Abstract
The use of desalinated seawater (DSW) as an alternative to conventional water resources is gradually gaining more interest due to the strong water deficit and increasing pressure on water resources in semi-arid regions. Furthermore, the combination of this alternative irrigation with the hydroponic cultivation system would allow continuous production almost through the whole year and hydroponic-related high crop yield. Nevertheless, the effects of DSW irrigation in hydroponic systems on the product quality need to be firstly studied to avoid product quality losses. In this study, we evaluated the effects on the quality of two tomato cvs. (Ramyle and Racymo) of three different irrigation treatments (T1, DSW; T2, DSW/well water mix; and T3, well water) under hydroponic or traditional cultivation systems. The soluble solid content of samples (highly correlated to dry matter content) grown under hydroponic conditions and T3 irrigation showed the highest values (5.8 °Brix) although such differences (<0.6 °Brix) with T1 might not be sensorially appreciated. Similarly, although T3 samples showed higher acidity than T1 samples, such differences (0.06%) would be not appreciated by the consumer. Tomatoes grown in hydroponic conditions had 1.1–1.2-fold higher firmness than conventional soil conditions showing hydroponic T3 samples had the highest value (21–23 N). Tomato cv. Racymo displayed higher color index (chroma) than cv. Ramyle, registering hydroponic T1 samples the most intense red color correlated with the highest lycopene content of 41.1 mg/kg. T1 irrigation of tomatoes cv. Ramyle did not induce significant changes while differences lower than 10% were observed in the tomato cv. Racymo. The highest total antioxidant capacity, which was highly correlated to the total phenolic content (R2 = 0.80), was found for hydroponic T1 samples with 1637/1243 µmol/kg for the tomato cvs. Ramyle/Racymo. Conclusively, the use of DSW would not compromise the consumer acceptance of tomatoes due to the low (not appreciable) quality differences, with even the total antioxidant capacity of these samples being increased. Furthermore, the mix of DSW with conventional water resources (lower cost) would not compromise the tomato quality.
1. Introduction
Tomato (Solanum lycopersicum L.) is a widespread horticultural product with a high economic value accounting a world production of 182 M t in 2017 [1,2]. The high popularity of this product is due to its excellent organoleptic characteristics (palatable acidity balanced with sweetness, bright red color, texture, etc.) together with its high health-promoting properties (antioxidant, anticarcinogenic, anti-inflammatory, cardiovascular protection, etc.) [3,4]. Such health-promoting properties of tomato are related to its high levels of phytochemicals like carotenoids (mainly lycopene), vitamin C, and phenolic compounds, among others like vitamin E, folic acid, potassium, etc. [5,6]. Nevertheless, the biosynthesis and accumulation of these phytochemicals in the tomato fruit during growing is highly influenced, as well as the tomato quality (dry matter (DM) and soluble solid content (SSC), pH, titratable acidity, firmness, color, etc.), by preharvest factors such as cultural practices (irrigation, hydroponics and growing media, mineral nutrition, etc.), environmental factors (light, temperature, vapor pressure deficit, etc.) and genetic aspects [7].
In the Mediterranean area, where tomato is one of the most important greenhouse crops, it is often cultivated with poor-quality or saline irrigation water due to water scarcity [8]. Southeastern Spain is one of the areas with the highest water deficit in the EU, with a water structural deficit of about 429 hm3 per year [9]. Furthermore, reductions by up to 40% in available water resources in some regions are expected by 2050 according to the Intergovernmental Panel on Climate Change. In that sense, the adoption of non-conventional water resources is needed. Particularly, the Intergovernmental Panel on Climate Change [2] has proposed desalination of seawater (DSW) as a potential option, especially in arid and semi-arid regions [10]. Among the advantages of DSW are (i) unlimited agricultural water supply, and also affords drought risk-buffering value; (ii) increment of crop yields due to the low salinity of DSW; reduction of the salinity of the soil by displacing the salts out of the root zone, and (iii) the DSW alternative offers new water policies and water management options [11,12,13,14]. Nevertheless, the drawbacks of the DSW that still need to be solved/minimized are (i) the high energy consumption, and consequently high cost; (ii) possible toxicity risks due to minerals like boron (although it may not represent a risk for boron-tolerant crops like tomato [15]); (iii) together with other environmental aspects such as the gas emissions during DSW production, management of the produced high-salinity brines, etc. In that sense, DSW is still only a supplementary water resource contributing to effectively remove the hydrological constraints for crop production in arid and semi-arid regions [12,13].
The effects of irrigation nutrients on the quality of plant products has been widely studied. Particularly, the use of irrigation water with higher salinity (e.g., electrical conductivity, EC) in tomatoes has been positively correlated with the tomato contents of soluble solids (highly correlated to DM), acids, minerals, and bioactive/nutritional compounds like carotenes, vitamin C, etc., also other quality attributes being enhanced like firmness and organoleptic properties, as it has been reviewed [7]. Particularly, high potassium contents in the nutrient solution incremented the soluble SSC, DM, and lycopene content in tomatoes [16]. Furthermore, inadequate calcium and nitrogen contributions reduced the SSC, color, lycopene, and the organoleptic properties of tomatoes [7]. However, there are no studies on the effects of irrigation with DSW on the product quality, to the best of our knowledge, relating the available studies to agronomical aspects [11,12,13,14,17,18] other than postharvest quality of the plant product.
Other preharvest factors like cultivation system might highly affect the tomato quality [7]. Hydroponic cultivation (growing plants in nutrient solution in medium separated from the soil in situ) is one of the most intensive soilless cultivation systems obtaining high-quality products with high crop yields, while obtaining a better management of the nutrient solution, increasing the efficiency in water and fertilizer use [18]. Particularly, the benefits regarding tomato cultivation in hydroponic systems, compared to traditional systems, were reported early showing tomatoes grown under this non-conventional cultivation system higher fruit firmness and contents of sugars, acids, phytochemicals (e.g., vitamin C), and minerals (phosphorus, potassium, calcium, magnesium, etc.) [7,19,20].
In this scenario, a more sustainable alternative for tomato cultivation in arid and semi-arid regions could be the use of DSW for irrigation together with the implementation of closed hydroponic cultures in order to allow a continuous production almost throughout the whole year. Nevertheless, the study of the effects of this sustainable alternative on the product quality still needs to be investigated. Furthermore, the high cost of DSW can be minimized mixing DSW with other conventional water resources.
The aim of the present research work was to study the effects of irrigation with DSW in a hydroponic system, compared to a traditional water resource and cultivation system, on the tomato quality. Accordingly, a two-tier essay was proposed: (i) physico-chemical quality: dry matter and SSC, titratable acidity, firmness and color; and (ii) nutritional/bioactive quality: lycopene, total vitamin C, total phenolic content, and total antioxidant capacity.
2. Materials and Methods
2.1. Plant Material and Irrigation Treatments
Two different tomato (Solanum lycopersicum L.) cultivars, Ramyle and Racymo, were grown located in the experimental field “Catedrático Eduardo Fernández” (latitude 36°51′ N; longitude: 2°17′ W; altitude 90 m) belonging to the Foundation UAL-ANECOOP in the municipality of El Toyo (Almería, Spain). Plants were grown in a multi-tunnel-type greenhouse without heating and with automated natural overhead ventilation.
A bifactorial experimental design was utilized consisting of the factors cultivation system (hydroponic and traditional) and irrigation treatment (desalinated seawater, DSW (T1); intermedium electrical conductivity (EC) water (T2); and high EC water (T3)). T3 treatment simulated a traditional water resource with similar physicochemical properties similar to those observed in the typical well water of this geographical area.
Two cultivation systems were used: traditional “enarenado” (which consists on covering the soil with two layers: one of sand and one of manure) without reuse of drains and hydroponic cultivation in coconut fiber with a drainage reuse system.
DSW (T1) was supplied by the seawater desalination plant “Carboneras” (Almería, Spain) and stored in an irrigation pond placed at the experimental field. Intermedium (T2) and high EC (T3) waters were artificially obtained by adding to DSW different mineral salts. Water formulation was performed in three tanks of 5000 L and stored until use. Water treatments were formulated based on the one described by Sonneveld and Straver [21] (1994) and the fertilizer contribution calculations planned for each condition (T1, T2, and T3) were performed based on the model described by Urrestarazu [22]. The composition of these irrigation waters is described in Table 1.
Table 1.
Chemical properties (electrical conductivity (EC; dS/m), anions (mmol/L) and cations (mmol/L) for desalinated seawater with low EC (T1), well/desalinated water with intermediate EC (T2), and well water with high EC (T3)). Values between parentheses represent the set values proposed by Urrestarazu [22].
The experimental design consisted of 18 sectors of 80.8 m2 containing 39 plants in four rows (156 plants/sector). Sector distribution was randomly disposed to minimize possible errors caused by the spatial distribution of the plants. Six different conditions of study (a combination of cultivation system × irrigation treatment) were assayed per triplicate, performing a crop cycle with a total of 2808 plants (468 subjected to each condition of study). An additional sector containing two rows were included at the upper and lower end of the experimental blocks to avoid the edge effect. Plants grown in these parcels were not taken into account for harvesting, sampling, and measurement.
Tomato cvs. Ramyle and Racymo were grown in two different short growing cycles of 4–5 months conducted from the first week of September 2018 to the end of January 2019 and from the middle of February to beginning of July 2019, respectively. Water supplied during the first cycle for tomato cropped in the soil was 207 L/m2 and in the substrate 274 L/m2. In the second cycle, water supplied for tomato cropped in the soil was 296 L/m2 and in the substrate 423 L/m2.
At the end of the growing periods (January and July 2019), tomatoes were harvested. Since quality attributes of tomatoes are highly affected by the ripening stage, the fruit was manually harvested selecting those samples that showed uniformity in the external color (red), size, and shape. Tomatoes were harvested at “red” color state, which means that more than 90% of the surface (in the aggregate) shows red color according to the USDA classification [23]. Furthermore, fruits selected for nutritional and physicochemical analysis showed an absence of major defects. Thirty tomatoes were sorted per each irrigation treatment/cultivation system and stored at refrigeration temperature until the physicochemical quality analyses were conducted the next day. For the nutritional/bioactive compounds, tomatoes were halved at reception and immediately frozen with liquid nitrogen. Frozen halves were stored at −80 °C until analyses.
2.2. Physicochemical Quality of Tomatoes
2.2.1. Dry Matter Content, Soluble Solids, pH, and Titratable Acidity
The DM content of tomatoes was determined after drying at 60 °C until constant weight. SSC, pH, and titratable acidity (TA) determinations were performed as previously described [24]. Briefly, juice from tomatoes was obtained with a blender (model MX2050; Braun, Germany). SSC was determined with a digital handheld refractometer (Atago N1; Tokyo, Kanto, Japan) at 20 °C and expressed as °Brix. The pH was measured with a pH-meter (Basic20, Crison; Alella, Cataluña, Spain). TA of the diluted juice (5 mL plus 45 mL of distilled water) was determined with an automatic titrator (model T50; Mettler Toledo; Milan, Italy) with 0.1 N NaOH to reach pH 8.1. TA was expressed as citric acid in %. Each of the three replicates was analyzed in duplicate.
2.2.2. Firmness
Firmness was determined with a texturometer (model TA XT Plus; TA Instruments; Surrey, UK) by measuring the amount of force (N) to puncture 8 mm deep (probe of 4 mm of diameter) into a whole tomato fruit. The texturometer was set for maximum compression with a speed of 20 mm/min. Five tomatoes were analyzed per each replicate.
2.2.3. Color
Color was determined using a colorimeter (Chroma Meter CR−400, Konica Minolta, Tokyo, Japan) at illuminant D65 and 2° observer, and with a viewing aperture of 8 mm. Two measurements were made (equatorial zone) per fruit, automatically being averaged by the device. Five tomatoes were analyzed per each replicate. Chroma was calculated according to Equation (1) as the most appropriate color index in tomato [25,26].
2.3. Nutritional and Bioactive Quality of Tomatoes
2.3.1. Lycopene
The lycopene content of samples was determined as previously described [27]. Briefly, 7 mL of an ethanol:hexane mixture (4:3 v:v) was added to 0.1 g of frozen ground sample in a Falcon tube (protected from light). The lycopene extraction was conducted by agitation of the latter mixture in an orbital shaker for 1 h (darkness) at 200 rpm. Then, 1 mL of distilled water was added to the mixture and manually stirred by inversion. Finally, the absorbance of the upper phase (hexane), which contained the lycopene, was measured at 472 nm in a spectrophotometer (Zuzi 4110RS; Auxilab S.L, Beriáin, Spain). The lycopene content was calculated with the Lambert–Beer Law as described in Equation (2).
where Abs is the absorbance reading, MW is the molecular weight, 2.7 refers to the volume (mL) of the hexane phase, w is the sample weight and E is the molar extinction coefficient of lycopene in hexane (185.3 mM/cm). Results were expressed as mg/kg on a fresh weight (FW). Each of the three replicates was analyzed by duplicate.
2.3.2. Total Vitamin C
Ascorbic (AA) and dehydroascorbic (DHA) acids were measured as previously described [28,29], but with slight modifications [30]. Briefly, ground frozen samples of 5 g were placed into a 25-mL Falcon tube (protected from light with aluminum foil), and 10 mL of 0.1 M citric acid, 0.05% EDTA, 4 mM sodium fluoride, and 5% MeOH cold buffer were added. The mixture, placed on an ice bed, was homogenized (Ultraturrax T25 basic, IKA, Berlin, Germany) for 10 s. Then, the extract was filtrated through four-layer cheesecloth and pH adjusted to 2.35–2.4 with 6 N NaOH. Afterwards, the extract was purified by solid phase extraction (Sep-Pak cartridges C18, Waters, Dublin, Ireland) and filtered through a 0.45-μm polyethersulphone filter. DHA derivatization was carried out mixing 750 μL of vitamin C extract with 250 μL of 7.7 M 1,2-phenylenediamine in an HPLC amber vial. The mixture was allowed to react for 37 min at room temperature. Immediately after derivatization, 20 μL were injected on a Gemini NX (250 × 4.6 mm, 5 μm) C18 column (Phenomenex, Torrance, CA, USA), using an HPLC (Series 1100 Agilent Technologies, Waldbronn, Germany). The mobile phase was 5 mM hexadecyltrimethyl ammonium bromide, 50 mM KH2PO4, and 5% methanol (pH 4.59) with the isocratic flow of 1.8 mL/min. Chromatograms were recorded at 261 nm (AA) and 348 nm (DHA). AA and DHA were quantified using commercial standards (Sigma, St Louis, MO, USA). Calibration curves were made with at least six data points for each standard. Results were expressed as mg/kg on a FW basis. Each of the three replicates were analyzed by duplicate.
2.3.3. Total Phenolic Content
The extraction to determine total phenolic content (TPC) and total antioxidant capacity (TAC) was conducted as previously described [31], but with slight modifications. Briefly, 0.1 g of frozen ground sample was homogenized (Ultraturrax) in 3 mL of methanol for 30 s. TPC/TAC extraction was followed in an orbital shaker for 1 h (darkness) at 200 rpm in an ice bed. Subsequently, supernatants from the centrifuged extracts (15,000× g; 10 min; 4 °C) were collected, kept in ice, and analyzed for TPC and TAC.
TPC was determined as previously described [32], but with modifications [31]. Briefly, 19 μL of TPC extract was placed on a flat-bottom polystyrene (PS) 96-well plate (Greiner Bio-One; Frickenhausen, Baden—Württemberg, Germany), and 29 μL of 1 N Folin–Ciocalteu reagent was added. The latter mixture was incubated for 3 min (darkness) at room temperature. Then, 192 μL of a mix solution (0.4% Na2CO3 and 2% NaOH) was added following incubation of 1 h (darkness) at room temperature. The absorbance was then measured at 750 nm using a Multiscan plate reader (Tecan Infininte M200; Männedorf, Meilen, Switzerland). TPC was expressed as gallic acid equivalents in mg/kg on a FW basis. Each of the three replicates were analyzed in duplicate.
2.3.4. Total Antioxidant Capacity
TAC was determined using the free radical 2.2-Diphenyl-l-pict3,1hydrazyl (DPPH●) [33]. TAC determinations of TAC extracts were conducted as previously described [31]. Briefly, a solution of 0.7 mM DPPH was prepared in methanol 2 h before the assay and adjusted to 1.10 ± 0.02 nm immediately before use. A 21-µL aliquot of the previously described extract was placed on a 96 PS flat-bottom well plate and 194 µL of the adjusted DPPH solution was added. The reaction was carried out for 30 min at room temperature in darkness and the absorbance at 515 nm was measured using the Multiscan plate reader. TAC results were expressed as equivalents of TROLOX (6-hydroxy-2,5,7,8-tetramethylchroman-2-carboxylic acid) in µmol/kg on a FW basis. Each of the three replicates were analyzed in duplicate.
2.4. Statistical Analyses
The data were subjected to analysis of variance (ANOVA) using the SPSS software (v.19 IBM, New York, NY, USA). Statistical significance was assessed at p ≤ 0.05, and the Tukey’s multiple range test was used to separate the means.
3. Results and Discussion
3.1. Soluble Solids Content and Dry Matter
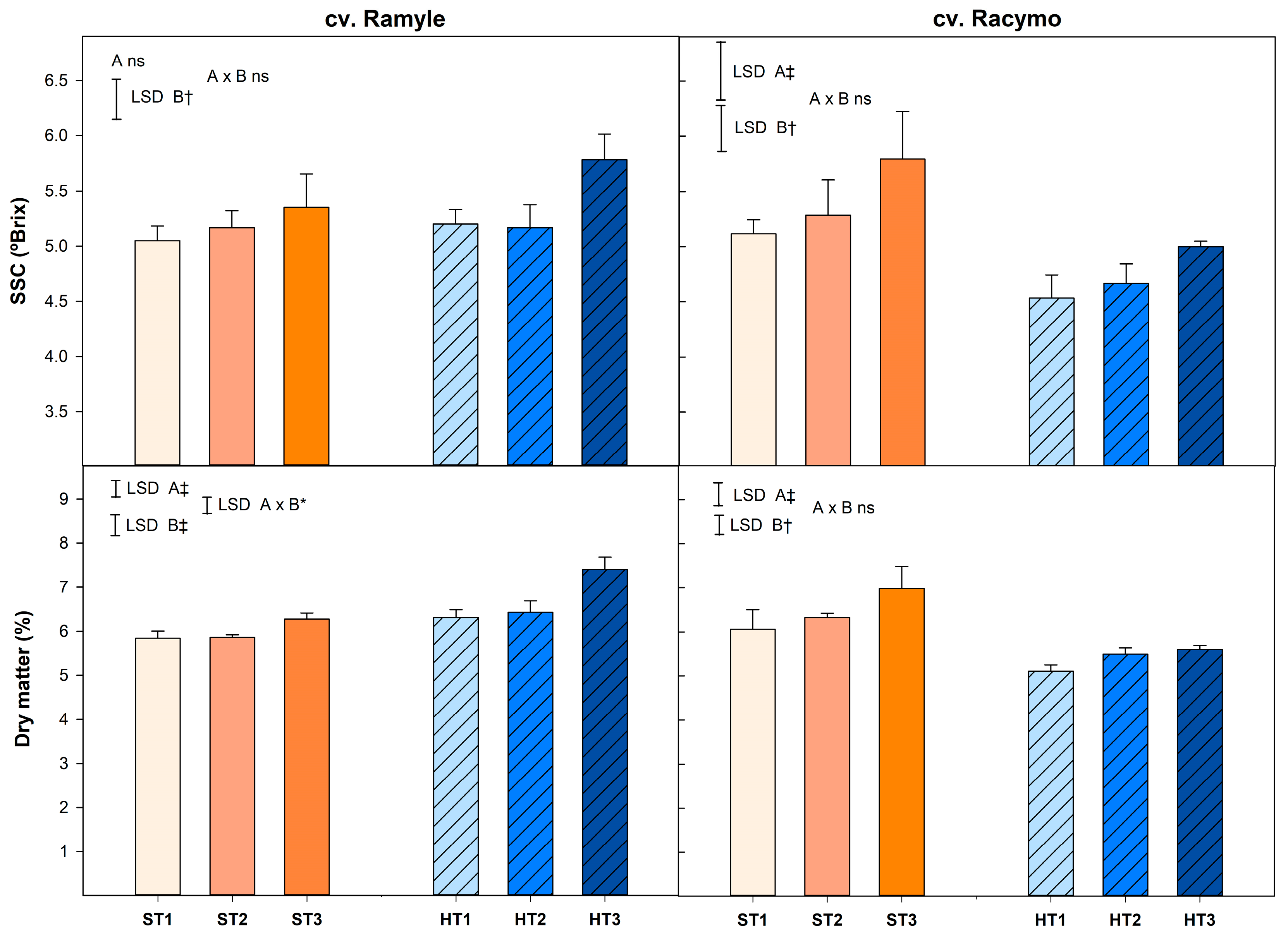
The SSC of samples is shown in Figure 1. The irrigation treatment factor was significant (p < 0.01) for both tomato cvs. The cultivation system factor was only significant for the tomato cv. Racymo (p < 0.001). Nevertheless, the interaction irrigation treatment × cultivation system was not significant (p > 0.05) for any of the tomato cvs. The SSC of tomato cv. Racymo in hydroponic condition was 0.6–0.8 °Brix lower than the tomato cv. Racymo in a traditional cultivation system. Such SSC differences depend on cultivation system since each growing substrate has its own demands and responds more or less rapidly (buffer effect) to changes in growing conditions due to daily climatic variations (such as those occurred in the different growing seasons for each tomato cv.) [7]. Furthermore, substrates differ in adsorption capacity, which consequently might affect the quality of the plant product. Accordingly, tomatoes and lettuces grown in coconut-derived media showed the lowest content of SSC and DM [34,35].
Figure 1.
Soluble solid content (SSC) and dry matter content of two tomatoes (cvs. Ramyle and cv. Racymo) under different irrigation treatments (T1: desalinated seawater with low electrical conductivity (EC); T2: well/desalinated water, intermediate EC; and T3: well water with high EC) and cultivation systems (traditional soil system, S; hydroponic, H) (n = 3 ± SD). The uppercase letters A and B denote cultivation system and irrigation treatment, respectively. ns, †, and ‡ significance for p ≤ not significant, 0.01, and 0.001, respectively.
For both tomato cvs., the irrigation treatment effect was significant as the SSC of samples increased as the salinity (i.e., EC) increased from T1 to T3 treatments (see Table 1). Such positive correlation between EC and SSC has been widely reported and reviewed [7,36]. Thus, EC adjustment allows modifying water availability to the crop improving the fruit quality.
The DM content of samples ranged from 5.1% to 7.4% (Figure 1), which is in accordance with the reported data in tomatoes [16]. A high DM proportion (7.5%) is due to the soluble solids in tomatoes [37]. Accordingly, a high correlation (R2 = 0.91) between SSC and DM was observed in our samples (data not shown). DM data of samples showed the same trends as observed for SSC, the tomato DM increasing as the salinity of the irrigation treatment did. Particularly, the DM content of HT1 samples increased by 1 DM-unit for HT3 samples. Even more, the interaction cultivation system × irrigation treatment was significant for the tomato cv. Ramyle showing HT3 the highest DM content and ST1 samples the lowest values. The DM content of fruits is determined by (1) the accumulation of photoassimilates, which depends on light (photosynthesis) and temperature (metabolic activity); and (2) water availability from the soil system [38]. Furthermore, water import to the tomato fruit is independent of assimilate concentration and is determined by plant–water relations. Then, the DM content of tomato is linearly increased by the EC [38,39], as hereby observed.
Although T3 samples showed higher soluble solids than T1 samples, such differences were lower than 0.6 °Brix. The minimum SSC difference to sensorially detect sweet flavor differences is 1 °Brix [40]. In that sense, irrigation with DSW would not compromise the consumer acceptance related to tomato sweetness.
3.2. Titratable Acidity
The TA is an important quality parameter of tomatoes since the sensory overall quality is highly correlated (R2 = 0.88) with TA [41]. Citric acid is the major organic acid in ripened tomato accounting for 40% to 90% of TA (as previously reviewed [7]). In general, TA of samples ranged between 0.37% and 0.42% (Figure 2). Nevertheless, tomato cv. Racymo grown in the hydroponic system registered the lowest (p < 0.001) TA with values ranging from 0.31% to 0.32%. TA data showed similar trends to SSC (Figure 1) the irrigation treatment factor being significant (p < 0.05) for the tomato cv. Ramyle, while the cultivation system factor was significant (p < 0.001) for the tomato cv. Racymo. Similar to SSC, tomatoes grown in coconut peats showed lower TA compared to expanded clay pellets [35]. In that sense, HT3 samples showed higher TA than HT1. TA has been highly correlated (R2 = −0.95) with the tomato pH [41] as widely reported and reviewed [7]. The pH of all samples did not register high differences among them with values ranging from 4.5 to 4.7 for both tomato cvs. (data not shown).
Figure 2.
Titratable acidity (TA) of two tomatoes (cvs. Ramyle and cv. Racymo) under different irrigation treatments (T1: desalinated seawater with low electrical conductivity (EC); T2: well/desalinated water, intermediate EC; and T3: well water with high EC) and cultivation systems (traditional soil system, S; hydroponic, H) (n = 3 ± SD). The uppercase letters A and B denote cultivation system and irrigation treatment, respectively. ns, *, and ‡ significance for p ≤ not significant, 0.05, and 0.001, respectively.
Similar to SSC, although T3 samples showed higher acidity than T1 samples, such differences were lower than 0.06%. The minimum TA difference to sensorially detect acid flavor differences is 0.08% [40]. Since acids influence the perception of sweetness, the SSC/TA index is commonly used as an indicator of tomato flavor [40,41]. Accordingly, the higher SSC/TA differences among T3 and T1 corresponded to 10. Nevertheless, the minimum TA differences to sensorially detect differences in sweet/acid flavors and sensory overall quality are 19.82/10.17 and 16.25, respectively [40]. Conclusively, the sensory acceptance of tomatoes grown using DSW or a hydroponic/traditional cultivation system would not be compromised.
3.3. Firmness
The firmness of samples ranged from 14.9 to 23.3 N (Figure 3). The cultivation system and irrigation treatment factors were significant for both tomato cvs., their interaction also being significant (p < 0.001) for the tomato cv. Racymo. Particularly, samples grown in the hydroponic system showed 1.1–1.2-fold higher firmness than those fruits grown under the traditional cultivation system. In that sense, HT3 samples of both tomato cvs. showed the highest firmness.
Figure 3.
Firmness of two tomatoes (cvs. Ramyle and cv. Racymo) under different irrigation treatments (T1: desalinated seawater with low electrical conductivity (EC); T2: well/desalinated water, intermediate EC; and T3: well water with high EC) and cultivation systems (traditional soil system, S; hydroponic, H) (n = 3 ± SD). The uppercase letters A and B denote cultivation system and irrigation treatment, respectively. ns, †, and ‡ significance for p ≤ not significant, 0.01, and 0.001, respectively.
Calcium is the plant nutrient most often associated with fruit firmness [42]. Calcium is directly involved in strengthening plant cell walls through its ability to cross link with pectins by ionic association between C’6 carboxyl groups of inter and intra galacturonosyl residues [42,43]. Principally, high calcium contents seem to maintain tissue integrity and increase tissue elasticity, rather than increase tissue rigidity [44]. Accordingly, a higher calcium absorption in the coconut media (hydroponic system) might be the cause of such firmness differences compared to the traditional cultivation system. On the other hand, T3 irrigation treatment showed higher calcium contents than T1 (Table 1). Furthermore, Hao and Papadopoulos [44] found that high EC and high magnesium supply increased tomato firmness [45]. In that sense, the higher tomato firmness of T3 samples compared to T1 may be explained by the EC, and calcium and magnesium contents of the irrigation water. Similarly, an increase in tomato firmness with higher EC of the irrigation water was also early reported [36]. Nevertheless, firmness differences between T3 and T1 samples were lower than 4 N, which is very low to be detected by the consumer.
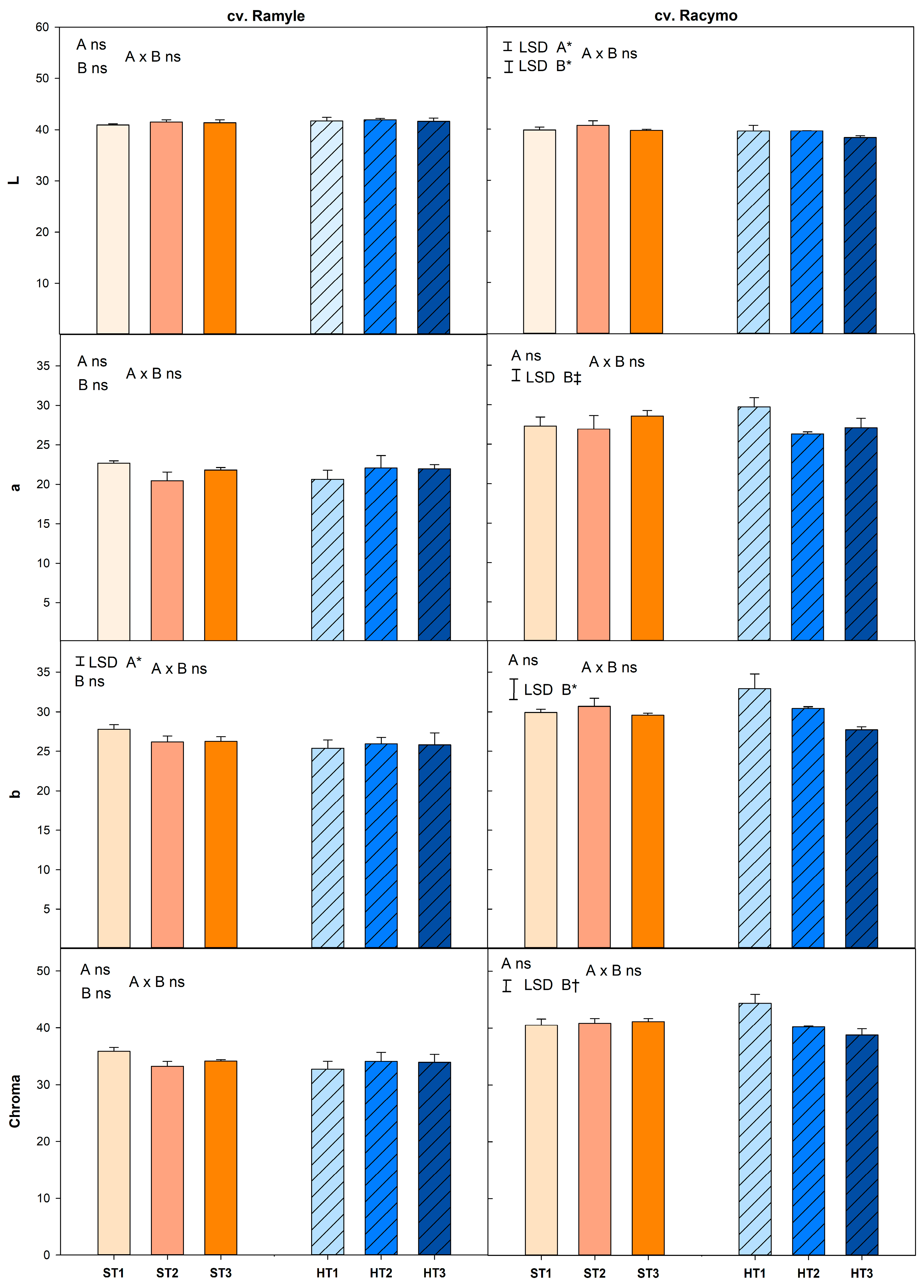
3.4. Color and Lycopene Contents
Color has a strong influence on the consumer purchase decision since the maximum organoleptic quality of tomatoes takes place when they reach the full red color stage but before excessive softening [25]. Tomatoes cv. Ramyle showed L, a and b mean values of 41.5 ± 0.3, 21.6 ± 0.9, and 26.2 ± 0.8, respectively; while for tomatoes cv. Racymo were 39.7 ± 0.8, 27.7 ± 1.3, and 30.2 ± 1.7, respectively (Figure 4). In order to obtain a unique color parameter to study color differences among samples, several color indexes such as Chroma, Hue, total color differences index, a/b, etc. have been proposed for tomatoes [25,26]. Chroma was selected as the most appropriate indicator of consumer acceptance of ripened tomatoes since it reflects color purity or saturation [25].
Figure 4.
Color (L, a, b and Chroma) of two tomatoes (cvs. Ramyle and cv. Racymo) under different irrigation treatments (T1: desalinated seawater with low electrical conductivity (EC); T2: well/desalinated water, intermediate EC; and T3: well water with high EC) and cultivation systems (traditional soil system, S; hydroponic, H) (n = 3 ± SD). The uppercase letters A and B denote cultivation system and irrigation treatment, respectively. ns, *, †, and ‡ significance for p ≤ not significant, 0.05, 0.01, and 0.001, respectively.
Color differences between samples were mainly owing to a and b parameters, showing little variations in L value (Figure 4). Tomato cv. Racymo showed higher Chroma values than the tomato cv. Ramyle, which corresponds to higher a and b values, indicating fruits with more intense red color. In the tomato fruit, red color is the result of chlorophyll degradation as well as the synthesis of lycopene and other carotenoids [25]. Accordingly, the main carotenoid in ripened tomato is lycopene (70–83% of total carotenoids) followed by far from β-carotene (3–7% of total carotenoids) [7,46]. Lycopene contents of samples ranged from 18.4 to 41.1 mg/kg the tomato cv. Racymo showing a mean value of 30.6 mg/kg while the tomato cv. Ramyle showed a mean value of 23.6 mg/kg (Figure 5). Lycopene accumulation is regulated by fruit-localized phytochromes and their photo-equilibrium in response to changes in the spectral composition of the light that penetrates the pericarp during ripening [45,47]. Accordingly, the more intense red color of tomato cv. Racymo may be explained by the higher light in this growing season.
Figure 5.
Lycopene content of two tomatoes (cvs. Ramyle and cv. Racymo) under different irrigation treatments (T1: desalinated seawater with low electrical conductivity (EC); T2: well/desalinated water, intermediate EC; and T3: well water with high EC) and cultivation systems (traditional soil system, S; hydroponic, H) (n = 3 ± SD). The uppercase letters A and B denote cultivation system and irrigation treatment, respectively. ns, *, †, and ‡ significance for p ≤ not significant, 0.05, 0.01, and 0.001, respectively.
For the cultivation system and irrigation treatment factors, neither of their interactions were significant for the tomato cv. Ramyle (p < 0.05). Nevertheless, the irrigation treatment factor was significant for the tomato cv. Racymo. Accordingly, the HT3 treatment induced the highest Chroma values in the tomato cv. Racymo (Figure 4), which is in agreement with the highest lycopene content registered also in HT3 samples (Figure 5). Similarly, coconut fiber has led to higher lycopene contents in tomato fruit compared to other growing media [48], which might be explained by a higher absorption with the coconut fiber of the compounds needed during the biosynthesis pathway of lycopene.
3.5. Total Vitamin C
The total vitamin C contents of samples ranged from 168–202 (cv. Ramyle) to 196–230 mg/kg (cv. Racymo) (Figure 6). Dehydroascorbic acid accounted for 8–10% of total vitamin C contents of samples (data not shown). The vitamin C biosynthesis in plants is enhanced under higher light amount and intensity since ascorbic acid is synthetized from sugars formed during photosynthesis [49]. Hence, the higher total vitamin C of tomato cv. Racymo may be explained by light conditions during that growing season.
Figure 6.
Total vitamin C content of two tomatoes (cvs. Ramyle and cv. Racymo) under different irrigation treatments (T1: desalinated seawater with low electrical conductivity (EC); T2: well/desalinated water, intermediate EC; and T3: well water with high EC) and cultivation systems (traditional soil system, S; hydroponic, H) (n = 3 ± SD). The uppercase letters A and B denote cultivation system and irrigation treatment, respectively. ns, *, and ‡ significance for p ≤ not significant, 0.05, and 0.001, respectively.
The cultivation system factor was significant for the total vitamin C contents of tomato cv. Ramyle. Particularly, tomato cv. Ramyle grown in the hydroponic system showed higher total vitamin C content than those samples grown in the traditional cultivation system. On the other side, the irrigation treatment factor was significant for the total vitamin C contents of tomato cv. Racymo. In that sense, the total vitamin C contents of tomato cv. Racymo incremented as the EC of the irrigation treatment did showing the highest values for ST3 and HT3. Hydroponic cultivation system is the most intensive production method in horticulture and enables the application of specific quality management considering the nutrient solution management, such as EC, as the major factor that improves the product quality [50]. Particularly, the vitamin C content of tomatoes increased as the EC of irrigation water did [36]. Furthermore, tomatoes grown with coconut fiber showed higher vitamin C than those grown using cotton fiber [51]. In that sense, the higher EC of the ST3 and HT3 irrigation water treatments (Table 1) may explain the greater total vitamin C contents of these samples.
Conclusively, the irrigation with DSW did not induce significant differences in the total vitamin C content of tomato cv. Ramyle while differences lower than 10% were observed in the tomato cv. Racymo. Furthermore, consumption of at least one piece of tomato (90–100 g) irrigated or not with DSW would cover the recommended daily intake of vitamin C (80–90 mg/day) [52].
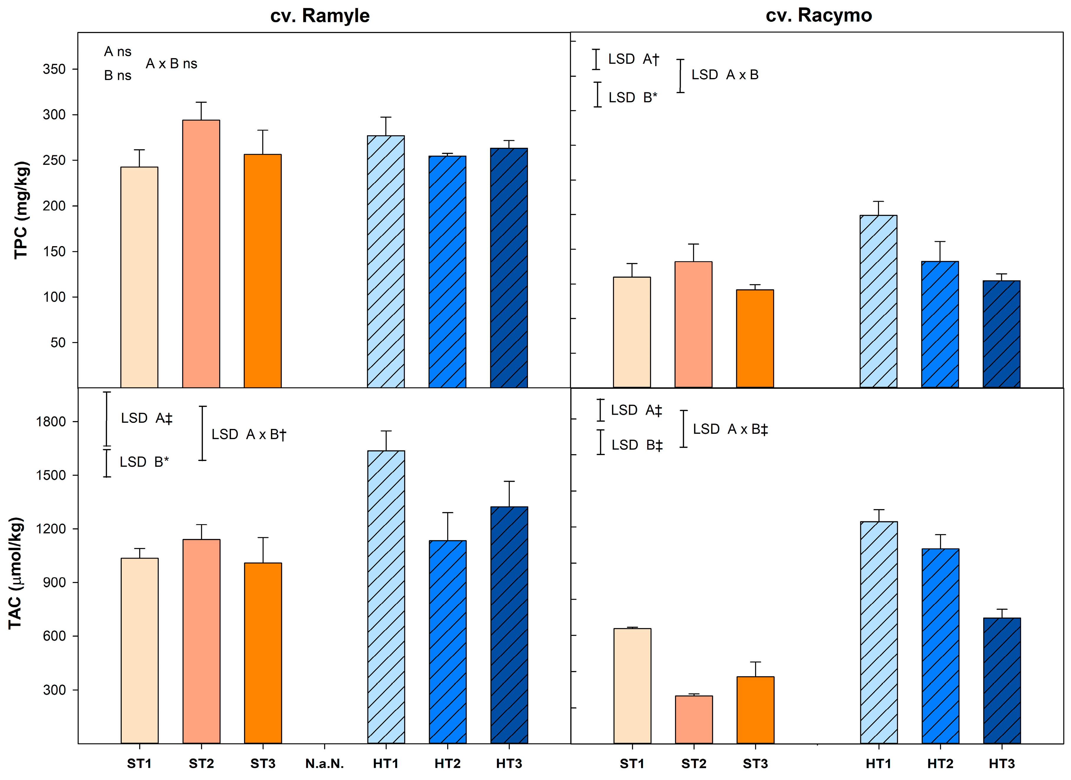
3.6. Total Phenolic Content
The TPC of tomato cv. Racymo was ≈50% lower than the tomato cv. Ramyle (Figure 7). Chlorogenic acids and related compounds (ferulic acid, caffeic acid, etc.) are the main phenolic compounds besides flavonoids (mainly naringenin and quercetin) in tomatoes [53]. Nevertheless, such phenolic contents may highly vary depending of the tomato cv. [53] as hereby observed. Particularly, the tomato cv. Ramyle showed a mean TPC of 265 mg/kg lacking the cultivation system and irrigation treatment factors, and also their interaction, of significance. Contrary, statistical significance was observed in the tomato cv. Racymo for the cultivation system factor (p < 0.01), irrigation treatment (p < 0.01), and their interaction (p < 0.01). Particularly, HT1 showed the highest TPC while ST3 registered the lowest TPC for this tomato cv. The observed TPC differences might not depend on the growing media since no TPC differences were previously observed in tomatoes grown using different growing media (rock wool, sheep wool, peat moss, and hemp) [54]. The soilless cultivation allows an efficient use of the water, which might also mean some water stress to the plant. Accordingly, tomatoes grown under water stress showed higher TPC [55]. The latter behavior might be explained by the stimulation of the phenylalanine ammonia lyase (the key enzyme in the biosynthesis pathway of phenolic compounds) as a consequence of the water stress as similarly reported in other fruits [56,57].
Figure 7.
Total phenolic content (TPC) and total antioxidant capacity (TAC) of two tomatoes (cvs. Ramyle and cv. Racymo) under different irrigation treatments (T1: desalinated seawater with low electrical conductivity (EC); T2: well/desalinated water, intermediate EC; and T3: well water with high EC) and cultivation systems (traditional soil system, S; hydroponic, H) (n = 3 ± SD). The uppercase letters A and B denote cultivation system and irrigation treatment, respectively. ns, *, †, and ‡ significance for p ≤ not significant, 0.05, 0.01, and 0.001, respectively.
3.7. Total Antioxidant Capacity
Tomato cv. Ramyle showed a mean TAC 1.7-fold higher than the tomato cv. Racymo (Figure 7). TAC may highly vary between different tomato cvs. due to the different antioxidant compound (phenolic compounds, vitamin C, carotenoids) profiles for each cultivar [58]. The cultivation system and irrigation treatment factors, as well as their interaction, were significant for both tomato cvs. Particularly, HT1 showed the highest TAC with 1637 and 1243 µmol/kg for the tomato cv. Ramyle and cv. Racymo, respectively, as TAC was highly correlated (R2 = 0.80) to TPC (data not shown). Similarly, TAC was highly correlated (R2 = 0.70) to TPC a strong correlation being reported with the flavonol rutin but not with other flavonoids (like naringenin chalcone) or hydroxycinnamates (like chlorogenic aid) [58]. In that sense, the high TAC of HT1 samples may be explained, as previously described for the TPC, by the phosphate and nitrate contents of the T1 irrigation treatment. Accordingly, production of tomatoes in a hydroponic system and irrigated with DSW enhances their antioxidant compounds.
4. Conclusions
The effects of the use of desalinated seawater (DSW) as irrigation water on the quality of two tomato cultivars (Ramyle and Racymo) grown in hydroponic or traditional cultivation systems was firstly addressed in this study. The physicochemical quality (dry matter, soluble solid content, and titratable acidity) of tomatoes irrigated with DSW remained almost unchanged when compared to tomatoes irrigated with simulated well water, or a mixture of them, ensuring the consumer acceptance in all cases. Tomato firmness also showed the same behavior. Tomato color was even improved in the tomato cv. Racymo with the DSW irrigation and the hydroponic cultivation system. Attending to the main bioactive and nutritional compounds analyzed (lycopene, vitamin C, and total phenolic content), no large differences were observed between the irrigation treatments and cultivation system. Even more, the total antioxidant capacity, highly correlated to the total phenolic content, was enhanced in the tomato cv. Racymo grown with DSW and in the hydroponic system. Accordingly, the use of DSW for the tomato production did not compromise the consumer acceptance even being increased when grown in a hydroponic system. Additional research focused on the effect of the irrigation with DSW and soilless systems on the crop yield and the soil is encouraged.
Author Contributions
Conceptualization, J.F.M.-V., A.L.-G. and V.A.; Methodology, J.F.M.-V., G.B.M.-H. and V.A.; Software, G.B.M.-H.; Validation, J.F.M.-V., G.B.M.-H. and V.A.; Formal Analysis, G.B.M.-H.; Investigation, V.A. and M.J.S.-M.; Resources, J.F.M.-V. and A.L.-G.; Data Curation, G.B.M.-H.; Writing—Original Draft Preparation, G.B.M.-H. and V.A.; Writing—Review & Editing, G.B.M.-H. and J.F.M.-V.; Visualization, G.B.M.-H. and J.F.M.-V.; Supervision, J.F.M.-V., A.L.-G. and V.A.; Project Administration, J.F.M.-V. and V.A.; Funding Acquisition, J.F.M.-V. All authors have read and agreed to the published version of the manuscript.
Funding
This study was funded by the LIFE Program of the European Union through the DESEACROP project (LIFE16-ENV-ES-000341).
Conflicts of Interest
The authors declare no conflict of interest.
References
- Martí, R.; Roselló, S.; Cebolla-Cornejo, J. Tomato as a source of carotenoids and polyphenols targeted to cancer prevention. Cancers (Basel) 2016, 8, 58. [Google Scholar] [CrossRef]
- FAOSTAT. Available online: http://www.fao.org/faostat/en/#data (accessed on 17 October 2018).
- Burton-Freeman, B.; Reimers, K. Tomato consumption and health: Emerging benefits. Am. J. Lifestyle Med. 2011, 5, 182–191. [Google Scholar] [CrossRef]
- Pagliarini, E.; Monteleone, E.; Ratti, S. Sensory profile of eight tomato cultivars (Lycopersicon Esculentum) and its relationship to consumer preference. Ital. J. Food Sci. 2001, 13, 285–296. [Google Scholar]
- Luthria, D.L.; Mukhopadhyay, S.; Krizek, D.T. Content of total phenolics and phenolic acids in tomato (Lycopersicon esculentum Mill.) fruits as influenced by cultivar and solar UV radiation. J. Food Compos. Anal. 2006, 19, 771–777. [Google Scholar] [CrossRef]
- Martínez-Hernández, G.B.; Boluda-Aguilar, M.; Taboada-Rodríguez, A.; Soto-Jover, S.; Marín-Iniesta, F.; López-Gómez, A. Processing, packaging, and storage of tomato products: Influence on the lycopene content. Food Eng. Rev. 2016, 8, 52–75. [Google Scholar] [CrossRef]
- Dorais, M.; Papadopoulos, A.P.; Gosselin, A. Greenhouse tomato fruit quality. In Horticultural Reviews; John Wiley & Sons, Inc.: Hoboken, NJ, USA, 2010; pp. 239–319. [Google Scholar]
- Montesano, F.; Parente, A.; Santamaria, P. Closed cycle subirrigation with low concentration nutrient solution can be used for soilless tomato production in saline conditions. Sci. Hortic. (Amst.) 2010, 124, 338–344. [Google Scholar] [CrossRef]
- CHS. Hydrological Plan of the Demarcation of Segura 2015/21. Annex 6 Operating System and Balances; Hydrographic Confederation of Segura: Murcia, Spain, 2015. [Google Scholar]
- Bates, B.; Kundzewicz, Z.W.; Wu, S.; Palutikof, J.P. Climate Change and Water. Technical Paper of the Intergovernmental Panel on Climate Change; IPCC Secretariat: Geneva, Switzerland, 2008. [Google Scholar]
- Aznar-Sánchez, J.; Belmonte-Ureña, L.; Valera, D. Perceptions and acceptance of desalinated seawater for irrigation: A case study in the Níjar district (Southeast Spain). Water 2017, 9, 408. [Google Scholar] [CrossRef]
- Martínez-Alvarez, V.; González-Ortega, M.J.; Martin-Gorriz, B.; Soto-García, M.; Maestre-Valero, J.F. The use of desalinated seawater for crop irrigation in the Segura River Basin (south-eastern Spain). Desalination 2017, 422, 153–164. [Google Scholar] [CrossRef]
- Martínez-Alvarez, V.; Maestre-Valero, J.F.; González-Ortega, M.J.; Gallego-Elvira, B.; Martin-Gorriz, B. Characterization of the agricultural supply of desalinated seawater in Southeastern Spain. Water 2019, 11, 1233. [Google Scholar] [CrossRef]
- Silber, A.; Israeli, Y.; Elingold, I.; Levi, M.; Levkovitch, I.; Russo, D.; Assouline, S. Irrigation with desalinated water: A step toward increasing water saving and crop yields. Water Resour. Res. 2015, 51, 450–464. [Google Scholar] [CrossRef]
- Martínez-Álvarez, V.; González-Ortega, M.J.; Martín-Gorriz, B.; Soto-García, M.; Maestre-Valero, J.F. Seawater desalination for crop irrigation-Current status and perspectives. In Emerging Technologies for Sustainable Desalination Handbook; Elsevier: Amsterdam, The Netherlands, 2018; pp. 461–492. ISBN 9780128167120. [Google Scholar]
- Fanasca, S.; Colla, G.; Maiani, G.; Venneria, E.; Rouphael, Y.; Azzini, E.; Saccardo, F. Changes in antioxidant content of tomato fruits in response to cultivar and nutrient solution composition. J. Agric. Food Chem. 2006, 54, 4319–4325. [Google Scholar] [CrossRef]
- Martínez-Alvarez, V.; Martin-Gorriz, B.; Soto-García, M. Seawater desalination for crop irrigation—A review of current experiences and revealed key issues. Desalination 2016, 381, 58–70. [Google Scholar] [CrossRef]
- Maestre-Valero, J.F.; Martin-Gorriz, B.; Soto-García, M.; Martinez-Mate, M.A.; Martinez-Alvarez, V. Producing lettuce in soil-based or in soilless outdoor systems. Which is more economically profitable? Agric. Water Manag. 2018, 206, 48–55. [Google Scholar] [CrossRef]
- Benoit, F.; Ceustermans, N. Some qualitative aspects of tomatoes grown on NFT. Soil. Cult. 1987, 3, 3–7. [Google Scholar]
- Adams, P.; Winsor, G.W. Further studies on the composition and quality of tomato fruit. Rep. Glas. Crop Res. Inst. 1976, 133–138. [Google Scholar]
- Sonneveld, C.; Straver, N. Nutrient Solutions for Vegetables and Flowers Grown in Water or Substrates, 10th ed.; Glasshouse Crops Research Station: Naaldwijk, The Netherlands, 1994. [Google Scholar]
- Urrestarazu, M. Treaty of Cultivation Without Soil; Mundi Pren: Madrid, Spain, 2004. [Google Scholar]
- USDA. Tomatoes. Shipping Point and Market Inspection Instructions; United States Department of Agriculture: Washington, DC, USA, 2005.
- Buendía-Moreno, L.; Sánchez-Martínez, M.J.; Antolinos, V.; Ros-Chumillas, M.; Navarro-Segura, L.; Soto-Jover, S.; Martínez-Hernández, G.B.; López-Gómez, A. Active cardboard box with a coating including essential oils entrapped within cyclodextrins and/or halloysite nanotubes. A case study for fresh tomato storage. Food Control 2020, 107, 106763. [Google Scholar] [CrossRef]
- López-Camelo, A.F.; Gómez, P.A. Comparison of color indexes for tomato ripening. Hortic. Bras. 2004, 22, 534–537. [Google Scholar] [CrossRef]
- Pathare, P.B.; Opara, U.L.; Al-Said, F.A.-J. Colour measurement and analysis in fresh and processed foods: A review. Food Bioprocess Technol. 2013, 6, 36–60. [Google Scholar] [CrossRef]
- Barrett, D.M.; Anthon, G. Lycopene content of california-grown tomato varieties. Acta Hortic. 2001, 542, 165–174. [Google Scholar] [CrossRef]
- Zapata, S.; Dufour, J.P. Ascorbic, dehydroascorbic and isoascorbic acid simultaneous determinations by reverse phase ion interaction HPLC. J. Food Sci. 1992, 57, 506–511. [Google Scholar] [CrossRef]
- Vallejo, F.; Tomás-Barberán, F.A.; García-Viguera, C. Potential bioactive compounds in health promotion from broccoli cultivars grown in Spain. J. Sci. Food Agric. 2002, 82, 1293–1297. [Google Scholar] [CrossRef]
- Martínez-Hernández, G.B.; Artés-Hernández, F.; Colares-Souza, F.; Gómez, P.A.; García-Gómez, P.; Artés, F. Innovative cooking techniques for improving the overall quality of a kailan-hybrid broccoli. Food Bioprocess Technol. 2013, 6, 2135–2149. [Google Scholar] [CrossRef]
- Martínez-Hernández, G.B.; Gómez, P.A.; Pradas, I.; Artés, F.; Artés-Hernández, F. Moderate UV-C pretreatment as a quality enhancement tool in fresh-cut Bimi® broccoli. Postharvest Biol. Technol. 2011, 62, 327–337. [Google Scholar] [CrossRef]
- Singleton, V.L.; Rossi, J.A. Colorimetry of total phenolics with phosphomolybdic-phosphotungstic acid reagents. Am. J. Enol. Vitic. 1965, 16, 144–158. [Google Scholar]
- Brand-Williams, W.; Cuvelier, M.E.; Berset, C. Use of a free radical method to evaluate antioxidant activity. LWT Food Sci. Technol. 1995, 28, 25–30. [Google Scholar] [CrossRef]
- Kowalczyk, K.; Mirgos, M.; Baczek, K.; Niedzińska, M.; Gajewski, M. Effect of different growing media in hydroponic culture on the yield and biological quality of lettuce (Lactuca sativa var. capitata). Acta Hortic. 2016, 1142, 105–110. [Google Scholar] [CrossRef]
- Reshma, T.; Sarath, P.S. Standardization of growing media for the hydroponic cultivation of tomato. Int. J. Curr. Microbiol. Appl. Sci. 2017, 6, 626–631. [Google Scholar] [CrossRef]
- Petersen, K.K.; Willumsen, J.; Kaack, K. Composition and taste of tomatoes as affected by increased salinity and different salinity sources. J. Hortic. Sci. Biotechnol. 1998, 73, 205–215. [Google Scholar] [CrossRef]
- Davies, J.N.; Hobson, G.E. The constituents of tomato fruit—The influence of environment, nutrition, and genotype. Crit. Rev. Food Sci. Nutr. 1981, 15, 205–280. [Google Scholar] [CrossRef]
- Dorais, M.; Ehret, D.L.; Papadopoulos, A.P. Tomato (Solanum lycopersicum) health components: From the seed to the consumer. Phytochem. Rev. 2008, 7, 231–250. [Google Scholar] [CrossRef]
- Ho, L.C. The physiological basis for improving tomato fruit quality. Acta Hortic. 1999, 487, 33–40. [Google Scholar] [CrossRef]
- Harker, F.R.; Marsh, K.B.; Young, H.; Murray, S.H.; Gunson, F.A.; Walker, S.B. Sensory interpretation of instrumental measurements 2: Sweet and acid taste of apple fruit. Postharvest Biol. Technol. 2002, 24, 241–250. [Google Scholar] [CrossRef]
- Stevens, M.A.; Kader, A.A.; Albright, M. Potential for increasing tomato flavor via increased sugar and acid content. J. Am. Soc. Hortic. Sci. 1979, 104, 40–42. [Google Scholar]
- Sams, C.E. Preharvest factors affecting postharvest texture. Postharvest Biol. Technol. 1999, 15, 249–254. [Google Scholar] [CrossRef]
- Demarty, M.; Morvan, C.; Thellier, M. Calcium and the cell wall. Plant. Cell Environ. 1984, 7, 441–448. [Google Scholar] [CrossRef]
- Hao, X.; Papadopoulos, A.P. Effects of calcium and magnesium on growth, fruit yield and quality in a fall greenhouse tomato crop grown on rockwool. Can. J. Plant Sci. 2003, 83, 903–912. [Google Scholar]
- Bertin, N.; Génard, M. Tomato quality as influenced by preharvest factors. Sci. Hortic. (Amst.) 2018, 233, 264–276. [Google Scholar] [CrossRef]
- Perveen, R.; Suleria, H.A.R.; Anjum, F.M.; Butt, M.S.; Pasha, I.; Ahmad, S. Tomato (Solanum lycopersicum) carotenoids and lycopenes chemistry; metabolism, absorption, nutrition, and allied health claims—A comprehensive review. Crit. Rev. Food Sci. Nutr. 2015, 55, 919–929. [Google Scholar] [CrossRef]
- Llorente, B.; D’Andrea, L.; Ruiz-Sola, M.A.; Botterweg, E.; Pulido, P.; Andilla, J.; Loza-Alvarez, P.; Rodriguez-Concepcion, M. Tomato fruit carotenoid biosynthesis is adjusted to actual ripening progression by a light-dependent mechanism. Plant J. 2016, 85, 107–119. [Google Scholar] [CrossRef]
- Al-Ajmi, A.; Al-Karaki, G.; Othman, Y. Effect of different substrates on yield and fruit quality of tomato grown in soilless culture. Acta Hortic. 2009, 807, 491–494. [Google Scholar] [CrossRef]
- Lee, S.K.; Kader, A.A. Preharvest and postharvest factors influencing vitamin C content of horticultural crops. Postharvest Biol. Technol. 2000, 20, 207–220. [Google Scholar] [CrossRef]
- Rouphael, Y.; Cardarelli, M.; Bassal, A.; Leonardi, C.; Giuffrida, F.; Colla, G. Vegetable quality as affected by genetic agronomic and environmental factors. J. Food Agric. Environ. 2012, 10, 680–688. [Google Scholar]
- Suvo, T.; Biswas, H.; Jewel, M.; Islam, M.; Khan, M. Impact of substrate on soilless tomato cultivation. Int. J. Agric. Res. Innov. Technol. 2017, 6, 82–86. [Google Scholar] [CrossRef][Green Version]
- EFSA. Scientific opinion on dietary reference values for vitamin C. EFSA J. 2013, 11, 3418. [Google Scholar]
- Slimestad, R.; Verheul, M. Review of flavonoids and other phenolics from fruits of different tomato (Lycopersicon esculentum Mill.) cultivars. J. Sci. Food Agric. 2009, 89, 1255–1270. [Google Scholar] [CrossRef]
- Dannehl, D.; Suhl, J.; Ulrichs, C.; Schmidt, U. Evaluation of substitutes for rock wool as growing substrate for hydroponic tomato production. J. Appl. Bot. Food Q. 2015, 88, 68–77. [Google Scholar]
- Klunklin, W.; Savage, G. Effect on quality characteristics of tomatoes grown under well-watered and drought stress conditions. Foods 2017, 6, 56. [Google Scholar] [CrossRef]
- Falagán, N.; Artes, F.; Gomez, P.A.; Artàes-Hernàandez, F.; Pàerez-Pastor, A.; de la Rosa, J.M.; Aguayo, E. Individual phenolics and enzymatic changes in response to regulated deficit irrigation of extra-early nectarines. J. Am. Soc. Hortic. Sci. 2016, 141, 222–232. [Google Scholar] [CrossRef]
- Nasrabadi, M.; Ramezanian, A.; Eshghi, S.; Kamgar-Haghighi, A.A.; Vazifeshenas, M.R.; Valero, D. Biochemical changes and winter hardiness in pomegranate (Punica granatum L.) trees grown under deficit irrigation. Sci. Hortic. (Amst.) 2019, 251, 39–47. [Google Scholar] [CrossRef]
- Spencer, J.P.E.; Kuhnle, G.G.C.; Hajirezaei, M.; Mock, H.P.; Sonnewald, U.; Rice-Evans, C. The genotypic variation of the antioxidant potential of different tomato varieties. Free Radic. Res. 2005, 39, 1005–1016. [Google Scholar] [CrossRef]
© 2020 by the authors. Licensee MDPI, Basel, Switzerland. This article is an open access article distributed under the terms and conditions of the Creative Commons Attribution (CC BY) license (http://creativecommons.org/licenses/by/4.0/).






