Abstract
Bacteria play a critical role in the material and energy-cycling processes of lake ecosystems. To understand the characteristics of the bacterial community in Wuliangsuhai Lake in spring, we explored the influence of environmental factors on the community structure of particle-attached bacteria (PA) and free-living bacteria (FL) in the water column of Wuliangsuhai Lake. In this study, we analyzed the bacterial community characteristics of 10 sampling sites in Wuliangsuhai Lake in April 2019 based on the high-throughput sequencing of 16S rRNA genes. Redundancy analysis (RDA) was used to analyze the influence of environmental factors on bacterial communities in lake water. The results showed the following: (1) The relative abundance of bacteria in Wuliangsuhai Lake did not significantly differ among the 10 sampling sites, and the dominant bacterial phyla were Actinobacteria, Proteobacteria, and Bacteroidetes. In addition, the community diversity of particle-attached (PA) was higher than that of free-living (FL). (2) The relative abundance of Bacteroidetes in PA (28.83%~54.67%) was significantly higher than that of FL (10.56%~28.44%), the relative abundance of Actinobacteria in the number of PA (20.02%~61.61%) was lower than that of FL (8.18%~16.71%), and the relative abundance of Verrucomicrobia in the PA (0.55%~13.11%) was higher than that of FL (0.05%~6.31%). (3) The redundancy analysis (RDA) showed that transparency, total nitrogen, total phosphorus, and -N were the main factors influencing the dominant bacterial communities in Wuliangsuhai Lake. This study provides the basis for further research on bacterial communities in freshwater lakes and may help local governments in the management of the water resources of Wuliangsuhai Lake.
1. Introduction
Lake ecosystems have a variety of functions, such as regulating and improving water quality, providing habitat for animals, and providing drinking water and food for humans. Bacteria are numerous and abundant in lake ecosystems, where they are involved in biogeochemical cycles and energy flows [1,2]. The investigation of lake bacteria aids researchers in understanding the biogeochemical cycles of lake ecosystems [3]. Depending on the habitat, bacterial communities in freshwater are usually divided into two types, particle-attached (PA) and free-living (FL) [4,5,6]. Bacteria that freely float in the water column are referred to as FL, and those that attach to phytoplankton, organic debris, or other particulate matter in the water column are PA [7]. Both PA and FL have strong adaptability and are sensitive to the environment; and influence the structure and functions of lake micro ecosystems [8], and their composition and community structure are heavily influenced by environmental factors, such as water temperature (WT), dissolved oxygen (DO), and both inorganic and organic nutrient availability [9,10,11]. Bacterial abundance and diversity greatly vary between lakes [12,13,14,15,16]. The higher the level of biodiversity, the wider the range of ecosystem functions and the more sustainable the ecosystem will be [17]. Many researchers around the world are currently researching the structure and ecological function characteristics of bacterial communities in lakes and have obtained valuable research results [18,19,20]. Zhang et al. used Illumina MiSeq to study the sediment bacterial diversity of 13 freshwater lakes in the Yunnan Plateau; the results showed that bacterial abundance in the sediments of these lakes greatly differ [21]. Shen et al. concluded that the diversity, community composition, and functional composition of planktonic and attached bacteria in Taihu Lake have different spatial and temporal dynamics, and the attached bacterial community seems to be more stable than the planktonic community in the face of environmental changes [22]. A study from 2019 showed that total nitrogen (TN), rather than phosphorus, was a determinant of bacterial abundance and geographic patterns in Erhai Lake [23]. All these studies provide valuable reference materials for lake ecosystem studies. With global warming [24] and the shortening of the freezing period of water bodies in cold regions, it is becoming increasingly important to study the characteristics of the bacterial community in polluted water bodies during the ice melt process. However, there have been few reports on the study of the structural characteristics of bacterial communities in natural water bodies in cold regions after the melting of snow and ice.
Wuliangsuhai Lake is located on the Inner Mongolia-Xinjiang Plateau in the northwest of China and belongs to Wulat Qianqi, Bayannur City, Inner Mongolia Autonomous Region (40°36′~41°03′ N, 108°43′~108°57′ E). It is the eighth largest freshwater lake in China, a typical cold region shallow lake and a “river track lake” formed during the redirection of the Yellow River, with an area of 293 square kilometers and a depth ranging from 0.5 to 3 m [25,26]. The water source of Wuliangsuhai Lake mainly consists of the receding water from the farmland of the river loop irrigation area, and it has a high eutrophic level with an average trophic level index of 73.12 [27]. In recent years, the water quality of Wuliangsuhai Lake has generally improved after years of ecological restoration [28].
Due to the cold winter climate, Wuliangsuhai Lake starts to gradually freeze at the beginning of December every year and starts to melt in March of the next year, with all the ice fully melted at the end of March or the beginning of April, making the annual freezing period about 4–5 months [29]. In winter, because of the formation of the ice cover, the processes of material and energy exchange at the water–air interface at the lake surface, including the stirring of the water surface by air currents, atmospheric reoxygenation, evaporation from the water surface, and short-wave radiation, are blocked [30]. A phenomenon of higher WT and dissolved oxygen in the water column under the ice occurs in lakes, where the WT in the middle layer can reach about 6 °C and the dissolved oxygen concentration can be as high as 4–6 mg/L [31]. At the same time, due to the freeze concentration effect [32], pollutants in the ice body migrate to the water body under the ice, and thus the concentration of pollutants in the ice is lower than that in the water body.
As winter turns to spring, temperatures rise and the ice on the lake melts, the ice cover disappears and the water surface is connected to the atmosphere, and thus the ability of material–energy exchange between the water body and the atmosphere is restored. In the process of establishing a new equilibrium, dissolved oxygen in the water decreases by escaping to the atmosphere, the water body under the ice becomes diluted through ice melt water, and the water quality improves. At the same time, the irrigation of the farmland around the Wuliangsuhai Lake has resulted in Wuliangsuhai Lake receiving a large amount of the receding water from agricultural fields [33], which complicates the situation. These processes may have an impact on the bacterial community structure in the lake water.
Understanding the structural characteristics of bacterial communities in aquatic ecosystems can help local governments in water resource management [34]. Based on the analysis of physicochemical indicators in Wuliangsuhai Lake, in this study, we analyzed the composition of FL and PA communities and the structure of dominant bacterial groups in Wuliangsuhai Lake in spring using a technique of high-throughput sequencing [35] to explore the spatial distribution characteristics of bacterial communities. This study links the bacterial community with the water quality of the lake and provides a research basis for further study of ecological restoration projects and the variation of bacteria in the pre-eutrophic water, as well as a theoretical basis for the evolution of freshwater lake ecosystems and lake environments in terms of bacteria. The results of the study can also be used for the assessment of ecosystem health.
2. Materials and Methods
2.1. Study Area and Sample Collection
In April 2019, GPS locators were used to set 10 sampling points on the lake’s surface, from north to south, namely I12, J11, L11, L15, N13, O10, Q8, Q10, S6, and U4, in an order according to the geographical environment and hydrological characteristics of Wuliangsuhai Lake (Figure 1). The sampling depth was 0.5 m below the water surface.
Figure 1.
Geographic locations of Wuliangsuhai Lake and sampling points.
Lake water sampling was carried out using a TC-800 type plexiglass water collector, and the DO, WT, and pH were measured on site using a YSIProPlus handheld multiparameter water quality analyzer (physicochemical indicators in Wuliangsuhai Lake are shown in Table A1 in Appendix A). Then, each water sample was loaded into a 1-L polyethylene bottle and brought back to the laboratory, half of which was used for the determination of other physicochemical indicators, and the other half was used for PA and FL collection.
The water samples were filtered through a 5 μm membrane to collect the PA; the filtrate was filtered through a 0.22 μm membrane to collect the FL [35,36]; the filtered membranes were snap frozen in liquid nitrogen at −80 °C and stored for DNA extraction and PCR amplification [7,22].
2.2. Determination of Physical and Chemical Indicators of Water Bodies
The transparency, WT, pH, chlorophyll a (Chl-a), and dissolved oxygen (DO) of water samples were measured on site using a YSIProPlus handheld multiparameter water quality analyzer (USA, YSI6600). The average of the 2–3 repeated measurements was recorded as the monitoring result. Physicochemical indicators, such as total nitrogen (TN), ammonia nitrogen (-N), and total phosphorus (TP), were measured in the laboratory with reference to standard methods [37]. The determination of all physicochemical indicators was completed within 2 days of sampling.
2.3. DNA Extraction and PCR Amplification
This study was conducted using the E.Z.N.A.® Water DNA Kit. Genomic DNA was extracted according to the kit instructions, the quality of the extracted DNA was assessed by agarose gel electrophoresis, and the DNA was quantified using a UV spectrophotometer. The PCR amplification of the variable region (V3+V4) of the 16S rRNA gene was performed with primers 338F (5′-ACTCCTACGGGAGGCAGCAG-3′) and 806R (5′-GGACTACHVGGGTWTCTAAT-3′) [38,39].
We commissioned Hangzhou Lianchuan Biotechnology Co., Ltd. (Hangzhou, China), to perform the high-throughput sequencing of the purified PCR products. The PCR instrument used in the experiment was an A200 gene amplification instrument manufactured by Hangzhou LongGene Scientific Instruments Co., Ltd. The PCR reaction mixture and thermal cycling conditions were described in previous papers [40,41]. PCR amplification products were detected by 2% agarose gel electrophoresis, and the target fragments were recovered using the AMPure XT beads recovery kit. Illumina MiSeq was used to perform the sequencing. We used the Fastp software to pre-process the raw data to obtain valid data for further analysis.
2.4. Data Analysis
RDP (Ribosomal Database Project) and NT-16S databases were used for species annotation. FLASH (Fast Length Adjustment of Short reads, v1.2.8, FLASH) software was used for the splicing of double-ended sequences [42]. For the removal of bases with quality values below 20 at the end of reads, a window of 100 bp was set, and if the average quality value in the window was below 20, the reads were filtered below 50 bp after quality control. Vsearch (v2.3.4, Vsearch) software was used to filter the chimeric sequences [43], clean tags with a >97% sequence similarity were designated as an out, and the best centroid (located in the geometric center) sequence was selected as a representative sequence for OTU for the subsequent taxonomic annotation of the species. The Bray–Curtis dissimilarity matrix between samples was calculated according to the abundance of the first 20 species of each sample, and then cluster analysis was performed. Finally, the clustering results and the relative abundance of the sample species were represented by bar graphs.
Alpha diversity is the diversity within a particular region or ecosystem [44]. Diversity indexes were calculated in mothur [45], including the Shannon index, Simpson index, and Chao1. The observed species indicate the richness of species in the sample; the Chao1 index was used to estimate the total number of species in the sample, and its larger value means more species [46], while the Shannon and Simpson indexes reflect the richness and homogeneity of species [47], and their larger values means higher community diversity [48]. The processed data were plotted using Origin (version 2021).
To further investigate the community structure characteristics of the PA and FL samples, principal component analysis (PCA) and principal coordinates analysis (PCoA) were used to compare the patterns of microbial communities among different samples [35]. PCA is a distribution method used to demonstrate the specific distance of samples through dimensionality reduction [22]. Based on the OTU abundance table, the distance of samples in the PCA plot reflects the similarity of species composition [49,50]. PCoA is also used to study the similarity or divergence of sample community composition [51]. PCA and PCoA were performed using the R language (version 3.6.3) vegan package 2.5–7 [52] and ade4 package 1.7.13.
In this study, redundancy analysis (RDA) was used to study the connections between the abundance of the top five dominant bacterial phyla and environmental factors [7]. The relationship between different physicochemical indicators (pH, TP, TN, water temperature, transparency, -N, and Chla) and the structure of the main bacterial phyla (PA and FL) in the aquatic environment was investigated. RDA were performed using the R language (version 3.6.3) vegan package 2.5–7 [52]. The Spearman correlation analysis of bacterial community diversity and environmental factors was performed using the R language (R version 4.0.3) ggplot2 package 3.3.5.
3. Results
3.1. Physical and Chemical Properties of the Water in Wuliangsuhai Lake
In April 2019, nine physiochemical indicators (transparency, total nitrogen (TN), total phosphorus (TP), chlorophyll (Chla), chemical oxygen demand (COD), water temperature (WT), pH, dissolved oxygen (DO), and free state ammonia nitrogen (-N)) of the water environment at 10 sampling points in Wuliangsuhai Lake area were measured, and the results are shown in Figure 2 and Table A1. According to the Environmental Quality Standard for Surface Water (GB3838-2002) of The National Standards of the People’s Republic of China, the water quality was in Class IV or Class V.
Figure 2.
Variation characteristics of typical physical and chemical indexes in Wuliangsuhai Lake (the dotted line shows the average value).
In general, there is some spatial variation in the different physicochemical indicators. pH at point U4 was the highest at 8.7, while pH at points I12 and L15 was the lowest at 8.0, with a difference of 0.7, and the average pH was 7.29. The water body in the lake generally appeared to be alkaline. The mean value of WT was 15.19 °C, with the highest value of 16.3 °C at point I12, and the lowest value of 14.3 °C at point N13. The average value of DO was 8.98 mg/L, the highest value of DO was 11.84 mg/L at point U4, and the lowest value was 4.78 mg/L at L15. the average value of TN was 1.29 mg/L, the highest value was 3.31 mg/L at point J11, and the lowest value was 0.54 mg/L at point N13. The average value of -N was 0.59 mg/L, the highest value was 1.02 at point O10 and the lowest was at point U4. The mean value of TP was 0.14 mg/L, the highest at point J11 was 0.30 and the lowest at point U4 was 0.05. The mean value of water transparency was 115.9, with the highest of 141 at sampling point U4 and the lowest of 75 at sampling point J11. The highest COD value at point Q10 was 576 mg/L and the lowest COD value was 20 mg/L at point J11, with little difference at other points. The points with relatively high chlorophyll a concentrations were Q10 and L15 with 17.26 mg/L and 17.08 mg/L, respectively, and the lowest chlorophyll a concentration was 2.12 mg/L at point U4. Since point J11 is close to the drainage outlet of the main drainage channel, it receives industrial wastewater, residential sewage, and farmland receding water, so it has low transparency, high turbidity, and a high concentration of nitrogen and phosphorus. The COD and Chla in point Q10 were higher than other points. The differences in physicochemical indexes between the remaining points were not significant.
3.2. OTU Clustering and Bacterial Community Structure
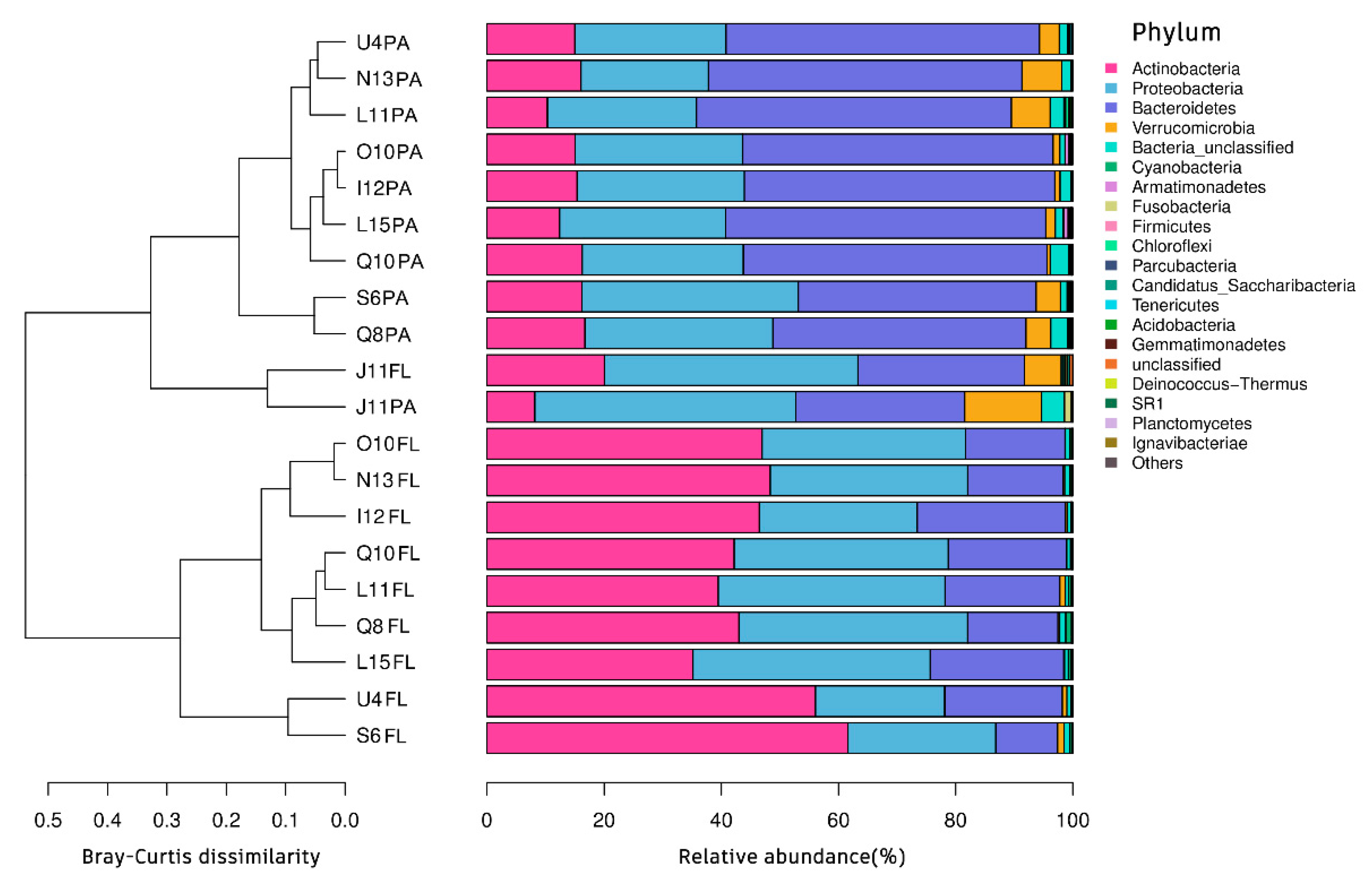
In this study, we obtained a total of 20 samples from 10 sites in Wuliangsuhai Lake, and two samples of PA and FL were taken from each site. After the completion of Miseq sequencing, we obtained 799,985 sequences of raw data, and after filtering, we obtained 605,362 sequences of clean data with an average length of 30,268. Operational taxonomic units (OTUs) are artificially assigned operational taxonomic units in microecological studies. Each OTU corresponds to a different 16S rRNA sequence, corresponding to a different species. We obtained 4784 OTUs at a 97% similarity level derived from 20 samples (11,889–43,748 sequences for each sample), among which 4299 (89.86%) were only found in PA, 4952 (81.46%) were only found in FL, and 3412 (71.32%) were shared by both (Figure 3).
Figure 3.
Venn diagram of bacterial community composition. PA: particle-attached bacteria. FL: free-living bacteria.
The differences in OTU amounts between PA and FL in the surface water of Wuliangsuhai Lake in spring were not significant (p = 0.099 > 0.05).
All 605,362 high-quality bacterial sequences belonging to 28 phylum, 65 classes, 118 orders, and 452 genera, and the species compositions of the bacterial community at the phylum level, are shown in Figure 4. The dominant phyla in PA were Actinobacteria, Proteobacteria, Bacteroidetes, and Verrucomicrobia, all accounting for more than 94% of the total bacterial population, with percentages of 8.18%–16.71%, 21.74%–44.54%, 28.83%–54.67%, and 0.55%–13.11%, respectively. The dominant phyla in FL were Actinobacteria, Proteobacteria, and Bacteroidetes, all accounting for more than 91% of the total bacterial population, with percentages of 20.02%–61.61%, 22.05%–43.27%, and 10.56%–28.44%, respectively. At the phylum level, the major phyla of both PA and FL were Bacteroidetes, Proteobacteria, and Actinobacteria. The relative abundance of Actinobacteria and Bacteroidetes significantly differed between PA and FL (p < 0.05). At the class level, Actinobacteria and Betaproteobacteria accounted for 71.80% of the total abundance in FL. Flavobacteriia predominated (31.32%) in PA, followed by Betaproteobacteria (18.28%) and Actinobacteria (14.14%). The relative abundance of Actinobacteria and Flavobacteriia significantly differed between PA and FL (p < 0.05). At the order level, Flavobacteriales (31.32%) and Burkholderiales (16.55%) were dominant in PA, whereas Actinomycetales (41.41%) and Burkholderiales (26.72%) were dominant in FL. At the family level, the dominant groups in the PA fraction were Flavobacteriaceae, Comamonadaceae (Proteobacteria), and Cryomorphaceae (Bacteroidetes), whereas unclassified Actinomycetales, Comamonadaceae (Proteobacteria), and Microbacteriaceae (Actinobacteria) dominated the FL bacterial communities.
Figure 4.
Bacterial community composition of different sampling points based on the relative abundance at phylum level. PA: particle-attached bacteria. FL: free-living bacteria.
When clustering the distribution of bacterial community composition at phylum level in different sampling points, it was found that point J11 had its own peculiarities, so we analyzed the community structure of this point at the family level. As is shown in Figure 5 and Table A2, the bacteria that accounted for the highest percentage at the family level in PA were Comamonadaceae, Flavobacteriaceae, Cryomorphaceae, Rhodobacteraceae, Opitutaceae, and others, all accounting for more than 72% of the total bacterial population. The bacteria that accounted for the highest percentage at the family level in FL were unclassified Actinomycetales, Comamonadaceae, Burkholderiaceae, Rhodobacteraceae, Cytophagaceae, and others, all accounting for more than 64% of the total bacterial population. Most of the bacteria were present in both PA and FL, except for one family of Saprospiraceae, which was only present in PA, with a relative abundance of 0.33%.
Figure 5.
Structural analysis of the bacterial community at the family level at point J11. PA: particle-attached bacteria, FL: free-living bacteria.
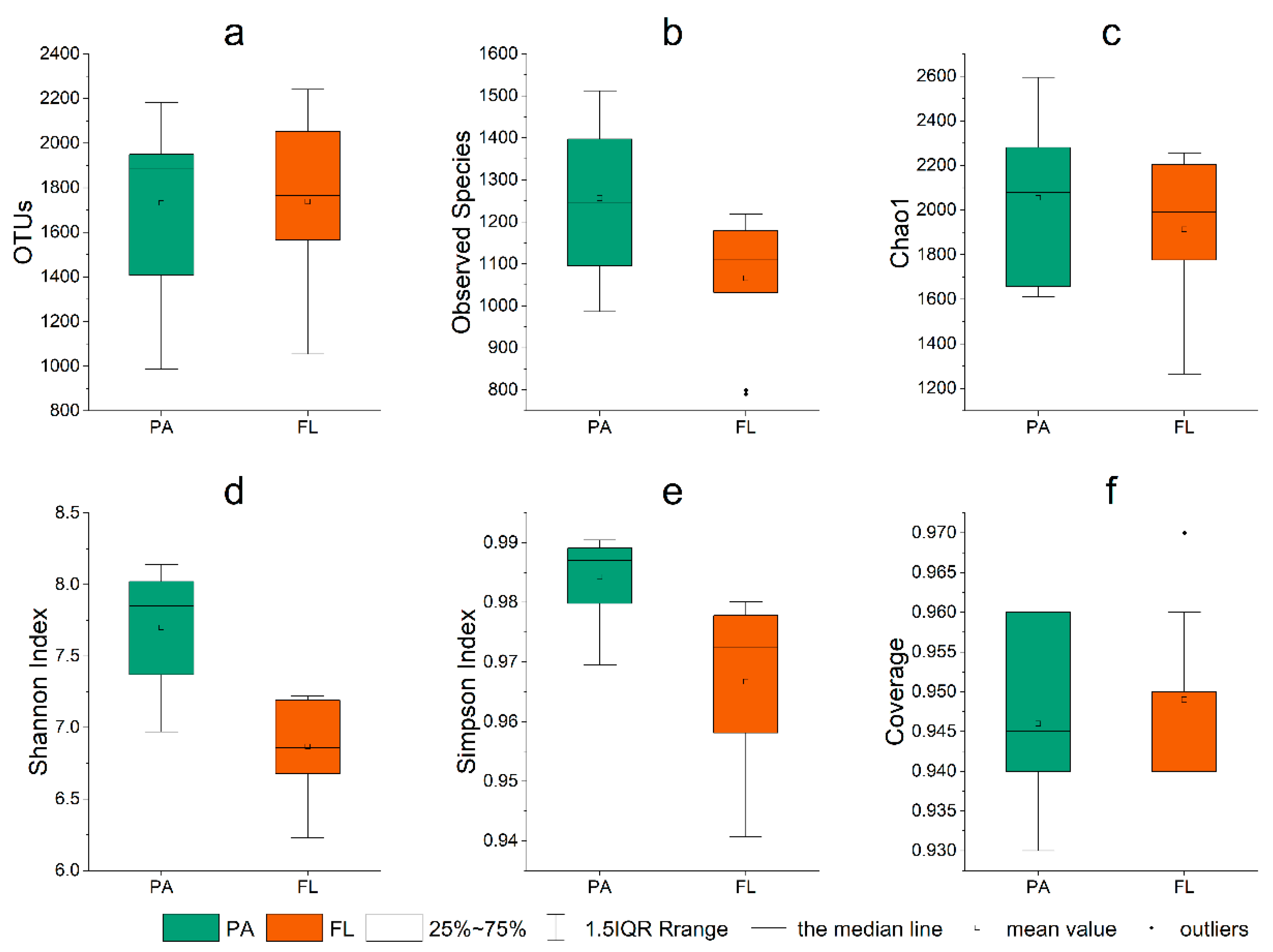
3.3. Alpha Diversity
The alpha diversity of the 10 sampling points is shown in Figure 6b–e and Table A3. The observed species index, the Chao1 index, the Shannon index, the Simpson index, and the coverage index ranged from 790 to 1512, 1265.22 to 2595.17, 6.23 to 8.14, 0.94 to 0.99, and 0.93 to 0.97, respectively. The median of the first four parameters were greater in PA than in FL, indicating higher diversity in PA than in FL.
Figure 6.
Boxplot of α-diversity indexes ((a) OTU richness; (b) Observed species index; (c) Chao1 index; (d) Shannon index; (e) Simpson index; (f) coverage index; Green indicates index of PA, Orange indicates index of FL).
The OTU values of all 20 samples were smaller than the Chao1 index, indicating the presence of more unknown OTU sequences in the lake water [53]. The coverage indexes were all above 93%, indicating that the sequencing results are able to fully reflect the real situation of bacteria (Figure 6f).
As shown in Figure A1, the dilution curves of all 20 samples increased and then leveled off, indicating that the sequencing results were able to cover most species in the samples and that the amount of sequencing data was sufficient to meet the requirements of biochemical analysis.
3.4. Beta Diversity Analysis
The similarity or difference of bacterial communities can be illustrated by the distance between samples. As seen in Figure 7, the PCA1 and PCA2 axes explain 50.86% and 17.78% of the results, respectively, with significant differences between the FL and PA communities. The weighted principal coordinates analysis (PCoA) showed similar results.
Figure 7.
Results of principal component analysis (PCA) (a) and principal coordinates analysis (PCoA) (b) between PA and FL.
3.5. Correlation Analysis of Bacteria and Environmental Factors
Figure 8 demonstrates that the first two ranking axes are able to explain most of the cumulative variables between species and environmental factors, with 82.62% confirmed in FL and 87.34% confirmed in PA, indicating that the analysis was reliable. The results showed that transparency, TN, TP, and -N were the main influencing factors for the dominant bacteria. Additionally, Actinobacteria among the PA were positively correlated with transparency, COD, and -N, independent of DO, and negatively correlated with WT, TN, and TP, while actinobacteria among the FL were positively correlated with transparency, pH, and DO, independent of WT, and negatively correlated with chlorophyll, TN, and TP.
Figure 8.
Redundancy analysis (RDA) of PA and physicochemical indicators in water (a); Redundancy analysis (RDA) of FL and physicochemical indicators in water (b).
The abundance of Verrucomicrobia in both PA and FL was negatively correlated with transparency and positively correlated with TN and TP, which is consistent with previous research results [54]. In the present study, a negative correlation was found between the growth of Verrucomicrobia and Actinobacteria.
Bacteroidetes in PA was positively correlated with transparency and negatively correlated with WT, TN, and TP, whereas Bacteroidetes in FL were negatively correlated with transparency and positively correlated with WT, TN, and TP.
Proteobacteria were negatively correlated with transparency and positively correlated with TN and -N in both attached and planktonic bacteria, consistent with the findings of Yao et al. [55], but Proteobacteria in PA were positively correlated with DO and pH, while Proteobacteria in FL was the opposite.
Table 1 shows the Spearman correlation coefficient matrix of bacterial abundance and environmental factors. The bacterial abundance in PA was significantly correlated with TN (p = 0.030 < 0.05, rho = 0.509) and WT (p = 0.048 < 0.05, rho = 0.337), but not with other environmental factors; the abundance of FL was significantly correlated with transparency (p = 0.016 < 0.05, rho = 0.582), TN (p = 0.008 < 0.05, rho = 0.589), and WT (p = 0.007 < 0.05, rho = 0.507), but not with other environmental factors.
Table 1.
Mantel test of bacterial abundance and environmental factors.
4. Discussion
Bacteria are an important part of water ecology, and there is a very close relationship between the structural characteristics of the main bacterial phyla and the physicochemical indexes of water [22]. Based on the preliminary analysis of the bacterial community in the surface waters of Wuliangsuhai Lake, it was found that, similar to most freshwater lakes in the world, these typical freshwater bacteria mostly belong to Actinobacteriota, Proteobacteria, Bacteroidota, and Verrucomicrobia [1,5,56,57,58,59,60], but with different relative abundances.
The water quality indexes of Wuliangsuhai Lake were not significantly different compared with results taken in autumn, except for slightly lower WT and higher TP values [19]. The level of diversity of PA was higher than that of FL, which was basically consistent with those of autumn [19]. The relative content of Cyanobacteria was less than in autumn [19], because the higher temperature and better light conditions in early autumn were more suitable for the growth of cyanobacteria, making them the dominant species [61].
There were significant differences between PA and FL in the Actinobacteria community. Actinobacteria accounted for the highest percentage of FL, and the results were the same as those of Taihu Lake in spring [22]. Actinobacteria are one of the dominant fractions in freshwater bacterioplankton communities [62] and are widespread in soil and water ecosystems throughout the world. They are associated with the biodegradation of various environmental pollutants and play a key role in the decomposition of humic substances [63]. They also have a catalytic effect on the restoration of water ecosystems [64].
The relative abundance percentage of Verrucomicrobia in PA ranged from 0.55% to 13.11%, which was significantly higher than that of FL. This is consistent with the research results of Parveen et al. [65]. Verrucomicrobia is a new bacterial phylum [66,67], which is widely found in various ecological environments, such as natural water [68] and soil [69]. They play an important role in the carbon, nitrogen, and sulfur biogeochemical cycle [70,71], but there have been few reports on their functions and only limited scientific knowledge concerning these bacteria [70].
The relative abundance of Bacteroidetes was the highest phyla in PA, significantly higher than that in FL. Bacteroidetes form an important genus of bacteria present in the human gut [72] and have a symbiotic relationship with humans, but Bacteroidetes may be associated with potentially pathogenic bacteria when they are located outside the intestinal tract [73], leading to disease in humans and infections in animal. Bacteroidetes abundance is higher today than was reported several years ago [74], suggesting that human activities may have a greater impact on Wuliangsuhai Lake than previously suspected.
Proteobacteria are the main bacterial phylum involved in the cyclic transformation of carbon, nitrogen, and phosphorus in lake water [75]. They play an important role in biological nitrogen and phosphorus removal and organic matter degradation [76]. In our study, it was found that Proteobacteria and Verrucomicrobia were positively correlated with TN and TP in PA and Proteobacteria, Bacteroidota, and Verrucomicrobia were positively correlated with TN and TP in FL. This conclusion also verified the role of Proteobacteria in nitrogen and phosphorus cycling in lake water.
5. Conclusions
The abundance of PA was higher than that of FL in Wuliangsuhai Lake during the spring, but the differences in the number and species of OTUs were insignificant.
The top four bacterial phyla in abundance in Wuliangsuhai Lake during the spring were Actinobacteria, Proteobacteria, Bacteroidetes, and Verrucomicrobia, and the percentage of these four dominant phyla in the total number of bacteria was over 90%, although the percentages of each phylum in the PA and FL were significantly different.
The RDA analysis showed that transparency, TN, TP, and -N were the main influencing factors of the dominant bacterial community in Wuliangsuhai Lake during the spring, and there were certain differences in the responses of different phyla to environmental factors. Proteobacteria and Verrucomicrobia in Wuliangsuhai Lake were negatively correlated with transparency and positively correlated with TN and TP, which indicates that Proteobacteria and Verrucomicrobia play an important role in the cyclic transformation of nitrogen and phosphorus in lake water.
This study was conducted in spring. The structural composition and operational mechanisms of the PA and FL communities in different seasons need to be further studied. The community structure of bacteria in subglacial waters may not be the same during the winter freezing period, and the effects of seasonal changes as well as ice melt processes on bacterial community structure should be further investigated.
Author Contributions
Conceptualization, X.S.; methodology, Y.W.; software, H.Y. and H.Z.; validation, W.L.; formal analysis, S.Z.; investigation, Z.T. and X.G.; resources, Z.C.; data curation, Y.L. and Y.S.; writing—original draft preparation, Y.W.; writing—review and editing, X.S.; supervision, B.S.; project administration, X.S.; funding acquisition, X.S., Y.W. All authors have read and agreed to the published version of the manuscript.
Funding
This work was supported by the National Natural Science Foundation of China (52260028); the National Key Research and Development Program of China (2017YFE0114800; 2019YFC0409200); the Inner Mongolia Autonomous Region Science and Technology Plan (2021GG0089); and the Scientific Research Projects of Higher Education Institutions in Inner Mongolia Autonomous Region (NJZY21519).
Data Availability Statement
The data will be available on request.
Conflicts of Interest
The authors declare no conflict of interest.
Appendix A
Table A1.
Physicochemical indicators in Wuliangsuhai Lake.
Table A1.
Physicochemical indicators in Wuliangsuhai Lake.
| Sampling Points | Transparency | TN | TP | Chla | COD | WT | pH | DO | -N |
|---|---|---|---|---|---|---|---|---|---|
| cm | mg/L | mg/L | μg/L | mg/L | °C | mg/L | mg/L | ||
| I12 | 123 | 1.4 | 0.12 | 5.16 | 24 | 16.3 | 8 | 9.84 | 0.87 |
| J11 | 75 | 3.31 | 0.3 | 4.26 | 20 | 16 | 8.4 | 10.42 | 0.64 |
| L11 | 116 | 1.47 | 0.12 | 3.28 | 200 | 15.7 | 8.2 | 8.34 | 0.23 |
| L15 | 117 | 0.89 | 0.19 | 17.08 | 76 | 14.5 | 8 | 4.78 | 0.63 |
| N13 | 112 | 0.54 | 0.12 | 6.88 | 68 | 14.3 | 8.3 | 10.3 | 0.28 |
| O10 | 116 | 1.39 | 0.18 | 6.57 | 72 | 15.2 | 8.1 | 7.67 | 1.02 |
| Q8 | 121 | 1.37 | 0.12 | 5.86 | 80 | 14.9 | 8.4 | 11.2 | 0.82 |
| Q10 | 126 | 1.16 | 0.13 | 17.26 | 576 | 14.7 | 8.2 | 6.62 | 0.7 |
| S6 | 112 | 0.66 | 0.08 | 4.06 | 188 | 15.2 | 8.6 | 8.78 | 0.48 |
| U4 | 141 | 0.7 | 0.05 | 2.12 | 188 | 15.1 | 8.7 | 11.84 | 0.21 |
Table A2.
Table of bacterial abundance at the family level at point J11.
Table A2.
Table of bacterial abundance at the family level at point J11.
| Family | J11PA | J11FL |
|---|---|---|
| Actinomycetales_unclassified | 3.29 | 12.67 |
| Comamonadaceae | 20.37 | 16.59 |
| Flavobacteriaceae | 9.88 | 5.87 |
| Microbacteriaceae | 2.80 | 3.55 |
| Cryomorphaceae | 8.68 | 2.03 |
| Burkholderiaceae | 2.62 | 7.44 |
| Chitinophagaceae | 2.64 | 5.28 |
| Rhodobacteraceae | 9.14 | 6.93 |
| Saprospiraceae | 0.33 | 0.00 |
| Bacteroidetes_unclassified | 0.58 | 0.22 |
| Sphingomonadaceae | 3.46 | 2.09 |
| Cyclobacteriaceae | 2.39 | 4.68 |
| Cytophagaceae | 2.06 | 9.01 |
| Actinobacteria_unclassified | 0.67 | 1.14 |
| Bacteria_unclassified | 3.89 | 0.35 |
| Verrucomicrobiaceae | 1.20 | 0.34 |
| Alcaligenaceae | 1.60 | 3.01 |
| Mycobacteriaceae | 0.13 | 0.25 |
| Nocardiaceae | 0.22 | 1.05 |
| Opitutaceae | 11.69 | 5.85 |
| Others | 12.35 | 11.64 |
Table A3.
Alpha diversity indices of PA and FL bacterial communities at 10 sampling sites in the surface water of Wuliangsuhai Lake.
Table A3.
Alpha diversity indices of PA and FL bacterial communities at 10 sampling sites in the surface water of Wuliangsuhai Lake.
| Sampling Points | Observed_Species | Chao1 | Shannon | Simpson | Gcoverage |
|---|---|---|---|---|---|
| I12PA | 1138.00 | 1935.36 | 7.24 | 0.98 | 0.95 |
| J11PA | 1095.00 | 1657.13 | 7.37 | 0.98 | 0.96 |
| L11PA | 986.00 | 1610.96 | 7.84 | 0.99 | 0.96 |
| L15PA | 1512.00 | 2595.17 | 8.11 | 0.99 | 0.93 |
| N13PA | 1088.00 | 1944.61 | 6.97 | 0.97 | 0.95 |
| O10PA | 1512.00 | 2397.88 | 8.14 | 0.99 | 0.93 |
| Q8PA | 1355.00 | 2265.85 | 7.86 | 0.99 | 0.94 |
| Q10PA | 1095.00 | 1633.90 | 7.52 | 0.99 | 0.96 |
| S6PA | 1397.00 | 2280.19 | 8.02 | 0.99 | 0.94 |
| U4PA | 1384.00 | 2214.41 | 7.92 | 0.99 | 0.94 |
| I12FL | 1126.00 | 2032.90 | 7.19 | 0.98 | 0.95 |
| J11FL | 799.00 | 1265.22 | 6.88 | 0.98 | 0.97 |
| L11FL | 1179.00 | 2243.21 | 7.21 | 0.98 | 0.94 |
| L15FL | 1218.00 | 2204.15 | 7.22 | 0.98 | 0.94 |
| N13FL | 790.00 | 1518.01 | 6.23 | 0.96 | 0.96 |
| O10FL | 1163.00 | 2256.77 | 6.84 | 0.96 | 0.94 |
| Q8FL | 1189.00 | 2092.37 | 7.12 | 0.98 | 0.94 |
| Q10FL | 1070.00 | 1802.10 | 6.75 | 0.97 | 0.95 |
| S6FL | 1092.00 | 1775.32 | 6.68 | 0.94 | 0.95 |
| U4FL | 1032.00 | 1947.00 | 6.56 | 0.95 | 0.95 |
Figure A1.
Rarefaction curves.
Figure A1.
Rarefaction curves.

References
- Yadav, A.N.; Yadav, N.; Kour, D.; Kumar, A.; Yadav, K.; Kumar, A.; Rastegari, A.A.; Sachan, S.G.; Singh, B.; Chauhan, V.S.; et al. Chapter 1—Bacterial community composition in lakes. In Freshwater Microbiology; Bandh, S.A., Shafi, S., Shameem, N., Eds.; Academic Press: London, UK, 2019; pp. 1–71. ISBN 978-0-12-817495-1. [Google Scholar]
- Hahn, M.W. The microbial diversity of inland waters. Curr. Opin. Biotechnol. 2006, 17, 256–261. [Google Scholar] [CrossRef]
- Paver, S.F.; Hayek, K.R.; Gano, K.A.; Fagen, J.R.; Brown, C.T.; Davis-Richardson, A.G.; Crabb, D.B.; Rosario-Passapera, R.; Giongo, A.; Triplett, E.W. Interactions between specific phytoplankton and bacteria affect lake bacterial community succession. Environ. Microbiol. 2013, 15, 2489–2504. [Google Scholar] [CrossRef] [PubMed]
- Urvoy, M.; Gourmelon, M.; Serghine, J.; Rabiller, E.; L’Helguen, S.; Labry, C. Free-living and particle-attached bacterial community composition, assembly processes and determinants across spatiotemporal scales in a macrotidal temperate estuary. Sci. Rep. 2022, 12, 13897. [Google Scholar] [CrossRef]
- Jiao, C.; Zhao, D.; Zeng, J.; Guo, L.; Yu, Z. Disentangling the seasonal co-occurrence patterns and ecological stochasticity of planktonic and benthic bacterial communities within multiple lakes. Sci. Total Environ. 2020, 740, 140010. [Google Scholar] [CrossRef]
- Xu, H.; Zhao, D.; Huang, R.; Cao, X.; Zeng, J.; Yu, Z.; Hooker, K.V.; Hambright, K.D.; Wu, Q.L. Contrasting Network Features between Free-Living and Particle-Attached Bacterial Communities in Taihu Lake. Microb. Ecol. 2018, 76, 303–313. [Google Scholar] [CrossRef] [PubMed]
- Yang, Y.; Chen, C.; Wang, J.; Xu, T. Characterizing free-living and particle-attached bacterial communities of a canyon river reservoir on the Yungui Plateau, China. Front. Microbiol. 2022, 13, 986637. [Google Scholar] [CrossRef] [PubMed]
- Bier, R.L.; Voss, K.A.; Bernhardt, E.S. Bacterial community responses to a gradient of alkaline mountaintop mine drainage in Central Appalachian streams. ISME J. 2015, 9, 1378–1390. [Google Scholar] [CrossRef]
- Garcia, S.L.; Salka, I.; Grossart, H.-P.; Warnecke, F. Depth-discrete profiles of bacterial communities reveal pronounced spatio-temporal dynamics related to lake stratification. Environ. Microbiol. Rep. 2013, 5, 549–555. [Google Scholar] [CrossRef]
- Ying, G.; Liu, F.; Sun, M.; Jiang, X.; Geng, J.; Teng, J.; Xie, W.; Zhang, H.; Chen, X. Community Structure and Influencing Factors of Bacterioplankton in Spring in Zhushan Bay, Lake Taihu. Environ. Sci. 2018, 39, 1151–1158. [Google Scholar] [CrossRef]
- Guo, D.; Liang, J.; Chen, W.; Wang, J.; Ji, B.; Luo, S. Bacterial Community Analysis of Two Neighboring Freshwater Lakes Originating from One Lake. Pol. J. Environ. Stud. 2021, 30, 111–117. [Google Scholar] [CrossRef]
- Fan, T.; Fang, W.; Zhao, Y.; Lu, A.; Wang, S.; Wang, X.; Xu, L.; Wei, X.; Zhang, L. Spatial Variations of Aquatic Bacterial Community Structure and Co-Occurrence Patterns in a Coal Mining Subsidence Lake. Diversity 2022, 14, 674. [Google Scholar] [CrossRef]
- Xie, Y.; Sheng, Y.; Li, D.; He, F.; Du, J.; Jiang, L.; Luo, C.; Li, G.; Zhang, D.; Du, J. Change of the structure and assembly of bacterial and photosynthetic communities by the ecological engineering practices in Dianchi Lake. Environ. Pollut. 2022, 315, 120386. [Google Scholar] [CrossRef] [PubMed]
- Yi, Y.; Lin, C.; Wang, W.; Song, J. Habitat and seasonal variations in bacterial community structure and diversity in sediments of a Shallow lake. Ecol. Indic. 2021, 120, 106959. [Google Scholar] [CrossRef]
- Xing, P.; Tao, Y.; Jeppesen, E.; Wu, Q.L. Comparing microbial composition and diversity in freshwater lakes between Greenland and the Tibetan Plateau. Limnol. Oceanogr. 2021, 66, S142–S156. [Google Scholar] [CrossRef]
- Liu, K.; Liu, Y.; Han, B.-P.; Xu, B.; Zhu, L.; Ju, J.; Jiao, N.; Xiong, J. Bacterial community changes in a glacial-fed Tibetan lake are correlated with glacial melting. Sci. Total Environ. 2019, 651, 2059–2067. [Google Scholar] [CrossRef]
- Fan, Y.; Hu, N.; Ding, S.; Liang, G.; Lu, X. Progress in terrestrial ecosystem services and biodiversity. Acta Ecol. Sin. 2016, 36, 4583–4593. [Google Scholar] [CrossRef]
- Zhang, H.; Yang, L.; Li, Y.; Wang, C.; Zhang, W.; Wang, L.; Niu, L. Pollution gradients shape the co-occurrence networks and interactions of sedimentary bacterial communities in Taihu Lake, a shallow eutrophic lake. J. Environ. Manag. 2022, 305, 114380. [Google Scholar] [CrossRef] [PubMed]
- Shi, Y.; Li, W.; Zhang, B.; Yao, G.; Shi, X. Characteristics of Bacterial Community Structure in Wuliangsu Lake During an Irrigation Interval in Hetao Plain. Environ. Sci. 2022, 43, 1424–1433. [Google Scholar] [CrossRef]
- Shen, Z.; Shang, Z.; Wang, F.; Liang, Y.; Zou, Y.; Liu, F. Bacterial diversity in surface sediments of collapsed lakes in Huaibei, China. Sci. Rep. 2022, 12, 15784. [Google Scholar] [CrossRef]
- Zhang, J.; Yang, Y.; Zhao, L.; Li, Y.; Xie, S.; Liu, Y. Distribution of sediment bacterial and archaeal communities in plateau freshwater lakes. Appl. Microbiol. Biotechnol. 2015, 99, 3291–3302. [Google Scholar] [CrossRef] [PubMed]
- Zhen, S.; Guijuan, X.; Yuqing, Z.; Bobing, Y.; Keqiang, S.; Guang, G.; Xiangming, T. Similar assembly mechanisms but distinct co-occurrence patterns of free-living vs. particle-attached bacterial communities across different habitats and seasons in shallow, eutrophic Lake Taihu. Environ. Pollut. 2022, 314, 120305. [Google Scholar] [CrossRef]
- Zhang, W.; Wan, W.; Lin, H.; Pan, X.; Lin, L.; Yang, Y. Nitrogen rather than phosphorus driving the biogeographic patterns of abundant bacterial taxa in a eutrophic plateau lake. Sci. Total Environ. 2021, 806, 150947. [Google Scholar] [CrossRef] [PubMed]
- Xu, Y.; Ramanathan, V.; Victor, D.G. Global warming will happen faster than we think. Nature 2018, 564, 30–32. [Google Scholar] [CrossRef] [PubMed]
- Wang, Z.; Yang, J.; Yang, F.; Yang, W.; Li, W.; Li, X. Distribution Characteristics of Microplastics in Ice Sheets and Its Response to Salinity and Chlorophyll a in the Lake Wuliangsuhai. Environ. Sci. 2021, 42, 673–680. [Google Scholar] [CrossRef]
- Sun, H.; Yu, R.; Liu, X.; Cao, Z.; Li, X.; Zhang, Z.; Wang, J.; Zhuang, S.; Ge, Z.; Zhang, L.; et al. Drivers of spatial and seasonal variations of CO2 and CH4 fluxes at the sediment water interface in a shallow eutrophic lake. Water Res. 2022, 222, 118916. [Google Scholar] [CrossRef] [PubMed]
- Sun, H.; Lu, X.; Yu, R.; Yang, J.; Liu, X.; Cao, Z.; Zhang, Z.; Li, M.; Geng, Y. Eutrophication decreased CO2 but increased CH4 emissions from lake: A case study of a shallow Lake Ulansuhai. Water Res. 2021, 201, 117363. [Google Scholar] [CrossRef]
- Quan, D.; Shi, X.; Zhao, S.; Zhang, S.; Liu, J. Eutrophication of Lake Ulansuhai in 2006–2017 and its main impact factors. J. Lake Sci. 2019, 31, 1259–1267. [Google Scholar] [CrossRef]
- Yang, F.; Li, C.; Shi, X.; Zhao, S.; Hao, Y. Impact of seasonal ice structure characteristics on ice cover impurity distributions in Lake Ulansuhai. J. Lake Sci. 2016, 28, 455–462. [Google Scholar] [CrossRef]
- Wang, W.; Roulet, N.T.; Strachan, I.B.; Tremblay, A. Modeling surface energy fluxes and thermal dynamics of a seasonally ice-covered hydroelectric reservoir. Sci. Total Environ. 2016, 550, 793–805. [Google Scholar] [CrossRef]
- Zhai, J.; Shi, X.; Liu, Y.; Zhao Sh, e.; Bao, W.Z.; Li, G. Change law of water temperature and dissolved oxygen concentration of Wuliangsu Sea in icebound period. Arid. Zone Res. 2021, 38, 629–639. [Google Scholar] [CrossRef]
- Müller, M.; Sekoulov, I. Waste Water Reuse by Freeze Concentration with a Falling Film Reactor. Water Sci. Technol. 1992, 26, 1475–1482. [Google Scholar] [CrossRef]
- Hao, R.; Shi, X.; Liu, Y.; Zhang, F. Spatial distribution and influencing factors of microplastics in water of Ulansuhai. China Environ. Sci. 2022, 42, 3316–3324. [Google Scholar] [CrossRef]
- Dickerson, T.L.; Williams, H.N. Functional Diversity of Bacterioplankton in Three North Florida Freshwater Lakes over an Annual Cycle. Microb. Ecol. 2014, 67, 34–44. [Google Scholar] [CrossRef]
- Yang, C.; Wang, Q.; Simon, P.N.; Liu, J.; Liu, L.; Dai, X.; Zhang, X.; Kuang, J.; Igarashi, Y.; Pan, X.; et al. Distinct Network Interactions in Particle-Associated and Free-Living Bacterial Communities during a Microcystis aeruginosa Bloom in a Plateau Lake. Front. Microbiol. 2017, 8, 1202. [Google Scholar] [CrossRef]
- Kanukollu, S.; Wemheuer, B.; Herber, J.; Billerbeck, S.; Lucas, J.; Daniel, R.; Simon, M.; Cypionka, H.; Engelen, B. Distinct compositions of free-living, particle-associated and benthic communities of the Roseobacter group in the North Sea. FEMS Microbiol. Ecol. 2016, 92, fiv145. [Google Scholar] [CrossRef]
- Jin, X.C.; Tu, Q.Y. The Standard Methods for Observation and Analysis in Lake Eutrophication, 2nd ed.; Chinese Environmental Science Press: Beijing, China, 1990. [Google Scholar]
- Zeng, Q.; An, S. Identifying the Biogeographic Patterns of Rare and Abundant Bacterial Communities Using Different Primer Sets on the Loess Plateau. Microorganisms 2021, 9, 139. [Google Scholar] [CrossRef]
- Caporaso, J.G.; Lauber, C.L.; Walters, W.A.; Berg-Lyons, D.; Huntley, J.; Fierer, N.; Owens, S.M.; Betley, J.; Fraser, L.; Bauer, M.; et al. Ultra-high-throughput microbial community analysis on the Illumina HiSeq and MiSeq platforms. Isme J. 2012, 6, 1621–1624. [Google Scholar] [CrossRef] [PubMed]
- Zhang, L.; Delgado-Baquerizo, M.; Shi, Y.; Liu, X.; Yang, Y.; Chu, H. Co-existing water and sediment bacteria are driven by contrasting environmental factors across glacier-fed aquatic systems. Water Res. 2021, 198, 117139. [Google Scholar] [CrossRef]
- Jiao, C.; Zhao, D.; Huang, R.; Cao, X.; Zeng, J.; Lin, Y.; Zhao, W. Abundant and Rare Bacterioplankton in Freshwater Lakes Subjected to Different Levels of Tourism Disturbances. Water 2018, 10, 1075. [Google Scholar] [CrossRef]
- Magoč, T.; Salzberg, S.L. FLASH: Fast length adjustment of short reads to improve genome assemblies. Bioinformatics 2011, 27, 2957–2963. [Google Scholar] [CrossRef]
- Rognes, T.; Flouri, T.; Nichols, B.; Quince, C.; Mahé, F. VSEARCH: A versatile open source tool for metagenomics. PeerJ 2016, 4, e2584. [Google Scholar] [CrossRef] [PubMed]
- Whittaker, R.H. Evolution and Measurement of Species Diversity. Taxon 1972, 21, 213–251. [Google Scholar] [CrossRef]
- Schloss, P.D.; Westcott, S.L.; Ryabin, T.; Hall, J.R.; Hartmann, M.; Hollister, E.B.; Lesniewski, R.A.; Oakley, B.B.; Parks, D.H.; Robinson, C.J.; et al. Introducing mothur: Open-source, platform-independent, community-supported software for describing and comparing microbial communities. Appl. Environ. Microbiol. 2009, 75, 7537–7541. [Google Scholar] [CrossRef] [PubMed]
- Chao, A. Nonparametric Estimation of the Number of Classes in a Population. Scand. J. Stat. 1984, 11, 265–270. [Google Scholar] [CrossRef]
- Shannon, C.E. A mathematical theory of communication. Bell Labs Tech. J. 1948, 27, 623–656. [Google Scholar] [CrossRef]
- Fu, P.; Bai, L.; Cai, Z.; Li, R.; Yung, K.K.L. Fine particulate matter aggravates intestinal and brain injury and affects bacterial community structure of intestine and feces in Alzheimer’s disease transgenic mice. Ecotoxicol. Environ. Saf. 2020, 192, 110325. [Google Scholar] [CrossRef]
- Lever, J.; Krzywinski, M.; Altman, N. Principal component analysis. Nat. Methods 2017, 14, 641–642. [Google Scholar] [CrossRef]
- Dormann, C.F.; Elith, J.; Bacher, S.; Buchmann, C.; Carl, G.; Carré, G.; Marquéz, J.R.G.; Gruber, B.; Lafourcade, B.; Leitão, P.J.; et al. Collinearity: A review of methods to deal with it and a simulation study evaluating their performance. Ecography 2013, 36, 27–46. [Google Scholar] [CrossRef]
- Ibekwe, A.M.; Ma, J.; Murinda, S.E. Bacterial community composition and structure in an Urban River impacted by different pollutant sources. Sci. Total Environ. 2016, 566, 1176–1185. [Google Scholar] [CrossRef]
- Ter Braak, C.J.F. CANOCO—A FORTRAN Program for Canonical Community Ordination by Partial Detrended Canonical Correspondence Analysis, Principal Components Analysis and Redundancy Analysis; MLV: Wageningen, The Netherlands, 1988; (Technical report/Ministerie van Landbouw en Visserij, Groep Landbouwwiskunde; LWA-88-02). [Google Scholar]
- Ding, N.; Yang, Y.; Wan, N.; Xu, A.; Ge, J.; Song, Z. Seasonal Variation and Influencing Factors of Bacterial Communities in Storage Reservoirs. Environ. Sci. 2022, 1–14. [Google Scholar] [CrossRef]
- Zhang, J.; Zhang, X.; Liu, Y.; Xie, S.; Liu, Y. Bacterioplankton communities in a high-altitude freshwater wetland. Ann. Microbiol. 2014, 64, 1405–1411. [Google Scholar] [CrossRef]
- Yao, T.; Yan, H.; Liao, X.; Wang, Z.; Liu, C.; Wang, Z.; Chen, Q. Characteristics of nitrogen transformation and microbial community structure in the diversion river: A case study of the Wangyu River. Acta Sci. Circumstantiae 2022, 42, 195–204. [Google Scholar] [CrossRef]
- Shao, K.; Yao, X.; Wu, Z.; Jiang, X.; Hu, Y.; Tang, X.; Xu, Q.; Gao, G. The bacterial community composition and its environmental drivers in the rivers around eutrophic Chaohu Lake, China. Bmc Microbiol. 2021, 21, 179. [Google Scholar] [CrossRef]
- Sun, L.; Wang, J.; Wu, Y.; Gao, T.; Liu, C. Community Structure and Function of Epiphytic Bacteria Associated With Myriophyllum spicatum in Baiyangdian Lake, China. Front. Microbiol. 2021, 12, 705509. [Google Scholar] [CrossRef]
- Kolmonen, E.; Haukka, K.; Rantala-Ylinen, A.; Rajaniemi-Wacklin, P.; Lepisto, L.; Sivonen, K. Bacterioplankton community composition in 67 Finnish lakes differs according to trophic status. Aquat. Microb. Ecol. 2011, 62, 241–250. [Google Scholar] [CrossRef]
- Ma, J.; Shi, R.; Han, R.; Ji, M.; Xu, X.; Wang, G. Community structure of epiphytic bacteria on Potamogeton pectinatus and the surrounding bacterioplankton in Hongze Lake. Mar. Freshw. Res. 2021, 72, 997–1003. [Google Scholar] [CrossRef]
- Zhong, M.; Capo, E.; Zhang, H.; Hu, H.; Wang, Z.; Tian, W.; Huang, T.; Bertilsson, S. Homogenisation of water and sediment bacterial communities in a shallow lake (lake Balihe, China). Freshw. Biol. 2023, 68, 155–171. [Google Scholar] [CrossRef]
- Richardson, T.L.; Gibson, C.E.; Heaney, S.I. Temperature, growth and seasonal succession of phytoplankton in Lake Baikal, Siberia. Freshw. Biol. 2008, 44, 431–440. [Google Scholar] [CrossRef]
- Allgaier, M.; Brueckner, S.; Jaspers, E.; Grossart, H.-P. Intra- and inter-lake variability of free-living and particle-associated Actinobacteria communities. Environ. Microbiol. 2007, 9, 2728–2741. [Google Scholar] [CrossRef]
- Sebastián, F.; Valentina, M.; Patricia, A.; Michael, S. Bioremediation of petroleum hydrocarbons: Catabolic genes, microbial communities, and applications. Appl. Microbiol. Biotechnol. 2014, 98, 4781–4794. [Google Scholar] [CrossRef]
- Wan, T.; He, M.; Ren, J.-H.; Yan, X.; Cheng, W. Environmental Response and Ecological Function Prediction of Aquatic Bacterial Communities in the Weihe River Basin. Environ. Sci. 2019, 40, 3588–3595. [Google Scholar] [CrossRef]
- Parveen, B.; Mary, I.; Vellet, A.; Ravet, V.; Debroas, D. Temporal dynamics and phylogenetic diversity of free-living and particle-associated Verrucomicrobia communities in relation to environmental variables in a mesotrophic lake. FEMS Microbiol. Ecol. 2013, 83, 189–201. [Google Scholar] [CrossRef]
- Chiang, E.; Schmidt, M.L.; Berry, M.A.; Biddanda, B.A.; Burtner, A.; Johengen, T.H.; Palladino, D.; Denef, V.J. Verrucomicrobia are prevalent in north-temperate freshwater lakes and display class-level preferences between lake habitats. PLoS ONE 2018, 13, e0195112. [Google Scholar] [CrossRef]
- Hedlund, B.P.; Gosink, J.J.; Staley, J.T. Verrucomicrobia div. nov., a new division of the Bacteria containing three new species of Prosthecobacter. Antonie Leeuwenhoek 1997, 72, 29–38. [Google Scholar] [CrossRef] [PubMed]
- Chin, K.J.; Hahn, D.; Hengstmann, U.; Liesack, W.; Janssen, P.H. Characterization and identification of numerically abundant culturable bacteria from the anoxic bulk soil of rice paddy microcosms. Appl. Environ. Microbiol. 1999, 65, 5042–5049. [Google Scholar] [CrossRef] [PubMed]
- Bergmann, G.T.; Bates, S.T.; Eilers, K.G.; Lauber, C.L.; Caporaso, J.G.; Walters, W.A.; Knight, R.; Fierer, N. The under-recognized dominance of Verrucomicrobia in soil bacterial communities. Soil Biol. Biochem. 2011, 43, 1450–1455. [Google Scholar] [CrossRef]
- Tran, P.; Ramachandran, A.; Khawasik, O.; Beisner, B.E.; Rautio, M.; Huot, Y.; Walsh, D.A. Microbial life under ice: Metagenome diversity and in situ activity of Verrucomicrobia in seasonally ice-covered Lakes. Environ. Microbiol. 2018, 20, 2568–2584. [Google Scholar] [CrossRef]
- Yu, S.; Li, S.; Tang, Y. Succession of bacterial community along with the removal of heavy crude oil pollutants by multiple biostimulation treatments in the Yellow River Delta, China. Acta Sci. Circumstantiae 2011, 23, 1533–1543. [Google Scholar] [CrossRef]
- Magne, F.; Gotteland, M.; Gauthier, L.; Zazueta, A.; Pesoa, S.; Navarrete, P.; Balamurugan, R. The Firmicutes/Bacteroidetes Ratio: A Relevant Marker of Gut Dysbiosis in Obese Patients? NUTRIENTS 2020, 12, 1474. [Google Scholar] [CrossRef]
- Nshimyimana, J.P.; Freedman, A.; Shanahan, P.; Chua, L.; Thompson, J.R. Variation of Bacterial Communities with Water Quality in an Urban Tropical Catchment. Environ. Sci. Technol. 2017, 51, 5591–5601. [Google Scholar] [CrossRef]
- Du, R.; Li, J.; Zhao, J. Bacterial diversity in littoral wetland of Wuliangsuhai Lake. Acta Microbiol. Sin. 2014, 54, 1116–1128. [Google Scholar] [CrossRef]
- Liu, J.; Yi, N.; Wang, S.; Lu, L.; Huang, X. Impact of plant species on spatial distribution of metabolic potential and functional diversity of microbial communities in a constructed wetland treating aquaculture wastewater. Ecol. Eng. 2016, 94, 564–573. [Google Scholar] [CrossRef]
- Jin, Z.; Tu, C.; Wang, S.; Chen, J.; Lu, c.; Huang, W. Phosphorus adsorption characteristics and loss risk in sediments of lake day. Environ. Sci. 2022, 43, 1976–1987. [Google Scholar] [CrossRef]
Disclaimer/Publisher’s Note: The statements, opinions and data contained in all publications are solely those of the individual author(s) and contributor(s) and not of MDPI and/or the editor(s). MDPI and/or the editor(s) disclaim responsibility for any injury to people or property resulting from any ideas, methods, instructions or products referred to in the content. |
© 2023 by the authors. Licensee MDPI, Basel, Switzerland. This article is an open access article distributed under the terms and conditions of the Creative Commons Attribution (CC BY) license (https://creativecommons.org/licenses/by/4.0/).







