Abstract
The electrochemical crystallization method for recovering phosphorus resources from industrial wastewater has gained widespread attention due to its high efficiency and low cost. However, the strong corrosiveness of the industrial wastewater can affect the components of the electrochemical system, decreasing its performance. This study examines the stability of the two-chamber electrochemical (TCE) system and the service life of its components while recovering phosphate from the chemical polishing (CP) wastewater. An investigation of the phosphate removal rate and power output through the replacement of the system’s components was performed. The results indicated that the TCE system could effectively treat the CP wastewater, achieving a removal rate of up to 99% for phosphate and aluminum ions with a maximum power output of 1.09 mW. However, the strong corrosiveness of the CP wastewater decreased the performance of the TCE system, requiring component replacement every 20 days. The yield of ferrous ions was not the primary limiting factor for phosphate removal due to the effects of both electrochemistry and self-corrosion, but the excessive ferrous ions influenced the solution pH. The solution pH controlled the Fe(II)/P molar ratio in step 1, which subsequently influenced the purity of the vivianite in step 2. The closed circuit promoted an increase in the pH of wastewater. This method not only recovers phosphorus resources but also generates electrical energy, offering a new approach for resource recovery in industrial wastewater, aligning with the national sustainable development goals.
1. Introduction
With the implementation of the sustainable development goals (SDGs), the concept of wastewater treatment is evolving from pollutant removal to pollutant recovery [1]. Phosphorus resources, being non-renewable, can be extracted from wastewater, thus supporting green development [2]. Reports indicate that phosphate can be recovered from anaerobic digested wastewater [3,4] and urine [5,6]; however, the phosphate concentrations in these wastewaters are all below 200 mg/L, leading to high recovery costs. In contrast, industrial wastewater has a high phosphate concentration (TP > 30,000 mg/L) and a relatively simple array of pollutants, making it a prime candidate for phosphorus resource recovery [7]. Nevertheless, the strong corrosiveness and toxicity of industrial wastewater present challenges for resource recovery methods.
Currently reported methods for phosphorus resource recovery include three methods: (1) The first recovery method is conventional electrodialysis. It consists of electrodes and several anion and cation exchange membranes alternately arranged between the two electrodes. Under the influence of a direct current electric field, cations migrate toward the cathode while anions move toward the anode, resulting in the formation of concentrated and diluted ion solutions on either side of the ion exchange membranes, thereby achieving the separation of different ions [8,9]. Wang et al. [10] found that employing intermittent electrodialysis to recover phosphoric acid from phosphate solutions can achieve a recovery efficiency of up to 98.5%. Yan et al. [11] utilized a three-compartment bipolar membrane electrodialysis device to recover H3PO4 from NaH2PO4, achieving a recovery efficiency of up to 66.4%. (2) The second recovery method is the electrochemical method. The principle involves two main approaches. On one hand, the metal ions released from the electrodes can serve as coagulants in wastewater treatment, promoting the formation of flocculent precipitates to eliminate phosphate [12]; on the other hand, as the pH of the wastewater increases, the metal ions in the water combine with phosphate to form phosphorus-containing precipitates [13]. Wang et al. [14] utilized an iron–air fuel cell to treat anaerobic digested wastewater, achieving a removal efficiency of up to 99%. Wang et al. [8] employed a dual-chamber iron–air fuel cell to treat high-concentration phosphorus-containing wastewater. The phosphorus removal rate of the fuel cell consistently exceeded 97% in the long-term operation, and vivianite was the main phosphate recovery product. Zhang et al. [15] used a single-chamber magnesium–air fuel cell to recover phosphate from urine, achieving a phosphate removal rate of 99.48% after 25 min of operation. The recovered precipitate was struvite with a purity of 98.26%. (3) The third recovery method is chemical crystallization, which typically includes the magnesium ammonium phosphate (MAP, MgNH4PO4) method, the hydroxyapatite (HAP, Ca5(PO4)3OH) method, and the vivianite (Fe3(PO4)2·8H2O) method. The pH and ion concentration ratio in the solution are crucial parameters influencing product crystallization, with elevated pH levels facilitating the formation of MAP crystals [16]. Yang et al. [17] utilized the HAP crystallization method to recover phosphate from pharmaceutical wastewater. When the initial pH was 8, the main recovered product was anhydrous dicalcium phosphate, whereas at pH values of 10 or 11, the primary recovered product was HAP.
These methods have a higher phosphate removal rate and a simple operational process. However, the higher costs and large amount of sludge pose a challenge. The combined method of electrochemical crystallization has gained widespread attention due to its higher performance and lower sludge production. Zhang et al. [18] used the iron anode by current effect to precisely control the ferrous ion production and successfully recover phosphate as vivianite. Li et al. [19] also employed an iron–air fuel cell in situ to generate ferrous ions to treat wastewater. Vivianite was the main recovery product, and the maximum power density reached was 1875 mW/m2. The electrochemical crystallization method can achieve simultaneous phosphorus removal, electricity generation, and vivianite production, demonstrating significant development potential. However, the strong corrosiveness of industrial wastewater can impact the service of the electrochemical devices, thereby reducing their stability. Common electrochemical systems include two-chamber and single-chamber configurations. In a single-chamber electrochemical system, the precipitate may attach to the surface of the air cathode, which diminishes its catalytic performance. In contrast, a two-chamber electrochemical (TCE) system separates the anode and cathode chambers by a proton exchange membrane (PEM), preventing precipitate formation in the cathode chamber and optimizing the performance of the air cathode. Consequently, the TCE system is more suitable for recovering phosphates from industrial wastewater. There is limited research on the stability of electrochemical devices for recovering phosphates from industrial wastewater using the electrochemical crystallization method.
This study aims to recover phosphates from the highly corrosive CP wastewater using a two-chamber electrochemical (TCE) system, with the phosphate removal rate and electricity generation performance as evaluation criteria. By replacing the iron plates, cathode catalyst layer, and proton membranes, the stability and the service life of the components were investigated. This research will contribute to the advancement in the practical application of the electrochemical crystallization methods.
2. Materials and Methods
2.1. Water Quality and Experimental Construction
The CP wastewater, after a 50× dilution, was utilized for the experiment, with specific experimental parameters detailed in the literature [20]. The anode was a high-purity iron plate with a surface area of 15 cm2, while the cathode was an air cathode with a surface area of 19 cm2. The fabrication of the air cathode followed the methods described in the literature [14]. The cathode and anode chambers were separated by a proton exchange membrane (PEM) (DuPont, Wilmington, DE, USA), each with a volume of 25 mL. The cathode and anode were connected by titanium wires with a diameter of 1 mm and linked to a 10 Ω resistor externally.
2.2. Experimental Operation
Twenty-five mL of a 10 g/L NaCl solution was used for the catholyte, while twenty-five mL of CP wastewater diluted 50 times served as the anolyte. Due to the high concentration of phosphate in the effluent after treatment with the TCE systems, sodium hydroxide was added to enhance the pH of the CP wastewater, further reducing the phosphate concentration. As illustrated in Figure 1, step 1 involved the treatment of the TCE system, and step 2 included the addition of sodium hydroxide. The concentrations of phosphate and ferrous ions in the CP wastewater were measured every 24 h during step 1. When the molar ratio of Fe (II)/P reached 1.1 to 1.5 in step 1, the bottom precipitate was collected, and the pH of the supernatant was adjusted to 7 using 1 mol/L NaOH. After a reaction time of 1 h, the concentrations of phosphate and ferrous ions in the CP wastewater were measured in step 2.
Figure 1.
The process of CP wastewater treatment.
A total of three groups of experiments were established. First, the effect of the iron anode on phosphorus removal efficiency in multi-cycle operation was investigated. Second, the effect of the air cathode on phosphorus removal efficiency in multi-cycle operation was examined. Third, the effect of PEM on phosphorus removal efficiency in multi-cycle operation was assessed.
2.3. Analysis of Wastewater Quality and Product
Soluble phosphate in CP wastewater was measured using molybdenum–antimony spectrophotometry, while ferrous ions in water were assessed using 1,10-o-phenanthroline spectrophotometry. The concentration of aluminum ions in CP wastewater was determined via Inductively Coupled Plasma Optical Emission Spectroscopy (ICP-OES) (Agilent, Aanta Clara, CA, USA). The recovery products were characterized using X-ray diffractometry (XRD) (Rigaku, Tokyo, Japan). A three-electrode system was used in all electrochemical tests, with the counter electrode as platinum wire and the reference electrode as Ag/AgCl. Linear Scanning Voltammetry (LSV) and Tafel tests were conducted with a potentiostatic apparatus (Princeton, Trenton, NJ, USA) to evaluate the catalytic performance of the cathode and the corrosion of the anode. The scanning speed was 10 mV·s−1, and the scanning range was −0.8 V~0.8 V for LSV and Tafel tests. The absolute value of current at a potential of −0.8 V was called the limiting current, and the larger value represented the better catalytic performance of the cathode in the LSV curve.
2.4. Analysis of Calculation
The output power was calculated according to Equation (1), and the phosphate removal rate was calculated according to Equation (2).
where E (V) is the output voltage, and Rext (Ω) represents the external resistance.
where C0 and Ct refer to the initial phosphate concentration (mg/L) and phosphate concentration at sampling time (mg/L).
3. Results and Discussion
3.1. Effect of the Replacement Frequency of Iron Anodes on Phosphate Removal Efficiency
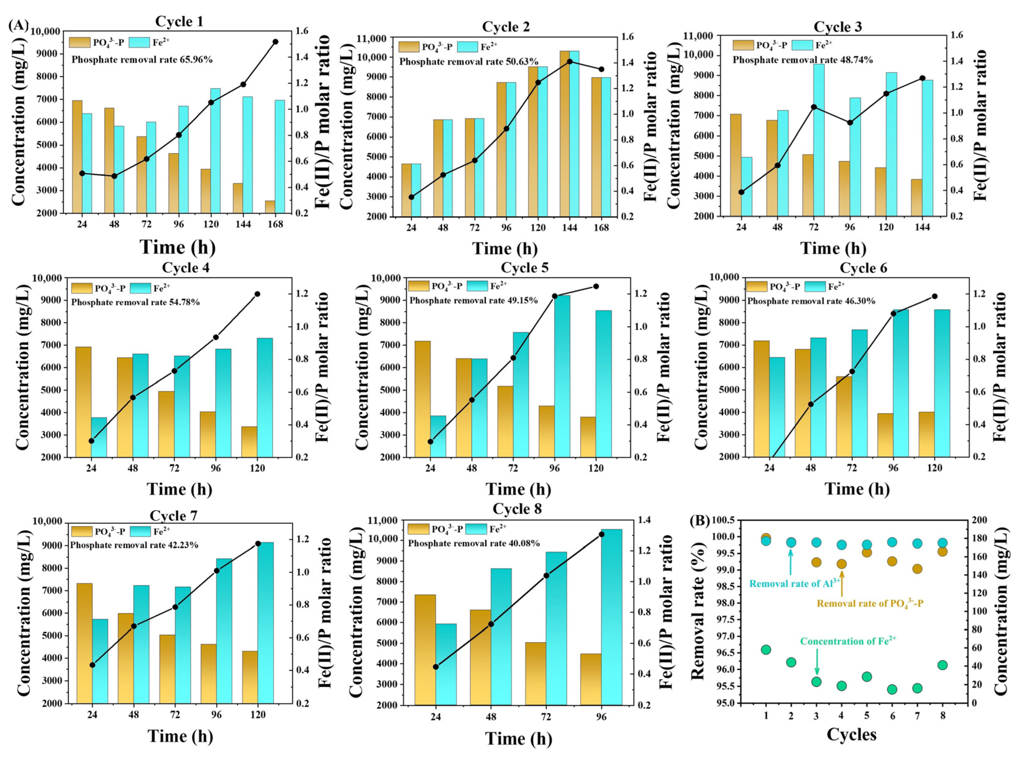
Based on the previous study [20], the Fe(II)/P molar ratio of 1.2 to 1.5 indicated the end of step 1. Figure 2A shows that the phosphate removal efficiency of the TCE system decreased as the number of operation cycles increased. The maximum phosphate removal efficiency was 66% during cycle 1, which then dropped to 49% by cycle 3. The theoretical amount of Fe2+ was calculated using Faraday’s Law [21]. The output power decreased with the increase in cycles, corresponding to a reduction in the ferrous ion production. However, the accumulation of ferrous ions significantly increased from cycle 1 to cycle 3, indicating that self-corrosion of the iron plate occurred in the TCE system, releasing more ferrous ions [22]. Figure 2B illustrates the change in the free corrosion potential before and after one cycle. It was observed that the free corrosion potential decreased as the cycle progressed. There may be a protective layer on the surface of the new iron plate that prevents oxidation, and as the reaction continues, this protective layer is gradually consumed, leading to increased corrosion [23]. The duration of step 1 was reduced by 24 h in cycle 3 compared to cycle 1. Liu et al. [24] reported that increasing the self-corrosion of the Mg plate could enhance the phosphate removal rate due to the production of more Mg2+. However, the phosphate removal rate declined in cycle 3 in this study. As mentioned in the literature [8], the TCE system was employed to treat wastewater with a neutral pH and operated in 22 batch cycles. A substantial amount of precipitate accumulated on the iron plate, but the phosphate removal rate did not show a significant decline, indicating that the phosphate removal rate was determined by other factors, such as the solution pH [25]. The pH increases in the TCE system include two mechanisms: the hydrogen evolution reaction (Equation (3)) and the phosphate removal reaction (Equation (4)). It is reasonable to speculate that the pH in cycle 3 was lower than in cycle 1 due to the absence of the electrochemical effect. After the end of step 1, a significant amount of white precipitate accumulated at the bottom of the TCE system, likely consisting of aluminum phosphate [26]. It can be inferred that the aluminum ion removal rate in step 1 of cycle 3 was lower than that in cycle 1, attributed to the reduced pH in cycle 3 compared to cycle 1. However, aluminum ions were not detected in the effluent of step 2 during multi-cycle operation, indicating that the removal rate of aluminum ions can reach 100%. Nonetheless, the purity of the vivianite may decrease as the number of cycles increases.
Fe + 2H+ = Fe2+ + H2↑
Figure 2.
Phosphate removal rate and concentrations of phosphate and ferrous ions in multi-cycle operation with replacing iron anode (A); Tafel curve of iron anode (B); Total pollution removal rate (C).
Fe2+ + PO43− + 2H+ = FeH2PO4+
O2 + 4H+ + 4 e− = 2H2O
The iron anode was consumed by the end of cycle 3 due to self-corrosion. A new anode was installed after cycle 3, while the other components remained unchanged. The phosphate removal efficiency was 46% in cycle 4, which then decreased to 41% in cycle 5. The Fe(II)/P molar ratio was 0.84 in cycle 5, which did not meet the standard of 1.2–1.5, even with an extended operational time. The phosphate removal efficiency did not return to the same rate as in cycle 1, indicating that the iron anode was not a key factor; rather, the air cathode and the proton membrane determined the performance of the TCE system.
In conclusion, the service life of the new iron plate was approximately 20 days. The total phosphate removal efficiency was about 100% after steps 1 and 2 (Figure 2C). Al3+ primarily formed the white precipitate of AlPO4 in step 1. The Fe(II)/P molar ratio in step 1 determined the phosphate removal in step 2.
3.2. Effect of the Catalytic Layer of the Air Cathode on Phosphorus Removal Efficiency
The catalytic layer of the air cathode is the primary site where the redox reaction takes place, and the decline in catalytic performance directly resulted in a rapid decrease in fuel cell performance [27]. As illustrated in Figure 3A, the phosphate removal rate dropped from 66% to 49% over 3 cycles. A significant amount of precipitate formed on the surface of the air cathode, likely due to iron oxide precipitation [28]. The LSV curve was employed to assess the catalytic capability of the air cathode, which diminished by 77% after 3 cycles. A new catalytic layer for the air cathode and a new anode were installed after cycle 3, while the other components remained unchanged. The phosphate removal rate increased by 11% compared to cycle 3, indicating that the catalytic ability influenced the phosphate removal performance of the TCE system.
Figure 3.
Phosphate removal rate and concentration of phosphate and ferrous ions in multi-cycle operation with replacing catalytic layer of cathode (A); LSV curve of air-cathode (B); Total pollution removal rate (C).
After replacing the catalytic layer in cycle 4, the output power increased, and the production of ferrous ions also increased. The time taken to achieve the desired molar ratio decreased from 144 h to 120 h compared to cycle 3. However, the phosphate removal rate in cycle 4 did not return to the level of cycle 1, showing a decrease of 6%. Previous studies indicated that PEM fouling occurred during the long-term operation of the fuel cell, which reduced its performance [29]. It is speculated that PEM fouling increased the internal resistance of the TCE system, consequently reducing the power output, which in turn impacted the yield of ferrous ions and the pH of the system. The phosphate removal rate dropped from 60% in cycle 4 to 42% in cycle 7. The previous experiment demonstrated that the phosphate removal rate was 40% in the absence of electrochemical effects. In other words, all ferrous ions were released due to the self-corrosion of the iron plate in cycle 8.
In conclusion, the optimal Fe(II)/P molar ratio is within the range of 1.2 to 1.30 in step 1, and the total removal rate of phosphate and Al3+ exceeds 99% (Figure 3C). There were minimal ferrous ions (<20 mg/L) in the effluent after step 2. The catalytic ability of the air-cathode influenced the phosphate removal rate of the TCE system. The service life of the catalytic layer is suggested to be 20 days to maintain the performance of the TCE system.
3.3. Effect of PEM Fouling on Phosphorus Removal Efficiency
The PEM fouling may reduce the fuel cell power output due to elevated external resistance, and the production of ferrous ions by the electrochemical effect may decrease [30]. Figure 4 shows the changes in the concentration of phosphate and ferrous ions as the cycle number increases. The concentration of ferrous ions did not show a significant increase when replacing the PEM at cycle 4 compared to cycle 3. However, the phosphate removal rate was 55%, which increased by 8% compared to cycle 3. There was no significant correlation between the increase in ferrous ions and the removal of phosphate. It was speculated that the concentration of ferrous ions in solution will reach a dynamic equilibrium at a specific time [31]. In other words, the phosphate removal rate in step 1 was not directly determined by the power output, and the excess ferrous ions released by the electrochemical effect could influence the solution’s pH. The change in pH determined the phosphate removal rate in the TCE system. Removing the PEM from the TCE system can further increase the solution pH (Equation (5)), but a significant amount of white precipitate may attach to the surface of the air cathode, diminishing its catalytic performance. While the two-chamber system increases the pH at a slower rate, it can prolong the service life of the air cathode.
Figure 4.
Phosphate removal rate and the concentration of phosphate and ferrous ions in multi-cycle operation with replacing PEM (A); Total pollution removal rate (B).
In conclusion, replacing the PEM every 20 days was beneficial for increasing the phosphate removal rate. The total phosphate and Al3+ removal rates are over 99% (Figure 4B). The concentration of ferrous ions maintains a fixed range due to self-corrosion, which influences the solution’s pH.
3.4. Main Factors Affecting the Phosphate Removal Efficiency
The CP wastewater with lower pH and higher corrosiveness shortened the service life of components, which decreased the performance of the TCE system. Figure 5 shows the change in phosphate removal rate under different operational conditions. As illustrated in Figure 5A, the phosphate removal rate of cycle 4 decreased by 20% compared to cycle 1 when a new iron anode was replaced. It indicated that the iron anode was not a primary factor in the TCE system. As shown in Figure 5B, the phosphate removal rate of cycle 4 decreased by 6% compared to cycle 1 when a new catalytic layer of the air-cathode was replaced. As depicted in Figure 5C, the phosphate removal rate of cycle 4 decreased by 10% compared to cycle 1 when a new PEM was replaced. Therefore, from the perspective of phosphate removal rate, the order of influence is as follows: catalytic layer of the air cathode, PEM fouling, and iron anode. The suggested service life of the components is 20 days to maintain a higher phosphate removal rate.
Figure 5.
Phosphate removal rate in steps 1 and 2 under different operational conditions. Replacement of iron anode (A), air cathode (B), and PEM (C).
The phosphate and Al3+ removal rate of effluent in step 2 exceeded 99% when the Fe(II)/P molar ratio was approximately 1.2 to 1.30 in step 1. When a higher Fe(II)/P molar ratio was present in step 1, excessive ferrous ions remained in the effluent in step 2, forming iron oxide precipitates. As noted in the literature [32], the overdose of ferrous ions was advantageous for vivianite formation due to reduced competition between other ions and ferrous ions. However, in this study, Al3+ acted as an interfering ion that competed with phosphate to form aluminum phosphate. The solution pH was influenced by the types and concentrations of ions, and changes in pH determined the order of precipitation [33]. In the TCE system, the production of ferrous ions was a result of the electrochemical effect and self-corrosion. It was observed that the electrochemical effect decreased in step 1, yet the Fe(II)/P molar ratio could still reach 1.2 to 1.3. It indicated that the concentration of ferrous ions could achieve a dynamic balance in solution under the influence of electrochemical effects and self-corrosion. Excessive ferrous ions may affect the solution pH, and changes in pH could influence the concentration of phosphate [34]. In conclusion, pH was a key factor in the TCE system, and the concentration of ferrous ions was not a limiting factor. The external electrochemical effect was beneficial for increasing pH in the TCE system.
3.5. Analysis of Phosphate Removal Products
Lots of products were formed after step 2, and XRD analysis was used to qualitatively assess the recovered product. Figure 6 shows that the peak locations were similar, but the peak intensities varied during multi-cycle operations under different conditions. The recovered product was primarily vivianite, as compared to the XRD standard cards. For the replacement of the iron anode, the peak intensity of cycle 5 was lower than that of cycle 1 due to the lower Fe(II)/P molar ratio in cycle 5 (Figure 6A). The purity of vivianite was determined by the Fe(II)/P molar ratio, with a lower Fe(II)/P molar ratio in step 1 corresponding to a lower purity of vivianite in step 2. The same phenomenon was observed in the replacement of the catalytic layer of the cathode and PEM (Figure 6A,B). The other precipitate may have been iron oxide due to the oxidation of ferrous ions [21,35].
Figure 6.
Phosphate removal products in multi-cycle operation under replacement of iron anode (A), air cathode (B), and PEM (C).
In conclusion, the Fe(II)/P molar ratio was determined by the solution pH in step 1, and the purity of vivianite in step 2 was determined by the Fe(II)/P molar ratio. It is speculated that the pH influenced the purity of vivianite in the TCE system.
3.6. Analysis of Power Output
As shown in Figure 7, the average output power of cycle 1 was 1.06 mW, while the average output power of cycle 2 was 0.29 mW, representing a decrease of 73% compared to cycle 1. The primary reason for this decline may be the consumption of the anti-oxidation layer on the iron plate during cycle 2, which exacerbated its corrosion, leading to reduced power output [36]. As the pH increased in step 1, the phosphate and meta ions precipitated, corresponding to a decrease in conductivity. Some of the precipitate adhered to the surfaces of the cathode and PEM, obstructing electron transfer and increasing the internal resistance of the TCE system, which further decreased the output power [37]. From Figure 7B,C, it can be observed that the average output power was 0.45 mW when replacing the catalytic layer of the air cathode and 0.39 mW when replacing the PEM in cycle 4, both of which were higher compared to cycle 3 (0.23 mW). It was speculated that the power output was influenced by both the catalytic layer of the cathode and the PEM. From the perspective of power output, the impact of the catalytic layer of the cathode is greater than that of the PEM, which aligns with the results of the analysis regarding factors affecting the phosphate removal rate in multi-cycle operations.
Figure 7.
Analysis of power output in multi-cycle operation under replacement of iron anode (A), air cathode (B), and PEM (C).
In conclusion, the power output decreased with an increase in cycles. Replacing both the catalytic layer of the air cathode and the PEM was beneficial for increasing the power output, but neither replacement restored the power output to that of cycle 1. It is concluded that the power output of the TCE system is influenced by both the air cathode and the PEM, and replacing either one does not significantly enhance its performance. Therefore, the suggested service life for the catalytic layer of the air cathode, PEM, and iron anode is 3 cycles (20 days).
4. Conclusions
The TCE system was utilized to recover phosphate from CP wastewater, and the service life of its components was examined to ensure the stability of the system. In multi-cycle operation, 99% of the phosphate can be removed. However, the iron anode, the catalytic layer of the air cathode, and PEM need to be replaced every 20 days. The iron anode was completely dissolved after 20 days. The decline in the catalytic ability of the air cathode had a greater impact on the performance reduction of the TCE system than the fouling of the PEM. The Fe(II)/P molar ratio in step 1 was determined by the solution pH, while the phosphate removal rate in step 2 was dictated by the Fe(II)/P molar ratio. Future research may concentrate on enhancing the volume load and corrosion resistance of the TCE components.
Author Contributions
Conceptualization, R.W.; Methodology, L.C.; Software, M.H.; Formal analysis, S.W. (Sizhuo Wan); Investigation, S.W. (Sifan Wang); Writing—original draft, L.C. All authors have read and agreed to the published version of the manuscript.
Funding
This work was supported by the Shaanxi Province key research and development plan (NO. 2024SF-YBXM-598), the Science and Technology Association youth talent lifting program project in Xi’an (959202313062).
Data Availability Statement
Data is contained within the article.
Conflicts of Interest
Authors Libin Chen, Meng Han were employed by the company Shaanxi Provincial Land Engineering Construction Group Co., Ltd. The remaining authors declare that the research was conducted in the absence of any commercial or financial relationships that could be construed as a potential conflict of interest.
References
- Yang, L.; Jiao, Y.; Xu, X.; Pan, Y.; Su, C.; Duan, X.; Sun, H.; Liu, S.; Wang, S.; Shao, Z. Superstructures with Atomic-Level Arranged Perovskite and Oxide Layers for Advanced Oxidation with an Enhanced Non-Free Radical Pathway. ACS Sustain. Chem. Eng. 2022, 10, 1899–1909. [Google Scholar] [CrossRef]
- Trépanier, C.; Parent, S.; Comeau, Y.; Bouvrette, J. Phosphorus Budget as a Water Quality Management Tool for Closed Aquatic Mesocosms. Water Res. 2002, 36, 1007–1017. [Google Scholar] [CrossRef]
- Cheng, M.; Zhang, C.; Guisasola, A.; Baeza, J.A. Evaluating the Opportunities for Mainstream P-Recovery in Anaerobic/Anoxic/Aerobic Systems. Sci. Total Environ. 2024, 912, 168898. [Google Scholar] [CrossRef]
- Jagaba, A.H.; Lawal, D.U.; Abdulazeez, I.; Lawal, I.M.; Mu’azu, N.D.; Birniwa, A.H.; Usman, A.K.; Hagar, H.S.; Yaro, N.S.A.; Noor, A.; et al. Advancements and Prospects in the Utilization of Metal Ions and Polymers for Enhancing Aerobic Granulation during Industrial Effluent Treatment and Resource Recovery. J. Water Process Eng. 2024, 66, 105972. [Google Scholar] [CrossRef]
- Welldegerima Atsbha, M.; Nir, O.; Boyer, T.H. Multi-Stage Recovery of Ammonia–Potassium Liquid Fertilizer and Phosphate Mineral from Real Human Urine. Sep. Purif. Technol. 2025, 359, 130598. [Google Scholar] [CrossRef]
- Isik, Z.; Dizge, N. Recovery of Ferrous Ammonium Phosphate Fertilizer from Source-Separated Urine by Electrocoagulation Using Response Surface Methodology (RSM). Process Saf. Environ. Prot. 2025, 194, 985–996. [Google Scholar] [CrossRef]
- Deng, L.; Dhar, B.R. Phosphorus Recovery from Wastewater via Calcium Phosphate Precipitation: A Critical Review of Methods, Progress, and Insights. Chemosphere 2023, 330, 138685. [Google Scholar] [CrossRef] [PubMed]
- Wang, R.; Liu, M.-Y.; Zhang, M.; Ghulam, A.; Yuan, L. An Iron-Air Fuel Cell System towards Concurrent Phosphorus Removal and Resource Recovery in the Form of Vivianite and Energy Generation in Wastewater Treatment: A Sustainable Technology Regarding Phosphorus. Sci. Total Environ. 2021, 791, 148213. [Google Scholar] [CrossRef]
- Chen, T.; Bi, J.; Ji, Z.; Yuan, J.; Zhao, Y. Application of Bipolar Membrane Electrodialysis for Simultaneous Recovery of High-Value Acid/Alkali from Saline Wastewater: An in-Depth Review. Water Res. 2022, 226, 119274. [Google Scholar] [CrossRef]
- Wang, X.; Wang, Y.; Zhang, X.; Feng, H.; Li, C.; Xu, T. Phosphate Recovery from Excess Sludge by Conventional Electrodialysis (CED) and Electrodialysis with Bipolar Membranes (EDBM). Ind. Eng. Chem. Res. 2013, 52, 15896–15904. [Google Scholar] [CrossRef]
- Yan, K.; Hang, X.; Liu, J.; Luo, J.; Wan, Y. Preparation of Hypophosphorous Acid by Bipolar Membrane Electrodialysis: Process Optimization and Phosphorous Acid Minimization. Ind. Eng. Chem. Res. 2019, 58, 21855–21863. [Google Scholar] [CrossRef]
- Maitlo, H.A.; Kim, J.H.; Kim, K.-H.; Park, J.Y.; Khan, A. Metal-Air Fuel Cell Electrocoagulation Techniques for the Treatment of Arsenic in Water. J. Clean. Prod. 2019, 207, 67–84. [Google Scholar] [CrossRef]
- Yu, S.-H.; Wang, Y.; Hua, L.; Fan, M.-Y.; Ren, X.-H.; Zhang, L. Mg-Fe Bimetallic Oxide Nanocomposite for Superior Phosphate Removal and Recovery from Aquatic Environment: Synergistic Effects of Sorption and Struvite Crystallization. J. Environ. Chem. Eng. 2024, 12, 112132. [Google Scholar] [CrossRef]
- Wang, R.; Wan, S.; Lai, L.; Zhang, M.; Zeb, B.S.; Qaisar, M.; Tan, G.; Yuan, L. Recovering Phosphate and Energy from Anaerobic Sludge Digested Wastewater with Iron-Air Fuel Cells: Two-Chamber Cell versus One-Chamber Cell. Sci. Total Environ. 2022, 825, 154034. [Google Scholar] [CrossRef]
- Zhang, J.; Chen, Z.; Liu, Y.; Wei, W.; Ni, B.-J. Phosphorus Recovery from Wastewater and Sewage Sludge as Vivianite. J. Clean. Prod. 2022, 370, 133439. [Google Scholar] [CrossRef]
- Song, J.; Zhao, X.; Liu, R.; Wang, Y.; Zhu, D.; Wang, X.; Jiang, K.; Wu, D. Simultaneous Removal and Recovery of Ammonium and Phosphate Ions Using Flow Electrode Capacitive Deionization through the Struvite Generation Mechanism. Sep. Purif. Technol. 2025, 358, 130395. [Google Scholar] [CrossRef]
- Yang, M.; Shi, J.; Xu, Z.; Zhu, S.; Cui, Y. Phosphorus Removal and Recovery from Fosfomycin Pharmaceutical Wastewater by the Induced Crystallization Process. J. Environ. Manag. 2019, 231, 207–212. [Google Scholar] [CrossRef]
- Zhang, J.; Bligh, M.W.; Liang, P.; Waite, T.D.; Huang, X. Phosphorus Removal by in Situ Generated Fe(II): Efficacy, Kinetics and Mechanism. Water Res. 2018, 136, 120–130. [Google Scholar] [CrossRef]
- Li, C.; Sheng, Y. Aqueous Phosphate Removal and Electricity Production Using an Iron–Air Fuel Cell. J. Environ. Eng. 2020, 146, 04020042. [Google Scholar] [CrossRef]
- Ding, C.; Liu, M.; Wan, S.; Cai, Z.; Yuan, L.; Wang, R.; Zheng, P. The Sustainable Treatment of Chemical Polishing Wastewater under Low-Carbon Economy: Pollutants Removal, Resource Recovery and Energy Generation. J. Clean. Prod. 2023, 414, 137469. [Google Scholar] [CrossRef]
- Wang, L.; Tai, Y.; Zhao, X.; He, Q.; Hu, Z.; Li, M. Phosphorus Recovery Directly from Sewage Sludge as Vivianite and Simultaneous Electricity Production in a Dual Chamber Microbial Fuel Cell. J. Environ. Chem. Eng. 2023, 11, 110152. [Google Scholar] [CrossRef]
- Qiang, H.; Liu, Z.; Yin, X.; Guo, Z.; Duan, Y.; Liu, W.; Yue, X.; Zhou, A. Efficient Phosphate and Hydrogen Recovery from Sludge Fermentation Liquid by Sacrificial Iron Anode in Electro-Fermentation System. J. Environ. Manag. 2024, 360, 121110. [Google Scholar] [CrossRef]
- Hu, P.; Jia, M.; Xu, H.; Zhang, X.; Hu, D.; Hu, G. Construction and Performance of Superhydrophobic Surfaces for Rusted Iron Artifacts. Materials 2023, 16, 2180. [Google Scholar] [CrossRef]
- Liu, H.; Li, X.; Yao, H.; Sun, P. Enhanced Strategies for Phosphate Recovery from Urine by Magnesium Galvanic Process. Water Res. 2023, 245, 120669. [Google Scholar] [CrossRef]
- Tuyet, N.T.; Nguyen, V.D.; Nguyet, N.T.; Balasubramani, R.; Nghia, N.T. Phosphate Removal from Aqueous Solutions Using Reversal Mode Electrocoagulation with Iron and Aluminum Electrodes: RSM Optimization and ANN Modeling. Environ. Res. Commun. 2024, 6, 105005. [Google Scholar] [CrossRef]
- Lai, L.; Wang, S.; Qi, Z.; Zhang, Y.; Wang, R.; Yuan, L. A Deep Treatment Process for Chemical Polishing Wastewater towards Resource Recovery: Optimization and Performance. Sep. Purif. Technol. 2025, 358, 130285. [Google Scholar] [CrossRef]
- Massaglia, G.; Serra, T.; Pirri, F.C.; Quaglio, M. A Nanofiber-Based Gas Diffusion Layer for Improved Performance in Air Cathode Microbial Fuel Cells. Nanomaterials 2023, 13, 2801. [Google Scholar] [CrossRef]
- Doggaz, A.; Attour, A.; Le Page Mostefa, M.; Tlili, M.; Lapicque, F. Iron Removal from Waters by Electrocoagulation: Investigations of the Various Physicochemical Phenomena Involved. Sep. Purif. Technol. 2018, 203, 217–225. [Google Scholar] [CrossRef]
- Wang, H.; Song, X.; Zhang, H.; Tan, P.; Kong, F. Removal of Hexavalent Chromium in Dual-Chamber Microbial Fuel Cells Separated by Different Ion Exchange Membranes. J. Hazard. Mater. 2020, 384, 121459. [Google Scholar] [CrossRef] [PubMed]
- Gunasekaran, G.; Chongdar, S.; Naragoni, S.; Rodrigues, P.V.; Bobba, R. Microbial Fuel Cell Constructed with Micro-Organisms Isolated from Industry Effluent. Int. J. Hydrogen Energy 2011, 36, 14914–14922. [Google Scholar] [CrossRef]
- Lv, X.; Prastistho, W.; Yang, Q.; Tokoro, C. Application of Nano-scale Zero-valent Iron Adsorbed on Magnetite Nanoparticles for Removal of Carbon Tetrachloride: Products and Degradation Pathway. Appl. Organomet. Chem. 2020, 34, e5592. [Google Scholar] [CrossRef]
- Prot, T.; Wijdeveld, W.; Eshun, L.E.; Dugulan, A.I.; Goubitz, K.; Korving, L.; Van Loosdrecht, M.C.M. Full-Scale Increased Iron Dosage to Stimulate the Formation of Vivianite and Its Recovery from Digested Sewage Sludge. Water Res. 2020, 182, 115911. [Google Scholar] [CrossRef]
- Xia, L.; Zhang, W.; Che, J.; Chen, J.; Wen, P.; Ma, B.; Wang, C. Stepwise Removal and Recovery of Phosphate and Fluoride from Wastewater via pH-Dependent Precipitation: Thermodynamics, Experiment and Mechanism Investigation. J. Clean. Prod. 2021, 320, 128872. [Google Scholar] [CrossRef]
- Liu, J.; Cheng, X.; Qi, X.; Li, N.; Tian, J.; Qiu, B.; Xu, K.; Qu, D. Recovery of Phosphate from Aqueous Solutions via Vivianite Crystallization: Thermodynamics and Influence of pH. Chem. Eng. J. 2018, 349, 37–46. [Google Scholar] [CrossRef]
- Wei, L.; Li, Z.; Hong, T.; Zhang, Q.; Luo, L.; Tang, Y.; Ji, J.; Kong, J.; Ding, X. Electricity Production and Nutrient Recovery from Waste Activated Sludge via Microbial Fuel Cell and Subsequent Struvite Crystallization: Effect of Low Temperature Thermo-Alkaline Pretreatment. Bioresour. Technol. 2024, 414, 131575. [Google Scholar] [CrossRef] [PubMed]
- Li, G.; Lu, M.; Wang, F.; Hou, Y. Improving Power Output in Microbial Fuel Cells with Free-Standing CoCx/Co@CC Composite Anodes. Electrochim. Acta 2023, 469, 143290. [Google Scholar] [CrossRef]
- Xu, J.; Sheng, G.-P.; Luo, H.-W.; Li, W.-W.; Wang, L.-F.; Yu, H.-Q. Fouling of Proton Exchange Membrane (PEM) Deteriorates the Performance of Microbial Fuel Cell. Water Res. 2012, 46, 1817–1824. [Google Scholar] [CrossRef] [PubMed]
Disclaimer/Publisher’s Note: The statements, opinions and data contained in all publications are solely those of the individual author(s) and contributor(s) and not of MDPI and/or the editor(s). MDPI and/or the editor(s) disclaim responsibility for any injury to people or property resulting from any ideas, methods, instructions or products referred to in the content. |
© 2024 by the authors. Licensee MDPI, Basel, Switzerland. This article is an open access article distributed under the terms and conditions of the Creative Commons Attribution (CC BY) license (https://creativecommons.org/licenses/by/4.0/).






