Abstract
Maize (Zea mays L.) productivity is constrained by water shortages in the predominantly rainfed agriculture of the tropical semi-arid Ruzizi Plain, in the eastern Democratic Republic of Congo (DRC). The region is characterized by a high seasonal and inter-annual rainfall variability and a frequent occurrence of consecutive dry days within growing seasons. Consequently, planning water utilization in rainfed agriculture has become complex, as appropriate soil water conservation (SWC) practices are lacking among most smallholder farmers. Identifying practices that increase water use efficiency (WUE) along the slope gradient is crucial for supporting maize production in the region. In this study, we assessed, for three growing seasons, the effectiveness of two SWC practices (tied ridges and Zai pits) in improving the WUE of two maize varieties along three slope gradients (0–2, 2–8, and 8–15%) in the tropical semi-arid Ruzizi Plain. In this area, rainfall amounts (142–289 mm) were consistently below the evapotranspiration demands (356–533 mm) across the three growing seasons. Tied ridges recorded the highest grain yield (2.16 t ha−1) and WUE (15.23 kg mm−1), especially at low slopes, when compared to Zai pits and conventional tillage. For all SWC practices, WUE decreased with the slope gradient (p < 0.01). Furthermore, a decrease in stored soil water (SWS) at silking and maturity stages (milk, dough, and dent stages) negatively affected the WUE. The variety had no significant effect on grain yield and WUE. Root biomass (RBM), shoot biomass (SBM), and leaf area index (LAI) at the flowering stage were the most associated with the WUE (R2 = 58.5%). In conclusion, tied ridges showed potential for improving maize WUE and yield in the water-deficient conditions that characterize the Ruzizi Plain, and could be promoted to improve the maize productivity among smallholder farmers.
1. Introduction
Soil water deficit is one of the main factors affecting maize (Zea mays L.) productivity in rainfed agriculture in the sub-Saharan African (SSA) drylands [1,2]. About 40% of maize growing areas in SSA experience drought episodes, leading to substantial yield losses of 10–60% [3]. Water is a critical factor for maize production, which requires attention in water-deficient areas to sustain the crop productivity. Generally, maize performs optimally in regions that receive an annual rainfall of 600–1000 mm [4]. In the drylands of SSA, maize requires 450–600 mm of water seasonally for its optimum growth and development due to high evaporative demand [4]. Water used by the crop is sourced mainly from the soil moisture reserves and rarely meets the crop requirement in drought-prone areas. In the semi-arid regions of SSA, a rainfed maize crop yields ~15 kg ha−1 of grain per 1 mm of evapotranspirated water [5,6]. Thus, the management of soil water from rainfall is crucial to reduce the water deficit in dryland areas. The soil and water conservation (SWC) practices in most African countries have remained traditional and inappropriate in addressing the currently experienced water deficit. More efficient SWC practices are needed to improve the WUE of different crops and to cope with the increasing water scarcity associated with climate change [1,7].
Various SWC practices, such as minimum tillage, stone alignment, stone barriers, Zai pits, half-moon, hedges, terraces, trenches, and tied ridges have been widely tested in different rainwater stressed regions of SSA [8,9,10]. Their effects on WUE, especially under low rainfall conditions, have been well documented [11,12,13]. In those regions, practices, such as tied ridges and Zai pits, showed potential in improving the grain yield and WUE of maize and other cereal crops by saving water and reducing runoff and nutrient losses from erosion [1,2].
In the Democratic Republic of Congo (DRC), maize is the most cultivated cereal crop, with a total annual grain production of 2.07 million tons from 2.68 million hectares in 2018 [14]. The Ruzizi Plain is among the regions with the highest maize production potential in the eastern DRC. Maize became the leading staple crop in that region since the African cassava mosaic virus and the cassava brown streak disease outbreaks that devastated cassava farms in the eastern DRC [15,16].
The Ruzizi Plain experiences a soil water deficit as a result of the imbalance between the cumulative annual evapotranspiration (1300–1500 mm) and the annual rainfall (500–900 mm). Furthermore, rainfall is poorly distributed across the cropping season and its availability does not always match with water demands at particular maize growth phases [17]. There is, therefore, a need to increase the maize WUE in the Ruzizi Plain, which is dominated by sandy soils with low water retention capacity and rapid water percolation [18,19].
The WUE has been defined as the grain yield achieved per unit of water consumed or transpired by the crop [20,21]. Therefore, the two ways of improving WUE in rainfed agriculture could be either using more water resources for transpiration or fixing more carbon per unit of transpired water [22]. The physical, engineering, hydrological, and agronomic practices can be used to maximize transpiration by minimizing losses from runoff, drainage, and evaporation. Nyakudya et al. [23] showed that improving crop transpiration efficiency could be achieved by converting rainfall efficiently into transpiration. Practices that minimize rainwater losses need to be tested in local soil and landscape (slope gradient) conditions to increase transpiration efficiency. However, little is known in most SSA drylands, and especially in the Ruzizi Plain, about the magnitude of the effects of the slope gradient on the effectiveness of SWC practices.
Previous studies in the Ruzizi Plain [24,25,26] focused on the effect of selected SWC practices on maize grain yield and physiological parameters without considering the influence of the slope gradient and varieties on maize WUE. One of the major challenges in achieving a high WUE using SWC practices is the amount of available water resources. Due to the lower amount of rainfall received yearly compared to the crop water requirement, maize grown in the Ruzizi Plain obtains most of its seasonal rainfall during the first months and, thus, experiences sporadic drought at critical phases, such as flowering and grain filling [27,28]. Several studies reported that SWC practices as a strategy to increase WUE are unreliable below a certain crop available stored water threshold [29,30,31]. Thus, efforts to improve WUE using SWC practices could be undermined by low water supply [21]. It is noteworthy that stored soil water deficit often coincides with critical growth phases when maize water demand is high. It is, therefore, important to investigate how water storage at different growth stages affects the maize WUE under different SWC practices in the Ruzizi Plain. Maize absorbs ~45% of its water requirements during its critical growth periods (prior the tasseling to mid-milk stages). Each single plant needs 8–9 mm of water daily during the flowering period. An early drought occurring two weeks before flowering can reduce grain yield by 25% [32]. The yield loss may exceed 50–60% if the water stress coincides with flowering [27,32].
The objectives of this study were as follows: (i) to determine variations in evapotranspiration, rainfall, and water storage under the Ruzizi Plain’s climatic conditions; (ii) to assess the relationships between the maize growth parameters and the WUE under different SWC practices along the slope gradient; (iii) to assess trends of water use by the crop and supply by rainfall during critical maize growth phases in the Ruzizi Plain, eastern DRC.
2. Materials and Methods
2.1. Description of the Study Area
This research was conducted in the Great Tanganyika basin, specifically in the Ruzizi plain (near the Uvira town). The Ruzizi Plain is spread over three countries, namely Rwanda, the DRC, and Burundi, and covers 175,000 ha (Figure 1). The experiments were conducted over three cropping seasons (November 2017 to March 2018, March 2018 to July 2018, and November 2018 to March 2019) on three slope gradients (0–2, 2–8, and 8–15%).
Figure 1.
Location of the experimental site, Ruzizi Plain, eastern DRC.
The Ruzizi Plain has a type Aw4 tropical climate according to the Köppen climatic classification. This climate is characterized by a bimodal rainfall regime. The long rainy season commences in October and ends in February, while the short rainy season starts in February and ends in June. The short rainy season is followed by a four-month dry season (June to September). The Ruzizi plain receives an average annual rainfall ranging from 600 to 900 mm [17,28]. Minimum and maximum temperatures are 18 and 32 °C, respectively, with high daily variations (14 °C). For estimating water supply and climate conditions for maize growth and development, weather parameters (rainfall, temperature, solar radiation, wind speed, and relative humidity) were recorded using an automatic weather station (Davis Vantage Pro2 Weather Station) installed ~500 m from the experimental site (Supplementary Table S1). During the study periods, the maximum temperatures varied from 30.4 to 32.2 °C while the minimum temperatures ranged from 15.2 to 19.4 °C. The average temperature was 24.4 °C. The actual evapotranspiration (ETc) was generated using the FAO-56 crop coefficient equation, as follows:
where is the potential evapotranspiration calculated using the Penman and Monteith equation, and the maize crop coefficient, which is a function of physiological stages [33]. We assume that the sand-related soil texture and semi-arid climate characteristics of South Texas as described by Piccinni et al. [33] are close to the Ruzizi Plain soils and, thus, use a similar Kc value.
Ruzizi Plain soils belong to various types linked to different geological formations. The geological history of the Ruzizi Plain is linked to the great tectonic movements that shaped the landforms of East Africa [19]. The bulk density of these soils varies between 1.28 and 1.65 g/cm3. The texture is predominantly loam to sandy loam. The soil of the experimental site was analyzed for each plot at the three slope gradients. Composite soil samples were collected at depths of 0–20, 20–40, and 40–60 cm before implementing SWC practices and sowing. A total of five composite soil samples were collected at each slope gradient along the diagonal using a soil auger of 20 cm depth. These soil samples were then bulked prior to the analyses of soil chemical and physical properties. The soil pH was determined by a digital pH meter at a 1:5 (solute–solution) ratio. The soil organic carbon (SOC) was determined by wet oxidation using the Walkley and Black method [34]. Total nitrogen and available phosphorus were determined using the Kjeldahl and modified Olsen methods, respectively [35]. The soil texture was determined by the hydrometer method [34], while the soil bulk density was determined using the core method in which core samples were oven-dried at 105 °C for 24 h. Soil water characteristic curve elements, such as permanent wilting point at 1.5 MPa, field capacity at 0.033 MPa, saturation point at 0 MPa, and hydrodynamic properties, such as saturated hydraulic conductivity, were estimated using the Saxton and Rawls [36] pedotransfer function for loams and sandy loam soils.
2.2. Experimental Design and Field Management
The experiment was conducted under a 3 × 3 × 2 factorial design for three growing seasons (November 2017 to March 2019) as specified above. We used three factors, namely slope gradients (0–2, 2–8, and 8–15%), SWC practices (tied ridges, Zai pits, and conventional tillage) and varieties (Ecavel and Bazoka). Each SWC practice and each variety were replicated three times at each slope gradient. Ecavel is the most widely cultivated maize variety in the Ruzizi Plain, while Bazoka is a hybrid variety introduced in 2016 from Uganda. Ecavel is an open pollinated variety with a growth cycle of 90–110 days and a yield potential of 1.5–3 t ha−1. This variety is recommended at altitudes of 800–1300 m above sea level. No report on its drought resistance exists [15]. On the other hand, Bazoka, a drought resistant variety which averages two ears per plant, is perfect for silage, and has good grain quality, with superior yields (3.6 to 4 t ha−1). Its growth cycle is 130 days (data retrieved from NASECO SEEDS website: http://www.nasecoseeds.net/, accessed on 1 December 2020). Each subplot was 4 m wide and 6 m long.
The Zai pits technique consisted of excavating a shallow depression of 15 cm depth and 35 cm diameter [37,38]. Zai pits were spaced out 80 cm between planting rows and 50 cm within rows. Tied ridges were built by raising the earth to 50 cm height with a 20 cm diameter. To avoid erosion, ridges (6 m) were partitioned every 2 m. Damage to the ridges was continuously repaired throughout the season. The distance between ridges was 80 cm, as described by Araya and Stroosnijder [39] and McHugh [40]. The tillage was carried out at a depth of 15 cm using a hand hoe for the conventional tillage. Maize seeds were sown at an 80 and 50 cm spacing between and within rows. Fertilizer was applied in the form of NPK (17–17–17) at the planting date and urea (46–0–0) was used as a top-dressing fertilizer at the rate of 120 kg ha−1 and 25 kg ha−1, respectively. Weeding was carried out 14, 42, and 60 days after sowing (DAS) to keep the fields clean throughout the growing season.
2.3. Data Collection
2.3.1. Determination of Stored Soil Water (SWS)
The global equation of the stored soil water (SWS) as suggested by Mueller et al. [41] was used, as follows:
where SWS is the stored soil water. The inflow components are daily rainfall (P) and irrigation (which was zero for this study). The outflow components included daily surface runoff (R) and daily downward drainage (D).
Rainfall (P) was collected using an automatic weather station equipped with a tipping bucket rain gauge. Surface runoff (R) was collected using bounded runoff traps installed in each plot. Each runoff trap was equipped with a V-gutter to collect and transport runoff water into a storage tank of 0.4 m3. The storage tank was connected to a 20 liter container in case of overflow. The runoff volume collected was converted to water depth (mm) by dividing it by the plot size.
The downward drainage (D) was collected by a drainage system tray of 50 cm depth and 50 cm diameter installed in each plot. The tray was filled with the on-site soil and the amount was estimated based on the bulk density. Thus, 122, 127, and 130 kg of soil were filled for slope gradients of 0–2, 2–8, and 8–15%, respectively. Maize was sown on the tray to maintain water suction and nutrient fluxes. The volume of drainage water was converted to water depth (mm) by dividing it by the plot size.
The SWS was estimated daily and calculated by cumulating daily values for different growth stages for the three growing seasons. Growth stage designations were based on the crop coefficient developed by FAO-56, as suggested by Piccinni et al. [33]. These were converted into their equivalence as suggested by Udom and Kamalu [42] and Dong et al. [43]. These included the initial (VE–V3), crop development (V4–VT), mid-stage (reproductive stages R1–R3, silking to milk), and end-stage (R4–R6, dough to physiological maturity) designations.
2.3.2. Assessment of Growth Parameters
Plant height, stem diameter, internode distance, leaf area index (LAI), root biomass (RBM), and shoot biomass (SBM) were collected. Ten maize plants were selected randomly for growth parameter measurements for each plot at the flowering (mid-) stage. Plant height was measured from ground to the plant apex while the internode distance was measured between two nodes using a ruler. For the stem diameter, a digital calliper was used at ~10 cm above the ground. The leaf area index (LAI) was then calculated by dividing the total leaf area (LA) by the total plot area. The LA was estimated using a generalized leaf area calculation, as follows in Equation (3):
where is the leaf area, is leaf length, is the leaf width, and is the weighing factor that equals 0.75 for the tropical maize [44,45].
For RBM, an excavation of roots embedded in soil was performed, which consisted of opening a pit (surface area of 0.25 m2) to a depth of 0.30 m, perpendicular to the sowing bed. The root–soil mixture was then carefully shaken to extract the roots. The roots were washed with tap water and dried before being weighed and brought to the laboratory. Shoots were weighed before being sent to the laboratory for drying. Root and shoot samples were oven-dried at 75 °C for ~72 h and re-weighed. Root/shoot ratio (RSR) was estimated using dry root and shoot biomasses.
2.3.3. Assessment of Yield and Yield-Related Parameters
The maize was harvested at maturity, at 105–110 DAS for Ecavel and 121–125 DAS for the Bazoka variety, depending on the cropping season. A 5.2 m × 3.5 m (18.2 m2) harvesting area per plot was selected for yield measurement. Harvesting was carried out manually when all leaves and husks were completely dry. The cobs were separated from husks and then sun-dried at 15.5% moisture content. Thirty maize cobs were randomly selected per plot to estimate the number of cobs, the number of rows per cob (NRC), and the number of kernels per row (NKR). Subsequently, the kernels were separated from the cobs; their length (LCP) was measured using a digital calliper. The grain was then separated from the cobs, and sun-dried again to ~15.5% moisture content. The final plot grain yield was then extrapolated to yield per ha. The harvest undex (HI) was estimated by dividing the grain yield by the total dry biomass (root and shoot).
2.3.4. Water Use Efficiency Estimation
The WUE was obtained by comparing harvested rainwater (stored soil water) per SWC practice with harvested maize grain yield as suggested by Yang et al. [20] and Liu et al. [46]. The WUE was expressed in Equation (4), as follows:
where is the water use efficiency, the maize yield (kg ha−1), and is the stored soil water during the crop growing season.
2.3.5. Statistical Analysis
Data were analyzed using R 3.5.3 software. Data normality was tested using the Shapiro–Wilk test. The mixed model analysis with restricted maximum likelihood (REML) was used to assess the treatments’ statistical differences. The SWC practices, slopes, and varieties were considered fixed effects, and the three seasons and replications were random effects. Models were tested using the Akaike information criterion (AIC), and the one with the smallest value was selected. Thus, the interaction effect model (SWC × slope × variety) was selected for growth parameters, yield, and WUE analyses, as recommended by Roy [47]. When the treatment effects were statistically significant, standard error of difference (SED) post hoc range test was used to determine how the treatments differed from each other at an alpha level of 0.05 [48]. The relationship among variables was assessed using a multiple linear regression model. All predictors’ value data were normalized to avoid the influence of some parameters with larger values on the estimator. The collinearity was checked for removing inter-correlated variables.
3. Results
3.1. Characterization of Soil, Rainfall and ETc for the Three Growing Seasons
Table 1 presents the soil physical and chemical characteristics of the experimental fields. Supplementary Table S2 shows no significant variations in soil physical and chemical parameters before implementing the SWC practices (p > 0.05). There are, however, significant differences in some parameters for slope gradient and soil depths. From Table 1, a significant variation in the coarse fraction for different slope gradients (p < 0.05) and soil depths (p < 0.05) was observed. The coarse fraction did not vary significantly with soil depth for the slope gradient of 0–2%, and it was 2.5% on average. A similar trend was observed for slopes of 8–15% but with an average of 29.3%. The coarse fractions were 4.69, 45.6, and 34.6% for the depths of 0–20, 20–40, and 40–60 cm, respectively, for the slope gradient of 2–8%. The soil texture was a sandy loam for all depths of all slope gradients, except for the slope of 0–2% at 40–60 cm soil depth where the texture was sandy clay loam. The bulk density varied with soil depth (p < 0.05) but showed no variation with the slope gradient (p > 0.05). The averages of 1.15, 1.33, and 1.41 g cm−3 were recorded for the depths of 0–20, 20–40, and 40–60 cm, respectively. The saturation point (at 0 MPa) was 40.2% while the field capacity (at 0.03 MPa) was 14.03%. For soil organic carbon (SOC), the result shows a variation in SOC for slope gradients (p < 0.05) and soil depths (p < 0.05) (Table 2). SOC was higher at slopes of 0–2% (27.03 g kg−1) compared to slopes of 2–8% (20.4%) and 8–15% (16.9%). The SOC varied with different soil depths, as follows: it was 34.4, 19.1, and 10.8 g kg−1 at soil depths of 0–20, 20–40, and 40–60 cm, respectively. The soil pH varied with slope gradients (p < 0.05). The highest pH was recorded at the slope of 8–15% (8.4).
Table 1.
Soil physical and chemical properties at the experimental sites along the slope gradient in the Ruzizi Plain, eastern DRC.
Table 2.
Variation in maize growth parameters along the slope gradient in the Ruzizi Plain.
The characterization results of the atmosphere’s ETc demand compared to the amount of rainfall received during the three growing seasons is presented in Figure 2. Rainfall of 204.7, 289.5, and 142.3 mm were recorded from sowing to harvest for seasons 1, 2, and 3, respectively. In contrast, the demands for evapotranspiration (ETc) were 360.7, 532.7, and 356.2 mm, respectively. On the other hand, several days without rain were recurrent, representing 52.9, 66.9, and 71.5% of the days in seasons 1, 2 and 3, respectively. Despite the relatively low amount of rain received during season 1, its rainfall distribution was better than season 2. In season 2, the amount of rainfall at silking (70.5 mm) was lower compared to 80.3 mm rainfall received in season 1. Season 2 received the least rainfall (0.5 mm) during the physiological maturity phase compared to 56.2 mm rainfall registered in season 1. More rainfall was recorded during the establishment and active growth phases (V4–VT) in season 2 (178.3 mm) than in season 1 (45.7 mm). Season 3 was exceptional, receiving only enough rainfall during the establishment phase (40.8 mm), while the other growth stages had less water than seasons 1 and 2, though it was well-distributed.
Figure 2.
Rainfall and evapotranspiration characteristics of different seasons and maize growth stages: (a) Season 1, (b) Season 2, (c) Season 3, and (d) comparison of the three growing seasons.
3.2. Water Use Efficiency under Selected Swc Practices along the Slope Gradient
3.2.1. Effects of SWC, Slope Gradient and Variety on Maize Growth Parameters across Growing Seasons
Maize variety significantly affected the stem diameter and SBM only (p < 0.05). The Bazoka variety had the largest stem diameter (9.73 cm) and the highest SBM (6.02 t ha−1) compared to Ecavel (7.18 cm and 5.5 t ha−1 for stem diameter and SBM, respectively).
All maize growth parameters varied significantly with slope gradients (p < 0.01) (Table 2). The mean plant height and internode distance were highest for the slope of 0–2% (210.03 and 15.37 cm, respectively) while the lowest means were recorded for 8–15% (161.18 and 12.44 cm, respectively). The LAI and SBM recorded the highest values at the slope of 0–2% (2.63 and 6.36 t ha−1, respectively) and the lowest at 8–15% (1.11 and 4.79 t ha−1, respectively). No significant differences in RBM and RSR were observed between slopes of 0–2 and 2–8% (2.6 t ha−1 and 0.42, respectively), but these were significantly different at 8–15% slope (1.97 ha−1 and 0.37, respectively).
The SWC practices significantly affected maize growth parameters (Table 3 and Supplementary Table S3). Tied ridges and Zai pits recorded the highest plant height, at 196.04 and 184.20 cm, respectively, compared to conventional tillage (169.67 cm). Zai pits had the largest stem diameter (10.30 mm) compared to tied ridges (8.89 mm) and conventional tillage (6.92 mm). Tied ridges and Zai pits recorded the highest internode distance, SBM, and RSR compared to conventional tillage. Looking at the sunlight interception, the highest LAI was recorded on tied ridges (2.07), followed by Zai pits (1.81) and conventional tillage (1.62). This implied that the photosynthetically-active radiation was better under tied ridges during the vegetative growth phase than the other SWC practice (Zai pits) and the conventional tillage.
Table 3.
Variation in maize growth parameters under selected SWC practices in the Ruzizi Plain.
The interaction between the slope and SWC practices were significant for LAI and interfoliar distance (p < 0.05). The tied ridge SWC technique recorded the highest internode distance at the 0–2% slope (16.1 cm) while Zai pits had the highest internode at the 2–8% slope (13.76 cm). Tied ridges had the highest LAI for the three slope gradients. At the slope of 0–2%, Zai pits had a similar LAI (2.55) as conventional tillage (2.61). At the slope of 2–8% (1.06) and 8–15% (0.80), conventional tillage had the lowest LAI (Figure 3). The interaction between SWC practices and varieties and between SWC practices, slope, and varieties showed significant differences only for stem diameter and internode distance.
Figure 3.
Leaf area index under SWC practices along the slope gradient in the Ruzizi Plain.
3.2.2. Effects of SWC Practices, Slope Gradient and Variety on Yield Components across Growing Seasons
Yield components were not significantly different for the two test varieties (p > 0.05). However, yield components varied significantly with slope gradients. The length of cob per plant (L.C.P.) was highest at 0–2% (18.9 cm) and lowest at 8–15% (11.14 cm). The same trend was observed for NRC and NKR (p < 0.05). The highest values for these two traits (12.8 and 35.23 for NRC and NKR, respectively) were recorded at the slope of 0–2%. The SWC practices influenced the NRC and NKR (p < 0.05). No effect of SWC practices on LCP was observed (p > 0.05).
Figure 4 shows that the grain yield and harvest index (HI) varied with slope gradient (p < 0.01). Grain yield also varied with SWC practices, while HI did not vary with SWC practices. The grain yield was highest at the 0–2% slope (2.67 t ha−1) and the lowest at 8–15% (0.38 t ha−1), showing a decline of 85.7%. The HI was 0.43 for the slope of 0–2%, while it was 0.07 for the 8–15% slope. Based on SWC practices, tied ridges had the best yield (2.16 t ha−1) when compared with Zai pits (1.48 t ha−1) and conventional tillage (1.58 t ha−1). The yield increment due to tied ridges was 38.7% compared to conventional tillage.
Figure 4.
Maize yield (a) and harvest index (b) under SWC practices along slope gradients in the Ruzizi Plain.
Maize yield was influenced significantly by the interaction between SWC practices and slope gradient (p < 0.01). The difference in yield among SWC practices was observed at slope gradients of 0–2 and 8–15%, while at slope gradient of 2–8%, no difference was observed between SWC practices. Tied ridges registered the highest yield (3.55 t ha−1) at the slope of 0–2% and the lowest at a slope of 8–15% (0.14 t ha−1) for conventional tillage. No difference in yield was observed between SWC practices at the slope of 2–8%. This implies that biomass conversion to yield was most efficient on tied ridges than Zai pits.
3.2.3. Effects of SWC and Slope Gradient on Water Use Efficiency
The WUE was significantly different for the three growing seasons (p < 0.01). The highest WUE was observed in season 1 (16.44 kg mm−1) and the lowest in season 3 (5.33 kg mm−1). While receiving more rain, season 2 performed less than season 1. No significant difference on WUE was attributed to variety (p > 0.05). There were significant differences for WUE due to slope gradients (p < 0.01). The slope of 0–2% showed the highest WUE (15.23 kg mm−1) compared to slopes of 2–8% (10.94 kg mm−1) and 8–15% (3.28 kg mm−1). The SWC practices significantly affected the WUE (p < 0.01) across the growing seasons (Figure 5), with tied ridges recording the best score. This SWC practice produced 13.22 kg of maize grains per each 1 mm of water consumed, while conventional tillage and Zai pits showed no significant differences. Tied ridges increased the WUE by 27.2% as opposed to Zai pits.
Figure 5.
SWC practices (a), slope gradient (b), and slope × SWC practices interaction effects (c) on water use efficiency in the Ruzizi Plain, eastern DRC.
The interaction between SWC practices and slope gradient was significant (p < 0.01). Tied ridges had the highest WUE on slopes of 0–2% (19.15 kg mm−1) and 8–15% compared to Zai pits and conventional tillage. There was no statistical difference between Zai pits and conventional tillage on these slopes. No significant differences in WUE were observed for the slope of 2–8% regardless of SWC practices. However, Zai pits were efficient at the 8–15% slope compared to conventional tillage. Tied ridges were efficient for slopes of 0–2% and 8–15%, although they were not efficient on the slope of 2–8%. The deviations of tied ridges to the control were 61.36% for the slope of 0–2% and 379.9% for 8–15%. Compared to the control, the Zai pits technique was an inefficient SWC practice in the Ruzizi Plain for the slopes 0–2%. The influence of season, SWC practices, and slope gradient are presented in Figure 5.
3.3. Relationships between Maize Growth Parameters, SWS, and WUE
3.3.1. Changes in Stored Soil Water along Crop Growth Stages
The variation in stored soil water (SWS) among selected SWC practices along the slope gradient is presented in Figure 6. In general, the SWS followed a similar trend as the rainfall (Figure 2), meaning that the higher the rainfall, the higher the SWS. The SWS variations were attributed to seasonal effects (p < 0.001) and the slope gradient (p < 0.001), but not to SWC practices (p > 0.05). The interaction between season, SWC, and slopes gave the significant difference during the growing season (p < 0.001). In the three seasons, the higher SWS was observed under tied ridges for slopes of 0–2% (193, 219, and 125 mm, respectively) compared to Zai and conventional tillage (Supplementary Figures S1–S3). For a 2–8% slope gradient, tied ridges performed well only in season 2, while for slopes of 8–15%, the storage benefits of the tied ridges are considerably lower and similar for conventional tillage and Zai pits. This performance also depends on growth phases. The efficiency of water retention decreased with a slope gradient at 25.5% for the 2–8% slope and 40.7% for the 8–15% slope.
Figure 6.
Variation in soil water storage among selected SWC practices along the slope gradient in the Ruzizi Plain.
3.3.2. Influence of Maize Growth Parameters on WUE
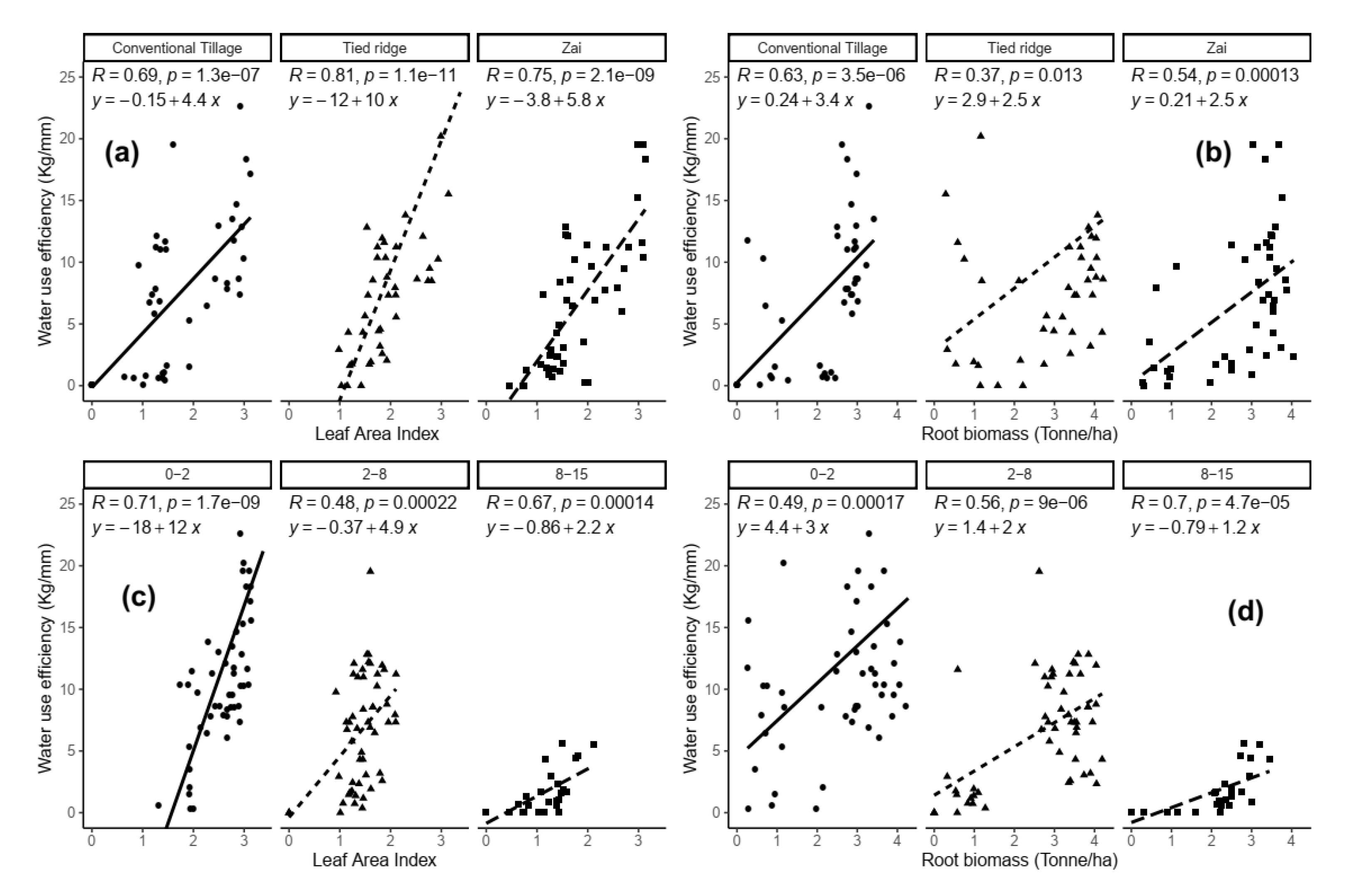
Multiple regression analysis (Figure 7) revealed that RBM, SBM, and LAI influenced WUE with a coefficient of determination (R2) of 58.5%. Among the crop parameters, LAI had the highest influence on WUE compared to RBM and SBM (, where β1, β2, and β3 are LAI, RBM, and SBM, respectively). The increase in LAI and RBM tended to increase WUE, while increasing SBM tended to decrease WUE. The influence of LAI, RBM, and SBM on WUE varied with SWC practices (p < 0.01) and slope gradient (p < 0.01). The effect of LAI on WUE was relatively more important on tied ridges compared to Zai pits and conventional tillage. It implies that an increase in water storage by tied ridges during the vegetative growth stage improved the LAI, which consequently influenced the WUE. In contrast, RBM affected the WUE more in conventional tillage with an estimate of 2 (R2 = 0.67) compared to Zai pits and tied ridges (Figure 7). The increment in SBM had no effect on WUE under tied ridges and Zai pits, while it significantly improved the WUE on conventional tillage. Shoot biomass accumulation had no effect on WUE, especially when the maize crop received sufficient water at the establishment and crop development stages. The SBM accumulation had no benefit to WUE under water stress conditions at the last two stages (cob filling and maturation), irrespective of the season. The water demand for ETP was higher when the SBM was high. The influence of LAI and RBM on WUE significantly varied with slope gradient (p < 0.001) (Figure 7). The highest influence of LAI on WUE was observed on the 0–2% slope (2.3, R2 = 0.69) compared to the 2–8 and 8–15% slopes. For RBM, the same trend was observed, with the highest influence recorded on the slope gradient of 0–2%, followed by 8–15%. For SBM, the influence on WUE was independent of the slope gradient (p > 0.05).
Figure 7.
Relationships between the WUE and maize growth parameters under selected SWC practices (a,b) along the slope gradient (c,d).
3.3.3. Influence of SWS on WUE
Generally, WUE depended significantly on total water storage during the three growing seasons (R2 = 41.02%). However, based on the weather characteristics of the Ruzizi Plain, SWS influenced the WUE differently during different maize developmental stages (Figure 8). The influence of SWS on WUE at the reproductive () and maturity growth stages can be modeled by the following equation, with R2 = 72.94%. No influences of SWS at the establishment and active vegetative growth stages were observed. The highest influence of the SWS on WUE was observed at the reproductive and maturity phases. An increase in SWS at the active growth stage tended to slightly reduce the WUE. For the last two growth stages (cob filling and maturation), the highest influence was observed on tied ridges compared to Zai pits and conventional tillage. The influence of tied ridges was highest compared to Zai pits and conventional tillage.
Figure 8.
Effect of soil water storage on water use efficiency during maize growth stages at (a) crop establishment, (b) active vegetative growth and tasseling phases, (c) silking and grain filling phases, and (d) the crop maturity phase.
4. Discussions
4.1. Rainfall and ETP Characteristics in Ruzizi Plain
During the three-growing seasons, the Ruzizi Plain received between 147.5 and 284.7 mm of rainfall and experienced an average of 52.9, 66.9, and 71.5% days of no rain for the three consecutive seasons, respectively. These rainfall values were below the 450 mm needed for optimal maize growth. This water supply and demand imbalance implies that maize farmers need supplemental irrigation or, alternatively, to harvest rainwater through SWC practices for optimum plant growth and development [49]. Udom and Kamalu [42] showed that maize requires 48.6 mm of water at the establishment stage, 247 mm at the active vegetative growth stage, 126 mm at the cob silking stage, and 34.4 mm at the maturity stage. In most of the seasons, the maize crop was under a water deficit although seasons were characterized by different rainfall patterns and distributions. The highest rainfall received at initial stage was 40.3 mm in season 3, 178 mm at the active growth stage in season 2, and 80.3 mm at the silking stage in season 1. Maize was exposed to water stress mostly during the physiological maturity stages, especially for seasons 2 and 3, while in season 1, maize received 56 mm, which is high compared to the results of Udom and Kamalu [42].
4.2. Crop Growth Parameters and Water Use Efficiency under Selected SWC Practices along the Slope Gradient
This study demonstrated that both tied ridges and Zai pits can significantly increase maize growth parameters (plant height, LAI, stem diameter, internode distance, RBM, and SBM). Differences were probably due to the larger amount of water retained by tied ridges and Zai pits compared to the conventional tillage during the first two growth phases. The increase in biomass has been influenced by practices and slope gradients that allow for storing more water. Many reports from several sub-Saharan African environments showed similar trends to the current study and showed that tied ridges improve maize biomasses (root and aboveground biomasses) and LAI compared to conventional tillage [40,50].
No difference in SBM was observed between Zai pits and tied ridges on slopes of 0–2 and 2–8%. However, a significant difference was observed with conventional tillage on all slopes. On the slope of 8–15%, tied ridges showed the highest values of SBM compared to Zai pits and conventional tillage. Zai pits and tied ridges cumulated similar biomasses during crop establishment and active vegetative growth stages due to their ability to save more water. At those two maize growth stages, water was sufficiently supplied in all seasons. At these stages, the quantity of water saved, under Zai pits and tied ridges, was comparable, while it differed from that of conventional tillage. The effect of water supply in optimizing root and shoot biomasses, LAI, and other growth parameters has been demonstrated by Zhang et al. [45].
The tied ridges, as a SWC practice, was efficient in improving maize productivity under water-deficient conditions. In fact, tied ridges recorded the highest WUE on slopes of 0–2% compared to Zai pits and conventional tillage. No difference in WUE was observed on slope gradient of 2–8% among the three selected SWC practices. This can be attributed to the high water saving capacity of tied ridges, especially during the last two crop growth stages. During the experiment, the loss of water by runoff was low on plots where maize was grown under tied ridges. It was also lower at the slope of 0–2% compared to maize grown on slopes of 2–8 and 8–15%. This significantly improved the SWS during the three growing seasons. Our findings agreed with Wolka et al. [1] showing that tied ridges positively affected stored soil water and WUE in low rainfall areas (<1000 mm year−1) in 83% of the trials conducted in sub-Saharan African drylands. An earlier review on tillage research for eastern Africa, especially in Ethiopia, Kenya, Tanzania, and Malawi, also found that tied ridging positively affected grain yields [51]. Xiao-long et al. [52] showed that with different rainfall levels (230, 340, and 440 mm), tied ridges led to increased maize water use efficiency by 77.4, 43.1, and 9.5%, respectively, compared with conventional flat cultivation. These authors explained that tied ridges tend to increase lateral and vertical flows in ridges, which in turn improves water storage. Small amounts of rainfall are more likely to be retained in the micropores and constitute the soil water reserve. Large amounts of rainfall increase soil waterlogging, resulting in a significant decrease in oxygen amount, affecting the WUE. Tied ridges showed the highest potential for saving water compared to Zai pits and conventional tillage. Similar observations were experienced by Grum et al. [53,54] and Cofie et al. [55] in the Sahelian region. The highest SWS observed at the slope of 0–2% compared to 2–8 and 8–15% could be attributed to the cumulative effect of reduced runoff and enhanced infiltration. Tied ridges were efficient in controlling surface runoff compared to Zai pits and conventional tillage. Many scholars noted the ability of tied ridges to reduce surface runoff [1,56] and to induce a favorable distribution of soil water for a better water and nutrient use efficiency [1,40]. The earth elevation of ridges, set perpendicularly to the slope direction, partly explains the results. It reduces the overland flow speed, retains the water in the soil profile, and forms an onfield storage pit [1,50]. Keating et al. [38]’s study in Benin showed that Zai pits cannot reach satisfactory results in water retention if rainfall is below a reasonable threshold (minimum 400 mm with a soil storage capacity of 50 mm). There is no structure for conventional tillage to reduce surface runoff [1]. Some research conducted in Ethiopia and in Kenya showed that the potential of tied ridges remains limited by the amount of rainfall and the level of soil aeration. Some scholars [57,58] showed that the tied ridge is limited by variations in seasonal rainfall, which can significantly affect crop yields. In addition, the resulting aeration stress could have decreased yield because crop plants require oxygen for proper water and nutrient uptake, and the presence of excess water in the root zone might have disrupted the normal functioning of the roots [59,60]. Grum et al. [53] also reported that, in Northern Ethiopia, tied ridges alone did not significantly increase grain yield or plant biomass compared to the control. The author also explained the excess of water in the root zone as being from successive and intensive rains which caused aeration stress and reduced yield and biomass.
4.3. Influence of Crop Growth Parameters and Stored Soil Water on Water Use Efficiency
The results showed that an increase in WUE across the three seasons was positively linked to LAI and RBM, while it was negatively correlated with SBM. Leaf area index (LAI) was significantly affected by water stress, although effects varied with SWC practices and slope gradient. The LAI was always low under most water-stressed treatments, such as the conventional tillage, irrespective of the slope gradient. It was also low under tied ridges and Zai pits at the slope of 8–15%. Our findings agreed with those of Zhang et al. [31] and Pandey et al. [61] who showed that the highest LAI value for grain maize was obtained under conditions of no water stress. Some authors have found that LAI is in a strong linear relationship with maize WUE (R² = 0.79) [62]. It is noteworthy that Song et al. [63] found out that low water availability induces low LAI.
During the three growing seasons, tied ridges showed the highest WUE on the slope of 0–2% compared to Zai pits and conventional tillage. In contrast, tied ridges recorded similar SBM on the same slope gradient compared to conventional tillage. On the slope of 2–8%, no difference in water use efficiency was observed among the three SWC practices. Tied ridges recorded similar biomass on the same slope gradient as conventional tillage. On the slope of 8–15%, both SWC practices recorded low WUE. Tied ridges recorded the best WUE and SBM compared to Zai pits and conventional tillage. It is noteworthy that maize biomass is established during the crop vegetative development growth and yield during the last two stages. Many scholars [41,64] observed a linear relationship between maize biomass and yield. They found a positive relationship between biomass and water demand for optimum photosynthetic activity. Therefore, Zai pits saved less water to satisfy the water demand of maize than tied ridges on the slope of 0–2%. Thus, that low water-saving characteristic later hindered reproductive phases of maize, resulting in a low WUE. At the slope gradient of 2–8%, water conservation efficiency was reduced for both SWC practices. The water demand to maintain maize biomass was not met for both SWC practices and, therefore, no difference in WUE was observed between the three practices. The conventional tillage developed less biomass in its early growth stages, and its water demand was low, such that it managed to achieve a similar WUE to Zai pits on slopes of 0–2% and both (Zai pits and tied ridges) on slopes of 2–8%. Many authors support the statement that accumulation of aboveground biomass during active vegetative stages may negatively impact maize productivity if the last growth stages are under water stress [32]. Yu et al. [65] performed a meta-analysis of 80 peer-reviewed publications on water use efficiency under stress and suggested that high WUE is not always associated with high biomass. Therefore, it is important to maintain low biomass when maize water requirement cannot be satisfied at later stages.
The challenge in satisfying the water demands of maize grown under Zai pits and tied ridges for certain circumstances was affected by the rainfall and SWS distribution during the three seasons and during the growth stages. The results showed an influence of stored soil water during the last two crop stages on WUE, while no influence of SWS was observed at the initial and crop active development stages. Many researchers have shown that the most critical period of maize for water is three weeks before flowering and two weeks after. For example, Ge et al. [66] and Qi et al. [67] have shown that short-duration water deficits during the vegetative growth period caused a 28–32% loss of dry matter weight. Çakir [68] stated that a single irrigation omission during sensitive growth stages can reduce grain yield by up to 40% during dry years. However, some studies conducted by Comas et al. [32] supported our results and identified the timing of water deficit outside of this critical period that could reduce water consumption and minimize yield losses. For Çakir [68], the highest yields were observed when there was no water stress in all growth stages and when maize was under water stress during the vegetative growth stage. Comas et al. [32] also showed that plants given sufficient water during the entire vegetative period followed by stress later during the maturation period had dramatically low yields. Other scholars, such as Sah et al. [49], showed that water drought stress at the end of the flowering and grain filling stage results in severe negative effects on phenological and yield traits of maize. Results of this research indicate the benefits of applying deficits during the late vegetative period if there is a chance that the water supply could be inadequate to meet water requirement during the maturation period.
This study also has limitations, especially in estimating the value of the cultural coefficient (Kc). Although the Kc values obtained by Piccinni et al. [33] are used worldwide, especially when research is conducted in the dry land conditions of South Texas, it is still necessary to determine them experimentally for better accuracy. Many authors report that the Kc value can vary with water availability during the crop cycle [69,70,71]. These authors showed that evapotranspiration values show more significant variability under high water stress. Therefore, we adopted an estimate based on stored soil water to highlight the effect of SWC practices on WUE.
Our recent study showed that tied ridges could potentially reduce long-term effects of climate change to certain extent in the Ruzizi Plain [72], as also supported by the present study. Therefore, we are calling for farmer support structures to promote such SWC practice in the Ruzizi Plain to cope with present and future rainwater deficits affecting maize production. Future studies should compare the gap between maize performance under these yield limiting conditions (142 and 289 mm rainfall water) with a high irrigation treatment (600 mm) in terms of water replacement. By doing so, it would be possible to identify potential maize productivity even with other limitations. Furthermore, to fill the gap between the yield potential and current yields in the Ruzizi Plain, research should assess the influence of high yielding varieties and soil nutrients on maize yields along with water management.
5. Conclusions
This study assessed the effect of selected SWC practices on maize development, SWS, and WUE along the slope gradient in the Ruzizi Plain. The highest SWS was observed under tied ridges for the slope of 0–2%. Tied ridges also recorded the highest WUE and grain yield on slopes of 0–2 and 8–15%, while no difference in grain yield was observed on the slope of 2–8% for all tested SWC practices. Decrease in SWS during the silking and maturity stages negatively affected the maize WUE and grain yield. Tied ridges provide an opportunity to cope with water scarcity in the Ruzizi Plain and, thus, can be adopted to improve maize crop productivity. Its efficiency could be improved by supplemental irrigation during severe water deficit periods.
Supplementary Materials
The following supporting information can be downloaded at: https://www.mdpi.com/article/10.3390/land11101833/s1, Figure S1: Variation in soil water storage among selected SWC practices along the slope gradient in Ruzizi plain for season 1; Figure S2: Variation in soil water storage among selected SWC practices along the slope gradient in Ruzizi plain for season 2; Figure S3: Variation in soil water storage among selected SWC practices along the slope gradient in Ruzizi plain for season 3; Table S1: Weather data of the experimental site; Table S2: Statistical analysis of soil characteristics of the experimental site in Ruzizi plain, eastern DR Congo, Table S3: Effects of SWC, variety and slope gradient on maize growth parameters across three growing seasons in the Ruzizi plain, eastern DR Congo.
Author Contributions
Conceptualization and design of the study: E.M.B. and J.-G.M.M. (Jackson-Gilbert Mwanjalolo Majaliwa); formal analysis: E.M.B.; funding acquisition: J.-G.M.M. (Jackson-Gilbert Mwanjalolo Majaliwa), A.E., S.A. and G.N.M.; investigation: E.M.B.; supervision: J.-G.M.M. (Jackson-Gilbert Mwanjalolo Majaliwa), T.A.B. and P.M.; visualization: E.M.B.; writing—original draft: E.M.B.; writing—review and editing: J.-G.M.M. (Jean-Gomez Mubalama Mondo), J.-G.M.M. (Jackson-Gilbert Mwanjalolo Majaliwa), G.G., B.V., T.A.B., J.-B.T., G.N.M., P.M., M.M.T., A.E. and S.A. All authors have read and agreed to the published version of the manuscript.
Funding
Financial support for this research was provided by the Capacity-building Competitive Grant “Training the Next Generation of Scientists for Africa”, funded by Carnegie Cooperation of New York, through the Regional Universities Forum for Capacity Building in Agriculture (RUFORUM). The research received also funding from UK Research and Innovation (UKRI) through the Global Challenges Research Fund (GCRF) program, Grant Ref: ES/P011306/under the project Social and Environmental Trade-offs in African Agriculture (SENTINEL) led by International Institute for Environment and Development (IIED) in part implemented by the Regional Universities Forum for Capacity Building in Agriculture (RUFORUM).
Institutional Review Board Statement
Not applicable.
Informed Consent Statement
Not applicable.
Data Availability Statement
Most of the data are contained within the article and Supplementary Files. Additional data are available upon request from the corresponding author.
Acknowledgments
Support from the Université Evangélique en Afrique under the project University Research and Teaching Quality Improvement funded by Pain pour le Monde (Project A–COD–2018–0383) is gratefully acknowledged.
Conflicts of Interest
The authors declare no conflict of interest.
References
- Wolka, K.; Mulder, J.; Biazin, B. Effects of soil and water conservation techniques on crop yield, runoff and soil loss in Sub-Saharan Africa: A review. Agric. Water Manag. 2018, 207, 67–79. [Google Scholar] [CrossRef]
- Biazin, B.; Sterk, G.; Temesgen, M.; Abdulkedir, A.; Stroosnijder, L. Rainwater Harvesting and Management in Rainfed Agricultural Systems in Sub-Saharan Africa—A Review. Phys. Chem. Earth 2012, 47, 139–151. [Google Scholar] [CrossRef]
- Makondo, C.C.; Thomas, D.S.G. Seasonal and Intra-Seasonal Rainfall and Drought Characteristics as Indicators of Climate Change and Variability in Southern Africa: A Focus on Kabwe and Livingstone in Zambia. Theor. Appl. Climatol. 2020, 140, 271–284. [Google Scholar] [CrossRef]
- Durodola, O.S.; Mourad, K.A. Modelling Maize Yield and Water Requirements under Different Climate Change Scenarios. Climate 2020, 8, 127. [Google Scholar] [CrossRef]
- Orfanou, A.; Pavlou, D.; Porter, W.M. Maize Yield and Irrigation Applied in Conservation and Conventional Tillage at Various Plant Densities. Water 2019, 11, 1726. [Google Scholar] [CrossRef]
- Korodjouma, O.; Idriss, S.; Salif, B.; Prosper, Z. Soil and water conservation, and soil fertility management effects on rain water productivity of maize hybrid in Burkina Faso. Afr. J. Agric. Res. 2017, 12, 1014–1021. [Google Scholar] [CrossRef]
- Wu, Y.; Jia, Z.; Ren, X.; Zhang, Y.; Chen, X.; Bing, H.; Zhang, P. Effects of Ridge and Furrow Rainwater Harvesting System Combined with Irrigation on Improving Water Use Efficiency of Maize (Zea Mays L.) in Semi-Humid Area of China. Agric. Water Manag. 2015, 158, 1–9. [Google Scholar] [CrossRef]
- Taye, G.; Poesen, J.; Van Wesemael, B.; Vanmaercke, M.; Teka, D.; Deckers, J.; Goosse, T.; Maetens, W.; Nyssen, J.; Hallet, V.; et al. Effects of land use, slope gradient, and soil and water conservation structures on runoff and soil loss in semi-arid Northern Ethiopia. Phys. Geogr. 2013, 34, 236–259. [Google Scholar] [CrossRef]
- Nyssen, J.; Frankl, A.; Zenebe, A.; Deckers, J.; Poesen, J. Land Management in the Northern Ethiopian Highlands: Local and Global Perspectives; Past, Present and Future. Land Degrad. Dev. 2015, 26, 759–764. [Google Scholar] [CrossRef]
- Asfaha, T.G.; Frankl, A.; Haile, M.; Nyssen, J. Catchment Rehabilitation and Hydro-Geomorphic Characteristics of Mountain Streams in the Western Rift Valley Escarpment of Northern Ethiopia. Land Degrad. Dev. 2016, 27, 26–34. [Google Scholar] [CrossRef]
- Bayala, J.; Sileshi, G.W.; Coe, R.; Kalinganire, A.; Tchoundjeu, Z.; Sinclair, F.; Garrity, D. Cereal Yield Response to Conservation Agriculture Practices in Drylands of West Africa: A Quantitative Synthesis. J. Arid. Environ. 2012, 78, 13–25. [Google Scholar] [CrossRef]
- Adeboye, O.B.; Schultz, B.; Adekalu, K.O.; Prasad, K.C. Performance Evaluation of AquaCrop in Simulating Soil Water Storage, Yield, and Water Productivity of Rainfed Soybeans (Glycine Max L. Merr) in Ile-Ife, Nigeria. Agric. Water Manag. 2019, 213, 1130–1146. [Google Scholar] [CrossRef]
- Zougmoré, R.B.; Partey, S.T.; Ouédraogo, M.; Torquebiau, E.; Campbell, B.M. Facing climate variability in sub-Saharan Africa: Analysis of climate-smart agriculture opportunities to manage climate-related risks. Cah. Agric. 2018, 27, 34001. [Google Scholar] [CrossRef]
- FAO. FAOSTAT. Available online: http://www.fao.org/faostat/en/#data/QC (accessed on 25 September 2020).
- Kulimushi, P.Z.; Basime, G.C.; Nachigera, G.M.; Thonart, P.; Ongena, M. Efficacy of Bacillus Amyloliquefaciens as Biocontrol Agent to Fight Fungal Diseases of Maize under Tropical Climates: From Lab to Field Assays in South Kivu. Environ. Sci. Pollut. Res. 2018, 25, 29808–29821. [Google Scholar] [CrossRef]
- Mondo, J.; Kimani, P.; Narla, R. Yield stability in small red inter-racial common bean lines in Kenya. Afr. Crop Sci. J. 2019, 27, 351. [Google Scholar] [CrossRef][Green Version]
- Muhindo, I.; Majaliwa, M.; Katusabe, A.; Walangululu, M. Projected Impact of Climate Change on Rice Yield in Two Agro-Ecological Zones in South-Kivu, Democratic Republic of Congo. Afr. J. Rural Dev. 2016, 1, 299–310. [Google Scholar]
- FAO. Guidelines for Soil Description, 4th ed.; Food and Agriculture Organization of the United Nations: Rome, Italy, 2006; ISBN 9251055211. [Google Scholar]
- Ilunga, L. Environnements Sedimentaires et Mineáralogie des Formations Superficielles de la Plaine de la Ruzizi (Nord du Lac Tanganyika). Geo. Eco. Trop. 2007, 31, 71–104. [Google Scholar]
- Yang, Y.; Liu, D.L.; Anwar, M.R.; O’Leary, G.; Macadam, I.; Yang, Y. Water Use Efficiency and Crop Water Balance of Rainfed Wheat in a Semi-Arid Environment: Sensitivity of Future Changes to Projected Climate Changes and Soil Type. Theor. Appl. Climatol. 2016, 123, 565–579. [Google Scholar] [CrossRef]
- Wallace, J.S. Increasing Agricultural Water Use Efficiency to Meet Future Food Production. Agric. Ecosyst. Environ. 2000, 82, 105–119. [Google Scholar] [CrossRef]
- Zhang, G.; Shen, D.; Ming, B.; Xie, R.; Jin, X.; Liu, C.; Hou, P.; Xue, J.; Chen, J.; Zhang, W.; et al. Using Irrigation Intervals to Optimize Water-Use Efficiency and Maize Yield in Xinjiang, Northwest China. Crop J. 2019, 7, 322–334. [Google Scholar] [CrossRef]
- Nyakudya, I.W.; Stroosnijder, L. Effect of Rooting Depth, Plant Density and Planting Date on Maize (Zea Mays L.) Yield and Water Use Efficiency in Semi-Arid Zimbabwe: Modelling with AquaCrop. Agric. Water Manag. 2014, 146, 280–296. [Google Scholar] [CrossRef]
- Bagula, M.E.; Mushagalusa, N.G.; Mambani, B.P.; Katcho, K.; Mugisho, Z.; Mondo, M.J.; Murhula, M. Effect of Rainwater Harvesting Practices on Maize Physiology under Climate Variability in Eastern DR Congo. RUFORUM Work. Doc. Ser. 2016, 14, 17–21. [Google Scholar]
- Bagula, E.M.; Mapatano, S.; Katcho, K.; Mushagalusa, N.G. Efficience des Techniques de Gestion de l’eau et de Fertilité des Sols sur le Rendement du Maïs dans les Régions Semi-Arides: Cas de la Plaine de la Ruzizi (Sud-Kivu, République Démocratique du Congo). VertigO 2013, 17. [Google Scholar] [CrossRef]
- Bagula, M.E.; Pypers, P.; Mushagalusa, N.G.; Muhigwa, J.B. Assessment of Fertilizer Use Efficiency of Maize in the Weathered Soils of Walungu District, DR Congo. In Challenges and Opportunities for Agricultural Intensification of the Humid Highland Systems of Sub-Saharan Africa; Vanlauwe, B., van Asten, P., Blomme, G., Eds.; Springer International Publishing: Cham, Denmark, 2014; pp. 187–199. [Google Scholar]
- Aslam, M.; Maqbool, M.A.; Cengiz, R. Drought Stress in Maize (Zea Mays L.), 1st ed.; Springer: Cham, Switzerland, 2015; ISBN 978-3-319-25442-5. [Google Scholar]
- Ministry of Foreign Affairs of the Netherlands. Climate Change Profile: East African Great Lakes and Ruzizi Plain. The Hague 2018. Available online: https://www.government.nl/binaries/government/documenten/publications/2019/02/05/climate−change−profiles/Great+Lakes.pdf (accessed on 15 July 2021).
- Irmak, S.; Djaman, K.; Rudnick, D.R. Effect of Full and Limited Irrigation Amount and Frequency on Subsurface Drip-Irrigated Maize Evapotranspiration, Yield, Water Use Efficiency and Yield Response Factors. Irrig. Sci. 2016, 34, 271–286. [Google Scholar] [CrossRef]
- Hokam, E.M.; El-Hendawy, S.E.; Schmidhalter, U. Drip Irrigation Frequency: The Effects and Their Interaction with Nitrogen Fertilization on Maize Growth and Nitrogen Use Efficiency under Arid Conditions. J. Agron. Crop Sci. 2011, 197, 186–201. [Google Scholar] [CrossRef]
- Zhang, G.; Liu, C.; Xiao, C.; Xie, R.; Ming, B.; Hou, P.; Liu, G.; Xu, W.; Shen, D.; Wang, K.; et al. Optimizing Water Use Efficiency and Economic Return of Super High Yield Spring Maize under Drip Irrigation and Plastic Mulching in Arid Areas of China. Field Crops Res. 2017, 211, 137–146. [Google Scholar] [CrossRef]
- Comas, L.H.; Trout, T.J.; DeJonge, K.C.; Zhang, H.; Gleason, S.M. Water Productivity under Strategic Growth Stage-Based Deficit Irrigation in Maize. Agric. Water Manag. 2019, 212, 433–440. [Google Scholar] [CrossRef]
- Piccinni, G.; Ko, J.; Marek, T.; Howell, T. Determination of Growth-Stage-Specific Crop Coefficients (KC) of Maize and Sorghum. Agric. Water Manag. 2009, 96, 1698–1704. [Google Scholar] [CrossRef]
- Estephan, G.; Sommer, R.; Ryan, J. Methods of Soil, Plant, and Water Analysis, 3rd ed.; ICARDA: Beirut, Lebanon, 2013. [Google Scholar]
- Okalebo, J.; Gathua, K.; Woomer, P. Laboratory Methods of Soil and Plant Analysis: A Working Manual, 2nd ed.; Sacred African Publishers: Nairobi, Kenya, 2002. [Google Scholar]
- Saxton, K.E.; Rawls, W.J. Soil Water Characteristic Estimates by Texture and Organic Matter for Hydrologic Solutions. Soil Sci. Soc. Am. J. 2006, 70, 1569–1578. [Google Scholar] [CrossRef]
- Roose, E.; Barthès, B. Organic Matter Management for Soil Conservation and Productivity Restoration in Africa: A Contribution from Francophone Research. Nutr. Cycl. Agroecosyst. 2001, 61, 159–170. [Google Scholar] [CrossRef]
- Keating, B.A.; Carberry, P.S.; Hammer, G.L.; Probert, M.E.; Robertson, M.J.; Holzworth, D.; Huth, N.I.; Hargreaves, J.N.G.; Meinke, H.; Hochman, Z.; et al. Influence of Soil Conservation Practices on Soil Moisture and Maize Crop (Zea Mays L.) Productivity in Centre Benin. Eur. J. Agron. 2003, 18, 267–288. [Google Scholar] [CrossRef]
- Araya, A.; Stroosnijder, L. Effects of Tied Ridges and Mulch on Barley (Hordeum Vulgare) Rainwater Use Efficiency and Production in Northern Ethiopia. Agric. Water Manag. 2010, 97, 841–847. [Google Scholar] [CrossRef]
- McHugh, O.V.; Steenhuis, T.S.; Abebe, B.; Fernandes, E.C.M. Performance of in Situ Rainwater Conservation Tillage Techniques on Dry Spell Mitigation and Erosion Control in the Drought-Prone North Wello Zone of the Ethiopian Highlands. Soil Tillage Res. 2007, 97, 19–36. [Google Scholar] [CrossRef]
- Mueller, L.; Behrendt, A.; Schalitz, G.; Schindler, U. Above Ground Biomass and Water Use Efficiency of Crops at Shallow Water Tables in a Temperate Climate. Agric. Water Manag. 2005, 75, 117–136. [Google Scholar] [CrossRef]
- Udom, B.E.; Kamalu, O.J. Crop Water Requirements during Growth Period of Maize (Zea Mays L.) in a Moderate Permeability Soil on Coastal Plain Sands. Int. J. Plant Res. 2019, 9, 1–7. [Google Scholar] [CrossRef]
- Dong, X.; Guan, L.; Zhang, P.; Liu, X.; Li, S.; Fu, Z.; Tang, L.; Qi, Z.; Qiu, Z.; Jin, C.; et al. Responses of Maize with Different Growth Periods to Heat Stress around Flowering and Early Grain Filling. Agric. For. Meteorol. 2021, 303, 108378. [Google Scholar] [CrossRef]
- Xu, W.; Liu, C.; Wang, K.; Xie, R.; Ming, B.; Wang, Y.; Zhang, G.; Liu, G.; Zhao, R.; Fan, P.; et al. Adjusting Maize Plant Density to Different Climatic Conditions across a Large Longitudinal Distance in China. Field Crops Res. 2017, 212, 126–134. [Google Scholar] [CrossRef]
- Zhang, G.; Ming, B.; Shen, D.; Xie, R.; Hou, P.; Xue, J.; Wang, K.; Li, S. Optimizing Grain Yield and Water Use Efficiency Based on the Relationship between Leaf Area Index and Evapotranspiration. Agriculture 2021, 11, 313. [Google Scholar] [CrossRef]
- Liu, F.; Wu, Y.; Xiao, G.; Gao, Q.; Xiao, H.G. Rainwater-Harvesting Agriculture and Water-Use Efficiency in Semi-Arid Regions in Gansu Province, China. Outlook Agric. 2005, 34, 159–165. [Google Scholar] [CrossRef]
- Littell, R.C.; Milliken, G.A.; Stroup, W.W.; Wolfinger, R.D.; Schabenberger, O. SAS for Mixed Models. J. Biopharm. Stat. 2007, 17, 363–365. [Google Scholar] [CrossRef]
- Bruce, P.; Bruce, A. Practical Statistics for Data Scientists; Cutt, S., Ed.; O’Reilly Media: Sebastopol, CA, USA, 2017; ISBN 9781491952962. [Google Scholar]
- Sah, R.P.; Chakraborty, M.; Prasad, K.; Pandit, M.; Tudu, V.K.; Chakravarty, M.K.; Narayan, S.C.; Rana, M.; Moharana, D. Impact of Water Deficit Stress in Maize: Phenology and Yield Components. Sci. Rep. 2020, 10, 2944. [Google Scholar] [CrossRef] [PubMed]
- Ngetich, K.; Diels, J.; Shisanya, C.; Mugwe, J.; Mucheru-Muna, M.; Mugendi, D. Effects of selected soil and water conservation techniques on runoff, sediment yield and maize productivity under sub-humid and semi-arid conditions in Kenya. CATENA 2014, 121, 288–296. [Google Scholar] [CrossRef]
- Biamah, E.K.; Gichuki, F.N.; Kaumbutho, P.G. Tillage Methods and Soil and Water Conservation in Eastern Africa. Soil Tillage Res. 1993, 27, 105–123. [Google Scholar] [CrossRef]
- Xiao-long, R.; Zhi-kuan, J.; Xiao-li, C.; Qing-fang, H.; Juan, H. Effect of Corn (Zea Mays L.) Water and Temperature of Ridge and Furrow Planting of Rainfall Harvesting Under Simulated Rainfall Conditions. Soil Water 2008, 41, 70–77. [Google Scholar]
- Grum, B.; Assefa, D.; Hessel, R.; Woldearegay, K.; Kessler, A.; Ritsema, C.; Geissen, V. Effect of In Situ Water Harvesting Techniques on Soil and Nutrient Losses in Semi-Arid Northern Ethiopia. Land Degrad. Dev. 2017, 28, 1016–1027. [Google Scholar] [CrossRef]
- Grum, B.; Hessel, R.; Kessler, A.; Woldearegay, K.; Yazew, E.; Ritsema, C.; Geissen, V. A Decision Support Approach for the Selection and Implementation of Water Harvesting Techniques in Arid and Semi-Arid Regions. Agric. Water Manag. 2016, 173, 35–47. [Google Scholar] [CrossRef]
- Cofie, O.; Amede, T. Water Management for Sustainable Agricultural Intensification and Smallholder Resilience in Sub-Saharan Africa. Water Resour. Rural Dev. 2015, 6, 3–11. [Google Scholar] [CrossRef]
- Okeyo, A.I.; Mucheru-Muna, M.; Mugwe, J.; Ngetich, K.F.; Mugendi, D.N.; Diels, J.; Shisanya, C.A. Effects of Selected Soil and Water Conservation Technologies on Nutrient Losses and Maize Yields in the Central Highlands of Kenya. Agric. Water Manag. 2014, 137, 52–58. [Google Scholar] [CrossRef]
- Kiboi, M.N.; Ngetich, K.F.; Diels, J.; Mucheru-Muna, M.; Mugwe, J.; Mugendi, D.N. Minimum Tillage, Tied Ridging and Mulching for Better Maize Yield and Yield Stability in the Central Highlands of Kenya. Soil Tillage Res. 2017, 170, 157–166. [Google Scholar] [CrossRef]
- Nyamekye, C.; Thiel, M.; Schönbrodt-Stitt, S.; Zoungrana, B.J.-B.; Amekudzi, L.K. Soil and Water Conservation in Burkina Faso, West Africa. Sustainability 2018, 10, 3182. [Google Scholar] [CrossRef]
- Biazin, B.; Stroosnijder, L. To Tie or Not to Tie Ridges for Water Conservation in Rift Valley Drylands of Ethiopia. Soil Tillage Res. 2012, 124, 83–94. [Google Scholar] [CrossRef]
- Araya, A.; Kisekka, I.; Gowda, P.H.; Prasad, P.V.V. Evaluation of Water-Limited Cropping Systems in a Semi-Arid Climate Using DSSAT-CSM. Agric. Syst. 2017, 150, 86–98. [Google Scholar] [CrossRef]
- Pandey, R.K.; Maranville, J.W.; Admou, A. Deficit Irrigation and Nitrogen Effects on Maize in a Sahelian Environment: I. Grain Yield and Yield Components. Agric. Water Manag. 2000, 46, 1–13. [Google Scholar] [CrossRef]
- Bouazzama, B.; Xanthoulis, D.; Bouaziz, A.; Ruelle, P.; Mailhol, J.C. Effect of Water Stress on Growth, Water Consumption and Yield of Silage Maize under Flood Irrigation in a Semi-Arid Climate of Tadla (Morocco). Biotechn. Agron. Soc. Environ. 2012, 16, 468–477. [Google Scholar]
- Song, L.; Jin, J.; He, J. Effects of Severe Water Stress on Maize Growth Processes in the Field. Sustainability 2019, 11, 5086. [Google Scholar] [CrossRef]
- Jia, Q.; Sun, L.; Mou, H.; Ali, S.; Liu, D.; Zhang, Y.; Zhang, P.; Ren, X.; Jia, Z. Effects of Planting Patterns and Sowing Densities on Grain-Filling, Radiation Use Efficiency and Yield of Maize (Zea Mays L.) in Semi-Arid Regions. Agric. Water Manag. 2018, 201, 287–298. [Google Scholar] [CrossRef]
- Yu, L.; Gao, X.; Zhao, X. Global Synthesis of the Impact of Droughts on Crops’ Water-Use Efficiency (WUE): Towards Both High WUE and Productivity. Agric. Syst. 2020, 177, 102723. [Google Scholar] [CrossRef]
- Ge, T.; Sui, F.; Bai, L.; Tong, C.; Sun, N. Effects of Water Stress on Growth, Biomass Partitioning, and Water-Use Efficiency in Summer Maize (Zea Mays L.) throughout the Growth Cycle. Acta Physiol. Plant. 2012, 34, 1043–1053. [Google Scholar] [CrossRef]
- Qi, D.; Hu, T.; Liu, T. Biomass accumulation and distribution, yield formation and water use efficiency responses of maize (Zea mays L.) to nitrogen supply methods under partial root-zone irrigation. Agric. Water Manag. 2020, 230, 105981. [Google Scholar] [CrossRef]
- Çakir, R. Effect of water stress at different development stages on vegetative and reproductive growth of corn. Field Crop. Res. 2004, 89, 1–16. [Google Scholar] [CrossRef]
- Matsunaga, W.K.; Silva, V.; de P.R., da; Amorim, V.P.; Sales, E.S.G.; Dantas, S.M.; Oliveira, A.B. Evapotranspiration, Crop Coefficient and Water Use Efficiency of Onion Cultivated under Different Irrigation Depths. Rev. Bras. Eng. Agrícola Ambient. 2022, 26, 219–225. [Google Scholar] [CrossRef]
- Pokorny, J. Evapotranspiration. Encycl. Ecol. 2019, 2, 292–303. [Google Scholar] [CrossRef]
- Zhou, H.; Zhou, G.; Zhou, L.; Lv, X.; Ji, Y.; Zhou, M. The Interrelationship Between Water Use Efficiency and Radiation Use Efficiency Under Progressive Soil Drying in Maize. Front. Plant Sci. 2021, 12, 794409. [Google Scholar] [CrossRef] [PubMed]
- Bagula, E.M.; Majaliwa, J.G.M.; Mushagalusa, G.N.; Basamba, T.A.; Tumuhairwe, J.-B.; Mondo, J.-G.M.; Musinguzi, P.; Mwimangire, C.B.; Chuma, G.B.; Egeru, A.; et al. Climate Change Effect on Water Use Efficiency under Selected Soil and Water Conservation Practices in the Ruzizi Catchment, Eastern D.R. Congo. Land 2022, 11, 1409. [Google Scholar] [CrossRef]
Publisher’s Note: MDPI stays neutral with regard to jurisdictional claims in published maps and institutional affiliations. |
© 2022 by the authors. Licensee MDPI, Basel, Switzerland. This article is an open access article distributed under the terms and conditions of the Creative Commons Attribution (CC BY) license (https://creativecommons.org/licenses/by/4.0/).







