Abstract
Inspired by plant transpiration, an attached microalgae−simulated plant system was designed to enhance the transpiration of reverse osmosis concentrated water (i.e., WROC) and realize the conversion of pollutants to microalgae biomass. The results showed that the production rate of clean water could reach as high as 14.84 L·m−2·day−1, which was significantly influenced by the humidity of the air and the growth status of the attached microalgae. Moreover, the enhancement of water evaporation by microalgae was more obvious under relatively low humidity. Pollutants, transported along with the water, could transform into microalgae biofilm or crystallize at the top of the microfiber. TN and TP transformation into biomass resources were maximized in 40% diluted WROC, with efficiencies of 60.91% and 38.49%, respectively. Of note, the accumulation of phosphorus in the micro-environment of attached microalgae may inhibit microalgal growth in the later stages of cultivation, owing to the relatively low movability. Hence, this system could be applied for high-efficiency wastewater purification, especially under high humidity. Wastewater dilution and periodic microalgae harvest could guarantee the attached microalgae growth and increase the pollutant-bioresource conversion rate.
1. Introduction
RO (reverse osmosis) technology is widely applied for high-quality reclaimed water production [1]; this technology produces about 30–50% of the WROC [2]. Currently, WROC is not effectively treated on a large scale; instead, it is usually merged with primary sewage and cycled through a wastewater treatment plant, naturally evaporated in the evaporation pond, or infused into a deep well [3]. The advanced oxidation technology of positive WROC treatment was also proposed in the lab by Fenton oxidation [4], ozone-catalyzed oxidation [5], electrocatalytic oxidation [6], and photocatalytic oxidation [7]. Although advanced oxidation technology can oxidize various organic pollutants quickly, non-selectively, and thoroughly, it also has the following disadvantages. (1) The removal efficiency of small molecules (such as oxalic acid, acetic acid, and propionic acid) is low; (2) the processing cost is about 1–10 CNY/m3, and the photocatalytic oxidation or UV/H2O2 technology can reach as high as 45–211 CNY/m3 [8]. The total production cost by MF-RO (microfiltration-reverse osmosis) process in a reclaimed water plant was 1.98–5.29 CNY/m3 [9,10]. For brackish water or seawater desalination plants using the RO process, the costs were 0.134 $/m3 and 0.525 $/m3, respectively [11]. WROC is just a by-product of these water plants, but the treatment cost of WROC is high, which is obviously a problem that needs to be solved urgently. The high processing cost also limits the practical applications of this technology. Emerging treatment methods include membrane distillation [12], enhanced evaporation [13], coagulation [14], and eutectic freezing crystallization [15]. Compared to traditional processing methods, emerging physical methods are more environmentally friendly.
Microalgae is a kind of unicellular algae with a small volume, rapid growth and reproduction speed [16], strong environmental adaptability [17] and high oil content in some species [18]. Microalgae show great potential for utilizing the carbon, nitrogen, phosphorus and other trace elements in the WROC, which could realize the transformation of pollutants into bioresources [19]. Zheng adjusted the carbon/nitrogen ratio of the manure-free piggery wastewater to 25:1, and obtained the maximum biomass concentration of Chlorella at 3.83 g/L, while the removal efficiencies of ammonia, phosphorus and chemical oxygen demand (COD) were 100%, 95%, and 99%, respectively [20]. Bte Jais et al. used Scenedesmus sp. to treat wet market wastewater and the TOC (total dissolved organic carbon), TN (total nitrogen), TP (total phosphorus), Fe and Zn removal efficiencies were 80.34%, 65.32%, 76.77%, 65.76% and 82.12%, respectively [21]. A novel attached microalgae cultivation pattern was proposed in these decades by culturing microalgae on the surface of solid substrates to overcome the difficulty of high harvest costs for suspended microalgae cultivation [22,23]. Some hydrophilic substrates have strong capillary ability. Under the capillary ability, water could be lifted along the hydrophilic material from the bottom to the top. Xu et al. built this kind of capillary-driven attached microalgae culture system and obtained biomass productivity of approximately 10 g·m−2·day−1 (footprint area) with the carrier packing density between 16% to 32% [24].
Inspired by the physical and biological methods for wastewater treatment, an attached microalgae-simulated plant system was designed by attaching microalgae onto the surface of one kind of hydrophilic microfiber in this study. Driven by the capillary action of the hydrophilic substrate, water with pollutants could be transferred into the microalgae cells, thus supporting microalgal growth. Simultaneously, this simulated plant system could increase the process of wastewater evaporation, realizing zero-discharge and resource transformation of WROC.
The purpose of this study is to investigate the general law of water treatment rates using this attached microalgae-simulated plant system, the pollutant transformation rate into microalgae biomass, and wastewater treatment mechanisms.
2. Materials and Methods
2.1. Algal Strain
The microalgae Chlorella vulgaris FACHB-416, purchased from the Freshwater Algae Culture Collection at the Institute of Hydrobiology, was chosen as the target microalgae species. Chlorella vulgaris was incubated in BG11 culture medium (purchased from Qingdao Hi-Tech Industrial Park Haibo Biotechnology Co., Ltd., Qingdao, Shandong, China) at 25 °C in an artificial climate chamber [25]. LED lights (Philips, Suzhou, China, 220 V, 16 W) were applied as a light source. The light intensity was 70 μmol·m−2·s−1, and the light to dark ratio was 12 h:12 h.
2.2. The Quality of Wastewater
The artificial wastewater used in the experiment was prepared to simulate WROC with the formula shown in Table 1. WROC had a relatively high content of nitrogen, phosphorus, and hardness ions [25,26,27]. A5 solution (Table 1) was added into the WROC to provide the trace elements required for the microalgal growth. The chemical reagents used to prepare the A5 solution were purchased from Sinopharm Chemical Reagent Co., Ltd., Shanghai, China.
Table 1.
The formulation of simulated WROC.
2.3. Experiment Design
The experiment ran from 2 April to 29 April in the laboratory of Shandong University, Qingdao, Shandong Province, China (E120.68 N36.36). The schematic diagram of an attached microalgae-simulated plant is shown in Figure 1. In this experiment, hydrophilic microfibers were used to mimic the trunks and branches of the attached microalgae-simulated plants (Shown in Figure 1). The main component of the microfiber was cotton yarn, with 4 strands and 3000 twists, produced by Cangnan Taifu Commodity Factory, Wenzhou, Zhejiang, China. The water absorption capacity was 2.48 ± 0.50 L/m. Attached microalgae on the surface of microfibers functioned as plant leaves, and the artificial WROC was transported by the capillary power of microfibers. The microfibers fixed on the metal string were immersed in the algae solution (algal density was about 106 cells/mL) and stirred for 10 s to realize the initial attachment of the Chlorella on the substrate. It was estimated that the initial dry weight of the microalgae inoculated on the microfiber was about 0.005 mg/cm microfiber. Approximately 50 g of sand was placed at the bottom of each 500 mL beaker to clamp the “root” of the plant, and each beaker was also filled with 250 mL simulated WROC. A plastic cap was placed on top of each beaker with a hole to allow the plant trunk to pass through and avoid the natural evaporation of water (Figure 1). The types of microalgae-simulated plant were divided into the “I” type and “Y” type to simulate the sole branch plant and multi-branch plant. Each “root” part was 10 cm long, and each “branch” was 15 cm long. The WROC was diluted to 20%, 40%, 60%, 80% and 100% to investigate their influence on the growth status of attached microalgae and the further conversion efficiency from pollutant to microalgae biomass. Each experiment group was set with two parallel samples. Microalgae was cultivated in a windless laboratory and illuminated by sunlight. The relative humidity of air during the experiment ranged from 20% to 70%, according to the weather. CO2 in the air was used to cultivate microalgae as a carbon source without additional CO2 supplementation. The concentration of CO2 in the culture environment was about 0.03–0.04%.
Figure 1.
Schematic diagram of the attached microalgae-simulated plant system. (a) Water pathway in the attached microalgae-simulated plant system; (b) different behaviors among ions.
2.4. Analysis Method
2.4.1. Growth Index of Microalgae
Attached microalgae were harvested after the 28-day experiment. The microfibers of the “branch” part were equally divided into three sections, i.e., the upper, middle and lower layers. Attached microalgae on each section of microfiber were re-suspended into 100 mL deionized water in a beaker by continuous stirring until the color of the carrier returned to the original white from microalgal green. The re-suspended algae solution was applied for the detection of microalgae density and biomass dry weight. Algal density was counted with the hemocytometer under an optical microscope. Meanwhile, the dry weight was measured by the weight differences of filter paper, that is, before and after the suspension filtration through a 0.45 μm filter and drying at 105 °C to the constant weight of filter paper. The filtrate obtained by filtration was used to determine the water quality of the micro-environment with attached microalgae [25]. The temperature and humidity in the laboratory were monitored every day during the experiment for further analysis.
2.4.2. The Water Evaporation Rate and Pollutant Concentration Monitoring
The evaporation rate of the experimental group was obtained by calculating the daily water level changes. TN and TP concentrations in the simulated WROC were measured every 3 days, according to the Chinese States Standard Testing Methods [20,24]. Water quality in the micro-environment of the attached microalgae was also measured using the same method as above.
2.4.3. Statistical Analysis
All tests were carried out in triplicate (n = 3). ANOVA and T tests were used to determine statistical significance, using the software SPSS 25.0 (IBM, Armonk, New York, USA). A confidence level of 95% was selected to strictly determine the significance, and a statistically significant difference was defined for p < 0.05.
3. Results and Discussion
3.1. Performance of Wastewater Treatment and Its Influence Factors
WROC, containing both water and pollutants/nutrients, was conveyed upward to the middle of the attached microalgae biofilm (acting as the leaves of a plant) by the capillary action of the hydrophilic material-made root and stem. In this process, the microalgae attached to the microfibers could utilize water and nutrients (mainly including carbon, nitrogen, phosphorus, etc.) from WROC for their growth. Specifically, some nutrients were absorbed by the matrix of the extracellular polymeric substance (EPS) released by the microalgae. The remaining nutrients moved upwards with water and crystallized at the top of the microfibers due to physical water evaporation. Attached microalgae accelerated the evaporation of water, and accordingly the water in the WROC returned to the global geochemical water cycle. Thus, by using the attached microalgae-simulated plant system for WROC treatment, zero-discharge of wastewater could be achieved, in addition to pollutant transformation into a bioresource (Figure 1).
The total phosphorus and nitrogen concentration of WROC in beakers did not change significantly with time. This indicated that nutrients such as nitrogen and phosphorus in the WROC were transported along the microfibers synchronously with water, driven by capillary action, and did not concentrate in the artificial WROC tank. Figure 2 and Table 2 show the water evaporation rates under different experimental conditions. It demonstrated that the attached microalgae-simulated plant could achieve a high water-evaporation rate of almost 15 L·m−2·day−1. Temperature, humidity, nutrient concentration, and microalgal growth status were the potential influencing factors that might have great impact on the evaporation of simulated wastewater. The environmental temperature was 25.0 ± 2.0 °C during the experimental duration. As shown in Figure 2, the evaporation rate decreased significantly with the increasing ambient humidity, because high humidity in the air shortened the water gradient gap between the substrate and the air, and slowed down the water transportation from the attached microalgae-simulated plant to a gas phase [28,29]. WROC with dilution concentrations of 20%, 40%, 60%, 80% and 100% were applied into the systems without microalgae-simulated plants to simulate the natural evaporation pond. In these groups without microalgae, the daily water level changes were not detectable, while they could reach several centimeters in the experiment groups with plants, which showed an order of magnitude advantage. For example, water level change reached 10.62 L·m−2·day−1 at 21% relative humidity in the “I” type plant system for WROC diluted by 20%, and 14.84 L·m−2·day−1 at 28% relative humidity in the “Y” type plant for WROC diluted by 20%. This strongly proved the advance of this attached microalgae-simulated plant system in enhancing the water evaporation process.
Figure 2.
Evaporation under different humidity in the attached microalgae-simulated plant system.
Table 2.
WROC evaporation rates of different attached microalgae-simulated plants under the relative humidity of 70%.
The sole influence of diluent concentration on evaporation rate could be ignored without microalgae seen from Table 2 (p > 0.05). However, the dilution of WROC could influence the growth of the attached microalgae and indirectly affect the water zero-discharge rate. As shown in Figure 3, attached microalgae with WROC diluted by 40% showed the best growth status, followed by the groups with WROC diluted by 20% and 60%, while the groups with WROC diluted by 80% and 100% showed the poorest growth (p < 0.05). Meanwhile, according to Table 2, water evaporation rates in the groups in which microalgae grew well were higher than the groups with poor growth of microalgae under the same humidity conditions (groups with WROC diluted by 20%, 40% and 60% were considered as “microalgae grew well groups” and groups with WROC diluted by 80% and 100% were considered as “relatively poor groups”, p < 0.05). Moreover, the difference of the evaporation between the good-growth and poor-growth groups was more obvious under a high relative humidity above 45% (shown in Figure 2 and Table 2, p < 0.05). Under low relative humidity, the physical evaporation was strong and the enhancement by microalgae seemed weak.
Figure 3.
Algae density and dry weight that was harvested from an attached microalgae-simulated plant system. (a) Biomass at different WROC dilution concentrations; (b) biomass in different substrate positions (the biomass came from one branch).
The promotion of water evaporation by microalgae could be analogous to the transpiration of plant leaves. At the same time, microalgae also increased the specific surface area of the “plant”, which provided the possibility for more water evaporation. Therefore, it can be inferred that the great growth of attached microalgae on the microfibers promoted the evaporation of WROC, which was also proved by the data in Table 2. Plants with more branches were supposed to have better water evaporation rates. However, compared with the “I” type attached microalgae-simulated plants, the “Y” type plants with more branches did not show a significantly faster rate of water evaporation (p > 0.05). If more branches were set in the attached microalgae-simulated plant, this advantage may gradually show.
3.2. Growth of Attached Microalgae with WROC
As the water and pollutants were transported along the microfibers, pollutants were transformed into the microalgae biomass resource, which could be applied to produce biodiesel, feed additives, etc. Since nitrogen is involved in the synthesis of DNA and protein in cells [30], and phosphorus is involved in the synthesis of enzymes and ATP [31], the growth of microalgae is sensitive to nitrogen and phosphorus concentrations. Hence, excessive or insufficient TN and TP could inhibit the growth of microalgae [19]; this is why different dilution rates of WROC were set to find out the optimal nutrient concentration to realize the maximum conversion from pollutant to biomass. The density and dry weights of microalgae cultures in WROC diluted by different percentages are shown in Figure 3. After a 28-day cultivation, the attached microalgae in the group with WROC diluted by 40% (initial TN ≈ 12 mg/L, TP ≈ 8 mg/L) exhibited the best growth performance, and the density of the algae on the substrate increased from 2.5 × 105 cell/mL to 2.2 × 106 cell/mL. With the continuous transportation of WROC and the evaporation of water, the TN and TP in the micro-environment among microfibers might be accumulated, which would inhibit the growth of the attached microalgae. Previous reports found that the growth of suspended microalgae was inhibited in the group with more concentrated WROC [32,33]. The attached microalgae in the groups with WROC diluted by 80% and 100% did not grow well, and the green color of microalgae on the top of the substrate obviously faded along with the appearance of the salt crystals. This was ascribed to the excessive nutrient salt concentration that inhibited the growth of the microalgae. Insufficient nutrient concentration in the group with a high dilution fraction could also lead to the poor growth of microalgae. Therefore, the appropriate WROC dilution fraction was conducive to the growth of microalgae, and microalgae in the WROC diluted by 40% and 60% showed the best performance of pollutant transformation into a biomass resource. As can be seen from Figure 3b, the growth of the middle layer of microalgae was better than that of the lower layer (p < 0.05). As pollutants with different valences in WROC had different mobilities due to the electrostatic attraction to EPS, some ions might accumulate excessively at the lower layer of the substrate and thus inhibit the growth of microalgae in this area. The nutrient concentration analysis of the micro-environment in different locations in Section 3.3 also supported this viewpoint, which is discussed in the next section.
The accumulation of biomass in different types of plants is shown in Figure 3a. In most experimental groups, attached microalgae biomass in “I” type plants was slightly higher than that of the “Y” type (p < 0.05). Figure 4 shows that the TP concentration in the micro-environment of the “I” type plant was higher than that of the “Y” type plant. This was because the upper branch of the “Y” type plant owned the same “root”, but the quantity of stem and leaves doubled compared to the “I” type plant. Hence, the nutrients absorbed by the “Y” type plants were equally divided by two branches, thus reducing the supplement of nutrients for each branch, and resulting in a worse growth of microalgae. However, the “Y” type plants could harvest a higher microalgae biomass owing to the doubled branch than the “I” type plants. When nutrient was over-supplied, the plants with more branches could share the nutrient burden and achieve a better microalgae growth. For the scale-up application, the WROC dilution fraction and branch number of plants could be further optimized to realize the optimal nutrient concentration in the micro-environment of attached microalgae and maximize the bioresource conversion efficiency from pollutants.
Figure 4.
Total phosphorus concentration at the same position on different types of plants.
3.3. The Utilization and Distribution of Nutrients and Resource Conversion Efficiency
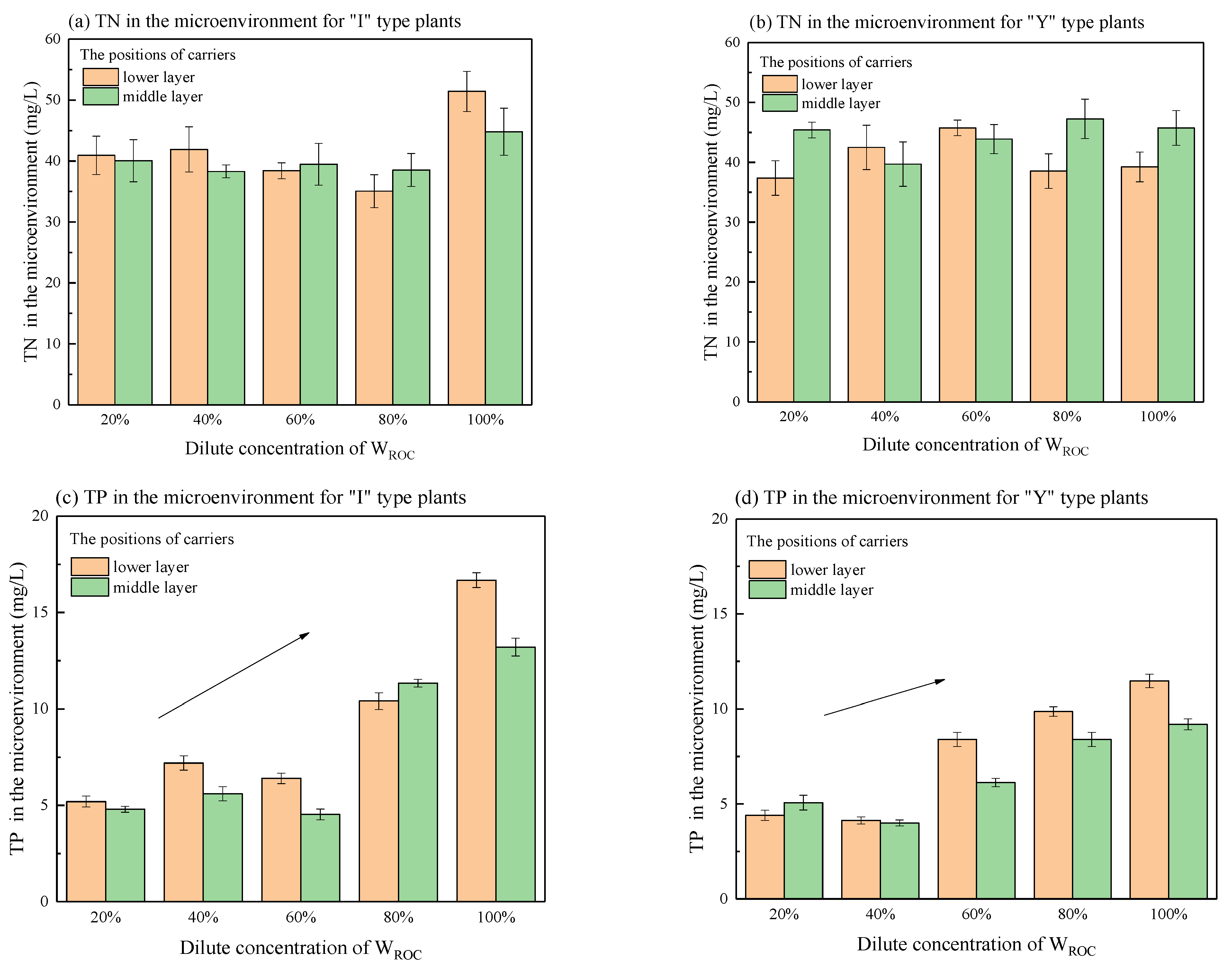
Figure 5 shows the nutrient concentration in the micro-environment of attached microalgae-simulated plants. There was no significant difference in nitrogen concentrations among different groups with the gradient diluted WROC for both “I” and “Y” type plants (p > 0.05). However, the phosphorus concentration from five groups with increasing initial phosphorus concentrations showed an increasing trend, in parallel with the increasing content of phosphorus in the WROC (p < 0.05). This may be caused by the different movability of different ions [26]. Nitrate ions were set as the nitrogen source for artificial wastewater in this study, and were more easily carried by the flow of WROC to the top of the plant under the capillary action of substrates, because of low ion valence and high movability. Meanwhile, phosphate ions tended to be trapped by EPS matrix for their high valence and were subsequently absorbed by the attached microalgae. Consequently, the phosphorus concentrations of the lower layers were higher than those of the middle layers, which also supported the above view (Figure 5c,d). The different mobility of various ions on microfibers in WROC were similar to the mechanisms of ion exchanger resin; that is, ions with more charge were more easily trapped. Thus, in the process of nutrient upward transportation, phosphorus had a greater impact on limiting the growth of microalgae than nitrogen. The above analysis also revealed why the biomass of the different layers of the substrate were different, as mentioned in Section 3.2.
Figure 5.
Total nitrogen and total phosphorus concentration in the micro−environment of the attached microalgae−simulated plant. (a) TN in micro-environment for “I” type plants; (b) TN in micro-environment for “Y” type plants; (c) TP in micro-environment for “I” type plants; (d) TP in micro-environment for “Y” type plants.
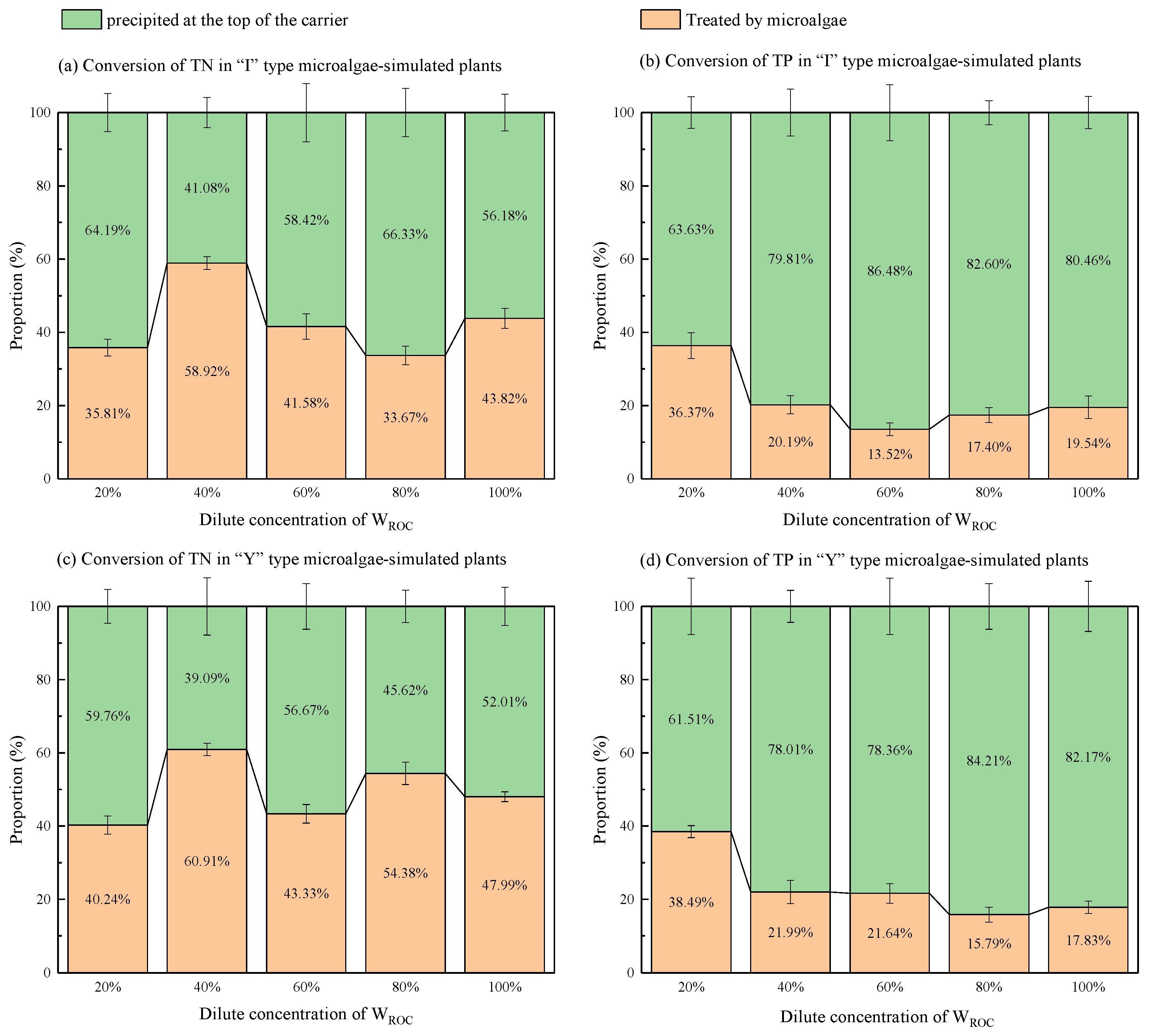
The nutrients transferred into the attached microalgae-simulated plant had two fates: (1) adsorbed by the EPS matrix and absorbed by the microalgae for growth and metabolism [34,35], and (2) crystallized at the top of plant. The contributions of the nutrient pathways were calculated by mass balance (Figure 6). Overall, the contribution of microalgae was less than the physical crystallization method. Nevertheless, the contribution of biological treatment of WROC in the “Y” type plant was slightly greater than that of the “I” type plant. Nitrogen was more difficult to maintain in the ambient environment around the microalgae, owing to its higher mobility compared to phosphorus. Hence, the EPS absorbance of phosphorus was greater than that of nitrogen. Meanwhile, microalgae cells had a larger need for nitrogen than phosphorus, according to the molecular formula of algae (i.e., C:N:P = 106:16:1 [36]), leading to the accumulation of a large amount of nitrogen in cells. As a result of the combined functions of EPS absorbance and accumulation in microalgae cells, nitrogen in WROC was more biologically active than phosphorus. In future research, increasing the microalgae inoculation amount and branch numbers could be applied to strengthen the biological pathway for zero-discharge of WROC and to further the bioresource conversion of pollutants. In addition, in the later stage of the experiment the microfiber with microalgae biomass could be harvested and replaced by a new microfiber with microalgae incubated, so as to solve the impact of the accumulation of nutrients in the micro-environment on the growth of microalgae.
Figure 6.
Conversion of nutrients in the attached microalgae-simulated plant system. (a) Conversion of TN in “I” type plant; (b) conversion of TP in “I” type plant; (c) conversion of TN in “Y” type plant; (d) conversion of TP in “Y” type plant.
4. Conclusions
Compared with natural evaporation, the attached microalgae-simulated plant system could strengthen the zero-discharge of WROC with a high rate of 15 L·m−2·day−1. The strengthened effect showed more advantages under low environmental humidity. The appropriate dilutions of WROC and the branch number of plants are more conducive to the growth of attached microalgae and the biomass conversion of pollutants. However, the phosphorus accumulation in the micro-environment should be given more attention, as it may inhibit the growth of microalgae.
Author Contributions
Conceptualization, L.-L.Z.; methodology, L.-L.Z., Q.S. and H.Y.; validation, formal analysis, data curation, Q.S. and H.Y.; writing—original draft preparation, H.Y.; writing—review and editing, Y.Y. and T.Y.; supervision, L.-L.Z.; project administration, L.-L.Z.; funding acquisition, L.-L.Z. All authors have read and agreed to the published version of the manuscript.
Funding
This research was funded by the Doctoral Natural Science Foundation of Shandong Province, grant number ZR2019BEE020, the Major Scientific and Technological Innovation Projects of 2019 Key R & D Plans, grant number 2019JZZY010411, and the Natural Science Foundation of China, grant number 52000122.
Institutional Review Board Statement
Not applicable.
Informed Consent Statement
Not applicable.
Data Availability Statement
Not applicable.
Conflicts of Interest
The authors declare no conflict of interest.
References
- Hailemariam, R.H.; Woo, Y.C.; Damtie, M.M.; Kim, B.C.; Park, K.-D.; Choi, J.-S. Reverse osmosis membrane fabrication and modification technologies and future trends: A review. Adv. Colloid Interface Sci. 2020, 276, 102100. [Google Scholar] [CrossRef] [PubMed]
- Okamoto, Y.; Lienhard, J.H. How RO membrane permeability and other performance factors affect process cost and energy use: A review. Desalination 2019, 470, 114064. [Google Scholar] [CrossRef]
- Pérez-González, A.; Urtiaga, A.; Ibañez, R.; Ortiz, I. State of the art and review on the treatment technologies of water reverse osmosis concentrates. Water Res. 2012, 46, 267–283. [Google Scholar] [CrossRef] [PubMed]
- Zhang, A.; Gu, Z.; Chen, W.; Li, Q.; Jiang, G. Removal of refractory organic pollutants in reverse-osmosis concentrated leachate by Microwave–Fenton process. Environ. Sci. Pollut. Res. 2018, 25, 28907–28916. [Google Scholar] [CrossRef]
- Deng, H. A review on the application of ozonation to NF/RO concentrate for municipal wastewater reclamation. J. Hazard. Mater. 2020, 391, 122071. [Google Scholar] [CrossRef] [PubMed]
- Wang, Y.-L.; Chen, J.-Y.; Yu, J.; Liu, G.; Huang, R.-X. Analysis on emission standard-compliant technologies for treatment of reverse osmosis concentrate produced during reclamation of electroplating wastewater. Electroplat. Finish. 2014, 33, 939–942. [Google Scholar]
- Birben, N.C.; Bekbolet, M. Role of emerging contaminants on solar photocatalytic treatment of organic matter in reverse osmosis concentrate. Catal. Today 2019, 326, 101–107. [Google Scholar] [CrossRef]
- Duan, F.; Dong, W.; Tian, L.; Du, S.; Gao, M.; Wang, J. Research progress in the removing technologies of non-degradable organic substances in reverse osmosis (RO) concentrate. Ind. Water Treat. 2017, 37, 22–26. [Google Scholar] [CrossRef]
- Qiu, N.; Wang, Z.; Yang, Y.; Zhao, C.; Shi, Y. Calculation of the operating cost of sewage recycling treatment plant. China Water Wastewater 2003, 4, 97–98. [Google Scholar]
- Tang, F.; Sun, Y.; Shi, Y.; Li, X.; Hu, H. Cost analysis for a microfiltration-reverse osmosis (MF-RO) process applied in wastewater reclamation. Chin. J. Environ. Eng. 2013, 7, 417–421. [Google Scholar]
- Greenlee, L.F.; Lawler, D.F.; Freeman, B.D.; Marrot, B.; Moulin, P. Reverse osmosis desalination: Water sources, technology, and today’s challenges. Water Res. 2009, 43, 2317–2348. [Google Scholar] [CrossRef]
- Liu, J.; Tian, J. Mass transfer mechanism of reverse osmosis concentrate brines with vacuum membrane distillation in arid areas. Desalin. Water Treat. 2019, 171, 18–28. [Google Scholar] [CrossRef]
- Subramani, A.; Jacangelo, J.G. Treatment technologies for reverse osmosis concentrate volume minimization: A review. Sep. Purif. Technol. 2014, 122, 472–489. [Google Scholar] [CrossRef]
- Pradhan, S.; Fan, L.; Roddick, F.A.; Shahsavari, E.; Ball, A.S.; Zhang, X. A comparative study of biological activated carbon based treatments on two different types of municipal reverse osmosis concentrates. Chemosphere 2020, 240, 124925. [Google Scholar] [CrossRef]
- Garcia-Segura, S.; Ocon, J.D.; Chong, M.N. Electrochemical oxidation remediation of real wastewater effluents—A review. Process. Saf. Environ. Prot. 2018, 113, 48–67. [Google Scholar] [CrossRef]
- Chen, Y.; Xu, C.; Vaidyanathan, S. Microalgae: A robust “green bio-bridge” between energy and environment. Crit. Rev. Biotechnol. 2017, 38, 351–368. [Google Scholar] [CrossRef] [Green Version]
- Mantzorou, A.; Navakoudis, E.; Paschalidis, K.; Ververidis, F. Microalgae: A potential tool for remediating aquatic environments from toxic metals. Int. J. Environ. Sci. Technol. 2018, 15, 1815–1830. [Google Scholar] [CrossRef]
- Harris, J.; Viner, K.; Champagne, P.; Jessop, P.G. Advances in microalgal lipid extraction for biofuel production: A review. Biofuels Bioprod. Biorefining 2018, 12, 1118–1135. [Google Scholar] [CrossRef]
- Nagarajan, D.; Lee, D.-J.; Chen, C.-Y.; Chang, J.-S. Resource recovery from wastewaters using microalgae-based approaches: A circular bioeconomy perspective. Bioresour. Technol. 2020, 302, 122817. [Google Scholar] [CrossRef] [PubMed]
- Zheng, H.; Wu, X.; Zou, G.; Zhou, T.; Liu, Y.; Ruan, R. Cultivation of Chlorella vulgaris in manure-free piggery wastewater with high-strength ammonium for nutrients removal and biomass production: Effect of ammonium concentration, carbon/nitrogen ratio and pH. Bioresour. Technol. 2019, 273, 203–211. [Google Scholar] [CrossRef] [PubMed]
- Jais, N.M.B.; Mohamed, R.M.S.B.R.; Apandi, W.A.W.M.; Peralta, H.M.M. Removal of Nutrients and Selected Heavy Metals in Wet Market Wastewater by Using Microalgae Scenedesmus sp. Appl. Mech. Mater. 2015, 773–774, 1210–1214. [Google Scholar] [CrossRef] [Green Version]
- Roy, M.; Mohanty, K. A comprehensive review on microalgal harvesting strategies: Current status and future prospects. Algal Res. 2019, 44, 101683. [Google Scholar] [CrossRef]
- Hoffmann, J.P. Wastewater Treatment with Suspended and Nonsuspended Algae. J. Phycol. 1998, 34, 757–763. [Google Scholar] [CrossRef]
- Xu, X.-Q.; Wang, J.-H.; Zhang, T.-Y.; Dao, G.-H.; Wu, G.; Hu, H.-Y. Attached microalgae cultivation and nutrients removal in a novel capillary-driven photo-biofilm reactor. Algal Res. 2017, 27, 198–205. [Google Scholar] [CrossRef]
- Zhuang, L.-L.; Azimi, Y.; Yu, D.; Wu, Y.-H.; Hu, H.-Y. Effects of nitrogen and phosphorus concentrations on the growth of microalgae Scenedesmus. LX1 in suspended-solid phase photobioreactors (ssPBR). Biomass Bioenergy 2018, 109, 47–53. [Google Scholar] [CrossRef]
- Maeng, S.K.; Khan, W.; Park, J.W.; Han, I.; Yang, H.S.; Song, K.G.; Choi, W.J.; Kim, S.; Woo, H.; Kim, H.-C. Treatment of highly saline RO concentrate using Scenedesmus quadricauda for enhanced removal of refractory organic matter. Desalination 2018, 430, 128–135. [Google Scholar] [CrossRef]
- Maeng, S.K.; You, S.H.; Nam, J.-Y.; Ryu, H.; Timmes, T.C.; Kim, H.-C. The growth of Scenedesmus quadricauda in RO concentrate and the impacts on refractory organic matter, Escherichia coli, and trace organic compounds. Water Res. 2018, 134, 292–300. [Google Scholar] [CrossRef]
- Laguerre, O.; Lecoq, L.; Zoz, F.; Guyot, S.; Beney, L.; Flick, D. Influence of the air humidity on the drying of a liquid droplet on a solid plate and on bacterial destruction. J. Food Eng. 2017, 212, 76–86. [Google Scholar] [CrossRef]
- Shokri-Kuehni, S.M.S.; Rad, M.N.; Webb, C.; Shokri, N. Impact of type of salt and ambient conditions on saline water evaporation from porous media. Adv. Water Resour. 2017, 105, 154–161. [Google Scholar] [CrossRef] [Green Version]
- Goncalves, E.C.; Koh, J.; Zhu, N.; Yoo, M.-J.; Chen, S.; Matsuo, T.; Johnson, J.V.; Rathinasabapathi, B. Nitrogen starvation-induced accumulation of triacylglycerol in the green algae: Evidence for a role for ROC40, a transcription factor involved in circadian rhythm. Plant J. 2016, 85, 743–757. [Google Scholar] [CrossRef] [Green Version]
- Sharma, A.K.; Mühlroth, A.; Jouhet, J.; Maréchal, E.; Alipanah, L.; Kissen, R.; Brembu, T.; Bones, A.M.; Winge, P. The Myb-like transcription factor phosphorus starvation response (PtPSR) controls conditional P acquisition and remodelling in marine microalgae. New Phytol. 2019, 225, 2380–2395. [Google Scholar] [CrossRef] [Green Version]
- Miras, A.M.; López-Rosales, L.; Cerón-García, M.C.; Sánchez-Mirón, A.; Olivera-Gálvez, A.; Garcia-Camacho, F.; Molina-Grima, E. Acclimation of the microalga Amphidinium carterae to different nitrogen sources: Potential application in the treatment of marine aquaculture effluents. Environ. Boil. Fishes 2020, 32, 1075–1094. [Google Scholar] [CrossRef]
- Kube, M.; Spedding, B.; Gao, L.; Fan, L.; Roddick, F. Nutrient removal by alginate-immobilized Chlorella vulgaris: Response to different wastewater matrices. J. Chem. Technol. Biotechnol. 2020, 95, 1790–1799. [Google Scholar] [CrossRef]
- Fang, F.; Lu, W.-T.; Shan, Q.; Cao, J.-S. Characteristics of extracellular polymeric substances of phototrophic biofilms at different aquatic habitats. Carbohydr. Polym. 2014, 106, 1–6. [Google Scholar] [CrossRef] [PubMed]
- Salama, Y.; Chennaoui, M.; Sylla, A.; Mountadar, M.; Rihani, M.; Assobhei, O. Characterization, structure, and function of extracellular polymeric substances (EPS) of microbial biofilm in biological wastewater treatment systems: A review. Desalin. Water Treat. 2016, 57, 16220–16237. [Google Scholar] [CrossRef]
- Goldman, J.C.; McCarthy, J.J.; Peavey, D.G. Growth rate influence on the chemical composition of phytoplankton in oceanic waters. Nat. Cell Biol. 1979, 279, 210–215. [Google Scholar] [CrossRef]
Publisher’s Note: MDPI stays neutral with regard to jurisdictional claims in published maps and institutional affiliations. |
© 2021 by the authors. Licensee MDPI, Basel, Switzerland. This article is an open access article distributed under the terms and conditions of the Creative Commons Attribution (CC BY) license (https://creativecommons.org/licenses/by/4.0/).





