Investigate the Difference of Cooling Effect between Water Bodies and Green Spaces: The Study of Fuzhou, China
Abstract
:1. Introduction
2. Materials and Methods
2.1. Study Region
2.2. Data Source
2.3. Data Processing
2.3.1. Retrieved of LST
2.3.2. Extraction of Water Bodies and Green Spaces Samples
2.4. Analytical Method and Measurement Indicators
2.4.1. Buffer Analysis
2.4.2. Description of Cooling Effect Indicators
2.4.3. Internal and External Impact Factors
3. Results
3.1. Analysis of LST
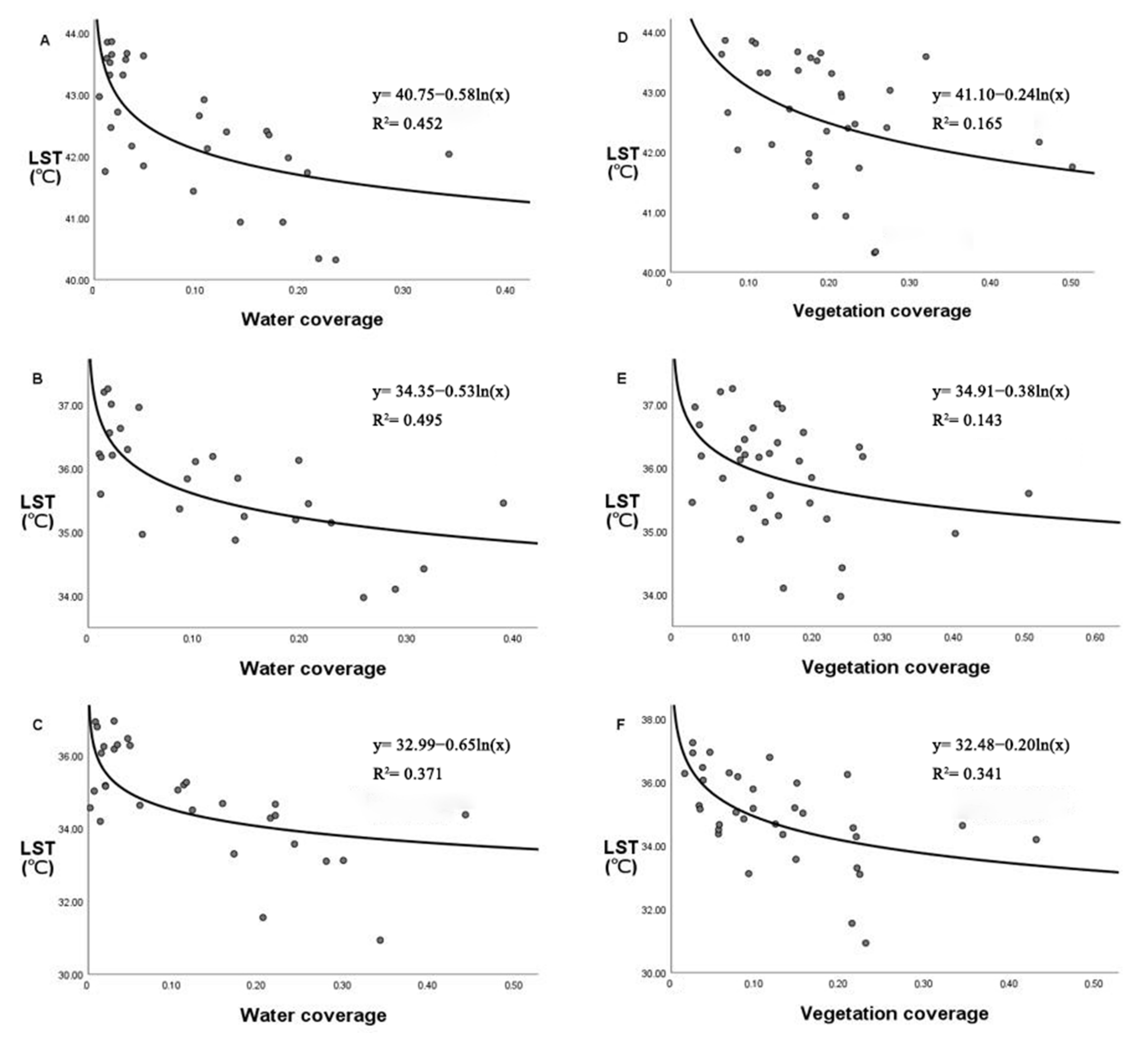
3.2. Relationships between LST and Vegetation and Water Coverage
3.3. Cooling Effect Measured by Different Indicators
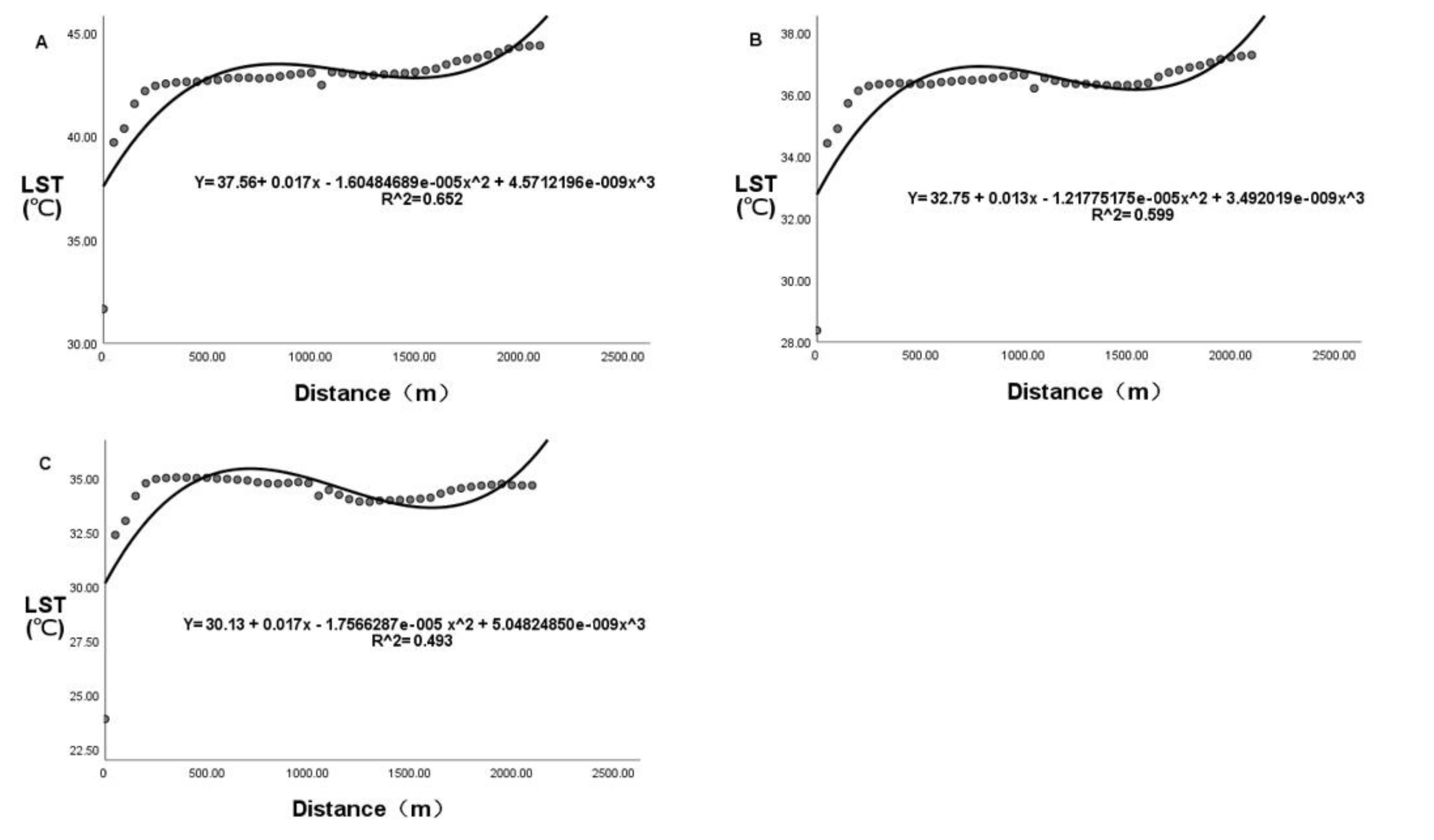
3.3.1. Cooling Intensity and Distance of Water Bodies
3.3.2. Cooling Intensity and Distance of Green Spaces
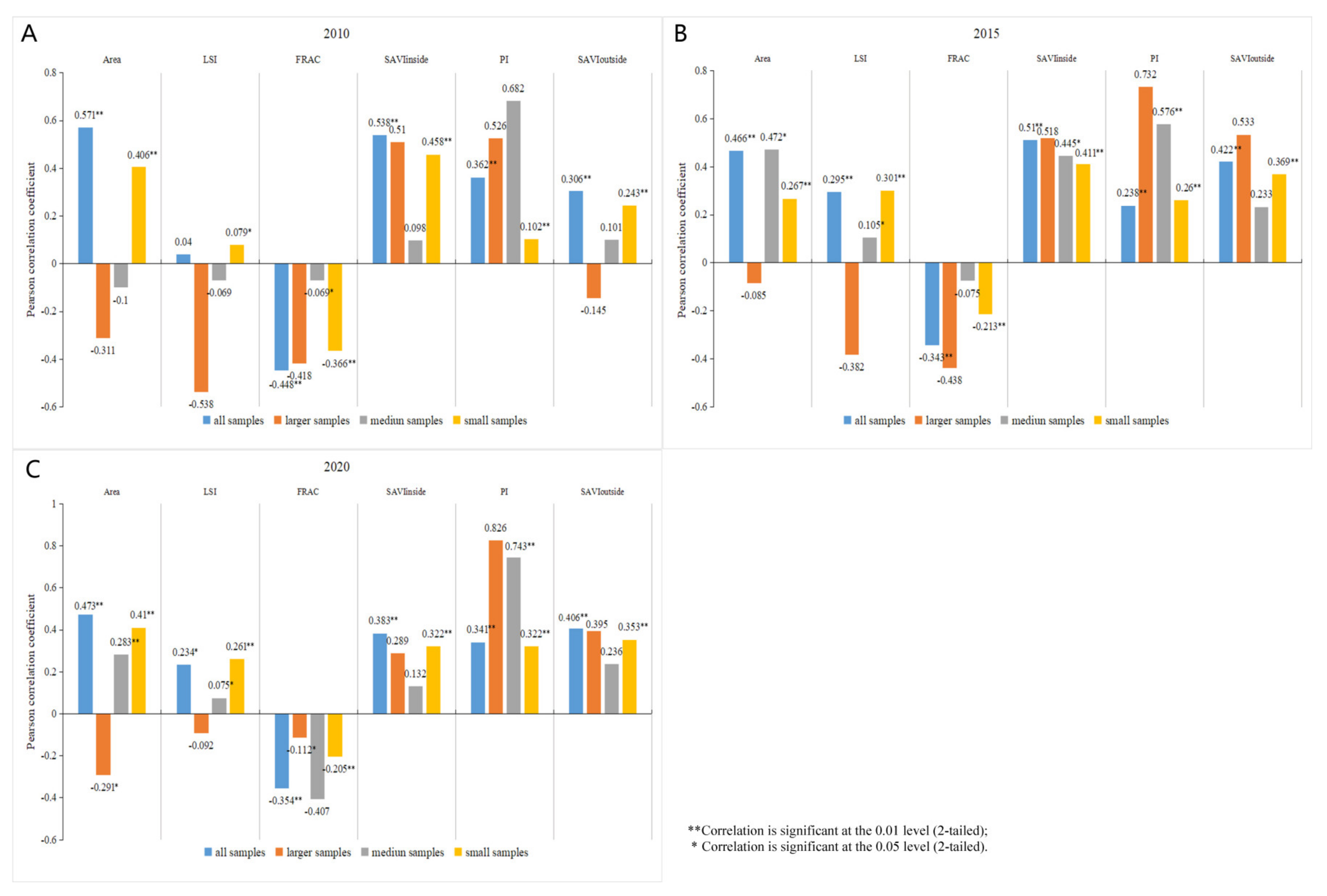
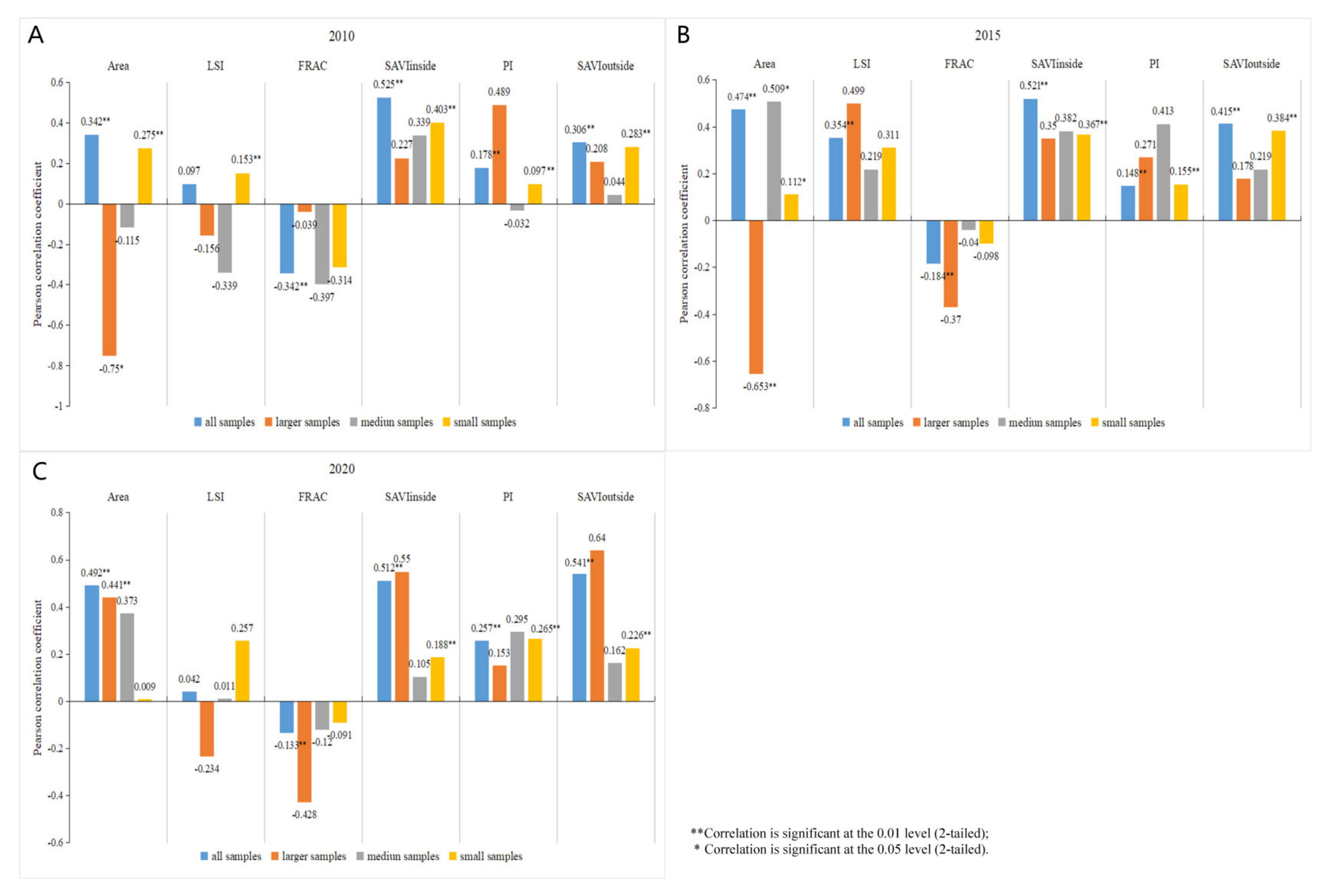
3.4. Relationships between Cooling Indicators and Impacts Factors
3.4.1. The Impact on Cooling Intensity
3.4.2. The Impact on Cooling Distance
4. Discussion
4.1. The Difference of Cooling Effect between Water Bodies and Green Spaces
4.2. Factors Affecting the Cooling Effect
4.3. Implications for Urban Planning and Management
4.4. Limitations of the Study
5. Conclusions
Author Contributions
Funding
Institutional Review Board Statement
Informed Consent Statement
Data Availability Statement
Acknowledgments
Conflicts of Interest
References
- United Nations Environment Programme. Special Report: Emissions Gap Report 2021: The Heat Is On. Available online: https://www.un.org/zh/156951 (accessed on 26 October 2021).
- Oke, T.R. The energetic basis of the urban heat island. Q. J. R. Meteorol. Soc. 1982, 108, 1–24. [Google Scholar] [CrossRef]
- Sun, R.; Wang, Y.; Chen, L.A. Distributed model for quantifying temporal-spatial patterns of anthropogenic heat based on energy consumption. J. Clean. Prod. 2018, 170, 601–609. [Google Scholar] [CrossRef]
- Ward, K.; Lauf, S.; Kleinschmit, B.; Endlicher, W. Heat waves and urban heat islands in Europe: A review of relevant drivers. Sci. Total Environ. 2016, 569/570, 527–539. [Google Scholar] [CrossRef] [PubMed]
- Cai, Y.B.; Zhang, H.; Zheng, P.; Pan, W.B. Quantifying the Impact of Land use/Land Cover Changes on the Urban Heat Island: A Case Study of the Natural Wetlands Distribution Area of Fuzhou City, China. Wetlands 2016, 36, 285–298. [Google Scholar] [CrossRef]
- Guo, G.H.; Wu, Z.F.; Xiao, R.B.; Chen, Y.B.; Liu, X.N.; Zhang, X.S. Impacts of urban biophysical composition on land surface temperature in urban heat island clusters. Landsc. Urban Plan. 2015, 135, 1–10. [Google Scholar] [CrossRef]
- Li, J.; Song, C.; Cao, L.; Zhu, F.; Wu, J. Impacts of landscape structure on surface urban heat islands: A case study of Shanghai, China. Remote Sens. Environ. 2011, 115, 3249–3263. [Google Scholar] [CrossRef]
- Sarrat, C.; Lemonsu, A.; Masson, V.; Guedalia, D. Impact of urban heat island on regional atmospheric pollution. Atmos. Environ. 2006, 40, 1743–1758. [Google Scholar] [CrossRef]
- Santamouris, M.; Cartalis, C.; Synnefa, A.; Kolokotsa, D. On the impact of urban heat island and global warming on the power demand and electricity consumption of buildings-A review. Energy Build. 2015, 98, 119–124. [Google Scholar] [CrossRef]
- Wang, Y.; Wang, A.; Zhai, J.; Tao, H.; Jiang, T.; Su, B.; Yang, J.; Wang, G.; Liu, Q.; Gao, C. Tens of thousands additional deaths annually in cities of China between 1.5 °C and 2.0 °C warming. Nat. Commun. 2019, 10, 3376. [Google Scholar] [CrossRef]
- Taylor, J.; Wilkinson, P.; Davies, M.; Armstrong, B.; Chalabi, Z.; Mavrogianni, A.; Symonds, P.; Oikonomou, E.; Bohnenstengel, S.I. Mapping the effects of urban heat island, housing, and age on excess heat-related mortality in London. Urban Clim. 2015, 14, 517–528. [Google Scholar] [CrossRef]
- Seto, K.C.; Golden, J.S.; Alberti, M.; Turner, B.L. Sustainability in an urbanizing planet. Proc. Natl. Acad. Sci. USA 2017, 114, 8935–8938. [Google Scholar] [CrossRef] [PubMed] [Green Version]
- Mora, C.; Dousset, B.; Caldwell, I.R.; Powell, F.E.; Geronimo, R.C.; Bielecki, C.R.; Counsell, C.; Dietrich, B.S.; Johnston, E.T.; Louis, L.V. Global risk of deadly heat. Nat. Clim. Change 2017, 7, 501–506. [Google Scholar] [CrossRef]
- Akbari, H.; Kolokotsa, D. Three decades of urban heat islands and mitigation technologies research. Energy Build 2016, 133, 834–842. [Google Scholar] [CrossRef]
- Solcerova, A.; van de Ven, F.; Wang, M.; Rijsdijk, M.; van de Giesen, N. Do green roofs cool the air? Build. Environ. 2017, 111, 249–255. [Google Scholar] [CrossRef] [Green Version]
- Aram, F.; Higueras, G.E.; Solgi, E.; Mansournia, S. Urban green space cooling effect in cities. Heliyon 2019, 5, e01339. [Google Scholar] [CrossRef] [PubMed] [Green Version]
- Zheng, H.Z.; Chen, Y.H.; Pan, W.B.; Cai, Y.B.; Chen, Z.J. Impact of Land Use/Land Cover Changes on the Thermal Environment in Urbanization: A Case Study of the Natural Wetlands Distribution Area in Minjiang River Estuary, China. Pol. J. Environ. Stud. 2019, 28, 3025–3041. [Google Scholar] [CrossRef]
- Kolokotroni, M.; Giannitsaris, I.; Watkins, R. The effect of the London urban heat island on building summer cooling demand and night ventilation strategies. Sol. Energy 2006, 80, 383–392. [Google Scholar] [CrossRef]
- Lin, M.X.; Dong, J.; Jones, L.; Liu, J.k.; Lin, T.; Zuo, J.; Ye, H.; Zhang, G.Q.; Zhou, T.J. Modeling green roofs’cooling effect in high-density urban areas based on law of diminishing marginal utility of the cooling efficiency: A case study of Xiamen Island, China. J. Clean. Prod. 2021, 316, 128277. [Google Scholar] [CrossRef]
- Feyisa, G.L.; Dons, K.; Meilby, H. Efficiency of parks in mitigating urban heat island effect: An example from Addis Ababa. Landsc. Urban Plan. 2014, 123, 87–95. [Google Scholar] [CrossRef]
- Sun, X.; Tan, X.; Chen, K.; Song, S.; Hou, D. Quantifying landscape-metrics impacts on urban green-spaces and water-bodies cooling effect: The study of Nanjing, China. Urban For. Urban Green. 2020, 55, 126838. [Google Scholar] [CrossRef]
- Wang, Y.; Ouyang, W. Investigating the heterogeneity of water cooling effect for cooler cities. Sustain. Cities Soc. 2021, 75, 103281. [Google Scholar] [CrossRef]
- Rahman, M.A.; Moser, A.; Rötzer, T.; Pauleit, S. Within canopy temperature differences and cooling ability of Tilia cordata trees grown in urban conditions. Build. Environ. 2017, 114, 118–128. [Google Scholar] [CrossRef]
- Doick, K.J.; Peace, A.; Hutchings, T.R. The role of one large greenspace in mitigating London’s nocturnal urban heat island. Sci. Total Environ. 2014, 493, 662–671. [Google Scholar] [CrossRef] [PubMed]
- Volker, S.; Baumeister, H.; Classen, T.; Hornberg, C.; Kistemann, T. Evidence for the temperature-mitigating capacity of urban blue space-a health geographic perspective. Erdkunde 2013, 67, 355–371. [Google Scholar] [CrossRef]
- Martins, T.A.L.; Adolphe, L.; Bonhomme, M.; Bonneaud, F.; Guyard, W. Impact of Urban Cool Island measures on outdoor climate and pedestrian comfort: Simulations for a new district of Toulouse, France. Sustain. Cities Soc. 2016, 26, 9–26. [Google Scholar] [CrossRef]
- Yu, Z.; Yang, G.; Zuo, S.; Jrgensen, G.; Vejre, H. Critical review on the cooling effect of urban blue-green space: A threshold-size perspective. Urban For. Urban Green. 2020, 49, 126630. [Google Scholar] [CrossRef]
- Santamouris, M.; Ban-Weiss, G.; Osmond, P.; Paolini, R. Progress in urban greenery mitigation science-assessment methodologies advanced technologies and impact on cities. J. Civ. Eng. Manag. 2018, 24, 638–671. [Google Scholar] [CrossRef] [Green Version]
- Yu, Z.; Yao, Y.; Yang, G.; Wang, X.; Vejre, H. Strong contribution of rapid urbanization and urban agglomeration development to regional thermal environment dynamics and evolution. For. Ecol. Manag. 2019, 446, 214–225. [Google Scholar] [CrossRef]
- Peng, J.; Dan, Y.; Qiao, R.; Liu, Y.; Wu, J. How to quantify the cooling effect of urban parks? Linking maximum and accumulation perspectives. Remote Sens. Environ. 2021, 252, 112135. [Google Scholar] [CrossRef]
- Kuang, W.; Liu, Y.; Dou, Y.; Chi, W.; Chen, G.; Gao, C.; Yang, T.; Liu, J.; Zhang, R. What are hot and what are not in an urban landscape: Quantifying and explaining the land surface temperature pattern in Beijing, China. Landsc. Ecol. 2015, 30, 357–373. [Google Scholar] [CrossRef]
- Yu, Z.; Guo, X.; Jørgensen, G.; Vejre, H. How can urban green spaces be planned for climate adaptation in subtropical cities? Ecol. Indic. 2017, 82, 152–162. [Google Scholar] [CrossRef]
- Derkzen, M.L.; Van, T.A.; Verburg, P.H. Green infrastructure for urban climate adaptation: How do residents’ views on climate impacts and green infrastructure shape adaptation preferences? Landsc. Urban Plan. 2017, 157, 106–130. [Google Scholar] [CrossRef]
- Du, H.; Song, X.; Jiang, H.; Kan, Z.; Wang, Z.; Cai, Y. Research on the cooling island effects of water body: A case study of Shanghai, China. Ecol. Indic. 2016, 67, 31–38. [Google Scholar] [CrossRef]
- Peng, J.; Liu, Q.; Xu, Z.; Lyu, D.; Wu, J. How to effectively mitigate urban heat island effect? A perspective of waterbody patch size threshold. Landsc. Urban Plan. 2020, 202, 103873. [Google Scholar] [CrossRef]
- Liao, W.; Cai, Z.W.; Feng, Y.; Gan, D.X.; Li, X.M. A simple and easy method to quantify the cool island intensity of urban greenspace. Urban For. Urban Green. 2021, 62, 127173. [Google Scholar] [CrossRef]
- Yu, K.; Chen, Y.; Liang, L.; Gong, A.; Li, J. Quantitative analysis of the interannual variation in the seasonal water cooling island (WCI) effect for urban areas. Sci. Total Environ. 2020, 727, 138750. [Google Scholar] [CrossRef] [PubMed]
- Cai, Y.B.; Li, H.M.; Ye, X.Y.; Zhang, H. Analyzing Three-Decadal Patterns of Land Use/Land Cover Change and Regional Ecosystem Services at the Landscape Level: Case Study of Two Coastal Metropolitan Regions, Eastern China. Sustainability 2016, 8, 773. [Google Scholar] [CrossRef] [Green Version]
- Cai, Y.B.; Zhang, H.; Pan, W.B. Detecting Urban Growth Patterns and Wetland Conversion Processes in a Natural Wetlands Distribution Area. Pol. J. Environ. Stud. 2015, 24, 1919–1929. [Google Scholar] [CrossRef]
- Cai, Y.B.; Zhang, H.; Pan, W.B.; Chen, Y.H.; Wang, X.R. Urban expansion and its influencing factors in Natural Wetland Distribution Area in Fuzhou City, China. Chin. Geogr. Sci. 2012, 22, 568–577. [Google Scholar] [CrossRef]
- Li, K.; Cai, Y.B.; Chen, Y.H.; Wu, L.; Pan, W.B. The Changes of Heat Contribution Index in Urban Thermal Environment: A Case Study in Fuzhou. Sustainability 2021, 13, 9638. [Google Scholar]
- Cai, Y.B.; Chen, Y.; Tong, C. Spatiotemporal evolution of urban green space and its impact on the urban thermal environment based on remote sensing data: A case study of Fuzhou City, China. Urban For. Urban Green. 2019, 41, 333–343. [Google Scholar] [CrossRef]
- Cai, Y.B.; Zhang, H.; Pan, W.B.; Chen, Y.H.; Wang, X.R. Land use pattern, socio-economic development, and assessment of their impacts on ecosystem service value: Study on natural wetlands distribution area (NWDA) in Fuzhou city, southeastern China. Environ. Monit. Assess. 2013, 185, 5111–5123. [Google Scholar] [CrossRef] [PubMed]
- Yu, X.; Guo, X.; Wu, Z. Land Surface Temperature Retrieval from Landsat 8 TIRS—Comparison between Radiative Transfer Equation-Based Method, Split Window Algorithm and Single Channel Method. Remote Sens. 2014, 6, 9829–9852. [Google Scholar] [CrossRef] [Green Version]
- Xu, H.Q. Remote sensing information extraction of urban building land based on compressed data dimension. J. Image Graph. 2005, 10, 223–229. [Google Scholar]
- Monteiro, M.V.; Doick, K.J.; Handley, P.; Peace, A. The impact of greenspace size on the extent of local nocturnal air temperature cooling in London. Urban For. Urban Green. 2016, 16, 160–169. [Google Scholar] [CrossRef]
- Xu, H.Q. study on information extraction of water body with the modified normalized difference water index (MNDWI). J. Remote Sens. 2005, 9, 595. (In Chinese) [Google Scholar]
- Qiu, K.; Jia, B. The roles of landscape both inside the park and the surroundings in park cooling effect. Sustain. Cities Soc. 2020, 52, 101864. [Google Scholar] [CrossRef]
- Sun, R.; Chen, L. How can urban water bodies be designed for climate adaptation? Landsc. Urban Plan. 2012, 105, 27–33. [Google Scholar] [CrossRef]
- Yang, G.; Yu, Z.; Jørgensen, G.; Vejre, H. How can urban blue-green space be planned for climate adaption in high-latitude cities? A seasonal perspective. Sustain. Cities Soc. 2020, 53, 101932. [Google Scholar] [CrossRef]
- Yu, Z.W.; Guo, X.Y.; Zeng, Y.X.; Koga, M.; Vejre, H. Variations in land surface temperature and cooling efficiency of green space in rapid urbanization: The case of Fuzhou city, China. Urban For. Urban Green. 2018, 29, 113–121. [Google Scholar] [CrossRef]
- Lee, D.; Oh, K.; Seo, J. An Analysis of Urban Cooling Island (UCI) Effects by Water Spaces Applying UCI Indices. International J. Environ. Sci. Dev. 2016, 7, 810–815. [Google Scholar] [CrossRef] [Green Version]
- Lin, W.; Yu, T.; Chang, X.; Wei, W.; Yue, Z. Calculating cooling extents of green parks using remote sensing: Method and test. Landsc. Urban Plan. 2015, 134, 66–75. [Google Scholar] [CrossRef]
- Gunawardena, K.R.; Wells, M.J.; Kershaw, T. Utilising green and blue space to mitigate urban heat island intensity. Sci. Total Environ. 2017, 584-585, 1040–1055. [Google Scholar] [CrossRef] [PubMed]
- Cai, Z.; Han, G.; Chen, M. Do water bodies play an important role in the relationship between urban form and land surface temperature? Sustain. Cities Soc. 2018, 39, 487–498. [Google Scholar] [CrossRef]
- Bowler, D.E.; Buyung-Ali, L.; Knight, T.M.; Andrew, S.P. Urban greening to cool towns and cities: A systematic review of the empirical evidence. Landsc. Urban Plan. 2010, 97, 147–155. [Google Scholar] [CrossRef]
- Fan, H.; Yu, Z.; Yang, G.; Liu, T.Y.; Hung, C.H.; Vejre, H. How to cool hot-humid (Asian) cities with urban trees? An optimal landscape size perspective. Agric. For. Meteorol. 2019, 265, 338–348. [Google Scholar] [CrossRef]
- Ke, X.; Men, H.; Zhou, T.; Li, Z.Y.; Zhu, F.K. Variance of the impact of urban green space on the urban heat island effect among different urban functional zones: A case study in Wuhan. Urban For. Urban Green. 2021, 62, 127159. [Google Scholar] [CrossRef]
- Kong, F.; Yin, H.; James, P.; Hutyra, L.R.; He, H.S. Effects of spatial pattern of greenspace on urban cooling in a large metropolitan area of eastern China. Landsc. Urban Plan. 2014, 128, 35–47. [Google Scholar] [CrossRef]
- Jaganmohan, M.; Knapp, S.; Buchmann, C.M.; Schwarz, N. The bigger, the better? The influence of urban green space design on cooling effects for residential areas. J. Environ. Qual. 2016, 45, 134–145. [Google Scholar] [CrossRef]
- Zheng, Y.; Li, Y.; Hou, H.; Murayama, Y.; Hu, T. Quantifying the Cooling Effect and Scale of Large Inner-City Lakes Based on Landscape Patterns: A Case Study of Hangzhou and Nanjing. Remote Sens. 2021, 13, 1526. [Google Scholar] [CrossRef]
- Peng, J.; Xie, P.; Liu, Y.; Jing, M. Urban thermal environment dynamics and associated landscape pattern factors: A case study in the Beijing metropolitan region. Remote Sens. Environ. 2016, 173, 145–155. [Google Scholar] [CrossRef]
- Shih, W. Greenspace patterns and the mitigation of land surface temperature in Taipei metropolis. Habitat Int. 2017, 60, 69–80. [Google Scholar] [CrossRef]
- Ren, Z.; He, X.; Pu, R.; Zheng, H. The impact of urban forest structure and its spatial location on urban cool island intensity. Urban Ecosyst. 2018, 21, 863–874. [Google Scholar] [CrossRef]
- Li, F.Z.; Zheng, W.; Wang, Y.; Liang, J.H.; Xie, S.; Guo, S.Y.; Li, X.; Yu, C.M. Urban Green Space Fragmentation and Urbanization: A Spatiotemporal Perspective. Forests 2019, 10, 333. [Google Scholar] [CrossRef] [Green Version]
- Lin, Y.; An, W.; Gan, M.; Shahtahmassebi, A.; Huang, L.Y.; Zhu, W.; Huang, L.; Zhang, J.; Wang, K. Spatial Grain Effects of Urban Green Space Cover Maps on Assessing Habitat Fragmentation and Connectivity. Land 2021, 10, 1065. [Google Scholar] [CrossRef]










| Classification | Abbreviation | Description | 
|---|---|---|
| Internal factors | Area (ha) | Patch area of the samples | 
| LSI | LSI (Landscape Shape Index) is a standardized measure of total edge or edge density that adjusts for the size of the landscape | |
| FRAC | FRAC (fractal dimension index) is the fractal dimension of a sample patch | |
| SAVIinside | The average value of (The Soil Adjusted Vegetation Index) within the sample | |
| External factors | PI (%) | The proportion of impervious surface in the range of cooling effect generated by the sample | 
| SAVIoutside | The average value of SAVI in the range of cooling effect generated by the sample | 
| Date | 2010.05.24 | 2015.09.27 | 2020.07.22 | 
|---|---|---|---|
| Max | 49.30 °C | 51.00 °C | 53.00 °C | 
| Min | 21.32 °C | 20.51 °C | 20.30 °C | 
| Mean | 32.65 °C | 34.82 °C | 40.92 °C | 
| Water Coverage | Vegetation Coverage | |
|---|---|---|
| 2020 | −0.708 ** | −0.360 * | 
| 2015 | −0.722 ** | −0.366 * | 
| 2010 | −0.721 ** | −0.519 ** | 
| 2010 | 2015 | 2020 | |||||||||||
|---|---|---|---|---|---|---|---|---|---|---|---|---|---|
| Max | Min | Mean | Std | Max | Min | Mean | Std | Max | Min | Mean | Std | ||
| GCI (°C) | all samples | 5.48 | 0.06 | 1.99 | 1.23 | 5.04 | 0.06 | 1.86 | 1.11 | 6.10 | 0.03 | 1.82 | 1.34 | 
| larger samples | 5.48 | 2.28 | 4.18 | 0.98 | 5.04 | 2.73 | 3.64 | 1.01 | 6.10 | 1.70 | 4.96 | 1.20 | |
| medium samples | 4.06 | 1.82 | 3.94 | 1.67 | 4.17 | 1.16 | 3.11 | 1.28 | 5.76 | 1.05 | 4.23 | 1.33 | |
| small samples | 3.22 | 0.06 | 1.85 | 1.12 | 3.95 | 0.06 | 1.55 | 0.98 | 4.05 | 0.03 | 1.62 | 1.14 | |
| GCD (m) | all samples | 450 | 30 | 250.17 | 113.92 | 450 | 30 | 238.05 | 140.27 | 450 | 30 | 248.30 | 136.92 | 
| larger samples | 450 | 150 | 340.00 | 114.02 | 450 | 150 | 351.82 | 91.43 | 450 | 120 | 318.75 | 111.18 | |
| medium samples | 450 | 240 | 327.69 | 66.01 | 450 | 120 | 340.91 | 115.32 | 450 | 120 | 296.25 | 111.17 | |
| small samples | 450 | 30 | 244.70 | 132.47 | 450 | 30 | 228.03 | 138.78 | 450 | 30 | 243.65 | 137.81 | |
| Publisher’s Note: MDPI stays neutral with regard to jurisdictional claims in published maps and institutional affiliations. | 
© 2022 by the authors. Licensee MDPI, Basel, Switzerland. This article is an open access article distributed under the terms and conditions of the Creative Commons Attribution (CC BY) license (https://creativecommons.org/licenses/by/4.0/).
Share and Cite
Cai, Y.-B.; Wu, Z.-J.; Chen, Y.-H.; Wu, L.; Pan, W.-B. Investigate the Difference of Cooling Effect between Water Bodies and Green Spaces: The Study of Fuzhou, China. Water 2022, 14, 1471. https://doi.org/10.3390/w14091471
Cai Y-B, Wu Z-J, Chen Y-H, Wu L, Pan W-B. Investigate the Difference of Cooling Effect between Water Bodies and Green Spaces: The Study of Fuzhou, China. Water. 2022; 14(9):1471. https://doi.org/10.3390/w14091471
Chicago/Turabian StyleCai, Yuan-Bin, Zi-Jing Wu, Yan-Hong Chen, Lei Wu, and Wen-Bin Pan. 2022. "Investigate the Difference of Cooling Effect between Water Bodies and Green Spaces: The Study of Fuzhou, China" Water 14, no. 9: 1471. https://doi.org/10.3390/w14091471
APA StyleCai, Y.-B., Wu, Z.-J., Chen, Y.-H., Wu, L., & Pan, W.-B. (2022). Investigate the Difference of Cooling Effect between Water Bodies and Green Spaces: The Study of Fuzhou, China. Water, 14(9), 1471. https://doi.org/10.3390/w14091471
 
         
                                                

 
       