Abstract
Climate change and human activities exert significant influence on the water–sediment relationship in arid and semi-arid regions. Therefore, comprehending the underlying mechanisms is crucial for the effective management of water and soil resources, as well as integrated watershed management. This research focuses on the Kuye River watershed (KYH_W) in the middle reaches of the Yellow River in China, along with its sub-watersheds Wangdaohengtazi (WDHT_SW) and Xinmiaosi (XM_SW). This paper utilizes the Mann–Kendall non-parametric test and the double cumulative curve method to examine the interannual trends of runoff, sediment transport, precipitation, temperature, and NDVI factors. Furthermore, the method of the slope change ratio of cumulative quantity (SCRCQ) is utilized to quantitatively evaluate the impacts and contribution rates of climate change and human activities on water–sediment changes within each watershed. The results are as follows: (1) From 1969 to 2019, the entire watershed experienced a significant decrease in both runoff and sediment transport, with 1997 marking the year of abrupt change. However, following 2012, the KYH_W and WDHT_SW exhibited a noticeable rebound in runoff. (2) Human activities predominantly contribute to the reduction in water and sediment in the watershed. (3) After the abrupt change, between 1998 and 2011, the contribution rates of climate change and human activities to the annual runoff reduction in the entire KYH_W reached 33% and 64%, respectively. Moreover, these rates for sediment transport reduction reached 26% and 74%, respectively. Subsequently, after 2012, the contribution rates of both factors to the increase in watershed runoff reached 29% and 71%, respectively. Factors other than the NDVI, within human activities, played a dominant role in augmenting the watershed’s runoff. (4) Prior to 2011, changes in vegetation cover resulting from the Grain for Green Program, as measured by the NDVI, emerged as the primary factor responsible for reduced runoff in the watershed. Conversely, factors other than the NDVI assumed dominance in reducing sediment transport. The SCRCQ method offers a quantitative approach to assessing water–sediment changes. Based on this method, the study further underscores the substantial impacts of climate change and human activities on variations in runoff and sediment transport within the KYH_W in the middle reaches of the Yellow River. Notably, the water–sediment changes in the KYH_W exhibit distinct stage-wise and spatial discrepancies, which warrant increased attention in future research endeavors.
1. Introduction
The variation in water and sediment in rivers is a consequence of the combined effects of human and climatic factors, which have garnered widespread attention and research globally [1]. Currently, numerous rivers, such as the Nile River in Egypt [2], the Colorado River in the United States [3], the Yangtze and Yellow Rivers in China [4,5], and the Mekong River in Cambodia [1], are encountering substantial challenges regarding water and sediment quantities. The alterations in water and sediment within rivers not only signify the influence of climate change on hydrological processes and sediment transportation in the watershed but also indicate the extent of soil erosion and the efficacy of soil and water conservation measures. Furthermore, they serve as indicators of the health of the watershed ecosystem and its ecological carrying capacity, facilitating the development of sound water resource management and ecological governance policies [6,7]. As a result, recognizing the relationship between and variations in water and sediment in rivers as crucial research areas, the international scientific community and organizations such as ICSU, UNESCO, WMO, IHD-IV, and IAHS have taken note.
Evaluating the degree of runoff and sediment transport changes and quantifying the impact of various factors are essential approaches to elucidating the evolutionary laws and mechanisms of hydrological processes within a watershed. Previous studies have demonstrated that hydrological processes and sediment evolution in a watershed are markedly sensitive to climate change (e.g., precipitation and temperature) and human activities (such as land use alterations, vegetation restoration, etc.). For instance, Wang et al. [8] employed attribution methods to analyze the observational data of runoff and sediment load in the Yellow River within the Loess Plateau region of China spanning the last 60 years. Their analysis indicated that distinct factors contributed to the decline in sediment load in the Yellow River circa 1990. Similarly, another study by Wang et al. [9] examined annual observation data from 1950 to 2009, revealing that the total contribution was 11.76% from precipitation, −4% from potential evaporation transpiration, and 92% from human activities in the entire Yellow River Watershed. In the middle reaches of the Yellow River, where soil erosion is most severe, several related studies have been conducted [10,11,12,13,14,15]. These studies have highlighted that human activities account for over 50% of the runoff reduction in this area [16], reaching up to 92% when employing the double cumulative curve method [17]. The primary reasons for the substantial decrease in runoff and sediment load in the middle reaches of the Yellow River are attributed to human intervention (e.g., soil and water conservation measures) and climate change [16]. Analysis of data from multiple watersheds in this region shows that the variation in sediment load is significantly greater than that of runoff due to the weakening dynamic relationship resulting from decreased runoff in the watershed [18]. Moreover, sediment balance analysis in the middle reaches of the Yellow River reveals that 17 tributaries contribute 70.60% to the overall sediment load in the region, with the majority coming from these tributaries in the Helong area [19]. Introducing a novel approach, the method of the slope change ratio of cumulative quantity (SCRCQ), Wang et al. [20] quantitatively assessed the contributions of precipitation and human activities to runoff changes in the Huangfuchuan watershed in the middle reaches of the Yellow River. These findings underscore the disparities in the response of river sediment load and watershed-scale hydro-sediment volume to land use alterations and climate disturbances, emphasizing significant variations in the main influencing factors and their contribution rates across different watersheds.
The quantification of their respective contributions to changes in runoff and sediment is of great significance for watershed vegetation restoration, rational water resource utilization, and scientific management. Currently, both domestic and international scholars have conducted quantitative studies on the attribution of changes in water and sediment resulting from climate change and human activities. Commonly utilized methods include hydrological models [21,22,23,24,25,26], the elasticity coefficient method [27,28,29], and statistical analysis [9]. Hydrological models allow for comparative studies at various scales [21,22,23,24,25,26], but they require extensive data and are associated with uncertainties in parameter estimation. In recent years, the elasticity coefficient method based on the Budyko hypothesis has been widely employed to separate the impacts of climate change and human activities [27,28,29]. Compared to more complex hydrological models, the elasticity coefficient method is relatively simple and demands less observational data, rendering it applicable in data-scarce situations. This method is particularly suitable for long-term research. However, it also has limitations in terms of assumptions, inadequate consideration of spatial heterogeneity within watersheds, and an incomplete interpretation of the results. Some researchers adopt multiple methods to enhance the accuracy and comprehensiveness of their studies. For instance, Cheng et al. [30] conducted a study on runoff characteristics in the Heihe River Watershed in northwest China, utilizing various methods such as double cumulative curves, cumulative quantity slope changes, and the Choudhury–Yang equation (Budyko-CY) method. However, this approach may increase data requirements and time and resource costs and pose challenges in model selection and comparison. In contrast, the SCRCQ method is a statistical approach that quantitatively estimates the contribution of factors like precipitation and temperature to runoff changes [9]. It can explore trends related to climate, human activities, and other factors. This method has been successfully applied in multiple rivers and watersheds, such as the Liaohe River, Yellow River, Songhua River, and Huangfuchuan River [9,20,30,31]. It boasts the characteristics of strong intuitiveness, ease of understanding and interpretation, and wide applicability.
The Kuye River watershed (KYH_W) serves as the primary source of coarse sediment in the middle reaches of the Yellow River [6]. Due to its status as a key sediment production area in the Yellow River, the water–sediment relationship, causes, and management solutions in this basin differ from other basins, consequently attracting much scholarly attention [21,23,25,27,32,33,34]. In recent years, with the support of various thematic data and analysis methods from climate, geography, environment, and other fields, our understanding and exploration of the long-term regulations governing runoff and sediment in the KYH_W have significantly expanded. For example, Wang et al. [21] employed the calibrated VIC model, and Guo et al. [23] utilized the YRWBM model to simulate natural runoff during the period of human regulation and evaluate the impact of human activities on runoff in the KYH_W. Bao et al. [27] reconstructed natural runoff and sediment using the VIC model and eight sediment models, comparing them with observational data and conducting a quantitative analysis of the main influencing factors behind runoff and sediment changes in the KYH_W. Luan et al. [24] estimated the impact of coal mining on runoff using the SIMHYD-PML hydrological model, which fully considers vegetation dynamics. He et al. [33] quantitatively evaluated the contribution of runoff change factors at three different scales in the KYH_W using the elasticity coefficient method based on the Budyko framework. Huang et al. [34], also employing the elasticity coefficient method based on the Budyko framework, utilized a 9-year moving average window to determine the contribution of climate change and human activities to runoff changes in the KYH_W. However, due to its unique natural and geographical location and arid climate characteristics, as well as the long-term impact of human activities, the water and sediment issues and ecological vulnerability in the KYH_W require continuous monitoring. The basin’s landforms, primarily hills and gullies, are dominated by strongly weathered sandstone and sandy areas, with wind and sand areas accounting for approximately 6.4% of the total area. Additionally, the ecological environment has long been subject to various disturbances. As the main coal output area in China, the basin experiences significant levels of mineral resource development and exploitation activities, which represent the primary means of human interference with the geological environment, ecological restoration, and hydrological response. Consequently, the KYH_W differs from other basins, necessitating further study on changes in its runoff process, sediment load, and impact mechanisms. In this study, we employ a novel detection method, namely the SCRCQ method [9], and combine multiple trend and mutation analysis methods to select three hydrological stations within the KYH_W. The objectives of this research include gaining comprehensive insights into the trends and differences in hydrological, vegetation, and climate elements at various scales within the basin based on different long-term time series of process data, accurately identifying change points in water and sediment changes within the KYH_W, and quantitatively evaluating the degree of influence of climate change and human activities on runoff and sediment transport. Through the application of advanced detection methods, extensive data, and comparisons across different scales, a more systematic understanding of water and sediment evolution within the basin can be obtained, providing an important foundation for ecological restoration, soil and water resources protection, and basin management.
Research Area
The KYH_W, spanning from 109°28′ E to 110°52′ E and 38°23′ N to 39°52′ N, is situated on the right bank of the main stream of the Yellow River in the middle reaches of the Hekouzhen–Longmen Reach. The main stream, originating from Badinggou in Ordos City, Inner Mongolia, and flowing southeast, is 241.8 km long. The basin, covering 8706 km2, stretches across the Inner Mongolia and Shaanxi provinces (autonomous regions) (see Figure 1). The upper reaches of the basin are composed of two main tributaries: the Wulanmulun River and the Beiniuchuan River. The farthest hydrological station downstream is Wenjiachuan, located 6.9 km upstream from the confluence of the Kuye River and the Yellow River. This arid and semi-arid basin experiences an average annual precipitation of 410 mm with an average temperature of 7.9 °C and a frost-free period of 280 days. Due to the continental monsoon climate, precipitation is distributed quite unevenly throughout the year, with most rainfall concentrated in the summer season. The vegetation in the basin is sparse, comprising mainly shrubs and herbaceous plants, and the dominant plants are Caragana, amorpha fruticosa, Artemisia ordosica, and Shapa. The landforms are varied, including windy and sandy areas, loess hills, and gully areas, all situated in the transitional zone between the Mu Us Desert and the Loess Plateau, resulting in severe water and soil erosion [35]. The “wind and sand” area, accounting for 6.4% of the basin area, is relatively flat, almost entirely devoid of vegetation. The loess hills and gullies cover 31.2% of the basin area, while exposed soft bedrock accounts for 61.8% of the basin’s total geological composition [36].
Figure 1.
Location map of the study area.
2. Methods and Data
2.1. Data Source and Processing
Hydrological data, primarily comprising annual runoff (m3) and suspended sediment transport(t) data, were accumulated from daily data of hydrological stations to monthly data and then from monthly data to annual data. These stations include Wenjiachuan station (responsible for monitoring the entire KYH_W) from 1956 to 2019, Xinmiao station from 1966 to 2019, and Wangdaohengta station from 1961 to 2019. Table 1 provides an overview of each station’s details. As each station was established at different times, the starting years of the data are not uniform and were obtained via data inquiry. Specifically, hydrological data before 1989 and between 2006 and 2019 were sourced from the Yellow River Basin Hydrological Yearbook, while hydrological data from 1990 to 2005 were retrieved from the Yellow River Sediment Bulletin.
Table 1.
Statistical table of the KYH_W area.
Meteorological data were collected within the watershed area, considering data from 10 national meteorological stations. These stations include the Jiaxian, Fugu, Yulin, and Shenmu stations in Yulin City, Shaanxi Province, as well as the Wushenqi, Yijinhuoluo, Zhungeer, Hangjinqi, Ordos, and Dalate stations in Ordos City, Inner Mongolia. The data span from 1969 to 2019, and the observed indicators include monthly cumulative precipitation and monthly average temperature. The data were sourced from the China Meteorological Data Service Center (http://data.cma.cn, accessed on 1 November 2021). By analyzing the original meteorological data obtained, the annual average temperature and annual cumulative precipitation for each station were derived. Subsequently, using ArcGIS 10.8 software, kriging interpolation was performed on the precipitation and temperature data on an annual basis. This process yielded distribution maps illustrating the annual average temperature and annual cumulative precipitation in the study area from 1969 to 2019. Finally, through raster calculation, time series data of surface average temperature and surface cumulative precipitation were obtained for the three watersheds.
The NDVI dataset utilized in this study was sourced from the Data Sharing Platform (https://www.ncei.noaa.gov/products/climate-data-records/normalized-difference-vegetation-index, accessed on 11 November 2021), which offers a comprehensive and extensive record of global surface vegetation cover derived from remote sensing observations. The dataset encompasses the time span of 1982 to 2020 and possesses a temporal resolution of 1 day, along with a spatial resolution of 0.05° × 0.05°, 8 km × 8 km grid size. To facilitate analysis, the monthly NDVI data for the growing season (April to October) in China spanning from 1982 to 2020 were subjected to averaging. Subsequently, the maximum value composite (MVC) method was employed to reconstruct the monthly NDVI data [37].
DEM Data: The 30 m resolution digital elevation data utilized in this study were sourced from the Geospatial Data Cloud website (https://www.gscloud.cn/, accessed on 1 September 2021), specifically the ASTER GDEM dataset. The data, acquired by specifying longitude and latitude parameters, underwent a series of processing steps including stitching and cropping to obtain the DEM data relevant to the study area. To ensure alignment with officially published watershed control areas, the DEM data within the study area were combined and subjected to hydrological analysis, ultimately delineating the watershed boundaries controlled by the Xinmiao, Wangdaohengta, and Wenjiachuan stations. The derived watershed areas were determined as follows: 1540 km2 for the Xinmiao sub-watershed (XM_SW), 3803 km2 for the Wangdaohengta sub-watershed (WDHT_SW), and 8643 km2 for the KYH_W, with minor discrepancies of 0.82%, −0.93%, and −0.72%, respectively, when compared to the officially recorded watershed areas. Notably, these discrepancies fall within a 1% tolerance range, meeting the requirements of this study (refer to Table 1 for details).
2.2. Research Methods
2.2.1. Mann–Kendall Nonparametric Test
To analyze the trend of various hydro-meteorological time series, such as runoff, sediment discharge, precipitation, annual average temperature, and NDVI in all sub-watersheds of the study area, the Mann–Kendall test was employed. This nonparametric test, recommended by the World Meteorological Organization, is often utilized for trend analysis of hydro-meteorological time series. In order to reduce the autocorrelation within the time series, the test implements the pre-whitening method, known as Trend-Free Pre-Whitening (TFPW) [38].
where and represent the data values of the sequence; n is the length of the sequence; and sgn represents the step function, which takes the value 1 when > , −1 when , and 0 when = . At a given confidence level α, if ), it indicates that the time series data exhibit an upward or downward trend. > 0 represents an upward trend, while < 0 represents a downward trend.
2.2.2. Double Mass Curve Method
The double mass curve method is currently the simplest, most intuitive, and widely used approach for analyzing long-term trends and abrupt changes in hydro-meteorological elements [39]. By separately accumulating the independent and dependent variables, the double mass curve eliminates the interference of extreme values and establishes a more stable correlation relationship, thus enhancing the accuracy and reliability of the results. When the slope between the accumulated values of the two variables changes, the year corresponding to the point where the slope undergoes an abrupt change indicates the time when the accumulated relationship between the two variables experiences an abrupt change.
2.2.3. Cumulative Anomaly Method
The anomaly value represents the deviation of a climatic element from its long-term average value. When the value exceeds the average, it is considered a positive anomaly. Acumulative anomaly, on the other hand, refers to the accumulation of anomaly values over time. The cumulative anomaly method provides an intuitive depiction of the trend of climate change and identifies the occurrence of abrupt changes [40]. Assuming a set of irregular hydrological sequences x1, x2, and a set of n, the cumulative anomaly value at a certain moment t can be defined as follows:
where represents the value of the climatic element at time i, and is the long-term average value of the climatic element. According to the cumulative anomaly values, a cumulative anomaly curve is plotted, and the time corresponding to extreme values is considered as the approximate time of abrupt changes in the meteorological elements.
2.2.4. Mann–Whitney Test
The Mann–Whitney test, proposed by H.B. Mann and D.R. Whitney in 1947 [41], is a non-parametric statistical test. It involves replacing the actual sample values with their ranks. The calculation method is as follows: a sequence x(t) was divided into two sample sequences n1 and n2. The smaller sample number was n1 and the larger sample number was n2; that is, n1 < n2. The rank statistic U can be constructed as follows:
where n is the sample size and W is the sum of the ranks of the values in n1.
U follows the standard normal distribution; if |U| > U0.05/2 = 1.96, then the variation point is obvious, otherwise the variation point is not obvious.
The method of the sliding rank sum test is to test the rank sum of the hydrometeorological data of the time series point by point and find out the time point corresponding to the maximum value of the calculated value of the U statistic among the variation points of |U| > U0.05/2 = 1.96, which is the most likely variation point.
2.2.5. The SCRCQ Method
The SCRCQ method is a method proposed by Wang et al. [20] to quantitatively assess the impact of climate change and human activities on runoff change. After calculating the contribution of precipitation to runoff change, the contribution of other factors can be further analyzed. In this study, the SCRCQ method is employed to quantitatively determine the contributions of factors such as precipitation and temperature to variations in runoff, sediment transport, and other impacts. Linear regression equations are formulated between cumulative annual runoff, cumulative annual sediment transport, cumulative NDVI values, cumulative annual precipitation, cumulative average temperature (y), and years (t), represented by y = St + a0 (where S denotes the slope of the relationship equation and a represents the intercept). The slopes (S) of each equation are computed for distinct time periods.
The pre-mutation period, the “base period”, is set as period a, and the post-mutation period, the “influence period”, is set as period b. Taking the influence of precipitation on runoff as an example, the slopes of the relationship between cumulative runoff and cumulative precipitation and year are, respectively, and in period a and and in period b.
Cumulative runoff and cumulative precipitation in slope stage variation relative to the benchmark rate and , respectively, are defined as:
Usually, precipitation is positively correlated with runoff and sediment transport, while temperature and NDVI are negatively correlated with runoff and sediment transport. Therefore, we define:
where represents the contribution rates of precipitation to runoff changes. Similarly, the contribution rate of other factors to runoff and sediment transport can be calculated.
The calculation method for the contribution rates of climate change to runoff changes, taking into account both water and thermal factors, is as follows:
where represents the contribution rate of average annual temperature to annual runoff.
When considering only the impacts of climate change and human activities on water variability, the contribution rates of human activity to runoff changes, after removing the effect of climate change, is :
Among them, human activities factors include changes in vegetation coverage (NDVI) and other factors. Excluding the impact of vegetation coverage, the contribution rates of other factors to changes in runoff and sediment yield is .
where represents the contribution rate of NDVI to annual runoff.
3. Results
3.1. The Trend Analysis of Watershed-Scale Runoff, Sediment Transport, NDVI, and Meteorological Elements
From 1956 to 2019, the measured annual runoff and sediment transport at Wenjiachuan Station generally showed a downward trend (see Figure 2a), with annual average values of 5.02 billion m3 and 0.72 billion tons, respectively, and an average annual decrease of about 10.4 million m3 and 2.7 million tons. From 1961 to 2019, the measured annual runoff and sediment transport at Wangdaohengta Station showed a general downward trend (see Figure 2b), with annual average values of 166.8 million m3 and 20.6 million tons, respectively, with an average annual decrease of about 3.4 million m3 and 0.5 million tons. From 1966 to 2019, the measured annual runoff and sediment transport of Xinmiao Station generally showed a downward trend (see Figure 2c), with annual average values of 75.9 million m3 and 10.3 million tons, respectively, with an average annual decrease of about 2.7 million m3 and 0.5 million tons.

Figure 2.
Changes in annual runoff and annual sediment load at (a) Wenjiachuang station, (b) Wangdaohengta station, and (c) Xinmiao station.
The Mann–Kendall non-parametric test was utilized to analyze the trends in runoff, sediment yield, precipitation, temperature, and NDVI across various sub-watersheds of KYH_W. The results indicate that all three hydrological observation sites yielded -statistic values for annual runoff and sediment yield below 0 (Table 2), and || > 1.96, thereby passing the Mann–Kendall trend test at α = 0.05. These findings suggest a significant declining trend in runoff and sediment yield at the interannual scale within the three sub-watersheds of the watershed. Notably, the Xinmiao sub-watershed displays the most substantial decrease in annual runoff, boasting a || value of 6.16, while the KYH_W exhibits the greatest decline in annual sediment yield with a || value of 6.47. Conversely, the Wangdaohengta sub-watershed demonstrates relatively smaller decreases in annual runoff and sediment yield, with|| values of 5.1 and 6.43, respectively. Regarding precipitation, mean annual temperature, and maximum NDVI, the -statistic values for all three sub-watersheds surpass 0, indicating an increasing trend at the interannual scale. However, the upward trend in precipitation, and || < 1.96, does not attain statistical significance when subjected to the Mann–Kendall test at α = 0.05. In contrast, both temperature and NDVI values, and|| > 1.96, successfully pass the Mann–Kendall trend test at α = 0.05, signifying a significant upward trend. When comparing the || values, the Xinmiao sub-watershed exhibits the most pronounced upward trend in the NDVI, whereas the Wangdaohengta sub-watershed displays the smallest increase. As for the mean annual temperature, the Xinmiao sub-watershed showcases the most substantial upward trend, whereas the KYH_W exhibits the least significant increase. The Mann–Kendall non-parametric test analysis here is the overall analysis of the whole period. Later, different methods will be used to analyze different trend characteristics in different periods.
Table 2.
Mann–Kendall trend test results of runoff, sediment transport, precipitation, air temperature, and NDVI values.
3.2. Identification of Runoff and Sediment Yield Change Points in Different Sub-Watersheds
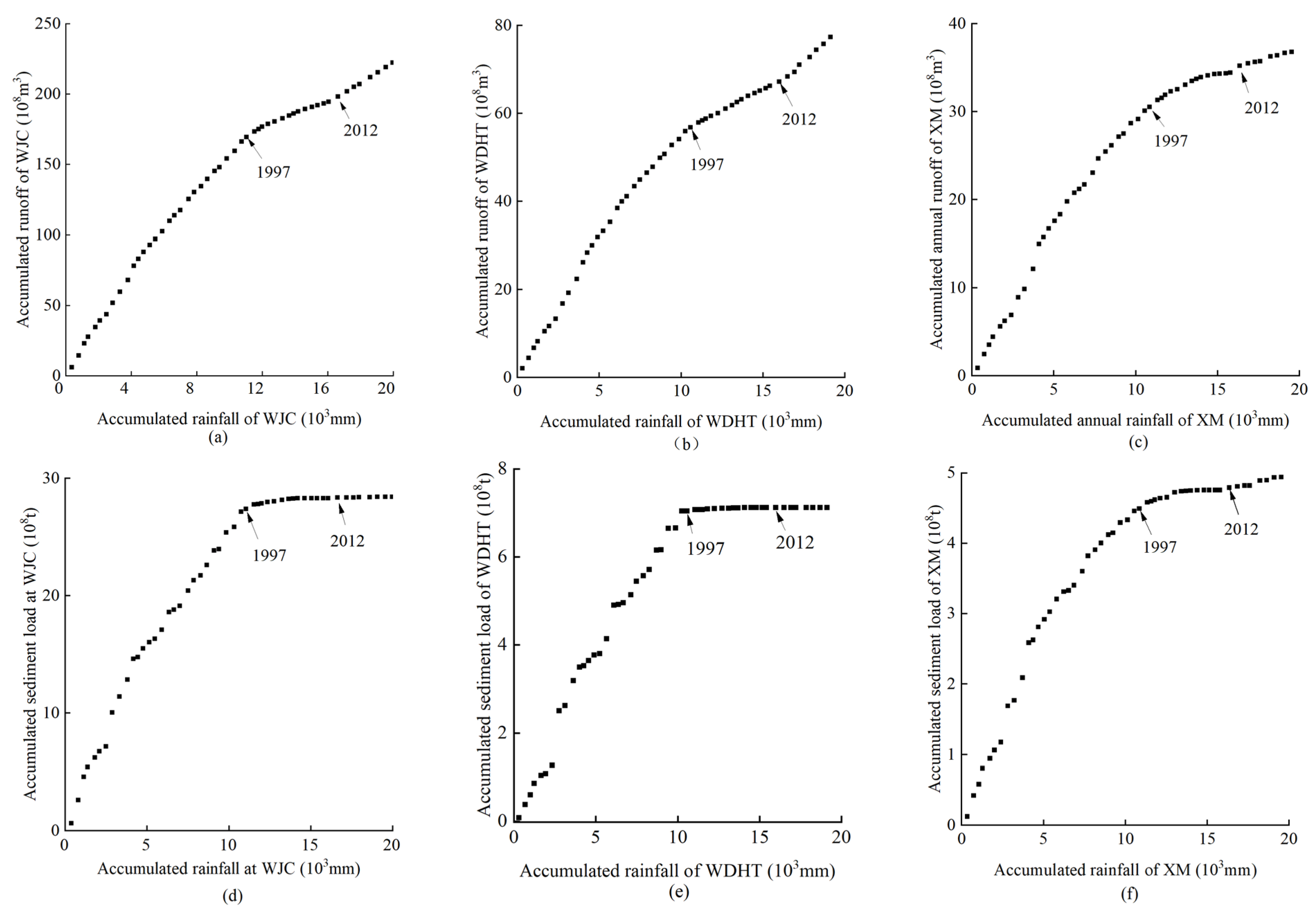
In the absence of an external water supply, precipitation generally serves as the primary source of runoff within a watershed. Changes in water and sediment dynamics are primarily influenced by precipitation, disregarding the impact of underlying surface conditions. Consequently, the slope of the double cumulative curve remains constant. However, alterations in the slope of the double cumulative curve reflect variations in the underlying surface conditions of the studied watershed [41]. By examining the changes in the slope of the double cumulative curve, considering annual precipitation, mean annual temperature, and annual runoff, as shown in Figure 3, we can identify the years when abrupt changes occurred in the annual runoff and sediment yield of the three sub-watersheds. Our analysis reveals a significant change in the slope of the precipitation–runoff relationship double cumulative curve in the three sub-watersheds during 1997. Therefore, it can be inferred that a noticeable alteration in the runoff and associated sediment yield within the three sub-watersheds took place around 1997. Consequently, 1997 marks the year of abrupt change in the hydrological–sedimental relationship within the KYH_W.
Figure 3.
Double cumulative curves of rainfall–runoff and rainfall–sediment. (a–c) The double cumulative curves of annual precipitation and annual runoff for the KYH_W, WDHT_SW, and XM_SW, respectively. (d–f) The double cumulative curves of annual precipitation and annual sediment transport for the KYH_W, WDHT_SW, and XM_SW, respectively.
Furthermore, the double cumulative curves of annual precipitation and annual runoff for the KYH_W and WDHT_SW exhibited a pronounced increase in slope in 2012, with the KYH_W demonstrating the most substantial variation. This points to a significant surge in runoff throughout the entire KYH_W. Notably, in 1998, the nation implemented watershed soil and water conservation measures and launched the Grain for Green project aimed at ecological restoration, with particular emphasis on the Yellow River middle reaches. To further investigate the runoff characteristics and attributions of the KYH_W and the WDHT_SW after 1997, we designate 2012 as a pivotal change point subsequent to 1997, dividing the study area into three periods: A (1969–1997), B (1998–2011), and C (2012–2019). Additionally, considering that the available NDVI data time series spans from 1982 to 2020, we further subdivide period A into two sub-periods, A1 (1969–1997) and A2 (1980–1997), to facilitate the determination of the contribution rates of different influencing factors in distinct periods. However, recognizing that the change point identified by the double cumulative curve method may not consistently reflect the genuine trend of runoff and precipitation in the research watershed, we have employed several verification methods.
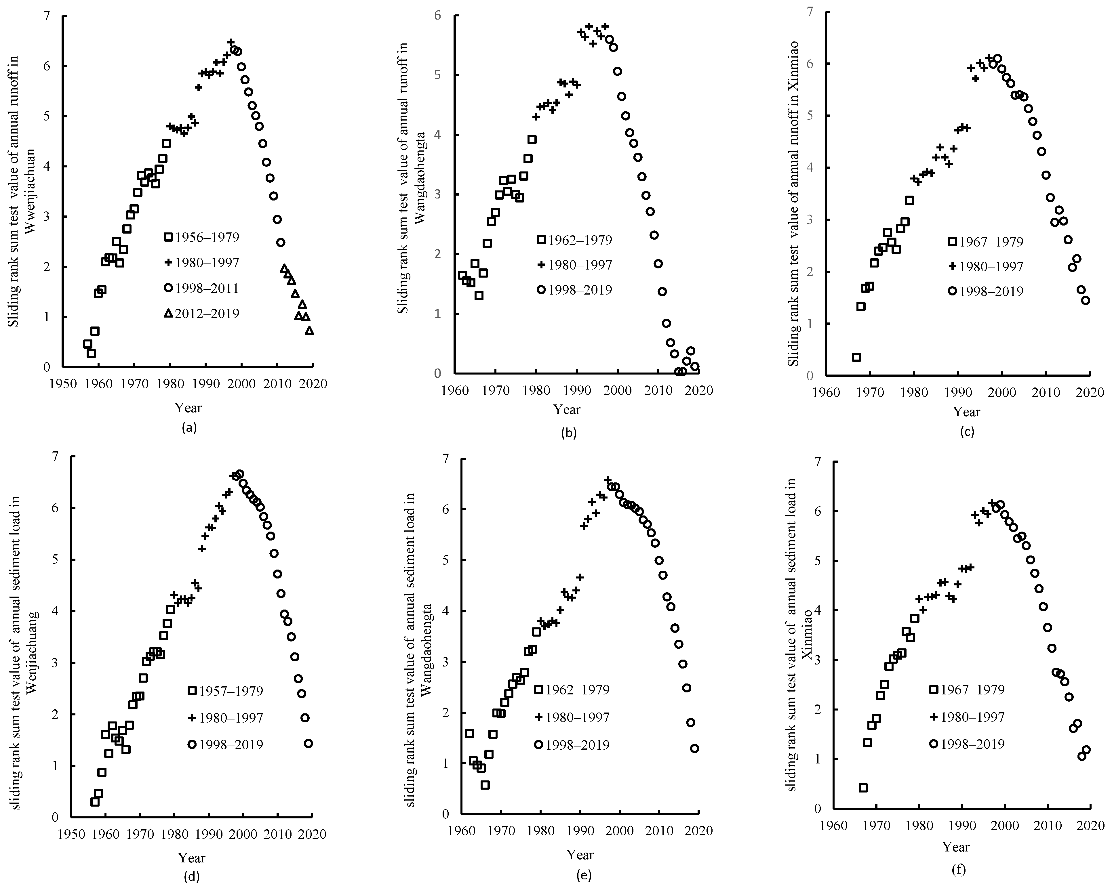
To validate the accuracy of the mutation year and the timing of the period division, we employed the cumulative anomaly method (Figure 4) and the sliding rank sum test (Figure 5) to analyze changes in runoff and sediment transport at three hydrological stations. According to Table 3, the cumulative anomaly test results indicate that the Wenjiachuan hydrological station’s runoff exhibited an increasing trend from 1956 to 1997, followed by a decreasing trend after 1997. The test value |T| = 6.8 > T(0.05/2) = 1.64, suggesting that the mutation of runoff in the KYH_W likely occurred in 1997. Similarly, the sliding rank sum test results reveal that the mutation year for runoff in the KYH_W was 1997, with a test value |U| = 6.32 > U(0.05/2) = 1.96, indicating a significant change. Both methods consistently detected mutation results for runoff and sediment transport in the watershed, leading to the conclusion that the mutation year for the KYH_W was indeed 1997.

Figure 4.
Cumulative anomaly analysis chart of runoff and sediment load. (a–c) The cumulative anomaly analysis of annual runoff for KYH_W, WDHT_SW, and XM_SW, respectively. (d–f) The cumulative anomaly analysis of annual sediment transport for KYH_W, WDHT_SW, and XM_SW, respectively.
Figure 5.
Sliding rank sum test plot of runoff and sediment load. (a–c) The sliding rank-sum test plots for annual runoff in KYH_W, WDHT_SW, and XM_SW, respectively. (d–f) The sliding rank-sum test plots for annual sediment transport in KYH_W, WDHT_SW, and XM_SW, respectively.
Table 3.
Analysis of water–sediment mutation points.
Regarding the Wangdaohengtazhi sub-watershed (WDHT_SW), the cumulative anomaly test results indicate that the mutation time for annual runoff may have occurred in 1986, followed by a continuous significant decrease since 1997. The sliding rank sum test results also suggest that the mutation year for annual runoff in the WDHT_SW was 1997, with a test value |U| = 5.81 > U(0.05/2) = 1.96, indicating a significant change. Both the cumulative anomaly and sliding rank sum test results for annual sediment transport align with a mutation year of 1997 in the WDHT_SW.
For the Xinmiao sub-watershed (XM_SW), both the cumulative anomaly test and sliding rank sum test results indicate that the mutation year for annual runoff and sediment transport may have occurred in 1997. The cumulative anomaly test results show that annual runoff in the XM_SW displayed an increasing trend from 1966 to 1991, followed by a decreasing trend after 1992. The test value |T| = 5.73 > T(0.05/2) = 1.64, suggesting that the mutation of annual runoff in the XM_SW likely occurred in 1991. The sliding rank sum test results indicate that the mutation year for runoff and sediment transport in the XM_SW was 1997, with a test value |U| = 6.13 > U(0.05/2) = 1.96, indicating a significant change.
The comprehensive testing results validate 1997 as the mutation year. In that year, mutations in the water–sediment relationship occurred in the KYH_W and the other two sub-watersheds.
3.3. Quantitative Analysis of the Effects of Climate Change and Human Activities on Runoff and Sediment Transport
The results of the slope calculations for the cumulative sequence at various stages (illustrated in Figure 6, Figure 7 and Figure 8) and their corresponding rates of change have been detailed in Table 4, Table 5 and Table 6, derived from Equations (5) and (6). Typically, a positive rate of change in the slope of the cumulative quantity of a variable signifies an upward trend during that particular stage, whereas a negative rate of change indicates a downward trend. From Table 4 and Table 5, a decreasing trend is observed in the annual runoff and precipitation in the KYH_W (monitored by the Wenjiachuan station) and the WDHT_SW during period B, followed by an increasing trend in period C. Concurrently, both sub-watersheds display a continual rise in the annual average temperature and maximum NDVI values over time. Analysis of Table 6 reveals a decreasing trend in the annual runoff and precipitation in the XM_SW during period B, transitioning to an increasing trend in period C. However, given that the rate of change in runoff during period C was a mere −2%, suggesting minimal fluctuation, no further assessment was conducted on its influencing factors. Furthermore, the annual average temperature and maximum monthly NDVI in this sub-watershed demonstrate an ongoing upward trajectory, while the annual sediment yield exhibits a declining trend in period B and remains relatively stable in period C.
Figure 6.
(a–e) The cumulative curves of annual runoff, annual sediment transport, annual rainfall, annual average temperature, and NDVI in the watershed controlled by Wenjiachuan Station.
Figure 7.
(a–e) The cumulative curves of annual runoff, annual sediment transport, annual rainfall, annual average temperature, and NDVI in the watershed controlled by WDHT_SW.
Figure 8.
(a–e) The cumulative curves of annual runoff, annual sediment transport, annual rainfall, annual average temperature, and NDVI in the watershed controlled by Xinmiao Station.
Table 4.
Accumulated runoff, sediment load, precipitation, air temperature, and NDVI slope change rate in each variation period of the Wenjiachuan station control watershed.
Table 5.
Accumulated runoff, sediment load, precipitation, air temperature, and NDVI slope change rate in each variation period of WDHT_SW.
Table 6.
Accumulated runoff, sediment load, precipitation, air temperature, and NDVI slope change rate in each variation period of XM_SW.
As per Table 7, with the A1 period as the baseline, the reduction in annual runoff in the KYH_W (monitored by Wenjiachuan Station) during period B is attributed to climate change and human activities at contribution rates of 33.79% and 66.21%, respectively. Similarly, the decline in annual sediment transport is attributed to climate change and human activities at contribution rates of 25.42% and 74.58%, respectively. With the A2 period as the reference, the reduction in annual runoff in the watershed during period B is attributed to climate change and human activities at contribution rates of 33.06% and 63.94%, respectively. The decrease in annual sediment transport is attributed to climate change and human activities at contribution rates of 26.11% and 73.89%, respectively. Furthermore, with period B as the reference, the increase in annual runoff in the watershed during period C is attributed to climate change and human activities at contribution rates of 28.86% and 71.14%, respectively.
Table 7.
Contribution rate of climate change and human activities to changes in runoff and sediment load at Wenjiachuan station.
Moreover, based on Table 8, taking the A1 period as the baseline, the decline in runoff in the WDHT_SW is attributed to climate change and human activities at contribution rates of 33.79% and 66.21%, respectively. Additionally, the decrease in sediment transport is attributed to climate change and human activities at contribution rates of 22.77% and 77.23%, respectively. Compared to the A2 period, the contribution rates of climate change and human activities to the reduction in annual runoff in the sub-watershed during period B are 36.02% and 63.98%, respectively. Moreover, the decrease in annual sediment transport is attributed to climate change and human activities at contribution rates of 25.17% and 74.83%, respectively. Finally, with period B as the reference, the increase in annual runoff in the sub-watershed during period C is attributed to climate change and human activities at contribution rates of 18.79% and 81.21%, respectively.
Table 8.
Contribution rate of climate change and human activities to changes in runoff and sediment load at Wangdaohengta station.
Based on Table 9, the contribution rates to the decrease in annual runoff in the XM_SW can be determined by using the A1 period as the reference. Climate change and human activities account for 34.22% and 65.78% of the decrease, respectively. Similarly, for the sub-watershed, the contribution rates to the decrease in annual sediment transport are 28.68% and 71.32% for climate change and human activities, respectively. Furthermore, when considering the A2 period as the reference, the contribution rates of climate change and human activities to the decrease in annual runoff in the sub-watershed during the B period are 35.44% and 64.56%, respectively. The contribution rates to the decrease in annual sediment transport are 29.91% and 70.09%, respectively.
Table 9.
Contribution rate of climate change and human activities to changes in runoff and sediment load at XM_SW.
From Table 7, Table 8 and Table 9, notable observations can be made regarding the A2–B period and its impact on the KYH_W (controlled by Wenjiachuan station). The contribution rates of annual precipitation, annual average temperature, maximum annual monthly NDVI, and human activity factors to the changes in annual runoff are 12.39%, 23.67%, 38.97%, and 24.96%, respectively. Similarly, for the changes in annual sediment transport, the contribution rates are 8.97%, 17.14%, 25.46%, and 48.42%, respectively. Moving on to the B–C period, these factors contribute 29.83%, −0.97%, −17.78%, and 88.92%, respectively, to the changes in annual runoff in the KYH_W (controlled by Wenjiachuan station). Additionally, during the A2–B period, the contributions of the mentioned factors to the annual runoff variation in the WDHT_SW are 11.17%, 24.85%, 41.62%, and 22.36%, respectively. Their contributions to the annual sediment discharge variation are 4%, 21.17%, 24.09%, and 50.73%, respectively. In the B–C period, their contributions to the annual runoff variation in the WDHT_SW are 23.06%, −4.27%, −11.38%, and 92.59%, respectively. Furthermore, during the A2–B period, their contributions to the annual runoff variation in the XM_SW are 11.7%, 23.74%, 34.79%, and 29.77%, respectively. Their contributions to the annual sediment discharge variation are 9.54%, 20.37%, 28.67%, and 41.43%, respectively. These results highlight the varying degrees of influence that climate change and human activity have on runoff and sediment transport within different sub-watersheds. This indicates the significant impact of factors such as precipitation, temperature, and vegetation NDVI on the water–sediment relationship in the watershed.
4. Discussion
4.1. Change Points in the Interannual Variations of Watershed Runoff and Sediment Transport
Accurately identifying the change points of streamflow and sediment transport variations is crucial for understanding the time-varying characteristics of the streamflow–sediment relationship. In the KYH_W or its sub-watersheds, several studies have been conducted by scholars using various methodologies. For instance, cluster analysis was employed by Wang et al. [21] to determine that the change years for streamflow in the KYH_W were 1980 and 1998. Similarly, Guo et al. [23] identified the change years for streamflow in the same basin as 1979 and 1998 using a water balance model. Luan et al. [24] utilized cumulative anomaly analysis, ordered clustering, and Pettitt’s test to pinpoint the change years for streamflow in the Kuye River as 1979 and 1997. Li et al. [27] applied the Mann–Kendall non-parametric test, change point test, and other statistical methods to establish that both annual streamflow and sediment transport in the KYH_W underwent a change in 1996, with a significant alteration in their stream–sediment relationship since 2012. Bao et al. [25] discovered that 1980 and 1999 were two change points for the relationship between streamflow, sediment, and climate factors in the KYH_W. He et al. [33] employed the Mann–Kendall non-parametric test to discern a change point in streamflow depth in the KYH_W and its upstream sub-basin, Beiniuchuan River, in 1996. The Wulanmuren River basin, also a sub-basin within the KYH_W, experienced a change point in streamflow depth in 1992. Liu et al. [32] used the double cumulative curve method to identify the initial change year for streamflow and sediment transport in the KYH_W as 1979 and segmented the periods post-1980 into four intervals: 1950–1979, 1980–1996, 1997–2011, and 2012–2019, which were analyzed based on coal mining and vegetation cover data. Furthermore, Huang et al. [34] utilized Pettitt’s test to examine the change in streamflow in the KYH_W and pinpointed 1997 as the change year. Most studies on detecting change years in streamflow in the KYH_W exhibit significant consistency in the range of change points, predominantly falling between 1979 and 1980 and 1996 and 1999, with the stream–sediment relationship showing synchronicity with climate factors. Additionally, the change years for streamflow in sub-watersheds within the KYH_W slightly precede those in the main basin. Through the analysis and integration of multiple approaches, our study determined that the change points for annual streamflow and sediment transport in the KYH_W (controlled by the Wenjiachuan station) and two other relatively less studied sub-watersheds occurred in 1997. Compared with period B (1998–2011), the slope change rates of runoff in the KYH_W (controlled by the Wenjiachuan station) and the sub-basin controlled by the Wangdaohengta hydrological station after 2012 were as high as 109% and 119%, respectively, aligning with previous research findings [27,32].
4.2. Attribution of the Changes in Basin Runoff and Sediment Transport
4.2.1. Attribution of the Changes in Basin Runoff
The mechanism of water and sediment processes, influenced by a range of natural and human factors, has become a prominent topic in hydro-ecology research. The KYH_W basin, situated within two provincial-level administrative regions, stands out as an area heavily impacted by human activities due to its abundant coal resources. Moreover, it is characterized by an extremely fragile ecological environment, situated in the transition zone between the Loess Plateau and the Mu Us Desert. Here, vegetation restoration and hydrological and ecological processes are highly sensitive to climate change. Previous scholarly work [21,23,27] has conducted attribution analyses of runoff changes in the KYH_W basin, attributing significant proportions to human activities. Specifically, research indicates that human activities contribute 68% [21], 56.50% [23], and 81.47% [27] to runoff changes, respectively, showcasing their predominant role. Additionally, this study reveals that, over a longer temporal scale, watershed runoff changes are most responsive to human activities, driven primarily by changes in land use and vegetation cover.
Overall, there is limited research on the attribution of runoff changes in the KYH_W basin and its two sub-basins. Luan et al. [24] investigated the impact of coal mining from 1998 to 2017, revealing a 29.35% decrease in surface runoff in the Wangdao Hengtazi sub-basin, a 55.41% decrease in the Shenmuxi sub-basin, and an overall reduction of 49.44% in the entire KYH_W basin. The findings of this study indicate that human activities were responsible for 66.21%, 66.21%, and 65.78% of the changes in runoff, and 74.58%, 77.23%, and 71.32% of the changes in sediment yield in the KYH_W, WDHT_SW, and XM_SW sub-basins, respectively. It should be noted that the relatively smaller contribution rates of human activities, compared to other studies, may be attributed to the oversight of temperature’s impact on runoff reduction, which should not be disregarded [42]. Research conducted in the middle reaches of the Yellow River has demonstrated that higher temperatures result in decreased basin runoff [43]. Huang et al. [34] also found that temperature changes can alter watershed surface parameters, influencing runoff in addition to precipitation and potential evapotranspiration. Factors other than the Normalized Difference Vegetation Index (NDVI) contributed 24.96%, 22.36%, and 29.77% to runoff reduction in the KYH_W, WDHT_SW, and XM_SW, respectively, and 48.42%, 50.73%, and 41.43% to sediment yield reduction in the same sub-basins. The results for the WDHT_SW align closely with the findings of Luan et al. [24], while the results for the KYH_W (controlled by the Wenjiachuan station) are slightly smaller.
Regarding influencing factors, Liu et al. [32] determined that precipitation played a vital role in the water in the Kuye River between 1980 and 2011, accounting for 25.3% of the decrease during the period from 1997 to 2011. However, since 2012, rainfall and intensity have been above average, and the precipitation has resulted in increased water levels. Due to large-scale coal development activities, the slow overflow of mine-sealed water is one of the main reasons for the increase in watershed runoff after 2012. The enhancement of vegetation conditions led to a decrease in the water production capacity of the underlying surface by approximately 37% and 58% between 1997 and 2011 and between 2012 and 2019, respectively. The findings of this study revealed that during the B–C period, the annual runoff of the basin exhibited an increasing trend rather than a decreasing one. Additionally, the contribution of temperature to the runoff change was negative, indicating an inhibitory effect, which correlated with the rise in temperature [43]. Conversely, the contribution rate of a significant increase in precipitation to the runoff was about 30%. Simultaneously, human activities emerged as the dominant factor, contributing approximately 70%, consistent with previous studies [27,32]. As the annual data of each indicator could not be collected completely, this study only calculated the contribution rate of the NDVI and other human activities to the compound influence of runoff change with a relatively complete data series, with factors other than land use changes causing changes in runoff approximately four times greater than those attributed to converting farmland back to forests and grasslands (NDVI). It is noteworthy that, based on more targeted studies conducted by some scholars, runoff in the KYH_W basin has exhibited an increasing trend over the past decade. This trend is primarily attributed to the overflow of underground mine-sealed water resulting from coal mining activities, a phenomenon corroborated by relevant research [27,32]. However, acquiring data on the impact of coal mining activities on groundwater disturbance in such a vast area poses challenges, and the analysis required is highly specialized. It is hoped that governments and researchers in related fields will pay particular attention to this aspect and its potential ramifications.
4.2.2. Attribution of the Changes in Basin Sediment Transport
Compared with runoff variation, previous studies on sediment transport attribution in the KYH_W basin are less. In a comprehensive study considering both climate change and human activities, Li et al. [27] found that the contribution rates of the two factors to the reduction in annual sediment transport were 3.59% and 96.41%, respectively. Liu et al. [32] determined that precipitation played a vital role in sediment deficits in the Kuye River between 1980 and 2011, accounting for 51.2% of the decrease during the period from 1997 to 2011. However, since 2012, rainfall and intensity have been above average, resulting in increased sediment levels. Vegetation improvement contributed 66.7% and 89.1% to sediment load reduction on the underlying surface between 1997 and 2011 and between 2012 and 2019, respectively. The findings of this study reveal that human activities accounted for 74.58%, 77.23%, and 71.32% of the changes in sediment yield in the KYH_W, WDHT_SW, and XM_SW sub-basins, respectively, indicating that vegetation restoration projects play an important role in land cover change [27]. Factors other than the Normalized Difference Vegetation Index (NDVI) contributed 48.42%, 50.73%, and 41.43% to sediment yield reduction in the KYH_W, WDHT_SW, and XM_SW, respectively. After 2012, there was no notable variation in sediment transport quantity across the three hydrographic stations, indicating a relatively stable influence of climate change and human activities on sediment transport quantity during this period, thus effectively managing soil erosion.
Since the 1980s, various soil and water conservation measures aimed at mitigating sedimentation have been implemented in the hilly and gully areas of the lower reaches of the KYH_W basin, including the construction of silting dams and terraces. However, compared to other regions within the Yellow River Basin, the overall number and scale of these measures remain relatively modest. Recognizing the ecological security concerns, the Chinese government initiated the Grain for Green project in 1999 across the Loess Plateau region, including the study area, with the objective of addressing soil erosion and restoring the ecological balance. Consequently, ecological restoration, serving as an active intervention in human activities, has significantly altered the vegetation status and landscape ecology within this region. Therefore, this study aims to examine the integrated effects of climate, vegetation, and land cover changes on catchment-scale runoff and sediment processes. Additionally, certain soil and water conservation engineering measures, such as silting dams and terraces, have also demonstrated a positive impact. While there have been numerous studies on this aspect, primarily focusing on small watershed scales [27], in this study, these measures were predominantly distributed in small basins within the hilly and gully areas of the lower reaches of the basin, characterized by stony mountains and shallow loess layers. In comparison to vegetation restoration activities, the number and scale of these measures were relatively limited in this study area, garnering minimal attention from scholars. Furthermore, there is a paucity of research examining the effects of coal mining activities on sediment deposition and transport. Given that coal mining represents a highly dynamic interference activity [27], experimental observation becomes challenging, highlighting the need for future hydrogeomorphology and environmental protection researchers to intensify monitoring and exploration efforts in this field.
4.3. The Difference in Contribution Rate under Different Scales and Periods
After conducting a comparative analysis between the impacts of climate change and human activities on runoff and sediment transport in the KYH_W, WDHT_SW, and XM_SW basins, it was observed that human activities exert a dominant influence on water and sediment reduction across all three basins. The contribution rates of human activities to changes in annual runoff and sediment yield during the A1–B period (with the base period from 1969 to 1997 and the study period from 1998 to 2011) were significantly higher compared to the A2–B period (with the base period from 1980 to 1997 and the study period from 1998 to 2011), suggesting a stronger impact of human activities in the latter period. In the A1–B period, the contribution rates of human activities to runoff reduction in each sub-watershed were relatively similar, with WDHT_SW and KYH_W both at 66.21%, slightly higher than XM_SW at 65.78%, displaying a marginal difference of less than 1%. Similarly, the contribution rates of human activities to sediment transport reduction followed a similar pattern, with WDHT_SW at 77.23%, KYH_W at 74.58%, and XM_SW at 71.32%. This indicates that human activities have a more pronounced effect on sediment transport compared to changes in runoff, particularly in the upstream WDHT_SW region. During the A2–B period, the contribution rates of human activities to runoff reduction in each sub-basin controlled by hydrological stations were ranked as follows: XM_SW (64.56%), WDHT_SW (63.98%), and KYH_W (63.94%). This demonstrates minimal discrepancies between them. Similarly, the contribution rates of human activities to sediment transport reduction in each sub-basin controlled by hydrological stations followed a consistent ranking: WDHT_SW (74.83%), KYH_W (73.89%), and XM_SW (70.09%). This aligns with the rankings observed during the A1–B period regarding the impact of human activities on sediment transport.
Table 4, Table 5 and Table 6 indicate that the contribution rates of the NDVI (Normalized Difference Vegetation Index) to runoff and sediment transport during the A1–B period are lower than those during the A2–B period. This can be attributed to the ecological engineering project of converting farmland back to forest and grassland, which was initiated in the region after 1997. The land use and land cover changes during this period significantly transformed the underlying surface environment of the basin, which is a crucial factor in reducing runoff and sediment. This finding is consistent with the research conducted in the nearby Huangfuchuan area [44]. Considering the high consistency between the time series of the NDVI (1982–2019) and the A2 period (1980–2019), the impact of the NDVI on runoff in the three scales of the study area can be compared and analyzed during the A2–B period. It is observed that during this period, the contribution rate of the NDVI factor to runoff reduction is the highest among all influencing factors in the three sub-watersheds, playing a dominant role. The ranking of contribution rates is as follows: WDHT_SW (41.61%) > KYH_W (38.97%) > XM_SW (34.79%), with WDHT_SW being 6.82% higher than XM_SW. Similarly, the ranking of contribution rates for sediment reduction is as follows: XM_SW (28.67%) > KYH_W (25.46%) > WDHT_SW (24.09%), with no significant difference between them. However, based on the contribution ranking of the NDVI to runoff and sediment, it can be concluded that there are notable differences in the impact of vegetation factors among sub-watersheds of different areas and locations. When combined with the results of change point detection, it can also be inferred that at different basin scales, there are certain scale effects in the water–sediment relationship and response characteristics under the influence of factors such as climate, vegetation restoration, and land use change. These findings highlight the importance of considering scale effects in future research on water–sediment relationships and response patterns.
Based on the baseline period of B (1998–2011), it can be observed that during the subsequent period of C (2012–2019) (also referred to as the B–C period), both KYH_W (controlled by Wenjiachuan station) and WDHT_SW experienced a significant increase in runoff, with human activities being the dominant influencing factors. The contribution rate rankings of various influencing factors were as follows: other human activities > annual precipitation > maximum annual NDVI > average annual temperature. These results indicate that in addition to the NDVI, other human activities played a crucial role in the observed changes in runoff during this period. Table 3 and Table 5 demonstrate that precipitation significantly increased after 2012. Combining the contribution analysis results, it can be inferred that the increase in precipitation is another vital factor leading to the observed rebound of basin runoff. According to previous studies [35], the slow overflow of sealed mine water has contributed to the increased inflow of the Kuheye River into the Yellow River since 2012. Additionally, after the mine water is raised into the well, the unused water is discharged into the river, which may also be an essential contributor to the recent increase in runoff in the region [32].
5. Conclusions
This research analyzes the runoff and sediment evolution patterns in three distinct sub-watersheds within the KYH_W over a longer time scale, employing the SCRCQ method and quantitatively attributing their influencing factors. The principal findings obtained from the research are as follows: Firstly, over the long time scale from 1969 to 2019, both the annual runoff and sediment yield in the KYH_W (controlled by the Wenjiachuan station) exhibited a significant downward trend, with the year 1997 marking a noticeable turning point. Simultaneously, the annual precipitation, average temperature, and maximum NDVI across the entire basin displayed an upward trend on an interannual scale. Secondly, human activity factors played a dominant role in diminishing water and sediment in the three sub-watersheds of the KYH_W throughout the entire study period. Thirdly, the contribution rate of this influence varied among different sub-watersheds and at different times. Specifically, during the A2–B period when the “farmland-to-forest” project was extensively implemented, the NDVI factor notably predominated in reducing runoff in the three sub-watersheds. However, after 2012, other human activity factors assumed a dominant role in the alteration of runoff, which may be linked to seepage from sealed mine water and the discharge of unused upwelling water from mines.
In summary, the SCRCQ method is one of the effective new approaches for examining the relationship between precipitation, temperature, and runoff. Through this method, it was discovered that climate change and human activity have significantly impacted the water–sediment evolution in the KYH_W in the middle reaches of the Yellow River. This impact exhibits certain scale characteristics in terms of time and space scope, necessitating special attention and further exploration of the driving mechanisms behind these differences.
Author Contributions
J.Z., J.W. and J.S. proposed the idea and designed the framework of this paper; Y.W. and J.W. collected the data; J.Z. and J.W. completed the analyses and summary of the results; J.Z. wrote the paper; N.Z. polished the language and provided some suggestions on the organization of this paper. All authors have read and agreed to the published version of the manuscript.
Funding
This research was funded by three grants. They are the Natural Science Foundation of China, grant number [41871195]; Open Research Fund of State Key Laboratory of Simulation and Regulation of Water Cycle in river basin, China Institute of Water Resources and Hydropower Research, grant number [IWHR-SKL-KF202313]; National Key Research and Development Program, grant number [2022YFC3201705-03].
Data Availability Statement
The data presented in this study are available on request from the corresponding author. The hydrological data are not publicly available due to privacy and confidentiality concerns.
Conflicts of Interest
The authors declare no conflict of interest.
References
- Park, E.; Ho, H.L.; Van Binh, D.; Kantoush, S.; Poh, D.; Alcantara, E.; Try, S.; Lin, Y.N. Impacts of agricultural expansion on floodplain water and sediment budgets in the Mekong River. J. Hydrol. 2022, 605, 127296. [Google Scholar] [CrossRef]
- Fanos, A.M. The impact of human activities on the erosion and accretion of the Nile Delta coast. J. Coast. Res. 1995, 11, 821–833. [Google Scholar]
- Carriquiry, J.D.; Sánchez, A. Sedimentation in the Colorado River delta and Upper Gulf of California after nearly a century of discharge loss. Mar. Geol. 1999, 158, 125–145. [Google Scholar] [CrossRef]
- Yang, S.; Xu, K.; Milliman, J.; Yang, H.; Wu, C. Decline of Yangtze River water and sediment discharge: Impact from natural and anthropogenic changes. Sci. Rep. 2015, 5, 12581. [Google Scholar] [CrossRef] [PubMed]
- Ren, M. Sediment discharge of the Yellow River, China: Past, present and future—A synthesis. Acta Oceanol. Sin. 2015, 34, 1–8. [Google Scholar] [CrossRef]
- Li, H.; Shi, C.; Zhang, Y.; Ning, T.; Sun, P.; Liu, X.; Ma, X.; Liu, W.; Collins, A.L. Using the Budyko hypothesis for detecting and attributing changes in runoff to climate and vegetation change in the soft sandstone area of the middle Yellow River basin, China. Sci. Total Environ. 2020, 703, 135588. [Google Scholar] [CrossRef]
- Fang, H. Water erosion research in China: A review. Hydrol. Earth Syst. Sci. Discuss. 2020, 568, 1–53. [Google Scholar]
- Wang, S.; Fu, B.; Piao, S.; Lü, Y.; Ciais, P.; Feng, X.; Wang, Y. Reduced sediment transport in the Yellow River due to anthropogenic changes. Nat. Geosci. 2016, 9, 38–41. [Google Scholar] [CrossRef]
- Wang, S.; Yan, M.; Yan, Y.; Shi, C.; He, L. Contributions of climate change and human activities to the changes in runoff increment in different sections of the Yellow River. Quat. Int. 2012, 282, 66–77. [Google Scholar] [CrossRef]
- Miao, C.; Ni, J.; Borthwick, A.G.L.; Yang, L. A preliminary estimate of human and natural contributions to the changes in water discharge and sediment load in the Yellow River. Glob. Planet. Change 2011, 76, 196–205. [Google Scholar] [CrossRef]
- Shi, H.; Hu, C.; Wang, Y.; Liu, C.; Li, H. Analyses of trends and causes for variations in runoff and sediment load of the Yellow River. Int. J. Sediment Res. 2017, 32, 171–179. [Google Scholar] [CrossRef]
- Gu, C.; Mu, X.; Gao, P.; Zhao, G.; Sun, W. Changes in runnd runoff in the Yellow River for the last 100 years (1919–2018). Sciresponse to climate change and human activities. Hydrol. Process. 2019, 33, 585–601. [Google Scholar] [CrossRef]
- Liu, Y.; Song, H.; An, Z.; Sun, C.; Trouet, V.; Cai, Q.; Liu, R.; Leavitt, S.W.; Song, Y.; Li, Q.; et al. Recent anthropogenic curtailing of Yellow River runoff and sediment load is unprecedented over the past 500 y. Proc. Natl. Acad. Sci. USA 2020, 117, 18251–18257. [Google Scholar] [CrossRef]
- Wang, H.; Sun, F. Variability of annual sediment load and runoff in the Yellow River for the last 100 years (1919–2018). Sci. Total Environ. 2021, 758, 143715. [Google Scholar] [CrossRef]
- Wang, J.; Shi, B.; Zhao, E.; Yuan, Q.; Chen, X. The long-term spatial and temporal variations of sediment loads and their causes of the Yellow River Basin. Catena 2022, 209, 105850. [Google Scholar] [CrossRef]
- Gao, P.; Mu, X.M.; Wang, F.; Li, R. Changes in streamflow and sediment discharge and the response to human activities in the middle reaches of the Yellow River. Hydrol. Earth Syst. Sci. 2011, 15, 1–10. [Google Scholar] [CrossRef]
- Kong, D.; Miao, C.; Wu, J.; Duan, Q. Impact assessment of climate change and human activities on net runoff in the Yellow River Basin from 1951 to 2012. Ecol. Eng. 2016, 91, 566–573. [Google Scholar] [CrossRef]
- Gao, Z.; Fu, Y.; Li, Y.; Liu, J.; Chen, N.; Zhang, X. Trends of streamflow, sediment load and their dynamic relation for the catchments in the middle reaches of the Yellow River over the past five decades. Hydrol. Earth Syst. Sci. 2012, 16, 3219–3231. [Google Scholar] [CrossRef]
- Yue, X.; Mu, X.; Zhao, G.; Shao, H.; Gao, P. Dynamic changes of sediment load in the middle reaches of the Yellow River basin, China and implications for eco-restoration. Ecol. Eng. 2014, 73, 64–72. [Google Scholar] [CrossRef]
- Wang, S.; Yan, Y.; Yan, M.; Zhao, X.; Lin, J.; Liu, C. Quantitative estimation of the impact of precipitation and human activities on runoff change of the Huangfuchuan River Basin. J. Geogr. Sci. 2012, 22, 906–918. [Google Scholar] [CrossRef]
- Wang, G.; Zhang, J.; Pagano, T.; Lin, J.; Liu, C. Identifying contributions of climate change and human activity to changes in runoff using epoch detection and hydrologic simulation. J. Hydrol. Eng. 2013, 18, 1385–1392. [Google Scholar] [CrossRef]
- Chang, J.; Wang, Y.; Istanbulluoglu, E.; Bai, T.; Huang, Q.; Yang, D.; Huang, S. Impact of climate change and human activities on runoff in the Weihe River Basin, China. Quat. Int. 2015, 380, 169–179. [Google Scholar] [CrossRef]
- Guo, Q.; Yang, Y.; Xiong, X. Using hydrologic simulation to identify contributions of climate change and human activity to runoff changes in the Kuye river basin, China. Environ. Earth Sci. 2016, 75, 417. [Google Scholar] [CrossRef]
- Luan, J.; Zhang, Y.; Tian, J.; Meresa, H.; Liu, D. Coal mining impacts on catchment runoff. J. Hydrol. 2020, 589, 125101. [Google Scholar] [CrossRef]
- Bao, Z.; Zhang, J.; Wang, G.; He, R.; Jin, J.; Wang, J.; Wu, H. Quantitative assessment of the attribution of runoff and sediment changes based on hydrologic model and machine learning: A case study of the Kuye River in the Middle Yellow River basin. Adv. Water Sci. 2021, 32, 485–496. [Google Scholar]
- Lotfirad, M.; Adib, A.; Salehpoor, J.; Ashrafzadeh, A.; Kisi, O. Simulation of the impact of climate change on runoff and drought in an arid and semiarid basin (the Hablehroud, Iran). Appl. Water Sci. 2021, 11, 1–24. [Google Scholar] [CrossRef]
- Li, H.; Shi, C.; Ma, X.; Liu, W. Quantification of the influencing factors of runoff and sediment discharge changes of the Kuye River catchment in the middle reaches of the Yellow River. Resour. Sci. 2020, 42, 499–507. (In Chinese) [Google Scholar] [CrossRef]
- Wang, H.; Lv, X.; Zhang, M. Sensitivity and attribution analysis based on the Budyko hypothesis for streamflow change in the Baiyangdian catchment, China. Ecol. Indic. 2021, 121, 107221. [Google Scholar] [CrossRef]
- Hou, K.; Wang, J.; Wang, X. Characteristic and attribution of runoff variation in the yanhe River Basin, Loess Plateau, based on the Budyko hypothesis. Water 2022, 14, 495. [Google Scholar] [CrossRef]
- Cheng, Q.; Zuo, X.; Zhong, F.; Gao, L.; Xiao, S. Runoff variation characteristics, association with large-scale circulation and dominant causes in the Heihe River Basin, Northwest China. Sci. Total Environ. 2019, 688, 361–379. [Google Scholar] [CrossRef]
- Hu, D.; Xu, M.; Kang, S.; Wu, H. Impacts of climate change and human activities on runoff changes in the Ob River Basin of the Arctic region from 1980 to 2017. Theor. Appl. Climatol. 2022, 148, 1663–1674. [Google Scholar] [CrossRef]
- Liu, X.; Li, H.; Li, X. Analysis on the cause of sharp decrease of runoff and sediment from Kuye River in Loess Plateau. J. Hydraul. Eng. 2022, 53, 296–305. (In Chinese) [Google Scholar]
- He, Y.; Mu, X.; Jiang, X.; Song, J. Runoff variation and influencing factors in the Kuye River basin of the middle Yellow River. Front. Environ. Sci. 2022, 10, 877535. [Google Scholar] [CrossRef]
- Huang, T.; Wang, Z.; Wu, Z.; Xiao, P.; Liu, Y. Attribution analysis of runoff evolution in Kuye River Basin based on the time-varying budyko framework. Front. Earth Sci. 2023, 10, 1092409. [Google Scholar] [CrossRef]
- Guo, Q.; Su, N.; Yang, Y.; Li, J.; Wang, X. Using hydrological simulation to identify contribution of coal mining to runoff change in the Kuye River Basin, China. Water Resour. 2017, 44, 586–594. [Google Scholar] [CrossRef]
- Zhang, J.; Dong, H.; Cheng, Y.; Yue, C.; Liu, K. Compilation of hydrogeological map of China. J. Groundw. Sci. Eng. 2020, 8, 381–395. [Google Scholar]
- Wang, Z. Satellite-Observed Effects from Ozone Pollution and Climate Change on Growing-Season Vegetation Activity over China during 1982–2020. Atmosphere 2021, 12, 1390. [Google Scholar] [CrossRef]
- Yue, S.; Pilon, P.; Phinney, B.; Cavadias, G. The influence of autocorrelation on the ability to detect trend in hydrological series. Hydrol. Process. 2002, 16, 1807–1829. [Google Scholar] [CrossRef]
- Mu, X.; Zhang, X.; Ggao, P.; Wang, F. Theory of double mass curves and its applications in hydrology and meteorology. J. China Hydrol. 2010, 30, 47–51. (In Chinese) [Google Scholar]
- Ran, L.; Wang, S.; Fan, X. Channel change at Toudaoguai Station and its responses to the operation of upstream reservoirs in the upper Yellow River. J. Geogr. Sci. 2010, 20, 231–247. [Google Scholar] [CrossRef]
- Mann, H.B.; Whitney, D.R. On a test of whether one of two random variables is stochastically larger than the other. Ann. Math. Stat. 1947, 18, 50–60. [Google Scholar] [CrossRef]
- Shi, C.; Zhou, Y.; Fan, X.; Shao, W. A study on the annual runoff change and its relationship with water and soil conservation practices and climate change in the middle Yellow River basin. Catena 2013, 100, 31–41. [Google Scholar] [CrossRef]
- Liu, W.; Shi, C.; Zhou, Y. Trends and attribution of runoff changes in the upper and middle reaches of the Yellow River in China. J. Hydro-Environ. Res. 2021, 37, 57–66. [Google Scholar] [CrossRef]
- Huang, X.; Qiu, L. Analysis of runoff variation and driving mechanism in Huangfuchuan River Basin in the middle reaches of the Yellow River, China. Appl. Water Sci. 2022, 12, 234. [Google Scholar] [CrossRef]
Disclaimer/Publisher’s Note: The statements, opinions and data contained in all publications are solely those of the individual author(s) and contributor(s) and not of MDPI and/or the editor(s). MDPI and/or the editor(s) disclaim responsibility for any injury to people or property resulting from any ideas, methods, instructions or products referred to in the content. |
© 2024 by the authors. Licensee MDPI, Basel, Switzerland. This article is an open access article distributed under the terms and conditions of the Creative Commons Attribution (CC BY) license (https://creativecommons.org/licenses/by/4.0/).









