Extension of a Monolayer Energy-Budget Degree-Day Model to a Multilayer One
Abstract
1. Introduction
2. Materials and Methods
2.1. Core Equations of the Monolayer Snow Model
2.2. Extension of the Monolayer Snow Model
2.2.1. A Multilayered Structure
2.2.2. Snow as a Medium of Ice and Air
2.2.3. Freezing Rain
2.2.4. Compression
2.2.5. Maximum Water Retention Capacity
2.3. Framework for Evaluating Different Versions of the Snow Model
2.4. Case Study
3. Results
3.1. Sensitivity Analyses
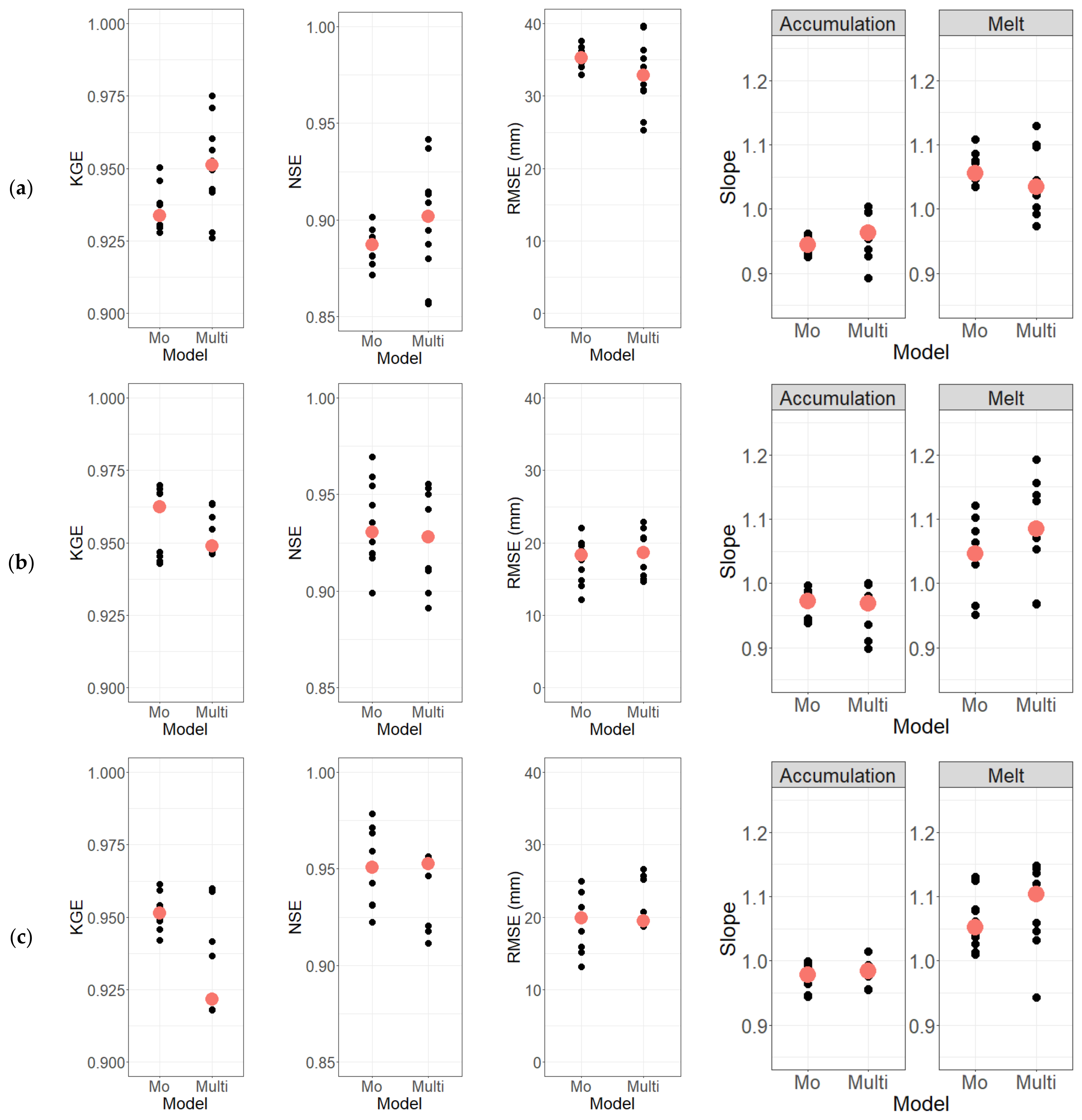
3.2. Modeling Performances—Validations
3.3. Modeling Performances—All Calibrations
3.4. Modeling Snowpack Characteristics
4. Discussion
5. Conclusions
Author Contributions
Funding
Data Availability Statement
Acknowledgments
Conflicts of Interest
Appendix A. Snow Model Characteristics
| Model | Design | Input Data | Considered Phenomena | Structure/Time Step | Reference |
|---|---|---|---|---|---|
| CEMANEIGE | Conceptual |
|
| Monolayer/ day | [74] |
| HBV | Physics-based Degree-day |
|
| Monolayer/ day | [75,76,77] |
| SWAT | Physics-based Degree-day |
|
| Monolayer/ day | [78,79] |
| HYDROTEL | Physics-based Degree-day |
|
| Monolayer/ day | [28] |
| VIC | Physics-based Complex |
|
| Bilayer/ hourly to daily | [80] |
| CROCUS | Physics- based complex |
|
| Multilayer/ hour | [81,82] |
| MASiN | Physics-based Complex |
|
| Multilayer/ hour | [42] |
| SnowPack | Physics-based Complex |
|
| Multilayer/ 10 min to day | [83,84] |
| SNOWPACK | Physics-based Complex |
|
| Multilayer/ hour | [31,85,86] |
Appendix B. Energy Balance Terms of the HYDROTEL Monolayer Snow Model
Appendix C. Radiation Index Equations of the Monolayer Snow Model
Appendix D. Albedo Equations of the Monolayer Snow Model
Appendix E. Relationships between the Densities of Snow, Ice, and Air
Appendix F. Results





References
- Adhikari, A.; Liu, C.; Kulie, M.S. Global Distribution of Snow Precipitation Features and Their Properties from 3 Years of GPM Observations. J. Clim. 2018, 31, 3731–3754. [Google Scholar] [CrossRef]
- Mukhopadhyay, B.; Khan, A. A Reevaluation of the Snowmelt and Glacial Melt in River Flows within Upper Indus Basin and Its Significance in a Changing Climate. J. Hydrol. 2015, 527, 119–132. [Google Scholar] [CrossRef]
- Jenicek, M.; Ledvinka, O. Importance of Snowmelt Contribution to Seasonal Runoff and Summer Low Flows in Czechia. Hydrol. Earth Syst. Sci. 2020, 24, 3475–3491. [Google Scholar] [CrossRef]
- Jasechko, S.; Wassenaar, L.I.; Mayer, B. Isotopic Evidence for Widespread Cold-season-biased Groundwater Recharge and Young Streamflow across Central Canada. Hydrol. Process. 2017, 31, 2196–2209. [Google Scholar] [CrossRef]
- Mernild, S.H.; Liston, G.E.; Hiemstra, C.A.; Malmros, J.K.; Yde, J.C.; McPhee, J. The Andes Cordillera. Part I: Snow Distribution, Properties, and Trends (1979–2014). Int. J. Climatol. 2017, 37, 1680–1698. [Google Scholar] [CrossRef]
- Nouri, M.; Homaee, M. Spatiotemporal Changes of Snow Metrics in Mountainous Data-Scarce Areas Using Reanalyses. J. Hydrol. 2021, 603, 126858. [Google Scholar] [CrossRef]
- Dirmhirn, I.; Eaton, F.D. Some Characteristics of the Albedo of Snow. J. Appl. Meteorol. Climatol. 1975, 14, 375–379. [Google Scholar] [CrossRef]
- Calleja, J.F.; Muniz, R.; Fernandez, S.; Corbea-Perez, A.; Peon, J.; Otero, J.; Navarro, F. Snow Albedo Seasonal Decay and Its Relation with Shortwave Radiation, Surface Temperature and Topography Over an Antarctic Ice Cap. IEEE J. Sel. Top. Appl. Earth Obs. Remote Sens. 2021, 14, 2162–2172. [Google Scholar] [CrossRef]
- Fortin, J.-P.; Turcotte, R.; Massicotte, S.; Moussa, R.; Fitzback, J.; Villeneuve, J.-P. Distributed Watershed Model Compatible with Remote Sensing and GIS Data. I: Description of Model. J. Hydrol. Eng. 2001, 6, 91–99. [Google Scholar] [CrossRef]
- Turcotte, R.; Rousseau, A.N.; Fortin, J.-P.; Villeneuve, J.-P. A Process-Oriented, Multiple-Objective Calibration Strategy Accounting for Model Structure. In Water Science and Application; Duan, Q., Gupta, H.V., Sorooshian, S., Rousseau, A.N., Turcotte, R., Eds.; American Geophysical Union: Washington, DC, USA, 2003; Volume 6, pp. 153–163. ISBN 978-0-87590-355-2. [Google Scholar]
- Turcotte, R.; Fortier Filion, T.-C.; Lacombe, P.; Fortin, V.; Roy, A.; Royer, A. Simulation Hydrologique Des Derniers Jours de La Crue de Printemps: Le Problème de La Neige Manquante. Hydrol. Sci. J. 2010, 55, 872–882. [Google Scholar] [CrossRef]
- Turcotte, R.; Lacombe, P.; Dimnik, C.; Villeneuve, J.-P. Prévision Hydrologique Distribuée Pour La Gestion Des Barrages Publics Du Québec. Can. J. Civ. Eng. 2004, 31, 308–320. [Google Scholar] [CrossRef]
- Samuel, J.; Rousseau, A.N.; Abbasnezhadi, K.; Savary, S. Development and Evaluation of a Hydrologic Data-Assimilation Scheme for Short-Range Flow and Inflow Forecasts in a Data-Sparse High-Latitude Region Using a Distributed Model and Ensemble Kalman Filtering. Adv. Water Resour. 2019, 130, 198–220. [Google Scholar] [CrossRef]
- Rousseau, A.N.; Savary, S.; Tremblay, S.; Caillouet, L.; Doumbia, C.; Augas, J.; Foulon, É.; Abbasnezhadi, K. A Distributed Hydrological Modelling System to Support Hydroelectric Production in Northern Environment under Current and Changing Climate Conditions; INRS-ETE: Québec, QC, Canada, 2020. [Google Scholar]
- Abbasnezhadi, K.; Rousseau, A.N.; Foulon, É.; Savary, S. Verification of Regional Deterministic Precipitation Analysis Products Using Snow Data Assimilation for Application in Meteorological Network Assessment in Sparsely Gauged Nordic Basins. J. Hydrometeorol. 2021, 22, 859–876. [Google Scholar] [CrossRef]
- Lachance-Cloutier, S.; Turcotte, R.; Ricard, S. Atlas Hydroclimatique du Québec Méridional: Impact des Changements Climatiques sur les Régimes de Crue, D’étiage et D’hydraulicité à L’horizon 2050; Centre d’expertise hydrique du Québec: Québec, QC, Canada, 2013; 51p, Available online: https://www.researchgate.net/publication/267451351_Atlas_hydroclimatique_du_Quebec_meridional (accessed on 16 April 2022).
- Centre d’expertise hydrique du Québec. Atlas Hydroclimatique du Québec Méridional: Impact des Changements Climatiques sur les Régimes de Crue, D’étiage et D’hydraulicité à L’horizon 2050; Centre d’expertise hydrique du Québec: Québec, QC, Canada, 2015; ISBN 978-2-550-72964-8. [Google Scholar]
- Direction de l’expertise hydrique. Document D’accompagnement de L’atlas Hydroclimatique; Ministère du Développement durable, de l’Environnement et de la Lutte contre les changements climatiques; Direction de l’expertise hydrique: Québec, QC, Canada, 2018; ISBN 978-2-550-82571-5. [Google Scholar]
- Berthot, L.; St-Hilaire, A.; Caissie, D.; El-Jabi, N.; Kirby, J.; Ouellet-Proulx, S. Environmental Flow Assessment in the Context of Climate Change: A Case Study in Southern Quebec (Canada). J. Water Clim. Chang. 2021, 12, 3617–3633. [Google Scholar] [CrossRef]
- Poulin, A.; Brissette, F.; Leconte, R.; Arsenault, R.; Malo, J.-S. Uncertainty of Hydrological Modelling in Climate Change Impact Studies in a Canadian, Snow-Dominated River Basin. J. Hydrol. 2011, 409, 626–636. [Google Scholar] [CrossRef]
- Quilbé, R.; Rousseau, A.N.; Moquet, J.-S.; Trinh, N.B.; Dibike, Y.; Gachon, P.; Chaumont, D. Assessing the Effect of Climate Change on River Flow Using General Circulation Models and Hydrological Modelling—Application to the Chaudière River, Québec, Canada. Can. Water Resour. J. 2008, 33, 73–94. [Google Scholar] [CrossRef]
- Blanchette, M.; Rousseau, A.N.; Foulon, É.; Savary, S.; Poulin, M. What Would Have Been the Impacts of Wetlands on Low Flow Support and High Flow Attenuation under Steady State Land Cover Conditions? J. Environ. Manag. 2019, 234, 448–457. [Google Scholar] [CrossRef] [PubMed]
- Rousseau, A.N.; Savary, S.; Bazinet, M.-L. Flood Water Storage Using Active and Passive Approaches—Assessing Flood Control Attributes of Wetlands and Riparian Agricultural Land in the Lake Champlain-Richelieu River Watershed. A Report to the International Lake Champlain—Richelieu River Study Board; INRS—Centre Eau Terre Environnement: Québec, QC, Canada, 2022. [Google Scholar]
- Wu, Y.; Zhang, G.; Rousseau, A.N.; Xu, Y.J. Quantifying Streamflow Regulation Services of Wetlands with an Emphasis on Quickflow and Baseflow Responses in the Upper Nenjiang River Basin, Northeast China. J. Hydrol. 2020, 583, 124565. [Google Scholar] [CrossRef]
- Sui, J.; Koehler, G. Rain-on-Snow Induced Flood Events in Southern Germany. J. Hydrol. 2001, 252, 205–220. [Google Scholar] [CrossRef]
- Paquotte, A.; Baraer, M. Hydrological Behavior of an Ice-layered Snowpack in a Non-mountainous Environment. Hydrol. Process. 2022, 36, e14433. [Google Scholar] [CrossRef]
- Mohammed, A.A.; Pavlovskii, I.; Cey, E.E.; Hayashi, M. Effects of Preferential Flow on Snowmelt Partitioning and Groundwater Recharge in Frozen Soils. Hydrol. Earth Syst. Sci. 2019, 23, 5017–5031. [Google Scholar] [CrossRef]
- Turcotte, R.; Fortin, L.G.; Fortin, V.; Fortin, J.P.; Villeneuve, J.-P. Operational Analysis of the Spatial Distribution and the Temporal Evolution of the Snowpack Water Equivalent in Southern Québec, Canada. Hydrol. Res. 2007, 38, 211–234. [Google Scholar] [CrossRef]
- Saha, S.K.; Sujith, K.; Pokhrel, S.; Chaudhari, H.S.; Hazra, A. Effects of Multilayer Snow Scheme on the Simulation of Snow: Offline Noah and Coupled with NCEPCFSv2. J. Adv. Model. Earth Syst. 2017, 9, 271–290. [Google Scholar] [CrossRef]
- Domine, F.; Barrere, M.; Sarrazin, D. Seasonal Evolution of the Effective Thermal Conductivity of the Snow and the Soil in High Arctic Herb Tundra at Bylot Island, Canada. Cryosphere 2016, 10, 2573–2588. [Google Scholar] [CrossRef]
- Bartelt, P.; Lehning, M. A Physical SNOWPACK Model for the Swiss Avalanche Warning Part I: Numerical Model. Cold Reg. Sci. Technol. 2002, 35, 123–145. [Google Scholar] [CrossRef]
- Zanotti, F.; Endrizzi, S.; Bertoldi, G.; Rigon, R. The GEOTOP Snow Module. Hydrol. Process. 2004, 18, 3667–3679. [Google Scholar] [CrossRef]
- Saloranta, T.M. Simulating Snow Maps for Norway: Description and Statistical Evaluation of the seNorge Snow Model. Cryosphere 2012, 6, 1323–1337. [Google Scholar] [CrossRef]
- Henson, W.; Stewart, R.; Kochtubajda, B. On the Precipitation and Related Features of the 1998 Ice Storm in the Montréal Area. Atmos. Res. 2007, 83, 36–54. [Google Scholar] [CrossRef]
- Quéno, L.; Vionnet, V.; Cabot, F.; Vrécourt, D.; Dombrowski-Etchevers, I. Forecasting and Modelling Ice Layer Formation on the Snowpack Due to Freezing Precipitation in the Pyrenees. Cold Reg. Sci. Technol. 2018, 146, 19–31. [Google Scholar] [CrossRef]
- Koch, F.; Henkel, P.; Appel, F.; Schmid, L.; Bach, H.; Lamm, M.; Prasch, M.; Schweizer, J.; Mauser, W. Retrieval of Snow Water Equivalent, Liquid Water Content, and Snow Height of Dry and Wet Snow by Combining GPS Signal Attenuation and Time Delay. Water Resour. Res. 2019, 55, 4465–4487. [Google Scholar] [CrossRef]
- Evans, S. Dielectric Properties of Ice and Snow–a Review. J. Glaciol. 1965, 5, 773–792. [Google Scholar] [CrossRef]
- Sakazume, S.; Seki, N. Thermal Properties of Ice and Snow at Low Temperature Region. Bull. Jpn. Soc. Mech. Eng. 1978, 44, 2059–2069. [Google Scholar]
- Reid, R.C.; Prausnitz, J.M.; Poling, B.E. The Properties of Gases and Liquids, 4th ed.; McGraw-Hill: New York, NY, USA, 1987; ISBN 978-0-07-051799-8. [Google Scholar]
- Perovich, D.K.; Grenfell, T.C.; Light, B.; Hobbs, P.V. Seasonal Evolution of the Albedo of Multiyear Arctic Sea Ice. J. Geophys. Res. 2002, 107, 8044. [Google Scholar] [CrossRef]
- Hartmann, D.L. Global Physical Climatology; International geophysics; Academic Press: San Diego, CA, USA, 1994; ISBN 978-0-12-328530-0. [Google Scholar]
- Mas, A.; Baraer, M.; Arsenault, R.; Poulin, A.; Préfontaine, J. Targeting High Robustness in Snowpack Modeling for Nordic Hydrological Applications in Limited Data Conditions. J. Hydrol. 2018, 564, 1008–1021. [Google Scholar] [CrossRef]
- Matott, L.S. OSTRICH—An Optimization Software Toolkit for Research Involving Computational Heuristics Documentation and User’s Guide Version 17.12.19. 79; University at Buffalo Center for Computational Research: New York, NY, USA, 2017; p. 79. [Google Scholar]
- Bertsekas, D.P. Constrained Optimization and Lagrange Multiplier Methods; Elsevier: Amsterdam, The Netherlands, 2014. [Google Scholar]
- Skahill, B.E.; Doherty, J. Efficient Accommodation of Local Minima in Watershed Model Calibration. J. Hydrol. 2006, 329, 122–139. [Google Scholar] [CrossRef]
- Tolson, B.A.; Shoemaker, C.A. Dynamically Dimensioned Search Algorithm for Computationally Efficient Watershed Model Calibration. Water Resour. Res. 2007, 43, W01413. [Google Scholar] [CrossRef]
- Duan, Q.; Sorooshian, S.; Gupta, V. Effective and Efficient Global Optimization for Conceptual Rainfall-Runoff Models. Water Resour. Res. 1992, 28, 1015–1031. [Google Scholar] [CrossRef]
- Duan, Q.Y.; Gupta, V.K.; Sorooshian, S. Shuffled Complex Evolution Approach for Effective and Efficient Global Minimization. J. Optim. Theory Appl. 1993, 76, 501–521. [Google Scholar] [CrossRef]
- Gupta, H.V.; Kling, H.; Yilmaz, K.K.; Martinez, G.F. Decomposition of the Mean Squared Error and NSE Performance Criteria: Implications for Improving Hydrological Modelling. J. Hydrol. 2009, 377, 80–91. [Google Scholar] [CrossRef]
- Razavi, S.; Sheikholeslami, R.; Gupta, H.V.; Haghnegahdar, A. VARS-TOOL: A Toolbox for Comprehensive, Efficient, and Robust Sensitivity and Uncertainty Analysis. Environ. Model. Softw. 2019, 112, 95–107. [Google Scholar] [CrossRef]
- Razavi, S.; Gupta, H.V. A New Framework for Comprehensive, Robust, and Efficient Global Sensitivity Analysis: 2. Application. Water Resour. Res. 2016, 52, 440–455. [Google Scholar] [CrossRef]
- Razavi, S.; Gupta, H.V. A New Framework for Comprehensive, Robust, and Efficient Global Sensitivity Analysis: 1. Theory. Water Resour. Res. 2016, 52, 423–439. [Google Scholar] [CrossRef]
- Nash, J.E.; Sutcliffe, J.V. River Flow Forecasting through Conceptual Models Part I—A Discussion of Principles. J. Hydrol. 1970, 10, 282–290. [Google Scholar] [CrossRef]
- Oreiller, M.; Nadeau, D.F.; Minville, M.; Rousseau, A.N. Modelling Snow Water Equivalent and Spring Runoff in a Boreal Watershed, James Bay, Canada. Hydrol. Process. 2014, 28, 5991–6005. [Google Scholar] [CrossRef]
- Samuel, J.; Kavanaugh, J.; Benkert, B.; Samolczyck, M.; Laxton, S.; Evans, R.; Saal, S.; Gonet, J.; Horton, B.; Clague, J.; et al. Evaluating Climate Change Impacts on the Upper Yukon River Basin: Projecting Future Conditions Using Glacier, Climate and Hydrological Models; Northern Climate ExChange, Yukon Research Centre: Whitehorse, YT, Canada, 2016. [Google Scholar]
- Strong, W.L. Ecoclimatic Zonation of Yukon (Canada) and Ecoclinal Variation in Vegetation. Arctic 2013, 66, 52–67. [Google Scholar] [CrossRef]
- Choquette, Y.; Lavigne, P.; Nadeau, M. GMON, a New Sensor for Snow Water Equivalent via Gamma Monitoring. In Proceedings of the Whistler 2008 International Snow Science Workshop, Whistler, BC, Canada, 21–27 September 2008; p. 802. [Google Scholar]
- Campbell Scientific Instruction Manual: GMON3 Snow Water Equivalency Sensor. Available online: https://s.campbellsci.com/documents/es/manuals/gmon3.pdf (accessed on 16 April 2022).
- Campbell Scientific Product Manual: CS275 Snow Water Equivalency Sensor. Available online: https://s.campbellsci.com/documents/us/manuals/cs725.pdf (accessed on 16 April 2022).
- Dahe, Q.; Young, N.W. Characteristics of the Initial Densification of Snow/Firn in Wilkes Land, East Antarctica (Abstract). Ann. Glaciol. 1988, 11, 209. [Google Scholar] [CrossRef][Green Version]
- Nishimura, H.; Maeno, N.; Satow, K. Initial Stage of Densification of Snow in Mizuho Plateau, Antarctica. Mem. Natl. Inst. Polar Res. 1983, 29, 149–158. [Google Scholar]
- Würzer, S.; Jonas, T.; Wever, N.; Lehning, M. Influence of Initial Snowpack Properties on Runoff Formation during Rain-on-Snow Events. J. Hydrometeorol. 2016, 17, 1801–1815. [Google Scholar] [CrossRef]
- Lackner, G.; Domine, F.; Nadeau, D.F.; Parent, A.-C.; Anctil, F.; Lafaysse, M.; Dumont, M. On the Energy Budget of a Low-Arctic Snowpack. Cryosphere 2022, 16, 127–142. [Google Scholar] [CrossRef]
- Keenan, E.; Wever, N.; Dattler, M.; Lenaerts, J.T.M.; Medley, B.; Kuipers Munneke, P.; Reijmer, C. Physics-Based SNOWPACK Model Improves Representation of near-Surface Antarctic Snow and Firn Density. Cryosphere 2021, 15, 1065–1085. [Google Scholar] [CrossRef]
- Cuffey, K.; Paterson, W.S.B. The Physics of Glaciers, 4th ed.; Butterworth-Heinemann/Elsevier: Burlington, MA, USA, 2010; ISBN 978-0-12-369461-4. [Google Scholar]
- Gray, D.M.; Landine, P.G. Albedo Model for Shallow Prairie Snow Covers. Can. J. Earth Sci. 1987, 24, 1760–1768. [Google Scholar] [CrossRef]
- Stroeve, J.C.; Box, J.E.; Haran, T. Evaluation of the MODIS (MOD10A1) Daily Snow Albedo Product over the Greenland Ice Sheet. Remote Sens. Environ. 2006, 105, 155–171. [Google Scholar] [CrossRef]
- Cheng, C.S.; Li, G.; Auld, H. Possible Impacts of Climate Change on Freezing Rain Using Downscaled Future Climate Scenarios: Updated for Eastern Canada. Atmos.-Ocean 2011, 49, 8–21. [Google Scholar] [CrossRef]
- Vickers, H.M.S.; Mooney, P.; Malnes, E.; Lee, H. Comparing Rain-on-Snow Representation across Different Observational Methods and a Regional Climate Model. The Cryosphere Discuss. 2022. Available online: https://tc.copernicus.org/preprints/tc-2022-57/ (accessed on 16 April 2022).
- Hotovy, O.; Jenicek, M. Changes in the Frequency and Extremity of Rain-on-Snow Events in the Warming Climate; EGU General Assembly: Vienna, Austria, 2022. [Google Scholar]
- Bouchard, B.; Nadeau, D.F.; Domine, F. Comparison of Snowpack Structure in Gaps and under the Canopy in a Humid Boreal Forest. Hydrol. Process. 2022, 36, e14681. [Google Scholar] [CrossRef]
- Yang, T.; Li, Q.; Hamdi, R.; Chen, X.; Zou, Q.; Cui, F.; De Maeyer, P.; Li, L. Trends and Spatial Variations of Rain-on-Snow Events over the High Mountain Asia. J. Hydrol. 2022, 614, 128593. [Google Scholar] [CrossRef]
- Hotovy, O.; Nedelcev, O.; Jenicek, M. Changes in Rain-on-Snow Events in Mountain Catchments in the Rain–Snow Transition Zone. Hydrol. Sci. J. 2023, 68, 572–584. [Google Scholar] [CrossRef]
- Valery, A. Modélisation Precipitations—Débit sous Influence Nivale. Elaboration d’un Module Neige et Évaluation sur 380 Bassins Versants. Ph.D. Thesis (Hydrobiologie), Cemagref, Antony, France, AgroParisTech, Paris, France, 2010. [Google Scholar]
- Bergström, S. Development and Application of a Conceptual Runoff Model for Scandinavian Catchments; Reports RHO 7; SMHI: Norrköping, Sweden, 1976; Volume 134. [Google Scholar]
- Girons Lopez, M.; Vis, M.J.P.; Jenicek, M.; Griessinger, N.; Seibert, J. Complexity and Performance of Temperature-Based Snow Routinesfor Runoff Modelling in Mountainous Areas in Central Europe. Hydrol. Earth Syst. Sci. 2020, 24, 4441–4461. [Google Scholar] [CrossRef]
- Lindström, G.; Johansson, B.; Persson, M.; Gardelin, M.; Bergström, S. Development and Test of the Distributed HBV-96 Hydrological Model. J. Hydrol. 1997, 201, 272–288. [Google Scholar] [CrossRef]
- Pradhanang, S.M.; Anandhi, A.; Mukundan, R.; Zion, M.S.; Pierson, D.C.; Schneiderman, E.M.; Matonse, A.; Frei, A. Application of SWAT Model to Assess Snowpack Development and Streamflow in the Cannonsville Watershed, New York, USA. Hydrol. Process. 2011, 25, 3268–3277. [Google Scholar] [CrossRef]
- Tuo, Y.; Marcolini, G.; Disse, M.; Chiogna, G. Calibration of Snow Parameters in SWAT: Comparison of Three Approaches in the Upper Adige River Basin (Italy). Hydrol. Sci. J. 2018, 63, 657–678. [Google Scholar] [CrossRef]
- Andreadis, K.M.; Storck, P.; Lettenmaier, D.P. Modeling Snow Accumulation and Ablation Processes in Forested Environments. Water Resour. Res. 2009, 45, 1–13. [Google Scholar] [CrossRef]
- Brun, E.; Martin, Ε.; Simon, V.; Gendre, C.; Coleou, C. An Energy and Mass Model of Snow Cover Suitable for Operational Avalanche Forecasting. J. Glaciol. 1989, 35, 333–342. [Google Scholar] [CrossRef]
- Brun, E.; David, P.; Sudul, M.; Brunot, G. A Numerical Model to Simulate Snow-Cover Stratigraphy for Operational Avalanche Forecasting. J. Glaciol. 1992, 38, 13–22. [Google Scholar] [CrossRef]
- Liston, G.E.; Hall, D.K. An Energy-Balance Model of Lake-Ice Evolution. J. Glaciol. 1995, 41, 373–382. [Google Scholar] [CrossRef]
- Liston, G.E.; Mernild, S.H. Greenland Freshwater Runoff. Part I: A Runoff Routing Model for Glaciated and Nonglaciated Landscapes (HydroFlow). J. Clim. 2012, 25, 5997–6014. [Google Scholar] [CrossRef]
- Lehning, M.; Bartelt, P.; Brown, B.; Fierz, C.; Satyawali, P. A Physical SNOWPACK Model for the Swiss Avalanche Warning: Part II. Snow Microstructure. Cold Reg. Sci. Technol. 2002, 35, 147–167. [Google Scholar] [CrossRef]
- Lehning, M.; Bartelt, P.; Brown, B.; Fierz, C. A Physical SNOWPACK Model for the Swiss Avalanche Warning: Part III: Meteorological Forcing, Thin Layer Formation and Evaluation. Cold Reg. Sci. Technol. 2002, 35, 169–184. [Google Scholar] [CrossRef]
- Franck, E.C.; Lee, R. Potential Solar Beam Irradiation on Slopes: Tables for 300 to 500 Latitude; US Rocky Mountain Forest and Range Experiment Station: Fort Collins, CO, USA, 1966; Volume 18. [Google Scholar]
- Rousseau, A.N.; Savary, S.; Tremblay, S. Développement de PHYSITEL 64 Bits Avec Interface Graphique Pour Supporter les Applications d’HYDROTEL sur des Bassins Versants de Grande Envergure: (Incluant des Compléments D’aide et des Développements pour HYDROTEL): Travaux 2016. Rapport Final; (INRS Centre Eau Terre Environnement Documents scientifiques et techniques; R1724); Institut National de la Recherche Scientifique—Centre Eau Terre Environnement: Québec, QC, Canada, 2017; ISBN 978-2-89146-878-7. [Google Scholar]












| Parameter | Model | Meaning | Lower Threshold | Upper Threshold |
|---|---|---|---|---|
| Original | Maximum snow density (kg.m−3) | 250 | 550 | |
| Original/multilayer | Temperature threshold for net radiation heat gain (°C) | −8 | 3 | |
| Original/multilayer | Precipitation separation temperature (°C) | −1 | 3 | |
| Original/multilayer | Settling coefficient (−) | 0.0001 | 0.1 | |
| Original/multilayer | Melt rate at air–snow interface (m.day−1.°C−1) | 0.001 | 0.04 | |
| Original/multilayer | Melt rate at snow–ground interface (m.day−1) | 0.0001 | 0.002 | |
| Multilayer | New-layer snow precipitation threshold (m.day−1) | 0 | 0.06 | |
| Multilayer | Settling maximum snow-layer density (kg.m−3) | 350 | 750 | |
| Multilayer | Ratio of the volume of air that can be filled in by water (−) | 0.05 | 0.15 |
| Station | Code | Period | Temporal Resolution | Type | Basin |
|---|---|---|---|---|---|
| Necopastic | Meteo_Neco | 2006–2011 | Daily and hourly | Auto | Necopastic |
| GMON Neco | 6 h | ||||
| Lower Fantail | Meteo_LF | 2014–2017 | Daily and hourly | Auto | Upper Yukon |
| GMON LF | 6 h | ||||
| Wheaton | Meteo_W | 2014–2017 | Daily and hourly | Auto | Upper Yukon |
| GMON W | 6 h |
| Station | Data | Y1 | Y2 | Y3 | Y4 | Y5 |
|---|---|---|---|---|---|---|
| Lower Fantail | Years | 2014/2015 | 2015/2016 | 2016/2017 | - | - |
| Precipitation (mm) | 643 | 556 | 721 | - | - | |
| Average temperature (°C) | 1.8 | 1.5 | 2.0 | - | - | |
| Necopastic | Years | 2006/2007 | 2007/2008 | 2008/2009 | 2009/2010 | 2010/2011 |
| Precipitation (mm) | 803 | 855 | 840 | 819 | 462 | |
| Average temperature (°C) | 2.2 | 2.3 | 2.3 | 2.2 | 1.7 | |
| Wheaton | Years | 2014/2015 | 2015/2016 | 2016/2017 | - | - |
| Precipitation (mm) | 525 | 352 | 489 | - | - | |
| Average temperature (°C) | −0.2 | 0.6 | −1.9 | - | - |
| Station | Lower Fantail | Necopastic | Wheaton | |||
|---|---|---|---|---|---|---|
| Models | Mo | Multi | Mo | Multi | Mo | Multi |
| Onset date (days) | 3 | 4 | 3 | 3 | 3 | 4 |
| End date (days) | 8 | 7 | 4.5 | 4 | 6 | 1.5 |
| Maximum SWE date (days) | 5.5 | 7 | 9 | 11 | 1 | 8 |
| Maximum SWE relative difference (%) | 17 | 6.7 | 11 | 5.9 | 8.8 | 13.2 |
Disclaimer/Publisher’s Note: The statements, opinions and data contained in all publications are solely those of the individual author(s) and contributor(s) and not of MDPI and/or the editor(s). MDPI and/or the editor(s) disclaim responsibility for any injury to people or property resulting from any ideas, methods, instructions or products referred to in the content. |
© 2024 by the authors. Licensee MDPI, Basel, Switzerland. This article is an open access article distributed under the terms and conditions of the Creative Commons Attribution (CC BY) license (https://creativecommons.org/licenses/by/4.0/).
Share and Cite
Augas, J.; Foulon, E.; Rousseau, A.N.; Baraër, M. Extension of a Monolayer Energy-Budget Degree-Day Model to a Multilayer One. Water 2024, 16, 1089. https://doi.org/10.3390/w16081089
Augas J, Foulon E, Rousseau AN, Baraër M. Extension of a Monolayer Energy-Budget Degree-Day Model to a Multilayer One. Water. 2024; 16(8):1089. https://doi.org/10.3390/w16081089
Chicago/Turabian StyleAugas, Julien, Etienne Foulon, Alain N. Rousseau, and Michel Baraër. 2024. "Extension of a Monolayer Energy-Budget Degree-Day Model to a Multilayer One" Water 16, no. 8: 1089. https://doi.org/10.3390/w16081089
APA StyleAugas, J., Foulon, E., Rousseau, A. N., & Baraër, M. (2024). Extension of a Monolayer Energy-Budget Degree-Day Model to a Multilayer One. Water, 16(8), 1089. https://doi.org/10.3390/w16081089

