Abstract
In this study, ultrasonication-assisted calcium carbonate scale inhibition was investigated compared with a commercial antiscalant ATMP (amino tris(methyl phosphonic acid)). The effects of varying ultrasound amplitude, pH, and inhibition duration were evaluated. The inhibition of calcium carbonate scale formation was measured based on the concentration of calcium in the solution after subjecting to different conditions. Scale deposits were also characterized using scanning electron microscopy and X-ray diffraction spectroscopy. Inhibition of scale formation was supported at a pH of 7 for an ultrasound amplitude of 150 W. A 94% calcium carbonate inhibition was recorded when the experiment was carried out with ultrasonication. The use of 5 mg/L ATMP achieved a 90% calcium carbonate inhibition of ATMP. The result of the characterization revealed that the morphology of the crystals was unaffected by ultrasonic irradiation. Sample treatment was performed with two different membranes to evaluate the calcium carbonate deposition, and data reveals that, at identical conditions, ultrasonication provides less deposition when compared to the control experiments.
1. Introduction
Scale formation occurs due to the precipitation of dissolved mineral salts. Mineral salt precipitation creates blockages in fluid channels, heat transfer surfaces, conveyance systems, condenser tubes, or membrane surfaces [1,2]. The growth of these precipitates often leads to heat transfer hindrance, energy consumption, equipment performance deterioration, shutdown, and productivity loss [3,4,5]. Scaling may occur in different industrial processes such as water transportation, oil and gas production, power generation, and batch precipitation [6,7]. There are various chemical treatment strategies to inhibit scale formation that involves prevention, reduction, or delay of inorganic scales.
Calcium carbonate is one of nature’s most abundant minerals and significantly contributes to scaling formation [8]. Calcium carbonate can be an amorphous solid in three different crystalline forms: calcite, aragonite, and vaterite [9]. Aragonite is favored at high temperatures, while calcite is favored at low temperatures. The processes are triggering the decomposition of HCO3− according to the overall reaction:
leading to the precipitation of CaCO3 once its solubility limit is reached.
HCO3− (aq) = CO32− (aq) + CO2 (aq) + H2O
CO32− (aq) + Ca2+ (aq) = CaCO3(s)
Calcium carbonate can be found in three different crystalline forms: calcite, aragonite, and vaterite. At high temperatures (T > 70 °C), aragonite is favored, while calcite is favored at low temperatures (T < 30 °C). Recent works have shown that less stable polymorphs such as vaterite and aragonite may be formed at room temperature due to wettability or flow instabilities. However, at any temperature, all polymorphs eventually recrystallize to the thermodynamically favored calcite [10,11]. The crystallization process occurs due to supersaturation, nucleation, and growth of crystals [12]. Supersaturation plays a crucial role in the crystallization process and prominently affects the nucleation rate [13]. The nucleation and crystal growth phenomenon conspicuously affect the crystal size distribution. To control the scale formation, a clear understanding of the crystallization process is of prime importance.
Several approaches have been adopted to control calcium carbonate scale formation [14,15]. Some of these include ion exchange softening [16], acid dosing [17], magnetic and electronic conditioners [18,19], surface modification [20] and ultrasound [21,22]. These methods control scale formation by altering the growth mechanisms of the crystals, changing the potential of a surface to foul, or affecting the solubility of the carbonates [23]. One of the most effective methods of inhibiting scale formation is by adding chemical inhibitors, also known as antiscalants [24]. Antiscalants derived from polyphosphates, organophosphates, and polyelectrolytes hinder scale formation by blocking growth sites. The mechanisms of antiscalants involve dispersion, crystal modification, and chelation. Crystal modification involves the distortion of the formed particle, resulting in an irregular, less adhesive crystal, preventing crystal growth at calcite surfaces [25,26]. The chemical scale inhibitors are continuously injected into the reservoir that controls the nucleation process of crystals and prevents the adhesion to the surface of pipes [27]. They are not environmentally friendly due to their chemical effect on treated water and the surrounding environment. Antiscalants are also expensive and require large quantities to treat water [28]. Hence, nowadays, there is an increasing need for new approaches that are environmentally friendly and economically feasible. Of these approaches, the application of ultrasound, magnetic, and electric fields has been reported [21].
The utilization of ultrasound for the calcium carbonate scale inhibition is a practical application due to the environment-friendly ultrasound. Ultrasonic irradiation successfully disintegrates and deactivates the clusters formed during the crystallization of CaCO3 [29]. The continuous use of ultrasonic waves in the liquid system produces bubbles. The bubble’s collapse causes a cavitation effect, promoting the destruction of boundary layers, lowering supersaturation levels, and reducing clusters [30,31]. Dalas et al. reported that the application of ultrasound retarded the water-formed scale deposits by retarding the dehydration and diffusion steps of the calcium carbonate species formed in the solution [32]. Studies have also revealed that ultrasonic irradiation enhances the precipitation rate of calcium carbonate due to physical mixing [33]. In the quest to understand calcium carbonate precipitation rate, the effects of factors such as cavitation, ultrasonic intensity, and horn tip size have been studied [34]. The impact of ultrasound amplitude and frequency on the morphology of calcium carbonate precipitates has also been studied [35]. However, an in-depth understanding of other factors, such as conductivity, ultrasound amplitude, and chemical antiscalant during ultrasonic irradiation and pH is still essential. The primary purpose of this work is to investigate the effect of the pH, ultrasound amplitude, and the addition of chemical antiscalant ATMP on calcium carbonate scale inhibition.
2. Experiments
2.1. Reagents and Instruments
Sigma Aldrich, Corporation of Germany, supplied calcium chloride (CaCl2·6H2O), sodium chloride (NaCl), sodium bicarbonate (NaHCO3), and ethylenediaminetetraacetic acid (EDTA) of analytical grade. Commercial antiscalant ATMP (trade name: Hydrex 4102) with pH of 11.0–12.0, and the specific gravity of 1.35–1.45, was supplied by Veolia Water Technologies, Khoobar, Saudi Arabia. The flat sheet polypropylene and polysulfone membranes were purchased from Membrana (Germany). The surface morphology of the scales was obtained using a field emission scanning electron microscope (Lyra3 TESCAN FESEM). In contrast, the XRD diffractograms of the scales were obtained using a Rigaku Miniflex II desktop X-ray diffractometer with a 30 kV tube output voltage.
2.2. Saturated Calcium Carbonate Solution
The calcium carbonate formation in actual field conditions takes a very long time. Thus, to accelerate the process, we prepared calcium carbonate at saturation conditions. The saturated calcium carbonate solution was prepared by mixing 86.0 mM sodium chloride, 4.5 mM calcium chloride, and 9.5 mM sodium bicarbonate using deionized water (Millipore Q-Plus 185). The pH of the solutions was measured by a glass/saturated calomel electrode (Metrohm, Herisau, Switzerland), calibrated before and after each experiment. The pH of the working solution was adjusted by the addition of hydrochloric acid and ammonia buffer. Calcium carbonate precipitation initiated while adding calcium chloride and sodium bicarbonate
2.3. Application of Ultrasonic Radiation and Study of Effect of Ultrasonic Amplitude
Ultrasonic radiation was generated by an ultrasonic homogenizer working at a frequency of 20 kHz and a rated power of 750 W, with a horn immersed in the center of the reaction solution. The reaction solution of 0.500 dm3 was placed inside a vessel of 13 cm in diameter and 14 cm height to achieve a solution surface height of 10 cm. A volume of 10 mL of the working solution was taken every 15 min to determine the calcium ion concentration, filtered by a 0.25 µm membrane, and then titrated with EDTA standardized solution.
The calcium carbonate scale deposition was carried out by weighing the polypropylene and polysulfone membranes. During the scale inhibition study, these membranes were placed inside the working solutions for 30 and 60 min, respectively. Finally, they were dried in an oven for 1 h at 110 °C, and then the membranes were weighed, together with the deposits. At the end of the experiments, the solutions were filtered, and the precipitates were collected and examined by XRD to determine the crystal types of the deposited CaCO3 scales.
3. Results and Discussions
3.1. Factors Affecting Scale Inhibition
The pH of the sample solution played a crucial role when ultrasonic inhibition was applied. Figure 1 shows that calcium concentration steeply decreases when ultrasonication was performed in a relatively basic solution at the start of the experiment. However, there is a slight decrease in Ca concentration at pH 8.0 and pH 7.0 up to 30 min. With the passing time, the amount of Ca continues to decrease, and at pH 9.0, it changes from 4.5 to 4.2 mM, compared to 4.3 nM at pH 8.0 and 4.25 nM at pH 7.0. These outcomes revealed more formation about the calcium carbonate scales in the solution with relatively higher alkalinity. However, the ultrasound scale inhibition shows better performance at neutral pH. The effect of pH can be interpreted based on the pH dependence of carbonate concentration in the solution. Bicarbonate dissociates into carbonate according to the equation:
HCO3− ⇌ CO32− + H+ (pKa = 10.33)
pH = pKa + Log [CO32−]/[HCO3−]
Figure 1.
Effect of pH on calcium concentration over time during the ultrasonication process.
According to the Henderson–Hasselbalch equation, as pH increases, the carbonate concentration increases, as indicated in Table 1:
Table 1.
Effect of pH on carbonate concentration at 9.5 mM bicarbonate solution.
Increasing pH by two units increases the carbonate concentration by two orders of magnitude, increasing the chance of calcium and carbonate ions recombination, hence increasing the rate of calcium carbonate precipitation. These findings are supported by the fact that the dissolved carbon is distributed among three different species, H2CO3, HCO3− and CO32−, as a function of pH in a carbonate system. This distribution of carbonate species is derived from the Henderson–Hasselbalch relationship, knowing pH and pK. At low pH, H2CO3 is the dominant species. Starting from pH 5, HCO3− will appear until being dominant from pH 6–10. When increasing pH to 8, CO32− will appear in the system, being the prevalent species at pH 9 and above [36].
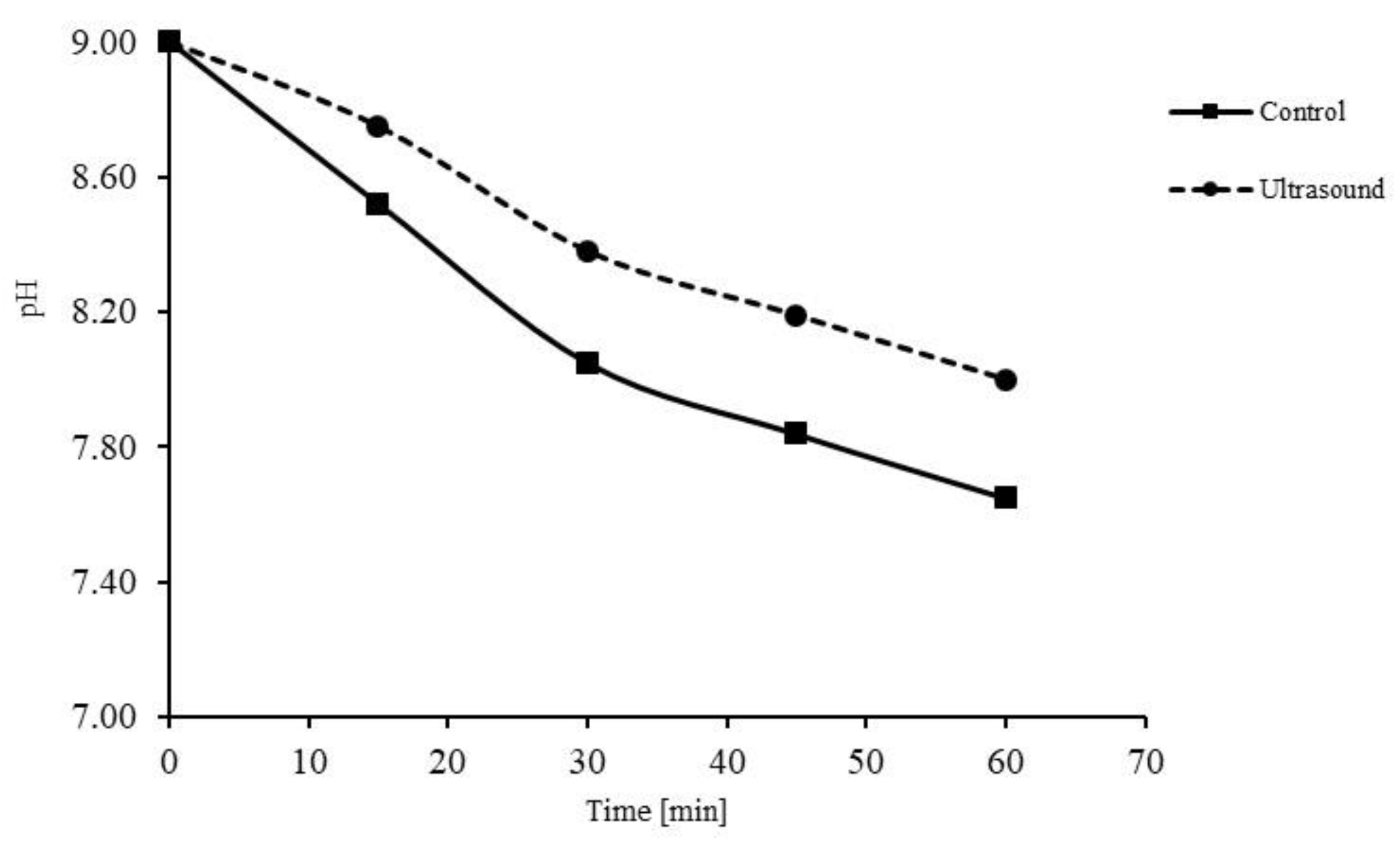
While the precipitation of the CaCO3 happens, it also alters the pH of the solution. This phenomenon is observed when the pH of the solution was monitored every 15 min to determine the extent of scale precipitation with time. Figure 2 illustrates the variation of pH for control and sonicated cases. The change in the solution pH was monitored with control and ultrasonicated samples. Results revealed that sample pH decreases up to 1 h, and then no significant differences were observed. After 60 min, complete precipitation was observed in control samples, whereas in the ultrasonicated sample, it further decreases to keep constant. As calcium carbonate precipitates, the protons are released according to:
a2+ (aq) + HCO3− (aq) ⇌ CaCO3 (s) + H+ (aq)
Figure 2.
Comparison of pH variation with and without ultrasound treatment.
The pH of the control (untreated) sample displays a decrease from 9.0 to 8.2. In contrast, that of the sonicated sample pH decreased from 9.0 to 7.8, indicating that less calcium carbonate precipitated in the case of sonicated water samples.
In order to investigate the effect of ultrasound waves on the precipitation reaction, different amplitudes of 150 and 450 W were applied to the sample and compared with the control experiment. Outcomes shown in Figure 3 revealed that at the start of the experiment, a more pronounced decrease in the concentration of calcium was observed under the influence of ultrasound irradiation as compared to the control experiment. Nevertheless, after 60 min, it can be observed that calcium concentration in solution decreased from 4.5 to 3.1 mM at 450 W, while decreasing to 2.8 mM in the case of the control experiment. Conversely, there is a negligible decrease in Ca concentration when 150 W ultrasonic radiations were employed. The presence of more calcium ion concentration in the solution means less precipitate formed when ultrasound irradiation is applied. This may be because irradiating the solution with ultrasound dissociates the water molecules so that they can be able to solvate the calcium and carbonate ions. Hence, they will not react with precipitation and dissolved calcium carbonate. At 150 W, calcium concentration decreased to 4.2 mM, which is higher than 450 W, which confirms better inhibition of the precipitation of the salt at 150 W. This attributed to the fact that, at 150 W, the effect of physical mixing of solutions is lower and results to a lower precipitation rate.
Figure 3.
Effect of ultrasound amplitude on calcium concentration.
The effect of the addition of chemical antiscalants during ultrasound irradiation was studied by adding different dosages (from 0 to 10 mg/L) of ATMP. The effect is expressed as calcium carbonate inhibition percentage (CCI%):
where is the calcium ion concentration at t = 0 and is the calcium concentration at time (t). Figure 4 demonstrates the performance of ultrasonication on calcium ion inhibition over control and ATMP. Ultrasonication improved the inhibition considerably when compared to the control sample (without ultrasonication). CCI% increased from 63.16% to 94.32% after 60 min. However, the addition of ATMP during ultrasound irradiation had a negative effect on the scale inhibition behavior, as shown in Figure 4. The reason for the CCI% drop might be due to the fission of the C-P bond of the antiscalant and the formation of calcium orthophosphate beside calcium carbonate. Hence, more calcium ions were consumed by the solution due to the precipitation of calcium orthophosphate.
Figure 4.
Effect of different dosages of amino tris(methyl phosphonic acid (ATMP) on ultrasonication with the control sample. At a lower dosage (1 mg/L), the treatment is not sufficient; 5 or 10 mg/L of ATMP is required to obtain comparable ultrasonication performance.
Conductivity variations were observed to demonstrate the effect of physical scale inhibition on the conductivity of the sample. Figure 5 shows the conductivity variation of untreated and sonicated water for 60 min. The conductivity drop in the case of an untreated water sample is higher than that in the sonicated water sample. This contributed to the formation of more calcium carbonate precipitate in the untreated water, which leads to more calcium and bicarbonate ions consumption for the solution and hence lowers the electrical conductivity of the untreated water with time. On the other hand, the cavitation resulted in an increased number of ions in the aqueous samples. Consequently, sonicated samples show better conductivity.
Figure 5.
Comparison of conductivity variation with and without sonication.
3.2. Characterization of Scale Deposits
3.2.1. Membrane Scale Deposit Measurements
Calcium carbonate deposition on membrane-based water treatment industries suffers significant problems. To evaluate the amount of scales deposited, polypropylene (hydrophobic) and polysulfone (hydrophilic) membranes were utilized. Figure 6 shows the mass of calcium carbonate deposited on polypropylene and polysulfone membranes kept in the working solutions for 30 and 60 min. The outcomes revealed that the amount of scale deposited in the case of the sonicated sample is insignificant compared to that of the control. The lower precipitation rate explains the lower scale deposition in the case of ultrasound application than the untreated sample.
Figure 6.
Weight measurements of calcium carbonate deposits with and without ultrasound application.
3.2.2. SEM Micrograph and XRD Analysis
SEM and XRD analyses were performed to confirm the nature of deposited CaCO3 crystals. The SEM micrographs of ultrasonicated and control samples were obtained to show the effect of ultrasound irradiation on the surface morphology of calcium carbonate deposits after precipitation. As shown in Figure 7, the crystals were obtained after ultrasonication, ATMP, and the control experiments after 60 min. The ultrasonication strongly influenced the morphology of the crystals and the decomposition of the membranes. This can be seen from the SEM images that ATMP and ultrasonication produce soft crystals compared to the control experiments.
Figure 7.
Scanning Electron Microscopy (SEM) images for deposits of (a) untreated control, (b) treated with ATMP, and (c) ultrasonicated sample after 60 min.
Results are in agreement with the results obtained by Shivkumara et al. (2006) and Han et al. (2006) [37,38]. Additionally, from the surface morphology obtained, it can be inferred that crystals are made up of calcite and vaterite since it is widely accepted that calcite and aragonite have rhombohedric structures, while vaterite is spherical [28]. Additionally, minimal differences are observed in ATMP, and ultrasonicated samples indicate that the morphology of the crystals formed had a similar formation mechanism.
The XRD pattern of the crystals shown in Figure 8 also supports the SEM data. The comparison of the precipitated crystals is performed with the XRD spectra of standard peaks of calcite and vaterite, as shown in Figure 8b. The patterns show that the deposit mainly consists of calcite and vaterite, as depicted in the SEM data description.
Figure 8.
X-ray powder diffraction (XRD) spectra for (a) calcium carbonate crystals obtained from ultrasonication samples and (b) standard peaks of calcite and vaterite.
3.3. Comparison of Ultrasound with Commercial Antiscalants
The performance of ultrasonication and the ATMP method (without ultrasonication) for scale inhibition was also compared. Figure 9 shows photographs of the rate of calcium carbonate precipitation of untreated, chemically treated, and sonicated samples after 60 min. Results demonstrate the suitability of the ultrasonication process with chemical treatment.
Figure 9.
Photographs of ultrasonication treatment with ATMP and control after 60 min.
A glance at Figure 10 reveals that the rate law of precipitation is parabolic, having a peak at 15 min—the induction period of calcium carbonate precipitation under these conditions—since calcium carbonate is a sparingly soluble salt. Additionally, also evident is the sharp decrease in the precipitation rate in the case of the treated samples. However, the sonicated water showed a sharper decline compared to the chemically treated one, due to the splitting of the solvent water molecules under the effect of ultrasound, solvating more calcium and carbonate species, preventing their recombination, and hence decreasing the rate of calcium carbonate precipitation.
Figure 10.
Comparative calcium carbonate precipitation rate of treated and untreated water samples.
4. Conclusions
Calcium carbonate scale formation is a severe problem in many water treatment industries. Developing green technology is required to safeguard the environment. In this context, our study shows a promising result in laboratory conditions. Results suggest that the ATMP and ultrasonicated samples provide a significant decrease in scale formation and are stable even after 60 min. The membrane deposition study indicates that ultrasonication strongly influenced the morphology of the crystals and provides less adhesion to the membranes. The application of ultrasound is a useful viable green approach compared to ATMP antiscalant treatment. Implementing this technology at the industrial setup will be the ultimate goal for this project. The ultrasound can be applied to retard the calcium carbonate fouling on the pipe surfaces in oil and gas plants. However, the optimized conditions obtained in the lab scale may not be suitable, and a customized approach is needed in the real-field environment. Research findings suggest that there is potential to develop non-chemical methods for industrial anti-scaling applications.
Author Contributions
Conceptualization, C.B., A.A.S.; methodology, M.N.E.D.; resources, C.B.; writing—original draft preparation, E.M.A.-M.; writing—review and editing, C.B. and K.K.Q.; visualization, K.K.Q. and E.M.A.-M.; supervision, C.B.; project administration, C.B.; funding acquisition, C.B. and A.A.S. All authors have read and agreed to the published version of the manuscript.
Funding
Funding support is from the King Abdul Aziz City for Science and Technology through the Science and Technology Unit at King Fahd University of Petroleum and Minerals for funding (project No. 10-WAT1399-04), as part of the National Science Technology and Innovation Plan.
Informed Consent Statement
Not applicable. No humans or animals were used.
Data Availability Statement
No additional data has been submitted.
Acknowledgments
The authors gratefully acknowledge the support of the King Abdul Aziz City for Science and Technology through the Science and Technology Unit at King Fahd University of Petroleum and Minerals for funding (project No. 10-WAT1399-04), as part of the National Science Technology and Innovation Plan.
Conflicts of Interest
The authors declare no conflict of interest.
References
- Zarga, Y.; Boubaker, H.B.; Ghaffour, N.; Elfil, H. Study of calcium carbonate and sulfate co-precipitation. Chem. Eng. Sci. 2013, 96, 33–41. [Google Scholar] [CrossRef]
- Younes, A.A.; El-Maghrabi, H.H.; Ali, H.R. Novel polyacrylamide-based solid scale inhibitor. J. Hazard. Mater. 2017, 334, 1–9. [Google Scholar] [CrossRef]
- Antony, A.; Low, J.H.; Gray, S.; Childress, A.E.; Le-Clech, P.; Leslie, G. Scale formation and control in high-pressure membrane water treatment systems: A review. J. Memb. Sci. 2011, 383, 1–16. [Google Scholar] [CrossRef]
- Chen, T.; Neville, A.; Yuan, M. Calcium carbonate scale formation—assessing the initial stages of precipitation and deposition. J. Pet. Sci. Eng. 2005, 46, 185–194. [Google Scholar] [CrossRef]
- Yang, Y.; Kim, H.; Starikovskiy, A.; Fridman, A.; Cho, Y.I. Application of pulsed spark discharge for calcium carbonate precipitation in hard water. Water Res. 2010, 44, 3659–3668. [Google Scholar] [CrossRef]
- Demadis, K.D.; Mavredaki, E.; Stathoulopoulou, A.; Neofotistou, E.; Mantzaridis, C. Industrial water systems: Problems, challenges, and solutions for the process industries. Desalination 2007, 213, 38–46. [Google Scholar] [CrossRef]
- Shen, Z.; Shi, J.; Zhang, S.; Fan, J.; Li, J. Effect of optimized three-component antiscalant mixture on calcium carbonate scale deposition. Water Sci. Technol. 2017, 75, 255–262. [Google Scholar] [CrossRef][Green Version]
- Al Nasser, W.N.; Al-Salhi, F.H.; Hounslow, M.J.; Salman, A.D. Inline monitoring the effect of chemical inhibitor on the calcium carbonate precipitation and agglomeration. Chem. Eng. Res. Des. 2011, 89, 500–511. [Google Scholar] [CrossRef]
- Siva, T.; Muralidharan, S.; Sathiyanarayanan, S.; Manikandan, E.; Jayachandran, M. Enhanced Polymer Induced Precipitation of Polymorphous in Calcium Carbonate: Calcite Aragonite Vaterite Phases. J. Inorg. Organomet. Polym. Mater. 2017, 27, 770–778. [Google Scholar] [CrossRef]
- Al-Hamzah, A.A.; East, C.P.; Doherty, W.O.S.; Fellows, C.M. Inhibition of homogenous formation of calcium carbonate by poly (acrylic acid). The effect of molar mass and end-group functionality. Desalination 2014, 338, 93–105. [Google Scholar] [CrossRef]
- de Leeuw, N.H.; Parker, S.C. Surface Structure and Morphology of Calcium Carbonate Polymorphs Calcite, Aragonite, and Vaterite: An Atomistic Approach. J. Phys. Chem. B. 1998, 102, 2914–2922. [Google Scholar] [CrossRef]
- Gerdts, C.J.; Tereshko, V.; Yadav, M.K.; Dementieva, I.; Collart, F.; Joachimiak, A.; Stevens, R.C.; Kuhn, P.; Kossiakoff, A.; Ismagilov, R.F. Time-Controlled Microfluidic Seeding in nL-Volume Droplets To Separate Nucleation and Growth Stages of Protein Crystallization. Angew. Chem. 2006, 118, 8336–8340. [Google Scholar] [CrossRef]
- Lindfors, L.; Forssén, S.; Westergren, J.; Olsson, U. Nucleation and crystal growth in supersaturated solutions of a model drug. J. Colloid Interface Sci. 2008, 325, 404–413. [Google Scholar] [CrossRef]
- Szcześ, A. Influence of SDS on particle size and adhesion of precipitating calcium carbonate. Colloids Surfaces A Physicochem. Eng. Asp. 2008, 320, 98–103. [Google Scholar] [CrossRef]
- Wu, Z.; Davidson, J.H.; Francis, L.F. Effect of water chemistry on calcium carbonate deposition on metal and polymer surfaces. J. Colloid Interface Sci. 2010, 343, 176–187. [Google Scholar] [CrossRef]
- Venkatesan, A.; Wankat, P.C. Simulation of ion exchange water softening pretreatment for reverse osmosis desalination of brackish water. Desalination 2011, 271, 122–131. [Google Scholar] [CrossRef]
- Liu, D.; Dong, W.; Li, F.; Hui, F.; Lédion, J. Comparative performance of polyepoxysuccinic acid and polyaspartic acid on scaling inhibition by static and rapid controlled precipitation methods. Desalination 2012, 304, 1–10. [Google Scholar] [CrossRef]
- Alabi, A.; Chiesa, M.; Garlisi, C.; Palmisano, G. Advances in anti-scale magnetic water treatment. Environ. Sci. Water Res. Technol. 2015, 1, 408–425. [Google Scholar] [CrossRef]
- Ou, H.-H.; Hsieh, L.-H.C. A synergistic effect of sodium gluconate and 2-phosphonobutane-1,2,4-tricarboxylic acid on the inhibition of CaCO3 scaling formation. Powder Technol. 2016, 302, 160–167. [Google Scholar] [CrossRef]
- Tran, H.V.; Tran, L.D.; Vu, H.D.; Thai, H. Facile surface modification of nanoprecipitated calcium carbonate by adsorption of sodium stearate in aqueous solution. Colloids Surfaces A Physicochem. Eng. Asp. 2010, 366, 95–103. [Google Scholar] [CrossRef]
- Tijing, L.D.; Lee, D.-H.; Kim, D.-W.; Cho, Y.I.; Kim, C.S. Effect of high-frequency electric fields on calcium carbonate scaling. Desalination 2011, 279, 47–53. [Google Scholar] [CrossRef]
- Lipus, L.C.; Ačko, B.; Hamler, A. Electromagnets for high-flow water processing. Chem. Eng. Process. Process Intensif. 2011, 50, 952–958. [Google Scholar] [CrossRef]
- MacAdam, J.; Parsons, S.A. Calcium carbonate scale formation and control. Rev. Environ. Sci. Bio./Technol. 2004, 3, 159–169. [Google Scholar] [CrossRef]
- Liu, G.; Xue, M.; Liu, Q.; Yang, H.; Yang, J.; Zhou, Y. Maleic anhydride–allylpolyethoxy carboxylate copolymer as an effective and environmentally benign inhibitor for calcium carbonate in industrial cooling systems. RSC Adv. 2017, 7, 24723–24729. [Google Scholar] [CrossRef]
- Shen, Z.; Li, J.; Xu, K.; Ding, L.; Ren, H. The effect of synthesized hydrolyzed polymaleic anhydride (HPMA) on the crystal of calcium carbonate. Desalination 2012, 284, 238–244. [Google Scholar] [CrossRef]
- Bai, S.; Naren, G.; Nakano, M.; Okaue, Y.; Yokoyama, T. Effect of polysilicic acid on the precipitation of calcium carbonate. Colloids Surfaces A Physicochem. Eng. Asp. 2014, 445, 54–58. [Google Scholar] [CrossRef]
- Sousa, M.F.B.; Bertran, C.A. New methodology based on static light scattering measurements for evaluation of inhibitors for in bulk CaCO3 crystallization. J. Colloid Interface Sci. 2014, 420, 57–64. [Google Scholar] [CrossRef] [PubMed]
- Palanisamy, K.; Raj, K.S.; Bhuvaneswari, S.; Subramanian, V.K. A novel phenomenon of effect of metal on calcium carbonate scale, morphology, polymorphism and its deposition. Mater. Res. Innov. 2017, 21, 294–303. [Google Scholar] [CrossRef]
- Kim, S.; Wei, C.; Kiang, S. Crystallization Process Development of an Active Pharmaceutical Ingredient and Particle Engineering via the Use of Ultrasonics and Temperature Cycling. Org. Process Res. Dev. 2003, 7, 997–1001. [Google Scholar] [CrossRef]
- Su, M.; Han, J.; Li, Y.; Chen, J.; Zhao, Y.; Chadwick, K. Ultrasonic Crystallization of Calcium Carbonate in the presence of Seawater Ions. Desalination 2015, 369, 85–90. [Google Scholar] [CrossRef]
- Hu, A.; Zheng, J.; Qiu, T. Industrial experiments for the Application of ultrasound on scale control in the Chinese sugar industry. Ultrason. Sonochem. 2006, 13, 329–333. [Google Scholar] [CrossRef]
- Dalas, E. The effect of ultrasonic field on calcium carbonate scale formation. J. Cryst. Growth 2001, 222, 287–292. [Google Scholar] [CrossRef]
- Nishida, I. Precipitation of calcium carbonate by ultrasonic irradiation. Ultrason. Sonochem. 2004, 11, 423–428. [Google Scholar] [CrossRef]
- Stoica-Guzun, A.; Stroescu, M.; Jinga, S.; Jipa, I.; Dobre, T.; Dobre, L. Ultrasound influence upon calcium carbonate precipitation on bacterial cellulose membranes. Ultrason. Sonochem. 2012, 19, 909–915. [Google Scholar] [CrossRef] [PubMed]
- Kojima, Y.; Yamaguchi, K.; Nishimiya, N. Effect of amplitude and frequency of ultrasonic irradiation on morphological characteristics control of calcium carbonate. Ultrason. Sonochem. 2010, 17, 617–620. [Google Scholar] [CrossRef]
- Revelle, R. Physico-Chemical Factors Affecting the Solubility of Calcium Carbonate in Sea Water. SEPM J. Sediment. Res. 1934, 4, 103–110. [Google Scholar] [CrossRef]
- Shivkumara, C.; Singh, P.; Gupta, A.; Hegde, M.S. Synthesis of vaterite CaCO3 by direct precipitation using glycine and l-alanine as directing agents. Mater. Res. Bull. 2006, 41, 1455–1460. [Google Scholar] [CrossRef]
- Han, Y.S.; Hadiko, G.; Fuji, M.; Takahashi, M. Crystallization and transformation of vaterite at controlled pH. J. Cryst. Growth 2006, 289, 269–274. [Google Scholar] [CrossRef]
Publisher’s Note: MDPI stays neutral with regard to jurisdictional claims in published maps and institutional affiliations. |
© 2021 by the authors. Licensee MDPI, Basel, Switzerland. This article is an open access article distributed under the terms and conditions of the Creative Commons Attribution (CC BY) license (https://creativecommons.org/licenses/by/4.0/).









