Abstract
The degradation of sulfamethoxazole (SMX) via the Fe2+/Ultraviolet (UV)/sodium percarbonate (SPC) system was comprehensively investigated in this study, including the performance optimization, degradation mechanism, and predicting models. The degradation condition of SMX was optimized, and it was found that appropriate amounts of (10~30 μM) and CSPC (10 μM) under an acidic condition (pH = 4~6) were in favor of a higher degradation rate. According to probe compound experiments, it was considerable that and was the primary and subordinate free radical in SMX degradation, and maintained two times more than that of , especially under acidic conditions. The UV direct photolysis and other active intermediates were also responsible for the SMX degradation. These active intermediates were produced via the Fe2+/UV/SPC system, involving , , , or 1O2. Furthermore, when typical anions co-existed, the degradation of SMX was negatively influenced, owing to and possibly consuming or H2O2 to compete with SMX. In addition, the prediction model was successfully established via the back-propagate artificial neural network (BP-ANN) method. The degradation rate of SMX was well forecasted via the Back-Propagate–Artificial Neural Network (BP-ANN) model, which was expressed as . The BP-ANN model reflected the relative importance of influence factors well, which was pH > t > . Compared to the response surface method Box–Behnken design (RSM-BBD) model (R2 = 0.9765, relative error = 3.08%), the BP-ANN model showed higher prediction accuracy (R2 = 0.9971) and lower error (1.17%) in SMX degradation via the Fe2+/UV/SPC system. These findings help us to understand, in-depth, the degradation mechanism of SMX; meanwhile, they are conducive to promoting the development of the Fe2+/UV/SPC system in SMX degradation, especially in some practical engineering cases.
1. Introduction
In recent years, several pharmaceuticals and personal care products (PPCPs) have been frequently observed in the aqueous environment, including antibiotic drugs [1], cosmetics [2], fragrances [3], and some chemicals [4], and these products were widely used for different purposes in a large volume of consumption. Commonly, PPCPs enter into the environment via different anthropogenic activities, such as landfill leachate, sewage discharge, or livestock breeding [5]. As typical sulfonamide antibiotic drugs (SAs) in PPCPs, sulfamethoxazole (SMX) was reported with a broad spectrum of antibacterial action, which was helpful in delaying bacterial regeneration and growth by inhibiting the formation of folate [5]. The residual SMX might penetrate into the food chain to possibly discharge into surface water resources. In China, SMX had a high detection rate of 50%~60% in the aqueous environment; meanwhile, its detecting concentration in sewage wastewater, surface water, and drinking water reached 100~2500 ng/L, 60~150 ng/L, and 12 ng/L, respectively [6]. Thus, the presence of SMX in the aqueous environment might engender a threat to human and ecological health by inducing undesirable influences due to its continuous exposure, giving rise to unexpected consequences or effects according to the characteristics of pseudo-persistence and poor biodegradation. Long-term exposure to SMX would produce some toxic effects on human beings, such as vomiting, coma, or acute pulmonary edema, or it may also affect the kidneys and reproductive system [7,8]. In addition, the accumulation of SMX in the aqueous environment selectively acted on bacteria; this probably developed the effect of bacterial resistance and cross-resistance among different types of antibiotics, finally becoming a menace to human and ecological security [9,10]. Owing to insufficient knowledge in terms of the toxicity, effects, and behaviors of SMX, the study of appropriate degradation technologies is expected to rapidly develop over the next decades.
SMX is hard to remove via traditional technologies due to its stable chemical structure (Figure 1, C10H11N3O3S). In recent years, advanced oxidation processes (AOPs) have attracted increasing attention, with many SMX treatment technologies resulting in the advantages of fast degradation speeds and even the mineralization of organic matter [11]. During various AOPs for degrading SMX, oxidation via the Fenton process or by using percarbonate was performed and was recommended due to great application prospects, low investment costs, and easy operation. Commonly, this was realized by free radicals like , which were produced via the catalyzing reaction of H2O2 and Fe2+ [12]. To improve the degradation efficiency, UV light was introduced into the Fenton process, namely, photo-Fenton technology [13]. However, for security concerns, H2O2 was not conducive to transportation and storage during practical application, which limited the development and application of Fenton or photo-Fenton on SMX degradation. Compared to H2O2 liquid, sodium percarbonate (SPC, 2Na2CO3·3H2O2) could be used as a dry carrier of H2O2 to decrease the security risks [14]; meanwhile, it was applied in a wider pH range of 4~8 [15]. It was reported that SPC was hopeful in replacing H2O2 to form the Fe2+/UV/SPC system [16], guaranteeing the degradation performance of organic pollutants in a wider pH range via the photo-Fenton process on degrading SMX in water treatment [17] or wastewater treatment [18]. To the best of our knowledge, there has been a limited number of papers studying SMX degradation via the Fe2+/UV/SPC process from the perspective of the oxidation mechanism and performance prediction. Especially during practical scenarios of SMX degradation, studying both parameter optimization and the free radical contributions of the Fe2+/UV/SPC process was inadequate, and the influence of typical inorganic ions (in natural water) on the treating performance has also not been well understood. Moreover, when SMX was not easily detected in some engineering scenarios, how to quickly obtain the degradation performance via the Fe2+/UV/SPC process using the prediction model needs to be further examined.
Figure 1.
Structure diagram of SMX.
This study systematically investigated the SMX degradation by the Fe2+/UV/SPC process. The primary objectives of this research are to (1) assess the degradation efficiency of SMX with various operation parameters by kinetic analysis; (2) identify the contribution of primary free radicals by the competitive dynamics method to analyze the degradation mechanism; (3) evaluate the negative effect of typical anions on the degradation performance; (4) construct the prediction model of SMX degradation via two methods to compare the feasibility and accuracy, like RSM-BBD and BP-ANN.
2. Materials and Methods
2.1. Chemicals and Materials
The chemicals used in this study were given as follows, and the corresponding supplier information is exhibited in Table S1. Specifically, they are sulfamethoxazole (Na2S2O4), sodium percarbonate (SPC, Na2CO3·1.5H2O2), ferrous sulfate (FeSO4·7H2O), sodium carbonate (Na2CO3), nitrobenzene (NB, C6H5NO2), tert-Butanol (TBA, (CH3)3COH), sodium thiosulfate (Na2S2O3), hydrochloric acid (HCl), sodium hydroxide (NaOH), potassium iodide (KI), potassium iodate (KIO3), sodium bicarbonate (NaHCO3), anhydrous sodium sulfate (Na2SO4), sodium thiosulfate (Na2S2O3), sodium tetraborate (Na2B4O7·5H2O), sodium chloride (NaCl), phenol (PhOH, C6H6O), methanol (CH3OH), and acetonitrile (CH3CN). All the reagents were of analytic grade quality or higher and were used without further purification. The following angents were obtained from Shanghai Macklin Biochemical Technology Co., Ltd. (Shanghai, China), such as, FeSO4·7H2O, NB, and KIO3. Moreover, SMX, SPC, PhOH, and KI were obtained from Shanghai Aladdin Biochemical Technology Co., Ltd. (Shanghai, China). Na2SO4 and TBA were obtained from Sinopharm Chemical Reagent Co., Ltd. (Shanghai, China), meanwhile, HCl, CH3OH, and CH3CN were purchased from Sigma-Aldrich (Shanghai) Trading Co., Ltd. NaOH, Na2CO3, and NaHCO3 were achieved from Guangfu Technology Development Co., Ltd. (Tianjin, China). In addition, Na2S2O3, NaCl, and Na2B4O7·5H2O were obtained from Zigaoxin Chemical Co., Ltd. (Shandong, China).
All solutions were prepared with ultra-high purity water from a Milli-Q system (PURELAB flex, Veolia, UK, resistance of 18.2 MΩ⋅cm). The SMX stock solution (10 mM) was prepared with ultrapure water without any organic co-solvent involvement, and constant stirring at room temperature was performed until complete dissolution. The stock solution of SPC and Fe2+ was separately prepared by dissolving Na2CO3·1.5H2O2 and FeSO4·7H2O, respectively.
2.2. Experimental Procedures
The SMX degradation experiments were carried out by a UV excitation device, shown in Figure 2. The UV excitation device consists of four parts: a closed photo-reactor, low-pressure mercury lamp (254 nm, 8 W), magnetic stirrer and rotor, and crystallizing disk (oxidation reactor). Turn on the UV lamp in advance to preheat and ensure uniform radiation, and add 100 mL SMX solution into the oxidation reactor. The initial pH of SMX solution was 5.2, and the pH was adjusted to 4~9 by NaOH (0.1 M) or HCl (0.1 M) whenever necessary. The calibration curve of the SMX solution is given in Figure S1. Moreover, Fe2+ and SPC were added concurrently to trigger the reaction under magnetic stirring conditions, and the sample (1 mL) was packed into a brown liquid phase vial for testing. If necessary, add excessive free radical inhibitors (Na2S2O3, 2 mM) to stop the reaction. The vials were then placed within and analyzed immediately by the HPLC (Acquity UPLC, waters, Milford, MA, USA). We repeated all experiments and took samples at least three times.
Figure 2.
The reaction device used in this study.
During the degradation performance experiments, we diluted SMX stock solution into 10 μM and set the amount of and SPC to 20 μM and 10 μM, respectively. During the optimization experiments, we set the dosage of Fe2+ or SPC to 10~40 μM or adjusted the pH of SMX solution to 4~9. During the experiments on degradation mechanism, we selected TBA and PhOH as two probe compounds of free radical; their concentration was set as 2 mM. The excessive TBA or/and PhOH were added to SMX solution and then mixed with and SPC under UV irradiation to analyze the major components of free radicals. In addition, SMX, NB, and the mixture of PhOH and excessive TBA (PhOH + TBA) were selected as degradation substances; the contribution experiments of free radicals produced by /UV/SPC process was measured. We first adjusted pH of SMX solution to 4/6/8 and then mixed it with NB and PhOH + TBA. In addition to that, we added and SPC synchronously. During the experiments of anions, four typical anions in surface water were used to analyze the negative effect on degradation performance, which consisted of (1~100 mM), (0.5~3 mM), (0.1~1 mM), and (0.1~5 mM).
2.3. Analytical Methods
Using the HPLC with C18 column (2.1 mm × 50 mm × 1.7 µm) to determine concentration of organic matter. The detecting conditions of SMX, NB, and PhOH were separately described as follows. As for surveying SMX and NB, the proportion of the mobile phase (Vacetonitrile:Vwater) was 2:3 and 1:1, and the detection wavelength was 268 nm and 270 nm, respectively. As for measuring PhOH, the proportion of mobile phase (Vwater:Vacetonitrile:Vmethanol) was 10:7:3, and the detection wavelength was 263 nm. Other conditions were same; the flow rate was 0.15 mL/min, the column temperature was 30 °C, and the injection volume was 10 µL.
As for the RSM model, the interaction of the main effects (CSPC, , pH, reaction time) on response values (SMX degradation rate, %) was designed by RSM-BBD (Design-Expert 8.0.6 software).
2.4. Theoretical Calculation
2.4.1. Rate Constants and Contribution of Free Radicals
We used chemical reaction kinetics to analyze the rate constants and contribution of free radicals in the degradation of SMX with /UV/SPC oxidation system. Using the NB, PhOH, and TBA as the probe compounds to investigate the steady-state concentration and the contribution rate of primary free radicals at different pH (4/6/8), the main experimental procedures were as follows.
(1) Generate amounts of with /UV/SPC system. When exposed to /UV/SPC system, the concentrations of SMX, PhOH, Fe2+, SPC, and TBA were 10 μM, 10 μM, 20 μM, 20 μM, and 2 mM, respectively. Gain the degradation rate (Y) via Equation (1) and then calculate the ln(/) to obtain the reaction rate constant. As the premise, ignore the reaction of SMX and PhOH; meanwhile, focus on the reaction of SPC and Fe2+. Firstly, obtain two apparent rate constants, and , by using /UV/SPC system to degrade PhOH+TBA and SMX separately. Secondly, achieve two pseudo-first-order rate constants, and , using UV to irradiate PhOH + TBA or SMX directly. The values of and could be determined separately by Equations (2) and (3). Then, obtain the and , relying on the ln(/) of SMX or PhOH at 30 min. The last step was calculating the values of (Equation (4)) and (Equation (3)) from these previous results.
where and were the concentration of degraded substance at reaction time of t and 0, respectively (μM); and were the apparent rate constants for the degradation of SMX and PhOH with /UV/SPC system (min−1); and were the secondary kinetic constants for the degradation of SMX and PhOH by (min−1); and were the pseudo-first-order rate constants for the degradation of SMX and PhOH by the direct photolysis of UV irradiation (min−1); and were the SMX concentration at time t and 0, respectively (μM); and were the PhOH concentration at time t and 0, respectively (μM); was the steady-state concentration of (μM).
(2) Generate amounts of in /UV/SPC system. The concentration of NB was 10 μM; other concentrations were the same, as described. As the premise, ignore the reaction of SMX and NB; meanwhile, focus on the reaction of SPC and Fe2+. Step one is to attain and by using /UV/SPC to degrade NB + TBA and SMX separately. Step two is to achieve and , which was realized by using UV irradiating NB + TBA or SMX directly. Step three is to calculate the value of and separately by Equations (5) and (6). Then, obtain the and , according to the ln(/) of SMX or NB at 30 min. Finally, calculate the value of (Equation (7)) and (Equation (6)) from these results above.
where is the apparent rate constant for the degradation of NB with /UV/SPC system (min−1); and are the secondary kinetic constants for the degradation of SMX and NB by (min−1); is the pseudo-first-order rate constants for the degradation of NB by the direct photolysis of UV irradiation (min−1); and are the NB concentration at time t and 0, respectively (μM); was the steady-state concentration of (μM).
(3) The contribution calculation of and in SMX degradation with /UV/SPC system. The change in SMX degradation with reaction time is expressedby Equation (8). In addition, the contributions of , , and UV direct photolysis are shown by Equations (9)–(11), respectively. The effect of other intermediate oxidants on SMX degradation should be considered to calculate the total contribution (Equation (12)).
where , , , and are the contribution rate of degrading SMX by , , UV direct photolysis, and other substances like some oxidizing intermediates (%); is the total contribution rate, selected as 100%.
2.4.2. Response Surface Model
As a parameter optimization tool, the RSM-BBD model is used to analyze the optimum conditions for the degradation of SMX by /UV/SPC process. Specifically, the water quality parameter is used as the independent variable (x), and the degradation rate of SMX by /UV/SPC process is the dependent variable (y) through the optimal response value of RSM-BBD. It commonly uses the second-order polynomial based on the Taylor series expansion to express the RSM-BBD model (Equation (13)).
where y is SMX degradation rate (%); and are variables; β0 is a constant coefficient; , , and βij are the linear coefficient, the coefficient of quadratic term, and the interaction term, respectively.
2.5. Construction of BP Neural Network Model
Artificial neural networks (ANN) are mathematical models that mimic biological neural networks, which can analyze complex objects with high precision and are applied to many aspects [19]. It commonly considers the node on ANN as one neuron, and different nodes can work concurrently. When information is input to some nodes, output results are sent to other nodes after joint processing by these nodes. In addition, obtain the final processing result until the neurons in the neural network are complete. During various neural network models, the BP-ANN is regarded as one feedforward neural network model consisting of the input, hidden, and output layers. In addition, the connections between each layer of neurons are composed of an error feature weight matrix and propagation function.
The neural network structure diagram is presented in Figure 3. In this study, the input layer has four neurons, and each one presented one influence factor during SMX degradation with the Fe2+/UV/SPC process, including SPC concentration (X1), Fe2+ concentration (X2), pH (X3), and reaction time (X4). The output layer has one neuron representing the output value, the SMX degradation rate (Y). Normalize the experimental data by Equation (14), and then use the sigmoid-tanh function (Equation (15)) as the propagation function. The random number was generated to form the eigenvalue matrix to complete the forward propagation of experimental data. After that, use the experimental data (Yexp) and predicted value (Ypre) of SMX degradation rate to calculate the error value and modified the eigenvalue matrix by the back-propagation that was implemented by the tanh-derived function (Equation (16)). Rely on the results of mean absolute error (MAE, Equation (17)), mean square error (MSE, Equation (18)), and the correlation coefficient (R2, Equation (19)) to determine the number of hidden layer neurons, and complete the topology construction of BP-ANN model (Figure 1). Moreover, Garson’s formula (Equation (20)) was used to obtain the degree of the influence variables on the reaction.
where xi is the normalized value of Xi; Xmax and Xmin are the maximum and minimum values of Xi, respectively; Ij (%) is the relative importance of the input variable j to the Ypre; Ni and Nh are, respectively, the numbers of neurons in the input and hidden layer; Wih and Who is the connection weight of input layer–hidden layer and the hidden layer–output layer, respectively; i, h, and o correspond to the input layer, hidden layer, and output layer, respectively; k, m, and n correspond to the neurons of input layer, hidden layer, and output layer, respectively.
Figure 3.
Neural network structure diagram.
3. Results and Discussions
3.1. Feasibility and Mechanism of SMX Degradation Enhanced via Fe2+/UV/SPC System
3.1.1. Degradation Efficiency of Fe2+/UV/SPC System
The Ct/C0 of SMX via the /UV/SPC process was shown in Figure 4a, and the reaction rate constant (kobs) was given in Figure 4b. When using Fe2+ or SPC alone in combination, the Ct/C0 was low at 4.2%, 6.3%, and 6.2%, respectively. Moreover, their kobs were 0.075 × 10−2, 0.167 × 10−2, and 0.144 × 10−2 min−1. These results demonstrated that Fe2+ or SPC alone could not effectively degrade SMX, and even the combination of these two components was ineffective. When using UV radiation alone, the CSMX/C0 and kobs slightly raised to 17.2% and 0.585 × 10−2 min−1. When SPC was active via UV, the Ct/C0 and kobs were promoted to 58.1% and 3.075 × 10−2 min−1, owing to UV irradiation, and were able to directly decompose H2O2 molecules from SPC solution into hydroxyl radicals () or other free radical-like [20], resulting in a better degradation efficiency. In another study [21], the degradation rate of SMX was higher than 90% with the UV/SPC process due to the higher SPC dosage, which led to a higher drug cost. The same problem was found in SMX degradation with the UV/SPC process. The degradation rate was insufficient and limited when SPC was as low as 10 μM. Adding into UV/SPC, the Ct/C0 and kobs further improved to 84.8% and 6.304 × 10−2 min−1, respectively. In the Fe2+/UV/SPC process, the degradation rate and kobs were 1.46 and 1.32 times that in the UV/SPC process, indicating that Fe2+ enhanced the degradation performance of SMX. In this study, the degradation efficiency was the decreased order according to the kobs results: Fe2+/UV/SPC > UV/SPC > UV/Fe2+ > UV alone. This result displayed that the Fe2+/UV/SPC was more efficient than the Fenton-like (UV/SPC) process, speculating that UV light may induce the photo-Fenton reaction during SMX degradation.
Figure 4.
The degradation performance of SMX with /UV/SPC process (a), and the corresponding kobs (b). Condition: CSPC = 10 μM, = 20 μM, CSMX = 10 μM, pH = 5.2, UV = 254 nm.
In the Fe2+/UV/SPC process, a better degradation performance was observed in the facilitative effect of Fe2+ on SMX degradation, mainly due to the occurrence of a classical Fenton reaction and photo-Fenton reaction. The classical Fenton reaction (Equation (21)) [22] possibly occurred between Fe2+ and H2O2 molecules in SPC at acid pH (5.2). The photo-Fenton reaction happened between Fe2+ and SPC under UV radiation through the following aspects. One aspect was that the classical Fenton reaction could be photo-assisted by utilizing UV. Moreover, the Fe3+ produced during the classical Fenton reaction may undergo spontaneous hydrolysis in the aqueous solution to re-generate Fe2+ and (Equation (22)) to catalyze Fenton’s reaction [22]. Another aspect was that Fe3+ might transform to other forms like a mono-hydroxy complex [Fe(OH)]2+ with the help of photons in the photo-Fenton process due to the hydrolysis of Fe3+, which might occur in the aqueous solution [23]. As the pre-eminent form of Fe3+ under acidic conditions, the [Fe(OH)]2+ helped induce the generation of Fe2+ and through the effect of photosensitization (Equation (23)) [23]. Moreover, Na2CO3 in the SPC solution may consume the to form (Equations (24) and (25)) [20].
These results speculated that there were two possible pathways for the degradation of SMX via the Fe2+/UV/SPC process. One pathway was direct photolysis, and the other was a free radical reaction. These free radicals ( and ) were generated through some possible sources: the first one was the direct photolysis of SPC under UV radiation; the second pathway was hydroxyl free radicals generated by SPC and Fe2+ through a Fenton reaction or generated via Fe3+ (or iron complex) and UV radiation through photo a Fenton reaction; the third one was Na2CO3 in SPC-produced , which consumed . Compared to the UV/SPC process, adding Fe2+ was beneficial in promoting the generation of free radicals to enhance the SMX degradation efficiency and reaction rate.
3.1.2. Optimization Analysis of Fe2+/UV/SPC System
The optimal degradation performance of SMX by the Fe2+/UV/SPC process was investigated, including the effect of , CSPC, and pH. The degradation performance and kobs were separately exhibited in Figure 5 and Figure S2, and the fitting Equations of kobs are described in Table S2. As is shown in Figure 5a, the Ct/C0 slightly increased from 83.6% to 86.2%, when increased from 10 to 30 μM. Then, the Ct/C0 marginally decreased to 84.8% when further increased to 40 μM. The effect of on the SMX degradation efficiency was not significant, which was consistent with the results that kobs remained close to around 6.1–6.5 × 10−2 min−1. This result illustrated that the appropriate dosage of Fe2+ slightly increases the SMX degradation rate due to suitable Fe2+ that accelerates the photo-Fenton reaction with SPC under UV radiation to produce more (Equations (14) and (15)) and (Equations (16) and (17)). Additionally, the formed Fe3+ and the re-generated Fe2+ actuated the Fenton process indirectly, which also improved the degradation of SMX. However, excessive Fe2+ may negatively affect the SMX degradation, owing to a significant accumulation of Fe3+ species that presented an inconvenience, which decelerated the degradation rate in the classical Fenton reaction (Equation (21)). In addition, excessive Fe2+ may also consume the free radical-like (Equation (26)) [23], or would react with itself (Equation (27)) or H2O2 (Equation (28)) to be quenched [20,24], resulting in the reduced degradation performance of SMX via the Fe2+/UV/SPC process. From a cost point of view, 10 or 20 μM was more economical than 30 μM.
Figure 5.
Effect of Fe2+ concentration (a), SPC dosage (b), and solution pH (c) on the degradation performance of SMX via Fe2+/UV/SPC process. Condition: CSMX = 10 μM; (a) = 10~40 μM, CSPC = 10 μM, pH = 5.2; (b) = 10 μM, CSPC = 10~40 μM, pH = 5.2; (c) pH = 4~9, = CSPC = 10 μM.
As Figure 5b shows, when CSPC increased from 10 to 40 μM, the Ct/C0 clearly decreased from 84.8% to 59.8%. Meanwhile, the kobs decreased from 6.304 × 10−2 to 2.978 × 10−2 min−1, demonstrating that the degradation performance and reaction rate of the Fe2+/UV/SPC process were enervated by higher SPC dosage. More SPC facilitated the generation of (Equation (21)) and (Equations (24) and (25)). However, SPC and H+ may produce under a pH of 5.2. It was considered that was the scavenger in the aqueous phase (Equation (25)) [25]. On the one hand, when SPC dosage increased, more generated would be consumed by to produce more . On the other hand, the generated would continuously react with H2O2 molecules in the SPC solution, leading to the lessened substrate that may limit the Fenton or photo-Fenton reaction to degrade SMX. In addition, possibly also consumed the H2O2 to decrease SPC concentration, resulting in the formation of more peroxymonocarbonate ions () by Equation (30) [25], which surmised that was capable of oxidizing organic pollutants like SMX. However, the reduction–oxidation potential of (E0 = 1.8 V) was lower than , leading to an overall weaker oxidation capacity. Even if the produced was high at high SPC concentrations, the SMX degradation capacity of was not satisfied like . Additionally, with metal could form solid sedimentation or aqueous complexes [26], which diminishes the catalyst concentration (like Fe2+ or iron oxides) to obstruct the degradation of SXM via the Fe2+/UV/SPC process.
According to Figure 5c, when the initial pH increased from 4 to 9, the Ct/C0 decreased from 86.1% to 59.0%, and the kobs decreased from 6.010 × 10−2 to 2.924 × 10−2 min−1, displaying that high pH affected the degradation efficiency negatively as well as the reaction rate of Fe2+/UV/SPC system, especially in an alkaline aqueous environment. On the one hand, solution pH affected the reduction-oxidation potential of free radicals, and acidic conditions were conducive to the catalysis of Fe2+ on the Fenton reaction, promoting the generation of and during the Fe2+/UV/SPC process. The E0 of was 2.65-2.80 V and 1.9 V when the pH was 3 and 7, respectively [27]. It is speculated that the oxidation capacity of would decline at higher pHs like 7 and 9 in this study, meanwhile engendering the weaker degradation capacity of the Fe2+/UV/SPC process. On the other hand, pH also affects the abundance of ions like H2CO3, , and (pKa1 = 6.37, pKa2 = 10.32) [28]. Thus, the generation amounts of prominent free radicals might be influenced. A high pH caused greater consumption of and by (Equations (25), (29) and (30)), reducing both amounts and the oxidization capacity of the Fe2+/UV/SPC process. In addition, the structural morphology of SMX was possibly affected by high pH, leading to a lower degradation rate of SMX. The SMX existed mainly as a neutral molecule (SMX0) at pH between pKa1 = 2.15 and pKa2 = 5.64, and the SMX molecular form has higher photochemical reactivity and stronger light adsorption under acidic conditions [29]. These results demonstrated that the SMX degradation was easier at acid conditions, resulting in the better degradation performance of the Fe2+/UV/SPC process at low pH.
The results above demonstrated that appropriate amounts of (10~30 μM) and CSPC (10 μM) under acidic conditions (pH = 4~6) were in favor of presenting a better degradation rate of SMX via the Fe2+/UV/SPC process.
3.1.3. Degradation Mechanism of SMX via Fe2+/UV/SPC System
According to the previous study on degradation performance and optimization analysis, it was possible that and played the main roles in the degradation of SMX via the Fe2+/UV/SPC system. Herein, relying on two probe compounds, these active free radicals were further verified by the Ct/C0 (Figure 6) and kobs (Figure S3 and Table S3). Commonly, the PhOH reacts with (6.0 × 108 M−1s−1) and (2.2 × 107 M−1s−1) at both high rates [22], and the reaction rate of TBA with was 3.8-7.6 × 108 M−1s−1 [30]. It was considerable that PhOH was the effective quencher for both and , while TBA was the quencher for . When pH was 4, 6, and 8, the Ct/C0 of SMX increased to different degrees, revealing that the addition of PhOH and TBA exhibited the inhibition effect on the degradation rate of SMX in the Fe2+/UV/SPC process. The difference in degradation rate () between SMX and SMX + TBA or SMX + PhOH is the reflection of the inhibition effect. After adding TBA, when pH increased from 4 to 8, the decreased degradation rate was 37.1%, 28.1%, and 7.8%, respecvitvely. In addition, after adding PhOH, it was 45.1%, 45.0%, and 34.8%. Without probe compounds at pHs of 4, 6, and 8, the kobs were 6.623, 6.010, and 3.837 × 10−2 min−1, respectively. Simultaneously, the kobs decreased to 2.158, 2.658, and 2.755 × 10−2 min−1 after adding TBA, and the kobs further decreased to 1.761, 1.581, and 1.320 × 10−2 min−1 after adding PhOH. It was found that the inhibitory effect of PhOH on the degradation rate and kobs was more evident than TBA. This result speculated that both and were involved in the SMX degradation via the Fe2+/UV/SPC system. (1) The generation pathways of were summarized as follows. The SPC in aqueous solution quickly decomposed to and (Equation (31)), and H2O2 irradiated by UV would produce (Equation (32)) [31]. Additionally, the classical Fenton reaction between Fe2+ and H2O2 also produced the (Equation (21)) or through the photo-Fenton reaction via Fe2+ and UV radiation (Equation (22)). Furthermore, when under UV radiation, complexes like (Equation (23)) or (Equation (33)) would also be decomposed to and other intermediates. (2) The mainly could be formed by two pathways; one was or produced via SPC decomposition reacting with (Equations (24) and (25)) [30]. The other was that intermediates like could be decomposed into another reactive species (Equation (33)) [32,33]. (3) The PhOH could not completely inhibit the degradation of SMX by free radicals; this represented that some unstable oxidants may play an essential role in the SMX degradation besides and . The possible intermediates involved are (Equations (28) and (29)), decomposed to and (Equation (30)), (Equations (34)–(36)) [34], or 1O2 (Equations (37)–(39)) [35]. Moreover, the degradation rate difference was used to calculate the inhibition proportion of two probe compounds () and analyze the primary free radicals produced via the Fe2+/UV/SPC process in SMX degradation. When pH was 4, 6, and 8, the was 43.1%, 33.8%, and 11.4%. Simultaneously, the was 52.4%, 54.3%, and 51.3%. In addition, was 82% and 62% at acidic pHs of 4 and 6. These results revealed that played a significant role in acid pH when compared to in the degradation of SMX via the Fe2+/UV/SPC process.
Figure 6.
The Ct/C0 of SMX when using TBA or PhOH as the probe compound at pH of 4 (a), 6 (b), and 8 (c). Condition: CTBA = 2 mM, CPhOH = 2 mM, CSMX = 10 μM.
In order to investigate the contribution rate of and in SMX degradation via the Fe2+/UV/SPC system, the second-order rate constants of SMX with and were determined. In addition to the results of Figures S4 and S5, the calculated and is shown in Figure 7a. It was found that the increased from 2.33 × 108 to 4.73 × 108 M−1s−1; meanwhile, the decreased from 6.07 × 108 to 5.32 × 108 M−1s−1, when pH rose from 4 to 8. The was maintained until two times that of , even though and were in the same order of magnitude. These results illustrated that was more accessible to a reaction with SMX than , especially in acidic conditions. It was reported that could react with substituted anilines with a reaction rate of 107~108 M−1s−1 [36] or react with pesticides with a reaction rate of 105~107 M−1s−1 [37]. When pH was 4~8, the kept higher than 2.33 × 108 M−1s−1, demonstrating that the also showed high oxidation characteristics in SMX degradation.
Figure 7.
In SMX degradation via Fe2+/UV/SPC process, the secondary kinetic constants of and (a), the steady-state concentration of and (b), and contribution rate of different active groups (c).
The and in SMX degradation were exhibited in Figure 7b. When pH was 4~8, the decreased from 8.26 × 10−13 to 4.24 × 10−13 M, and the also declined from 1.16 × 10−13 to 5.65 × 10−14 M. These results displayed that the generation amounts of both and produced via the Fe2+/UV/SPC system was higher in acidic conditions, which was beneficial to the degradation of SMX and was consistent with the result of Figure 7c. It was caused by the fact that Fe2+ and H2O2 were conducive to the Fenton (Equation (21)) or photo-Fenton reaction (Equations (22) and (23)), which promoted the generation of in acidic conditions. Moreover, at alkaline conditions, the produced Fe2+ or Fe(OH)2+ quickly accumulated (Equations (21) and (22)), which possibly led to the consumption of (Equation (26)) or the generation of becoming difficult (Equation (24)) [38].
The contribution of free radicals in SMX degradation via the Fe2+/UV/SPC system is displayed in Figure 7c. The decreased from 62.9% to 46.3%, meanwhile, increased from 17.3% to 31.5%, and the sums of RUV and Rother remained at about 20~22% when pH increased from 4 to 8. In the SMX degradation, made the greatest contribution to the degradation, and played an important role in degrading SMX simultaneously. Additionally, the effect of UV direct photolysis and other active intermediates was also responsible for the SMX degradation. These active intermediates might be produced via the Fe2+/UV/SPC system, involving , , , or 1O2. With the increase in pH, the contribution of to SMX was negatively correlated, while was positively correlated, demonstrating that acidic conditions were more conducive to making work in the degradation. These results regarding the contribution rate in Figure 5 confirmed the implication in Figure 4.
3.1.4. Influence of Anions on the SMX Degradation via Fe2+/UV/SPC System
The effect of typical anions on SMX degradation via the Fe2+/UV/SPC system was exhibited in Figure 8, and the corresponding Kobs was given in Figure S6a and Table S4. As Figure 8a displays, the degradation rate of SMX slightly decreased from 84.8% to 82.1% when Cl− raised to 0.1 mM. Then, it remained around 83.9% when further raised to 0.5~10 mM. Additionally, the Kobs slightly decreased from 6.304 to 5.857 × 10−2 min−1 and kept around 6.141 × 10−2 min−1. Adding to Fe2+/UV/SPC process, the would consume to generate (Equation (40)), which further transformed to (Equation (41)) or (Equation (42)) [38]. The activity of (Kobs = 4.3 × 109 M−1s−1), (Kobs = 3.2 × 1010 M−1s−1), or (Kobs = 7.8 × 109 M−1s−1) was weaker than , leading to a slightly decreased SMX degradation rate.
Figure 8.
Negative influence of (a), (b), (c), and (d) on SMX degradation via UV/Fe2+/SPC system. Condition: CSMX = 10 μM, :CSPC:CSMX = 2:1:1, pH = 5.2; = 0.1~10 mM; = 0.1~1 mM; = 0.5~3 mM; = 0.1~5 mM.
According to Figure 8b, the degradation rate of SMX decreased from 84.8% to 53.6% when was raised to 0.3 mM. Then, the degradation rate of SMX increased to 82.5% when was further raised to 1 mM. Simultaneously, the Kobs decreased from 6.304 to 1.845 × 10−2 M−1s−1, then raised to 2.925 × 10−2 M−1s−1. The negative effect of on the SMX degradation presented at a dosage of 0.1~0.3 mM, owing to , would consume the or to produce (Equation (25)) or (Equation (30)). However, excessive would undergo a hydrolysis reaction, leading to the consumption of H+ and high pH. This possibly induced the precipitation of Fe(OH)3. Also, this affected the Fenton reaction or photo-Fenton reaction to produce Nevertheless, the generation quantity of and would increase, or would decompose to and (Equation (33)). A large amount of may become the main active substance of the Fe2+/UV/SPC process for SMX degradation in this situation.
In Figure 8c, the effect of on SMX degradation was similar to . The degradation rate and Kobs obviously decreased to 46.3% and 2.010 × 10−2 M−1s−1, when increased to 0.5 mM. When further raised from 1 to 3 mM, the degradation rate gradually increased from 47.3% to 58.4% and 75.1%; meanwhile, the Kobs showed the same trend and finally increased to 2.921 × 10−2 M−1s−1. Similar to , the consumption of (Equation (24)) or H2O2 (Equation (29)) by actuated the formation of and , leading to a lower degradation rate of SMX. When adding excessive , such as in a quantity of 3 mM, the hydrolysis reaction of also induced a high pH like , which was beneficial in producing large amounts of to guarantee the SMX degradation, even though the consumption of was also very huge. As Figure 8d showed, the degradation rate of SMX was maintained at 82.7~83.5%, and Kobs was kept around 5.734~6.099 × 10−2 M−1s−1. These results illustrated that the degradation capability of the Fe2+/UV/PDS system was not inhibited too much by , owing to having little effect on pH or active free radicals.
3.2. Predictions Models for the SMX Degradation via Fe2+/UV/SPC System
In some practical scenarios, many experiments are commonly necessary to determine the optimal conditions for SMX degradation by the Fe2+/UV/SPC system, which will hinder the promotion of the Fe2+/UV/SPC system in practical engineering. Therefore, it is necessary to study some convenient modes to predict the degradation rate of SMX in the Fe2+/UV/SPC process. In this section, two models were established for predicting SMX degradation by the Fe2+/UV/SPC process involving RSM-BBD and BP-ANN.
3.2.1. Evaluation of RSM-BBD Model
W selected four influence factors as the parameters of RSM-BBD, consisting of , CSPC, pH, and reaction time (t), to investigate the interaction influence of these factors on SMX degradation performance. The design matrix (variables and codes) and the corresponding response values of the RSM-BBD model are given in Table S5, and the interaction effect is exhibited in Figure 9. Using Design-Expert 8.0.6 software to construct the second-order polynomial regression equation (Equation (43)), where was the predicted value of SMX degradation rate via the Fe2+/UV/SPC process, , , , and , respectively, referred to CSPC, , pH, and t.

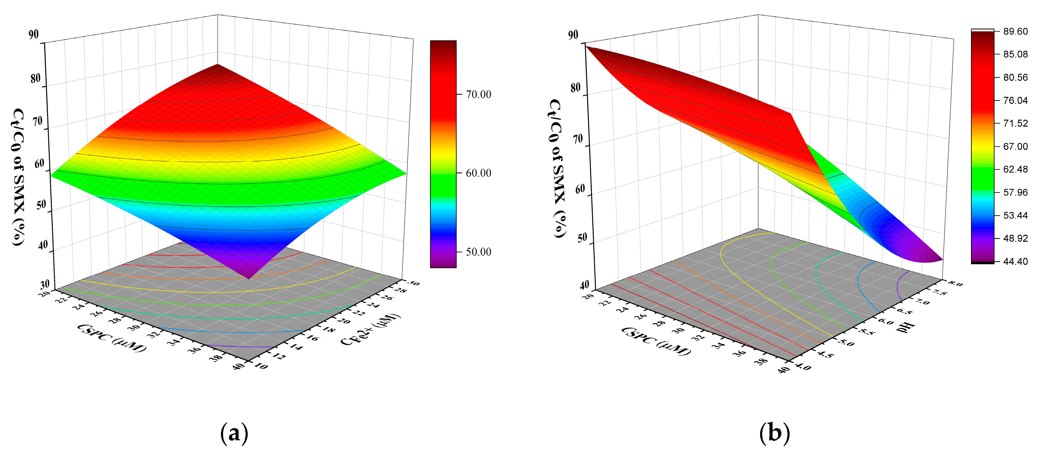
Figure 9.
The 3D response surface diagrams of SMX degradation via UV/Fe2+/SPC process, according to the following interactions, CSPC and (a); CSPC and pH (b); pH and (c); CSPC and t (d); t and (e); t and pH (f).
The variance parameters of the RSM-BBD model were given in Table 1, including quadratic sum, degree of freedom (DOF), mean square error (MSE), F value, and p-value. The F value and p-value of the RSM-BBD model were 43.42 and <0.0001, demonstrating that this regression equation was highly significant and could describe the mathematical relationship between four influence factors and response values of the SMX degradation rate. The coefficient of variation was 5.69% (<10%), and the signal-to-noise ratio was 22.809 (>4), showing that the RSM-BBD model was stable and reasonable. The R2 and adj-R2 were 0.9780 and 0.9550, respectively, reflecting that the relative error between the predicted and actual values was small. It was found that significant items of the model consisted of , , , , , , , , and . Relying on the F values, the influence of four factors on SMX degradation was determined, and the order was pH > t > CSPC > . Additionally, the significance test of the RSM-BBD model and coefficients were carried out to obtain the p-value, and the interaction effect was considered significant when p-value < 0.05. The significance of demonstrated that the interaction effect of CSPC and pH on the SMX degradation was significant.
Table 1.
Variance parameters of the RSM-BBD model in SMX degradation via Fe2+/UV/SPC system.
To further analyze the interaction effect of four factors on SMX degradation, the 3D response surface diagram is exhibited in Figure 9. Figure 9a shows the convex surface; the degradation rate of SMX increased with the higher (30 μM) and lower CSPC (20 μM). This result was consistent with the previous result shown in Section 3.1.2 due to suitable accelerating the photo-Fenton reaction to produce more (Equations (14) and (15)) and (Equations (16) and (17)) to enhance the SMX degradation. Meanwhile, a large amount CSPC would produce more and , leading to unsatisfactory degradation performance, which is not as good as . Figure 9b exhibited an irregular surface and presented a better degradation rate with a lower CSPC (20 μM) and acid pH (4.0). The pH obviously affected the decomposition of SPC, and an acidic condition was inclined to produce more . Figure 9c presented a concave surface, acidic pH, and higher , which were beneficial in ensuring a high degradation rate of SMX. Fe2+ was quickly transformed into Fe3+ at an alkaline pH and then precipitated. This consumption of Fe2+ was not conducive to the Fenton reaction and the photo-Fenton reaction, resulting in the degradation rate of SMX being affected. Figure 9d–f all show that a longer reaction time interacted with low CSPC, high , and an acidic pH, respectively, to ensure an adequate reaction and better SMX degradation.
3.2.2. Evaluation of BP-ANN Model
The BP-ANN model was constructed using the experimental data collected from SMX degradation via the Fe2+/UV/SPC process. The MSE of neuron numbers in different hidden layers is shown in Figure 10a, and the training iteration of the BP-ANN model is exhibited in Figure 10b. We used 29 experimental values of the SMX degradation rate (Table S5) to constitute the data sets and randomly divided the data sets into two parts, including 24 training sets and 5 verification sets. Selecting the appropriate number of hidden layer neurons is necessary to determine the performance of the BP-ANN model. Too few hidden layer neurons would lead to insufficient fitting, and too many neurons would cause overfitting. Therefore, continuous training was necessary to meet the accuracy requirements in order to avoid mismatched fitting or overfitting in the training process. The number of hidden layer neurons were adjusted to 1~10 to determine the optimal number. As can be seen from Figure 10a, the number of hidden layers greatly influenced the MSE of the BP-ANN model, and the MSE value decreased with the increased number of neurons in the hidden layer. It was obvious that eight neurons in the hidden layer were the optimal value, and the corresponding MSE was the lowest at 0.015. This result indicated that the BP-ANN model had the highest accuracy and best predictability at this time; herein, the topology structure of the BP-ANN model was determined as 4-8-1.
Figure 10.
The MSE of number of neurons in different hidden layers (a) and the training iteration of BP-ANN (b).
Moreover, we optimized the BP-ANN model by training a large number of samples. Based on the topology structure of 4-8-1, we set the training steps as 10,000 times, the step length as 10, the learning rate as 0.5, and the momentum factor constant as 0.1. When the target error was at the magnitude order of 10−2 after 10,000 times of iterative training calculation, the training of the BP-ANN model was completed. In Figure 10b, the training error curve shows that the MSE was 0.235 × 10−2, which met the accuracy requirement of the target error. The final BP-ANN model of SMX degradation via the Fe2+/UV/SPC process was given in Equation (44); meanwhile, the and were expressed in Equations (45) and (46), respectively.
Commonly, Garson’s formula is used to obtain the influence degree of variables on the reaction [39]. In this study, according to the weight matrix of the eigenvalues predicted by the BP-ANN model, the relative importance (Ij) of each input variable (CSPC, , pH, t) to the response value was determined, and the weight matrix of eigenvalues was presented in Table 2. Depending on Equation (20), the calculated Ij of CSPC, , pH, and t was 20.00%, 20.04%, 35.55%, and 24.42%, respectively. The order of relative importance was pH > t > . This result indicated that pH and t both played essential roles in SMX degradation via the Fe2+/UV/SPC process, which was consistent with the RSM model.
Table 2.
Input layer–hidden layer connection weight (wih) and connection weights of the hidden layer and output layer (who).
The prediction comparison of the RSM-BBD model and BP-ANN model was displayed in Figure 11a,b. The linear regression fittings R2 of the two models were separate as 0.9765 and 0.9971, indicating that the RSM-BBD model and BP-ANN model both had a good ability to predict the SMX degradation via the Fe2+/UV/SPC process. The MAE and MSE of the BP-ANN model were 0.47 and 0.80. Meanwhile, the MAE and MSE of the RSM-BBD model were 2.11 and 6.21 when calculated by Equations (17) and (18). Based on the above analysis, the optimal theoretical conditions of the RSM-BBD model for predicting the SMX degradation rate were described as follows: = 28.15 μM, CSPC = 20 μM, pH = 4, t = 26.8 min. Synchronously, the corresponding maximum degradation rate of SMX was 95.3%, and the experimental values fitted well with the predicted values due to the relative error of 3.08%. Additionally, for the BP-ANN model, the highest degradation rate of SMX was 96.18% after 15 iterations, and the optimal conditions were as follows: = 25.62 μM, CSPC = 17.24 μM, pH = 4.2, t = 25.42 min. However, the relative error of the predicted and experimental values was only 1.17%. From the perspective of higher accuracy and lower error, the BP-ANN model had a better predicting capacity than the RSM-BBD model in forecasting the degradation performance of SMX via the Fe2+/UV/SPC system. Some studies [40] pointed out that the accuracy of the ANN model was higher than the RSM model when studying NOx removal in liquefied natural gas evaporation systems. This was consistent with our study that the BP-ANN model showed more significance in predicting the degradation performance of SXM. The BP-ANN model was conducive to obtaining the predicted value of the SMX degradation rate quickly and accurately when the experimental data were hard to collect. Synchronously, it was helpful to promote the development of the Fe2+/UV/SPC system in practical application.
Figure 11.
The predicted value of SMX degradation rate via RSM-BBD model (a) and BP-ANN model (b).
4. Conclusions
In this research, the comprehensive assessment of the Fe2+/UV/SPC system on degrading SMX was carried out through the following aspects, involving performance optimization, degradation mechanism, and prediction model. The SMX could be effectively degraded via the Fe2+/UV/SPC system when adding appropriate amounts of (10~30 μM) and CSPC (10 μM) under acidic conditions (pH = 4~6). Relying on probe compounds of TBA, PhOH, and NB, the results revealed that and separately played the major and subordinate role in the degradation of SMX via the Fe2+/UV/SPC process, especially at acidic pHs. The and was in the same order of magnitude, but the kept higher than 2.33 × 108 M−1s−1, which was almost two times that of . When pH increased from 4 to 8, the contribution rate of decreased from 62.9% to 46.3%; meanwhile, the contribution rate of increased from 17.3% to 31.5%. Simultaneously, the contribution of UV direct photolysis and other active intermediates remained at about 20~22%. These active intermediates might be produced via the Fe2+/UV/SPC system in SMX degradation, involving , , , or 1O2. Additionally, as compared with Cl− and , (0.1~0.5 mM) and (0.5~3 mM) negatively affected the degradation rate, possibly due to their consumption of or H2O2 to inhibit the SMX degradation. Furthermore, two prediction models were successfully constructed by investigating four influence factors, such as , CSPC, pH, and t. The RSM-BBD model displayed the interaction effect of influence factors well, through the second-order polynomial regression equation (Equation (43)). The BP-ANN model was expressed as , and the BP-ANN model exhibited significant capability in forecasting the SMX degradation rate in terms of higher accuracy and lower error. The BP-ANN model also reflected the relative importance well; pH > t > . When = 25.62 μM, CSPC = 17.24 μM, pH = 4.2, t = 25.42 min, the predicted degradation rate of SMX was 96.18%, and the relative error of the predicted value and experimental value was only 1.17%. These findings help foster an in-depth understanding of the degradation mechanism of SMX, and they were conducive to the promotion of the development of the Fe2+/UV/SPC process in SMX degradation, especially in some practical scenarios.
Supplementary Materials
The following supporting information can be downloaded at: https://www.mdpi.com/article/10.3390/w16040532/s1, Figure S1: The calibration curve of SMX used in this study; Figure S2: Based on pseudo-first-order kinetic model, the fitting curves of ln(Ct/C0) of SMX (Section 3.1.2 in main-text), under the effect of Fe2+ dosage (a), SPC concentration (b), solution pH (c); Figure S3: Based on the pseudo-first-order kinetic model, the fitting curves of the ln(Ct/C0) of SMX (Section 3.1.3 in main-text), at the pH of 4 (a), 6 (b), and 8 (c); Figure S4: Based on the chemical reaction kinetics, the ln(Ct/C0) of SMX or PhOH (Section 3.1.3 in main-text), at the pH of 4 (a), 6 (b), and 8 (c); Figure S5: Based on the chemical reaction kinetics, the ln(Ct/C0) of SMX or NB (Section 3.1.3 in main-text), at the pH of 4 (a), 6 (b), and 8 (c); Figure S6: During experiments of negative effect of inorganic anions on SMX degradation via the Fe2+/UV/SPC process (Section 3.1.4 in main-text), the fitting curves based on pseudo-first-order kinetic model under the effect of dosage (a); dosage (b); dosage (c); dosage (d); Table S1: The supplier information of chemicals used in this study; Table S2: During experiments of influence factors, the fitting equations and Kobs values of SMX degradation via the Fe2+/UV/SPC process; Table S3: During experiments of identifying major free radicals, the fitting equations and Kobs values of SMX degradation via the Fe2+/UV/SPC process; Table S4: During experiments of inorganic anions, the fitting equations and Kobs values of SMX degradation via the Fe2+/UV/SPC process; Table S5: During RSM experiments, the experimental design matrix and the corresponding response values.
Author Contributions
Funding acquisition, supervision, J.C.; methodology, data curation, original draft, C.R.; conceptualization, methodology, data curation, original draft, writing, revising—review and editing, supervision, W.X.; methodology, data curation, C.D.; supervision, Y.G.; supervision, Z.L.; supervision, N.G. All authors have read and agreed to the published version of the manuscript.
Funding
This work was funded by the National Natural Science Foundation of China (52060023 and 51768067). The authors also are deeply grateful to Changyuan Water Research Institute (Urumqi, China) for providing research facilities.
Data Availability Statement
Data are contained within the article and Supplementary Materials.
Conflicts of Interest
The authors declare no conflicts of interest.
References
- Li, S.; Wu, Y.; Zheng, H.; Li, H.; Zheng, Y.; Nan, J.; Ma, J.; Nagarajan, D.; Chang, J.S. Antibiotics degradation by advanced oxidation process (AOPs): Recent advances in ecotoxicity and antibiotic-resistance genes induction of degradation products. Chemosphere 2022, 311, 136977. [Google Scholar] [PubMed]
- Juan, P.P.L.; Elisa, D.M.; André, A. Characteristics and ways of treating cosmetic wastewater generated by Brazilian industries: A review. Process Saf. Environ. Prot. 2022, 168, 601–612. [Google Scholar]
- Ravichandran, J.; Karthikeyan, B.S.; Jost, J.; Samal, A. An atlas of fragrance chemicals in children’s products. Sci. Total Environ. 2022, 818, 151682. [Google Scholar] [PubMed]
- Corbel, V.; Stankiewicz, M.; Pennetier, C.; Fournier, D.; Stojan, J.; Girard, E.; Dimitrov, M.; Molgó, J.; Hougard, J.-M.; Lapied, B. Evidence for inhibition of cholinesterases in insect and mammalian nervous systems by the insect repellent deet. BMC Biol. 2009, 7, 47. [Google Scholar]
- Sui, Q.; Cao, X.; Lu, S.; Zhao, W.; Qiu, Z.; Yu, G. Occurrence, sources and fate of pharmaceuticals and personal care products in the groundwater: A review. Emerg. Contam. 2015, 1, 14–24. [Google Scholar]
- Zhao, W.; Guo, Y.; Lu, S.; Yan, P.; Sui, Q. Recent advances in pharmaceuticals and personal care products in the surface water and sediments in China. Front. Environ. Sci. Eng. 2016, 10, 29–40. [Google Scholar] [CrossRef]
- Esplugas, S.; Bila, D.M.; Krause, L.G.; Dezotti, M. Ozonation and advanced oxidation technologies to remove endocrine disrupting chemicals (EDCs) and pharmaceuticals and personal care products (PPCPs) in water effluents. J. Hazard. Mater. 2007, 149, 631–642. [Google Scholar]
- Baran, W.; Adamek, E.; Ziemiańska, J.; Sobczak, A. Effects of the presence of sulfonamides in the environment and their influence on human health. J. Hazard. Mater. 2011, 196, 1–15. [Google Scholar] [CrossRef]
- Al Aukidy, M.; Verlicchi, P.; Jelic, A.; Petrovic, M.; Barcelò, D. Monitoring release of pharmaceutical compounds: Occurrence and environmental risk assessment of two WWTP effluents and their receiving bodies in the Po Valley Italy. Sci. Total Environ. 2012, 438, 15–25. [Google Scholar] [CrossRef]
- Gao, L.; Shi, Y.; Li, W.; Liu, J.; Cai, Y. Occurrence, distribution and bioaccumulation of antibiotics in the Haihe River in China. J. Environ. Monit. 2012, 14, 1247–1254. [Google Scholar] [CrossRef]
- Bajard, L.; Adamovsky, O.; Audouze, K.; Baken, K.; Barouki, R.; Beltman, J.B.; Beronius, A.; Bonefeld-Jørgensen, E.C.; Cano-Sancho, G.; de Baat, M.L.; et al. Application of AOPs to assist regulatory assessment of chemical risks Case studies, needs and recommendations. Environ. Res. 2023, 217, 114650. [Google Scholar] [CrossRef]
- Singa, P.K.; Isa, M.H.; Sivaprakash, B.; Ho, Y.C.; Lim, J.W.; Rajamohan, N. PAHs remediation from hazardous waste landfill leachate using Fenton, photo—Fenton and electro—Fenton oxidation processes—Performance evaluation under optimized conditions using RSM and ANN. Environ. Res. 2023, 231, 116191. [Google Scholar]
- Lojo-López, M.; Andrades, J.A.; Egea-Corbacho, A. Degradation of simazine by photolysis of hydrogen peroxide Fenton and photo-Fenton under darkness, sunlight and UV light. J. Water Process Eng. 2021, 42, 102115. [Google Scholar] [CrossRef]
- Keisuke, I.; Mohamed, G.E.D. Aqueous pesticide degradation by hydrogen peroxide/ultraviolet irradiation and Fenton-type advanced oxidation processes: A review. J. Environ. Eng. Sci. 2006, 5, 81–135. [Google Scholar]
- Cheng, X.; Lian, J.; Ren, Z.; Hou, C.; Jin, Y.; Zhang, L.; Zhu, X.; Luo, C.; Wu, D.; Liang, H. Coupling sodium percarbonate (SPC) oxidation and coagulation for membrane fouling mitigation in algae-laden water treatment. Water Res. 2021, 204, 117622. [Google Scholar] [CrossRef]
- Babaei, A.; Ghanbari, F. COD removal from petrochemical wastewater by UV/hydrogen peroxide, UV/persulfate and UV/percarbonate: Biodegradability improvement and cost evaluation. J. Water Reuse Desal. 2016, 6, 484–494. [Google Scholar] [CrossRef]
- Yan, P.; Sui, Q.; Lyu, S.; Hao, H.; Schröder, H.F.; Gebhardt, W. Elucidation of the oxidation mechanisms and pathways of sulfamethoxazole degradation under Fe(II) activated percarbonate treatment. Sci. Total Environ. 2018, 640–641, 973–980. [Google Scholar] [CrossRef] [PubMed]
- Mo, Z.; Tan, Z.; Liang, J.; Guan, Z.; Liao, X.; Jian, J.; Liu, H.; Li, Y.; Dai, W.; Sun, S. Iron-rich sludge biochar triggers sodium percarbonate activation for robust sulfamethoxazole removal: Collaborative roles of reactive oxygen species and electron transfer. Chem. Eng. J. 2023, 457, 141150. [Google Scholar] [CrossRef]
- Borre, K. Neural networks and their applications. Rev. Sci. Instrum. 1994, 65, 1803–1832. [Google Scholar]
- Gao, J.; Duan, X.; O’Shea, K.; Dionysiou, D.D. Degradation and transformation of bisphenol A in UV/Sodium percarbonate: Dual role of carbonate radical anion. Water Res. 2020, 171, 115394. [Google Scholar] [CrossRef]
- Yu, X.; Jin, X.; Li, M.; Yu, Y.; Liu, H.; Zhou, R.; Yin, A.; Shi, J.; Sun, J.; Zhu, L. Mechanism and security of UV driven sodium percarbonate for sulfamethoxazole degradation using DFT and metabolomic analysis. Environ. Pollut. 2023, 323, 121352. [Google Scholar] [CrossRef] [PubMed]
- Aaron, M.A.; Aaron, J.J. Advanced oxidation processes in water/wastewater treatment: Principles and applications. A Review. Crit. Rev. Env. Sci. Tec. 2014, 44, 2577–2641. [Google Scholar]
- Xu, X.R.; Li, X.Y.; Li, X.Z.; Li, H.B. Degradation of melatonin by UV, UV/H2O2, Fe2+/H2O2 and UV/Fe2+/H2O2 processes. Sep. Purif. Technol. 2009, 68, 261–266. [Google Scholar] [CrossRef]
- Thomas, N.; Dionysiou, D.D.; Pillai, S.C. Heterogeneous Fenton catalysts: A review of recent advances. J. Hazard. Mater. 2021, 404, 124082. [Google Scholar] [CrossRef]
- Fu, X.; Gu, X.; Lu, S.; Miao, Z.; Xu, M.; Zhang, X.; Qiu, Z.; Sui, Q. Benzene depletion by Fe2+-catalyzed sodium percarbonate in aqueous solution. Chem. Eng. J. 2015, 267, 25–33. [Google Scholar] [CrossRef]
- Kojima, N.; Bates, G.W. The formation of Fe3+-transferrin-CO32− via the binding oxidation of Fe2+. J. Biol. Chem. 1981, 256, 12034–12039. [Google Scholar] [CrossRef]
- Carena, L.; Vione, D.; Minella, M.; Canonica, S.; Schönenberger, U. Inhibition by phenolic antioxidants of the degradation of aromatic amines and sulfadiazine by the carbonate radical (). Water Res. 2022, 209, 117867. [Google Scholar]
- Mo, J.; Lin, T.; Zhang, X.; Jiang, F.; Chen, H. Effects of Fe(II)-activated persulfate/sodium percarbonate (PS/SPC) pretreatment on ultrafiltration membrane fouling control and mechanisms. Desalination 2023, 547, 116258. [Google Scholar] [CrossRef]
- Xue, H.; Li, J.; Zhang, G.; Li, M.; Liu, B.; Kang, C. Hydroxyl radical dominated ibuprofen degradation by UV/percarbonate process: Response surface methodology optimization, toxicity, and cost evaluation. Chemosphere 2023, 329, 138681. [Google Scholar] [CrossRef]
- Fu, Y.; Wu, G.; Geng, J.; Li, J.; Li, S.; Ren, H. Kinetics and modeling of artificial sweeteners degradation in wastewater by the UV/persulfate process. Water Res. 2019, 150, 12–20. [Google Scholar]
- Burbano, A.A.; Dionysiou, D.D.; Suidan, M.T.; Richardson, T.L. Oxidation kinetics and effect of pH on the degradation of MTBE with Fenton reagent. Water Res. 2005, 39, 107–118. [Google Scholar] [PubMed]
- Zhao, S.; Xi, H.; Zuo, Y.; Wang, Q.; Wang, Z.; Yan, Z. Bicarbonate-activated hydrogen peroxide and efficient decontamination of toxic sulfur mustard and nerve gas simulants. J. Hazard. Mater. 2018, 344, 136–145. [Google Scholar] [PubMed]
- Chen, H.; Lin, L.; Lin, Z.; Guo, G.; Lin, J.M. Chemiluminescence arising from the decomposition of peroxymonocarbonate and enhanced by CdTe quantum dots. J. Phys. Chem. A 2010, 114, 10049–10058. [Google Scholar] [CrossRef] [PubMed]
- Pan, H.; Gao, Y.; Li, N.; Zhou, Y.; Lin, Q.; Jiang, J. Recent advances in bicarbonate-activated hydrogen peroxide system for water treatment. Chem. Eng. J. 2021, 408, 127332. [Google Scholar]
- Lin, J.; Liu, M. Singlet oxygen generated from the decomposition of peroxymonocarbonate andits observation with chemiluminescence method. Spectrochim. Acta A 2009, 72, 126–132. [Google Scholar]
- Yang, X.; Duan, Y.; Wang, J.; Wang, H.; Liu, H.; Sedlak, D.L. Impact of peroxymonocarbonate on the transformation of organic contaminants during hydrogen peroxide in situ chemical oxidation. Environ. Sci. Technol. Lett. 2019, 6, 781–786. [Google Scholar]
- Estahbanati, M.R.K.; Feilizadeh, M.; Iliuta, M.C. Photocatalytic valorization of glycerol to hydrogen: Optimization of operating parameters by artificial neural network. Appl. Catal. B 2017, 209, 483–492. [Google Scholar]
- Tang, S.; Tang, J.; Yuan, D.; Wang, Z.; Zhang, Y.; Rao, Y. Elimination of humic acid in water: Comparison of UV/PDS and UV/PMS. RSC Adv. 2020, 30, 17627–17634. [Google Scholar] [CrossRef]
- Khataee, A.R.; Mirzajani, O. UV/peroxydisulfate oxidation of, C.I. Basic Blue 3: Modeling of key factors by artificial neural network. Desalination 2010, 251, 64–69. [Google Scholar] [CrossRef]
- Kim, Z.; Shin, Y.; Yu, J.; Kim, G.; Hwang, S. Development of NOx removal process for LNG evaporation system: Comparative assessment between response surface methodology (RSM) and artificial neural network (ANN). J. Ind. Eng. Chem. 2019, 74, 136–147. [Google Scholar] [CrossRef]
Disclaimer/Publisher’s Note: The statements, opinions and data contained in all publications are solely those of the individual author(s) and contributor(s) and not of MDPI and/or the editor(s). MDPI and/or the editor(s) disclaim responsibility for any injury to people or property resulting from any ideas, methods, instructions or products referred to in the content. |
© 2024 by the authors. Licensee MDPI, Basel, Switzerland. This article is an open access article distributed under the terms and conditions of the Creative Commons Attribution (CC BY) license (https://creativecommons.org/licenses/by/4.0/).











