Abstract
The suspended particulate organic matter (SPOM) in transitional waters such as the Maryland Coastal Bays (MCBs) is derived from allochthonous and autochthonous sources. Little is known, however, about the contribution of terrestrially derived organic matter to SPOM in the MCBs. The sources of SPOM in the MCBs were evaluated using stable isotope ratios of nitrogen (δ15N) and carbon (δ13C), and C/N molar ratios. The values of SPOM δ15N, δ13C and C/N ratios from samples collected seasonally (July 2014 to October 2017) at 13 sites ranged from −0.58 to 10.51‰, −26.85 to −20.33‰, and 1.67 to 11.36, respectively, indicating a mixture of terrestrial SPOM transported by tributaries, marine organic matter from phytoplankton, and sewage. SPOM δ13C levels less than −24‰, suggesting the dominance of terrestrially derived carbon, occurred mainly at sites close to the mouths of tributaries, and were less depleted at sites near the ocean. The mean value of SPOM δ13C was higher in October 2014 (−22.76‰) than in October 2015 (−24.65‰) and 2016 (−24.57‰) likely due to differences in river discharge. Much lower values (<4‰) of δ15N observed in February 2016 coincided with a high freshwater inflow that accompanied a major storm, indicating a strong influence of untreated sewage. Results from a two end-member mixing model suggest that on average, the SPOM in the MCBs is composed of 44% terrestrial materials with the highest percent contributions in October 2015 and 2016 (61%), and lowest (28%) in July 2015. The contribution of terrestrial materials to the SPOM was highest (58%) near the mouth of St. Martin River and lowest (25%) near the Ocean City inlet. SPOM composition and distribution in MCBs are, therefore, a function of land use, freshwater inflow, and water circulation that influence in situ phytoplankton production, and the transport and distribution of terrestrially derived materials.
1. Introduction
Suspended particulate organic matter (SPOM) in estuarine and coastal systems is composed of allocthonous and authocthonous materials such as phytoplankton, detritus from plant (e.g., macroalgae, saltmarshes, seagrasses) and animal materials, bacteria, and fecal pellets [1,2,3]. The composition of SPOM changes temporally and spatially due to variations in phytoplankton and heterotrophic flagellates composition and biomass, amounts of detritus, anthropogenic inputs, freshwater discharge, and physico-chemical processes [4]. It is important to identify the major sources of SPOM in aquatic systems as a first step in understanding the pelagic food web. This, however, can be challenging, especially in transitional systems such as coastal lagoons, because of the overlap in the signatures of some of the organic matter sources [2,5].
Stable isotopes (δ13C and δ15N) and C:N ratios have been used to determine organic matter sources, nutrient enrichment from anthropogenic activities, and food web structure in various aquatic environments [6,7,8,9,10,11]. Materials of marine origin exhibit δ13C values between −22 and −18‰, whereas terrestrially derived materials have values between −30 and −24‰ [12,13]. Several factors, however, influence the δ13C of SPOM including sources and variations of inorganic carbon, phytoplankton community composition and biomass, freshwater discharge, and sewage effluents [4]. Materials from various sources can be identified based on their δ15N values, including artificial fertilizers (−2 to 4‰), freshwater phytoplankton (3 to 7‰), soils and terrestrial plant materials (0 to 6‰), estuarine and marine phytoplankton (7 to 9‰), diazotrophs (−1.2 ± 0.9‰), and animal and human wastes (10 to 20‰) [3,14,15,16,17]. Nevertheless, the original δ15N values of SPOM may be altered due to biogeochemical processes, including nitrification and denitrification, and preferential uptake of light isotopic N by phytoplankton, isotopic fractionation, and microbial decomposition [18,19,20,21,22]. C/N ratios of phytoplankton are typically in the range of 6–10 mol/mol while values >12 mol/mol are related to terrestrially derived material [8,23]. The C/N ratio can be influenced by microbial colonization and degradation of organic matter [24].
Stable isotopes of carbon and nitrogen have been used to investigate the sources and dynamics of SPOM and plankton in some northwest Atlantic coastal bays and continental shelves [25,26,27], and in river-dominated estuaries, such as Delaware Estuary [20], Chesapeake Bay [21,28,29], and Winyah Bay [30]. Information is scarce on the sources and composition of SPOM in polyhaline tidal estuaries of the central northwest Atlantic, such as the Maryland Coastal Bays (MCBs) with long residence times that tend to promote organic matter degradation and transformation [2].
The MCBs located in the Mid-Atlantic region of the United States are shallow, well-mixed, microtidal, and poorly flushed [31,32,33]. Freshwater input occurs primarily via groundwater and the St. Martin River [34,35], and oceanic exchanges are through the Ocean City and Chincoteague Inlets. The bays have experienced elevated nutrient concentrations and high phytoplankton and macroalgae biomass, frequent occurrence of harmful algae blooms [31,36,37,38], and reduction in sea grasses coverage [39].
Glibert et al. [40] highlighted the pattern of temporal increase in the concentrations of nutrients and phytoplankton biomass in MCBs and related them to variations in freshwater discharge. The spatio-temporal variations in the levels of dissolved organic carbon and total dissolved nitrogen suggest that the bays may be a significant contributor of dissolved organic carbon to the ocean [33,41]. More recently, the composition and dynamics of phytoplankton assemblage in MCBs were described in relation to freshwater discharge and anthropogenic activities [42].
Fertig et al. [43] used the δ15N content of a macroalgae (Gracilaria sp.) and the eastern oyster (Crassostrea virginica) to determine spatial and temporal patterns of nitrogen sources in MCBs. They reported that mean δ15N values of macroalgae were higher in St. Martin River (15.9 ± 1.2‰) and southern Chincoteague Bay (17.3 ± 1.3‰) than in the other areas which they interpreted to be due to the impact of human and animal wastes.
No previous study has used δ13C, δ15N and C/N ratios to investigate the sources of SPOM in the MCBs. The objectives of this study were to:
- Determine spatial and temporal variability of the carbon and nitrogen stable isotope composition of SPOM; and
- Identify the sources of SPOM based on the stable isotope composition and a mixing model. It was hypothesized that major hydrological events with the accompanying freshwater discharge influence the contributions of terrestrially derived organic matter to the SPOM in the MCBs with the highest levels in areas near the mouths of tributaries especially in fall and winter, and lowest amounts in areas near the inlets, especially in the summer.
2. Materials and Methods
2.1. Study Area
They Maryland Coastal Bays (Figure 1), located along the Atlantic coast of the state of Maryland, have a mean depth of about 2 m [33]. They are surrounded by a watershed of about 452 km2 that includes 71,000 acres of water [43]. The bays comprise five sub-embayments divided into the northern and southern parts. The northern part includes Isle of Wight and Assawoman Bays as well as St. Martin River, while the southern part includes the Sinepuxent, Newport, and Chincoteague Bays. MCBs are directly connected to the Atlantic Ocean by the Ocean City Inlet to the north and Chincoteague Inlet to the south end of the bays.
Figure 1.
Map of the Maryland Coastal Bays showing sampling sites.
Land use is predominantly forest (40.3–43.5%) and crop agriculture (32.5–34.4%) in Newport and Chincoteague Bays; forest (38.6%) and wetlands (23.1%) in Sinepuxent Bay; forest (37.7%), crop agriculture (34.1%) and residential (17.2%) in Isle of Wight Bay/St. Martin River; and forest (27.9%), crop agriculture (22.5%), wetlands (21.5%), and residential (18.9%) in Assawoman Bay [43]. The increase in human population in the area along with discharges from urban areas and various land use activities such as agriculture (poultry and crop production) and septic systems [44] has caused nutrient enrichment of the bays [45].
Point sources of nutrient discharge in MCBs, include wastewater treatment plants (WWTPs), and effluents from a few industries such as Perdue Farms, Inc., and Kelly Foods Corp [46]. St. Martin River discharges into the northern bays. Newport Bay in the southern part of the MCBs, along with St. Martin River in the northern region of the bays, has poor water quality due to high nutrient concentrations, while other regions of the southern bays have moderate to good water quality with Sinepuxent Bay ranked the highest in water quality.
2.2. Sampling Method
Water samples for suspended particulate organic matter (SPOM) were collected from 13 sites within the MCBs (Figure 1). The samples were collected at each site from a depth of about 0.5 m, at least once every season from July 2014 to October 2017, using a horizontal Van Dorn water sampler. Samples were transferred into 2 L high-density polyethylene bottles and immediately stored in ice. Environmental parameters (temperature, salinity, and dissolved oxygen) were measured at each location using YSI 6000 QS sonde. Water samples for SPOM analysis were pre-filtered with a 200 µm sieve, and thereafter filtered onto a pre-combusted Whatman GF/F filter (25 mm diameter; 450 °C for 4 h) and stored at −80 °C until analysis. Filter papers were dried in the oven at 60 °C for 48 h before analysis. An acidification process using the drop-by-drop method was used to remove carbonates from the SPOM samples for stable isotope carbon analysis [47]. Water samples were also filtered through a 47 mm GF/F filter for nutrient (ammonia, total nitrogen, nitrite and inorganic phosphorous) and pigment analyses.
2.3. Sample Analyses
2.3.1. Nutrient and Pigment Analyses
Nitrite (NO2−), ammonium (NH4+), and total dissolved phosphorus (TDP) were measured using a HACH DR/6000 spectrophotometer. The phytoplankton pigments in the water samples were identified based on the method described by Zapata et al. [48] using Agilent 1100 Series HPLC with a binary pump, model G1322A. Before analysis of pigments, samples were first extracted using 5ml of acetone, sonicated for 30 s and left in the dark at a temperature of 4 °C overnight [48]. Chlorophyll a peaks were calibrated using commercial standards.
2.3.2. Stream Flow
Stream flow data were downloaded from the USGS website (http://nwis.waterdata.usgs.gov/nwis/monthly/). The New Birch Branch stream near Showell discharges directly into Shingle Landing Prong in the St. Martin River, MD, and has been used to represent freshwater inflow to MCBs [33].
2.3.3. Stable Isotope Analysis
Dried filter papers with SPOM for isotopic carbon and nitrogen analyses were wrapped in tin capsules, and shipped to the University of California Davis stable isotope facility. The facility uses the Elementar Vario EL Cube/Micro Cube elemental analyzer interfaced to a PDZ Europa 20-20 isotope ratio mass spectrometer (Sercon Ltd., Cheshire, UK) for sample analysis. Samples were first combusted at 1080 °C in a micro-cube elemental analyzer, and stable isotope ratios were determined by Europa 20-20 IRMS. The results were reported based on Pee Dee Belemnite for δ13C and air δ15N and were expressed in δ notation. Negative (−) sign indicates depletion and positive (+) sign enrichment of the heavy (13C and 15N) relative to the lighter (12C and 14N) isotope when compared with the standard materials according to the following equation:
where X = 13C or 15N and R represents the corresponding ratio of 13C/12C or 15N/14N.
δX = ((Rsample/Rstandard) − 1) × 1000
To determine the sources of SPOM in MCBs, plots of δ13C vs. δ15N, C:N ratio vs. δ13C and a mixing model were used [8,10,49,50]. Values of SPOM δ15N > 4 and δ13C < −24 are usually of terrestrial origin, whereas values of SPOM δ15N > 8 and δ13C > −22 are oceanic origin [10,51,52]. C:N ratio values > 12 mol/mol suggest terrestrially derived materials; between 6 and 10 are for phytoplankton, between 3 and 6 are for bacteria and zooplankton, whereas C:N ratios < 9 mol/mol indicate materials from marine sources [8]. A two end-member mixing model [53] was used to quantitatively assess the sources of SPOM in MCBs with the assumptions that marine and terrestrial sources are the major end-members contributing to SPOM δ13C values in MCBs. The relative contributions of the two end-members were estimated using the following equation:
where TC is terrestrial carbon, δ13Cmar is marine end-member, δ13Csam is the measured value of the sample at each site, and δ13Cters is terrestrial end-member [54]. SPOM δ13C value for the terrestrial end-member, used for this study, is based on the lowest value (−27‰) observed in this study at site 10 (located at the mouth of St. Martin River). The highest SPOM δ13C value (−21‰) observed at site 8 (located closest to the Ocean City Inlet) was used as the marine end-member. These end-member values are similar to the values used in mixing models conducted in a number of previous studies [10,55].
TC (%) = {(δ13Cmar − δ13Csam)/(δ13Cmar − δ13Cters) × 100}
2.4. Data Analyses
Normality assumptions for the data were not met. Therefore, a non-parametric test was performed. A Kruskal–Wallis test followed by a Kruskal–Wallis all pair-wise comparisons test was performed on data to compare among sites, seasons and years. Regression analysis was conducted to test for linear relationships between δ13C and δ15N, δ13C and Chl. a, δ13C, δ15N and salinity. Spearman’s rank correlation test was also performed to identify any temporal relationships among δ13C, δ15N, salinity, NH4+ and NO2−.
3. Results
3.1. Environmental Parameters
Data on environmental parameters are reported in Table 1 and Table 2. Minimum mean temperature (±standard error, SE = 4.7 ± 0.3 SE °C) was observed in February 2016 whereas a maximum temperature of 28.7 ± 0.4 SE (°C) was reported in July 2015. Salinity varied from a minimum of 24.1 ± 0.8 SE (February 2016) to a maximum of 31.3 ± 07 SE (July 2015). October 2016 had the lowest mean concentration (5.47 ± 0.48 SE mg/L) of dissolved oxygen (DO), whereas February 2016 had the highest mean concentration (11.82 ± 0.17 SE mg/L).
Table 1.
Monthly mean (±SE) values of environmental parameters measured during the study from July 2014 to October 2017.
Table 2.
Mean (±SE) and ranges of environmental parameters investigated during the study averaged from July 2014 to October 2017.
Spatially (Table 2), mean temperature varied from 17.2 ± 2.1 SE (site 8) to 19.1 ± 1.8 SE (site 10). Salinity was highest at sites in the Sinepuxent (30.7 ± 0.6 SE; site 8) and Isle of Wight (30.0 ± 0.7 SE; site 9) Bays close to the Ocean City inlet, but lowest at site 6 (23.5 ± 1.1 SE.) in Newport Bay. Mean DO values were above 7.0mg/L at the sites.
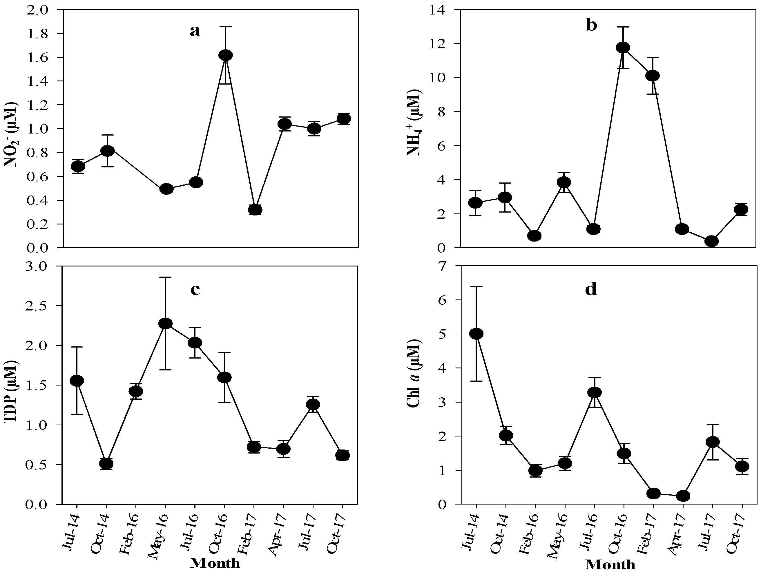
The concentrations of nutrients (NO2−, NH4+ and TDP) varied, with minimum (0.32 ± 0.04 SE µM) and maximum (1.62 ± 0.24 SE µM) values for NO2− in February 2017 and October 2016, respectively (Figure 2a–c). July 2017 and October 2016 had the minimum (0.38 ± 0.13 SE µM) and maximum (11.76 ± 1.21 SE µM) mean concentrations of ammonium (NH4+), respectively (Figure 2b). October 2014 had the lowest concentration (0.51 ± 0.07 SE µM) and May 2016 the highest concentration (2.28 ± 0.58 SE µM) of TDP i.e., total dissolved phosphorus (Figure 2c). Minimum concentration (0.24 ± 0.06 SE µM) of chlorophyll a (Chl. a) was observed in April 2017 and the maximum concentration (5.00 ± 1.39 SE µM) was observed in July 2014 (Figure 2d).
Figure 2.
Temporal variation of nutrients; NO2− (a), NH4+ (b), TDP (total dissolved phosphorus) (c) and Chl. a (chlorophyll a) (d) in Maryland Coastal Bays. Mean monthly values are based on measurements at 13 sites.
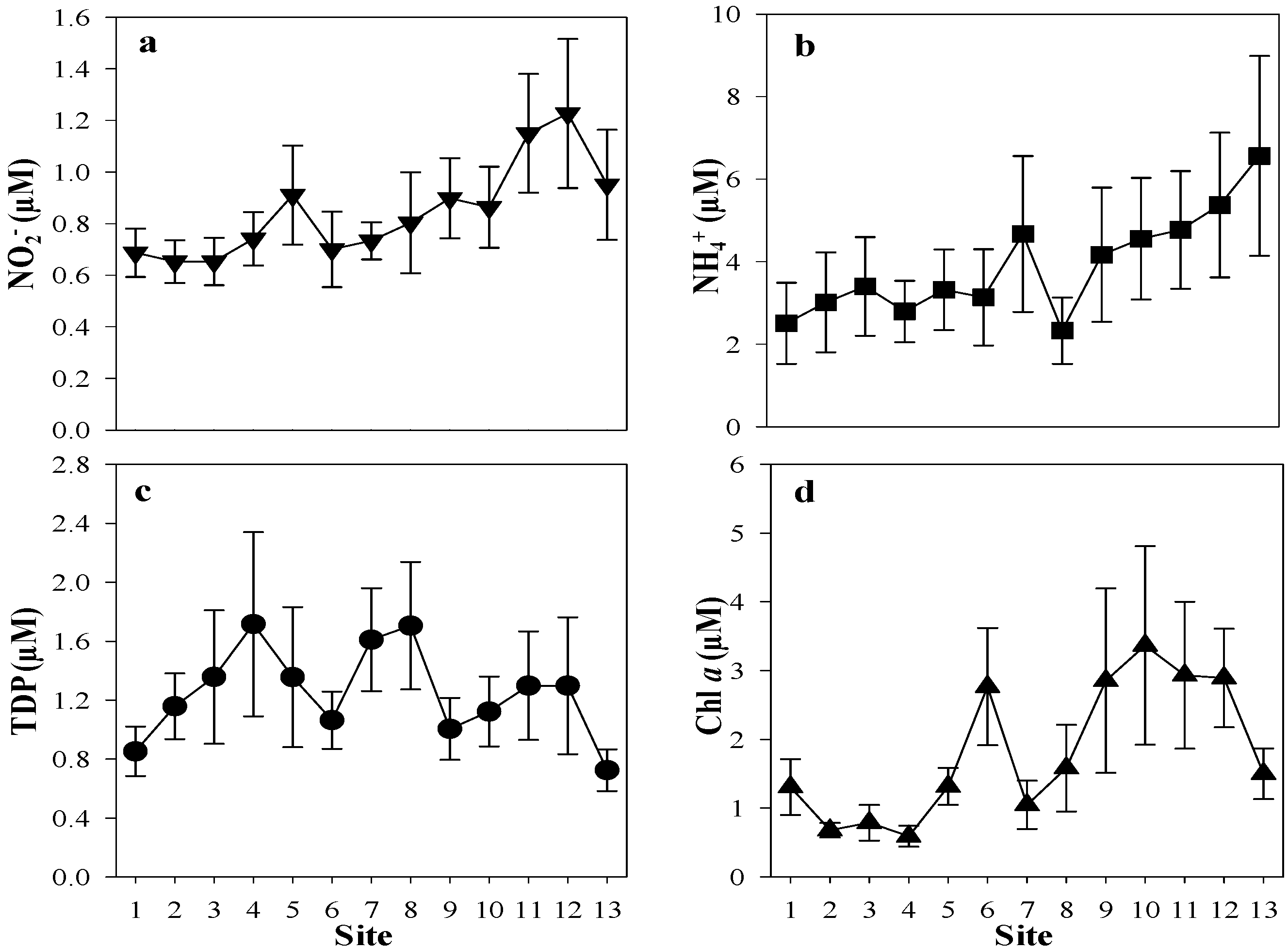
Nutrients (NO2− and NH4+) and chlorophyll a concentrations (Figure 3a,b) were relatively high at sites in the northern bays and low mostly at sites in the southern bays, except at site 6 in Newport Bay. Maximum values of NO2− (Figure 3a) occurred at site 12 (1.23 ± 0.29 SE µM) whereas minimum values were noted at sites 2 (0.65 ± 0.08 SE µM) and 3 (0.65 ± 0.09 SE µM). Site 13 had the highest mean concentration (6.56 ± 2.42 SE µM) and site 8 the lowest mean concentration (2.33 ± 0.08 SE µM) of NH4+ (Figure 3b). Maximum (1.72 ± 0.65 SE µM) and minimum (0.73 ± 0.14 SE µM) concentrations of TDP occurred at sites 4 and 13, respectively (Figure 3c). Chl. a maximum (3.37 ± 1.44 SE µM) and minimum (0.59 ± 0.15 SE µM) values were observed at sites 10 and 4, respectively (Figure 3d).
Figure 3.
Spatial variations of mean concentrations (±SE) of NO2− (a), NH4+ (b), TDP (c) and Chl. a (d) in Maryland Coastal Bays based on measurements obtained during 10 months from July 2014 to October 2017.
Stream flow (Figure 4) increased from January to February in 2014 with values ranging from 0.33 to 0.50cm/s, decreased from March to November and then increased slightly in December of 2014. In 2015, freshwater discharge increased from about 0.25 cm/s in February to 4.5 cm/s in March, and then decreased until September before increasing again until December (0.34 cm/s). Discharge values between 0.33 and 0.76 cm/s were recorded in January, February, May, September and October 2016. In 2017, values ranging from <0.1 cm/s in June and July to 1.00 cm/s in August were recorded. February had the highest stream flow in 2014 whereas March, October and August had the highest flows in 2015, 2016 and 2017, respectively. July 2014, August 2015, and 2016, and June 2017 had the lowest stream flows.
Figure 4.
Temporal variation of Birch Branch mean monthly stream flow (cubic meters per second) in 2014, 2015, 2016 and 2017. (http://nwis.waterdata.usgs.gov/nwis/monthly/).
3.2. Spatial Variation of SPOM δ13C, δ15N and C:N
The SPOM δ13C, δ15N and C:N values ranged from −26.9 to −20.3, −0.6 to 10.5 and 1.7 to 11.4, respectively. The SPOM δ13C varied significantly among sites (Kruskal–Wallis test, p < 0.006); the value in site 8 (−22.5‰ ± 0.3 SE) in Sinepuxent Bay was significantly higher than the value in site 10 (−24.4‰ ± 0.4 SE) at the mouth of St. Martin River (Figure 5a). The SPOM δ13C values at sites 8 and 10 were, however, not significantly different from the values at other sites (p > 0.05). SPOM δ15N (Figure 5b) and C:N (Figure 5c) values did not vary significantly among sites (Kruskal–Wallis test, p > 0.30). SPOM C:N highest (6.0 ± 0.7 SE mol/mol) and lowest (4.9 ± 0.3 SE mol/mol) average values were observed in sites 1 (Chincoteague Bay) and 10 (St. Martin River), respectively.
Figure 5.
Left: Spatial variation of δ13C (a), δ15N (b) and C:N (c) SPOM (suspended particulate organic matter) values and, right: temporal variations of δ13C (d), δ15N (e) and C:N (f) SPOM values in Maryland Coastal Bays (July 2014–October 2017).
3.3. Temporal Variation of SPOM δ13C, δ15N and C:N
δ15N, δ13C and C:N values varied temporally (Kruskal–Wallis test, p < 0.001). October 2015 had the lowest average value (−24.7‰ ± 0.1 SE), which was significantly more depleted (p < 0.05) than the values observed in July and October 2014, February 2016, October 2017, and in July 2015 when the highest value (−22.7‰ ± 0.3 SE) was recorded (Figure 5d). The highest mean SPOM δ15N value (8.9‰ ± 0.3 SE) was observed in October 2015 whereas the lowest value (2.0‰ ± 0.4 SE) was observed in February 2016 (Figure 5e). SPOM C:N varied temporally with the highest (9.4 mol/mol ± 2.8 SE) and lowest (4.5 mol/mol ± 1.0 SE) mean values in July and October 2017, respectively (Figure 5f). Post-hoc tests conducted on δ13C data (Figure 5d) showed significant differences (p < 0.05) in the mean values between years.
3.4. Relationships between δ13C, δ15N, Chl a, Salinity, NO2− and NH4+
To determine the influence of freshwater flow on δ13C and δ15N, graphs of δ13C and δ15N versus salinity were plotted and linear regression tests performed. Sites were grouped based on the two transects of salinity gradients in the southern (sites 1–6) and northern (sites 7–13) bay. Salinity decreased from sites 1 (29.96) to 6 (23.49) and increased from sites 13 (26.38) to 7 (29.90). For the southern transect (sites 1–6), no significant relationships were observed between salinity and δ13C and δ15N (Figure 6a–m) for most of the months. In the few cases where significant relationships were observed, no consistent pattern was apparent. The values of δ13C and δ15N in October 2014 (Figure 6b) and February 2016 (Figure 6f) showed significant positive (October 2014) and negative (February 2016) relationships with salinity (p < 0.05). δ13C values in July 2014 (Figure 6a) also had a positive relationship with salinity (p < 0.05). For the northern transect (sites 7–13), no consistent relationships existed between salinity and δ13C and δ15N. δ13C values in July 2014 (Figure 6a), May 2016 (Figure 6g), October 2016 (Figure 6i), and April 2017 (Figure 6k) had significant positive relationships with salinity (r = 0.70–0.84, p < 0.04), but no significant relationships were observed in the other months. Significant positive relationships were observed between δ15N values and salinity (p < 0.05) only in October 2015 (Figure 6e), February 2016 (Figure 6f), and 2017 (Figure 6j).
Figure 6.
Relationships between salinity and δ13C, δ15N SPOM values in the Maryland Coastal Bays (July 2014—October 2017). Regression lines are shown only for significant relationships between salinity and δ13C, δ15N SPOM values. Shown for each month are figures for δ15N values (above) and δ13C values (below) plotted against salinity. Open triangles denote values for sites 1–6; solid squares are for sites 7–13.
No significant relationships (p > 0.05) were observed between Chl. a and δ13C, except in October 2016 and 2017 during which negative relationships (p < 0.05) were observed. Results from Spearman’s correlation analysis showed that there was a positive relationship between δ15N and NO2− (r = 0.94, p = 0.003) in July 2014, and δ15N and NH4+ (r = 0.88, p = 0.02) in July 2017. No relationship was observed between δ15N, NH4+ and NO2 (p > 0.05) for the other months. Positive correlations between δ13C and δ15N were observed in February 2016 (r = 0.64, p = 0.05) and October 2015 (r = 0.62, p = 0.05), but in July 2017 a negative correlation was observed (r = −0.65, p = 0.05). No significant correlation was noted between δ13C and δ15N for the other months.
3.5. Sources of SPOM δ15N and δ13C
A plot of δ13C versus δ15N (Figure 7) revealed that the number of sites with significant contributions of terrestrially derived SPOM (δ13C values < −24.0‰) varied temporally. Site 8 showed less contribution of SPOM from terrestrial sources, but more contributions from marine origin, especially in July and October 2014, July 2015, May 2016 and October 2017 (Figure 7a,b,e,k,m) with δ15N values between 4.0 and 8.0‰, and δ13C values between −24.0 and −22.0‰.
Figure 7.
Biplots of δ13C and δ15N values of SPOM in Maryland Coastal Bays (July 2014–October 2017). 1–13 indicate sampling sites. The number of sites with δ13C values < −24 varied seasonally.
A higher proportion of sites showed more contribution of SPOM of terrestrial origin in October 2015, and February and April 2017 (Figure 7f,h,g), with δ15N between 7.0 and 11.0‰, and δ13C values between −26.0 and −24.0‰. Low values of δ15N (−1.0 to 4.0), and δ13C values between −22.0 and −24.0‰, were observed at most sites in February 2016 (Figure 7d). The percentage of sites in MCBs with δ13C values < −24‰ varied seasonally: 8% to 31% (July), 15% to 46% (October), 39% (February), and 15% to 54% (April/May).
The values of SPOM C:N in this study ranged from 1.7 to 11.4 mol/mol. Plots of δ13C versus C/N values showed that July and October 2014, and July 2015, had C:N values between 4 and 8 mol/mol and δ13C values between −22 and −20‰. February 2017 showed sites (1–5) having C:N between 10 and 12 mol/mol and δ13C between −26 and −24‰. Spearman’s correlation analysis revealed negative (r = −0.71, p = 0.03) and positive (r = 0.74, p = 0.02) correlations between δ13C and C:N in April 2017 and October 2014, respectively. No correlations were observed between δ13C and C:N for the other months (p > 0.05).
Using a two-end member mixing model, the sources of carbon during the period of July 2014 to October 2017 were calculated for all 13 sites. On the average, SPOM in MCBs comprised 56% autochthonous estuarine/marine materials and 44% allochthonous materials from terrestrial sources. Sites 7 (33%) and 8 (26%) located close to the Ocean City Inlet of the Atlantic Ocean had the lowest mean percentage contribution of terrestrially derived SPOM, whereas site 10 (57%) located at the mouth of St. Martin River had the highest mean percentage contribution of SPOM from terrestrial sources (Figure 8a). The lowest contributions (≤30%) of terrestrially derived carbon were observed in July 2014, 2015 and October 2014, whereas the highest contributions (57–61%) of terrestrial sources of SPOM were observed in October 2015, 2016, and February 2017 (Figure 8b).
Figure 8.
Spatial (a) and temporal (b) patterns of contributions of SPOM from terrestrial sources in the Maryland Coastal Bays.
4. Discussion
4.1. General Pattern of SPOM δ13C, δ15N and C/N Ratios
This is the first study to use stable isotope analyses to assess spatial and temporal patterns of C and N sources of SPOM in the MCBs. Mean monthly freshwater discharge (<2cm/s) of St. Martin River into the bays is low relative to river-dominated estuaries such as Chesapeake Bay. Yet, there is evidence that St. Martin River influenced the SPOM stable isotope signatures and distribution of salinity in the bays, which varied from a mean value of 26.9 (site 10) near the mouth of the river to a mean of 30.7 (site 8) near the Ocean City inlet. In this study, the SPOM δ13C values ranged from −26.9 to −20.3‰, which suggests a mixture of carbon from various sources, primarily terrigenous/riverine and in situ phytoplankton production (Andrews et al., 1998). SPOM δ13C values similar to what we observed in the MCBs were reported in other estuaries: −25.8 to −16.6‰ in the Delaware Estuary [20]; −25.8 to −20.3‰ in Venice Lagoon [1]; and −25 to −20‰ in Hunts Bay, Kingston Harbour, Jamaica [56]. Furthermore, Barros et al. [10] reported SPOM δ13C values ranging from −26.2 to −21.7‰ in Babitonga Bay, Brazil, and −27.0 to −21.0 was observed in Pearl River Estuary, China [57]. The values in MCBs are, however, less depleted than values (−31 to −27.1‰) in the upper region of the Dan’ao River estuary, South China [50], and −30.7 to −18.4‰ in Pialassa Baiona lagoon, Italy [47]. In general, more negative values (<−24‰) of δ13C SPOM indicate a higher amount of terrestrially derived materials whereas higher values (>−21‰) indicate larger contributions of marine organic materials [13,51,56].
The SPOM δ15N values (−0.6 to 10.5‰) we obtained in this study are not much different from values reported in Babitonga Bay, Brazil (−0.1 to 9.2‰) by Barros et al. [10]. The values, however, differ from what was observed in the Bay of Seine, France (0.8 to 6.2‰) by Savoye et al. [8]; the estuarine POM in the Dan’ao River estuary, South China (−3.02 to 3.98‰) and open Sea in Daya Bay (5.15 to 8.84‰) by Ke et al. [50]; in Delaware Estuary (2.3 to 18.7‰) by Cifuentes et al. [20], and in Venice Lagoon (−6.6 to 18.2‰) by Berto et al. [1]. SPOM δ15N values in the range of 7 to 9‰ suggest significant contributions of phytoplankton from estuarine and marine origin, but values from −2 to 4‰ may occur due to the influence of some anthropogenic POM (e.g., untreated sewage, inorganic fertilizers) and diazotrophs [3,17]. Values of SPOM δ15N ranging from 10 to 20‰ indicate contributions from human and animal waste [15,16].
C:N values of SPOM ranging from 6 to 10 mol/mol are used as indicators of the presence of phytoplankton, whereas values >12 mol/mol suggest the presence of significant amounts of terrestrially derived materials [8,23]. In this study, C:N values ranged from 1.7 to 11.4 mol/mol, although in most months C:N values between 2 and 8 mol/mol were noted. This is not much different from the range (3.7 to 10.3) recorded in Baiona lagoon, Italy [47], and 2.4 to 9.1 reported in the Pearl River Delta, China [58]. In contrast, Zimmerman and Canuel [29] recorded higher values of C:N in the Chesapeake Bay (4.3 to 23.7), as did Bouillon et al. [59] in Gautami Godavari estuary, a mangrove ecosystem in India (3.9 to 42.4). The relatively low average values of C:N recorded in this study may in part be due to microbial modification of organic matter, and suggest that marine phytoplankton contribute significantly to the SPOM in MCBs.
4.2. Spatial Pattern of SPOM δ13C, δ15N and C/N Ratio
Spatially, mean δ13C SPOM from this study varied significantly among sites. The δ13C mean value recorded at site 8 (−22.5 ± 0.3‰ SE) located close to the Ocean City Inlet was slightly more enriched than the value (−24.4 ± 0.4‰ SE) recorded at site 10 located at the mouth of St. Martin River. This was probably due to increased contribution of photosynthetic organic matter relative to terrigenous organic matter towards the ocean. Nevertheless, δ13C POM enrichment from inshore to offshore as salinity increases could be partly due to carbon dioxide limitation. The uptake of HCO3− instead of CO2 under conditions of CO2 limitation in eutrophic systems would result in less discrimination of the stable isotope causing phytoplankton to become enriched with 13C at sites close to the Inlets [60,61]. Additionally, depleted δ13C of SPOM near river mouths may arise from phytoplankton uptake of isotopically light dissolved inorganic carbon from bacterial decomposition of terrestrial organic matter [62].
Several sites in the southern (sites 1, 3 to 6) bays of Chincoteague and Newport, with 32.5–34.4% crop agriculture in the watershed and northern (site 13) bay of Assawoman, with 22.5% crop agriculture in the watershed [43], had δ15N POM values below 6‰. This was perhaps due to pollution by inorganic fertilizers, and the mixing of SPOM from estuarine/marine phytoplankton with untreated sewage with depleted δ15N [50]. The nitrate concentration in the MCBs is very low; thus the inorganic nitrogen pool is comprised of mainly NH4+ [31,40,63], likely due to nutrient recycling within the bays, runoff of fertilizer applied to farmland, and animal waste and sewage. Phytoplankton uptake of the isotopically lighter DIN (NH4+) might have contributed to the low δ15N POM values [8,20,64]. Sites 2 and 7 to 12 had mean δ15N POM values close to or above 6.0‰, which suggest significant contributions of phytoplankton from estuarine/marine sources [50]. Nevertheless, no significant spatial difference was observed in the SPOM δ15N values of the MCBs (Figure 5b), which could be a result of mixing in the system. Ke et al. [61] recorded the lowest δ15N POM values (−5.4 to ~1‰) in the Dan’ao River estuary, Daya Bay, South China, which they attributed to the high level of ammonia nitrogen in the estuary [50]. They also attributed the low SPOM δ15N values at the mouth of Daya Bay to lower input of 15N-enriched domestic sewage and the presence of nitrogen-fixing cyanobacteria in the nutrient poor waters of the South China Sea.
In estuaries, C:N values typically decrease from upstream towards the sea, owing to the higher value of C:N in terrestrially derived organic matter relative to marine photosynthetic organic matter [8]. In the MCBs, however, no significant spatial difference in C:N ratio of SPOM was found, perhaps due to hydrodynamic mixing by wind and tides in the shallow polyhaline system [65]. Mean C:N values in the MCBs were relatively low and ranged from 4.9 ± 0.3 (site 10) to 6.0 ± 0.7 (site 1). This might have been due to a number of factors, including mixing of phytoplankton organic matter and terrestrial/riverine materials, and bacterial colonization and modification of SPOM [24], since the C:N ratio of bacteria is low, 2.6 to 4.3 [66].
The C:N values of SPOM in the MCBs are similar to what Bardhan et al. [64] observed in Zuari Estuary, India during pre- and post-monsoon (5–8), and are lower than what would be expected from SPOM with significant contributions of terrestrially derived organic matter (>12) [8]. Guerra et al. [47] reported low C:N values of SPOM (~9) during winter even when depleted values of SPOM δ13C (−23.6 to −26.5), that suggest significant influence of terrigenous materials, were obtained in the Pialassa Baiona lagoon.
4.3. Temporal Patterns of SPOM δ13C, δ15N and C:N Ratio
In temperate coastal systems, the SPOM δ13C, δ15N and C:N may show temporal patterns owing in part to the higher biomass of phytoplankton during spring and summer and increased river discharge in fall and winter that contributes terrestrial/riverine organic matter into the systems. Our results showed significant temporal variations of SPOM δ13C, δ15N, and C:N values.
Nevertheless, no statistically significant variations of SPOM δ13C were noted among months within the same year with the exception of 2015, when δ13C was more depleted in October than in July (Figure 5d), perhaps due to higher freshwater discharge in October. Significant differences were observed when similar months were compared across years, except between July 2014 and July 2015, with similar hydrological conditions. More negative values of SPOM δ13C were observed in October 2015 (mean: −24.7 ± 0.1‰) than in October 2014 (mean= −22.8 ± 0.4‰) and 2017 (−23.3 ± 0.3‰). During October 2015, freshwater discharge (0.21 cm/s) was high, compared to October 2014 and 2017, and likely transported more terrestrially derived materials, sewage, and domestic waste into the system. Carlier et al. [67] reported SPOM δ13C value (−24.4 ± 1.6‰), similar to what we observed in October 2015, in the Bay of Banyuls-sur-Mer, France which they attributed to the influence of freshwater discharge that transported terrestrially derived SPOM into the Bay. SPOM δ13C values (±26.9 to −20.3‰) recorded for the different months in the MCBs fall within the range that would be expected from a mixture of SPOM from terrestrial and estuarine/marine origin.
Saltmarshes, seagrasses and macroalgae are important primary producers in the MCBs and their detritus undoubtedly contribute to the SPOM. Nevertheless, based on studies by Hondula and Pace [68] in a nearby Virginia coastal lagoon, sea grasses (Zostera marina) and salt marshes (Spartina alterniflora) have more enriched δ13C values (mean: −10 to −14‰), as do macroalgae species (Codium, Gracilaria, Agardhiella; mean: −16 to −19‰), and therefore might have had relatively insignificant contributions to the SPOM of the MCBs.
SPOM δ15N values varied with seasons, with more enrichment in fall (October 2015) and depletion in winter (February 2016). SPOM δ15N values > 10‰ have been reported in waters enriched with nitrogen from wastewater [22,69]. The elevated values of δ15N ranging between 7.0 and 10.51‰ recorded in October 2015 and February 2017 could have been due to a mixture of treated sewage effluent, terrestrial organic materials, and marine and freshwater phytoplankton [16]. The highest values during both months occurred at site 8 close to the lagoon inlet, which may be due to the transport into MCBs of sewage effluent, discharged into the coastal ocean from Ocean City. Nitrogen sources from agricultural runoff and dissolved inorganic nitrogen (DIN) from denitrified synthetic fertilizer have low δ15N values of −4 to 4‰ [70], which are comparable to the depleted values (−0.6 to 5.2‰) observed in February 2016 in this study. Low δ15N values recorded in February 2016 could also have been due to organic matter derived from sewage and resuspension of sediment. From January 22 to 24, 2016, about two weeks prior to the collection of samples in February 2016, a major winter storm, Jonas, occurred that produced up to 3 ft (91 cm) of snow in parts of the Northeast United States. In Ocean City, Maryland, there was snow, rain, and high steady northeast winds, with speeds of 35 to 60 knots, in addition to coastal flooding that dumped up to 5 ft (1.5 m) of water on some streets at high tide. This flooding likely carried inorganic fertilizer, soil and organic matter from farmlands into the MCBs and/or overwhelmed the sewerage system resulting in the transport of untreated sewage into the bays, hence the dramatic decrease in δ15N values during that month.
SPOM δ15N varied seasonally in Delaware River estuary [20], perhaps due to isotopic fractionation associated with phytoplankton uptake of NH4+. Montoya et al. [28] reported a decrease in surface POM values of δ15N by ~4‰ in the middle section of the Chesapeake Bay in fall following a major storm that caused vertical mixing of nutrients in the water column. This was attributed to phytoplankton uptake of isotopically light NH4+. Ye et al. [11] also recorded a decrease of >3‰ (from 8.3–10.5‰ to 1.6–4.2‰) in δ15N values of POM in the Pearl River Estuary, China at mid-salinities after a flood event.
SPOM C:N ratios in this study varied temporally. The lower average value of 3.4 ± 0.2 SE mol/mol recorded for SPOM C/N ratio in July 2017, when phytoplankton biomass was at its peak [42], may reflect the importance of heterotrophic organisms in the samples [13,71], and higher bacterial activity [33,47]. Bacterial C:N is lower than that of phytoplankton [8,24]. Coffin and Sharp [72] reported an increase in the biomass of microflagellates and bacteria following an increase in phytoplankton biomass in the Delaware Bay estuary. A higher mean C:N value (8.6 ± 0.5 SE mol/mol) recorded in February 2017 is more closely related to marine phytoplankton source [8].
4.4. Sources of SPOM in MCBs
Plots of δ13C vs. δ15N suggest that the SPOM in MCBs is a mixture of two major sources (terrestrial and marine). The contributions of the terrestrial and marine sources of SPOM varied temporally and spatially. SPOM from terrestrial and freshwater origin has more depleted δ13C (−30 to −24‰) than marine phytoplankton (−22 to −19‰) [51,73,74]. In February 2016 (Figure 7d), when freshwater discharge was relatively high, the SPOM appeared to have been influenced by raw sewage/inorganic fertilizer. This could have arisen from runoff from farmlands and untreated sewage that likely overflowed during the heavy rainfall and coastal flooding associated with the major winter storm, Jonas. In October 2014 when freshwater discharge was relatively low (~0.01 cm/s), δ15N and δ13C values suggest more marine influence at most sites, whereas in October 2015 when freshwater flow was comparatively high (>0.24 cm/s), isotope values showed more depleted δ13C and enriched δ15N suggesting terrestrial/riverine organic matter influence.
Results of a two end-member mixing model showed that, on average, marine/estuarine sources accounted for about 56% of the SPOM, whereas terrestrial sources contributed about 44%. This estimate is similar to the value (46%) calculated for terrestrial organic matter contribution in Godavari Estuary, India [75]. In the middle and northern part of the river-dominated Pearl River Estuary, Liu et al. [57] reported that terrestrial organic carbon contributed on average 64% to the particulate organic carbon (POC), whereas in the southern part of the estuary, marine organic matter contributed on average 68% of the POC. In Venice Lagoon, Berto et al. [1] estimated that 82% of particulate organic matter was from allochthonous sources, principally terrestrial and sewage, and the contribution of terrestrial sources was at its maximum during periods of high precipitation. In the Gulf of Lions (NW Mediterranean), which receives mean monthly river discharge of > 500cm/s, Harmelin-Vivien et al. [13] estimated mean value of organic matter of terrestrial origin in the SPOM to be about 67%, although it varied seasonally, being higher in November (81%) than in May (56%).
The relative contributions of terrestrial and marine sources of organic matter to the SPOM, however, depend on the site and month. For instance, the main contributing source of SPOM at site 8, characterized by more marine influence due to its location close to the Atlantic Ocean, was marine which accounted for about 74% of the SPOM, whereas terrestrial organic carbon accounted for 26% of the SPOM at the site. In contrast, site 10 with relatively high freshwater influence from St. Martin River had about 57% contribution from terrestrial sources to the SPOM. Our findings on the relative contribution of terrigenous organic carbon to the nearshore sites in the MCBs are consistent with results of a previous study. Duan et al. [33] concluded that nearshore sites in MCBs had higher dissolved organic carbon (DOC), total dissolved nitrogen (TDN) and terrestrially derived aromatic dissolved organic matter (DOM) concentrations than the bays directly connected to the Atlantic Ocean.
Phytoplankton biomass in the MCBs shows a major peak in the summer (July–September) and a minor peak in winter (February/March), but the biomass is relatively low in April and sometimes in October [42]. Temporally, the lowest percentage contribution (≤30%) of terrestrially derived materials to the SPOM was observed in the summer (July 2014, 2015) and fall (October 2014) of some years, when freshwater discharge into the system was relatively low (<0.06 cm/s). This is not surprising considering that the MCB is a tidal estuary with long residence time that favors high contribution of autochthonous organic matter to the SPOM during the summer [20,75]. The percentage contribution (~60%) of terrestrial materials to SPOM was highest during the fall (October 2015 and 2016) when freshwater discharge was relatively high (>0.24 cm/s). February and May 2016 with relatively high discharge, showed less apparent contribution (≤40%) of SPOM from terrestrial sources based on the simple mixing model, but this could have been due to a mixture of SPOM from various sources such as sewage, inorganic fertilizer and marine and freshwater phytoplankton following the major storm that occurred in February.
4.5. Relationship between δ13C, δ15N, Salinity and Chl a
To assess the influence of salinity, sites were divided into two main groups (sites 1–6 and sites 7–13) based on their salinity gradient, and linear regression analysis was performed between salinity and δ13C and δ15N values. No consistent patterns were noted in the relationships between salinity and δ13C and δ15N values, suggesting that other factors such as phytoplankton composition and biomass, decomposition processes, and mixing by tides and wind had more influence on the spatial distribution of SPOM δ13C and δ15N in the system. Positive relationships between salinity and δ13C and δ15N were observed in July 2014 and July 2015 with low discharge rate, high temperature and peak phytoplankton biomass [42]. In Godavari estuary, Sarma et al. [75] observed a significant linear relationship between salinity and δ13C, which they interpreted to be due to the mixing of isotopically lighter terrestrial organic matter with heavier marine organic matter. Furthermore, Nagel et al. [76] observed a positive correlation of δ13C of suspended matter with salinity in the Kara Sea (Arctic Ocean), signifying mixing of marine and river water. In the MCBs, with relatively low freshwater discharge resulting in a polyhaline system, mixing of the water due to tides and wind action especially during fall and winter, and spatial differences in the biomass of phytoplankton, could have obscured any relationship between salinity and the amounts of SPOM isotopes.
Linear negative relationships were observed between Chl. a and δ13C in October 2016 and 2017. No significant relationships were observed between Chl. a and δ13C during the other months. Sarma et al. [75] observed a negative relationship between Chl. a and δ13C which suggests a more terrestrial source of organic matter at the upper estuary of Godavari estuary. In contrast, Ke et al. [61] recorded a positive relationship between Chl. a and δ13C which suggests that the distribution of δ13C in the surface water of Daya Bay was mainly controlled by the phytoplankton biomass rather than by terrestrially derived material. Interestingly, sites in the MCBs near the mouth of tributaries that are most influenced by terrestrially derived organic materials also had relatively high Chl. a, which could have obscured the relationship between Chl. a and δ13C by weakening the terrestrial signals at the nearshore sites.
4.6. Relationship between δ13C and C:N
SPOM samples with more depleted δ13C and larger C:N values suggest more contributions of terrestrial/riverine sources of organic carbon, whereas samples with less depleted δ13C and lower values of C:N indicate a larger contribution of marine organic carbon to the SPOM [56,77]. The low C:N values observed during the study even at sites close to the mouth of tributaries with significant freshwater influences may be due to microbial colonization and alteration of the organic matter. The relationships observed between the SPOM C:N and δ13C (data not shown) in MCBs in various months were insignificant and showed inconsistent patterns. It was also difficult to identify the major sources of marine and terrestrial SPOM based on the plots of δ13C vs. C:N. Other investigators [24,49,75] were not able to resolve the sources of organic matter using plots of δ13C vs. C:N in other estuaries, perhaps due to the modification of SPOM C:N during diagenesis and biological processes.
5. Conclusions
The values of SPOM δ15N (−0.58 to 10.51‰), δ13C (−26.85 to −20.33‰) and C/N ratios (1.67 to 11.36) from samples collected seasonally at 13 sites in the Maryland Coastal Bays indicate a mixture of terrestrial SPOM transported by tributaries, marine organic matter from phytoplankton, and sewage. SPOM δ13C levels suggest the dominance of terrestrially derived carbon at sites close to the mouths of tributaries, than at sites near the ocean. The contribution of terrestrial materials to the SPOM was highest (58%) near the mouth of St. Martin River and lowest (25%) near the Ocean City inlet. The lower values (<4‰) of δ15N observed in February 2016, associated with a high freshwater inflow due to a major storm, indicate a strong influence of untreated sewage. Results from a mixing model suggest that on average, the SPOM in the MCBs is composed of 44% terrestrial materials and 56% materials from marine sources consistent with the greater marine influence of the system. These are valuable data, against which future similar studies in the polyhaline lagoons of the northeast Atlantic coast of the United States can be compared.
Author Contributions
The authors conducted the project jointly. Conceptualization, P.C. and B.O.E; methodology, B.O.E., A.B.I. and P.C.; software, B.O.E.; validation, B.O.E. and P.C.; formal analysis, B.O.I. and P.C.; investigation, B.O.E. and P.C; resources, P.C.; data curation, B.O.E.; writing—original draft preparation, B.O.E.; writing—review and editing, B.O.E., A.B.I. and P.C.; visualization, B.O.E.; supervision, P.C.; project administration, P.C.; and funding acquisition, P.C. and A.B.I. All authors have read and agreed to the published version of the manuscript.
Funding
This publication was made possible by the National Science Foundation Center for Research Excellence in Science and Technology (NSF-CREST) award (number 1547821) to the Center for the Integrated Study of Ecosystem Processes and Dynamics, and in part by the National Oceanic and Atmospheric Administration, Office of Education, Educational Partnership Program award (NA16SEC4810007) to the Living Marine Resources Cooperative Science Center at the University of Maryland Eastern Shore. Its contents are solely the responsibility of the award recipient and do not necessarily represent the official views of the U.S. Department of Commerce, National Oceanic and Atmospheric Administration.
Acknowledgments
We would like to thank Fred Oseji for providing some nutrients and chlorophyll a data and Christopher Daniels (Boat Captain) for assistance with sample collection. Efeturi Oghenekaro, Young Tsuei (DOEE) and Tracy Bishop (UMES) assisted with creation of map of the sampling sites.
Conflicts of Interest
The authors declare no conflict of interest. The funders had no role in the design of the study; in the collection, analyses or interpretation of data; in the writing of the manuscript or in the decision to publish the results.
References
- Berto, D.; Rampazzo, F.; Noventa, S.; Cacciatore, F.; Gabellini, M.; Aubry, F.B.; Girolimetto, A.; Brusa, R.B. Stable carbon and nitrogen isotope ratios as tools to evaluate the nature of particulate organic matter in the Venice lagoon. Estuar. Coast. Shelf Sci. 2013, 135, 66–76. [Google Scholar] [CrossRef]
- Canuel, E.A.; Hardison, A.K. Sources, ages, and alteration of organic matter in estuaries. Annu. Rev. Mar. Sci. 2016, 8, 409–434. [Google Scholar] [CrossRef] [PubMed]
- Liénart, C.; Savoye, N.; Bozec, Y.; Breton, E.; Conan, P.; David, V.; Feunteun, E.; Grangeré, K.; Kerhervé, P.; Lebreton, B.; et al. Dynamics of particulate organic matter composition in coastal systems: A spatio-temporal study at multi-systems scale. Prog. Oceanogr. 2017, 156, 221–239. [Google Scholar] [CrossRef]
- Glibert, P.M.; Middelburg, J.J.; McClelland, J.W.; Vander Zanden, M.J. Stable isotope tracers: Enriching our perspectives and questions on sources, fates, rates, and pathways of major elements in aquatic systems. Limnol. Oceanogr. 2019, 64, 950–981. [Google Scholar] [CrossRef]
- Espinasse, B.; Harmelin-Vivien, M.; Tiano, M.; Guilloux, L.; Carlotti, F. Patterns of variations in C and N stable isotope ratios in size-fractionated zooplankton in the Gulf of Lion, NW Mediterranean Sea. J. Plankton Res. 2014, 36, 1204–1215. [Google Scholar] [CrossRef]
- Hansson, S.; Hobbie, J.E.; Elmgren, R.; Larsson, U.; Fry, B.; Johansson, S. The stable nitrogen isotope ratio as a marker for food web interactions and fish migration. Ecology 1997, 78, 2249–2257. [Google Scholar] [CrossRef]
- Schell, D.M.; Barnett, B.A.; Vinette, K.A. Carbon and nitrogen isotope ratios in zooplankton of the Bering, Chukchi and Beaufort Seas. Mar. Ecol. Prog. Ser. 1998, 162, 11–23. [Google Scholar] [CrossRef]
- Savoye, N.; Aminot, A.; Treguer, P.; Fontugne, M.; Naulet, N.; Kerouel, R. Dynamics of particulate organic matter δ15N and δ13C during spring phytoplankton blooms in a macrotidal ecosystem (Bay of Seine, France). Mar. Ecol. Prog. Ser. 2003, 255, 27–41. [Google Scholar] [CrossRef]
- Lamb, K.; Swart, P.K. The carbon and nitrogen isotopic values of particulate organic material from the Florida Keys: A temporal and spatial study. Coral Reefs 2008, 27, 353–362. [Google Scholar] [CrossRef]
- Barros, G.V.; Martinelli, L.A.; Novais, T.M.O.; Ometto, J.P.H.; Zuppi, G.M. Stable isotopes of bulk organic matter to trace carbon and nitrogen dynamics in an estuarine ecosystem in Babitonga Bay (Santa Catarina, Brazil). Sci. Total Environ. 2010, 408, 2226–2232. [Google Scholar] [CrossRef]
- Ye, F.; Guo, W.; Shi, Z.; Jia, G.; Wei, G. Seasonal dynamics of particulate organic matter and its response to flooding in the Pearl River Estuary, China, revealed by stable isotope (δ13C and δ15N) analyses. J. Geophys. Res. Ocean. 2017, 122, 6835–6856. [Google Scholar] [CrossRef]
- Cifuentes, L.A.; Eldridge, P.M. A mass- and isotope- balance model of DOC mixing in estuaries. Limnol. Oceanogr. 1998, 43, 1872–1882. [Google Scholar] [CrossRef]
- Harmelin-Vivien, M.; Loizeau, V.; Mellon, C.; Beker, D.; Arlhac, D.; Bodiguel, X.; Ferraton, F.; Herman, R.; Phillippon, X.; Salen-Picard, C. Comparison of C and N stable isotope ratios between surface particulate organic matter and microphytoplankton in the Gulf of Lions (NW Mediterranean). Cont. Shelf Res. 2008, 28, 1911–1918. [Google Scholar] [CrossRef]
- Kendall, C. Tracing Nitrogen Sources and Cycling in Catchments. In Isotope Tracers in Catchment Hydrology; Kendall, C., McDonnell, J.J., Eds.; Elsevier Science B.V.: Amsterdam, The Netherlands, 1998; pp. 519–576. [Google Scholar]
- Aravena, R.M.; Evans, M.L.; Cherry, J.A. Stable isotopes of oxygen and nitrogen in source identification of nitrate from septic systems. Ground Water 1993, 31, 180–186. [Google Scholar] [CrossRef]
- Ruiz-Fernández, A.C.; Hillaire-Marcel, C.; Ghaleb, B.; Soto-Jiménez, M.; Páez-Osuna, F. Recent sedimentary history of anthropogenic impacts on the Culiacan River estuary, northwestern Mexico: Geochemical evidence from organic matter and nutrients. Environ. Pollut. 2002, 118, 365–377. [Google Scholar] [CrossRef]
- Montoya, J.P.; Carpenter, E.; Capone, D.G. Nitrogen fixation and nitrogen isotope abundances in zooplankton of the oligotrophic North Atlantic. Limnol. Oceanogr. 2002, 47, 1617–1628. [Google Scholar] [CrossRef]
- Miyake, Y.; Wada, E. The isotope effect on the nitrogen in biochemical, oxidation-reduction reactions. Rec. Oceanogr. Work. Japan 1971, 11, 1–6. [Google Scholar]
- Mariotti, A.; Germon, J.C.; Hubert, P.; Kaiser, P.; Letolle, R.; Tardieux, A.; Tardieux, P. Experimental determination of nitrogen kinetic isotope fractionation: Some principles; illustration for the denitrification and nitrification processes. Plant Soil 1981, 62, 413–430. [Google Scholar] [CrossRef]
- Cifuentes, L.A.; Sharp, J.H.; Fogel, M.L. Stable carbon and nitrogen isotope biogeochemistry in the Delaware estuary. Limnol. Oceanogr. 1988, 33, 1102–1115. [Google Scholar] [CrossRef]
- Montoya, J.P.; Horrigan, S.G.; McCarthy, J.J. Rapid, storm-induced changes in the natural abundance of 15N in a planktonic ecosystem. Geochim. Cosmochim. Acta 1991, 55, 3627–3638. [Google Scholar] [CrossRef]
- McClelland, J.W.; Valiela, I. Changes in food web structure under the influence of increased anthropogenic nitrogen inputs to estuaries. Mar. Ecol. Prog. Ser. 1998, 168, 259–271. [Google Scholar] [CrossRef]
- Cifuentes, L.A.; Coffin, R.B.; Solorzano, L.; Cardenas, W.; Espinoza, J.; Twilley, R.R. Isotopic and elemental variations of carbon and nitrogen in a mangrove estuary. Estuar. Coast. Shelf Sci. 1996, 43, 781–800. [Google Scholar] [CrossRef]
- Thornton, S.F.; McManus, J. Application of organic carbon and nitrogen stable isotope and C/N ratios as source indicators of organic matter provenance in estuarine systems: Evidence from the Tay Estuary, Scotland. Estuar. Coast. Shelf Sci. 1994, 38, 219–233. [Google Scholar] [CrossRef]
- Wainright, S.C.; Fry, B. Seasonal variation of the stable isotopic compositions of coastal marine plankton from Woods Hole, Massachusetts and Georges Bank. Estuaries 1994, 17, 552–560. [Google Scholar] [CrossRef]
- McKinney, R.; Oczkowski, A.; Prezioso, J.; Hyde, K. Spatial variability of nitrogen isotope ratios of particulate material from Northwest Atlantic continental shelf waters. Estuar. Coast. Shelf Sci. 2010, 89, 287–293. [Google Scholar] [CrossRef]
- Oczkowski, A.; Kreakie, B.; McKinney, R.A.; Prezioso, J. Patterns in stable isotope values of nitrogen and carbon in particulate matter from the northwest Atlantic Continental Shelf, from the Gulf of Maine to Cape Hatteras. Front. Mar. Sci. 2016, 3, 252. [Google Scholar] [CrossRef]
- Montoya, J.P.; Horrigan, S.G.; McCarthy, J.J. Natural abundance of 15N in particulate nitrogen and zooplankton in the Chesapeake Bay. Mar. Ecol. Prog. Ser. 1990, 65, 35–61. [Google Scholar] [CrossRef]
- Zimmerman, A.R.; Canuel, E.A. Bulk organic matter and lipid biomarker composition of Chesapeake Bay surficial sediments as indicators of environmental processes. Estuar. Coast. Shelf Sci. 2001, 53, 319–341. [Google Scholar] [CrossRef]
- Goñi, M.A.; Teixeiraa, M.J.; Perkeya, D.W. Sources and distribution of organic matter in a river-dominated estuary (Winyah Bay, SC, USA). Estuar. Coast. Shelf Sci. 2003, 257, 1023–1048. [Google Scholar] [CrossRef]
- Boynton, W.R.; Murray, L.; Hagy, J.D.; Stokes, C.; Kemp, W.M. A comparative analysis of eutrophication patterns in a temperate coastal lagoon. Estuaries 1996, 19, 408–421. [Google Scholar] [CrossRef]
- Allen, T.R.; Tolvanen, H.T.; Oertel, G.F.; McLeod, G.M. Spatial characterization of environmental gradients in a coastal lagoon, Chincoteague Bay. Estuaries Coasts 2007, 30, 959–977. [Google Scholar] [CrossRef]
- Duan, S.; Chen, N.; Kaushal, S.S.; Chigbu, P.; Ishaque, A.; May, E.B.; Oseji, F.O. Dynamics of dissolved organic carbon and total dissolved nitrogen in Maryland’s coastal bays. Estuar. Coast. Shelf Sci. 2015, 164, 451–462. [Google Scholar] [CrossRef]
- Bratton, J.F.; Bohlke, J.K.; Manheim, F.T.; Krantz, D.E. Ground water beneath coastal bays of the Delmarva Peninsula: Ages and nutrients. Ground Water 2004, 42, 1021–1034. [Google Scholar] [CrossRef]
- Manheim, F.T.; Krantz, D.E.; Bratton, J.F. Studying ground water under Delmarva Coastal Bays using electrical resistivity. Ground Water 2004, 42, 1052–1068. [Google Scholar] [CrossRef]
- Trice, T.M.; Glibert, P.M.; Lea, C.; Van Heukelem, L. HPLC pigment records provide evidence of past blooms of Aureococcus anophagefferens in the Coastal Bays of Maryland and Virginia, USA. Harmful Algae 2004, 3, 295–304. [Google Scholar] [CrossRef]
- Tango, P.; Butler, W.; Wazniak, C.E. Assessment of harmful algae bloom species in the Maryland Coastal Bays. In Maryland’s Coastal Bays Ecosystem Health Assessment 2004; Wazniak, C., Hall, M., Eds.; Maryland Department of Natural Resources, Tidewater Ecosystem Assessment: Annapolis, MD, USA, 2005; p. 8-2e8-32. [Google Scholar]
- Glibert, P.M.; Wazniak, C.E.; Hall, M.R.; Sturgis, B. Seasonal and interannual trends in nitrogen and brown tide in Maryland’s coastal bays. Ecol. Appl. 2007, 17, S79–S87. [Google Scholar] [CrossRef]
- Orth, R.J.; Williams, M.R.; Marion, S.R.; Wilcox, D.J.; Carruthers, T.J.B.; Moore, K.A.; Kemp, W.M.; Dennison, W.C.; Rybicki, N.; Bergstrom, P.; et al. Long term trends in submersed aquatic vegetation (SAV) in Chesapeake Bay, USA, related to water quality. Estuaries Coasts 2010, 33, 1144–1163. [Google Scholar] [CrossRef]
- Glibert, P.M.; Hinkle, D.C.; Sturgis, B.; Jesien, R.V. Eutrophication of a Maryland/Virginia coastal lagoon: A tipping point, ecosystem changes, and potential causes. Estuaries Coasts 2014, 37, S128–S146. [Google Scholar] [CrossRef]
- Minor, E.C.; Simjouw, J.; Mulholland, M.R. Seasonal variations in dissolved organic carbon concentrations and characteristics in a shallow coastal bay. Mar. Chem. 2006, 101, 166–179. [Google Scholar] [CrossRef]
- Oseji, O.F.; Chigbu, P.; Oghenekaro, E.; Waguespack, Y.; Chen, N. Spatiotemporal patterns of phytoplankton composition and abundance in the Maryland Coastal Bays: The influence of freshwater discharge and anthropogenic activities. Estuar. Coast. Shelf Sci. 2018, 207, 119–131. [Google Scholar] [CrossRef]
- Fertig, B.; Carruthers, T.J.B.; Dennison, W.C.; Jones, A.B.; Pantus, F.; Longstaff, B. Oyster and macroalgae bioindicators detect elevated δ15N in Maryland’s Coastal Bays. Estuaries Coasts 2009, 32, 773–786. [Google Scholar] [CrossRef]
- Souza, S.; Krinsky, B.; Seibel, J. Maryland’s Coastal Bays: An. Assessment of Aquatic Ecosystems, Pollutant Loadings, and Management Options; Maryland Department of the Environment: Baltimore, MD, USA, 1993.
- Wazniak, C.E.; Hall, M.R.; Carruthers, T.J.B.; Sturgis, B.; Dennison, W.C.; Orth, R.J. Linking water quality to living resources in a mid-Atlantic lagoon system, USA. Ecol. Appl. 2007, 17, S64–S78. [Google Scholar] [CrossRef]
- Maryland Department of Environment. Total Maximum Daily Loads of Nitrogen and Phosphorus for Assawoman Bay, Isle of Wight Bay, Sinepuxent Bay, Newport Bay and Chincoteague Bay in the Coastal Bays Watersheds in Worcester County, Maryland: Revised Final; Maryland Department of Environment: Baltimore, MD, USA, 2014.
- Guerra, R.; Pistocchi, R.; Vanucci, S. Dynamics and sources of organic carbon in suspended particulate matter and sediments in Pialassa Baiona lagoon (NW Adriatic Sea, Italy). Estuar. Coast. Shelf Sci. 2013, 135, 24–32. [Google Scholar] [CrossRef]
- Zapata, M.; Rodríguez, F.; Garrido, J.L. Separation of chlorophylls and carotenoids from marine phytoplankton: A new HPLC method using a reversed phase C8 column and pyridine containing mobile phases. Mar. Ecol. Prog. Ser. 2000, 195, 29–45. [Google Scholar] [CrossRef]
- Middelburg, J.J.; Neiuwenhuize, J. Carbon and nitrogen stable isotopes in suspended matter and sediments from the Schelde Estuary. Mar. Chem. 1998, 60, 217–225. [Google Scholar] [CrossRef]
- Ke, Z.; Tan, Y.; Huang, L.; Liu, J.; Xiang, C.; Zhao, C.; Zhang, J. Significantly depleted 15N in suspended particulate organic matter indicating a strong influence of sewage loading in Daya Bay, China. Sci. Total Environ. 2019, 650, 759–768. [Google Scholar] [CrossRef]
- Fry, B.; Sherr, E.B. δ13C measurements as indicators of carbon flow in marine and freshwater ecosystem. Contrib. Mar. Sci. 1984, 27, 13–47. [Google Scholar]
- Carreira, R.S.; Wagener, A.R.; Fileman, T.; Readman, J.; Macko, S.A.; Veiga, A. Changes in sedimentary organic carbon pool of a fertilized tropical estuary, Guanabara Bay, Brazil: An elemental, isotopic and molecular marker approach. Mar. Chem. 2002, 79, 207–227. [Google Scholar] [CrossRef]
- Calder, J.A.; Parker, P.L. Stable carbon isotope ratios as indices of petrochemical pollution of aquatic systems. Environ. Sci. Technol. 1968, 2, 535–539. [Google Scholar] [CrossRef]
- Mahmood, T.; Fang, J.; Jiang, Z.; Zhang, J. Carbon and nitrogen flow, and trophic relationships, among the cultured species in an integrated multi-trophic aquaculture (IMTA) bay. Aquac. Environ. Interac. 2016, 8, 207–219. [Google Scholar] [CrossRef]
- Li, Y.; Zhang, H.; Tu, C.; Fu, C.; Xue, Y.; Luo, Y. Sources and fate of organic carbon and nitrogen from land to ocean: Identified by coupling stable isotopes with C/N ratio. Estuar. Coast. Shelf Sci. 2016, 181, 114–122. [Google Scholar] [CrossRef]
- Andrews, J.E.; Greenaway, A.M.; Dennis, P.F. Combined carbon isotope and C/N ratios as indicators of source and fate of organic matter in a poorly flushed, tropical estuary: Hunts Bay, Kingston Harbour, Jamaica. Estuar. Coast. Shelf Sci. 1998, 46, 743–756. [Google Scholar] [CrossRef]
- Liu, Q.; Huang, X.; Zhang, X.; Zhang, L.; Ye, F. Distribution and sources of particulate organic carbon in the Pearl River estuary in summer 2010. ACTA Ecol. Sin. 2012, 32, 4403–4412. [Google Scholar]
- Hu, J.; Peng, P.; Jia, G.; Mai, B.; Zhang, G. Distribution and sources of organic carbon, nitrogen and their isotopes in sediments of the subtropical Pearl River estuary and adjacent shelf, Southern China. Mar. Chem. 2006, 98, 274–285. [Google Scholar] [CrossRef]
- Bouillon, S.; Raman, A.V.; Dauby, P.; Dehairs, F. Carbon and nitrogen stable isotope ratios of subtidal benthic invertebrates in an estuarine mangrove ecosystem (Andhra Pradesh, India). Estuar. Coast. Shelf Sci. 2002, 54, 901–913. [Google Scholar] [CrossRef]
- Ogawa, N.; Ogura, N. Dynamics of particulate organic matter in the Tamagawa estuary and inner Tokyo Bay. Estuar. Coast. Shelf Sci. 1997, 44, 263–273. [Google Scholar] [CrossRef]
- Ke, Z.; Tan, Y.; Huang, L.; Zhao, C.; Jiang, X. Spatial distributions of δ13C, δ15N and C/N ratios in suspended particulate organic matter of a bay under serious anthropogenic influences: Daya Bay, China. Mar. Pollut. Bull. 2017, 114, 183–191. [Google Scholar] [CrossRef]
- Coffin, R.B.; Cifuentes, L.A. Stable isotope analysis of carbon cycling in the Perdido Estuary, Florida. Estuaries 1999, 22, 917–926. [Google Scholar] [CrossRef]
- Oseji, O.F.; Fan, C.; Chigbu, P. Composition and dynamics of phytoplankton in the Coastal Bays of Maryland revealed by microscopic counts and diagnostic pigments. Water 2019, 11, 368. [Google Scholar] [CrossRef]
- Bardhan, P.; Karapurkar, S.G.; Shenoy, D.M.; Kurian, S.; Sarkar, A.; Maya, M.V.; Naik, H.; Varik, S.; Naqvi, S.W.A. Carbon and nitrogen isotopic composition of suspended particulate organic matter in Zuari Estuary, west coast of India. J. Mar. Syst. 2015, 141, 90–97. [Google Scholar] [CrossRef]
- Kang, X.; Xia, M.; Pitula, J.S.; Chigbu, P. Dynamics of water and salt exchange in Maryland Coastal Bays. Estuar. Coast. Shelf Sci. 2017, 189, 1–16. [Google Scholar] [CrossRef]
- Lee, S.; Fuhrman, J.A. Relationships between biovolume and biomass of naturally derived marine bacterioplankton. Appl. Environ. Microb. 1987, 53, 1298–1303. [Google Scholar] [CrossRef] [PubMed]
- Carlier, A.; Riera, P.; Amouroux, J.M.; Bodiou, J.Y.; Gre’mare, A. Benthic trophic network in the Bay of Banyuls-sur-Mer (northwest Mediterranean, France): An assessment based on stable carbon and nitrogen isotopes analysis. Estuar. Coast. Shelf Sci. 2007, 72, 1–15. [Google Scholar] [CrossRef]
- Hondula, K.L.; Pace, M.L. Macroalgal support of cultured hard clams in a low nitrogen coastal lagoon. Mar. Ecol. Prog. Ser. 2014, 498, 187–201. [Google Scholar] [CrossRef]
- Cole, M.L.; Valiela, I.; Kroeger, K.D.; Tomasky, G.L.; Cebrian, J.; Wigand, C.; McKinney, R.A.; Grady, S.P.; Carvalho da Silva, M.H. Assessment of a δ15N isotopic method to indicate anthropogenic eutrophication in aquatic ecosystems. J. Environ. Qual. 2004, 33, 124–132. [Google Scholar] [CrossRef]
- Vitoria, L.; Otero, N.; Gill, A.S.; Canals, A. Fertilizer characterization: Isotopic data (N, S, O, C, and Sr). Environ. Sci. Technol. 2004, 38, 3254–3262. [Google Scholar]
- Waite, A.M.; Muhling, B.A.; Holl, C.M.; Beckley, L.E.; Montoya, J.P.; Strzelecki, J.; Thompson, P.A.; Pesant, S. Food web structure in two counter-rotating eddies based on δ15N and δ13C isotopic analyses. Deep Sea Res. PT II 2007, 54, 1055–1075. [Google Scholar] [CrossRef]
- Coffin, R.B.; Sharp, J.H. Microbial trophodynamics in the Delaware Estuary. Mar. Ecol. Prog. Ser. 1987, 41, 253–266. [Google Scholar] [CrossRef]
- Darnaude, A.M.; Salen-Picard, C.; Polunin, N.V.C.; Harmelin-Vivien, M.L. Trophodynamic linkage between river runoff and coastal fishery yield elucidated by stable isotope data in the Gulf of Lions (NW Mediterranean). Oecologia 2004, 138, 325–332. [Google Scholar] [CrossRef]
- Darnaude, A.M.; Salen-Picard, C.; Harmelin-Vivien, M.L. Depth variation in terrestrial particulate organic matter exploitation by marine coastal benthic communities off the Rhone River delta (NW Mediterranean). Mar. Ecol. Prog. Ser. 2004, 275, 47–57. [Google Scholar] [CrossRef][Green Version]
- Sarma, V.; Viswanadham, R.; Rao, G.D.; Prasad, V.R.; Kumar, B.S.K.; Naidu, S.A.; Kumar, N.A.; Rao, D.B.; Sridevi, T.; Krishna, M.S.; et al. Carbon dioxide emissions from Indian monsoonal estuaries. Geophys. Res. Lett. 2012, 39, L03602. [Google Scholar] [CrossRef]
- Nagel, B.; Gaye, B.; Kodina, L.A.; Lahajnar, N. Stable carbon and nitrogen isotopes as indicators for organic matter sources in the Kara Sea. Mar. Geol. 2009, 266, 42–51. [Google Scholar] [CrossRef]
- Malet, N.; Sauriau, P.G.; Ryckaert, M.; Malestroit, P.; Guillou, G. Dynamics and sources of suspended particulate organic matter in the Marennes-Oléron oyster farming bay: Insights from stable isotopes and microalgae ecology. Estuar. Coast. Shelf Sci. 2008, 78, 576–586. [Google Scholar] [CrossRef]
© 2020 by the authors. Licensee MDPI, Basel, Switzerland. This article is an open access article distributed under the terms and conditions of the Creative Commons Attribution (CC BY) license (http://creativecommons.org/licenses/by/4.0/).







