Abstract
Microplastics have emerged as a significant global environmental concern in the recent decade. The aim of this study was to elucidate microplastic contamination of commercial fish species in a natural lagoon environment. Microplastic contamination was examined in the gastrointestinal tracts and gills of 157 commercial fish from 18 species with varying feeding habits in a vital and sensitive lagoon ecosystem, which connects to the Indian ocean. Microplastics were extracted using digestion, followed by stereomicroscopic inspection using Nile Red stain, and identified via μ-FTIR analysis. Over half of studied fishes ingested microplastics (54.14%). Filaments (50%) and blue items (43%) were the most commonly ingested. Of all the fish species, Eubleekeria splendens had the highest average concentration of microplastics in GIT (1.41 ± 2.52 items/g w.w. tissues), although no statistically significant difference in amount of ingested microplastics (items/g w.w. tissues) was observed among species. The highest concentrations of inhaled microplastics were recorded in Sillago vincenti (1.38 ± 1.30 items/g w.w. tissues). The majority of the extracted microplastics (33%) belonged in the size class 500–1500 μm with rayon, polyethylene terephthalate, and polypropylene as the primary polymers. This study found no correlation between microplastic ingestion and fish species and feeding habits, but a positive correlation with fish size was observed. These findings reveal widespread microplastic contamination in edible fish, posing potential risks to commercially important species due to increasing pollution in lagoon ecosystems.
1. Introduction
Global plastic manufacturing has extended to a staggering 400.3 million tons in 2022 [1]. Plastic waste management remains a global challenge [2]. Global recycled plastic production continued to grow in 2022, reaching 35.5 million tonnes or 8.9% of global plastic production, with Europe accounting for 21% of global recycled plastic production [3]. One of the most significant global challenges impacting the marine environment today is the accumulation of plastic, which is known to harm species and the environment through entanglement, ingestion, and potential toxicity [4,5]. A recent investigation suggests that at present, the pelagic environments host an excess of 5 trillion floating plastic pieces, with a collective mass exceeding 250,000 metric tons [4]. Over the past decade, there has been growing apprehension regarding the prevalent presence of micro-sized persistent plastic pieces, termed microplastics, within aquatic ecosystems [6,7].
The Group of Experts on the Scientific Aspects of Marine Environmental Protection (GESAMP) define microplastics as any plastic particles smaller than 5 mm [8]. These particles can be primary microplastics that were originally produced in a specific size and/or shape for consumer goods like clothing and cosmetics. These particles are known as primary or secondary microplastics, and they are the result of larger particles breaking down or degrading due to mechanical abrasion and photochemical oxidation in the environment [9]. Every marine environment has been identified as a microplastic hotspot, which includes the sea surface, water column, deep ocean, and coastal structures [10,11,12,13,14]. Even remote habitats in the Arctic [15,16] and Antarctic Oceans [17] are contaminated with microplastics. Due to their small size, microplastics are widely bioavailable, and over 100 species of fish, invertebrates, birds, and marine mammals have been observed to consume microplastics due to their small size and persistence in the environment, according to several studies [18,19,20,21,22,23]. Several authors have studied the uptake of microplastics by different species under different exposure conditions in laboratory conditions [24,25,26] and have suggested that trophic transfer of microplastics is likely to occur [25,27]. In addition to the acknowledged physiological effects of microplastic ingestion by aquatic organisms, such as impaired growth, reproductive issues, and potential exposure to carcinogenic chemicals, it is important to note that agrochemicals also show a tendency to adsorb onto suspended particulate matter [28]. A research investigation has documented the adsorption of agrochemicals onto suspended particulate matter [29] and the small particles present in manufacturing can serve as a source for toxic chemicals, including plastic additives [30] and flame retardants, as well as persistent organic pollutants (POPs) and heavy metals adsorbed on the surface of microplastics and transported to the marine environment [31,32]. Observations from laboratories have shown that plastic chemicals can be transferred to aquatic animals [33] and may impact species’ growth, reproductive success, and behaviour [21,34]. The degree to which marine species are exposed to chemical pollutants through the ingestion of microplastics is still a matter of uncertainty [21,30,35]. All types of fish can be vulnerable to plastic pollution. The possibility of human health risk resulting from the consumption of seafood is unclear [21,30,36,37]. Microplastic ingestion has been documented in commercially significant wild-caught fish species across various marine regions, including the English Channel [20], the North Sea [38] the eastern Pacific Ocean [21], the northeastern Atlantic [39], and the Mediterranean Sea [40]. Similar studies revealed that marine fish of non-commercial interest also ingested microplastics [41]. However, there are limited data about the contamination levels and microplastic ingestion of fish from freshwater and estuarine habitats [42,43,44,45]. Furthermore, marine ecosystems receive significant amounts of pollutants and microplastics from rivers. An estimated 80% of pollutants, including plastics, found in the ocean come from terrestrial sources [46,47,48,49]. This issue is particularly relevant due to the expansion of the country’s river basin and the growing urbanization and industrial activities that cause pollution.
Estuaries and lagoons are among the most important aquatic ecosystems [50], since they provide a variety of goods and services for humans, including food, coastal protection, tourism [51,52,53], and a habitat for a wide range of species such as fish and aquatic creatures [50,54]. Lagoons are particularly vulnerable to plastic pollution and have been recognized as hotspots for microplastics because drainage systems, such as river systems, may be significant transmission vectors for transporting land-based plastics into the marine environment [55]. Strong hydrodynamic forces (tides, waves, and wind) influence the dispersion, suspension and settling routes of microplastic particles once they enter an estuary, and regulate their direction and velocity of entry into the marine environment. Human interference frequently harms transitional waterways, especially lagoons [55,56,57]. In contrast to studies conducted in marine environments, there is a lack of information on the ingestion of microplastics by organisms in transitional aquatic environments. This is despite the fact that these environments are often closely associated with the sources of microplastics and act as a conduit for their transfer to oceans. Pollution threatens lagoon ecosystems [58,59], which are increasingly scarce worldwide resources [60,61,62,63]. Because lagoon settings are the primary source of fishery resources in the areas where they are located, it is critical to be aware of the potential transfer of microplastic particles (and related contaminants) into the food chain.
The purposes of this study are to (i) evaluate the presence of MPs in the digestive tract and gills of commercial fish from a natural lagoon environment, (ii) assess the type, size and morphometric features of the MPs, and (iii) characterize the identified MPs by the use of FT-IR spectrometry. The study is motivated by the ecological role that lagoons serve and the implications that microplastics possess for ecosystems.
2. Materials and Methods
2.1. Study Area
The Negombo estuary is an important fishing centre in Sri Lanka, and is a shallow basin estuary in western Sri Lanka’s Gampaha District, around 20 km north of Colombo city [64]. It contributes significantly to the socioeconomic value of the region by offering a variety of goods and services to the neighbourhood fishing community, specifically facilitating industrial activities like fishing and aquaculture farms [65]. Consequently, during the past few decades, the Negombo coastal line has experienced many anthropogenic stresses, such as plastic pollution [66,67], due to the X-Press Pearl maritime disaster, and resource depletion, altering its hydro morphology. Pollution levels of the Negombo Lagoon regarding microplastic contamination were recorded in surface waters, sediments, and biota, recently [68,69,70,71,72].
This lagoon has a surface area of roughly 32 km2 and a length of around 12 km, with a width of 3.75 km. It receives freshwater inflows from Dandugam Oya, Ja-Ela, and the Hamilton Canal. The existence of multiple islands at the sea mouth connects the northern section of the lagoon to the Indian Ocean via a series of small canals [73,74]. The Muthurajawela peatland is located at the lagoon’s southern extension. This lagoon contains around 22.5 million cubic meters of water and has an average water depth of roughly 1.2 m [65]. Around May and September, the southwest monsoon brings most of the rainfall to the area [75]. It is a highly dynamic lagoon habitat that is constantly influenced by tides and river flows [76]. Tidal waves from the ocean reach the lagoon twice a day [77]. The Negombo Lagoon has been the site of applied research over the past few decades, offering a comprehensive dataset for various research areas and demonstrating the ecological value of this lagoon ecosystem which provides a significant potential nursery location for marine species that are commercially beneficial to breed, spawn and grow, as well as avifauna migration routes.
Fish Species of the Negombo Lagoon
Finfish and shellfish (prawns, crabs and molluscs) are abundant in the Negombo Lagoon, including both estuarine and freshwater species [76]. The lagoon and surrounding reef regions serve as primary nursery, refuge, and feeding places for the majority of many catadromous species. There are approximately 140 fish species recorded in the Negombo lagoon coastal wetland, with the majority being catadromous [78]. The Negombo lagoon is home to a diverse array of species, with reports of at least 133 different types inhabiting the area. Additionally, more than half of these species are marine, migrating into the estuary from the sea [79]. The study identified 82 fish species, of which 98% were found to be suitable for consumption. Many fish species found in the lagoon are commercially valuable and have large populations that support the fishing industry as sources of significant edible fish harvests, including considerable quantities of grey mullet (Mugil spp.) and rabbit fish (Siganus spp.) [80]. A diverse range of species are caught for human consumption, and exported as ornamental fish and aquaculture seed [81]. Eighteen fish species were identified in the current study (Table 1).
Table 1.
Summary of data on analysed fish species collected from the Negombo Lagoon, Sri Lanka and their corresponding levels of microplastic ingestion.
2.2. Fish Sampling
In the Negombo Lagoon, fish samples were collected from local fishermen from several locations (Figure 1), caught using fishing gears such as trammel net and cast net. Sampling was carried out in the Negombo lagoon from June 2022 to January 2023. A total of 157 individual fish belonging to 18 different commercially valuable species were collected and selected: Leiognathus equula (common ponyfish), Hilsa kelee (Kelee shad), Crenimugil buchanani (bluetail mullet), Thyrissa hamiltonii (Hamilton’s thryssa), Scatophagus argus (spotted scat), Nematalosa nasus (Bloch’s gizzard shad), Sillago vincneti (Vincent’s sillago), Gerres filamentosus (Whipfin silver-biddy), Mugil cephalus (flathead grey mullet), Gerres oyena (common silver-biddy), Monodactylus argenteus (silver moony), Nemapteryx caelata (engraved catfish), Siganus javus (streaked spinefoot), Eubleekeria splendens (splendid ponyfish), Nuchequula blochii (twoblotch ponyfish), Strongylura leiura (banded needlefish), Stolephoru indicus (Indian anchovy) and Caranx heberi (blacktip trevally). These species belong to various families within the classes of Actinopterygii (ray-finned fishes) and Chondrichthyes (cartilaginous fishes).
Figure 1.
Location and fish sampling sites of the study area of Negombo Lagoon, Sri Lanka.
These species were selected taking into consideration their different vertical distribution. A variety of fish have been chosen to examine the diversity in microplastic uptake among various kinds of fish. Information on the location and fish was recorded. Fish samples were initially identified by the local fishermen, with subsequent validation of their habitat, trophic level, and species details utilizing established taxonomic keys [82,83]. Fish were classified at the species level whenever feasible, and photographic documentation of individual specimens was conducted to aid in further identification processes. A biological database was used to classify fish habits (https://www.fishbase.se/search.php, accessed on 14 January 2024). Following the collection of the fish, the samples were stored in an icebox and transported to the laboratory. They were frozen at −20 °C [20] for further analysis and thawed at room temperature before processing.
2.3. Sample Processing
Basic measurements, such as body weight (W:g) and total body length (TL-cm), were determined for each fish identified. The entire length of the fish samples was measured and weighed (Sartorius BSA224S-CW, Göttingen, Germany) with an accuracy of 0.1 cm and 0.1 g repeatability. Subsequently, each fish was dissected to remove the whole gastrointestinal tract (GIT) and gills (GLs), according to methods published elsewhere [84]. In the laboratory, the GITs of fish samples were removed while maintaining the integrity of the gut’s contents. After being thoroughly cleansed with ultra-pure water, each GIT and GL was moved to a separate 120 mL glass beaker, and the wet weight (Sartorius BSA224S-CW, Göttingen, Germany) of the tissues was measured. Five millilitres of a 30% KOH: NaClO (v:v) (Sigma-Aldrich, Saint Louis, MO, USA) solution was added to each sample per gram of wet weight. Each sample was then incubated at 40 °C for 3 days in the oven (Sanyo OMT Gallenkamp, Loughborough, UK) before filtration [85]. After the digestion process, the solution was filtered using a Whatman 47 mm diameter GF/D filter with 1.2 μm porosity, followed by staining with Nile Red (Sigma-Aldrich, Saint Louis, MO, USA) [86]. The filter paper was stored in a Petri dish for visual inspection. The microplastics were classified into filament, spherical, fragment, and film types. Filament evaluation criteria: filament must be in a long strip, have a uniform thickness, be uniform in colour, have no bifurcation at the terminal, and typically be stiffer and thicker. Sphere microplastics are smooth, spherical, or granular in shape. Fragments are grains which have distinct boundaries and uniform overall colour and films are small, thin, flexible pieces of plastics [87]. Microplastics were observed under a stereomicroscope (Euromex StereoBlueSB.1902-P, Euromex Microscope, Arnhem, The Netherland) and measured for their longest dimension.
Prior to usage, all laboratory equipment utilized in the sample processing was cleansed with filtered pure water to reduce the possibility of contamination. Throughout the sample analysis, cotton lab coats were always worn, and plastic material was avoided where possible. To ensure that there was no possibility of airborne contamination during the whole sample processing procedure, including the visual inspection and solution digestion, the laboratory was maintained with limited access during the sample analysis. Contaminant controls were set up during the dissection by using an extra beaker as an atmospheric blank and these controls were examined for potential contamination at the end of the sample analysis.
2.4. Observation and Identification of Microplastics
All extracted particles were observed using a stereomicroscope and photographed with an image analysis system HD Camera with software (ImageFocus Plus version 2.2.0, Euromex StereoBlueSB.1902-P, Euromex Microscope, Ahem, The Netherland). Classification of particles was carried out and they were categorized by type, according to their shape, into filaments (stiffer and thicker, elongated), fragments (angular and irregular pieces), films (thin and transparent), and spheres (round), and their colour [88]. Furthermore, each particle was assessed at its maximum length and subsequently classified into distinct size categories; ([<500 μm]; [500–1500 μm]; [1500–2500 μm]; [2500–3500 μm]; [<5000 μm]). A subset of 98 particles extracted from the GITs and GLs of fish were selected randomly to identity their polymer composition. A subset of items was selected and analysed using ATR-μFTIR with a liquid nitrogen-cooled MCT detector. A total of 32 scans were collected in reflectance mode in the range 4000–500 cm−1 at a resolution of 4 cm−1. Polymer identification was verified by the percentage match score against polymer libraries (ATR-FTIR-library complete, vol. 1–4; Bruker Optics ATR-Polymer Library; IR-Spectra of Polymers, Diamond-ATR, Geranium-AT and IR-Spectra of Additives, Diamond-ATR). Only matches above 60% were selected for positive microplastic validation and polymer identification [89].
2.5. Data Analysis
Plastic abundance was calculated as a percentage occurrence in fish and all statistical analyses were performed using IBM SPSS 26 for Windows. The mean ± standard deviation of the mean (SD) is used to represent all results. The number of plastic particles in each sample was counted, and the mean number of plastic particles per sample was calculated considering all the samples analysed. The shape, colour, type, and size of MPs were measured for each fish species. Before statistical analysis, post-Shapiro–Wilk normality tests were carried out. Significant differences in microplastic abundance in fish among fish species were analysed by the independent samples Kruskal–Wallis Test. Significant differences in microplastic abundance in fish GIT among their feeding habits were analysed by one-way ANOVA. Significant difference was set as a p-value less than 0.05. The possible relations between the number of microplastics and the total length and weight of fish in the estuary were assessed by the Spearman correlation. Statistical tests were considered significant at p-values < 0.01.
2.6. Assessment of Potential Risks from Microplastics
The risks that the chemicals associated with the wide variety of plastic items pose to the environment, humans and other forms of life are not well understood. Chemical toxicity was considered to determine the ecological impact caused by different types of microplastic polymers. The Polymer Hazard Index (PHI) is a method used [90] recently to quantify the potential risk posed by microplastics, which can be calculated using the following Formula (1).
The microplastic polymer hazard index is called “PHI”, represents the percentage of identified microplastic polymer species, and represents the average polymer hazard. The risk categories and risk levels of microplastics were evaluated with the PHI score, reported in several studies. Therefore, the polymer risk index, which is based on risk scales ranging from 1 to 10,000, is divided into five risk levels and used to assess the health risk level of microplastics [91]. In addition, plastic polymer monomers and chemical toxicities can be used to assess potential harm to human health and the environment.
3. Results
3.1. Background Contamination
Procedural blanks (n = 35) contained an average of 0.87 ± 0.21 MP per blank. MP sample counts were adjusted to account for procedural blank contamination by subtracting the average counts of microplastics in procedural blanks from the total MPs counted for each batch analysed. Airborne contamination was reported, including clear, blue, black, red, white and yellow filaments.
3.2. Abundance of Microplastics Ingested by Fish
In total, 157 specimens from 18 different fish species were collected and examined. Microplastics were observed inside the gastrointestinal tract of 85 individuals (54.14% of total fish samples). These fish were divided into four groups according to their feeding habits (Table 1). In the GIT of 157 fish, 165 plastic particles were found. The concentration of MPs in the GIT in the commercial fish species varied from 0.05 to 1.41 items/g w.w. tissue body weight. Leiognathus splendens had the largest average abundance of MPs by weight (1.41 ± 2.52), whereas Scatophagus argus had the lowest (0.05 ± 0.01) (Figure 2). According to the findings of a prior study, the concentration of microplastics in the stomach of Leiognathus splendens exhibited similar values to those observed in the current investigation [92].
Figure 2.
Box and whisker plot of the mean microplastic abundance (items/g w.w. tissues) in fish gastrointestinal tract and gills.
3.3. Characterization of Microplastics (Size, Colour and Morphology) in Fish GIT
A total of 201 plastic particles were recovered from the GITs and gills of the total of 157 fish samples and characterized according to their shape, colour, and length. From all microplastics isolated from the GIT of fish species, small microplastics were in a large portion of the fish samples, while the other size classes had a similar occurrence in all species. Plastic particles were divided into five sizes based on their size: <500 μm, 500–1500 μm, 1500–2500 μm, 2500–3500 μm and >500 μm. Among all MPs particles in the fish GIT, 40% were in the size class <500 μm, 32% in the size class 500–1500 μm, 17% in the size class 1500–2500 μm, 5% in the size class 2500–3500 μm and 6% in the size class >5000 μm (Figure 3a).
Figure 3.
Composition of ingested/inhaled microplastics characterized by size (a), colour (b), morphology (c) and polymer type (d1) in GIT and gill (d2).
The colour is a common indicator of rising demand and usage of a wide range of plastic products in our daily lives, which results in enormous amounts of plastic waste [93]. Eight different colours of MPs were found in the examined digestive tract samples. Ingested microplastics were mostly observed with uniform colour distribution across all fish species analysed, with blue microplastics being the most common (43%), followed by transparent (18%) and green (10%), while other colours such as red, yellow, black, white and orange were less frequent (Figure 3b). Numerous studies have revealed that fish digestive tracts contain a significant quantity of blue plastic filaments and fragments [94,95,96,97]. Five differently shaped microplastics were categorized as filaments (52%) as the predominant morphology, followed by fragments (34%), films (12%) and spheres (2%), which occurred in different size fractions with varying amounts in the gastrointestinal tract of the fishes (Figure 3c).
3.4. Abundance of Microplastics Inhaled by Fish
While the digestive tracts were the major pathway of microplastic ingestion, this study highlights the presence of microplastics in gills, as observed. This gives an insight into the waterborne microplastics, which may be different from the types found in the digestive tract. In the gills of 157 fish, 32 plastic particles were found. According to the results of microplastic abundance in the gills of all fish samples, the highest abundance was recorded in Silago vincenti (1.38 ± 1.30 items/g w.w. tissues) followed by Leognathus blochi and Siganus javus (1.17 ± 1.62 items/g w.w. tissues). No microplastics on fish gill were observed in Hilsa kelee, Gerres oyena, Stolephorus indicus and Gerres filamentous (Figure 2).
3.5. Characteristics of Microplastics (Size, Colour and Morphology) in the Fish Gill
The observed microplastics from the gills of the fish were classified into five size categories. The majority of the inhaled microplastics (35%) were observed in the size class <500 μm, followed by 33% in the 500–1500 μm class, 17% in 1500–2500 μm, 13% in 2500–3500 μm, and 2% in the <5000 μm size class (Figure 3a).
The most prevalent colour of microplastic observed was blue, whereas other colours like black, green, red, transparent, yellow and white were also observed, but in smaller proportions (Figure 3b). The most common shape of MPs in the gills of fish species was filament (63%) (Figure 4), which is similar to the observation of microplastics in the fish GIT. As filaments are one-dimensional materials, they can be easily breakable into smaller pieces, which may lead to their widespread existence in fish. Fragments (34%) were observed in a considerable amount, followed by films (3%) in a low quantity (Figure 3c). Filaments and spheres were not observed in the fish gills as they were in the GIT of the fish.
Figure 4.
Microplastic particles observed in GIT and gills of fish species from Negombo Lagoon, Sri Lanka.
3.6. Polymer Composition
A total of 98 particles (49% of the total) were analysed using μ-FTIR, to confirm if the particles extracted were plastic and to determine their chemical composition. The particles chosen were evenly distributed across all fish samples and size fractions (Figure 3d). The types of polymers identified were polyethylene terephthalate/polyester (PET) (26%), polypropylene (PP) (23%), polypropylene–polyethylene copolymer (PP-PE) (6%), polystyrene–polyethylene copolymer (PS-PE) (3%), polyethylene (PE) (7%), spandex (PU) (3%), polyamide (PA) (3%), and 29% of the particles analysed were assigned as rayon, a semi-synthetic cellulose filament, which is not categorized as a plastic (Figure 5). But taking into account its anthropogenic source and similar behaviour often counted together with MPs. It is interesting that many studies already reported the identification of rayon/viscose fibres in the gastrointestinal tract of fish, and concluded that filamentous fibres are also a major source of microplastic debris in the deep sea [98,99]. Rayon, PET and PP were observed in the gills in minor percentages, while more polymer types were observed in the fish gut.
Figure 5.
μ-FTIR spectra of representative microplastic polymers extracted from the GIT and gill of fish species from Negombo Lagoon, Sri Lanka.
Previous research results confirmed that polyethylene (PE), polyethylene terephthalate (PET), polypropylene (PP), rayon [100], polyamide (PA) and visually reported blue nylon fragments were the predominant polymer types ingested by fish on a global scale [94]. These results were expected, given the widespread presence of these polymers in both marine and freshwater ecosystems. The prevalence of these polymer types in the environment can be attributed to inadequate disposal of plastic waste, with these four types collectively constituting 80% of the total global plastic waste generated in 2015 [101]. PE and PP may originate from the wear and tear of fishing equipment, as they are commonly utilized in fisheries, as well as in food and product packaging. Due to their lower density, PE and PP tend to float on the water’s surface, making them more likely to be ingested by pelagic species [102]. Conversely, demersal species are more prone to ingesting denser plastics such as PET and PA, which often remain suspended in the water column or settle on the seabed. PA and PET are extensively utilized in fisheries and the textile industry, with their presence in the environment primarily stemming from laundry effluent and the use of fishing gear. Laundry effluent is dumped into the Negombo Lagoon, untreated in the form of household waste and detergents [73]. In the context of the Negombo Lagoon, which is primarily utilized for fishing activities, the dynamics of plastic pollution align closely with the findings described. Given the prevalence of these plastics in fishing equipment and packaging materials, they may enter the lagoon through improper disposal practices or from the wear and tear of fishing gear. It is challenging to determine the most prevalent polymer types accurately based on an evaluation of only 62% of MP samples. The possibility of revealing additional polymers in fish GIT is quite high.
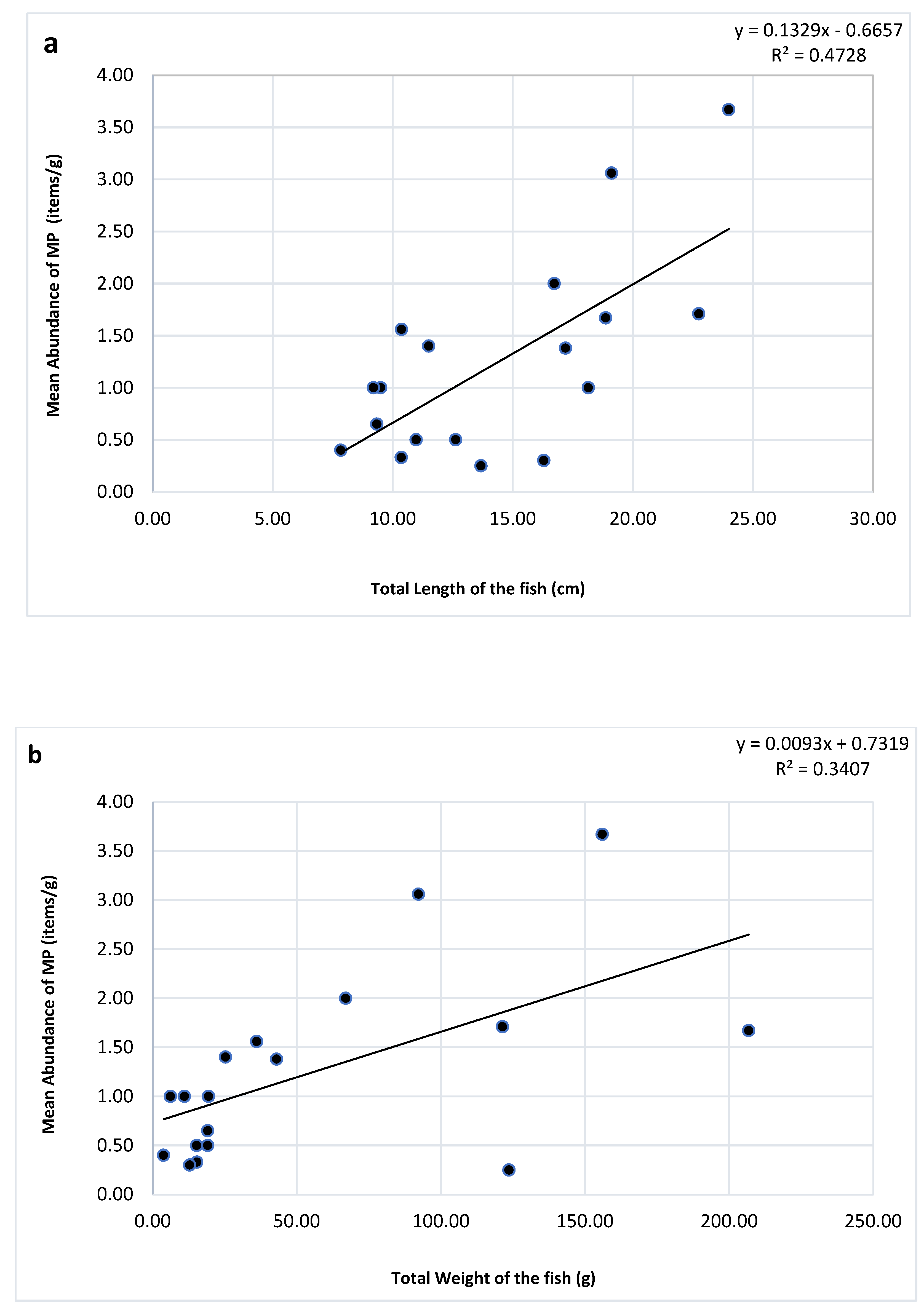
3.7. Factors Affecting MP Ingestion in Fish Species: Total Length of the Fish, Total Weight and MP Abundance
A statistically significant and moderate positive correlation was observed between microplastic abundance (items/g w.w. tissues) and fish total length (Spearman’s rank correlation, rho = 0.59; p < 0.01), indicating (Figure 6a) the measurement of fish length serves as an informative metric, encompassing both the physical dimensions and potential age of the specimen [103]. The correlation between the abundance of MPs and the total weight of the fish was also examined (Figure 6b). A significant positive correlation coefficient was observed between fish weight and the abundance of MPs per gram (Spearman’s rank correlation, r = 0.61, p < 0.01), indicating that the greater the weight of the fish, the greater the abundance of MPs per sample weight.
Figure 6.
Spearman correlation between total length (a) and total body weight (b) of the fish and MP abundance of fish samples.
The existing literature indicates a significant positive association between MP ingestion by fish and their length or body weight [104]. This relationship is attributed to larger fish exhibiting heightened energy demands and greater food intake capacities, thereby increasing the likelihood of MP ingestion [105]. However, it is noteworthy that the abundance of MPs in fish does not solely depend upon their body weight or length, but rather is influenced by the prevailing levels of plastic pollution in the aquatic environment. This assertion is supported by the findings of [106], who indicate that the ingestion of MPs by fish is likely governed by the ambient plastic abundance in their surroundings. It is important to emphasize that the fish specimens utilized in the present investigation encompassed a range of sizes.
3.8. Potential Risks of the Polymers of Microplastics
Based on their chemical composition [107,108], a classification of plastic polymers, evaluating their potential health hazards for both environmental and human health, is presented in this study. The potential risk of microplastics is evaluated in Table 2, which details the different polymer types, their monomers, percentages and risk categories.
Table 2.
Extracted microplastic polymers from fish and their possible risk evaluation.
4. Discussion
A heightened concentration of minute microplastics in the environment increases the likelihood of fish ingesting them either directly, resembling their natural prey such as zooplankton, or indirectly, by adhering to their prey [109]. Microplastic filaments recovered from these species often resemble their prey in size, shape, and colour. Studies have shown that microplastics, especially filaments, mimic plankton and detrital particles in aquatic environments, making them easily ingested by these fish as they feed [110]. This preference for smaller microplastics may be attributed to their prolonged presence in the GIT, requiring more time for evacuation compared to larger plastics [111].
However, certain studies have overlooked small microplastics during microscopic examination and analysis, potentially leading to an underestimation of the true extent of plastic ingestion [112]. It has been noted that a lower detection threshold could result in a higher frequency of plastic ingestion being reported [113]. Furthermore, the size of fish samples could influence research outcomes, as smaller-bodied fish may be unable to ingest larger plastics. Thus, there is a necessity to lower the threshold for plastic detection to encompass all sizes, given the prevalence of small microplastics in ingested plastic debris. In expanding the debate on microplastic intake, it is important to occupy advanced techniques such as Nile Red staining to highlight smaller microplastic particles. This fluorescent dye binds to hydrophobic particles, allowing visualization of microplastics that can be missed by conventional microscopic examination. Recent studies have increasingly used Nile Red to enhance the detection and quantification of microplastics in the aquatic environment [114]. Studies have demonstrated the effectiveness of Nile Red in the detection of microplastics up to 20 μm in size, highlighting its utility in large-scale plastic pollution assessments [115]. This comprehensive approach provides a more accurate assessment of the intake of plastics by different fish species and sizes, and ensures that even the smallest microplastics are taken into account in pollution studies. The ingestion of microplastics by fish can be influenced by various factors, such as active or passive uptake mechanisms, distinct feeding behaviours, habitat preferences, fish size, and the characteristics of the microplastics themselves [116,117]. Pollution from microplastic is common in urban aquatic food webs [96]. Fish in urban areas are especially vulnerable to microplastic pollution [118,119]. Fish are not solely capable of illustrating the impacts of plastic pollution on aquatic eco-systems [120]. Plastic pollution is prevalent in many anthropogenic locations, and these plastics eventually drain into bodies of water, where they are fragmented and consumed by fish.
Thus, the relatively large abundance rates observed in fishes during this study could have been due to the high abundance and availability of microplastics in waters and sediments of the Negombo Lagoon, Sri Lanka [68]. Microplastics have been found in areas behind sand barriers which trap the debris and act as sinks. It is believed that the microplastics ingested by fishes could be floating in these sinks due to the morphology as well as other environmental factors such as wind speed and ocean currents. Pelagic fish are susceptible to microplastic-contaminated plankton floating in the water, while demersal fish are vulnerable to microplastics present in sediment. In the midwater, microplastics are less abundant, as particles either float to the surface, settle on the ocean floor, or adhere to reefs [121]. This discrepancy likely explains the higher presence of microplastics in the gills of demersal fish compared to pelagic species. Fewer particles in the water column can lead to more microplastics (MPs) on the gills of demersal species due to their close proximity to the seafloor, where MPs can settle. These species may encounter MPs when they feed on or disturb the sediment. Although pelagic species might inhale floating MPs, the feeding and habitat behaviours of demersal species make them more likely to encounter MPs in the sediment. Thus, the association with the seafloor and feeding habits influences MP exposure more than water column concentrations [122,123,124].
These results reveal that the selected commercial fish species in the Negombo Lagoon, Sri Lanka are contaminated with microplastics. These low but ubiquitous microplastic occurrences in a variety of fish indicate an increase in plastic pollution in the associated lagoon ecosystem, which opens to the Indian ocean. All of the caught fish are economically viable species that could be used to feed humans. Therefore, microplastics may be ingested by humans through trophic transfer, posing a risk to health. From a regional perspective, the Negombo Lagoon is associated with an urban area with diverse human activity, which impacts the abundance and distribution of marine litter.
The occurrence of filaments in all fish samples supports prior findings that filaments are the most common shape of microplastic in fish [94,125,126]. The shape of MPs indicates whether plastic particles are primary or secondary [127]. MPs have predominantly symmetrical main forms and asymmetrical secondary shapes. Secondary MPs are more prevalent in the aquatic environment than primary MPs [128]. Filaments are examples of primary MPs, as they are often derived from textile goods and by-products [127]. Fragments can indicate the existence of secondary MPs, as they are often created after the breakdown of big plastic particles [19]. Most of the MPs identified during this study were primary MPs. This finding aligns with a study by [94] on shrimp and fish from Bangladesh’s Bay of Bengal. Fish nets, rope, untreated textile-industry effluent, and home wastewater may act as few of the possible sources of filaments found in fish intestines. Large plastic objects dropped into the water may break down into spheres, rods, and pieces. To ascertain the sources of MPs in fish, more investigation is required. A variety of fishing gears and methods numbering over 30 are reported from the Negombo lagoon, with 08 main types, all targeting shrimp except for gillnets and the hand lines. Traditional fishing methods include the cast net, stake net, Katta, brush pile, Kadippu dela, angling, crab pots, scoop net, Karak gediya, Iratta, fish krall, Kemana and dip net. Other more modern methods include the Gokran dela, hand trawl, drift gillnet, trammel net and lagoon seine (Gawana dela). Most of the fishing methods are used in the basin segment of the lagoon. While some gears are used by only a handful of fishers, the same gear or gears that are very similar in construction and operation are given different names in different parts of the lagoon. These fishing nets are typically made of synthetic filaments [64].
Previous findings revealed that a significant portion of plastics consumed by fish exists in the form of filaments and fragments. Numerous studies have consistently identified filament plastics as the predominant type found in aquatic ecosystems [129], with wastewater treatment-plant effluents being a primary source. Studies have shown that wastewater treatment plants in Sri Lanka are a major source of microplastics, including filaments that are released into coastal waters [130]. Additionally, local fishing activities contribute to the presence of filament plastics, with abandoned or discarded fishing gear accounting for a notable portion of marine plastic debris [131,132,133]. It is noteworthy that some fish species inadvertently ingest filament plastics, potentially through passive intake during respiration [134]. Consequently, the ubiquitous nature of plastics in the environment leads to the unintentional ingestion by most fish species. The accumulation of filament plastics in fish gastrointestinal tracts (GITs) may vary, impacting study outcomes [135]. Samples obtained from fish might not accurately reflect the total plastic ingestion over their lifespan, as some plastics could have been expelled before sampling [99]. This underscores the need for further research, particularly concerning shape-dependent plastic accumulation in fish. Moreover, addressing the limitations of current studies, such as the potential egestion of plastics prior to sampling, necessitates larger sample sizes from consistent species and sampling areas. Relating to pollution in the Negombo Lagoon, these findings suggest a potential presence of filament plastics due to both wastewater discharge and fishing activities.
The reviewed studies indicate that among the plastics ingested by fish, blue is the most common colour, followed by black, white, and transparent. However, global analysis of floating plastics in seawater shows that white and transparent/translucent plastics are the most abundant, followed by yellow and brown, with blue being less prevalent [136]. It is important to note that these findings exclude filament plastics due to potential airborne contamination, and fragments constitute the majority of collected plastics. Studies including filament plastics show varying dominant colours such as blue, black, transparent, and white, which may be attributed to methodological differences and sampling regions [93]. Despite inconsistencies, similar dominant colours like blue, black, white, and transparent are observed across different studies, suggesting that fish might ingest plastics accidentally, due to their resemblance to environmental plastics. Some studies suggest that fish may selectively feed on certain coloured plastics, with larger pieces of blue and yellow plastics being preferred [137,138]. This preference may be linked to the resemblance of blue plastics to prey organisms like blue-pigmented copepods, abundant in sampled areas [139]. Thus, it is hypothesized that certain fish species deliberately ingest blue plastics due to their resemblance to prey, while most species consume them incidentally during feeding and breathing, owing to their prevalence in the environment [99]. The findings of this study were in accordance with the pigmentation of MPs discovered in surface water and sediment of the Negombo Lagoon, Sri Lanka [65]. In Sri Lanka, plastics play a significant role in various sectors such as shopping bags, packaging materials, textile fabrics, fishing nets, and fishing gear. These plastics are often transparent or come in shades of blue and white [65]. As fish may mistake these plastics for food, they can inadvertently consume them. According to the results of the current study, blue microplastics predominated over other colours, due to their high abundance in water. More frequently, contaminated fish prey, and/or fish actively preferred to ingest blue microplastics as they confused them more often with food than other coloured microplastics 140 [130]. However, during usual feeding activities, fish may inadvertently ingest these colourful and/or transparent MPs [98].
4.1. Factors Affecting MPs Ingestion in Fish Species: MP Abundance and Feeding Habits
All feeding habits (omnivore, carnivore, and herbivore) showed high occurrence of microplastics (>25%) although lower than planktivorous fish (48%) (Figure 7). According to the study results, the highest mean abundance of ingested microplastics (items/g w.w. tissues) in GIT was recorded in planktivorous fish and the lowest was recorded in carnivorous fish. Fish ingestion of MPs may be significantly influenced by their feeding habits, habitat, and the quantity of plastic debris present in the aquatic system [95,96,127,140]. Most of the fish (n = 157) collected in this study were omnivore, followed by planktivorous, carnivorous, and herbivorous fish, based on their dietary habits. Thus, it is challenging to determine which of the four feeding habits—omnivore, carnivore, herbivore, and planktivore—might be in the position of ingesting MPs at higher rates [141]. Yet, omnivorous fish consume more MPs than herbivorous and carnivorous fish, according to a prior study [142]. Omnivorous fish, which consume a varied diet of plant material and smaller animals, are exposed to a broader range of food sources and habitats. This diversity in their diet likely increases their chances of ingesting microplastics (MPs) compared to herbivorous and carnivorous fish, who have more specialized diets [127]. High occurrence of microplastic ingestion among planktivorous fish, particularly Eubleekeria splendens and Leognathus blochi, suggests that plastic ingestion may be influenced by a species’ feeding behaviour. Planktivorous fish could ingest microplastics along with their food and subsequently transfer them to larger predators [143]. However, [95] suggested that plastic ingestion in fish may be influenced by habitat and gastrointestinal tract structure. Additionally, omnivorous fish such as Scatophagus argus and Sillago vincenti exhibited higher microplastic ingestion rates compared to herbivores and carnivores. Future research on microplastic ingestion by fish should thoroughly examine the gastrointestinal tract and digestion process, and comparisons between surface water and substrata should be conducted.
Figure 7.
Comparison of abundance of microplastics among fishes with different feeding habits (bars represent standard error).
The statistical analysis reveals no significant difference in microplastic abundance in fish GIT among their feeding habits (one-way ANOVA), implying that microplastic consumption may be independent of fish-eating habits, which is consistent with the findings of [144]. Further research into microplastic ingestion by specific species is needed to confirm this finding. Due to the limitations of this research, insufficient fish specimens in each feeding habit category prevent us from conclusively asserting that microplastic consumption is unrelated to fish-eating habits. Sometimes filter-feeding fish species ingest plastic matters while filtering the water by their gills and gulping during a lack-of-oxygen situation. Reef-associated species are also threatened because of plastic pollution. For example, some plastic particles with comparatively high density settle down on the reef bed and are erroneously taken by reef-associated fishes [145]. Plastic litters (macro- to microplastics) can also be ingested through predation action, in when predatory fish catch their small prey aggregated in schools. This kind of feeding behaviour may increase the probability of ingesting plastic debris together with the prey, in reef-associated fishes [146]. In the future, studies ought to investigate whether local species of biota that feed on benthic filters are exposed to microplastic particles in lagoons which are particularly close to the water–sediment interface. Furthermore, research is encouraged on the detrimental effects that microplastics and the pollutants they contain have on human health, via the food chain.
4.2. Potential Risks of the Polymers of Microplastics
According to the current study, microplastic pollution may classified into the minor I and medium II hazard categories, based on the polymer hazard index for various polymer types, which is associated with the commercial fish species in the Negombo lagoon, Sri Lanka. All the plastic polymers extracted in this study possess a risk to human health, accordingly. Therefore, it is important to evaluate the chemical toxicity of different polymers and quantify the abundance of microplastics. In addition, the chemical toxicity of microplastics should not be neglected, even if their concentration level is low.
4.3. Ecological Impacts
The results of the investigation showed that microplastics have been detected in fish residing in the Negombo Lagoon and that consumption of these fish could expose humans to microplastics, too. Fish can experience muscle and neurotoxicity, as well as lipid oxidative damage in the gills, due to microplastics or microplastic-associated compounds [140]. Fish that consumed microplastic showed signs of anorexia and lethargy, according to [147], but no histological changes were noted. Conversely, fish that consume microplastics may bioaccumulate harmful chemicals found in plastic, endangering public health [145]. Plastic bottles and packaging materials are frequently made with toxic substances including phthalates and bisphenol-A [148]. Microplastics are suspended in the water column for a long period and suspended particles adsorb chemical contaminants, including microplastics, with time. The absorbed contaminants are also transferred to fish when they consume microplastics [149].
Over 50% of plastics contain toxic monomers, additives, and chemical by-products, according to the UN Globally Harmonized System. The several MP forms that are present in tropical fish may contain dangerous materials that could have an adverse effect on public health. Adhesion is a recently identified mode of ingestion that allows organisms to accumulate MPs in addition to ingestion [150]. Moreover, it is predicted that during the global pandemic, poor biomedical waste management and increased production of biomedical waste, such as masks, gloves, and personal protective equipment, will have an adverse effect on the environment by causing MP pollution in Asian countries [151]. Increased MP transfer into food chains is the ultimate result of the global pandemic’s massive introduction of MPs into the aquatic ecosystem. Sri Lanka continues to lack regulations to control the effects of secondary MPs, despite the considerable attention that plastic pollution and its detrimental effects on public health have received globally in recent years. Consequently, the importance of establishing new laws governing the usage of plastic and other polymers in order to mitigate MPs’ negative effects on public health is among the study’s most significant outcomes. More investigation is necessary to determine whether MPs are present in fish muscles and to evaluate any potential health risks.
5. Conclusions
The results of the investigation suggest that fish species in a natural lagoon environment in Sri Lanka are susceptible to microplastic contamination, primarily from synthetic and semi-synthetic filaments, and that specific fish species are potentially more susceptible to ingesting microplastics compared to other species. These species should be considered as candidate species for monitoring microplastics in similar habitats. More research is required to identify the mechanisms and pathways that release filaments towards estuarine environments and to assess the eco-toxicological risks to fish health, as well as the possible effects associated with the transmission of contaminants on human health. Furthermore, it is crucial to research microplastic ingestion by species from transitional ecosystems, serving as an interface between the land (major land-based sources of plastic pollution) and the ocean. The study’s results demonstrate that anthropogenic stress is affecting the fishery and marine food security in the Negombo Lagoon. Efficient plastic pollution management strategies in the research area, as well as neighbouring areas, require immediate attention. In addition, it is strongly recommended that microplastic contamination in marine species and their food chain in other surrounding provinces be investigated, to ensure the safety of the environment and human health. Additionally, this is an elementary research project that requires further comprehensive examination.
Author Contributions
Conceptualization, A.A.D.A. and D.S.M.D.S.; data curation, A.A. and A.R.M.; formal analysis, A.A., A.R.M. and A.B.; funding acquisition, D.S.M.D.S.; investigation, A.A.; methodology, A.A., A.R.M. and A.B.; project administration, D.S.M.D.S., A.A.D.A., D.B.S. and C.R. resources, A.A.D.A., D.S.M.D.S., A.R.M., A.B., D.B.S. and C.R.; software, A.A. and A.R.M.; supervision, D.S.M.D.S., A.A.D.A., A.R.M. and A.B.; validation, A.A., A.R.M., A.B., B.C.G.D. and W.S.K.; visualization, A.A.; writing—original draft, A.A.; writing—review and editing, A.A.D.A., D.S.M.D.S., A.R.M., A.B., D.B.S. and C.R. All authors have read and agreed to the published version of the manuscript.
Funding
This research was financially assisted by the University of Kelaniya (Grant number RP/03/02/06/02/2021) and the Centre for Environment, Fisheries and Aquaculture Science (Cefas), under the Ocean Country Partnership Programme (OCPP) of the Blue Planet Fund, UK.
Data Availability Statement
The data supporting this study’s findings are available from the corresponding author, upon reasonable request.
Acknowledgments
The authors acknowledge the National Aquatic Resources Research and Development Agency (NARA), Sri Lanka, for providing laboratory facilities and technical assistance.
Conflicts of Interest
The authors declare no conflicts of interest.
References
- Statista. Plastic Production Forecast Worldwide 2025–2050. Available online: https://www.statista.com/statistics/664906/plastics-production-volume-forecast-worldwide/ (accessed on 10 January 2024).
- Ayeleru, O.O.; Dlova, S.; Akinribide, O.J.; Ntuli, F.; Kupolati, W.K.; Marina, P.F.; Blencowe, A.; Olubambi, P.A. Challenges of plastic waste generation and management in sub-Saharan Africa: A review. Waste Manag. 2020, 110, 24–42. [Google Scholar] [CrossRef] [PubMed]
- Plastics Europe. Plastics—The Fast Facts 2023. Available online: https://plasticseurope.org/knowledge-hub/plastics-the-fast-facts-2023/ (accessed on 19 October 2023).
- Eriksen, M.; Lebreton, L.C.M.; Carson, H.S.; Thiel, M.; Moore, C.J.; Borerro, J.C.; Galgani, F.; Ryan, P.G.; Reisser, J. Plastic Pollution in the World’s Oceans: More than 5 trillion Plastic Pieces Weighing over 250,000 Tons Afloat at Sea. PLoS ONE 2014, 9, e111913. [Google Scholar] [CrossRef] [PubMed]
- Gregory, M.R. Environmental implications of plastic debris in marine settings—Entanglement, ingestion, smothering, hangers-on, hitch-hiking and alien invasions. Philosophical Transactions—Royal Society. Biol. Sci. 2009, 364, 2013–2025. [Google Scholar] [CrossRef]
- Thompson, R.C.; Olsen, Y.; Mitchell, R.P.; Davis, A.; Rowland, S.J.; John, A.W.G.; McGonigle, D.; Russell, A.E. Lost at sea: Where is all the plastic? Science 2004, 304, 838. [Google Scholar] [CrossRef] [PubMed]
- Frias, J.; Pagter, E.; Nash, R.; O’Connor, I.; Carretero, O.; Filgueiras, A.; Viñas, L.; Gago, J.; Antunes, J.; Bessa, F.; et al. Standardised Protocol for Monitoring Microplastics in Sediments. Deliverable 4.2; JPI-Oceans BASEMAN: Brussels, Belgium, 2018. [Google Scholar] [CrossRef]
- GESAMP. Sources, Fate & Effects of Microplastics in the Marine Environment—A Global Assessment; International Maritime Organization: London, UK, 2015. [Google Scholar]
- Wang, L.; Wu, W.; Bolan, N.S.; Tsang, D.C.; Li, Y.; Qin, M.; Hou, D. Environmental fate, toxicity and risk management strategies of nanoplastics in the environment: Current status and future perspectives. J. Hazard. Mater. 2021, 401, 123415. [Google Scholar] [CrossRef]
- Lechthaler, S.; Schwarzbauer, J.; Reicherter, K.; Stauch, G.; Schüttrumpf, H. Regional study of microplastics in surface waters and deep-sea sediments south of the Algarve Coast. Reg. Stud. Mar. Sci. 2020, 40, 101488. [Google Scholar] [CrossRef]
- Ikenoue, T.; Nakajima, R.; Fujiwara, A.; Onodera, J.; Itoh, M.; Toyoshima, J.; Watanabe, E.; Murata, A.; Nishino, S.; Kikuchi, T. Horizontal distribution of surface microplastic concentrations and water-column microplastic inventories in the Chukchi Sea, western Arctic Ocean. Sci. Total Environ. 2023, 855, 159564. [Google Scholar] [CrossRef]
- Pan, Z.; Liu, Q.; Sun, X.; Li, W.; Zou, Q.; Cai, S.; Lin, H. Widespread occurrence of microplastic pollution in open sea surface waters: Evidence from the mid-North Pacific Ocean. Gondwana Res. 2022, 108, 31–40. [Google Scholar] [CrossRef]
- Cincinelli, A.; Martellini, T.; Guerranti, C.; Scopetani, C.; Chelazzi, D.; Giarrizzo, T. A potpourri of microplastics in the sea surface and water column of the Mediterranean Sea. TrAC. Trends Anal. Chem. 2019, 110, 321–326. [Google Scholar] [CrossRef]
- Rathnayaka, V.L.; Amarathunga, A.A.D.; Jayasiri, H.B.; Liyanage, H.D. Microplastics Contamination in Selected Beaches of Sri Lanka; The Ocean University of Sri Lanka: Colombo, Sri Lanka, 2019; 34p. [Google Scholar]
- Kim, S.; Kim, J.; Kim, S.; Song, N.; La, H.S.; Yang, E.J. Arctic Ocean sediments as important current and future sinks for marine microplastics missing in the global microplastic budget. Sci. Adv. 2023, 9, eadd2348. [Google Scholar] [CrossRef]
- Peeken, I.; Primpke, S.; Beyer, B.; Gütermann, J.; Katlein, C.; Krumpen, T.; Bergmann, M.; Hehemann, L.; Gerdts, G. Arctic sea ice is an important temporal sink and means of transport for microplastic. Nat. Commun. 2018, 9, 1505. [Google Scholar] [CrossRef] [PubMed]
- Rota, E.; Bergami, E.; Corsi, I.; Bargagli, R. Macro- and microplastics in the Antarctic environment: Ongoing assessment and perspectives. Environments 2022, 9, 93. [Google Scholar] [CrossRef]
- Kühn, S.; Van Franeker, J.A. Quantitative overview of marine debris ingested by marine megafauna. Mar. Pollut. Bull. 2020, 151, 110858. [Google Scholar] [CrossRef] [PubMed]
- Cole, M.; Lindeque, P.; Halsband, C.; Galloway, T.S. Microplastics as contaminants in the marine environment: A review. Mar. Pollut. Bull. 2011, 62, 2588–2597. [Google Scholar] [CrossRef]
- Lusher, A.L.; Welden, N.A.; Sobral, P.; Cole, M. Sampling, isolating and identifying microplastics ingested by fish and invertebrates. Anal. Methods 2017, 9, 1346–1360. [Google Scholar] [CrossRef]
- Rochman, C.M.; Tahir, A.; Williams, S.L.; Baxa, D.V.; Lam, R.; Miller, J.T.; Teh, F.; Werorilangi, S.; Teh, S.J. Anthropogenic debris in seafood: Plastic debris and filaments from textiles in fish and bivalves sold for human consumption. Sci. Rep. 2015, 5, 1–10. [Google Scholar] [CrossRef] [PubMed]
- Terepocki, A.K.; Brush, A.T.; Kleine, L.U.; Shugart, G.W.; Hodum, P. Size and dynamics of microplastic in gastrointestinal tracts of Northern Fulmars (Fulmarus glacialis) and Sooty Shearwaters (Ardenna grisea). Mar. Pollut. Bull. 2017, 116, 143–150. [Google Scholar] [CrossRef]
- Fossi, M.C.; Marsili, L.; Baini, M.; Giannetti, M.; Coppola, D.; Guerranti, C.; Caliani, I.; Minutoli, R.; Lauriano, G.; Finoia, M.G.; et al. Fin whales and microplastics: The Mediterranean Sea and the Sea of Cortez scenarios. Environ. Pollut. 2016, 209, 68–78. [Google Scholar] [CrossRef]
- Cole, M.; Liddle, C.; Consolandi, G.; Drago, C.; Hird, C.; Lindeque, P.K.; Galloway, T.S. Microplastics, microfilaments and nanoplastics cause variable sub-lethal responses in mussels (Mytilus spp.). Mar. Pollut. Bull. 2020, 160, 111552. [Google Scholar] [CrossRef]
- Setälä, O.; Fleming-Lehtinen, V.; Lehtiniemi, M. Ingestion and transfer of microplastics in the planktonic food web. Environ. Pollut. 2014, 185, 77–83. [Google Scholar] [CrossRef]
- De Sá, L.C.; Luís, L.G.; Guilhermino, L. Effects of microplastics on juveniles of the common goby (Pomatoschistus microps): Confusion with prey, reduction of the predatory performance and efficiency, and possible influence of developmental conditions. Environ. Pollut. 2015, 196, 359–362. [Google Scholar] [CrossRef] [PubMed]
- Saikumar, S.; Mani, R.; Ganesan, M.; Dhinakarasamy, I.; Palanisami, T.; Gopal, D. Trophic transfer and their impact of microplastics on estuarine food chain model. J. Hazard. Mater. 2024, 464, 132927. [Google Scholar] [CrossRef] [PubMed]
- Wright, S.L.; Thompson, R.C.; Galloway, T.S. The physical impacts of microplastics on marine organisms: A review. Environ. Pollut. 2013, 178, 483–492. [Google Scholar] [CrossRef]
- Amarathunga, A.A.D.; Kazama, F. Photodegradation of chlorpyrifos with humic acid-bound suspended matter. J. Hazard. Mater. 2014, 280, 671–677. [Google Scholar] [CrossRef] [PubMed]
- Hermabessiere, L.; Dehaut, A.; Paul-Pont, I.; Lacroix, C.; Jezequel, R.; Soudant, P.; Duflos, G. Occurrence and effects of plastic additives on marine environments and organisms: A review. Chemosphere 2017, 182, 781–793. [Google Scholar] [CrossRef]
- Menéndez-Pedriza, A.; Jaumot, J. Interaction of Environmental Pollutants with Microplastics: A Critical Review of Sorption Factors, Bioaccumulation and Ecotoxicological Effects. Toxics 2020, 8, 40. [Google Scholar] [CrossRef]
- Bakir, A.; Rowland, S.J.; Thompson, R.C. Transport of persistent organic pollutants by microplastics in estuarine conditions. Estuar. Coast. Shelf Sci. 2014, 140, 14–21. [Google Scholar] [CrossRef]
- Browne, M.A.; Niven, S.J.; Galloway, T.S.; Rowland, S.J.; Thompson, R.C. Microplastic moves pollutants and additives to worms, reducing functions linked to health and biodiversity. CB/Curr. Biol. 2013, 23, 2388–2392. [Google Scholar] [CrossRef]
- Ferreira, P.; Fonte, E.; Soares, M.E.; Carvalho, F.; Guilhermino, L. Effects of multi-stressors on juveniles of the marine fish Pomatoschistus microps:Gold nanoparticles, microplastics and temperature. Aquat. Toxicol. 2016, 170, 89–103. [Google Scholar] [CrossRef]
- Ribeiro, F.; O’Brien, J.W.; Galloway, T.; Thomas, K.V. Accumulation and fate of nano- and micro-plastics and associated contaminants in organisms. TrAC. Trends Anal. Chem. 2019, 111, 139–147. [Google Scholar] [CrossRef]
- Dehaut, A.; Cassone, A.; Frère, L.; Hermabessiere, L.; Himber, C.; Rinnert, E.; Rivière, G.; Lambert, C.; Soudant, P.; Huvet, A.; et al. Microplastics in seafood: Benchmark protocol for their extraction and characterization. Environ. Pollut. 2016, 215, 223–233. [Google Scholar] [CrossRef]
- Alomar, C.; Sureda, A.; Capó, X.; Guijarro, B.; Tejada, S.; Deudero, S. Microplastic ingestion by Mullus surmuletus Linnaeus, 1758 fish and its potential for causing oxidative stress. Environ. Res. 2017, 159, 135–142. [Google Scholar] [CrossRef]
- Foekema, E.M.; De Gruijter, C.; Mergia, M.T.; Van Franeker, J.A.; Murk, A.J.; Koelmans, A.A. Plastic in North Sea fish. Environ. Sci. Technol. 2013, 47, 8818–8824. [Google Scholar] [CrossRef] [PubMed]
- Neves, D.; Sobral, P.; Ferreira, J.L.; Pereira, T. Ingestion of microplastics by commercial fish off the Portuguese coast. Mar. Pollut. Bull. 2015, 101, 119–126. [Google Scholar] [CrossRef] [PubMed]
- Bellas, J.; Martínez-Armental, J.; Martínez-Cámara, A.; Besada, V.; Martínez-Gómez, C. Ingestion of microplastics by demersal fish from the Spanish Atlantic and Mediterranean coasts. Mar. Pollut. Bull. 2016, 109, 55–60. [Google Scholar] [CrossRef] [PubMed]
- Boerger, C.M.; Lattin, G.L.; Moore, S.L.; Moore, C.J. Plastic ingestion by planktivorous fishes in the North Pacific Central Gyre. Mar. Pollut. Bull. 2010, 60, 2275–2278. [Google Scholar] [CrossRef]
- Possatto, F.E.; Barletta, M.; Costa, M.F.; Sul, J.I.D.; Dantas, D.V. Plastic debris ingestion by marine catfish: An unexpected fisheries impact. Mar. Pollut. Bull. 2011, 62, 1098–1102. [Google Scholar] [CrossRef]
- Vendel, A.; Bessa, F.; Alves, V.; Amorim, A.; Patrício, J.; Palma, A. Widespread microplastic ingestion by fish assemblages in tropical estuaries subjected to anthropogenic pressures. Mar. Pollut. Bull. 2017, 117, 448–455. [Google Scholar] [CrossRef]
- Collard, F.; Gasperi, J.; Gabrielsen, G.W.; Tassin, B. Plastic particle ingestion by wild freshwater fish: A critical review. Environ. Sci. Technol. 2019, 53, 12974–12988. [Google Scholar] [CrossRef]
- Vorobiev, D.S.; Frank, Y.A.; Rakhmatullina, S.N.; Vorobiev, E.D.; Poskrebysheva, Y.R.; Oladele, O.; Trifonov, A.A. Microplastic ingestion by fish with different feeding habits in the Ob and Yenisei Rivers. Tomsk. State Univ. J. Biol. 2024, 66, 252–266. [Google Scholar] [CrossRef]
- Coyle, R.; Hardiman, G.; Driscoll, K.O. Microplastics in the marine environment: A review of their sources, distribution processes, uptake and exchange in ecosystems. Case Stud. Chem. Environ. Eng. 2020, 2, 100010. [Google Scholar] [CrossRef]
- Alberghini, L.; Truant, A.; Santonicola, S.; Colavita, G.; Giaccone, V. Microplastics in fish and Fishery products and Risks for Human Health: A review. Int. J. Environ. Res. Public Health 2022, 20, 789. [Google Scholar] [CrossRef] [PubMed]
- Horton, A.A.; Walton, A.; Spurgeon, D.J.; Lahive, E.; Svendsen, C. Microplastics in freshwater and terrestrial environments: Evaluating the current understanding to identify the knowledge gaps and future research priorities. Sci. Total Environ. 2017, 586, 127–141. [Google Scholar] [CrossRef] [PubMed]
- Amarathunga, A.A.D.; Kazama, F. Impact of Farmer Perceptions and Land Use Pattern on Pesticide Loading into Upper Kotmale Sub-watershed of Mahaweli River Basin in Sri Lanka. Asian J. Water Environ. Pollut. 2017, 14, 43–59. [Google Scholar] [CrossRef]
- Costanza, R.; D’Arge, R.; De Groot, R.; Farber, S.; Grasso, M.; Hannon, B.; Limburg, K.; Naeem, S.; O’Neill, R.V.; Paruelo, J.; et al. The value of the world’s ecosystem services and natural capital. Nature 1997, 387, 253–260. [Google Scholar] [CrossRef]
- Suwandhahannadi, W.; Amarathunga, A.; Dahanayaka, D. Temporal Variation of Physico-Chemical Parameters and Primary Productivity in Malala Lagoon, Sri Lanka, 2020. Available online: https://www.researchgate.net/publication/350121904_Temporal_variation_of_physico-chemical_parameters_and_primary_productivity_in_Malala_Lagoon_Sri_Lanka (accessed on 25 June 2024).
- Madusanka, M.; Amarathunga, D.; Aruna Kumara, K. Nutrients Dynamics in the Water and Sediment and Its Impact to Planktonic Species Diversity in Ratgama; Ocean University of Sri Lanka: Colombo, Sri Lanka, 2020. [Google Scholar]
- Rodrigues-Filho, J.L.; Macêdo, R.L.; Sarmento, H.; Pimenta, V.R.A.; Alonso, C.; Teixeira, C.R.; Pagliosa, P.R.; Netto, S.A.; Santos, N.C.L.; Daura-Jorge, F.G.; et al. From ecological functions to ecosystem services: Linking coastal lagoons biodiversity with human well-being. Hydrobiologia 2023, 850, 2611–2653. [Google Scholar] [CrossRef]
- Martinho, F.; Viegas, I.; Dolbeth, M.; Leitão, R.; Cabral, H.; Pardal, M. Assessing estuarine environmental quality using fish-based indices: Performance evaluation under climatic instability. Mar. Pollut. Bull. 2008, 56, 1834–1843. [Google Scholar] [CrossRef]
- Garcés-Ordóñez, O.; Saldarriaga-Vélez, J.F.; Espinosa-Díaz, L.F.; Canals, M.; Sánchez-Vidal, A.; Thiel, M. A systematic review on microplastic pollution in water, sediments, and organisms from 50 coastal lagoons across the globe. Environ. Pollut. 2022, 315, 120366. [Google Scholar] [CrossRef]
- Pérez-Ruzafa, A.; Pérez-Ruzafa, I.M.; Newton, A.; Marcos, C. Coastal lagoons: Environmental variability, ecosystem complexity, and goods and services uniformity. In Coasts and Estuaries; Elsevier: Amsterdam, The Netherlands, 2019; pp. 253–276. [Google Scholar] [CrossRef]
- Bottari, T.; Houssa, R.; Brundo, M.V.; Mghili, B.; Maaghloud, H.; Mancuso, M. Plastic litter colonization in a brackish water environment. Sci. Total Environ. 2024, 912, 169177. [Google Scholar] [CrossRef]
- Athukorala, A.; Amarathunga, A.A.D.; De Silva, D.S.M.; Bakir, A.; McGoran, A.; Sivyer, D.; De Silva, R.C.L. Microplastics in Lagoon Ecosystems: A review on occurrence and methods for microplastic detection. Biol. Environ. 2023, 123, 121–135. [Google Scholar] [CrossRef]
- Amarathunga, A.A.D.; Sureshkumar, N. An assessment of the water quality in major streams of the Madu Ganga catchment and pollution loads draining into the Madu Ganga from its own catchment. J. Natl. Aquat. Resour. Res. Dev. Agency 2013, 42, 1–23. [Google Scholar]
- Wakkaf, T.; Zrelli, R.E.; Kedzierski, M.; Balti, R.; Shaiek, M.; Mansour, L.; Tlig-Zouari, S.; Bruzaud, S.; Rabaoui, L. Characterization of microplastics in the surface waters of an urban lagoon (Bizerte lagoon, Southern Mediterranean Sea): Composition, density, distribution, and influence of environmental factors. Mar. Pollut. Bull. 2020, 160, 111625. [Google Scholar] [CrossRef]
- Quesadas-Rojas, M.; Enriquez, C.; Valle-Levinson, A. Natural and anthropogenic effects on microplastic distribution in a hypersaline lagoon. Sci. Total Environ. 2021, 776, 145803. [Google Scholar] [CrossRef]
- Vianello, A.; Boldrin, A.; Guerriero, P.; Moschino, V.; Rella, R.; Sturaro, A.; Da Ros, L. Microplastic particles in sediments of Lagoon of Venice, Italy: First observations on occurrence, spatial patterns and identification. Estuar. Coast. Shelf Sci. 2013, 130, 54–61. [Google Scholar] [CrossRef]
- Espinosa-Díaz, L.F.; Zapata-Rey, Y.; Ibarra-Gutierrez, K.; Bernal, C.A. Spatial and temporal changes of dissolved oxygen in waters of the Pajarales complex, Ciénaga Grande de Santa Marta: Two decades of monitoring. Sci. Total Environ. 2021, 785, 147203. [Google Scholar] [CrossRef]
- Joseph, L. Fisheries and Environmental Profile of Negombo Lagoon: A Literature Review. 2011. Available online: https://openknowledge.fao.org/server/api/core/bitstreams/4ece3377-c699-4d71-a5ac-c4d21c7e1e84/content (accessed on 14 January 2024).
- Silva, E.I.L.; Katupotha, J.; Amarasinghe, O.; Manthrithilake, H.; Ariyaratna, R. Lagoons of Sri Lanka: From the Origins to the Present; International Water Management Institute (IWMI): Colombo, Sri Lanka, 2013. [Google Scholar] [CrossRef]
- Sewwandi, M.; Perera, K.I.; Reddy, C.M.; James, B.D.; Amarathunga, A.A.D.; Wijerathna, I.H.K.; Vithanage, M. Plastics, Nurdles, and Pyrogenic Microplastics in the Coastal Marine Environment; CRC Press: Boca Raton, FL, USA, 2023; pp. 134–154. [Google Scholar] [CrossRef]
- Sewwandi, M.; Hettithanthri, O.; Egodage, S.M.; Amarathunga, A.A.D.; Vithanage, M. Unprecedented marine microplastic contamination from the X-Press Pearl container vessel disaster. Sci. Total Environ. 2022, 828, 154374. [Google Scholar] [CrossRef]
- Athukorala, A.; Amarathunga, A.A.D.; De Silva, D.S.M.; Bakir, A.; McGoran, A.; Sivyer, D.B. Occurrence and abundance of microplastics in surface waters and sediment from the Negombo Lagoon, Sri Lanka. In Proceedings of the 16th International Conference on the Environmental Effects of Nanoparticles and Nanomaterials, Plymouth, UK, 5–8 September 2023; p. 32. [Google Scholar]
- Kanishka, W.; De Silva, D.S.M.; Amarathunga, A.A.D.; Sivyer, D.B. Microplastic contaminations in mangrove ecosystem in Negombo Lagoon, Sri Lanka. In Proceedings of the 16th International Conference on the Environmental Effects of Nanoparticles and Nanomaterials, Plymouth, UK, 5–8 September 2023; p. 31. [Google Scholar]
- Lawan, P.L.M.J.H.; De Silva, D.S.M.; Amarathunga, A.a.D.; McGoran, A.; Bakir, A.; Sivyer, D.B.; Reeve, C. Microplastic Contamination in Shrimps from the Negombo Lagoon—Sri Lanka. Water 2024, 16, 447. [Google Scholar] [CrossRef]
- Dias, B.C.G.; Amarathunga, A.A.D.; De Silva, D.S.M.; Sivyer, D.B.; Maddumage, M.D.S.R. Abundance and Microplastic Characterization Found in the Mud Crab Scylla Serrata Inhabiting Negombo Lagoon, Sri Lanka. 2023. Available online: http://repository.kln.ac.lk/handle/123456789/26854 (accessed on 14 January 2024).
- Rathnayake, L.; Amarathunga, A.A.D.; De Silva, D.S.M.; Sivyer, D.B. Accumulation of Microplastics in Macrophytes of Negombo lagoon, Sri Lanka. In Proceedings of the 16th International Conference on the Environmental Effects of Nanoparticles and Nanomaterials, Plymouth, UK, 5–8 September 2023; p. 48. [Google Scholar]
- Dahanayaka, D.; Tonooka, H.; Wijeyaratne, M.; Minato, A.; Ozawa, S. Monitoring Land Use Changes and their Impacts on the Productivity of Negombo Estuary, Sri Lanka Using Time Series Satellite Data. Asian Fish. Sci. 2012, 25, 97–212. [Google Scholar] [CrossRef]
- Hsieh, H.; Chuang, M.; Shih, Y.; Weerakkody, W.S.; Huang, W.; Hung, C.; Muller, F.L.L.; Ranatunga, R.R.M.K.P.; Wijethunga, D.S. Eutrophication and hypoxia in tropical Negombo Lagoon, Sri Lanka. Front. Mar. Sci. 2021, 8, 678832. [Google Scholar] [CrossRef]
- De Silva, S.S.; De Silva, C.D. Coastal lagoons. In Monographiae Biologicae; Springer: Berlin/Heidelberg, Germany, 1984; pp. 297–320. [Google Scholar] [CrossRef]
- Chandrasekara, C.M.K.N.K.; Weerasinghe, K.D.N.; Pathirana, S.; Piyadasa, R.U.K. Mangrove diversity across salinity gradient in Negombo Estuary-Sri Lanka. In Advances in Geographical and Environmental Sciences; Springer: Berlin/Heidelberg, Germany, 2016; pp. 287–304. [Google Scholar] [CrossRef]
- IUCN Sri Lanka. Wetland Conservation in Sri Lanka. In Proceedings of the National Symposium on Wetland Conservation and Management, Colombo, Sri Lanka, 19–20 June 2003. [Google Scholar]
- Jayasiri, H.B.; Haputhanthri, S.S.K. Ecologically or Biologically Significant Marine Areas: Negombo Lagoon, Sri Lanka. In Proceedings of the CBD Regional Workshop to Facilitate the Description for Ecologically or Biologically Significant Marine Areas in the North-East Indian Ocean Region, and Training Session on EBSAs, Colombo, Sri Lanka, 22–27 March 2015. [Google Scholar]
- Wijeyaratne, M.J.S.; Perera, W.M.D.S.K. Present status of the Seine Fishery in Negombo Lagoon of Sri Lanka. Vidyodaya J. Sci. 1992, 4, 117. [Google Scholar] [CrossRef]
- Macintosh, D.J. Chapter 14 Aquaculture. In Coastal Lagoons; Elsevier: Amsterdam, The Netherlands, 1994; pp. 401–442. [Google Scholar] [CrossRef]
- Mahrad, B.E.; Newton, A.; Murray, N. Coastal lagoons: Important ecosystems. Front. Young Minds 2022, 10, 637578. [Google Scholar] [CrossRef]
- Rainboth, W. Inland fishes of India and adjacent countries. In Reviews in Fish Biology and Fisheries; Springer: Berlin/Heidelberg, Germany, 1994; pp. 135–136. [Google Scholar] [CrossRef]
- Froese, R.; Demirel, N.; Coro, G.; Kleisner, K.M.; Winker, H. Estimating fisheries reference points from catch and resilience. Fish Fish. 2016, 18, 506–526. [Google Scholar] [CrossRef]
- Bakir, A.; Van Der Lingen, C.D.; Preston-Whyte, F.; Bali, A.; Geja, Y.; Barry, J.; Mdazuka, Y.; Mooi, G.; Doran, D.; Tooley, F.; et al. Microplastics in commercially important small pelagic fish species from South Africa. Front. Mar. Sci. 2020, 7, 574663. [Google Scholar] [CrossRef]
- Bakir, A.; Desender, M.; Wilkinson, T.; Van Hoytema, N.; Amos, R.; Airahui, S.; Graham, J.; Maes, T. Occurrence and abundance of meso and microplastics in sediment, surface waters, and marine biota from the South Pacific region. Mar. Pollut. Bull. 2020, 160, 111572. [Google Scholar] [CrossRef]
- Bakir, A.; McGoran, A.R.; Silburn, B.; Russell, J.; Nel, H.; Lusher, A.L.; Amos, R.; Shadrack, R.S.; Arnold, S.J.; Castillo, C.; et al. Creation of an international laboratory network towards global microplastics monitoring harmonisation. Sci. Rep. 2024, 14, 12714. [Google Scholar] [CrossRef]
- Pan, Z.; Zhang, C.; Wang, S.; Sun, D.; Zhou, A.; Xie, S.; Xu, G.; Zou, J. Occurrence of Microplastics in the Gastrointestinal Tract and Gills of Fish from Guangdong, South China. J. Mar. Sci. Eng. 2021, 9, 981. [Google Scholar] [CrossRef]
- Galgani, L.; Tsapakis, M.; Pitta, P.; Tsiola, A.; Tzempelikou, E.; Kalantzi, I.; Esposito, C.; Loiselle, A.; Tsotskou, A.; Zivanovic, S.; et al. Microplastics increase the marine production of particulate forms of organic matter. Environ. Res. Lett. 2019, 14, 124085. [Google Scholar] [CrossRef]
- Leistenschneider, C.; Burkhardt-Holm, P.; Mani, T.; Primpke, S.; Taubner, H.; Gerdts, G. Microplastics in the Weddell Sea (Antarctica): A Forensic Approach for Discrimination between Environmental and Vessel-Induced Microplastics. Environ. Sci. Technol. 2021, 55, 15900–15911. [Google Scholar] [CrossRef]
- Biswas, A.; Kanon, K.F.; Rahman, M.A.; Alam, M.S.; Ghosh, S.; Farid, M.A. Assessment of human health hazard associated with heavy metal accumulation in popular freshwater, coastal and marine fishes from south-west region, Bangladesh. Heliyon 2023, 9, e20514. [Google Scholar] [CrossRef]
- Nithin, A.; Sundaramanickam, A.; Iswarya, P.; Babu, O.G. Hazard index of microplastics contamination in various fishes collected off Parangipettai, Southeast coast of India. Chemosphere 2022, 307, 136037. [Google Scholar] [CrossRef]
- Azad, S.M.O.; Towatana, P.; Pradit, S.; Patricia, B.G.; Hue, H.T.T.; Jualaong, S. First evidence of existence of microplastics in stomach of some commercial fishes in the lower gulf of thailand. Appl. Ecol. Environ. Res. 2018, 16, 7345–7360. [Google Scholar] [CrossRef]
- Zhang, D.; Cui, Y.; Zhou, H.; Jin, C.; Yu, X.; Xu, Y.; Li, Y.; Zhang, C. Microplastic pollution in water, sediment, and fish from artificial reefs around the Ma’an Archipelago, Shengsi, China. Sci. Total Environ. 2020, 703, 134768. [Google Scholar] [CrossRef] [PubMed]
- Hossain, M.S.; Sobhan, F.; Uddin, M.N.; Sharifuzzaman, S.; Chowdhury, S.R.; Sarker, S.; Chowdhury, M.S.N. Microplastics in fishes from the Northern Bay of Bengal. Sci. Total Environ. 2019, 690, 821–830. [Google Scholar] [CrossRef] [PubMed]
- Jabeen, K.; Su, L.; Li, J.; Yang, D.; Tong, C.; Mu, J.; Shi, H. Microplastics and mesoplastics in fish from coastal and fresh waters of China. Environ. Pollut. 2017, 221, 141–149. [Google Scholar] [CrossRef]
- McNeish, R.E.; Kim, L.H.; Barrett, H.A.; Mason, S.A.; Kelly, J.J.; Hoellein, T.J. Microplastic in riverine fish is connected to species traits. Sci. Rep. 2018, 8, 11639. [Google Scholar] [CrossRef] [PubMed]
- Tanaka, K.; Takada, H. Microplastic fragments and microbeads in digestive tracts of planktivorous fish from urban coastal waters. Sci. Rep. 2016, 6, srep34351. [Google Scholar] [CrossRef]
- Lusher, A.L.; Burke, A.; O’Connor, I.; Officer, R. Microplastic pollution in the Northeast Atlantic Ocean: Validated and opportunistic sampling. Mar. Pollut. Bull. 2014, 88, 325–333. [Google Scholar] [CrossRef]
- Woodall, L.C.; Gwinnett, C.; Packer, M.; Thompson, R.C.; Robinson, L.F.; Paterson, G.L. Using a forensic science approach to minimize environmental contamination and to identify microfibres in marine sediments. Mar. Pollut. Bull. 2015, 95, 40–46. [Google Scholar] [CrossRef]
- Lusher, A.; McHugh, M.; Thompson, R. Occurrence of microplastics in the gastrointestinal tract of pelagic and demersal fish from the English Channel. Mar. Pollut. Bull. 2013, 67, 94–99. [Google Scholar] [CrossRef]
- Lim, K.P.; Lim, P.E.; Yusoff, S.; Sun, C.; Ding, J.; Loh, K.H. A Meta-Analysis of the characterisations of plastic ingested by fish globally. Toxics 2022, 10, 186. [Google Scholar] [CrossRef]
- Cole, M.; Lindeque, P.; Fileman, E.; Halsband, C.; Goodhead, R.; Moger, J.; Galloway, T.S. Microplastic Ingestion by Zooplankton. Environ. Sci. Technol. 2013, 47, 6646–6655. [Google Scholar] [CrossRef] [PubMed]
- Akhbarizadeh, R.; Moore, F.; Keshavarzi, B. Investigating a probable relationship between microplastics and potentially toxic elements in fish muscles from northeast of Persian Gulf. Environ. Pollut. 2018, 232, 154–163. [Google Scholar] [CrossRef] [PubMed]
- Pegado, T.; Brabo, L.; Schmid, K.; Sarti, F.; Gava, T.T.; Nunes, J.; Chelazzi, D.; Cincinelli, A.; Giarrizzo, T. Ingestion of microplastics by Hypanus guttatus stingrays in the Western Atlantic Ocean (Brazilian Amazon Coast). Mar. Pollut. Bull. 2021, 162, 111799. [Google Scholar] [CrossRef] [PubMed]
- Horton, A.A.; Jürgens, M.D.; Lahive, E.; Van Bodegom, P.M.; Vijver, M.G. The influence of exposure and physiology on microplastic ingestion by the freshwater fish Rutilus rutilus (roach) in the River Thames, UK. Environ. Pollut. 2018, 236, 188–194. [Google Scholar] [CrossRef]
- Parvin, F.; Jannat, S.; Tareq, S.M. Abundance, characteristics and variation of microplastics in different freshwater fish species from Bangladesh. Sci. Total Environ. 2021, 784, 147137. [Google Scholar] [CrossRef]
- Gopakumar, G.; Nathan, D.S.; Harikrishnan, S.; Sridharan, M.; Jilsha, V. An investigation on the presence and risk assessment of microplastics in Quilon Beach, South West Coast of India. Environ. Pollut. Manag. 2024, 1, 99–108. [Google Scholar] [CrossRef]
- Lithner, D.; Larsson, Å.; Dave, G. Environmental and health hazard ranking and assessment of plastic polymers based on chemical composition. Sci. Total Environ. 2011, 409, 3309–3324. [Google Scholar] [CrossRef]
- Ryan, P.G. Ingestion of plastics by marine organisms. In The Handbook of Environmental Chemistry; Springer: Berlin/Heidelberg, Germany, 2016; pp. 235–266. [Google Scholar] [CrossRef]
- Conowall, P.; Schreiner, K.M.; Marchand, J.; Minor, E.C.; Schoenebeck, C.W.; Maurer-Jones, M.A.; Hrabik, T.R. Variability in the drivers of microplastic consumption by fish across four lake ecosystems. Front. Earth Sci. 2024, 12, 1339822. [Google Scholar] [CrossRef]
- Roch, S.; Ros, A.F.H.; Friedrich, C.; Brinker, A. Microplastic evacuation in fish is particle size-dependent. Freshw. Biol. 2021, 66, 926–935. [Google Scholar] [CrossRef]
- Jantz, L.A.; Morishige, C.L.; Bruland, G.L.; Lepczyk, C.A. Ingestion of plastic marine debris by longnose lancetfish (Alepisaurus ferox) in the North Pacific Ocean. Mar. Pollut. Bull. 2013, 69, 97–104. [Google Scholar] [CrossRef]
- Savoca, M.S.; McInturf, A.G.; Hazen, E.L. Plastic ingestion by marine fish is widespread and increasing. Glob. Change Biol. 2021, 27, 2188–2199. [Google Scholar] [CrossRef] [PubMed]
- Erni-Cassola, G.; Gibson, M.I.; Thompson, R.C.; Christie-Oleza, J.A. Lost, but found with Nile Red: A Novel Method for Detecting and Quantifying Small Microplastics (1 mm to 20 μm) in Environmental Samples. Environ. Sci. Technol. 2017, 51, 13641–13648. [Google Scholar] [CrossRef] [PubMed]
- McGoran, A.R.; Maclaine, J.S.; Clark, P.F.; Morritt, D. Synthetic and Semi-Synthetic Microplastic Ingestion by Mesopelagic Fishes from Tristan da Cunha and St Helena, South Atlantic. Front. Mar. Sci. 2021, 8, 633478. [Google Scholar] [CrossRef]
- Lestari, P.; Trihadiningrum, Y.; Warmadewanthi, I. Investigation of microplastic ingestion in commercial fish from Surabaya River, Indonesia. Environ. Pollut. 2023, 331, 121807. [Google Scholar] [CrossRef] [PubMed]
- Peters, C.A.; Bratton, S.P. Urbanization is a major influence on microplastic ingestion by sunfish in the Brazos River Basin, Central Texas, USA. Environ. Pollut. 2016, 210, 380–387. [Google Scholar] [CrossRef]
- Silva-Cavalcanti, J.S.; Silva, J.D.B.; De França, E.J.; De Araújo, M.C.B.; Gusmão, F. Microplastics ingestion by a common tropical freshwater fishing resource. Environ. Pollut. 2017, 221, 218–226. [Google Scholar] [CrossRef]
- McGoran, A.R.; Clark, P.F.; Smith, B.D.; Morritt, D. High prevalence of plastic ingestion by Eriocheir sinensis and Carcinus maenas (Crustacea: Decapoda: Brachyura) in the Thames Estuary. Environ. Pollut. 2020, 265, 114972. [Google Scholar] [CrossRef]
- Osorio, E.D.; Tanchuling, M.A.N.; Diola, M.B.L.D. Microplastics occurrence in surface waters and sediments in five river mouths of Manila Bay. Front. Environ. Sci. 2021, 9, 719274. [Google Scholar] [CrossRef]
- Koongolla, J.B.; Lin, L.; Pan, Y.; Yang, C.; Sun, D.; Liu, S.; Xu, X.; Maharana, D.; Huang, J.; Li, H. Occurrence of microplastics in gastrointestinal tracts and gills of fish from Beibu Gulf, South China Sea. Environ. Pollut. 2020, 258, 113734. [Google Scholar] [CrossRef]
- Rios-Fuster, B.; Compa, M.; Alomar, C.; Morató, M.; Ryfer, D.; Villalonga, M.; Deudero, S. Are seafloor habitats influencing the distribution of microplastics in coastal sediments of a Marine Protected Area? Environ. Sci. Pollut. Res. Int. 2023, 30, 49875–49888. [Google Scholar] [CrossRef]
- Arat, S.A. An overview of microplastic in marine waters: Sources, abundance, characteristics and negative effects on various marine organisms. Desalination Water Treat. 2024, 317, 100138. [Google Scholar] [CrossRef]
- Frias, J.; Nash, R. Microplastics: Finding a consensus on the definition. Mar. Pollut. Bull. 2019, 138, 145–147. [Google Scholar] [CrossRef] [PubMed]
- Li, J.; Ouyang, Z.; Liu, P.; Zhao, X.; Wu, R.; Zhang, C.; Lin, C.; Li, Y.; Guo, X. Distribution and characteristics of microplastics in the basin of Chishui River in Renhuai, China. Sci. Total Environ. 2021, 773, 145591. [Google Scholar] [CrossRef]
- Park, T.; Lee, S.; Lee, M.; Lee, J.; Lee, S.; Zoh, K. Occurrence of microplastics in the Han River and riverine fish in South Korea. Sci. Total Environ. 2020, 708, 134535. [Google Scholar] [CrossRef]
- Lehtiniemi, M.; Hartikainen, S.; Näkki, P.; Engström-Öst, J.; Koistinen, A.; Setälä, O. Size matters more than shape: Ingestion of primary and secondary microplastics by small predators. Food Webs 2018, 17, e00097. [Google Scholar] [CrossRef]
- Gago, J.; Carretero, O.; Filgueiras, A.; Viñas, L. Synthetic microfilaments in the marine environment: A review on their occurrence in seawater and sediments. Mar. Pollut. Bull. 2018, 127, 365–376. [Google Scholar] [CrossRef]
- Ranatunga, R.R.M.K.P.; Wijetunge, D.; Ranaweera, W.V.P.H.; Hung, C.; Liu, S.V.; Schuyler, Q.; Lawson, T.J.; Hardesty, B.D. Ranking Sri Lanka among the World’s Top Mismanaged Waste Polluters: Does Model Data Change the Story? Sustainability 2023, 15, 2687. [Google Scholar] [CrossRef]
- Jayawardana, S.A.S.; Samarasekera, J.K.R.R.; Hettiarachchi, G.H.C.M.; Gooneratne, J.; Mazumdar, S.D.; Banerjee, R. Dietary filaments, starch fractions and nutritional composition of finger millet varieties cultivated in Sri Lanka. J. Food Compos. Anal. 2019, 82, 103249. [Google Scholar] [CrossRef]
- Andrady, A.L. Microplastics in the marine environment. Mar. Pollut. Bull. 2011, 62, 1596–1605. [Google Scholar] [CrossRef]
- Gallagher, A.; Randall, P.; Sivyer, D.; Binetti, U.; Lokuge, G.; Munas, M. Abandoned, lost or otherwise discarded fishing gear (ALDFG) in Sri Lanka—A pilot study collecting baseline data. Mar. Policy 2023, 148, 105386. [Google Scholar] [CrossRef]
- Li, B.; Liang, W.; Liu, Q.; Fu, S.; Ma, C.; Chen, Q.; Su, L.; Craig, N.J.; Shi, H. Fish ingest microplastics unintentionally. Environ. Sci. Technol. 2021, 55, 10471–10479. [Google Scholar] [CrossRef] [PubMed]
- Ranatunga, R.R.M.K.P.; Wijetunge, D.S.; Karunarathna, K.P.R. Microplastics in beach sand and potential contamination of planktivorous fish inhabiting in coastal waters of Negombo, Sri Lanka. Sri Lanka J. Aquat. Sci. 2021, 26, 37–54. [Google Scholar] [CrossRef]
- Martí, E.; Martin, C.; Galli, M.; Echevarría, F.; Duarte, C.M.; Cózar, A. The colours of the ocean plastics. Environ. Sci. Technol. 2020, 54, 6594–6601. [Google Scholar] [CrossRef] [PubMed]
- Ory, N.C.; Sobral, P.; Ferreira, J.L.; Thiel, M. Amberstripe scad Decapterus muroadsi (Carangidae) fish ingest blue microplastics resembling their copepod prey along the coast of Rapa Nui (Easter Island) in the South Pacific subtropical gyre. Sci. Total Environ. 2017, 586, 430–437. [Google Scholar] [CrossRef] [PubMed]
- Carson, H.S. The incidence of plastic ingestion by fishes: From the prey’s perspective. Mar. Pollut. Bull. 2013, 74, 170–174. [Google Scholar] [CrossRef]
- Herring, P.J. Blue pigment of a surface-living oceanic copepod. Nature 1965, 205, 103–104. [Google Scholar] [CrossRef]
- Barboza, L.G.A.; Cunha, S.C.; Monteiro, C.; Fernandes, J.O.; Guilhermino, L. Bisphenol A and its analogs in muscle and liver of fish from the North East Atlantic Ocean in relation to microplastic contamination. Exposure and risk to human consumers. J. Hazard. Mater. 2020, 393, 122419. [Google Scholar] [CrossRef]
- Woodall, L.C.; Sanchez-Vidal, A.; Canals, M.; Paterson, G.L.; Coppock, R.; Sleight, V.; Calafat, A.; Rogers, A.D.; Narayanaswamy, B.E.; Thompson, R.C. The deep sea is a major sink for microplastic debris. R. Soc. Open Sci. 2014, 1, 140317. [Google Scholar] [CrossRef]
- Zazouli, M.; Nejati, H.; Hashempour, Y.; Dehbandi, R.; Nam, V.T.; Fakhri, Y. Occurrence of microplastics (MPs) in the gastrointestinal tract of fishes: A global systematic review and meta-analysis and meta-regression. Sci. Total Environ. 2022, 815, 152743. [Google Scholar] [CrossRef]
- Roch, S.; Friedrich, C.; Brinker, A. Uptake routes of microplastics in fishes: Practical and theoretical approaches to test existing theories. Sci. Rep. 2020, 10, 3896. [Google Scholar] [CrossRef]
- Dantas, N.C.; Duarte, O.S.; Ferreira, W.C.; Ayala, A.P.; Rezende, C.F.; Feitosa, C.V. Plastic intake does not depend on fish eating habits: Identification of microplastics in the stomach contents of fish on an urban beach in Brazil. Mar. Pollut. Bull. 2020, 153, 110959. [Google Scholar] [CrossRef] [PubMed]
- Huang, W.; Song, B.; Liang, J.; Niu, Q.; Zeng, G.; Shen, M.; Deng, J.; Luo, Y.; Wen, X.; Zhang, Y. Microplastics and associated contaminants in the aquatic environment: A review on their ecotoxicological effects, trophic transfer, and potential impacts to human health. J. Hazard. Mater. 2021, 405, 124187. [Google Scholar] [CrossRef] [PubMed]
- Romeo, T.; Pietro, B.; Pedà, C.; Consoli, P.; Andaloro, F.; Fossi, M.C. First evidence of presence of plastic debris in stomach of large pelagic fish in the Mediterranean Sea. Mar. Pollut. Bull. 2015, 95, 358–361. [Google Scholar] [CrossRef] [PubMed]
- De Sales-Ribeiro, C.; Brito-Casillas, Y.; Fernandez, A.; Caballero, M.J. An end to the controversy over the microscopic detection and effects of pristine microplastics in fish organs. Sci. Rep. 2020, 10, 12434. [Google Scholar] [CrossRef] [PubMed]
- Seetapan, K.; Prommi, T.O. Microplastics in commercial fish digestive tracts from freshwater habitats in Northern Thailand. Ecol. Montenegrina 2023, 68, 48–65. [Google Scholar] [CrossRef]
- López, A.G.; Najjar, R.G.; Friedrichs, M.A.M.; Hickner, M.A.; Wardrop, D.H. Estuaries as filters for riverine microplastics: Simulations in a large, Coastal-Plain estuary. Front. Mar. Sci. 2021, 8, 715924. [Google Scholar] [CrossRef]
- Kolandhasamy, P.; Su, L.; Li, J.; Qu, X.; Jabeen, K.; Shi, H. Adherence of microplastics to soft tissue of mussels: A novel way to uptake microplastics beyond ingestion. Sci. Total Environ. 2018, 610–611, 635–640. [Google Scholar] [CrossRef]
- Shams, M.; Alam, I.; Mahbub, S. Plastic pollution during COVID-19: Plastic waste directives and its long-term impact on the environment. Environ. Adv. 2021, 5, 100119. [Google Scholar] [CrossRef]
- Cubas, A.L.V.; Moecke, E.H.S.; Provin, A.P.; Dutra, A.R.A.; Machado, M.M.; Gouveia, I.C. The impacts of plastic waste from personal protective equipment used during the covid-19 pandemic. Polymers 2023, 15, 3151. [Google Scholar] [CrossRef]
Disclaimer/Publisher’s Note: The statements, opinions and data contained in all publications are solely those of the individual author(s) and contributor(s) and not of MDPI and/or the editor(s). MDPI and/or the editor(s) disclaim responsibility for any injury to people or property resulting from any ideas, methods, instructions or products referred to in the content. |
© 2024 by the authors. Licensee MDPI, Basel, Switzerland. This article is an open access article distributed under the terms and conditions of the Creative Commons Attribution (CC BY) license (https://creativecommons.org/licenses/by/4.0/).






