Abstract
Routine maintenance of fishing vessels and wastewater discharges are primary sources of heavy metals in fishing ports. Sediment pollution assessment is necessary in fishing port management, including sediment dredging and disposal, sewage treatment facility construction, and pollution source control. In this study, sediment heavy metal contents in Qianzhen Fishing Port, the largest pelagic fishery port in Taiwan, were investigated to assess the contamination levels and related potential ecological risks using multiple sediment pollution indices. Normalization methods were applied to identify the potential sources of heavy metals in fishing port sediments. Results showed that Cu, Zn, Pb, and Cr contents in the sediments of the inner fishing port (averages of 276, 742, 113, and 221 mg/kg, respectively) were 3–5 times greater compared to those along the port entrance and outside, indicating the strong impacts of anthropogenic pollution (EFCu: 5.6–12.5; EFZn: 2.8–4.3; EFPb: 2.4–5.4; EFCr: 1.1–3.2). Copper pollution was more severe, with high maxima contamination factor (CFCu: 15.1–24.8), probably contributed by copper-based antifouling paints used in fishing vessels. The sediments in the inner fishing port are categorized as having considerable ecological risk and toxicity (mERMq: 0.61–0.91; ΣTU: 7.5–11.7) that can potentially cause adverse effects on benthic organisms. Qianzhen Fishing Port sediments can be characterized as high Cu/Fe and Pb/Fe, moderate Zn/Fe, and high total grease content, indicating that the potential sources of heavy metals are primarily antifouling paints and oil spills from the fishing vessels. This study provides valuable data for pollution control, remediation, and environmental management of fishing ports.
1. Introduction
Sediments act as a significant sink of heavy metals in the aquatic environment, especially in estuarine, coastal, and port regions where anthropogenic heavy metals are frequently accumulated [1,2]. Most heavy metals tend to be adsorbed on suspended solids and organic matter in seawater, then finally deposited in sediments [3]. Thus, heavy metal contents in the sediments can better correspond to the surrounding aquatic environment quality, contrasting to the generally low concentration in the water column [4]. Even though some heavy metals such as Cu, Zn, and Ni are essential for aquatic life, they could be toxic at a certain level, posing risks to aquatic biological diversity [5,6]. As a result, heavy metals accumulated in sediments potentially cause adverse effects on aquatic organisms, resulting in long-term impacts on the aquatic ecosystem, even threatening human health through the contaminated food chain [7,8]. Therefore, sediments have been used as an important environmental indicator in assessing the impacts of anthropogenic heavy metal pollution [9,10].
Seaports are important areas for global economic and trade activities, and hence have become a land–sea coordinated area strongly influenced by human activities [11]. Sea transportation, fishery, ship maintenance, and commercial activities surrounding seaports release pollutants into the adjacent waters and sediments [12]. Ports are generally a semi-enclosed water area with dike constructions, resulting in limited water circulation and slow renewal after being polluted. Therefore, port areas are prone to accumulating considerable pollutants, particularly in the sediments which are considered as hot spots of anthropogenic pollution [13,14].
Fishing port management is an essential government role in environmental and economic aspects as it supports the fishery, being the primary food and economic resource, especially for coastal cities [15]. Determining the pollution status of fishing ports will help the planning of facilities, construction activities, formulation of management regulations, and control of pollution sources [16,17]. Fishing port sediments worldwide have been significantly contaminated with heavy metals [17,18,19,20]. Routine maintenance of fishing vessels and wastewater discharges may potentially be the primary sources of heavy metals in fishing port sediments.
In Kaohsiung City, Taiwan’s third largest city, there are 16 fishing ports along the coastal zone, accommodating more than 3400 fishing boats with a total tonnage of approximately 350,000 tons; accounting for two-thirds of the total fishing vessel tonnage in Taiwan [21]. Qianzhen Fishing Port, constructed in the late 1960s, is currently the largest fishing port of pelagic fishery in Taiwan. Its annual landed catch is up to 320,000 tons, contributing 30% of Taiwan’s fishery production [22]. This intensive fishery has caused the fishing port to face unavoidable impacts of heavy metal pollution. Sediment pollution assessment is necessary for fishing port management, particularly for sediment dredging and disposal, construction of sewage treatment facilities, and pollution source control. However, the lack of studies focusing on the heavy metal contamination in Qianzhen Fishing Port sediments and its associated ecological impacts hinder the development of appropriate pollution management strategies.
Therefore, this study examined the spatial variation, contamination levels, and the potential ecological risks of heavy metals (Cu, Zn, Pb, Cr, Ni, Hg, As, and Fe) in Qianzhen Fishing Port sediments using multiple sediment pollution indices. These indices include: pollution load index (PLI), Nemerow pollution index (NPI), enrichment factor (EF), geo-accumulation index (Igeo), mean ERM quotient (mERMq), and sum of toxic units (ΣTU). Moreover, the interrelationships between properties of the sediments and its heavy metal contents, and their potential sources along the fishing port area were evaluated.
2. Materials and Methods
2.1. Study Area
Qianzhen Fishing Port (22°34′11″ N, 120°18′49″ E) is a Class I fishing port situated in Qianzhen District of Kaohsiung City, southern Taiwan. The fishing port is located inside and connecting to the main waterway of Kaohsiung Port (the largest international container harbor in Taiwan). The wharf area is adjacent to the container terminals of Kaohsiung Port, fishery administration buildings, schools, residential areas, fueling stations, fish markets, and fishery-related factories. Qianzhen Fishing Port currently ranks as the largest oceanic fishing port in Taiwan, with a berth of ~0.27 km2 and a wharf of ~3200 m. It can accommodate approximately 300 large fishing vessels of over 500 tons, mainly including pelagic tuna and squid fishing vessels, purse seines, and trawls. The tonnage and fish catch of fishing vessels landing in the fishing port is the highest in Taiwan [21].
2.2. Sample Collection and Analysis
Surface sediments (approximately 0–10 cm below seafloor) were collected from 7 sampling sites (Figure 1) onboard the vessel using a Van-Veen grab, in August 2021. Site Q1 is located at the waterway outside Qianzhen Fishing Port. Site Q2 is located at the port entrance, while sites Q3–Q7 are located inside the fishing port. The digestion and measurement procedures of sediment heavy metals were conducted according to the standard method of the Environmental Protection Administration, Taiwan. Sediment samples were air-dried and homogenized using an agate mortar and pestle. A 0.5 g of sediment sample was digested using a microwave digestion system (CEM MARS-6, Matthews, NC, USA) with Teflon-lined digestion vessels. The digestion solution is a mixture of concentrated acid: 9 mL 65% HNO3, 3 mL 37% HCl, 3 mL 40% HF, and 2 mL 35% H2O2 [23]. Typically, the reverse aqua regia (HNO3/HCI = 3/1) has been documented as the best digestion solution for sediment sample [24]. The HF has been commonly applied for the digestion of aluminosilicate minerals matrix in sediments [25]. The H2O2 was used to enhance the decomposition of organic matter in sediment sample. Samples were digested at 180°C for 10 min, with a heating rate of 10 °C/min [23]. After microwave digestion process, the final solution was diluted to 25 mL with double distilled water (>18.2 MΩcm). Heavy metal concentrations (Cu, Zn, Pb, Cr, Ni, Hg, As, and Fe) were determined using a polarized Zeeman flame atomic absorption spectrophotometer (AAS, Hitachi ZA-3300, Tokyo, Japan). A hydride formation system (Hitachi HFS-3, Tokyo, Japan) was applied to determine Hg and As, of which Hg was determined using the cold vapor technique. To verify the validity of the results, a NIST SRM 1646a standard reference material (Gaithersburg, MD, USA) was analyzed with the same process. A certified reference material, CRM-029 (Sigma-Aldrich, Burlington, MD, USA) was also used for routine QAQC works of the heavy metal analysis. In addition to the AAS method, the alternative method, inductively coupled plasma optical emission spectrometry (ICP-OES), can also be used to determine heavy metal concentrations in the sediments [26].
Figure 1.
Sampling sites in Qianzhen Fishing Port, Kaohsiung City, southern Taiwan.
In addition, the sediment grain size composition was determined using a laser diffraction particle size analyzer (Beckman Coulter LS-230, Brea, CA, USA). Total organic carbon (TOC) was determined based on the Walkley–Black method [27]. The recovery of the dextrose (C6H12O16) standard (Sigma-Aldrich, Burlington, MD, USA) was 93 ± 4% (n = 3) and the reproducibility standard deviation of the TOC in sediment sample was 0.3% (n = 5). Total nitrogen (TN), total phosphorus (TP), and total grease (TG) were determined using USEPA Method 351.2, Method 365.1, and the APHA Method 5520E, respectively [28,29,30].
2.3. Sediment Pollution Indices
The sediment contamination levels were assessed using pollution load index (PLI), Nemerow pollution index (NPI), enrichment factor (EF), geo-accumulation index (Igeo), mean ERM quotient (mERMq), and sum of toxic units (ΣTU). Among them, the EF has been considered as a better index to compensate for the grain size effect and provide better assessment of anthropogenic pollution. Other indices, such as contamination factor (CF) and geo-accumulation index (Igeo), could be easily affected by the sediment particle size and mineral composition [31]. Nevertheless, those sediment pollution indices are still widely used in regional sediment heavy metal pollution assessment [32,33].
The classification of sediment contamination levels based on sediment pollution indices are detailed in Table 1. The formulas are listed as follows:
where PLI is the pollution load index; CFi pertains to the contamination factor of each heavy metal; n is the number of heavy metals studied; Msample and Mbackground are concentrations of heavy metals in fishing port sediments and the background, respectively.
Table 1.
Classification of sediment contamination levels based on sediment pollution indices.
The average contents of heavy metals in the outer Kaohsiung Harbor sediments were adopted as the background values [39].
where NPI is the Nemerow pollution index; CFmax and CFmean are the maxima and average contamination factor of heavy metal studied.
where EF is the enrichment factor; (Mi/Fe)sample and (Mi/Fe)background are the ratio of each heavy metal to iron content of the fishing port sediment sample and the background, respectively. This study adopted iron content for the normalization because it is abundant in the earth and not easily disturbed by anthropogenic pollution. Natural inputs mostly dominate iron sources [40]. Some studies reported that the iron content could be not appreciated for the normalization such as semi-closed waters due to early diagenesis of the redox-sensitive iron element. However, in a regional investigation, there may be no significant differences in the redox condition of sediments. The EF values could be more affected by the adopted background values than the selection of element used for the normalization [41]. Thus, so far, the iron content is still commonly used for the normalization of heavy metals in sediments [17,42].
where Igeo is the geo-accumulation index; Msample and Mbackground are concentrations of heavy metals in fishing port sediments and the background, respectively.
where mERMq is the mean ERM quotient; (Msample/MERM)i is the ratio of each heavy metal content in the sediment sample to its effects range median (ERM) criteria value; n pertains to the number of studied heavy metals.
where ΣTU is the sum of toxic units; (Msample/MPEL)i is the ratio of each heavy metal content in the sediment sample to its probable effects level (PEL) criteria value.
3. Results and Discussion
3.1. Sediment Basic Properties
Grain size composition and organic matter contents are the two crucial properties affecting the degree of pollution in sediments. As shown in Table 2, the sediments inside Qianzhen Fishing Port (Q3–Q7) were predominately composed of silt (62.3–84.7%, 76.1% in average), followed by sand (5.2–29.0%, avg. 14.7%) and clay (6.0–10.9%, avg. 9.3%). In contrast to fine-grained sediments observed inside the fishing port, the sediments from outside the waterway (Q1) and at the port entrance (Q2) have high sand content (avg. 79.4%), but low contents of silt (avg. 18.3%) and clay (avg. 2.3%). The port is a relatively closed water area, with a 100-meter-wide entrance for water exchange, only through tides. Thus, unlike the waterways outside the fishing port where sediment dredging is frequently conducted, it is easier to deposit fine-grained sediments associated with pollutants inside the fishing port.
Table 2.
Grain size (clay, silt, sand), total organic carbon (TOC), total nitrogen (TN), total phosphorus (TP), and total grease (TG) contents in the sediments of Qianzhen Fishing Port.
Similarly, sediment total organic carbon (TOC) was higher inside the fishing port (1.7–7.1%, avg. 4.3%) compared to the port entrance and outside the port (avg. 0.9%) (Table 2). In particular, the TOC content at sites Q6 and Q7 located at the innermost port area were 2–3 times greater compared to the rest of the stations inside the port (Q3–Q5). The amounts of total nitrogen (TN) in the sediments (Q3–Q7) inside the fishing port ranged between 1480–4250, while the total phosphorus (TP) was between 444–620 mg/kg. These concentrations were 2–3 times higher than sites Q1 and Q2 (Table 2). The sediment TOC, TN, and TP contents consistently showed an increasing pattern from the port entrance to the innermost port area. The total grease (TG) content also increased from the port entrance inward (Table 2), of which TG inside the port (Q4–Q7, avg. 4970 mg/kg) reached up to 17 times greater compared to outside (Q1–Q2, avg. 284 mg/kg). The high organic matter accumulation and grease levels in the sediments may reflect the poor water exchange in the fishing port area; hence, it is classified as a pollution hot spot.
3.2. Spatial Variations in Heavy Metals
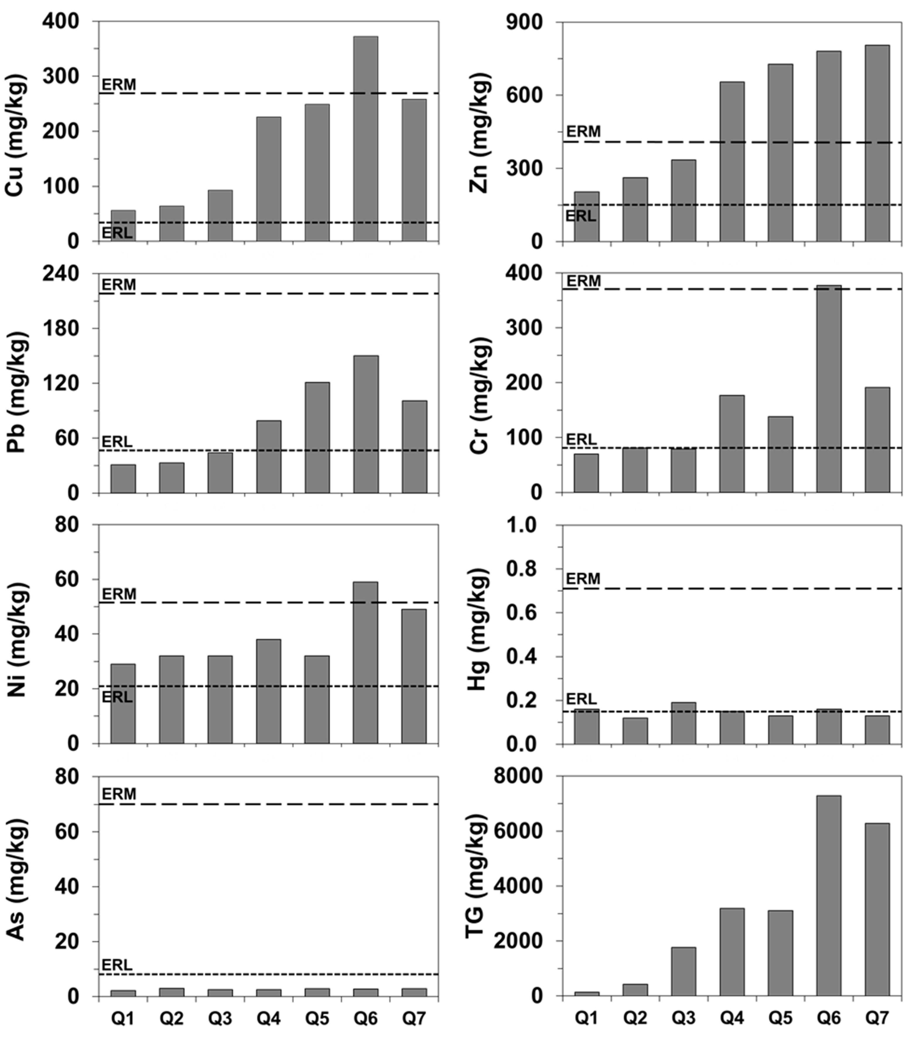
Obvious spatial variation in heavy metal contents in sediments were detected in the fishing port (Table 3). Cu, Zn, and Pb exhibited an increasing pattern from the port entrance to the inner fishing port area (Figure 2). Cu, Zn, and Pb in the inner fishing port area (Q4–Q7) ranged between 226–372, 655–805, and 79–150 mg/kg, respectively. The average concentrations (276, 742, and 113 mg/kg for Cu, Zn, and Pb, respectively) were approximately 4.6, 3.2, and 3.5 times higher than those of the port entrance and outside (Q1–Q2, avg. 60, 233, and 32 mg/kg for Cu, Zn, and Pb). Comparing with the sediment quality guidelines (Table 3, Figure 2), the Cu content of site Q6 was found higher than the ERM, while that of sites Q4, Q5, and Q7 were relatively close. This indicates that the sediments in the innermost fishing port area have severe Cu pollution. Similarly, Zn contents in sites Q4–Q7 were much higher than the ERM, indicating severe Zn pollution. The contamination status of Pb was lower than Cu and Zn, displaying the content between ERL and ERM at sites Q4–Q7. Overall, it can be observed that site Q6 presented the highest heavy metal contents (e.g., Cu, Pb, Cr, and Ni) and TOC. In addition, Cr and Ni contents in site Q6 were also higher than the ERM, indicating serious pollution of heavy metal.
Table 3.
Heavy metal contents (mg/kg and except for Fe in %) in the sediments of Qianzhen Fishing Port.
Figure 2.
Variations in heavy metals (Cu, Zn, Pb, Cr, Pb, Ni, Hg, As) and total grease (TG) in Qianzhen Fishing Port sediments. Horizontal dotted and dashed lines indicate the values of ERL and ERM, respectively.
As indicated in Figure 1, the vicinity of site Q6 is the main berthing area of fishing boats between 200–1000 tons (categorized as CT6 and CT7). Thus, several ship hardware and repair factories are located near the quayside, increasing pollution in the area. Antifouling paints used in fishing boats typically contain heavy metals such as Cu and Zn, which can prevent the growth of fouling organisms [46]. Likewise, the paints for the decking and cabin generally contain Pb additives for corrosion resistance [47]. Heavy metals may also be enriched in the spilled oils, especially Pb [48]. Heavy metals such as Cr and Ni are commonly used in welding operations [49,50]. Cr and Ni also exist in antifouling paint residues [46]. Zhou et al. [10] reported that heavy metal contents in the sediments near the port area are primarily sourced from ship repainting and repairs. Regular maintenance of fishing boats, such as deck cleaning, ship hull painting, welding, mechanical disassembly, and repair, may flush heavy metals into the port waters [51]. Discharges of bilge water and greywater (drainage from dishwater, laundry, baths, and showers) from fishing boats also serve as potential heavy metal sources [52]. As a result, Cu, Zn, Pb, Cr, and Ni were accumulated in the sediments of the fishing port.
In contrast, As and Hg contents were relatively low in the sediments of the innermost sites (Q4–Q7), which ranged between 2.5–2.9 and 0.13–0.15 mg/kg, respectively. Concentrations were comparable between the inner fishing port area and the waterways outside the fishing port. Compared with the guidelines on sediment quality (Table 3, Figure 2), the Hg contents of sites Q1, Q3, and Q6 were slightly higher than the ERM, while the As contents were all lower than the ERL. This indicates less contamination of As and Hg in Qianzhen Fishing Port sediments in contrast with Cu, Zn, and Pb.
3.3. Sediment Contamination Level Assessment
Heavy metal pollution assessment in sediments is currently carried out through sediment pollution indices, normalization, and comparison with sediment quality guidelines and regulations [32,53]. In particular, pollution characteristics of heavy metal in sediments and their ecological risks can be evaluated through multiple sediment pollution indices [39,54]. Those sediment pollution indices provide comparative means for ranking the overall contamination degree of heavy metals in each site, and have been extensively utilized to obtain an integrated judgment of sediment contamination levels [32,33].
As shown in Figure 3, the sediment pollution indices exhibited an increasing trend from the port entrance to the inner fishing port area ranging between 1.7–4.8, 3.0–18.4, 0.27–0.91, and 2.9–11.7 for PLI, NPI, mERMq, and ΣTU, respectively. The PLI was proposed by Tomlinson et al. [55], which denotes how many times the overall heavy metal content in the sediment exceeds the background value. It can provide a general approach to assessing and ranking the toxicity of sediments. The highest PLI value was observed at site Q6 (4.8), followed by site Q7 (3.7) (Figure 3a), indicating that the inner fishing port area is strongly polluted. It is consistent with sites Q6 and Q7 being the main berthing areas of fishing boats (Figure 1). In contrast, the port entrance (Q2) and the waterway outside the fishing port (Q1) showed relatively low PLI values (<2), categorized as slightly polluted areas.
Figure 3.
(a) Pollution load index (PLI), (b) Nemerow pollution index (NPI), (c) enrichment factor (EF), (d) geo-accumulation index (Igeo), (e) mean ERM quotient (mERMq), and (f) sum of toxic units (ΣTU) for heavy metals in the sediments of Qianzhen Fishing Port. The PLI is classified into unpolluted (<1), slightly (1–2), moderately (2–3), and strongly polluted (>3). The NPI is classified into non-pollution (<1), low (1–2.5), moderate (2.5–7), and high degree of pollution (>7). The EF is classified into nil (<1), minor (1–3), moderate (3–5), significant (5–10), and severe enrichment (10–25). The Igeo is divided as follows: (<0) unpolluted, (0–1) unpolluted to moderately, (1–2) moderately, (2–3) moderately to strongly, (3–4) strongly polluted, and (4–5) strongly to extremely polluted. The mERMq is classified into slight (<0.1), moderate (0.1–0.5), and considerable toxic (0.5–1.5). The ΣTU is classified into nil to slight (<4), moderate (4–6), and significant acute toxicity (>6).
Like PLI, the NPI can also provide a comprehensive assessment of heavy metals in sediments. NPI emphasizes the most polluted metal rather than the average contamination factor (CF) due to the variable heavy metal impacts, even in identical studied sites [56]. The highest NPI value was observed at site Q6 (18.4), with a maxima contamination factor for Cu (CF = 24.8). Sites Q4, Q5, and Q7 showed NPI values of 11.2, 12.4, and 12.8, respectively (Figure 3b). These three sites also had high maxima contamination factor for Cu (CF = 15.1–17.2), consistently indicating that the inner fishing port area presented high degrees of metal pollution, especially for Cu where pollution is more severe. According to the EF assessment (Figure 3c), Cu showed significant to high enrichment (EF = 5.6–12.5) in the inner fishing port (Q4–Q7) sediments. Similarly, the Igeo of Cu ranged from 3.3 to 4.0 at sites Q4–Q7 (Figure 3d), classifying these sites as strongly polluted. Copper-based antifouling paint has been used for biofouling protection of ship hulls for at least 100 years, applied in an estimated 90% of vessels worldwide [57,58]. Cu released from antifouling paints into seawater may adsorb onto suspended solids and deposit in the sediments.
The results for Zn and Pb also showed moderately to strongly polluted and moderate enrichment in the inner port sediments (Q4–Q7), with EF and Igeo values ranging between 2.4–5.4 and 1.9–2.8, respectively (Figure 3c,d). In contrast, the port entrance (Q2) and the outside waterway (Q1) showed moderate enrichment for Cu (EF = 2.5–2.6; Igeo = 1.3–1.5), and minor enrichment for Zn (EF = 2.5–2.6; Igeo = 1.3–1.5) and Pb (EF = 2.5–2.6; Igeo = 1.3–1.5). EF and Igeo are useful indices to differentiate heavy metal sources between anthropogenic contamination and natural lithogenic origin [32,39]. High EF and Igeo values for Cu, Zn, and Pb in inner fishing port sediments indicate that Qianzhen Fishing Port is strongly impacted by anthropogenic pollution.
3.4. Potential Ecological Toxicity Assessment
Several pollution indices have been proposed for sediment potential ecological toxicity assessment. Those indices are obtained by contrasting the sediment heavy metal contents with sediment quality guidelines such as the ERL, ERM, TEL, and PEL [59,60]. It is a simple way to obtain a reference for classifying sediment pollution degree and associated potential ecological risks [61]. Thus, these are commonly used methods for assessing sediment potential ecological risks, even though the actual ecological impacts of contaminated sediments need to be confirmed by on-site or laboratory toxicity experiments [9,62]. The mERMq and ΣTU were adopted for the potential ecological risk assessment in this study.
The mERMq was proposed by Long et al. [63], which estimates sediment toxicity for a combination of heavy metals based on the ERM guideline. Due to the ERM guideline being formulated based on numerous data that related biological effects of metals, the results of the mERMq assessment are generally considered reliable [60,64]. As shown in Figure 3e, the highest mERMq value was observed at site Q6 (0.92), followed by site Q7 (0.72). Sites Q4 and Q5 also had high mERMq of 0.60–0.64. These results categorize the inner fishing port sediments as considerably toxic, presenting a 49% probability of being toxic on benthic organisms. These agree with the PLI and NPI assessment (Figure 3a,b), indicating the inner fishing port area has been severely polluted and may have adversely affected the adjacent benthic organisms.
Similarly, ΣTU estimates the acute toxicity potential of heavy metals in the sediment studied, based on the PEL guideline. PEL is the threshold of pollutant contents where higher levels would likely cause adverse effects [65]. According to Pedersen et al. [38], ΣTU greater than four indicates moderate toxicity on aquatic organisms, while significant mortality occurring for ΣTU greater than six indicates significant acute toxicity. As shown in Figure 3f, the ΣTU values of inner fishing port sediments (Q4–Q7) ranged between 7.5–11.7, with the highest in site Q6, indicating significant heavy metal toxicity in sediments. In particular, the average toxic units of heavy metals were ranked as Zn > Cu > Cr > Ni > Pb > Hg > As, indicating higher contributions of Zn, Cu, and Cr to the ΣTU. In contrast, sediments from the port entrance (Q2) and the waterway outside the port (Q1) showed relatively low ΣTU values (2.9–3.7), indicating no potential adverse effects on aquatic organisms.
3.5. Potential Sources of Heavy Metals
The normalization of heavy metals is primarily used to compensate the grain-size effect [66]. Some studies also used the normalized ratio of heavy metals (e.g., metal-to-Fe ratio, metal-to-Al ratio, and metal-to-TOC ratio) to identify the characteristics and sources of metals in sediments [67,68]. In the same geological setting, similar sources and biogeochemistry of heavy metals are generally expected to have similar normalized ratios, whereas anthropogenic pollution may cause the normalized ratios to deviate from the original relationship [66].
For the geological setting of our study area, the Kaohsiung area is located on the southwestern edge of the Western Foothills Geological Zone. The whole plain ground of Kaohsiung City is mostly composed of a modern alluvial layer that is a combination of river deposits, coastal aeolian sand, and lagoon silt [69]. Hence, it is expected that the mineral compositions of the sediment around Kaohsiung area are similar. The relationships between heavy metals, total grease, and TOC contents in the sediments of Qianzhen Fishing Port are shown in Figure 4. The contents of Cu, Zn, Pb, Cr, and Ni in the sediments showed good positive linear relationships with the TOC contents (R2 > 0.90), except for sites Q5 and Q6. Site Q5 displayed an outlier in Cu, Zn, and Pb from the 95% confidence interval of the regression. Similarly, site Q6 displayed an outlier in Cu, Zn, Pb, and Cr. These indicate that sites Q5 and Q6 had additional heavy metal pollution sources (e.g., antifouling paints). A strong relationship between the total grease (TG) and TOC contents was also observed in the fishing port sediments. The high TG/TOC ratio, up to 1092, suggests contamination from fuel oils.
Figure 4.
Relationships of (a) Cu, (b) Zn, (c) Pb, (d) Cr, (e) Ni, and (f) total grease (TG) with total organic carbon (TOC) contents in the sediments of Qianzhen Fishing Port. The dashed lines represent confidence interval at the 95% confidence level. The hollow circles denote the outliers.
In addition, the average normalized ratios of heavy metals (metal to Fe) in the inner fishing port sediments were 60, 160, 25, 45, 9.5, 0.03, and 0.59 for Cu/Fe, Zn/Fe, Pb/Fe, Cr/Fe, Ni/Fe, Hg/Fe, and As/Fe, respectively (Table 4). Compared to the characteristic feature of the adjacent Jen-Gen River mouth sediments, relatively higher Cu/Fe, Zn/Fe, and Pb/Fe but lower Cr/Fe were observed in the inner fishing port sediments. This suggests that heavy metal sources are not from fluvial discharge. Moreover, Cu/Fe and Pb/Fe in the inner fishing port sediments were also higher than the estuarine sediments of Love River, among the major rivers traversing through the heart of metropolitan Kaohsiung City. Hence, Qianzhen Fishing Port sediments can be characterized as high Cu/Fe and Pb/Fe, and moderate Zn/Fe, which are notably different from the characteristics of heavy metals in estuarine sediments (Table 4).
Table 4.
Comparison among the average contents (mg/kg) and normalized ratios of heavy metals in the sediments of Qianzhen Fishing Port and other regions worldwide.
Compared to the port areas in other countries (Table 4), the sediments inside the ports similarly showed higher normalized heavy metal ratios compared to those outside the port.
The sediment characteristic featuring high Cu/Fe, Pb/Fe, and Zn/Fe probably represents a specific source of heavy metals in fishing ports—antifouling paints and oil spills. After the use of tributyltin coatings was banned in 2001, the antifouling paints composed of biocides with metal compounds, especially Cu, Pb, and Zn, have been commonly used as alternative anti-biofouling and anti-corrosive compounds [72]. The Cu, Pb, and Zn compounds released from the antifouling paints tend to adsorb onto suspended particulate matter and settle in the sediments. Paint particles had also been frequently detected in surface seawater and sediments [73]. Metal compounds such as Cu, Pb, and Zn associated with the paint particles can contribute to metal contamination in the sediments. This is why heavy metal contamination in fishing port sediments is strongly linked to ship hull cleaning operations [74]. In addition, the limited water circulation due to the wharf configuration may also enhance the deposition and accumulation of fine-grained sediments with the heavy metal pollutants in the fishing port area.
4. Conclusions
This study clearly showed that Qianzhen Fishing Port sediments were significantly polluted by heavy metals, particularly Cu, Zn, Pb, and Cr. Based on the PLI and NPI assessment, the sediment contamination level showed an increasing trend of up to fivefold from the port entrance to the inner fishing port sites. The high EF and Igeo values of Cu, Zn, and Pb exhibited strong anthropogenic effects in the inner fishing port areas (EFCu: 5.6–12.5; EFZn: 2.8–4.3; EFPb: 2.4–5.4; EFCr: 1.1–3.2; Igeo-Cu: 3.2–4.1; Igeo-Zn: 2.2–2.5; Igeo-Pb: 1.9–2.8; Igeo-Cr: 0.6–2.1). It also poses considerable ecological risk and toxicity, considering the high values of mERMq (0.61–0.91) and ΣTU (7.5–11.7). Antifouling paints used in ship hulls and oil spills from boats may have primarily contributed to the heavy metal pollution in the fishing port sediments. High Cu/Fe and Pb/Fe, moderate Zn/Fe, and high total grease contents could serve as the specific characteristic features of the fishing port sediments. Overall, this study showed the current heavy metal pollution status of Qianzhen Fishing Port, providing valuable information for fishing port management and control of heavy metal accumulation in sediments. These results further indicate the need for pollution management and remediation, e.g., sediment dredging and disposal, construction of sewage treatment facilities, and policy formulation for pollution source control.
Author Contributions
Conceptualization, C.-D.D.; Data curation, C.-F.C. and C.-W.C.; Formal analysis, Y.-C.L. and C.-F.C.; Funding acquisition, C.-D.D.; Investigation, Y.-C.L.; Methodology, M.-H.W.; Project administration, C.-W.C.; Resources, M.-L.T., C.-H.W., Y.-L.L., C.-W.C. and C.-D.D.; Supervision, C.-D.D.; Validation, Y.-C.L. and C.-F.C.; Writing—original draft, Y.-C.L.; Writing—review and editing, C.-F.C., M.-L.T. and F.P.J.B.A. All authors have read and agreed to the published version of the manuscript.
Funding
This research received no external funding.
Institutional Review Board Statement
Not applicable.
Informed Consent Statement
Not applicable.
Data Availability Statement
Not applicable.
Conflicts of Interest
The authors declare no conflict of interest. The funders had no role in the design of the study; in the collection, analysis, or interpretation of data; in the writing of the manuscript, or in the decision to publish the results.
References
- Li, T.; Sun, G.; Yang, C.; Liang, K.; Ma, S.; Huang, L.; Luo, W. Source apportionment and source-to-sink transport of major and trace elements in coastal sediments: Combining positive matrix factorization and sediment trend analysis. Sci. Total Environ. 2019, 651, 344–356. [Google Scholar] [CrossRef]
- Roussiez, V.; Ludwig, W.; Monaco, A.; Probst, J.L.; Bouloubassi, I.; Buscail, R.; Saragoni, G. Sources and sinks of sediment-bound contaminants in the Gulf of Lions (NW Mediterranean Sea): A multi-tracer approach. Cont. Shelf Res. 2006, 26, 1843–1857. [Google Scholar] [CrossRef] [Green Version]
- Feng, C.; Guo, X.; Yin, S.; Tian, C.; Li, Y.; Shen, Z. Heavy metal partitioning of suspended particulate matter–water and sediment–water in the Yangtze Estuary. Chemosphere 2017, 185, 717–725. [Google Scholar] [CrossRef]
- Singovszka, E.; Balintova, M.; Demcak, S.; Pavlikova, P. Metal pollution indices of bottom sediment and surface water affected by acid mine drainage. Metals 2017, 7, 284. [Google Scholar] [CrossRef]
- Kumar, A.; Jigyasu, D.K.; Subrahmanyam, G.; Mondal, R.; Shabnam, A.A.; Cabral-Pinto, M.M.S.; Malyan, S.K.; Chaturvedi, A.K.; Gupta, D.K.; Fagodiya, R.K.; et al. Nickel in terrestrial biota: Comprehensive review on contamination, toxicity, tolerance and its remediation approaches. Chemosphere 2021, 275, 129996. [Google Scholar] [CrossRef]
- Kumar, A.; Pinto, M.C.; Candeias, C.; Dinis, P.A. Baseline maps of potentially toxic elements in the soils of Garhwal Himalayas, India: Assessment of their eco-environmental and human health risks. Land Degrad. Dev. 2021, 32, 3856–3869. [Google Scholar] [CrossRef]
- Liu, J.; Cao, L.; Dou, S. Trophic transfer, biomagnification and risk assessments of four common heavy metals in the food web of Laizhou Bay, the Bohai Sea. Sci. Total Environ. 2019, 670, 508–522. [Google Scholar] [CrossRef]
- Pandiyan, J.; Mahboob, S.; Govindarajan, M.; Al-Ghanim, K.A.; Ahmed, Z.; Al-Mulhm, N.; Jagadheesan, R.; Krishnappa, K. An assessment of level of heavy metals pollution in the water, sediment and aquatic organisms: A perspective of tackling environmental threats for food security. Saudi J. Biol. Sci. 2021, 28, 1218–1225. [Google Scholar] [CrossRef]
- Chen, C.F.; Ju, Y.R.; Chen, C.W.; Dong, C.D. Vertical profile, contamination assessment, and source apportionment of heavy metals in sediment cores of Kaohsiung Harbor, Taiwan. Chemosphere 2016, 165, 67–79. [Google Scholar] [CrossRef]
- Zhou, F.; Guo, H.; Hao, Z. Spatial distribution of heavy metals in Hong Kong’s marine sediments and their human impacts: A GIS-based chemometric approach. Mar. Pollut. Bull. 2007, 54, 1372–1384. [Google Scholar] [CrossRef]
- Wang, C.; Chen, J.; Li, Z.; Nasr, E.S.A.; El-Tamimi, A.M. An indicator system for evaluating the development of land-sea coordination systems: A case study of Lianyungang port. Ecol. Indic. 2019, 98, 112–120. [Google Scholar] [CrossRef]
- Jahan, S.; Strezov, V. Water quality assessment of Australian ports using water quality evaluation indices. PLoS ONE 2017, 12, e0189284. [Google Scholar] [CrossRef] [Green Version]
- Dong, C.D.; Chen, C.F.; Ju, Y.R.; Chen, C.W. Metal pollution and ecological risk assessment in the surface sediments of Anping Harbor, Taiwan. Desalin. Water Treat. 2016, 57, 29274–29285. [Google Scholar] [CrossRef]
- Gu, Y.G.; Gao, Y.P. An unconstrained ordination-and GIS-based approach for identifying anthropogenic sources of heavy metal pollution in marine sediments. Mar. Pollut. Bull. 2019, 146, 100–105. [Google Scholar] [CrossRef]
- Sciortino, J.A. Fishing Harbour Planning, Construction and Management; Food and Agriculture Organization of the United Nations: Rome, Italy, 2010. [Google Scholar]
- Merhaby, D.; Ouddane, B.; Net, S.; Halwani, J. Assessment of trace metals contamination in surficial sediments along Lebanese Coastal Zone. Mar. Pollut. Bull. 2018, 133, 881–890. [Google Scholar] [CrossRef]
- Sundararajan, S.; Khadanga, M.K.; Kumar, J.P.P.J.; Raghumaran, S.; Vijaya, R.; Jena, B.K. Ecological risk assessment of trace metal accumulation in sediments of Veraval Harbor, Gujarat, Arabian Sea. Mar. Pollut. Bull. 2017, 114, 592–601. [Google Scholar] [CrossRef]
- Farzingohar, M.; Khakpour, Z.; Ahmadizadeh Shaghooei, M.; Soory, A. Fishing port pollution due to the vessel activities along Bandar Abbas Coast, Iran. Int. J. Coast. Offshore Eng. 2020, 3, 47–53. [Google Scholar] [CrossRef]
- Hamzeh, M.A.; Shah-Hosseini, M.; Naderi Beni, A. Effect of fishing vessels on trace metal contamination in sediments of three harbors along Iranian Oman Sea coast. Environ. Monit. Assess. 2013, 185, 1791–1807. [Google Scholar] [CrossRef]
- Xu, W.; Lin, T.; Hu, Z.; Yan, W. Environmental exposure and ecological risk of heavy metals in fishing harbors of the Pearl River Delta, South China. Aquat. Ecosyst. Health Manag. 2012, 15, 192–199. [Google Scholar] [CrossRef]
- Marine Bureau, Kaohsiung City Government. 2022. Available online: https://kcmb.kcg.gov.tw (accessed on 16 February 2022). (In Chinese)
- Fisheries Agency. Report for Medium and Long-Term Plan (2021–2024) of Qianzhen Fishing Port Construction Project; Council of Agriculture: Kaohsiung, Taiwan, 2021. (In Chinese)
- Taiwan EPA. Standard Method for Determination of Elements in Marine Discarded Materials—Microwave Digestion Method (NIEA M301.00B); National Institute of Environmental Analysis, Environmental Protection Administration: Taoyuan, Taiwan, 2011. (In Chinese)
- Siaka, M.; Owens, C.M.; Birch, G.F. Evaluation of some digestion methods for the determination of heavy metals in sediment samples by flame-AAS. Anal. Lett. 1998, 31, 703–718. [Google Scholar] [CrossRef]
- Sandroni, V.; Smith, C.M. Microwave digestion of sludge, soil and sediment samples for metal analysis by inductively coupled plasma–atomic emission spectrometry. Anal. Chim. Acta 2002, 468, 335–344. [Google Scholar] [CrossRef]
- Benipal, G.; Harris, A.; Srirajayatsayai, C.; Tate, A.; Topalidis, V.; Eswani, Z.; Qureshi, M.; Hardaway, C.J.; Galiotos, J.; Douvris, C. Examination of Al, As, Cd, Cr, Cu, Fe, Mg, Mn, Ni, Pb, Sb, Se, V, and Zn in sediments collected around the downtown Houston, Texas area, using inductively coupled plasma-optical emission spectroscopy. Microchem. J. 2017, 130, 255–262. [Google Scholar] [CrossRef]
- Loring, D.H.; Rantala, R.T. Manual for the geochemical analyses of marine sediments and suspended particulate matter. Earth-Sci. Rev. 1992, 32, 235–283. [Google Scholar] [CrossRef]
- USEPA. Method 351.2: Determination of Total Kjeldahl Nitrogen by Semi-Automated Colorimetry; Revision 2.0; U.S. Environmental Protection Agency: Cincinnati, OH, USA, 1993.
- USEPA. Method 365.1: Determination of Phosphorus by Semi-Automated Colorimetry; Revision 2.0; U.S. Environmental Protection Agency: Cincinnati, OH, USA, 1993.
- APHA. Method 5520: Oil and Grease. In Standard Methods for the Examination of Water and Wastewater, 23rd ed.; Baird, R.B., Eaton, A.D., Rice, E.W., Eds.; American Public Health Association: Washington, DC, USA, 2017. [Google Scholar]
- Bern, C.R.; Walton-Day, K.; Naftz, D.L. Improved enrichment factor calculations through principal component analysis: Examples from soils near breccia pipe uranium mines, Arizona, USA. Environ. Pollut. 2019, 248, 90–100. [Google Scholar] [CrossRef]
- Kim, B.S.M.; Angeli, J.L.F.; Ferreira, P.A.L.; de Mahiques, M.M.; Figueira, R.C.L. A multivariate approach and sediment quality index evaluation applied to Baixada Santista, Southeastern Brazil. Mar. Pollut. Bull. 2019, 143, 72–80. [Google Scholar] [CrossRef]
- Duodu, G.O.; Goonetilleke, A.; Ayoko, G.A. Comparison of pollution indices for the assessment of heavy metal in Brisbane River sediment. Environ. Pollut. 2016, 219, 1077–1091. [Google Scholar] [CrossRef]
- Yan, N.; Liu, W.; Xie, H.; Gao, L.; Han, Y.; Wang, M.; Li, H. Distribution and assessment of heavy metals in the surface sediment of Yellow River, China. J. Environ. Sci. 2016, 39, 45–51. [Google Scholar] [CrossRef]
- Hasan, A.B.; Kabir, S.; Reza, A.S.; Zaman, M.N.; Ahsan, A.; Rashid, M. Enrichment factor and geo-accumulation index of trace metals in sediments of the ship breaking area of Sitakund Upazilla (Bhatiary–Kumira), Chittagong, Bangladesh. J. Geochem. Explor. 2013, 125, 130–137. [Google Scholar] [CrossRef]
- Müller, G. Schwermetalle in den Sedimenten des Rheins-Veränderungen seit 1971. Umschau 1979, 79, 778–783. [Google Scholar]
- Long, E.R.; MacDonald, D.D.; Severn, C.G.; Hong, C.B. Classifying probabilities of acute toxicity in marine sediments with empirically derived sediment quality guidelines. Environ. Toxicol. Chem. 2000, 19, 2598–2601. [Google Scholar] [CrossRef]
- Pedersen, F.; Bjørnestad, E.; Anderson, H.V.; Kjølholt, J.; Poll, C. Characterization of sediments from Copenhagen Harbour by use of biotests. Water Sci. Technol. 1998, 37, 233–240. [Google Scholar] [CrossRef]
- Chen, C.W.; Lim, Y.C.; Chen, C.F.; Ju, Y.R.; Dong, C.D. Spatial distribution and ecological risk assessment of sediment metals in a highly industrialized coastal zone southwestern Taiwan. Environ. Sci. Pollut. Res. 2019, 26, 14717–14731. [Google Scholar] [CrossRef]
- Raju, K.; Vijayaraghavan, K.; Seshachalam, S.; Muthumanickam, J. Impact of anthropogenic input on physicochemical parameters and trace metals in marine surface sediments of Bay of Bengal off Chennai, India. Environ. Monit. Assess. 2011, 177, 95–114. [Google Scholar] [CrossRef]
- Sakan, S.; Dević, G.; Relić, D.; Anđelković, I.; Sakan, N.; Đorđević, D. Evaluation of sediment contamination with heavy metals: The importance of determining appropriate background content and suitable element for normalization. Environ. Geochem. Health 2015, 37, 97–113. [Google Scholar] [CrossRef]
- Ranjan, P.; Ramanathan, A.L.; Kumar, A.; Singhal, R.K.; Datta, D.; Venkatesh, M. Trace metal distribution, assessment and enrichment in the surface sediments of Sundarban mangrove ecosystem in India and Bangladesh. Mar. Pollut. Bull. 2018, 127, 541–547. [Google Scholar] [CrossRef]
- Long, E.R.; MacDonald, D.D.; Smith, S.L.; Calder, F.D. Incidence of adverse biological effects within ranges of chemical concentrations in marine and estuarine sediments. Environ. Manag. 1995, 19, 81–97. [Google Scholar] [CrossRef]
- MacDonald, D.D.; Carr, R.S.; Calder, F.D.; Long, E.R.; Ingersoll, C.G. Development and evaluation of sediment quality guidelines for Florida coastal waters. Ecotoxicology 1996, 5, 253–278. [Google Scholar] [CrossRef]
- Rudnick, R.L.; Gao, S. Composition of the continental crust. In The Crust, Treatise on Geochemistry; Rudnick, R.L., Ed.; Elsevier: Amsterdam, The Netherlands, 2003; Volume 3, pp. 1–64. [Google Scholar]
- Turner, A. Marine pollution from antifouling paint particles. Mar. Pollut. Bull. 2010, 60, 159–171. [Google Scholar] [CrossRef]
- Zedd, H.C.; Walker, Y.P.; Hernandez, J.E.; Thomas, R.J. Lead exposures during shipboard chipping and grinding paint-removal operations. Am. Ind. Hyg. Assoc. J. 1993, 54, 392–396. [Google Scholar] [CrossRef]
- Mustafa, A.D.; Juahir, H.; Yunus, K.; Amran, M.A.; Hasnam, C.N.C.; Azaman, F.; Abidin, I.Z.; Azmee, S.H.; Sulaiman, N.H. Oil spill related heavy metal: A review. Malays. J. Anal. Sci. 2015, 19, 1348–1360. [Google Scholar]
- Drakopoulos, S.; Salonitis, K.; Tsoukantas, G.; Chryssolouris, G. Environmental impact of ship hull repair. Int. J. Sustain. Manuf. 2009, 1, 361–374. [Google Scholar] [CrossRef] [Green Version]
- Zukauskaite, A.; Mickeviciene, R.; Karnauskaite, D.; Turkina, L. Environmental and human health issue of welding in the shipyard. In Proceedings of the 17th International Conference Transport Means, Kaunas, Lithuania, 24–25 October 2013; Kaunas University of Technology: Kaunas, Lithuania, 2013. [Google Scholar]
- Gokkus, K.; Berber, S. Heavy metal pollution in Inebolu and Bartin Ports, Black Sea, Turkey. Indian J. Geol-Mar. Sci. 2019, 48, 1600–1608. [Google Scholar]
- Jalkanen, J.P.; Johansson, L.; Wilewska-Bien, M.; Granhag, L.; Ytreberg, E.; Eriksson, K.M.; Yngsell, D.; Hassellöv, I.M.; Magnusson, K.; Raudsepp, U.; et al. Modelling of discharges from Baltic Sea shipping. Ocean Sci. 2021, 17, 699–728. [Google Scholar] [CrossRef]
- Chen, C.F.; Ju, Y.R.; Chen, C.W.; Dong, C.D. Metal distributions in the Kaohsiung Ocean dredged material disposal site, Taiwan. Desalin. Water Treat. 2017, 63, 366–374. [Google Scholar] [CrossRef]
- Lin, K.N.; Lim, Y.C.; Chen, C.W.; Chen, C.F.; Kao, C.M.; Dong, C.D. Spatiotemporal Variation and Ecological Risk Assessment of Heavy Metals in Industrialized Urban River Sediments: Fengshan River in Southern Taiwan as a Case Study. Appl. Sci. 2022, 12, 1013. [Google Scholar] [CrossRef]
- Tomlinson, D.; Wilson, J.; Harris, C.; Jeffrey, D. Problems in the assessment of heavy-metal levels in estuaries and the formation of a pollution index. Helgol. Meeresunters 1980, 33, 566–575. [Google Scholar] [CrossRef] [Green Version]
- Nemerow, N.L. Stream, Lake, Estuary, and Ocean Pollution; Van Nostrand Reinhold: New York, NY, USA, 1991. [Google Scholar]
- Blossom, N.; Szafranski, F.; Yacht, A.; Lotz, A. Use of copper-based antifouling paint: A US regulatory update. JCT Coat. Tech. 2018, 15, 63–68. [Google Scholar]
- Brooks, S.; Waldock, M. The use of copper as a biocide in marine antifouling paints. In Advances in Marine Antifouling Coatings and Technologies; Hellio, C., Yebra, D., Eds.; Woodhead Publishing: Sawston, UK, 2009; Volume 25, pp. 492–521. [Google Scholar]
- Benson, N.U.; Adedapo, A.E.; Fred-Ahmadu, O.H.; Williams, A.B.; Udosen, E.D.; Ayejuyo, O.O.; Olajire, A.A. New ecological risk indices for evaluating heavy metals contamination in aquatic sediment: A case study of the Gulf of Guinea. Reg. Stud. Mar. Sci. 2018, 18, 44–56. [Google Scholar] [CrossRef]
- Long, E.R.; Ingersoll, C.G.; MacDonald, D.D. Calculation and uses of mean sediment quality guideline quotients: A critical review. Environ. Sci. Technol. 2006, 40, 1726–1736. [Google Scholar] [CrossRef]
- Gargouri, D.; Gzam, M.; Kharroubi, A.; Jedoui, Y. Use of sediment quality indicators for heavy metals contamination and ecological risk assessment in urbanized coastal zones. Environ. Earth Sci. 2018, 77, 381. [Google Scholar] [CrossRef]
- Larrose, A.; Coynel, A.; Schäfer, J.; Blanc, G.; Massé, L.; Maneux, E. Assessing the current state of the Gironde Estuary by mapping priority contaminant distribution and risk potential in surface sediment. Appl. Geochem. 2010, 25, 1912–1923. [Google Scholar] [CrossRef]
- Long, E.R.; Field, L.J.; MacDonald, D.D. Predicting toxicity in marine sediments with numerical sediment quality guidelines. Environ. Toxicol. Chem. 1998, 17, 714–727. [Google Scholar] [CrossRef]
- Birch, G.F. A review of chemical-based sediment quality assessment methodologies for the marine environment. Mar. Pollut. Bull. 2018, 133, 218–232. [Google Scholar] [CrossRef] [PubMed]
- Zhang, G.; Bai, J.; Zhao, Q.; Lu, Q.; Jia, J.; Wen, X. Heavy metals in wetland soils along a wetland-forming chronosequence in the Yellow River Delta of China: Levels, sources and toxic risks. Ecol. Indic. 2016, 69, 331–339. [Google Scholar] [CrossRef] [Green Version]
- Kersten, M.; Smedes, F. Normalization procedures for sediment contaminants in spatial and temporal trend monitoring. J. Environ. Monit. 2002, 4, 109–115. [Google Scholar] [CrossRef]
- Lin, S.; Hsieh, I.J.; Huang, K.M.; Wang, C.H. Influence of the Yangtze River and grain size on the spatial variations of heavy metals and organic carbon in the East China Sea continental shelf sediments. Chem. Geol. 2002, 182, 377–394. [Google Scholar] [CrossRef]
- Sun, X.; Fan, D.; Liu, M.; Tian, Y.; Pang, Y.; Liao, H. Source identification, geochemical normalization and influence factors of heavy metals in Yangtze River Estuary sediment. Environ. Pollut. 2018, 241, 938–949. [Google Scholar] [CrossRef]
- Tainan Hydraulics Laboratory, National Cheng Kung University. Website of Information of Land Subsidence Prevention in Taiwan. 2022. Available online: http://www.lsprc.ncku.edu.tw/en/trend.php?action=view&id=72 (accessed on 16 February 2022).
- Guerra-García, J.M.; García-Gómez, J.C. Assessing pollution levels in sediments of a harbour with two opposing entrances. Environmental implications. J. Environ. Manag. 2005, 77, 1–11. [Google Scholar] [CrossRef]
- He, Z.; Morrison, R.J. Changes in the marine environment of Port Kembla Harbour, NSW, Australia, 1975–1995: A review. Mar. Pollut. Bull. 2001, 42, 193–201. [Google Scholar] [CrossRef]
- Manoj, S.; Mahesh, S.; Srikanth, N. Review of biofouling paints on the marine vessel. In Proceedings of the 2018 Asian Conference on Energy, Power and Transportation Electrification (ACEPT), Singapore, 30 October–2 November 2018; pp. 1–6. [Google Scholar]
- Turner, A. Paint particles in the marine environment: An overlooked component of microplastics. Water Res. X 2021, 12, 100110. [Google Scholar] [CrossRef]
- Briant, N.; Bancon-Montigny, C.; Elbaz-Poulichet, F.; Freydier, R.; Delpoux, S.; Cossa, D. Trace elements in the sediments of a large Mediterranean marina (Port Camargue, France): Levels and contamination history. Mar. Pollut. Bull. 2013, 73, 78–85. [Google Scholar] [CrossRef] [PubMed]
Publisher’s Note: MDPI stays neutral with regard to jurisdictional claims in published maps and institutional affiliations. |
© 2022 by the authors. Licensee MDPI, Basel, Switzerland. This article is an open access article distributed under the terms and conditions of the Creative Commons Attribution (CC BY) license (https://creativecommons.org/licenses/by/4.0/).



