Abstract
Erosion and sediment controls on construction sites minimize environmental impacts from sediment-laden stormwater runoff. Silt fence, a widely specified perimeter control practice on construction projects used to retain sediment on-site, has limited performance-based testing data. Silt fence failures and resultant sediment losses are often the result of structural failure. To better understand silt fence performance, researchers at the Auburn University-Erosion and Sediment Control Testing Facility (AU-ESCTF) have evaluated three silt fence options to determine possible shortcomings using standardized full-scale testing methods. These methods subject silt fence practices to simulated, in-field conditions typically experienced on-site without the variability of field testing or the limited application of small-scale testing. Three different silt fence practices were tested to evaluate performance, which included: (1) Alabama Department of Transportation (ALDOT) Trenched Silt Fence, (2) ALDOT Sliced Silt Fence, and (3) Alabama Soil and Water Conservation Committee (AL-SWCC) Trenched Silt Fence. This study indicates that the structural performance of a silt fence perimeter control is the most important performance factor in retaining sediment. The sediment retention performance of these silt fence practices was 82.7%, 66.9% and 90.5%, respectively. When exposed to large impoundment conditions, both ALDOT Trench and Sliced Silt Fence practices failed structurally, while the AL-SWCC Trenched Silt Fence did not experience structural failure.
1. Introduction
Impairments caused by off-site discharges of sediment-laden stormwater from construction sites is one of the most critical environmental problems faced by nearby waterbodies due to increases in turbidity and sedimentation [1]. Sedimentation occurring in waterways and storm sewers decreases flow capacity which can result in localized flooding, retardation of vegetative growth, and decimation of fish spawning areas [2]. The United States (US) Federal Government recognized the detrimental effects caused by stormwater runoff in general, and sediment discharge specifically, from construction sites. The US Congress passed the Clean Water Act in 1972 and the Water Quality Act of 1987 in response to these concerns resulting in significant change regarding environmental management methods used in the construction industry [3,4].
Erosion and sediment control (ESC) practices (i.e., diversion swales, erosion control blankets, sediment basins, perimeter controls, etc.) are routinely specified by designers to minimize stormwater runoff-related pollution. Construction site boundaries are typically enveloped by perimeter control practices (i.e., silt fences, wattles, brush barriers, etc.) that act as the final opportunity to capture and contain transported sediment prior to off-site discharge. Devices used as perimeter controls treat sheet flow by removing sediment primarily through sedimentation and, to a minor degree, trapping of soil particles via filtration. As ponding occurs upstream of a perimeter control, particles fall out of suspension and are retained on-site. The filtration efficiency of the perimeter control material is limited by small soil particles passing through the void spaces within the filtering medium [5]. In addition, the flow through capacity of silt fence material has the potential to degrade over time as pores in the material become clogged with sediment. Silt fence is one example of a perimeter control that uses geotextile material to restrict flow to impound runoff and allow for sedimentation. However, the quantity of sediment retained and the amount of suspended sediment that passes through the material is often unknown. As Thompson et al. [6] point out, there are many factors that contribute to the amount of suspended sediment that will be introduced to a practice or product. Storm energy and intensity along with site specific parameters such as soil erodibility, topography, and ground cover will all play role in the particle size distribution of sediment and subsequent deposition. Structural performance of these controls is reliant upon installation and material properties. Nonetheless, when failures occur in the field, it is often unclear if material, design, application, installation, or lack of maintenance was the root cause.
To further evaluate these issues, researchers at the Auburn University-Erosion and Sediment Control Testing Facility (AU-ESCTF) were tasked by the Alabama Department of Transportation (ALDOT) to test different perimeter control practices to determine overall performance and make recommendations for possible design and installation improvements. As a response, a full-scale testing apparatus was designed and constructed at the AU-ESCTF to evaluate perimeter controls using flow conditions experienced by actual in-field installations. Using full-scale testing allows perimeter controls to be subjected to field-like conditions and is a better predictor of actual performance than laboratory or other small-scale testing techniques.
This study focuses on the evaluation of three silt fence practices using the full-scale test apparatus at the AU-ESCTF. These silt fence practices include: (1) ALDOT Trenched Silt Fence, (2) ALDOT Sliced Silt Fence, and (3) Alabama Soil and Water Conservation Commission (AL-SWCC) Trenched Silt Fence.
1.1. Literature Review
A literature review documented the state-of-the-practice for typical design criteria used for the selection and placement of silt fence as a perimeter control on construction sites, as well as relevant research studies focusing on silt fence testing and evaluation.
1.1.1. Design Criteria for Silt Fence
The United States Environmental Protection Agency (USEPA) and various state environmental regulatory agencies have published criteria for the design and installation of silt fence. However, these design criteria are inconsistent across regulatory jurisdictions [7]. Factors to be considered in the design of silt fence systems include the contributing drainage area, gradient, and slope length up-gradient from the practice which affect stormwater runoff volume, flow rate, and the corresponding sediment load a silt fence is exposed to. Design and installation criteria for silt fence are critical to ensure effective performance.
Silt fence installations are typically limited to sheet flow applications due to structural concerns. A drainage area of 0.10 ha (0.25 acre) per 30.5 m (100 ft) of silt fence has become a widely adopted rule-of-thumb by the USEPA and most southeastern states regardless of the slope gradient and length upstream of the installed silt fence [7]. In addition to this criterion, the state of Alabama allows a maximum drainage area of 0.2 ha (0.5 acre) per 30.5 m (100 ft) of wire reinforced silt fence [8].
1.1.2. Relevant Research Studies
Two standard methods for testing the performance of perimeter controls have been developed and published through ASTM International (ASTM): (1) ASTM D5141, Standard Test Method for Determining Filtering Efficiency and Flow Rate of the Filtration Component for a Sediment Retention Device (SRD) [9], and (2) ASTM D7351, Standard Test Method for Determination of Sediment Retention Device (SRD) Effectiveness in Sheet Flow Applications [10]. In addition, TRI/Environmental, Inc. applied a non-standardized method to determine silt fence and other sediment barriers performance when subjected to rainfall-induced erosion and runoff [11].
ASTM D5141 uses a small-scale, laboratory setting with a test apparatus that consists of a 125 cm (49.2 in.) long by 85 cm (33.5 in.) wide flume and a 75 L (19.8 gal.) container with a mechanical stirrer used to introduce sediment-laden flow into the flume. Filtering efficiency and flow-through rate are the primary measures of performance with this test method. The test procedure is not designed to evaluate installation methods and procedures, structural integrity, or full-scale field performance. Risse et al. [12] evaluated flow rate, turbidity reduction, and sediment removal characteristics of Silt-Saver® Belted Strand Retention FenceTM (BSRF) and traditional Georgia Soil and Water Conservation Commission (GSWCC) Type C silt fence using the procedures contained in ASTM D5141. Test results implied that the BSRF was more effective in retaining sediment than the standard silt fence while also reducing both suspended solids and turbidity of the effluent. Structural performance testing of the BSRF system was also evaluated using non-standardized in-field testing. No comparative structural testing of the GSWCC-Type C silt fence was performed. The BSRF was installed in accordance with the manufacturer’s instructions on a 2H:1V slope of disturbed land with very little residue or cover. A fire hose, with no flowrate monitor, was used to create sediment-laden runoff by spraying a mound of soil up-gradient from the BSRF system until the fence was overtopped (30 to 45 min per test). Except for minor undercutting, both installations of the BSRF system were able to withstand the overtopping condition and did not fail, although significant deflection of 0.30 m (12 in.) occurred in the BSRF fabric at the midpoint between posts.
The ASTM D7351 standard test method is a large-scale test method that introduces sediment-laden flow by mixing 2270 kg (5005 lbs) of water and 136 kg (300 lbs) of sediment in a tank equipped with an internal agitator. The flow is directed down a 5 to 6 m (16.4 to 19.7 ft) long impervious 3H:1V slope to the 6 m (20 ft) wide impervious test area where a SRD is installed. The flow passing through the SRD is directed toward a collection tank where effluent weight is measured using a scale. While ASTM D7351 uses a standardized testing methodology, the flow rate and sediment load are too low to be representative of flow rates and sediment loads for a 2-year, 24-h design storm. Since most jurisdictions require erosion and sediment control practices on construction sites be designed to contain the sediment resulting from a 2-year, 24-h design storm, the ASTM D751 test does subject silt fence installations to the conditions they are required withstand in the field.
Troxel [13] used the ASTM D7351 methodology to test six different sediment control devices (SCDs): Type A silt fence, Type C silt fence, straw bales, 45 cm (18 in.) compost sock, 30 cm (12 in.) compost sock, and mulch berm. The quantity of soil–water mixture retained by the tested SCD was determined by subtracting the weight of the soil–water mixture collected in the downstream collection tanks from the weight of the soil–water mixture introduced into the upstream mixing tank. Troxel concluded that all six SCDs reduce both effluent total suspended solids (TSS), ranging from 88.2 to 98.4%; and turbidity, ranging from 49.2 to 92.8%. However, due to the water sampling locations, no determination could be made if the reduction in TSS and turbidity was the result of the impoundment upstream of the SCD or by the SCD material.
TRI/Environmental Inc. followed a non-standardized testing method that used rainfall simulation to generate sediment-laden runoff emanating from a slope to evaluate the structural integrity, and sediment containment capabilities of an SRD installed at the toe of a slope [11]. Simulated rainfall, applied to a 3H:1V constructed embankment plot, was intended to simulate the natural erosion process to introduce sediment-laden flow to the SRD. The sediment load generated by the 2.4 m (8 ft) wide by 8.2 m (27 ft) long plot was intended to subject SRDs to a more natural erosion process. However, this method and its consistency is dependent upon the test bed preparation, the simulated rainfall intensity, and the effect of wind speed and direction. The maximum drainage basin area that this test apparatus can simulate is limited to 22.3 m2 (240 ft2) and is, therefore, much smaller than the design criteria for the maximum area of 0.2 ha (0.5 acre) per 30.5 m (100 ft) of silt fence allowed by some agencies [7]. Therefore, it is not possible to test perimeter controls using currently devised rainfall simulators under realistic, worst-case field conditions based upon current silt fence design criteria. These methods inherently limit the volume of runoff required to create the worst case conditions that a silt fence would experience in the field and do not simulate realistic drainage areas.
Donald et al. [14] evaluated five wire-backed reinforced, non-woven, silt fence installation configurations of ALDOT Trenched Silt Fence as ditch checks in channelized flow applications to determine the optimal installation configuration. Sediment capture after six simulated storm events resulted in 91.2% sediment retention by volume for the optimal silt fence installation. Though this research effort focused on channelized flow, it provides an analysis of silt fence performance using full-scale testing techniques.
Barrett et al. [5] evaluated the in-field performance of geotextiles used as silt fence on an active Texas Department of Transportation construction project by analyzing TSS, turbidity, and particle size for water samples taken upstream and downstream of the silt fence installations. Based on this analysis, the researchers concluded that filtration by the geotextile material contributed only a negligible amount in the reduction of solids concentration in construction runoff. High sediment removal efficiencies were achieved in follow-on flume tests conducted in a laboratory. These high sediment removal rates were attributed to the creation of a large impoundment in the flume upstream of the geotextile that resulted in long detention times and significant particle settling. This appears to be verified further by the findings of Donald et al. [14] since ditch checks create long impoundment pools within a ditch, providing ideal conditions for sedimentation to occur.
The literature review has shown some research associated with silt fence, however, little research was available for performance-based, full-scale testing. The research for full-scale testing either provided limited quantifiable results or was not performed using repeatable testing methods. Therefore, research is required to understand performance characteristics of perimeter controls based upon tests performed in a full-scale, repeatable testing environment, allowing comparative analysis between common practices.
2. Materials and Methods
The testing methodology and procedures used to evaluate the three different silt fence installations are those detailed in Bugg et al. [7]. All tests were performed in the full-scale testing apparatus shown in Figure 1 at the AU-ESCTF. Performance evaluations of the three silt fence practices tested were based on structural integrity, sediment retention, and effect on water quality.

Figure 1.
Plan and profile views of the test apparatus [7], (a) plan view, (b) profile view.
Simulated flow is introduced to the system via a trash pump that draws water from a supply pond into a 1136 L (300 gal.) water tank. The water tank uses a series of valves and orifices to regulate flow through a calibrated weir into a mixing trough where sediment is introduced at a controlled rate and mixed with the flowing, highly turbulent water. Each test uses a stockpile of soil native to the state of Alabama with a soil texture classification as a loam soil (46.9% sand, 28.1% silt, 25.0% clay) according to the Natural Resources Conservation Services (NRCS) soil texture method. This soil is used to create the sediment-laden flow as well as construct the earthen test area. Sheet flow is generated using slotted diversion vanes mounted to the impervious slope. A 3H:1V test slope conveys flow to the 6.1 m (20 ft) wide, 1% longitudinal sloped earthen test area. The test area is equipped with water-tight, removable access door sections that are 2.4 m (8 ft) wide. The access doors can be removed to allow a silt fence to be installed using a tractor-pulled slicing machine. Any flow passing through the perimeter control discharges into a collection tank that is 2.4 m (8 ft) wide by 1.8 m (6 ft) long by 1.5 m (4.7 ft) deep, downstream of the test area.
2.1. Calculation of Test Flow Rate and Sediment Quantity
The test flow rate was based on the current design requirement in Alabama [15] that silt fence retain eroded sediment onsite resulting from a 2-year, 24-h rainfall event and the ALDOT requirement that only allows reinforced silt fence on the construction projects it manages. This results in a design criterion allowing a maximum drainage area of 0.2 ha (0.5 ac) per 30.5 m (100 ft) of wire reinforced silt fence.
The flow rate for testing was calculated to mimic the average 2-year, 24-h rainfall event for Alabama that has an average precipitation depth of 11.7 cm (4.43 in.). Using a curve number (CN) of 88.5, the average CN for the state based upon GIS analysis for newly graded areas [16], and the average flow rate for the peak 30 min of the 2-year, 24-h design rainfall event, a standardized flow rate was developed. The representative drainage area is scaled down from 30.5 m (100 ft) wide to 6.1 m (20 ft) wide to match the width of the test area. Assuming a flow length of 66.4 m (217.8 ft), the standardized flow rate was calculated to be 6.2 L/s (0.22 ft3/s).
The quantity of sediment required to be introduced for silt fence testing was calculated using the Modified Universal Soil Loss Equation (MUSLE) [17]. Based upon the flow calculations, the soil type used for sediment introduction, and the theoretical drainage area, the total sediment load for a 30-min test is 507 kg (1116 lbs) of soil that is introduced at a constant rate of 16.9 kg/min (37.2 lbs/min).
2.2. Testing Regime
A series of full-scale experiments introducing sediment-laden flow at a constant rate for 30 min are conducted to evaluate the performance of each silt fence installation. Each silt fence is installed three times with each installation undergoing three performance evaluations (P-1, P-2, and P-3), each simulating a 2-year, 24-h storm event to determine performance repeatability and longevity.
Evaluated Silt Fences
The three evaluated silt fence practices were as follows: (1) ALDOT Trenched Silt Fence, (2) ALDOT Sliced Silt Fence, and (3) AL-SWCC Trenched Silt Fence. Details of the tested silt fence practices are shown in Figure 2a–c. The physical material properties of the evaluated silt fences are described below.
Figure 2.
Silt fence installation details, (a) ALDOT Trenched Silt Fence [16], (b) ALDOT Sliced Silt Fence [16], (c) AL-SWCC Trenched Silt Fence [8].
- configuration: ALDOT Standard Drawing ESC 200 (Sheet 4 of 5) [18];
- silt fence fabric: nonwoven, 135 gm/m2 (4 oz/yd2) geotextile fabric;
- reinforcement: 1.41 mm (17 ga.) steel woven wire reinforcement; and
- posts: 1.53 m (5 ft) long, steel t-post, 1.4 kg/m (0.95 lbs/ft), spaced at 3.05 m (10 ft) on-center.
AL-SWCC Trenched Silt Fence (Figure 2c):
- configuration: Alabama Handbook for Erosion and Sediment Control on Construction Sites, Volume 1 [8];
- silt fence fabric: woven, 194 gr/m2 (5.72 oz/yd2), polypropylene geotextile fabric;
- reinforcement: gridded polypropylene reinforcement, 25.4 mm × 15.9 mm (1.0 in. × 0.6 in.) grid; and
- posts: 5.1 cm × 5.1 cm (2 in. × 2 in.) hardwood stakes, spaced 1.2 m (4 ft) on-center.
3. Results and Discussion
The following is a summary of test results for the three evaluated silt fence practices based on the testing methodology described above. The evaluated performance areas include effects on structural performance, sediment retention, and water quality.
3.1. Structural Performance
All three silt fence practices were installed 1.8 m (6 ft) downstream of the toe of the impervious slope to allow adequate space for an impoundment to form. As previously discussed, impoundment is an important factor in improving water quality by promoting sedimentation. The ability of silt fence to form and maintain an impoundment is dependent on its structural performance.
Table 1 contains a summary of the structural performance of the three evaluated silt fence practices. During testing, it was observed that the impoundment increased after each storm event due to the clogging of the fabric pore passages, restricting the flow-through rate. This placed increasing strain on the silt fence as the impoundment depth increased, and concurrently, as hydrostatic pressure increased.
Table 1.
Summary of Silt Fence Failure Modes.
For all three installations of the ALDOT Trenched Silt Fence, the steel t-posts failed on either the second or third performance test as a result of the geotextile fabric becoming increasingly less porous, creating larger impoundments in shorter time periods. However, as the height of the impoundment increased, the steel t-posts began to deflect. This deflection continued until water overtopped the silt fence fabric resulting in a failure of the silt fence installation. The failure of the ALDOT Trenched Silt Fence is shown in Figure 3a. Since all three installations failed due to post deflection, the results indicate that while the current configuration of the ALDOT Trenched Silt Fence is able to withstand one, 2-year, 24-h rainfall event from a structural standpoint, this installation could be subjected to structural failure when exposed to multiple design storm events or a single design storm after multiple smaller storms clog the fabric in the field. Structural failure also effects the performance capabilities of the silt fence, which are made apparent when evaluating the sediment retention and water quality results.
Figure 3.
Silt fence installation failure modes, (a) ALDOT Trenched Silt Fence during test P-3, (b) ALDOT Trenched Silt Fence t-post deflection during testing, (c) Undercutting ALDOT Sliced Silt Fence, I-1, (d) Undercutting ALDOT Sliced Silt Fence, I-2, (e) AL-SWCC Trenched Silt Fence, Post #5, I-2, Test P-1, (f) AL-SWCC Trenched Silt Fence, Post #5, I-2, Test P-3.
All three installations of the ALDOT Sliced Silt Fence were undermined and failed during the first performance test. The failure of all three installations of this silt fence configuration were very similar in nature and occurred between 8 min and 12 min after the introduction of sediment-laden flow during the first performance test (i.e., the first storm event). The failure mode of the ALDOT Sliced Silt Fence is shown in Figure 3c,d. The test results indicate that this configuration would not perform adequately from a structural standpoint when exposed to a 2-year, 24-h rainfall event in the field. The sediment retention results also provide performance expectations when any silt fence undermines, which when compared to the performance of the silt fence practices that did not undermine, further support the need for effective installation practices for sediment control products and practices that utilize impoundment to produce sedimentation.
The only significant structural deficiency that was noted during any of the performance tests for the AL-SWCC Trenched Silt Fence was undermining around one of the six posts as the impoundment reached full height 28 min into the first performance test (P-1) of the second installation. However, the area that undermined eventually sealed due to sediment deposition as the impoundment drained and did not reappear during subsequent tests P-2 and P-3. The undermining of the post during test P-1 and the absence of undermining during subsequent performance tests of the same installation are shown in Figure 3e,f. The structural performance of the AL-SWCC Trenched Silt Fence during testing indicates that this configuration would be adequate to perform from a structural standpoint when exposed to multiple 2-year, 24-h storm events.
Trenching versus slicing-in silt fence installations has typically been based upon installation needs, costs, equipment, and labor availability. Slicing is considered a more efficient means of installation compared to trenching because the use of a tractor-drawn slicing implement is less labor intensive and is a faster installation method than the trenching method. However, the test results from a structural standpoint indicate that the trenching method of silt fence installation may be more reliable than the slicing method when installed correctly. Further evaluation of the slicing method may be required to determine if other slicing implements provide better performance. Of the two trenched practices, AL-SWCC Trenched Silt Fence outperformed the ALDOT Trenched Silt Fence. This is likely due to post spacing [1.2 m (4 ft) for AL-SWCC Trenched Silt Fence versus 3.1 m (10 ft) for ALDOT Trenched Silt Fence] as well as the density [1.4 kg/m (0.95 lbs/ft)] of the steel posts used in the ALDOT Trenched Silt Fence. It should be noted that the Alabama Handbook requires that silt fence installations use 1.9 kg/m (1.3 lbs/ft) T-posts (AL-SWCC 2014). However, suppliers typically provide lighter weight posts for ALDOT projects since there is no minimum weight requirement in ALDOT specifications. Deflection of these support posts was monitored during testing for all installations. Figure 3b shows the deflection of the ALDOT Trenched Silt Fence t-posts after each performance test. The t-posts for the ALDOT Trenched Silt Fence practice deflected an average of over 0.6 m (2 ft) for the three installations. The ALDOT Sliced Silt Fence posts did not deflect due to minimal impoundment exposure. The maximum impoundment depth for the ALDOT Sliced Silt Fence was 0.11 m (0.37 ft), 0.15 m (0.48 ft), and 0.15 m (0.49 ft) for installations 1, 2, and 3, respectively. On the other hand, the wood posts on the AL-SWCC Trenched Silt Fence practice experienced only minimal deflection despite withstanding increased impoundments with every performance test. The maximum post deflection observed during any performance test was 4.0 cm (1.6 in.) with average post deflections of 0.3 cm (0.1 in.), 0.6 cm (0.2 in.), and 0.9 cm (0.4 in.) for installations 1, 2, and 3, respectively. Deflection for the steel posts was different from the deflection of the wood posts. The steel posts were bent due to the hydrostatic pressure placed on the silt fence. This deflection increased with each storm event and subsequent impoundment depth. The deflection for the wood posts was due solely to dislodgement within the ground, which may be the reason for the undercutting documented during one of the test runs that occurred at one of the post locations.
Further research is required to evaluate the variation of possible installation practices such as closer post spacing and/or higher density steel T-posts (i.e., 1.4 vs. 1.9 kg/m [0.95 vs. 1.3 lbs/ft]) to improve the ALDOT Trenched Silt Fence structural performance and make possible enhancements to the installation configuration.
3.2. Sediment Retention
Complete topographic surveys of the test area using a robotic total station were conducted pre-test and post-test to quantify sediment deposition and erosion both upstream and downstream of the silt fence practice. The topographic data from the surveys were then analyzed using computer-aided design software. This software converted the raw data into a triangulated irregular network for a three-dimensional representation of the test area surface and allowed for a comparison of the pre-test and post-test channel topography [7]. Since the amount of sediment introduced was a known volume, the amount retained was compared to the amount introduced allowing for the determination of percentage retained by the system. Table 2 summarizes the performance for each silt fence installation in retaining sediment. Figure 4 depicts the general deposition pattern of sediment captured due to the upstream impoundment. The AL-SWCC Trenched Silt Fence had a sediment retention rate of 90.5%, outperforming the ALDOT Trenched Silt Fence and the ALDOT Sliced Silt Fence that had sediment retention rates of 82.7% and 66.9%, respectively. The AL-SWCC Trenched Silt Fence was effective at creating and withstanding a full impoundment upstream without overtopping or structurally failing, unlike the other two silt fence practices. When the steel t-posts on the ALDOT Trenched Silt Fence deflected to the point where the posts were nearly parallel to the ground allowing the practice to be overtopped, the impoundment upstream was lost and decreased the ability of practice to retain sediment. When the ALDOT Sliced Silt Fence was undermined, water passing underneath caused scouring that resulted in erosion both upstream and downstream of the fence. The undermining of the silt fence limited the maximum impoundment upstream to 0.11 m (0.37 ft), 0.15 m (0.48 ft), and 0.15 m (0.48 ft) for installations 1, 2, and 3, respectively, and limited the amount of time for sedimentation to occur. As indicated by the retained sediment rate of only 66.9%, this resulted in a higher quantity of suspended soil particles transported downstream of the silt fence. Due to the high level of undercutting and loss of impoundment, failure was considered to have occurred for each sliced-in installation after the first performance test and resulted in the installation not being subjected to tests P-2 and P-3. As previously mentioned, each silt fence was offset from the toe of the slope 1.8 m (6 ft), to provide extra storage for impoundment. This 1.8 m (6 ft) transition has only a 1% gradient slope, likely helping to slow runoff emanating from the 3:1 (H:V) slope. This transition likely provides enough energy dissipation to help the larger sand particles to fall out of suspension, even with minimal impoundment from the silt fence. This further emphasizes the benefit of not installing silt fence directly at the toe of the slope.
Table 2.
Summary of Silt Fence Practice Sediment Retention Data.

Figure 4.
Pre- and post-test documentation illustrating sediment capture, (a) ALDOT Trenched Silt Fence prior to testing, (b) ALDOT Trenched Silt Fence test area after P-3, (c) ALDOT Sliced Silt Fence prior to testing, (d) ALDOT Sliced Silt Fence test area after P-1, (e) AL-SWCC Trenched Silt Fence prior to testing, (f) AL-SWCC Trenched Silt Fence test area after P-3.
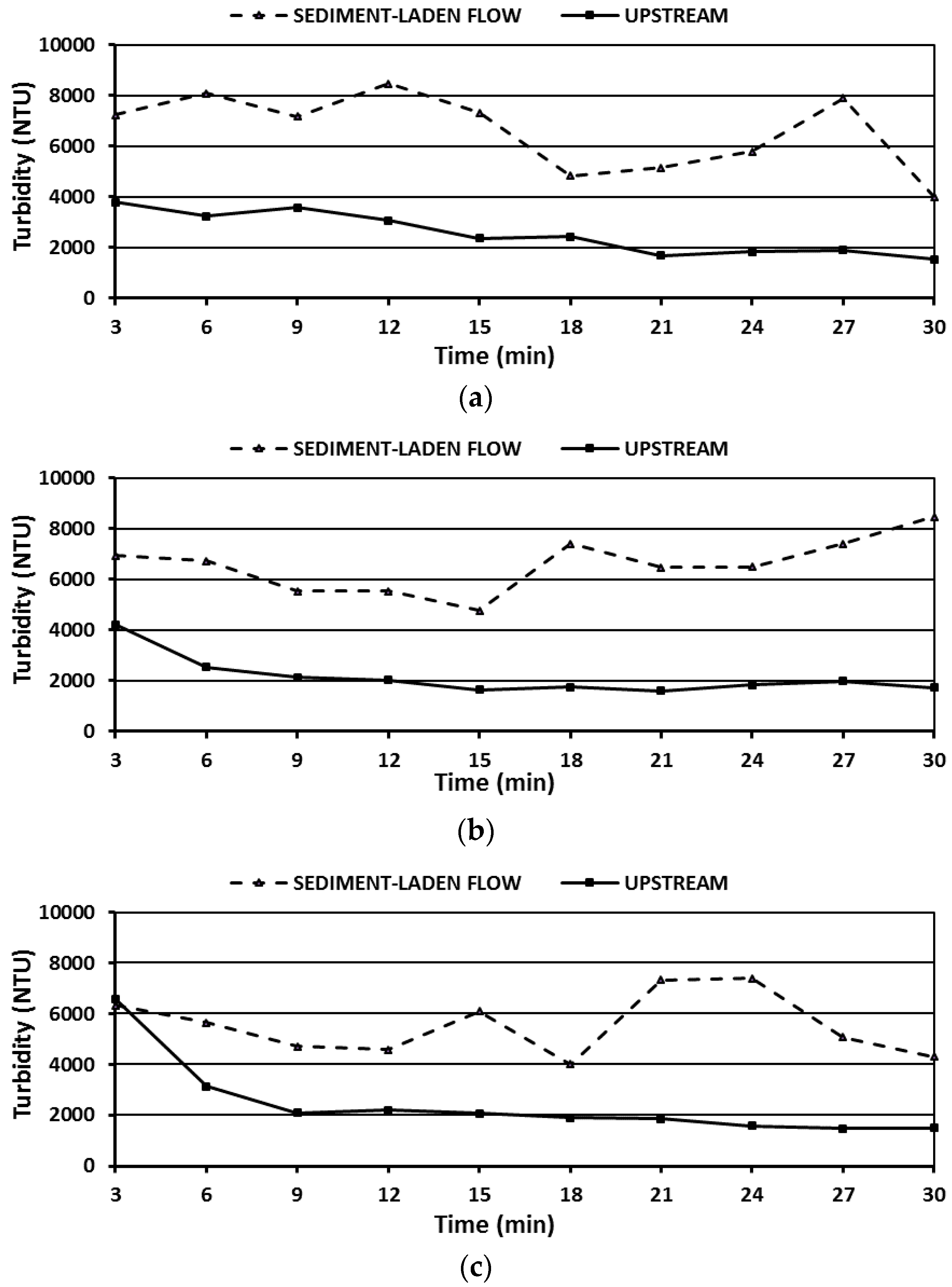
3.3. Water Quality
Turbidity is a metric often used by regulatory agencies to quantify the quality of stormwater runoff discharge from construction sites. To evaluate the effect each silt fence practice had on water quality, water samples were taken at four locations: (1) on the impervious slope upstream of the impoundment formed by the silt fence, (2) in the impoundment immediately upstream of the silt fence, (3) immediately downstream of the silt fence, and (4) at the discharge pipe where the outflow enters the collection tank [7]. Figure 5 contains graphs that depict the average turbidity for the duration of all performance tests conducted on the three silt fence practices. These test results indicate that none of the silt fences evaluated provided an improvement in turbidity between the upstream and downstream sampling points. The average turbidity readings were consistently higher for the samples taken downstream of the tested silt fence practice when compared to the readings for upstream samples. The exception to this condition occurs between 15 min and 24 min of performance testing for the ALDOT Sliced Silt Fence, as seen in Figure 5b, where the upstream readings for turbidity are significantly higher than the downstream readings. This exception occurred due to the ALDOT Sliced Silt Fence being undercut between 8 min and 12 min into the first performance test for all three installations allowing the sediment-laden flow to pass unimpeded under the silt fence material, resulting in no upstream impoundment being formed. In addition, the unimpeded sediment-laden flow eroded the test bed, thereby increasing turbidity.

Figure 5.
Average turbidity over time for each silt fence installation tested, (a) ALDOT Trenched Silt Fence, (b) ALDOT Sliced Silt Fence, (c) AL-SWCC Trenched Silt Fence.
Dewatering of the ALDOT Trenched Silt Fence practice lasted 90 min beyond the stoppage of the test flows. No water quality data was available upstream for the ALDOT Sliced Silt Fence practice once the practice completed after 30 min due to rapid dewatering of the impoundment. Some concentrated runoff occurred downstream due to rills forming and allowed for some sampling up to 39 min as the ponded water continued to runoff. The AL-SWCC Trenched Silt Fence practice was able to dewater 45 min after the test was completed, resulting in no data collection after 75 min.
As seen in Figure 5, it is apparent that the different silt fence materials do not provide improvements in water quality since minimal improvement in turbidity can be seen when comparing samples directly upstream and directly downstream of the silt fence. The ALDOT Trenched Silt Fence and the AL-SWCC Trenched Silt Fence resulted in similar water quality results. Once the test flows ceased, the process of sedimentation was able to improve water quality since the impoundment was not subjected to further sediment-laden test flows.
Figure 6 contains a graph showing the effect the upstream impoundment has on water quality for the only silt fence practice that did not fail structurally: the AL-SWCC Trenched Silt Fence. This figure compares the average turbidity for each installation, separated into the individual performance tests to show performance after each storm event. The impoundment had a significant impact in lowering turbidity based upon comparing the “Sediment-Laden Flow” taken just upstream of the impoundment on the impervious slope and the “Upstream” which has been treated by the impoundment, and is sampled directly upstream of the silt fence. While the test results indicate that the silt fence material did not lower the turbidity of water flowing through the geotextile, the silt fence installations did lower turbidity by impounding the sediment-laden flow and allowing the larger suspended soil particles to settle out of suspension upstream of the silt fence. There was an average reduction in turbidity between the “Sediment-Laden Flow” and the “Upstream” for tests P-1, P-2, and P-3 of 61.6%, 67.6%, and 56.1%, respectively. This data does suggest that the impoundment created upstream of the silt fence does have a positive impact in lowering turbidity. Figure 6 also shows that the turbidity decreases over time at the “Upstream” sampling point. This would appear to indicate that water quality is improved as the impoundment increases during each 30-min test, which will create longer flow paths and increased time for sedimentation to occur before reaching the “Upstream” sampling point. It should be noted that while there was some variation in the turbidity of the “Sediment-Laden Flow” at the various 3-min interval sampling times, the overall average turbidity for the sediment-flow for tests P-1, P-2, and P-3 was 6597, 6573, and 5545 NTU, respectively. This variation in turbidity for the sediment-laden flow in test P-3 may explain the lower average reduction in turbidity for test P-3.
Figure 6.
Turbidity reduction due to impoundment of the AL-SWCC Trenched Silt Fence, (a) average performance test 1 (P-1), (b) average performance test 2 (P-2), (c) average performance test 3 (P-3).
The test results indicate that turbidity initially decreases to 2000 NTU faster with each subsequent storm event. For P-1, 2000 NTU is reached at approximately 20 min. For P-2 and P-3, 2000 NTU is reached at the 12-min and 9-min mark, respectively, and maintains that level of turbidity for the remainder of the test. This is most likely the result of the “blinding” effect that occurs when the silt fence fabric becomes clogged with sediment from preceding tests. This “blinding” effect causes the impoundment upstream of the silt fence to form more rapidly. Thus, conditions suitable for sedimentation form more quickly with each additional storm event.
The results of the AL-SWCC Trenched Silt Fence provide a good comparison of performance for a properly performing silt fence practice. When overtopping does not occur, and the silt fence is properly keyed-in to the ground, resulting in minimal undercutting, the silt fence installation is able to provide adequate conditions for water quality improvement through sedimentation within the impoundment pool.
4. Conclusions
The research study demonstrated the performance of three different types of silt fence practices under full-scale performance testing that simulate conditions in the field. These three silt fence practices provided the ability to evaluate the performance of standard silt fence practices and effects of common failure modes. Performance testing consisted of subjecting the evaluated silt fence installations to 30 min of sediment-laden flow of 0.006 m3/s (0.22 ft3/s). The total sediment load of 507 kg (1116 lbs) of soil introduced at a constant rate of 16.9 kg/min (37.2 lbs/min) is estimated to be produced by the design rainfall event using the MUSLE equation. Each silt fence practice was subjected to three performance tests that demonstrate initial and sustained performance over time as the silt fence is subjected to subsequent rainfall events. The evaluated performance areas included structural performance, sediment retention, and effect on water quality.
The test results indicate that the structural performance of silt fence is the most important component in improving water quality and capturing sediment. Silt fence practices that perform well structurally allow a larger quantity of suspended soil particles to settle out of suspension upstream of the practice, capturing them before they are transported off-site, thereby having a direct effect in improving water quality. The test results also reflect the need for regular maintenance for the practices since the structural performance and the ability to maintain upstream impoundment is directly affected by sediment accumulation resulting from multiple storm events. Furthermore, it should be noted that these practices are not standalone sediment controls. As they are often used as perimeter controls, they may act as the last line of defense against elicit discharges. Therefore, it is important that the practice be complimentary to other erosion and sediment controls used throughout the site. This will help decrease the chance of failure with less sediment accumulation.
Additionally, the results indicate that the silt fence geotextile materials (i.e., nonwoven vs. woven) acting alone had little or no effect on water quality when measuring turbidity. Neither geotextile material showed increased effectiveness in filtering based upon water quality data. The higher turbidity recorded downstream when compared to upstream, however, may have been due to the upstream samples being taken at the top of the water column of the impoundment whereas the downstream samples were taken from the flow exiting the bottom of the silt fence that would likely have a higher concentration of suspended sediment fines as concentration levels increase with sedimentation occurring. Further evaluation of this possibility is warranted to further understand silt fence performance. However, the test results did indicate the impoundment upstream of silt fence is effective in decreasing turbidity and improving water quality via the process of sedimentation.
The information obtained through this study will be beneficial to designers when specifying silt fence on construction sites. Understanding the potential failure modes of silt fence is a critical component for formulating design, installation, and maintenance methods to enhance both initial and sustained performance in order to prevent environmental damage and resulting regulatory violations.
Acknowledgments
This paper is based on a study sponsored by ALDOT and the Auburn University Highway Research Center. The authors gratefully acknowledge this financial support. The findings, opinions, and conclusions expressed in this paper are those of the authors and do not necessarily reflect the view of the sponsors.
Author Contributions
Bugg/Donald/Zech/Perez contributed to this research study based upon the following percent contributions: Conception of the Research Methodology: 25/35/25/15, Performance of Testing: 75/10/10/5, Analysis of the Data: 50/25/15/10, and Authorship of this Paper: 40/35/15/10.
Conflicts of Interest
The authors declare no conflict of interest. The funding sponsors had no role in the design of the study; in the collection, analyses, or interpretation of data; in the writing of the manuscript, and in the decision to publish the results.
References
- U.S. Department of Agriculture (USDA). Soil Quality—Urban Technical Note No.1, Erosion and Sedimentation on Construction Sites; Natural Resources Conservation Service: Auburn, AL, USA, 2006.
- U.S. Department of Agriculture (USDA). Urban Soil Erosion and Sediment Control; Natural Resources Conservation Service: Champaign, IL, USA, 2008.
- U.S. Congress. Clean Water Act. In Federal Water Pollution Control Act, 33 U.S.C. §1251 et seq.; U.S. Congress: Washington, DC, USA, 1972. [Google Scholar]
- U.S. Congress. Water Quality Act of 1987. In Public Law 100-4; U.S. Congress: Washington, DC, USA, 1987. [Google Scholar]
- Barrett, M.; Malina, J.F., Jr.; Charbeneau, R. An evaluation of the performance of geotextiles for temporary sediment control. Water Environ. Res. 1998, 70, 283–290. [Google Scholar] [CrossRef]
- Thompson, J.; Sattar, A.; Gharabaghi, B.; Warner, R. Event-Based Total Suspended Sediment Particle Size Distribution Model. J. Hydrol. 2016, 536, 236–246. [Google Scholar] [CrossRef]
- Bugg, R.A.; Zech, W.C.; Donald, W.N.; Perez, M.A. Improvements in Standardized Testing for Evaluating Sediment Barrier Performance: Design of a Full-Scale Testing Apparatus. J. Irrig. Drain. Eng. 2017, 143, 1–11. [Google Scholar] [CrossRef]
- Alabama Soil and Water Conservation Committee (AL-SWCC). Alabama Handbook for Erosion Control, Sediment Control and Stormwater Management on Construction Sites and Urban Areas; Alabama Soil and Water Conservation Committee: Montgomery, AL, USA, 2014; Volume 1.
- ASTM International. Standard Test Method for Determination of Sediment Retention Device Effectiveness in Sheet Flow Applications; ASTM D7351-13; ASTM International: West Conshohocken, PA, USA, 2013. [Google Scholar]
- ASTM International. Standard Test Method for Determining Filtering Efficiency and Flow Rate of the Filtration Component for a Sediment Retention Device; ASTM D5141-11; ASTM International: West Conshohocken, PA, USA, 2011. [Google Scholar]
- Sprague, C.; Sprague, J. BMP Testing for Erosion and Sediment Control; Unpublished Report; Georgia Soil and Water Conservation Commission: Athens, GA, USA, 2012. [Google Scholar]
- Risse, L.M.; Thompson, S.A.; Governo, J.; Harris, K. Testing of new silt fence materials: A case study of a belted strand retention fence. J. Soil Water Conserv. 2008, 63, 265–273. [Google Scholar] [CrossRef]
- Troxel, C.F. Life Cycle Analysis of Sediment Control Devices. Master’s Thesis, Georgia Institute of Technology, Atlanta, GA, USA, 2013. [Google Scholar]
- Donald, W.; Zech, W.; Perez, M.; Fang, X. Evaluation and modification of wire-backed nonwoven geotextile silt fence for use as a ditch check. J. Irrig. Drain. Eng. 2016, 142. [Google Scholar] [CrossRef]
- Alabama Department of Environmental Management (ADEM). National Pollutant Discharge Elimination System Permit, General Permit; Alabama Department of Environmental Management: Montgomery, AL, USA, 2016.
- Perez, M.A.; Zech, W.C.; Donald, W.N.; Fang, X. Methodology for evaluating inlet protection practices using large-scale testing techniques. J. Hydrol. Eng. 2015, 20, 1–9. [Google Scholar] [CrossRef]
- Williams, J.R.; Berndt, H.D. Sediment Yield Prediction Based on Watershed Hydrology. Trans. ASAE 1977, 20, 1100–1104. [Google Scholar] [CrossRef]
- Alabama Department of Transportation (ALDOT). Standard Drawing ESC-200 (Sheet 4 of 5); Alabama Department of Transportation: Montgomery, AL, USA, 2016.
© 2017 by the authors. Licensee MDPI, Basel, Switzerland. This article is an open access article distributed under the terms and conditions of the Creative Commons Attribution (CC BY) license (http://creativecommons.org/licenses/by/4.0/).








