Abstract
Transparent exopolymer particles (TEPs) are defined as acidic polysaccharide particles and they are influenced by various biotic and abiotic processes that play significant roles in marine biogeochemical cycles. However, little information on their monthly variation, relationship and contribution to particulate organic carbon (POC) is currently available particularly in coastal regions. In this study, the water samples were collected monthly to determine TEP concentrations and POC concentrations in a southern coastal region of Korea, Jaran Bay from April 2016 to March 2017. The TEP concentrations varied from 26.5 to 1695.4 μg Xeq L−1 (mean ± standard deviation (S.D.) = 215.9 ± 172.2 μg Xeq L−1) and POC concentrations ranged from 109.9 to 1201.9 μg L−1 (mean ± S.D. = 399.1 ± 186.5 μg L−1) during our observation period. Based on the 13C stable isotope tracer technique, monthly carbon uptake rates of phytoplankton ranged from 3.0 to 274.1 mg C m−2 h−1 (mean ± S.D. = 34.5 ± 45.2 mg C m−2 h−1). The cross-correlation analysis showed a lag-time of 2 months between chlorophyll a and TEP concentrations (r = 0.86, p < 0.01; Pearson’s correlation coefficient). In addition, we observed a 2 month lag-phased correlation between TEP concentrations and primary production (r = 0.73, p < 0.05; Pearson’s correlation coefficient). In Jaran Bay, the TEP contribution was as high as 78.0% of the POC when the TEP-C content was high and declined to 2.4% of the POC when it was low. These results showed that TEP-C could be a significant contributor to the POC pool in Jaran Bay.
1. Introduction
Transparent exopolymer particles (TEPs) are defined as carbon-rich gel particles, mainly consisting of acidic polysaccharides, ubiquitous in the marine environment [1,2,3]. TEPs are formed naturally from dissolved precursor substances, which contribute considerably to the colloidal dissolved organic matter (DOM) pool in aquatic systems [2]. TEP formation is very important as the major pathway through which DOM is converted to particulate organic matter (POM) [2]. These two different forms of organic matter have specific characteristics and specific roles in the chemistry and biology of the ocean. TEPs are a significant component of particulate organic carbon (POC) in the ocean, with an approximate size range of 0.4 to 100 μm [4,5,6]. The presence of TEPs is influenced by environmental factors such as temperature, salinity stratification, nutrient conditions, and biological processes that include phytoplankton and bacteria production [2,4,7,8,9]. Generally, phytoplankton and bacteria have been considered the major producers of TEPs and precursors in aquatic ecosystems [2,3,10]. TEPs and precursors that produced by these aquatic organisms cannot easily be predicted from their natural abundance because phytoplankton and bacteria do not produce TEPs or precursors equally [2]. For instance, the formation of TEPs by bacteria varies with species composition and growth conditions. Some phytoplankton species produce TEPs during growth, stationary phase and senescence [3]. According to Passow [2], TEP production by phytoplankton varies as a function of the conditions related to light, growth rates, and major or minor nutrient depletion. Therefore, the production of TEPs and precursors depends on the physiological status and growth conditions of the individual organisms.
In recent years, TEPs have received considerable attention in terms of their influence on carbon cycling [5,11,12,13,14,15,16,17]. Given their sticky character, TEPs increase particle aggregation forming marine snow and enhancing carbon export to deep waters in pelagic/oceanic ecosystems [11,18]. In coastal regions, coinciding with high biological productivity and phytoplankton biomass, TEP concentrations are also found to be high [10,12,19,20,21,22]. The half-lives of TEPs observed in a coastal environment are less than 1 day when large marine snow aggregates are formed, whereas they are more than 2 days during the period without large aggregations [23]. Although TEPs play an important role in carbon cycling and budget in coastal seas [24], little information has been reported on them in coastal seas to date.
Jaran Bay, located on the coast of the South Sea in Korea, is an area of productive bivalve farming in Korea [25,26]. There is no doubt that the roles of TEPs could be significant, but nothing has been studied in Jaran Bay. Thus, the present study aimed to (1) investigate the monthly variations in TEP concentrations for one year for the first time in Jaran Bay on the southern coast of Korea, (2) compare TEP with POC stocks to understand how much TEPs contribute to POC as a kind of carbon budget and (3) determine the relationship between the phytoplankton (biomass and productivity) and TEPs in coastal environmental conditions in Jaran Bay.
2. Materials and Methods
The study site was located in Jaran Bay on the southern coast of Korea, which borders the South Sea (Figure 1). Water samples were obtained at seven different stations in Jaran Bay monthly from April 2016 to March 2017 (Figure 1). The study area has a shallow area within 20 m depth. Using a 5 L Niskin water sampler (General Oceanics Inc., Miami, FL, USA), water samples were collected from two in-situ different light depths (100 and 1%) to include the depth range of the euphotic zone. The light depths were calculated by a Secchi disk using a vertical attenuation coefficient (Kd = 1.7/Secchi depth) from Poole and Atkins [27]. The water temperature and salinity were measured with a YSI-30 (YSI Incorporated, Yellow Spring, OH, USA). The large zooplankton were removed by 333 μm mesh when the water samples were collected.
Figure 1.
Study area map with the sampling stations in Jaran Bay, Korea.
The chlorophyll a concentration was determined by filtering 200 mL of seawater on 0.7 μm pore sized Whatman glass fiber filters (GF/F; 25 mm, Whatman, Maidstone, UK) and the filters were kept frozen until analysis. Chlorophyll a pigments were extracted from the filters with 10 mL acetone (90% v:v) in the dark at 4 °C for 24 h and fluorescence was measured with a Turner Designs model 10-AU fluorometer (Turner Designs, San Jose, CA, USA). The method for the chlorophyll a calculation followed that of Parson et al. [28].
TEP concentrations were estimated following the method of Passow and Alldredge [29]. Fifty milliliters of water was filtered onto 0.4 μm pore sized Nuclepore polycarbonate membrane filters (ADVANTEC; 25 mm, Toyo Roshi Kaisha, Tokyo, Japan) at a low and constant vacuum (<10 cm Hg), because the live cells could be damaged during strong vacuum filtration [29]. The filters were stained with 0.5 mL of precalibrated (with a xanthan gum solution) Alcian Blue (8GX, Sigma) for 5 s, rinsed with ultrapure water, frozen immediately and returned to the laboratory at Pusan National University in South Korea for further analysis. The filters for TEP concentration were soaked in 80% sulfuric acid for 3 h, and absorbance was read at 787 nm in a spectrophotometer (Hitachi-UH 5300, Hitachi, Tokyo, Japan). TEPs were quantified by a standard curve prepared with xanthan gum particles, as described in Passow and Alldredge [29]. The detection limit of the measurements was 0.025 absorbance units and the coefficient of variation of the replicates was 12.4%. Three blanks (empty filters stained with Alcian Blue) were also prepared with every batch of filtered samples every day. TEP concentration was expressed in terms of xanthan gum equivalents (μg Xeq L−1). Based on the conversion factor ranging from 0.51 to 0.88 μg Xeq L−1 for a comparison of TEP with POC stocks [12,21], we used the lowest conversion factor to estimate TEP-C conservatively, since it corresponds to diatom-dominated ecosystems [12]. The conversion factor of 0.51 μg Xeq L−1 was used to convert from micrograms of xanthan gum to micrograms of carbon (TEP-C). The water samples (300 mL) were obtained from 100% and 1% light depths and filtered on pre-combusted (4 h, 450 °C) GF/F filters (25 mm) for POC concentrations. The filters were immediately frozen at −20 °C until further mass spectrometric analysis within 3 months.
The estimation of the carbon uptake rates was performed using 13C stable isotope labeling experiments. Seawater samples at 6 different light depths (100, 50, 30, 12, 5, and 1%) determined by a Secchi disk were transferred from the Niskin bottles to 1 L polycarbonate incubation bottles (NALGENE, Rochester, NY, USA), wrapped with neutral density light filters (LEE filters, Andover, England), to match the desired light levels. Then, the water samples were inoculated with a labeled carbon (NaH13CO3) solution, and the bottles were incubated in large polycarbonate incubators under natural light conditions for at least 4 h, or up to 6 h when it was cloudy. To maintain in situ environments, ambient surface seawater was continuously run through the incubators during incubation. The 4–6 h incubations were terminated by filtration. The incubated waters were well mixed, and the measured volume (0.3 L) was filtered through precombusted (450 °C) GF/F filters (25 mm).
All filter samples for POC concentration and the abundance of 13C/15N were kept frozen (−20 °C) until the mass spectrometric analysis in a Finnigan Delta+XL mass spectrometer in the stable isotope laboratory (University of Alaska Fairbanks, Fairbanks, AL, USA) after overnight HCl fuming to remove carbonate. The measurement uncertainties for δ13C and δ15N were ± 0.06‰ and ± 0.02‰, respectively. Finally, the carbon uptake rates were calculated based on Hama et al. [30].
Statistical tests were performed using the statistical software IBM SPSS Statistics (t-test, one-way ANOVA and Pearson’s correlation coefficient).
3. Results
The monthly average water temperature and salinity were 6.4–28.7 °C and 28.7–34.0 during our sampling period, respectively (Table 1). The water temperature substantially varied, whereas salinity showed a relatively lower variation. The temporal variations in temperature and salinity showed patterns typical of those in mid-latitude regions. Water transparency was measured using Secchi disk depths, ranging between 2 and 10 m in Jaran Bay (Table 1). During the study period, the average euphotic depth was 8 ± 2 m, ranging from 5 to 18 m.
Table 1.
Station-averaged environmental variables observed at the sampling stations in Jaran Bay. N.D. means no data.
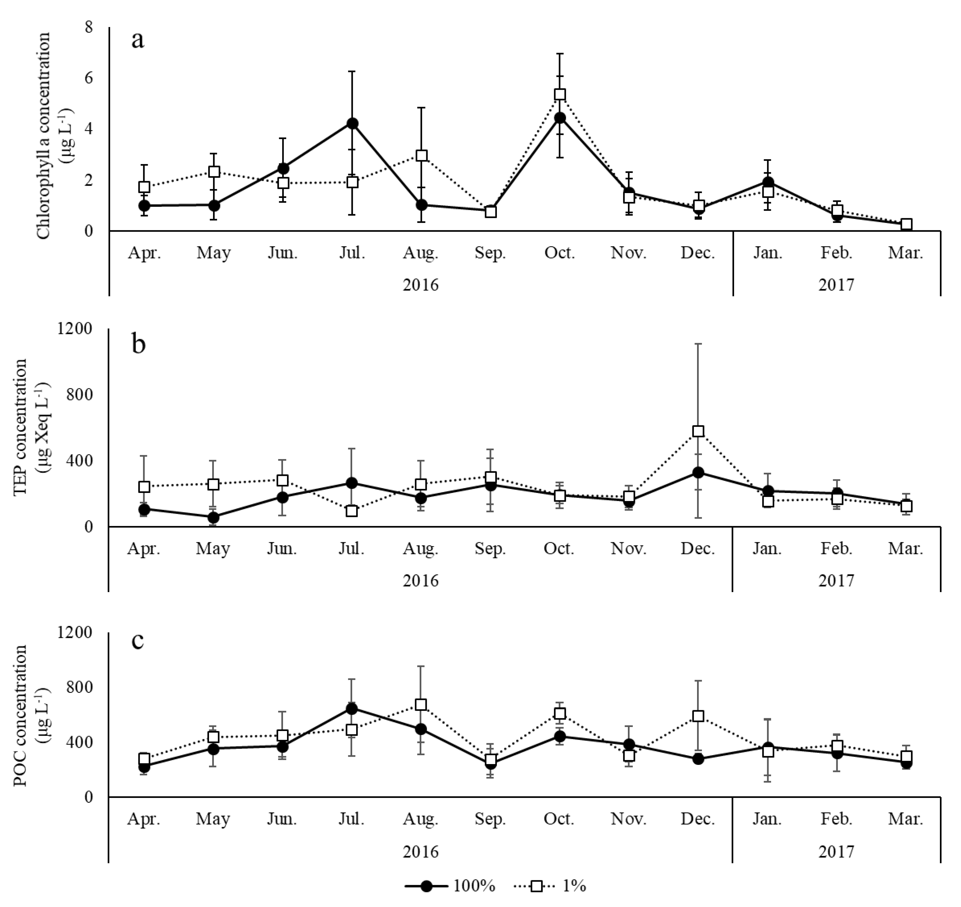
The chlorophyll a concentration at the euphotic depth ranged from 0.2 to 8.4 μg L−1 (mean ± S.D. = 1.8 ± 1.6 μg L−1) in this study (Figure 2a). The chlorophyll a concentration was averaged from the two light depths at each station, because they were not significantly different (one-way ANOVA test, p > 0.05). The monthly chlorophyll a concentration averaged from the two light depths at the 7 stations ranged from 0.3 ± 0.1 μg L−1 in March 2017 to 4.9 ± 1.6 μg L−1 in October 2016 (Figure 2a). Distinct temporal variations in chlorophyll a concentrations at 100% and 1% light depths were observed in this study. Two bloom peaks were found during the study period. The first bloom was initiated at the 100% light depth in July 2016, followed by the bloom at the 1% light depth in August 2016. The second blooms were at both the 100% and 1% light depths in October 2016, which were relatively higher than the former blooms (Figure 2a).
Figure 2.
Monthly variations in the (a) transparent exopolymer particles (TEP) (μg Xeq L−1), (b) chlorophyll a (μg L−1) and (c) particulate organic carbon (POC) (μg L−1) concentrations at the 100% and 1% light depths averaged from 7 different stations in Jaran Bay.
The overall TEP concentrations ranged from 26.5 to 1695.4 μg Xeq L−1 (mean ± S.D. = 215.9 ± 172.2 μg Xeq L−1) in Jaran Bay from April 2016 to March 2017 in this study (Figure 2b). The TEP concentrations from the two light depths (100 and 1%) were different during the observation period (one-way ANOVA test, p < 0.05); the mean concentrations of TEP from the two light depths were 192.0 ± 119.3 μg Xeq L−1 and 239.9 ± 210.4 μg Xeq L−1, respectively. The highest TEP concentrations monthly averaged from the 7 stations were observed in December 2016 (100% = 332.1 ± 105.9 μg Xeq L−1; 1% = 581.9 ± 527.4 μg Xeq L−1). After the winter peak in December, TEP concentrations decreased rapidly throughout the month (Figure 2b). TEP-C values were calculated by multiplying the TEP concentrations by the lowest conversion factor (0.51 μg Xeq L−1), ranging from 13.5 to 864.7 μg C L−1 (mean ± S.D. = 110.1 ± 87.8 μg C L−1) during the study period. The average values of TEP-C at the two light depths (100 and 1%) were 97.9 ± 60.8 μg C L−1 and 122.3 ± 107.3 μg C L−1, respectively.
POC concentrations ranged from 109.9 to 1201.9 μg L−1, with an average of 399.1 ± 186.5 μg L−1 in this study (Figure 2c). The mean concentration of POC was statistically higher at the 1% light depth than at the 100% light depth (one-way ANOVA test, p < 0.05). The average concentrations of POC were 368.0 ± 167.7 μg L−1 at the 100% light depth and 430.2 ± 199.8 μg L−1 at the 1% light depth. In this study, the highest POC concentrations at the euphotic depth were observed in the summer season (100% light depth: July 2016; 1% light depth: August 2016) in Jaran Bay (Figure 2c). Monthly TEP, chlorophyll a and POC concentrations were not significantly correlated (Pearson’s correlation coefficient).
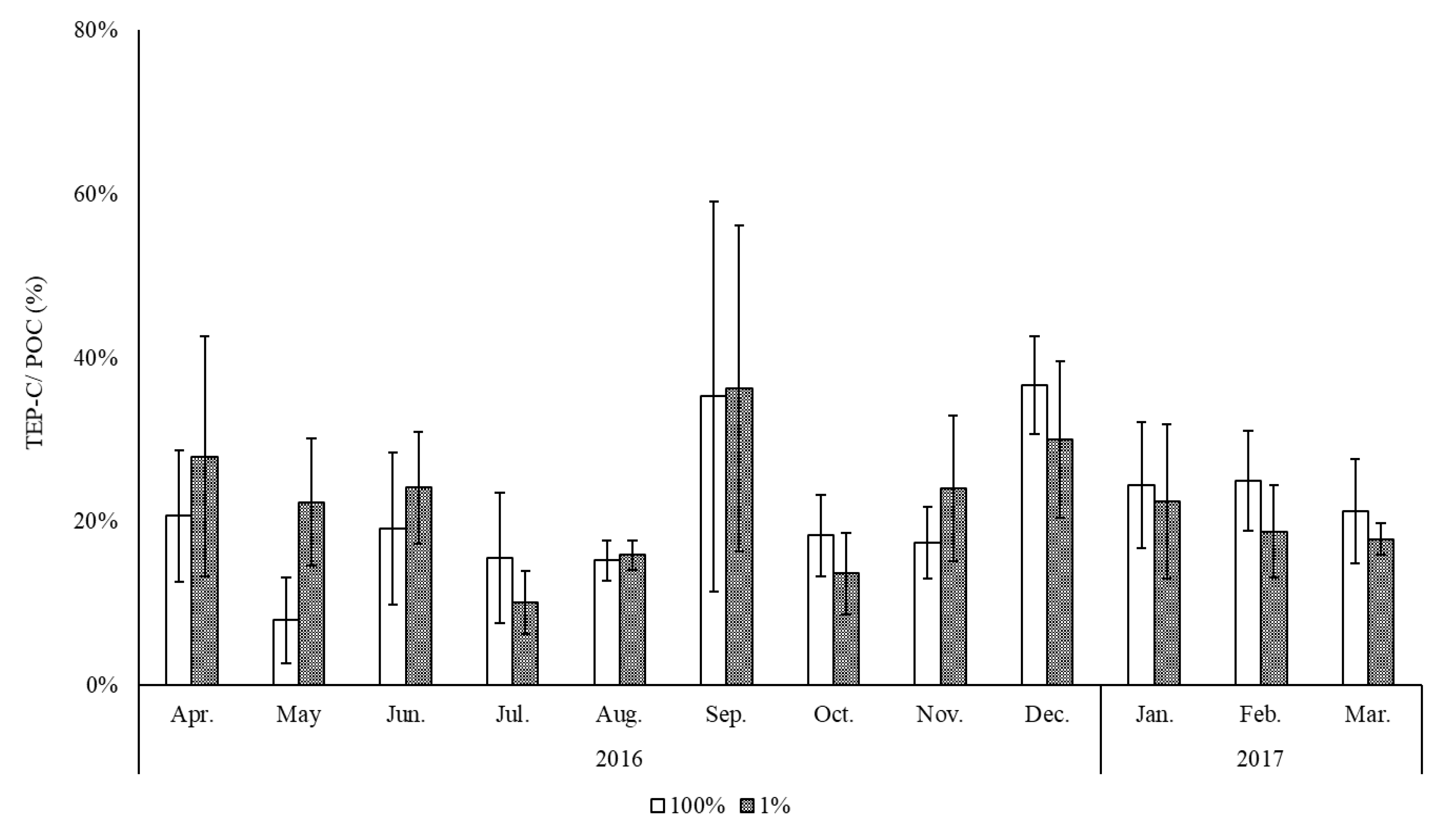
The average TEP-C contributions to POC were 21.4% ± 11.7% at the 100% light depth and 22.0% ± 11.2% at the 1% light depth (Figure 3). The TEP-C contributions to POC were not constant throughout the different months in this study (one-way ANOVA test, p < 0.05). The monthly average contribution of TEP-C to POC was relatively high in September (100% light depth: 35.3 ± 23.8%; 1% light depth: 36.2% ± 19.9%). In contrast, relatively lower TEP-C contributions to POC were found in May (12.8% ± 6.7%; 100% light depth) and July (10.1% ± 3.9%; 1% light depth) (Figure 3).
Figure 3.
Monthly TEP-C contributions to POC at different light depths (100 and 1%) in Jaran Bay.
The monthly mean specific and absolute carbon uptake rates of the phytoplankton in the water column during this study are presented in Table 2. The specific carbon uptake rates were 0.001–0.112 h−1 at the 100% light depth and 0–0.004 h−1 at the 1% light depth. The absolute carbon uptake rates were 0.2–137.4 μg C L−1 h−1 and 0.0–1.3 μg C L−1 h−1 at the 100% light depth and 1% light depth, respectively (Table 2). The hourly specific and absolute carbon uptake rates were relatively higher in the surface waters than at other light depths. The monthly carbon uptake rates of the phytoplankton integrated from the surface to a 1% light depth (primary production of phytoplankton from the euphotic layer) ranged from 3.0 to 274.1 mg C m−2 h−1 (mean ± S.D. = 34.5 ± 45.2 mg C m−2 h−1). The highest monthly primary production was recorded in the early summer (mean ± S.D. = 115.4 ± 97.3 mg C m−2 h−1; July 2016) and the lowest value was measured in the summer (mean ± S.D. = 5.7 ± 2.3 mg C m−2 h−1; August 2016) (Table 2).
Table 2.
Station-averaged specific and absolute carbon uptake rates and primary production of phytoplankton at the 100% and 1% light depths in Jaran Bay.
4. Discussion
The TEP concentrations measured in Jaran Bay during this study ranging from 26.5 to 1695.4 μg Xeq L−1 generally fall within the range observed in other studies from various coastal seas and bays to open oceans around the world (Table 3). However, our TEP concentrations were relatively higher than those observed in open ocean environments [6,31,32,33]. In general, TEP concentrations are higher in coastal waters than in adjacent open ocean waters [2,34]. Since TEPs are mainly formed by phytoplankton, the general pattern of higher TEP concentrations in coastal oceans are closely related to the phytoplankton biomass [18]. Similarly, the relatively higher chlorophyll a concentration in this study (0.3 to 4.9 μg L−1) could be explained by the higher TEP concentrations compared to those of the open oceans (Figure 2a) [6,9]. Previous studies have shown that TEP production rates are largely involved in the physiological status of phytoplankton [2,10,23]. To investigate this relationship in this study, the specific and absolute carbon uptake rates of phytoplankton were used for their physiological conditions during our research period. Generally, the monthly mean specific and absolute carbon uptake rates were statistically higher at the 100% light depth than at the 1% light depth (one-way ANOVA test, p < 0.05). However, neither specific nor absolute carbon uptake rates were significantly correlated with the TEP concentrations in our study. One of the reasons for the higher TEP concentrations observed in our study compared with those in previous studies could be related to the phytoplankton community. Previous studies have reported that extracellular organic matter created from phytoplankton serves as a precursor for TEPs [18,35,36]. In particular, TEPs are considerably correlated with the abundance of diatoms, which are considered major producers of TEPs [2,23]. In this study, we found relatively high chlorophyll a concentrations and carbon uptake rates of phytoplankton. In addition, the dominant species were diatoms during this study based on the relative contributions of the major phytoplankton classes in a parallel study (unpublished data). The monthly contributions of diatoms to the total phytoplankton classes ranged from 19.8% to 96.7%, with an average of 66.4% ± 24.3% in Jaran Bay (unpublished data) [26,37]. It was also reported that the predominant species are diatoms in this area. Specific to these diatom-dominated ecosystems, the overall dominant macromolecular compositions of POC are carbohydrates (51.8 ± 8.7%) in Jaran Bay [38]. The carbohydrate-dominant phytoplankton could be a potential reason for the higher TEP concentrations observed in this study, since TEPs can be produced from dissolved carbohydrate polymers exuded by phytoplankton [2]. Another potential reason for the higher TEP concentration in this study is that large shellfish aquaculture farms were intensely implemented in our study areas. In coastal waters, mucus nets of filter feeders and anthropogenic sources, such as river inputs (urban-industrial release) and aquaculture farms (macroalgae and shellfish) could be major sources of TEPs [39,40]. There are no major river inputs into Jaran Bay, so no significant influence of urban-industrial release would be expected. Based on previous studies, cation availability might be one such important controlling factor on the TEP formation system [34]. The formation and sustenance of TEP are dependent on cation availability, as cations (particularly Ca2+ and Mg2+) stabilize the structural integrity of TEP through cation bonding [34,41]. In Jaran Bay, cation availability (Ca2+) might be high because of intensive shellfish (oysters and scallops) aquaculture conditions. Jaran Bay is a relatively shallow coastal bay with an average water depth of 10 m, which might sustain a high concentration of cations from the relatively easy resuspension of biodeposition on the top of the sediments underneath aquaculture farms. In fact, oyster soft tissues are generally reported for high mineral elements such as Ca2+ and Mg2+ [42]. However, this should be verified in further studies.
Table 3.
Comparison of the TEP concentrations between this and previous studies from various regions.
During the study period, the TEP/chlorophyll a ratio value ranged from 8 to 1233 μg Xeq μg Chl a−1, averaging 221 ± 217 μg Xeq μg Chl a−1. High levels of variability in TEP/chlorophyll a ratio values were observed in this study. These results were similar to those in former studies. The mean TEP/chlorophyll a ratio values were 206.8 and 281.5 in Otsuchi Bay and the Gulf of Cadiz, respectively [43,44,45].
TEPs often make up a large fraction of the POC in the water column [4]. Although TEPs play a key role in the sequestration of excess carbon to deeper waters in open oceans, TEP-C is also an important part in understanding the carbon budget as an additional carbon source in coastal marine food webs [2]. Previous studies have reported significant relationships between TEP and POC concentrations [9,17]. However, no significant correlation was found between TEP and POC concentrations in this study, which is similar to the result of Ortega-Retuerta et al. [22] in the coastal NW Mediterranean Sea. Considering the TEP-C and POC values reported herein, we estimated the TEP-C contribution to the POC pool in Jaran Bay during our study period. In the present study, we used the lowest conversion factor (0.51 μg Xeq L−1), which corresponds to diatom-dominated phytoplankton ecosystems, to estimate TEP-C. The same conversion factor has been used to investigate the TEP-C contribution to the total organic carbon pool in the upper surface water column in open deep oceans [6,21]. In the present study, the estimated TEP-C contribution to the total POC ranged from 2.4 to 67.3%, with an average of 21.7% ± 11.4% (Table 4). In comparison, the TEP-C contribution to the total POC based on the highest conversion factor (0.88 μg Xeq L−1) ranged from 4.1% to 78.0% (31.4% ± 13.8%). The contribution of TEP-C to the total POC in Jaran Bay during our research period was within the range observed in previous studies in different bays, ranging from 7% to 32%. Furthermore, Bhaskar and Bhosle [46] reported that TEP-C could constitute 7% of the total POC in Dona Paula Bay, and Malpezzi et al. [4] found that TEP-C averaged 32% of the total POC in the Chesapeake Bay. In contrast to the values in bays, the TEP-C contributions can be higher in relatively deeper environmental conditions [9,17,23]. Moreover, Parinos et al. [17] observed that TEP-C represented 70% of the POC, on average, in the NE Aegean Sea. Notably, Zamanillo et al. [9] reported that the monthly mean TEP contribution to POC was 73% of the POC pool in the southwestern Atlantic Shelf, and Ortega-Retuerta et al. [22] found that TEP-C averaged 77% of the POC in coastal NW Mediterranean Sea in early summer. Higher TEP concentrations, as discussed previously, but lower TEP-C contributions to the total POC pools, indicate relatively more POC-based carbon available under coastal or bay environmental conditions, compared to that under open ocean environmental conditions. TEP production and formation rates are largely dependent on physiological conditions, especially nutrient stress, of phytoplankton and bacteria [23]. In general, relatively better phytoplankton nutrient conditions in bay systems than in deeper ocean could be a major reason for the lower contribution of TEP-C to the total POC. Another potential explanation might be different degrees of overestimation from different pore sized filters for TEP and POC measurements. Typically, 0.4 μm pore-sized filters are used for TEP concentration, while 0.7 μm pore-sized filters are used for POC. Therefore, the TEP-C contribution to the total POC could potentially be overestimated by methodological sampling approaches. However, TEPs smaller than 0.7 μm might be more abundant in open ocean conditions than in coastal or bay environments with active TEP formation conditions, as discussed previously, which could result in increased overestimations of TEP-C in open oceans. Verification for this concept could be conducted in future studies.
Table 4.
Comparison of the TEP-C contribution to the POC (%) between this and previous studies.
In this study, monthly TEP and chlorophyll a concentrations were not significantly coupled (Figure 2a,b). Previous studies reported strong interrelationships between TEP and chlorophyll a concentrations for some time series [17,24,53,54]. In contrast, no strong relationships were found [46,55], or some correlations were observed for certain periods of the year [22,56]. Ortega-Retuerta et al. [22] observed a 4-month lag phase between chlorophyll a and TEP concentration peaks in the coastal NW Mediterranean Sea (r = 0.48, p < 0.04). In the present study, the cross-correlation analysis indicated a lag-time of two months between chlorophyll a and TEP concentration peaks to a significant degree (r = 0.86, p < 0.01; Pearson’s correlation coefficient) (Figure 4a). Moreover, we observed a two-month lag-phased correlation between TEP concentrations and primary production (r = 0.73, p < 0.05; Pearson’s correlation coefficient) (Figure 4b). Previous studies reported that the lag-phase between chlorophyll a and TEP concentration peaks could be caused by an enhancement in the TEP production rate under nutrient-limiting conditions of phytoplankton after phytoplankton blooms [23]. Based on the concentrations and molar ratios of nutrients [57,58,59]; no major nutrient limiting conditions were found in this study area except in May 2016 [26]. In coastal areas, TEP production and removal/consumption processes are influenced by various biotic factors (e.g., phytoplankton biomass and community structure, growth, grazing, and heterotrophy) and abiotic (e.g., stratification, current, tidal, land run-off, and sorption to sediments) processes [43,46]. In addition, nutrient limitations to phytoplankton growth enhance TEP production rates [23,60]. Therefore, the lag-phase patterns between chlorophyll a and TEP concentration and primary production and TEP concentration could not be controlled by any single factor.
Figure 4.
Lag-phased correlations between (a) chlorophyll a and TEP concentration and (b) primary production and TEP concentration.
5. Conclusions
This study reported the spatiotemporal dynamics and relative POC contributions of TEP in Jaran Bay, South Korea, based on monthly field measurement data. This study clearly showed that the large monthly variation in TEP is mainly driven by phytoplankton biomass, such as chlorophyll a concentration and their photosynthetic productivity, with 2-month lag phases in Jaran Bay. Although the TEP carbon contribution to the POC pool can be as high as up to approximately 70% at some sampling sites, the overall TEP contribution was 21.7% (± 11.4%) in Jaran Bay, which is consistent with the results of previous studies. Generally, high TEP concentrations but relatively lower TEP carbon contributions in coastal or bay environments suggest that POC-based carbon could be more available in shallow waters than in deep open oceans. However, some of the different sampling methods that we discussed should not be ignored because of the potential possibilities for the discrepancy between TEP concentrations and their carbon contributions. In this study, relatively higher TEP concentrations were observed in Jaran Bay than in other bays. This could be due to the diatom-dominant coastal environments in Jaran Bay, with overall monthly contributions of diatoms > 60% based on a parallel study. The relatively higher TEP concentration in Jaran Bay could be due to the many shellfish aquaculture farms with potentially high cation availability (Ca2+), which should be verified in further studies. This result contributes to a comprehensive understanding of the seasonal dynamics of TEPs and their potential roles in the organic carbon pool in coastal or bay environments. In particular, this study contributes to providing the background for using TEPs to evaluate phytoplankton responses to ongoing changes in coastal ecosystems associated with global climate change.
Author Contributions
Conceptualization, J.H.L., W.C.L., H.C.K. and S.H.L.; Data curation, J.H.L.; Formal analysis, H.K.J.; Investigation, J.H.L., N.J., J.J.K., D.L. and K.K.; Methodology, H.K.J.; Validation, J.H.L., W.C.L. and H.C.K.; Visualization, J.H.L.; Writing—original draft, J.H.L.; Writing—review and editing, J.H.L., N.J. and S.H.L. All authors have read and agreed to the published version of the manuscript.
Funding
This research was supported by the grant (R2020050) from the National Institute of Fisheries Science (NIFS) and “Improvements of ocean prediction accuracy using numerical modeling and artificial intelligence technology”, funded by the Ministry of Oceans and Fisheries, Republic of Korea.
Acknowledgments
We thank the anonymous reviewers who greatly improved an earlier version of manuscript.
Conflicts of Interest
The authors declare no conflict of interest.
References
- Alldredge, A.L.; Passow, U.; Logan, B.E. The abundance and significance of a class of large, transparent organic particles in the ocean. Deep Sea Res. Part I 1993, 40, 1131–1140. [Google Scholar] [CrossRef]
- Passow, U. Transparent exopolymer particles (TEP) in aquatic environments. Prog. Oceanogr. 2002, 55, 287–333. [Google Scholar] [CrossRef]
- Ortega-Retuerta, E.; Reche, I.; Pulido-Villena, E.; Agustí, S.; Duarte, C.M. Uncoupled distributions of transparent exopolymer particles (TEP) and dissolved carbodydrates in the Southern Ocean. Mar. Chem. 2009, 115, 59–65. [Google Scholar] [CrossRef]
- Malpezzi, M.A.; Sanford, L.P.; Crump, B.C. Abundance and distribution of transparent exopolymer particles in the estuarine turbidity maximum of Chesapeake Bay. Mar. Ecol. Prog. Ser. 2013, 486, 23–35. [Google Scholar] [CrossRef]
- Mari, X.; Passow, U.; Migon, C.; Burd, A.B.; Legendre, L. Transparent exopolymer particles: Effects on carbon cycling in the ocean. Prog. Oceanogr. 2017, 151, 13–37. [Google Scholar] [CrossRef]
- Yamada, Y.; Yokokawa, T.; Uchimiya, M.; Nishino, S.; Fukuda, H.; Ogawa, H.; Nagata, T. Transparent exopolymer particles (TEP) in the deep oceaen: Full-depth distribution patterns and contribution to the organic carbon pool. Mar. Ecol. Prog. Ser. 2017, 583, 81–93. [Google Scholar] [CrossRef]
- Precali, R.; Giani, M.; Marini, M.; Grilli, F.; Ferrari, C.R.; Pečar, O.; Paschinic, E. Mucilaginous aggregates in the northern Adriatic in the period 1999–2002: Typology and distribution. Sci. Total Environ. 2005, 353, 10–23. [Google Scholar] [CrossRef]
- Beauvais, S.; Pedrotti, M.L.; Egge, J.; Iversen, K.; Marrasé, C. Effects of turbulence on TEP dynamics under contrasting nutrient conditions: Implications for aggregation and sedimentation processes. Mar. Ecol. Prog. Ser. 2006, 323, 47–57. [Google Scholar] [CrossRef]
- Zamanillo, M.; Ortega-Retuerta, E.; Nunes, S.; Rodríguez-Ros, P.; DalľOsto, M.; Estrada, M.; Sala, M.M.; Simó, R. Main drivers of transparent exopolymer particle distribution across the surface Atlantic Ocean. Biogeosciences 2019, 16, 733–749. [Google Scholar] [CrossRef]
- Passow, U.; Alldredge, A.L. Distribution, size and bacterial colonization of transparent exopolymer particles (TEP) in the ocean. Mar. Ecol. Prog. Ser. 1994, 113, 185–198. [Google Scholar] [CrossRef]
- Passow, U.; Shipe, R.F.; Murray, A.; Pak, D.K.; Brzezinski, M.A.; Alldredge, A.L. The origin of transparent exopolymer particles (TEP) and their role in the sedimentation of particulate matter. Cont. Shelf Res. 2001, 21, 327–346. [Google Scholar] [CrossRef]
- Engel, A.; Passow, U. Carbon and nitrogen content of transparent exopolymer particles (TEP) in relation to their Alcian Blue adsorption. Mar. Ecol. Prog. Ser. 2001, 219, 1–10. [Google Scholar] [CrossRef]
- Mari, X.; Beauvais, S.; Lemée, R.; Pedotti, M.L. Non-Redfield C:N ratio of transparent exopolymetric particles in the northwestern Mediterranean Sea. Limnol. Oceanogr. 2001, 46, 1831–1836. [Google Scholar] [CrossRef]
- Engel, A.; Thoms, S.; Riebesell, U.; Rochelle-Newall, E.; Zondervan, I. Polysaccharide aggregation as a potential sink of marine dissolved organic carbon. Nature 2004, 428, 929–932. [Google Scholar] [CrossRef]
- De La Rocha, C.L.; Nowald, N.; Passow, U. Interactions between diatom aggregates, minerals, particulate organic carbon, and dissolved organic matter: Further implications for the ballast hypothesis. Glob. Biogeochem. Cycles 2008, 22. [Google Scholar] [CrossRef]
- Gogou, A.; Repeta, D.J. Particulate-dissolved transformations as a sink for semi-labile dissolved organic matter: Chemical characterization of high molecular weight dissolved and surface-active organic matter in seawater and in diatom cultures. Mar. Chem. 2010, 121, 215–223. [Google Scholar] [CrossRef]
- Parinos, C.; Gogou, A.; Krasakopoulou, E.; Lagaria, A.; Giannakourou, A.; Karageogis, A.P.; Psarra, S. Transparent Exopolymer Particles (TEP) in the NE Aegean Sea frontal area: Seasonal dynamics under the influence of Black Sea water. Cont. Shelf Res. 2017, 149, 112–123. [Google Scholar] [CrossRef]
- Passow, U.; Alldredge, A.L.; Logan, B.E. The role of particulate carbohydrate exudates in the flocculation of diatom blooms. Deep Sea Res. Part I 1994, 41, 335–357. [Google Scholar] [CrossRef]
- Klein, C.; Claquin, P.; Pannard, A.; Napoléon, C.; Le Roy, B.; Véron, B. Dynamic of soluble extracellular polymeric substances and transparent exopolymer particle pools in coastal ecosystems. Mar. Ecol. Prog. Ser. 2011, 427, 13–27. [Google Scholar] [CrossRef][Green Version]
- Sun, C.C.; Wang, Y.S.; Li, Q.P.; Yue, W.Z.; Wang, Y.T.; Sun, F.L.; Peng, Y.L. Distribution characteristics of transparent exopolymer particles in the Pearl River estuary, China. J. Geophys. Res. 2012, 117. [Google Scholar] [CrossRef]
- Jennings, M.K.; Passow, U.; Wozniak, A.S.; Hansell, D.A. Distribution of transparent exopolymer particles (TEP) asross an organic carbon gradient in the western North Atlantic Ocean. Mar. Chem. 2017, 190, 1–12. [Google Scholar] [CrossRef]
- Ortega-Retuerta, E.; Marrasé, C.; Muñoz-Fernández, A.; Sala, M.M.; Simó, R.; Gasol, J.M. Seasonal dynamics of transparent exopolymer particles (TEP) and their drivers in the coastal NW Mediterranean Sea. Sci. Total Environ. 2018, 631, 180–189. [Google Scholar] [CrossRef] [PubMed]
- Logan, B.E.; Passow, U.; Alldredge, A.L.; Grossart, H.P.; Simon, M. Rapid formation and sedimentation of large aggregates is predictable from coagulation rates (half-lives) of transparent exopolymer particles (TEP). Deep-Sea Res. Part II 1995, 42, 203–214. [Google Scholar] [CrossRef]
- Beauvais, S.; Pedrotti, M.L.; Villa, E.; Lemée, R. Transparent exopolymer particle (TEP) dynamics in relation to trophic and hydrological conditions in the NW Mediterranean Sea. Mar. Ecol. Prog. Ser. 2003, 262, 91–109. [Google Scholar] [CrossRef]
- Cho, C.H.; Park, K. Eutrophication of bottom mud in shellfish farms, the Goseong-Jaran Bay. Korean J. Fish. Aquat. Sci. 1983, 16, 260–264. [Google Scholar]
- Lee, J.H.; Kim, H.C.; Lee, T.; Lee, W.C.; Kang, J.J.; Jo, N.; Lee, D.; Kim, K.; Min, J.; Kang, S.; et al. Monthly variations in the intracellular nutrient pools of phytoplankton in Jaran Bay, Korea. J. Coast. Res. 2018, 85, 331–335. [Google Scholar] [CrossRef]
- Poole, H.H.; Atkins, R.G. Photo-electric Measurements of Submarine Illumination throughout the Year. J. Mar. Biol. Assoc. U. K. 1929, 16, 297–324. [Google Scholar] [CrossRef]
- Parsons, T.R.; Maita, Y.; Lalli, C.M. A Manual of Biological and Chemical Methods for Seawater Analysis; Pergamon Press: Oxford, UK, 1984. [Google Scholar]
- Passow, U.; Alldredge, A.L. A dye-binding assay for the spectrophotometric measurement of transparent exopolymer particles (TEP). Limnol. Oceanogr. 1995, 40, 1326–1335. [Google Scholar] [CrossRef]
- Hama, T.; Miyazaki, T.; Ogawa, Y.; Iwakuma, T.; Takahashi, M.; Otsuki, A.; Ichmura, S. Measurement of photosynthetic production of a marine phytoplankton population using a stable 13C isotope. Mar. Biol. 1983, 73, 31–36. [Google Scholar] [CrossRef]
- Leblanc, K.; Hare, C.E.; Feng, Y.; Berg, G.M.; DiTullio, G.R.; Neeley, A.; Benner, I.; Sprengel, C.; Beck, A.; Sanudo-Wilhemy, S.A.; et al. Distribution of calcifying and silicifying phytoplankton in relation to environmental and biogeochemical parameters during the late stages of the 2005 North East Atlantic Spring Bloom. Biogeosciences 2009, 6, 1–25. [Google Scholar] [CrossRef]
- Ortega-Retuerta, E.; Duarte, C.M.; Reche, I. Significance of Bacterial Activity for the Distribution and Dynamics of Transparent Exopolymer Paticles in the Mediterranean Sea. Microb. Ecol. 2010, 59, 808–818. [Google Scholar] [CrossRef] [PubMed]
- Wurl, O.; Miller, L.; Vagle, S. Production and fate of transparent exopolymer particles in the ocean. J. Geophys. Res. 2011, 116. [Google Scholar] [CrossRef]
- Wetz, M.S.; Robbins, M.C.; Paerl, H.W. Transparent Exopolymer Particles (TEP) in a River-Dominated Estuary: Spatial-Temporal Distributions and an Assessment of Controls upon TEP Formation. Estuaries Coasts 2009, 32, 447–455. [Google Scholar] [CrossRef]
- Alldredge, A.L.; Passow, U.; Haddock, H.D. The characteristics and transparent exopolymer particle (TEP) content of marine snow formed from thecate dinoflagellates. J. Plankton Res. 1998, 20, 393–406. [Google Scholar] [CrossRef]
- Stoderegger, K.E.; Herndl, G.J. Production of exopolymer particles by marine bacterioplankton under contrasting turbulence conditions. Mar. Ecol. Prog. Ser. 1999, 189, 9–16. [Google Scholar] [CrossRef]
- Park, J.S.; Yoon, Y.H.; Oh, S.J. Variational characteristics of phytoplankton community in the mouth parts of Gamak Bay, Southern Korea. Korean J. Environ. Biol. 2009, 27, 205–215. [Google Scholar]
- Kim, H.C.; Lee, J.H.; Lee, W.C.; Hong, S.; Kang, J.J.; Lee, D.; Jo, N.; Bhavya, P.S. Decoupling of Macromolecular compositions of particulate organic matters between the water columns and the sediment in Geoje-Hansan Bay, South Korea. Ocean Sci. J. 2018, 53, 735–743. [Google Scholar] [CrossRef]
- Herndl, G.J. Microbial Dynamics in Marine Aggregates. In Seasonal Dynamics of Plankton Ecosystems and Sedimentation in Coastal Waters; Symposium Proceedings, NurmiPrint OY: Nurmijärvi, Finland, 1995; pp. 81–105. [Google Scholar]
- Goto, N.; Kawamura, T.; Mitamura, O.; Terai, H. Importance of extracellular organic carbon production in the total primary production by tidal-flat diatoms in comparison to phytoplankton. Mar. Ecol. Prog. Ser. 1999, 190, 289–295. [Google Scholar] [CrossRef]
- Chin, W.C.; Orellana, M.V.; Verdugo, P. Spontaneous assembly of marine dissolved organic matter in polymer gels. Nature 1998, 391, 568–572. [Google Scholar] [CrossRef]
- Lu, G.Y.; Ke, C.H.; Zhu, A.; Wang, W.X. Oyster-based national mapping of trace metals pollution in the Chinese coastal waters. Environ. Pollut. 2017, 224, 658–669. [Google Scholar] [CrossRef]
- Ramaiah, N.; Yoshikawa, T.; Furuya, K. Temporal variations in transparent exopolymer particles (TEP) associated with a diatom spring bloom in a subarctic ria in Japan. Mar. Ecol. Prog. Ser. 2001, 212, 79–88. [Google Scholar] [CrossRef]
- García, C.M.; Prieto, L.; Vargas, M.; Echevarría, F.; García-Lafuente, J.; Ruiz, J.; Rubín, J.P. Hydrodynamics and the spatial distribution of plankton and TEP in the Gulf of Cádiz (SE Iberian Peninsula). J. Plankton Res. 2002, 24, 817–833. [Google Scholar] [CrossRef]
- Corzo, A.; Rodríguez-Gálvez, S.; Lubian, L.; Sangrá, P.; Martínez, A.; Morillo, J.A. Spatial distribution of transparent exopolymer particles in the Branfield Strait, Antarctica. J. Plankton Res. 2005, 27, 635–646. [Google Scholar] [CrossRef][Green Version]
- Bhaskar, P.V.; Bhosle, N.B. Dynamics of transparent exopolymeric particles (TEP) and particle-associated carbohydrates in the Dona Paula bay, west coast of India. J. Earth Syst. Sci. 2006, 115, 403–413. [Google Scholar] [CrossRef]
- Ramaiah, N.; Furuya, K. Seasonal variations in phytoplankton composition and transparent exopolymer particles in a eutrophicated coastal environment. Aquat. Microb. Ecol. 2002, 30, 69–82. [Google Scholar] [CrossRef]
- Guo, S.; Sun, X. Concentrations and distribution of transparent exopolymer particles in a eutrophic coastal sea: a case study of the Changjiang (Yangtze River) estuary. Mar. Freshwater Res. 2019, 70, 1389–1401. [Google Scholar] [CrossRef]
- Iuculano, F.; Duarte, C.M.; Marbá, N.; Agustí, S. Seagrass as major source of transparent exopolymer particles in the oligotrophic Mediterranean coast. Biogeosciences 2017, 14, 5069–5075. [Google Scholar] [CrossRef]
- Engel, A.; Meyerhöfer, M.; von Bröckel, K. Chemical and biological composition of suspended particles and aggregates in the Baltic Sea in summer (1999). Estuar. Coast. Shelf S. 2002, 55, 729–741. [Google Scholar] [CrossRef]
- Prieto, L.; Navarro, G.; Cózar, A.; Echevarría, F.; García, C.M. Distribution of TEP in the euphotic and upper mesopelagic zones of the southern Iberian coasts. Deep Sea Res. Part II 2006, 53, 1314–1328. [Google Scholar] [CrossRef]
- Aller, J.Y.; Radway, J.C.; Kilthau, W.P.; Bothe, D.W.; Wilson, T.W.; Vaillancourt, R.D.; Quinn, P.K.; Coffman, D.J.; Murray, B.J.; Knopf, D.A. Size-resolved characterization of the polysaccharidic and proteinaceous components of sea spray aerosol. Atmos. Environ. 2017, 154, 331–347. [Google Scholar] [CrossRef]
- Scoullos, M.; Plavšić, M.; Karavoltsons, S.; Sakellari, A. Partitioning and distribution of dissolved copper, cadmium and organic matter in Mediterranean marine coastal areas: The case of a mucilage event. Estuar. Coast. Shelf Sci. 2006, 67, 484–490. [Google Scholar] [CrossRef]
- Engel, A.; Piontek, J.; Metfies, K.; Endres, S.; Sprong, P.; Peeken, I.; Gäbler-Schwarz, S.; Nöthig, E.M. Inter-annual variability of transparent exopolymer particles in the Arctic Ocean reveals high sensitivity to ecosystem changes. Sci. Rep. 2017, 7, 4129. [Google Scholar] [CrossRef] [PubMed]
- Taylor, J.D.; Cottingham, S.D.; Billinge, J.; Cunliffe, M. Seasonal microbial community dynamics correlate with phytoplankton-derived polysaccharides in surface coastal waters. ISME J. 2014, 8, 245–248. [Google Scholar] [CrossRef] [PubMed]
- Dreshchinskii, A.; Engel, A. Seasonal variations of the sea surface microlayer at the Boknis Eck Times Series Station (Baltic Sea). J. Plankton Res. 2017, 39, 943–961. [Google Scholar] [CrossRef]
- Redfield, A.C.; Ketchum, B.H.; Richards, F.A. The Influence of Organisms on the Composition of Seawater, Comparative and Descriptive Oceanography; Harvard University Press: Cambridge, MA, USA, 1963; pp. 26–77. [Google Scholar]
- Dortch, Q.; Whitledge, T.E. Does nitrogen or silicon limit phytoplankton production in the Mississippi River plume and nearby regions? Cont. Shelf Res. 1992, 12, 1293–1309. [Google Scholar] [CrossRef]
- Justíc, D.; Rabalais, N.N.; Turner, R.E.; Dortch, Q. Changes in nutrient structure of river-dominated coastal waters: Stoichiometric nutrient balance and its consequences. Estuar. Coast. Shelf Sci. 1995, 40, 339–356. [Google Scholar] [CrossRef]
- Corzo, A.; Morillo, J.A.; Rodríguez, S. Production of transparent exopolymer particles (TEP) in culture of Chaetoceros calcitrans under nitrogen limitation. Aquat. Microb. Ecol. 2000, 23, 63–72. [Google Scholar] [CrossRef][Green Version]
- Ortega-Retuerta, E.; Mazuecos, I.P.; Reche, I.; Gasol, J.M.; Álvarez-Salgado, X.A.; Álvarez, A.; Montero, M.F.; Arístegui, J. Transparent exopolymer particle (TEP) distribution and in situ prokaryotic generation across the deep Mediterranean Sea and nearby North East Atlantic Ocean. Prog. Oceanogr. 2019, 173, 180–191. [Google Scholar] [CrossRef]
© 2020 by the authors. Licensee MDPI, Basel, Switzerland. This article is an open access article distributed under the terms and conditions of the Creative Commons Attribution (CC BY) license (http://creativecommons.org/licenses/by/4.0/).



