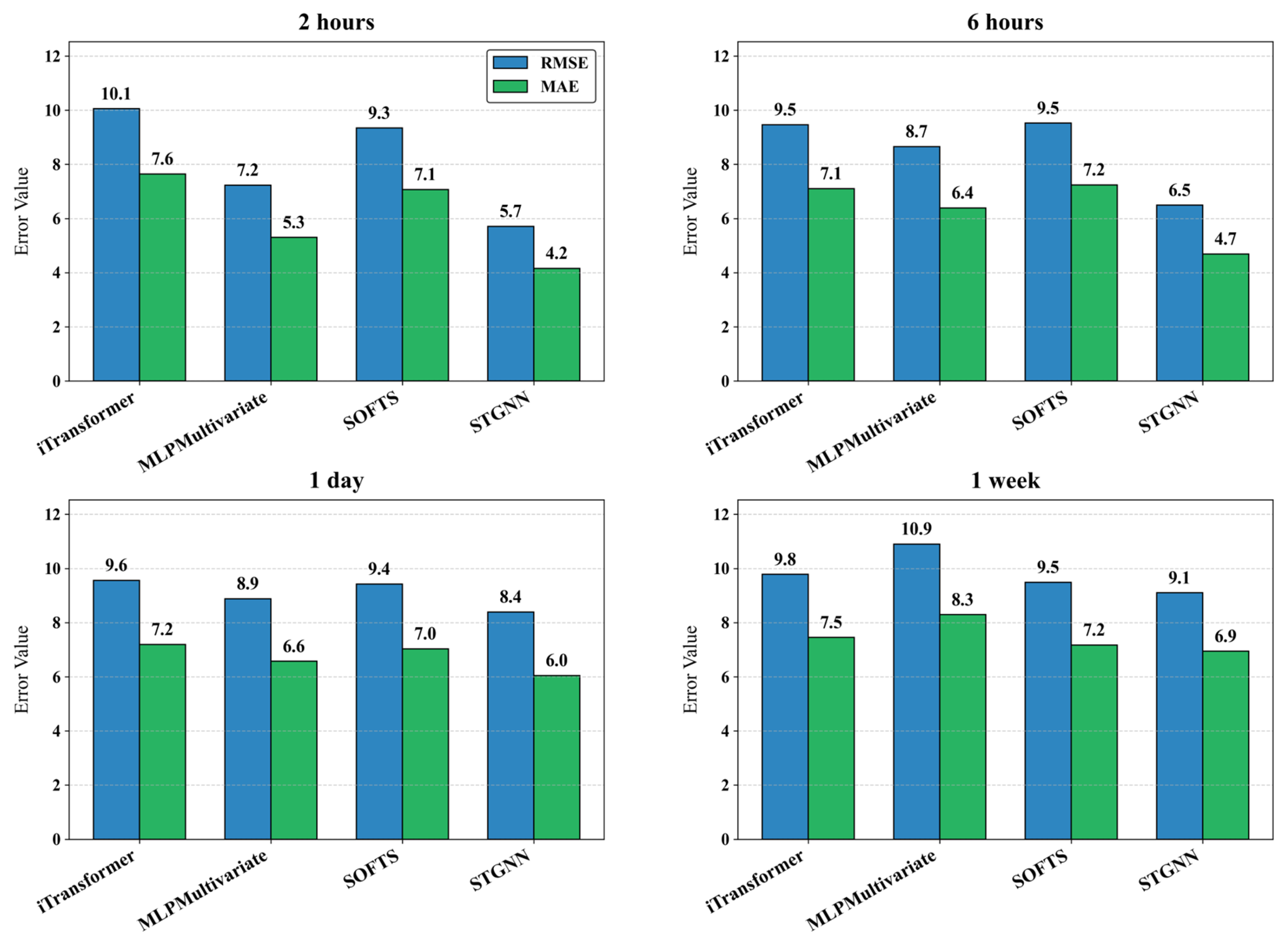
The long-term prediction ability for the four models was evaluated. Generally, models with transformer-originated frameworks are considered good at long-term temporal prediction, in contrast to traditional RNNs, such as LSTM and GRUs. In this experiment, a set of prediction length of L = {1, 12, 84} was used, in correspondence to the time span of L = {2 h, 1 day, 1 week}. The time span from March 16 to 24 in 2015 was selected as the test period. The prediction results were compared with iTransformer, MLPMultivariate, and SOFTS, as shown in Figure 9. The STGNN demonstrates exceptional performance in short-, medium-, and long-term predictions, with a MAE of 4.16 TECU and a RMSE of 5.71 TECU at prediction step 1. When compared to the suboptimal model, MLPMultivariate reduces these errors by 21.5% and 21.0%, respectively. Even at the longest prediction length 84 (1 week), MLPMultivariate also maintains a significant advantage with an MAE of 6.94 TECU and an RMSE of 9.1 TECU. Conversely, the control model iTransformer lacks spatial modeling capabilities due to its pure temporal attention mechanism, resulting in an RMSE of 9.78 TECU at prediction step 84. MLPMultivariate, constrained by its static MLP structure, experiences a sharp increase in long-term prediction error, with an RMSE of 10.9 TECU at prediction step 84, which is 50.8% higher than at prediction step 1. Meanwhile, SOFTS maintains stability through state-space decomposition, with MAE fluctuations between prediction steps being less than 1.5%. However, neglecting spatial heterogeneity leads to an overall insufficient accuracy.
Figure 9.
Ionospheric TEC prediction values of various models at different prediction steps.
Furthermore, to quantitatively assess the performance of different prediction lengths, MAE and RMSE values were calculated for the whole year of 2015 for the four models on grids ranging from 30° N to 30° S, as shown in Table 2. It is noticed that for all the four models, the prediction accuracy decreased with increments of prediction length. When comparing the prediction performance of the four frameworks, this indicates that the proposed STGNN model outperforms the other models under different prediction lengths, with the lowest MAE and RMSE, while iTransformer has the worst prediction performance. Compared to the MLPMultivariate model, when the prediction length L = {2 h, 1 day, 1 week}, the RMSE of the STGNN’s predictions decreases by 10.0%, 10.7%, and 27.0%, and the MAE decreases by 8.4%, 13.6% and 40.0%. The results show that the STGNN can accurately extract the periodic variations features in time series data.
Table 2.
Experimental results of ionospheric TEC prediction accuracy of each model under different prediction steps (MAE and RMSE in TECu).
4. Discussion
In this work, a GNN-based ionosphere TEC prediction framework was proposed and evaluated under different solar and geomagnetic conditions, as well as varied prediction steps. The transformer-based framework iTransformer and the MLP-based frameworks MLPMultivariate and SOFTS were selected for comparison.
Traditional time series prediction neural network models have good prediction performance on one-dimensional time series data, but limitations exist for those data with heterogeneity and spatial–temporal dependences, such as GIM data. For this, the proposed STGNN model adopted a more flexible scheme, using a S-GNN module to extract spatial interaction relationships in ionosphere grid nodes, thus supplementing some defects in the traditional framework.
The GNN framework proposed in this paper can associate features of multivariate time series in the potential association layer so as to capture the interdependence between features of multivariate time series data and thus select important features for learning and improve the adaptability of the model to complex scenes.
Experiments on the performance of the GNN-based framework under different solar activities showed that the proposed GNN-based framework has a strong ability to learn and extract spatio-temporal feature maps in different hidden layers and can effectively obtain the temporal dependence and spatial correlation characteristics of ionospheric TEC data. Meanwhile, the performance stability of the GNN-based framework under different geomagnetic events has revealed that it can well capture the short-term trends of ionospheric TEC and can better deal with the time series prediction task under complicated scenarios.
The performance of the GNN-based framework under different prediction steps indicates that the STGNN uses a S-GNN and GRU to obtain the spatial and temporal dependence relations of ionospheric grid nodes, thus overcoming some defects of the traditional frameworks, accurately determining the periodic variations for both the short term and long term. The STGNN has far better forecast performance than the other models at low latitudes; this may be due to the fact that the low latitudes are more affected by both solar and geomagnetic activities, wherein the correlation between nodes becomes more significant, so it is easier for the S-GNN module to capture temporal variations. The prediction performance of the STGNN for the high solar year in 2015 is better than the other models, which may be related to the application of the S-GNN model. The experimental results show that compared with the iTransformer model, the RMSE of the STGNN’s predictions in the low latitudes is reduced by 21.9% and 14.1%, respectively, and the P indicator of an RMSE less than 7 for the STGNN during two geomagnetic storms also increased by 10.3% and 16.0% compared to iTransformer. The performance was also evaluated considering the prediction length, revealing that the RMSE for the STGNN is reduced by 10.0%, 10.7%, and 27.0% under the prediction step L = {2 h, 1 day, 1 week} compared to MLPMultivariate, respectively, demonstrating strong advances for the GNN model in temporal ionosphere TEC prediction, in contrast to the other three models.
The proposed model was also compared with ATS-UNet in terms of TEC prediction accuracy. Specifically, for the year 2015, the proposed model (STGNN) achieved a MAE of 2.785 and a RMSE of 3.914, closely matching the performance of ATS-UNet, which yielded a MAE of 2.808 and a RMSE of 3.916. Moreover, the proposed model demonstrates advantages in computational efficiency and adaptability especially for TEC prediction in low-latitude regions, making it a practical choice for real-time applications and scenarios requiring rapid processing or limited computational resources.
5. Conclusions
A GNN-based TEC prediction model was proposed; namely, a STGNN. It applies a S-GNN to obtain the spatial relationship between spatial nodes among ionosphere grids, then uses a GRU layer to capture the local time dependency, and then adopts a transformer layer to obtain the long-term dependency in the sequence. The performance of the STGNN was verified and compared with the transformer-based framework iTransformer and the MLP-based frameworks MLPMultivariate and SOFTS.
The experimental results show that compared with the iTransformer model, the TEC prediction RMSE for the proposed STGNN in the low latitudes was reduced by 21.9% and 14.1%, respectively, while the P indicator of an RMSE less than 7 for the STGNN model less than 7 during two geomagnetic storms also increased by 10.3% and 16.0% compared to iTransformer. The performance was also evaluated considering the prediction length, revealing that the RMSE for the STGNN was reduced by 10.0%, 10.7%, and 27.0% under the prediction step L = {2 h, 1 day, 1 week} compared to MLPMultivariate, respectively, demonstrating strong advances for the GNN-based framework in temporal ionosphere TEC prediction, in contrast to the other three deep learning models.
Future work will focus on two aspects: one is to associate multiple physical space parameters, such as the F10.7 and sunspot number, for better prediction accuracy in low latitudes, especially the EIA region. Moreover, the geomagnetic activity indices Dst and Ap can be applied for model construction. The other aspect is to improve the internal structure of the STGNN so as to further improve its long-term forecasting ability.
In summary, this work makes solid verification for the application of graph neural networks in ionosphere temporal prediction.
Author Contributions
Conceptualization, Y.L. and Y.C.; methodology, Y.L.; software, Y.C., K.Y., and L.L.; validation, Y.C., K.Y., and L.L.; investigation, Y.L., C.X., and J.W.; writing—original draft preparation, Y.L. and Y.C.; writing—review and editing, Y.L., C.X., and J.W.; visualization, Y.C.; funding acquisition, Y.L. All authors have read and agreed to the published version of the manuscript.
Funding
The contribution is supported by National Key Research and Development Plan by Ministry of Science and Technology: 2022YFB3904302, it is also partly supported by the Youth Top Talent Project granted by Beihang University.
Institutional Review Board Statement
Not applicable.
Informed Consent Statement
Not applicable.
Data Availability Statement
No new data were created or analyzed in this study.
Acknowledgments
The authors gratefully acknowledge the International GNSS Service for providing Global Ionospheric Map products The authors gratefully acknowledge the International Sevice of Geomagnetic Indices for providing geomagnetic indices. The authors would like to thank the reviewers for their detailed and insightful comments and constructive suggestions.
Conflicts of Interest
The authors declare no conflicts of interests.
Abbreviations
The following abbreviations are used in this manuscript:
| GNSS | Global Navigation Satellite System |
| GNN | Graph Neural Network |
| TEC | Total Electron Content |
| STGNN | Spatio-temporal Graph Neural Network |
| IGS | International GNSS Service |
| GIMs | Global Ionospheric Maps |
| LSTM | Long Short-Term Memory |
| RMSE | Root Mean Square Error |
| GRU | Gated Recurrent Unit |
| MAE | Mean Absolute Error |
References
- Basu, S.; MacKenzie, E.; Coley, W.R.; Sharber, J.R.; Hoegy, W.R. Plasma structuring by the gradient drift instability at high latitudes and comparison with velocity shear driven processes. J. Geophys. Res. 1990, 95, 7799–7818. [Google Scholar] [CrossRef]
- Ratnam, D.V.; Otsuka, Y.; Sivavaraprasad, G.; Dabbakuti, J.R.K.K. Development of multivariate ionospheric TEC forecasting algorithm using linear time series model and ARMA over low-latitude GNSS station. Adv. Space Res. 2019, 63, 2848–2856. [Google Scholar] [CrossRef]
- Yang, Z.; Morton, Y.T.J.; Zakharenkova, I.; Cherniak, I.; Song, S.; Li, W. Global view of ionospheric disturbance impacts on kinematic GPS positioning solutions during the 2015 St. Patrick’s Day storm. J. Geophys. Res. Space Phys. 2020, 125, e2019JA027681. [Google Scholar] [CrossRef]
- Yeh, K.C.; Liu, C.-H. Radio wave scintillations in the ionosphere. Proc. IEEE 1982, 70, 324–360. [Google Scholar]
- Olwendo, J.O.; Cilliers, P.J.; Baki, P.; Mito, C. Using GPS-SCINDA observations to study the correlation between scintillation, total electron content enhancement and depletions over the Kenyan region. Adv. Space Res. 2012, 49, 1363–1372. [Google Scholar] [CrossRef]
- Qi, F.; Lv, H.; Wang, J.; Fathy, A.E. Quantitative evaluation of channel micro-Doppler capacity for MIMO UWB radar human activity signals based on time–frequency signatures. IEEE Trans. Geosci. Remote Sens. 2020, 58, 6138–6151. [Google Scholar] [CrossRef]
- Habarulema, J.B.; McKinnell, L.-A.; Cilliers, P.J. Prediction of global positioning system total electron content using neural networks over south africa. J. Atmos. Sol.-Terr. Phys. 2007, 69, 1842–1850. [Google Scholar] [CrossRef]
- Chen, Z.; Liao, W.; Li, H.; Wang, J.; Deng, X.; Hong, S. Prediction of global ionospheric TEC based on deep learning. Space Weather 2022, 20, e2021SW002854. [Google Scholar] [CrossRef]
- Liu, L.; Morton, Y.J.; Liu, Y. ML prediction of global ionospheric TEC maps. Space Weather 2022, 20, e2022SW003135. [Google Scholar] [CrossRef]
- Xia, G.; Zhang, F.; Wang, C.; Zhou, C. ED-ConvLSTM: A novel global ionospheric total electron content medium-term forecast model. Space Weather 2022, 20, e2021SW002959. [Google Scholar] [CrossRef]
- Xue, K.; Shi, C.; Wang, C. ATS-UNet: Attentional 2-D Time Sequence UNet for Global Ionospheric One-Day-Ahead Prediction. IEEE Geosci. Remote Sens. Lett. 2024, 21, 1002505. [Google Scholar] [CrossRef]
- Zhao, X.; Lu, X.; Quan, W.; Li, X.; Zhao, H.; Lin, G. An Effective Ionospheric TEC Predicting Approach Using EEMD-PE-Kmeans and Self-Attention LSTM. Neural Process. Lett. 2023, 55, 9225–9245. [Google Scholar] [CrossRef]
- Bi, C.; Ren, P.; Yin, T.; Zhang, Y.; Li, B.; Xiang, Z. An informer architecture-based ionospheric foF2 model in the middle latitude region. IEEE Geosci. Remote Sens. Lett. 2022, 19, 1005305. [Google Scholar] [CrossRef]
- Xia, G.; Liu, M.; Zhang, F.; Zhou, C. CAiTST: Conv-attentional image time sequence transformer for ionospheric TEC maps forecast. Remote Sens. 2022, 14, 4223. [Google Scholar] [CrossRef]
- Li, L.; Liu, Y.; Zhou, H.; Yang, K.; Yan, H.; Li, J. Ionformer: A data-driven deep learning baseline for global ionospheric TEC forecasting. IEEE Trans. Geosci. Remote Sens. 2025, 63, 5801012. [Google Scholar] [CrossRef]
- Ren, X.; Yang, P.; Mei, D.; Liu, H.; Xu, G.; Dong, Y. Global Ionospheric TEC Forecasting for Geomagnetic Storm Time Using a Deep Learning-Based Multi-Model Ensemble Method. Space Weather 2023, 21, e2022SW003231. [Google Scholar] [CrossRef]
- Yu, F.; Yuan, H.; Chen, S.; Luo, R.; Luo, H. Graph-enabled spatio-temporal transformer for ionospheric prediction. GPS Solut. 2024, 28, 203. [Google Scholar] [CrossRef]
- Liu, R.; Jiang, Y. Ionospheric VTEC maps forecasting based on graph neural network with transformers. IEEE J. Sel. Top. Appl. Earth Obs. Remote Sens. 2025, 18, 1802–1816. [Google Scholar] [CrossRef]
- Silva, A.; Moraes, A.; Sousasantos, J.; Maximo, M.; Vani, B.; Faria, C. Using Deep Learning to Map Ionospheric Total Electron Content over Brazil. Remote Sens. 2023, 15, 412. [Google Scholar] [CrossRef]
- Gabriel, N.; Johnson, N.F. Using Neural Architectures to Model Complex Dynamical Systems. Adv. Artif. Intell. Mach. Learn. 2022, 2, 366–384. [Google Scholar] [CrossRef]
- Schaer, S.; Gurtner, W.; Feltens, J. IONEX: The IONosphere map exchange format version 1. In Proceedings of the IGS AC Workshop, Darmstadt, Germany, 9–11 February 1998; Volume 9. [Google Scholar]
- Hernández-Pajares, M.; Juan, J.M.; Sanz, J.; Orus, R.; Garcia-Rigo, A.; Feltens, J.; Komjathy, A.; Schaer, S.C.; Krankowski, A. The IGS VTEC maps: A reliable source of ionospheric information since 1998. J. Geod. 2009, 83, 263–275. [Google Scholar] [CrossRef]
- Hernández-Pajares, M.; Juan, J.M.; Sanz, J.; Aragón-Àngel, À.; García-Rigo, A.; Salazar, D.; Escudero, M. The ionosphere: Effects, GPS modeling and the benefits for space geodetic techniques. J. Geod. 2011, 85, 887–907. [Google Scholar] [CrossRef]
- Rovira-Garcia, A.; Juan, J.M.; Sanz, J.; Gonzalez-Casado, G. A worldwide ionospheric model for fast precise point positioning. IEEE Trans. Geosci. Remote Sens. 2015, 53, 4596–4604. [Google Scholar] [CrossRef]
- Li, L.; Liu, H.; Le, H.; Yuan, J.; Wang, H.; Chen, Y.; Shan, W.; Ma, L.; Cui, C. ED-AttConvLSTM: An ionospheric TEC map prediction model using adaptive weighted spatiotemporal features. Space Weather 2024, 22, e2023SW003740. [Google Scholar] [CrossRef]
- Wang, X.; Ma, Y.; Wang, Y.; Jin, W.; Wang, X.; Tang, J.; Jia, C.; Yu, J. Traffic Flow Prediction via Spatial Temporal Graph Neural Network. In Proceedings of the Web Conference 2020, Taipei, Taiwan, 20–24 April 2020; pp. 1082–1092. [Google Scholar]
- Wang, Y.; Duan, Z.; Huang, Y.; Xu, H.; Feng, J.; Ren, A. Mthetgnn: A heterogeneous graph embedding framework for multivariate time series forecasting. Pattern Recognit. Lett. 2022, 153, 151–158. [Google Scholar] [CrossRef]
- Kipf, T.N.; Welling, M. Semi-supervised classification with graph convolutional networks. arXiv 2016, arXiv:1609.02907. [Google Scholar]
- Velicković, P.; Cucurull, G.; Casanova, A.; Romero, A.; Liò, P.; Bengio, Y. Graph attention networks. International Conference on Learning Representations. arXiv 2018, arXiv:1710.10903. [Google Scholar]
- Cho, K.; van Merriënboer, B.; Gulcehre, C.; Bahdanau, D.; Bougares, F.; Schwenk, H.; Bengio, Y. Learning phrase representations using RNN encoder-decoder for statistical machine translation. In Proceedings of the 2014 Conference on Empirical Methods in Natural Language Processing (EMNLP), Doha, Qatar, 25–29 October 2014. [Google Scholar]
- Vaswani, A.; Shazeer, N.; Parmar, N.; Uszkoreit, J.; Jones, L.; Gomez, A.N.; Kaiser, L.; Polosukhin, I. Attention is all you need. arXiv 2017, arXiv:1706.03762. [Google Scholar]
Disclaimer/Publisher’s Note: The statements, opinions and data contained in all publications are solely those of the individual author(s) and contributor(s) and not of MDPI and/or the editor(s). MDPI and/or the editor(s) disclaim responsibility for any injury to people or property resulting from any ideas, methods, instructions or products referred to in the content. |
© 2025 by the authors. Licensee MDPI, Basel, Switzerland. This article is an open access article distributed under the terms and conditions of the Creative Commons Attribution (CC BY) license (https://creativecommons.org/licenses/by/4.0/).








