Abstract
Nature conservation efforts cannot succeed without stakeholder participation. The inherent complexity of nature-based ecotourism has made the development of sustainable ecotourism operations a challenge, so it is essential to increase community stakeholder participation. Hence, this study investigates local community participation in Lar National Park (LNP) and the Jajrud Protected Area with the Sustainable Use of Natural Resource Areas (JPA) in Iran and evaluates how this influences the sustainability of ecotourism. This study found that in LNP, sustainable ecotourism development involving local communities is increasing because of the high level of attachment and interest to this part of pristine nature. In the JPA, the relationship between local community participation and ecotourism sustainability is significant too. As a result, natural habitats have been degraded and sustainability has decreased. To conserve these critically endangered natural areas, managers and decision-makers must increase community participation and education to encourage local communities to engage more in developing sustainable ecotourism.
1. Introduction
The term ‘ecotourism’ refers to responsible tourism in natural destinations, which has become a global issue because of an increase in tourists and unsustainable development [1,2,3,4]. The multi-faceted goal of ecotourism is to reduce environmental problems, support democratic and decentralized communities, improve local livelihoods, improve the management of natural resources, and reduce poverty in poor and rural communities [5,6,7,8]. Ecotourism strategies have therefore been proposed to protect natural ecosystems and improve livelihoods in local communities [9]. Several natural protected areas (PAs) offer ecotourism services as part of their significant ecological value [10,11]. PAs provide refuge to many animal and plant species that do not find habitat elsewhere because of human development [12].
To design and implement policies and plans, PAs need to understand the economic, social, and environmental issues within the local communities [13]. Local communities’ failure to participate in the management of PAs in low- and middle-income countries has led to unsustainable practices and environmental degradation [14]. Conversely, participation of local communities has proved to be an effective strategy that can help manage PAs toward long-term sustainability and reduce adverse human impacts [15,16]. In some studies, researchers stated that the development of sustainable ecotourism requires not only the planning, preparation, and implementation of appropriate management plans, but also the participation of local communities [17,18,19]. This is even more important considering the increasing pressures from human activities in natural areas [20,21]. Thus, to minimize the adverse impacts of ecotourism activities in PAs, local community participation must be encouraged and increase their awareness about PAs.
Since the 1960s, PAs in semiarid areas of Iran have been impacted by urban sprawl, population growth, and the development of ecotourism activities. Consequently, biodiversity and various ecosystem services have drastically decreased, mostly driven by land-use and land-cover (LULC) changes [22,23]. Threats include illegal development projects (such as the development of roads, construction of buildings, development of various other infrastructures, the establishment of industrial spaces, overexploitation of mines, etc.), livestock overgrazing, insufficient monitoring, and inadequate tourism infrastructure. This has resulted in a decrease in pastures, an increase in soil erosion, shrub and tree felling, depletion of water, and severe damage to species in these areas. At the same time, tourism demand has increased for various tourist attractions such as the landscapes around Mount Damavand, Lar Dam Lake, Kamard Waterfall, Jajrud River, Latian Dam, and the unique Khojir and Sorkheh Hesar national parks, which has increased visitation and development of ecotourism activities. Iran is semiarid and considered one of the driest regions in Asia [21]. To the best of the authors’ knowledge, no attempts were made to evaluate local community participation in sustainable ecotourism development in different types of PAs in a semiarid region of the world.
Protecting and managing PAs with the involvement of local communities can be an effective measure for enhancing living conditions of local people. The potential of community participation and its role in eliciting pro-environmental behavior is, however, not fully understood. The current study addresses this gap by investigating the relationship between the levels of local community participation in sustainable ecotourism development in two different types of PAs (with dissimilarity in legal protection, management, natural conditions, etc.) in the Tehran province, including Lar National Park (henceforth LNP) and the Jajrud Protected Area with the Sustainable Use of Natural Resource Areas (henceforth JPA). We chose these PAs to facilitate a comparison of results along the lines of differing management objectives and degrees of protection. The following questions are to be answered by this study: (1) How sustainable is the ecotourism offered in the studied areas? and (2) What is the relationship between the local community participation and sustainable ecotourism development of the studied areas?
2. Literature Reviews
Local community participation is essential to ecotourism development. Therefore, participation is assessed to determine how well it is performing under the various government systems [22,24,25,26]. The inherent complexity of nature-based ecotourism has made the development of sustainable ecotourism operations a challenge, so it is essential to increase community stakeholder participation [4,8,27,28,29,30]. According to stakeholder theory, to use ecotourism as a proxy sustainable development requires participation and consensus among its actors to sustain the pillars of social equity, ecological integrity, and economy [4]. Participation in each stage of the ecotourism development process includes the monitoring and evaluation of implemented policies, operation of tourism services, and environmental education. Through stakeholder engagement, decision-makers can build trust and better detect impacts and raise awareness [31].
A few studies have reported the importance of evaluating the link between sustainable ecotourism development and local community participation [24,32]. Based on Rowlands’s power theory [33], local stakeholders who play a crucial role in sustainable ecotourism development along environmental–ecological, socio-cultural, and economic dimensions are considered tourism activists. This requires partnership and collaboration amongst various stakeholders [30,34,35].
Sustainable ecotourism development has been examined in several studies regarding local community participation [36,37,38]. At Khedi Pokhari Lake (India), Demkova et al. [36] explored the impact of local community participation on ecotourism development. The results revealed that involvement of the local community in ecotourism development depends on the type of management and the economic background of the community. Likewise, the results indicate that in a society with weak economic and restrictive gateways, ensuring community participation is more challenging, impeding the protection of ecologically sensitive habitats. Hughes and Scheyvens [38] studied tourism participation in Fiji, focusing on harnessing tourist compassion for community development. A key finding of the study is that tourists’ desire to contribute to destination communities is increasingly commodified, but their ability to address community development issues is hampered. As part of this study, ecotourism partnerships were examined as an effective tool for achieving sustainable development goals in line with the UN 2030 Agenda.
The above studies indicate that sustainable ecotourism operations in PAs require local community participation during planning and decision-making. Accordingly, here we examine sustainability and participation indicators to better understand the relationship between the participation of local communities and sustainable development of ecotourism in LNP and JPA. LNP has the best level of protection, legal support, and the greatest ecological sensitivities. In contrast, the JPA is exposed to high levels of human activity, population growth, and urban development and to low levels of ecological constraints to economic activities.
3. Materials and Methods
3.1. PAs of Tehran Province
In the present study, two PAs in Tehran province (the most populous province in Iran), namely, LNP and JPA, were selected for being the most pristine natural habitat and oldest managed area. Other reasons for choosing these areas include the abundant natural, historical, and cultural attractions, extensive tourism activity, and the high visitation numbers. LNP is located in the north of Tehran province on 35,765 ha of land and is characterized by high mountains and abundant aquatic ecosystems. In terms of vegetation, this area includes rangeland species such as Allium ursinum, Heracleum persicum, Stachys lavandulifolia, Echium rubrum, and Glycyrrhiza glabra. A total of 159 species of wildlife have been reported in this area, with wild goats and sheep dominating. In addition, Salmo trutta fario, the rarest aquatic species in Iran, lives in this area and is also in Tehran province; it is considered a symbol of protection [39]. JPA, with an area of about 74,811 ha, has two national parks (i.e., Khojir and Sorkheh Hesar), home to a great diversity of wildlife and vegetation [6,7,39].
3.2. Data and Methods
To collate the list of indicators for evaluating the ecotourism sustainability and the level of local community participation (Tables S1–S4), we conducted an in-depth literature review. We identified 102 sustainability indicators along three dimensions: (1) the environmental–physical dimension has 38 indicators (Table S1, [6,7,40,41,42,43,44,45,46,47,48,49,50,51,52,53,54,55,56,57,58,59,60,61,62]), (2) the socio-demographic dimension has 34 indicators (Tables S2 and S3, [6,7,41,43,44,45,46,47,48,49,50,51,52,54,55,56,57,58,59,61,62]), and the economic–institutional dimension has 30 indicators (Table S3, [40,41,42,43,44,45,46,47,48,50,54,55,56,57,58,59,61,63]). In addition, 15 indicators were examined to assess the level of participation of local communities (Table S4, [31,46,49,50,57]). The study area was surveyed with a questionnaire between 15 July and 22 August 2021. The questionnaire was distributed face-to-face, and the main objective of data collection was explained to the respondents. We now present detailed lists of variables and indicators that can be used as a base for assessments of other PAs after an evaluation of site characteristics that might warrant a modification of these lists.
In two study sites, a structured questionnaire based on these indicators was distributed to local residents. The survey collected quantitative information on socio-economic characteristics, livelihoods, participation level, and sustainable ecotourism development. Rating-scale questions were scored using a 5-point Likert scale. All residents of the studied areas comprise the statistical society, including 352 samples in LNP and 382 samples in JPA. The samples were selected in a cluster-sampling method and with a 95% confidence interval, Cochran’s formula was used. Results from questionnaires were analyzed using descriptive–inferential statistical tests in SPSS (such as the Kolmogorov–Smirnov test, Spearman correlation coefficient, and multivariate-regression using the non-parametric Kruskal–Wallis test). After determining the level of sustainability and local community participation, we evaluated factors affecting local community participation levels in the study areas using the Delphi method.
The Delphi technique helps to simplify complex problems, especially in cases where there is a lack of knowledge, limited historical information, or disagreement in the topic of research [64,65]. The method consists of three stages, such as questions, answers, and analyses, which are given to experts in the topic [66]. Accordingly, in the present study, Delphi was found to be a suitable tool to acquire the consensus of experts and complete existing information based on expert viewpoints. Therefore, to evaluate factors affecting local community participation levels in the study areas, 16 factors were assessed using a series of questionnaires on 40 national experts. Experts were selected from organizations dealing with ecotourism activities and responsible for protecting these areas, including the Department of the Environment of the Tehran Province, and the Cultural Heritage, Tourism, and Handicrafts Administration of Iran (familiar with the area and related to local communities).
Factors were rated according to a 5-point Likert scale by experts [67]. Furthermore, collected data was analyzed using common statistical parameters (i.e., variance (V), mean, and standard deviation (SD)), and then factors were prioritized from highest to lowest importance. In this study, three rounds of Delphi were conducted. As part of the first Delphi round, factors were extracted and expert viewpoints were collected. During round two, accounting for the results from the first round, questionnaires were repeated, yielding 37 completed questionnaires, as three persons dropped out. Lastly, respondents reviewed their initial scores and answers in the third round. In this round, 36 questionnaires were completed to analyze and identify factors affecting local community participation levels.
Finally, we conducted a multiple-regression analysis to determine the impacts of local participation indicators on ecotourism sustainability. The impact of participation indicators on ecotourism sustainability was investigated, and then these indicators were added to the model in the step-by-step mode.
4. Results
4.1. Respondents’ Socio-Demographic Characteristics
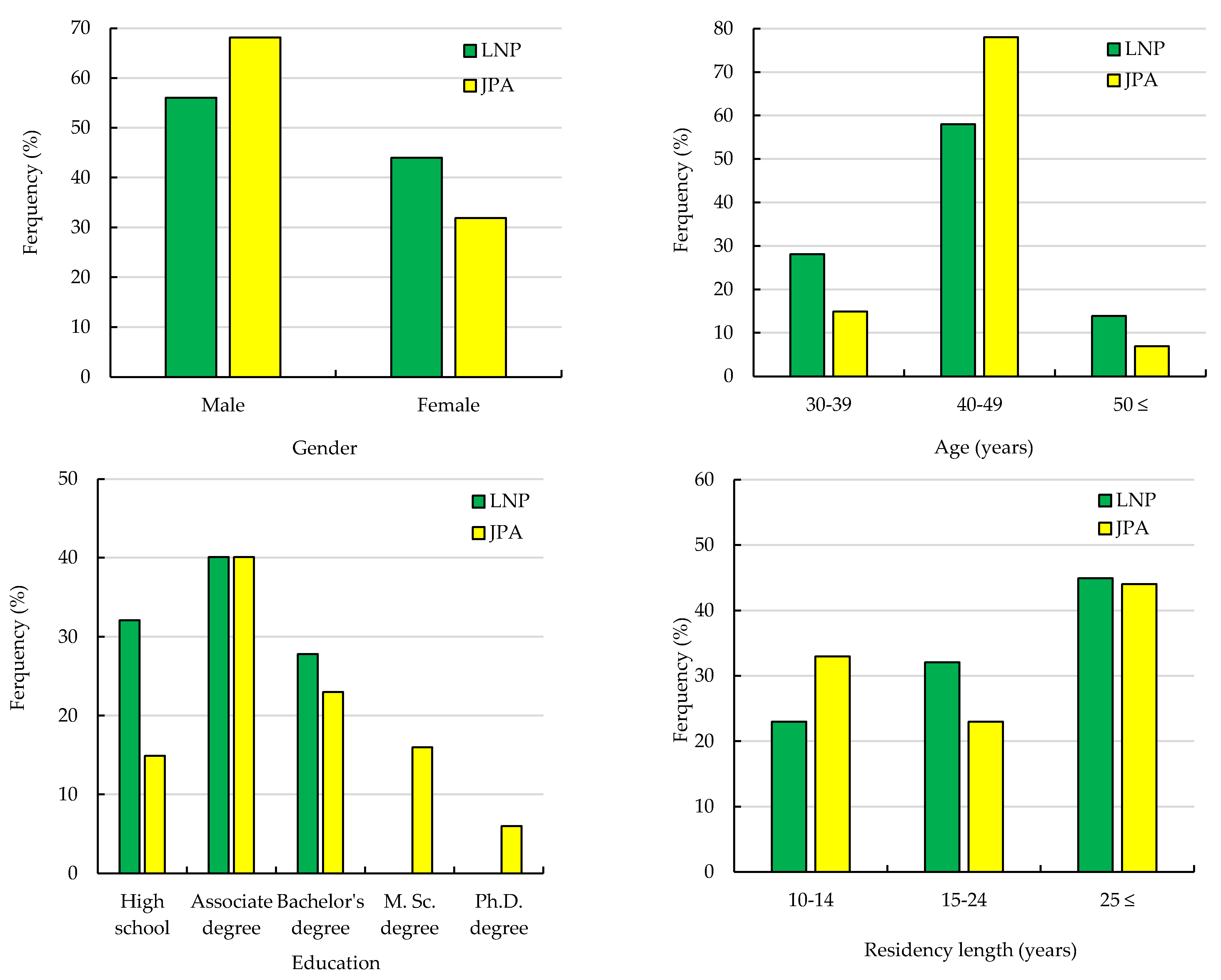
In this research, we interviewed 352 and 382 respondents for LNP and JPA protected areas, respectively (Figure 1). Males from the respondents were the majority of survey participants in LNP and JPA between 40 and 49 years of age. In terms of education level, most survey participants held associate degrees. In addition, most had been local residents for equal to or more than 25 years.
Figure 1.
Descriptive profile of survey respondents in two studied areas.
4.2. Evaluation of the Ecotourism Sustainability Level
The results revealed that the highest levels of perceived sustainability along the environmental–physical and socio-demographic sustainability dimensions were found for LNP, with a mean of 3.86 and 3.71, respectively. In contrast, JPA was thought to have the greatest economic–institutional sustainability, with a mean of 3.80 (Table 1).
Table 1.
Evaluation of the (mean) sustainability level of ecotourism development in two protected areas (based on respondents’ self-assessment).
4.3. Evaluation of Local Community Participation Levels
The highest perceived local community participation level was found for LNP with a mean of 3.64, while participation was rated considerably lower for the JPA with a mean of 2.76 (Table 2).
Table 2.
Evaluation of local community participation in two protected areas in Iran.
4.4. Relationship between Participation and Sustainable Ecotourism Development
The results indicate that the significance level is less than 0.05 (Table 3). Thus, there is a significant relationship between local community participation and ecotourism sustainability. This means that with increased local community participation in these areas, the level of sustainable ecotourism development also increased (Table 4).
Table 3.
Results of the Kolmogorov–Smirnov test.
Table 4.
Results of Spearman correlation coefficient.
In the multivariate-regression model, participation indicators were considered an independent variable, while ecotourism sustainability was treated as the dependent variable (Table 5). The results demonstrate that the correlation coefficient between ecotourism sustainability indicators and participation in LNP is 0.724. Likewise, the results indicate that the adjusted coefficient of 68.4% can be explained through a linear combination of participation indicators, as these changes are significant at the 0.008 level. In JPA, the correlation coefficient between ecotourism sustainability and participation indicators is 0.673, with a significance level of 0.049, indicating that their relationship is statistically significant.
Table 5.
Multivariate-regression and adjusted coefficients. Predictors: participation indicators; dependent variable: ecotourism sustainability.
A final assessment of the impact of the independent variables on the dependent variable was made using the standardized coefficients in Table 6. The results indicate that in LNP, environmental–physical and economic–institutional dimensions significantly impact the sustainability of ecotourism, while no statistically significant impacts were observed for the demographic–social dimensions. In addition, the highest beta (B) coefficient (0.614) was found for the environmental–physical dimension, while the lowest B coefficient (−0.218) was found for the socio-demographic dimension. In the JPA, environmental–physical and economic–institutional dimensions have significantly positive impacts, while there were no significant socio-demographic impacts, which tended toward the negative. Likewise, results indicate that the highest B coefficient (0.547) was found for the economic–institutional dimension and the lowest B coefficient (−0.346) was found for the socio-demographic dimension.
Table 6.
The impact intensity coefficients of participation dimensions on ecotourism sustainability.
4.5. Evaluating Factors Affecting Local Community Participation
To fit the article into a limited number of pages, rounds 1 and 2 of the Delphi method have been transferred to the supplementary files, and the results of round 3 are as follows. As can be seen in Table S5, in the first round of Delphi, 16 factors were selected based on the expert viewpoints. In the second round, 14 factors were selected (Table S6). The factors of income status of local communities and the education level of local communities were removed from the questions in the first round of Delphi. Likewise, in the second round, the factor of a “high number of young people among local communities” was removed from the questions based on an expert view. Following the expert’s responses to round three of the Delphi methodology, 13 factors were selected. The factors presented in Table 7 are the final selection thought to influence the local community participation level in the study areas, which can have different impacts based on the characteristics of each area.
Table 7.
List of factors influencing local community participation level in two protected areas in Iran areas.
As seen in Table 7, most of the factors enhancing local community participation were related to LNP, with a mean of 3.16. Among those, a high level of attachment and interest in pristine nature scored particularly high (4.54). The least influential factor was thought to be the existence of traditional knowledge, with a score of 1.75. In the JPA, the highest mean rating was assigned to the “low level of protection importance” among local communities with a score of 4.05, and the lowest mean was given to a “high number of tourists” with a score of 1.36. It was found that the most important factors affecting local community participation levels differed according to study area because of the awareness and education level and protection importance of the area among local communities.
5. Discussion
PAs rely heavily on local communities to protect the environment and improve livelihoods [68]. Thus, local residents must be involved in ecotourism development, management, and protection to achieve sustainable results [69].
Since LNP has the most legal restrictions and prohibitions established following IUCN guidelines, the main goal in this area is sustainable ecotourism development with minimal human impact. LNP, in our study, was perceived to achieve the highest level of sustainability. This can be attributed to numerous factors, including the short annual periods in which ecotourism activities and visits to the area are allowed, high elevation and slope, long distance from human habitats, infrastructural shortages, low density of local residents, and the presence of many guard stations and environmental guardians. In addition, the results indicate that community participation and support for protecting valuable biological resources and sustainable ecotourism development was driven by adherence to laws and regulations, the existence of indigenous knowledge, and the great awareness level of local communities in relation to the importance of the area, the existence of pristine habitats and high species richness, high distance from the metropolis of Tehran, low access of tourists and visitors to the area, high ecological sensitiveness of the area, and low numbers of tourists. In addition, local community participation is directly linked to sustainable ecotourism development, according to the results. Therefore, local community participation has been considered one of the intrinsic drivers of environmental protection and sustainable ecotourism development in this area. Despite awareness of the ecological sensitivities and importance of LNP, numerous threats remain that need to be monitored as they work against sustainability, such as livestock overgrazing by nomads, the existence of a high number of nomads and tourists in safe and sensitive biological habitats, rapid expansion of ecotourism programs, and initiatives to attract more tourists to the area. Consequently, any further changes to these habitats in this area will threaten species extinction and unsustainability. Other scientists have supported these results [6,7,23,36,39], which have demonstrated that the ecotourism development in semiarid and arid national parks with fragile ecosystems and insufficient attention to high ecological sensitivity in these areas has led to conflicts between protection and meeting the needs of tourists. Interestingly, the high level of attachment and interest in pristine nature prevalent among the local community was seen as the main factor in local community participation in LNP. Similarly, some researchers noted that natural landscapes that are pristine and attractive facilitate environmental education [70,71]. Although nature conservation tends to convey perceptions of pristine nature, Furze et al. [72] indicate that almost all landscapes worldwide today are deeply influenced by human activity in the past, as evident by advances in ecology and social science. They are, in fact, largely cultural habitats. PAs thus represent a cultural response to preserving a specific mix of species and environmental conditions [73]. In this regard, previous research argues that national parks can contribute to poverty reduction and tourism-centered economic growth, particularly in developing countries [74,75]. In this context, it should be noted that national parks were originally established to protect the “wilderness” [76], an area considered sacred and pristine [77].
Our second study area, the JPA, is located within Tehran city. Consequently, it has seen vast development and pressures from increasing human activity in the past decade, and this was reflected in the increased unsustainability we noted. Factors that can be attributed to the low levels of sustainability are low community participation levels, urban expansion, increased demand for tourism, growth of physical and economic activities, a low level of monitoring and control of ecotourism activities, high-density populations in close proximity, nearness to human habitats, development of ecotourism activities, and high visitation to the area. On the other hand, ecotourism sustainability is significantly impacted by local community participation. However, this participation is at a low level for numerous reasons: low distance and proximity to the metropolis of Tehran, great access for tourists and visitors, high capacity to develop physical and economic activities, low level of place attachment and ownership among local communities, low level of ecological sensitivities, and low levels of importance attributed to protection and pristine nature. There are other studies that confirm these results as well [23,39], which have illustrated that the development of ecotourism activities will lead to increased unsustainability, habitat threat, and extinction of plant and animal species. We found that the low level of importance attributed to protection among local communities in JPA was the most impeding factor in local community participation. From other contexts, it is known how important collaborative management is to enhance biodiversity protection for the long-term success of PAs [78,79,80,81]. In fact, harnessing the power of local communities to participate in protection and management by directly giving them some responsibilities and stewardship can increase the sustainability of the PAs [82]. This requires that local communities need to understand how important it is to protect a particular area.
According to the above results, there is a positive relationship between local community participation and sustainable ecotourism development in both studied PAs. Similar findings were also reported by scientists worldwide [83,84,85,86,87,88]. This means that participation in ecotourism development is a tool to strengthen the sustainable use of valuable natural resources and reserves. Participation can encourage the protection of natural resources, have economic benefits, improve living standards, and foster a sense of ownership among residents [89,90]. Co-management mechanisms need to be established involving local people. Harnessing the knowledge of local community members who have preserved their traditional culture and society and increasing tourist interest in local cultures are ways to achieve that [91]. Additionally, educating local communities and raising environmental awareness of the various unique native species is a tool to instill a sense of urgency to conserve natural resources and to provide rich tourism experiences [2]. The participation of local people in PA management can both strengthen the potential to conserve PAs and increase personal income [68].
6. Conclusions
The current study has evaluated the status of participation of local communities and sustainability levels of ecotourism development in two types of PAs in Iran, namely LNP and JPA. Among these areas, local community participation positively correlated with sustainable ecotourism development. In recent decades, unsustainability and habitat degradation in PAs have increased greatly, in part because of a lack of participation among stakeholders. However, the development of sustainable nature-based ecotourism operations requires participation among local communities. Ideally, participation needs to lead to conservation outcomes, short- and long-term benefits to residents (improves livelihoods and creates job opportunities), improved conditions for education and research, increased responsibility and sustainable use of the area, integrated management, appropriate planning, development of sustainable ecotourism at a small scale, improvements in rules and regulations, and adequate monitoring. Accordingly, PA management should help the socio-economic development of host communities. To achieve that, government and other stakeholders need to facilitate participation and offer education tools widely among local communities. In return, local people will be motivated to provide quality services to tourists, protect these areas, and restore biodiversity.
Suggestions to expand this research in the future include using planning models and multi-criteria decision-making, examining the link between ecotourism impacts and the role of stakeholder participation, evaluating the performance of community-based ecotourism in PAs, and assessing the participation of government and non-governmental organizations in the development of sustainable ecotourism operations. The first limitation is the lack of methodological sophistication regarding quantitative data. This was done on purpose since we aim to provide research beneficiaries with simple analyses to better understand sustainable ecotourism development. It is also essential to consider some indicators not considered in this study, such as the life cycle of a tourism destination (second limitation).
Supplementary Materials
The following supporting information can be downloaded at https://www.mdpi.com/article/10.3390/land11101871/s1: Table S1: List of sustainable ecotourism indicators along the environmental-physical dimension; Table S2: List of sustainable ecotourism indicators along the socio-demographic dimension; Table S3: List of sustainable ecotourism indicators along the economic-institutional dimension. Table S4: List of local community participation indicators in sustainable ecotourism development in Protected Areas. Table S5: List of factors affecting on local communities’ participation level in these areas (results of round 1 of Delphi method). Values were measured on a 5-point Likert scale ranging from “strongly disagree (1) to strongly agree (5)”.Table S6: List of factors affecting on local communities’ participation level in these areas (results of round 2 of Delphi method). Values were measured on a 5-point Likert scale ranging from “strongly disagree (1) to strongly agree (5)”.
Author Contributions
Conceptualization, H.E.; methodology, P.S. and H.E.; software, P.S.; validation, P.S. and H.E.; formal analysis, P.S.; investigation, H.E.; resources, H.E.; data curation, P.S. and H.E.; writing—original draft preparation, H.E.; writing—review and editing, S.M.M.S., I.D.W. and A.D.; supervision, H.E. All authors have read and agreed to the published version of the manuscript.
Funding
This research received no external funding.
Data Availability Statement
Those interested in obtaining the data that support our results may contact either the first author (P.S.) or the second author (H.S.).
Conflicts of Interest
The authors declare no conflict of interest.
References
- Fletcher, R. Ecotourism After Nature: Anthropocene Tourism as a New Capitalist “Fix”. J. Sustain. Tour. 2019, 27, 522–535. [Google Scholar] [CrossRef]
- Bernhard, K.P.; Sabuhoro, E.; Dattilo, J. Colonial Influence on Local Relationships with Leisure and Environment in East Africa: Intersecting Two Literatures to Reflect on Domestic Ecotourism. Int. J. Sociol. Leis. 2022, 6, 1–20. [Google Scholar] [CrossRef]
- Mazengiya, M.N. Review on the Impacts of Community-Based Ecotourism on Household Financial Asset Improvement and Its Determinants in Ethiopia. Adv. Agric. 2022, 2020, 9238244. [Google Scholar] [CrossRef]
- Wondirad, A.; Tolkach, D.; King, B. Stakeholder Collaboration as a Major Factor for Sustainable Ecotourism Development in Developing Countries. Tour. Manag. 2020, 78, 104024. [Google Scholar] [CrossRef]
- Agardy, M.T. Accommodating ecotourism in multiple use planning of coastal and marine protected areas. Ocean Coastal Manag. 1993, 20, 219–239. [Google Scholar] [CrossRef]
- Xu, L.; Ao, C.; Liu, B.; Cai, Z. Ecotourism and sustainable development: A scientometric review of global research trends. Environ. Dev. Sustain. 2022, 25, 1–27. [Google Scholar] [CrossRef]
- Blau, M.L.; Panagopoulos, T. Designing Healing Destinations: A Practical Guide for Eco-Conscious Tourism Development. Land 2022, 11, 1595. [Google Scholar] [CrossRef]
- Ziyeviddinovich, M.A. Prospects for Ecotourism Development in Uzbekistan. Am. J. Soc. Humanit. Res. 2022, 3, 65–69. [Google Scholar]
- Phelan, A.; Ruhanen, L.; Mair, J. Ecosystem services approach for community-based ecotourism: Towards an equitable and sustainable blue economy. J. Sustain. Tour. 2020, 28, 1665–1685. [Google Scholar] [CrossRef]
- Buckley, R.; Brough, P.; Hague, L.; Chauvenet, A.; Fleming, C.; Roche, E.; Sofija, E.; Harris, N. Economic value of protected areas via visitor mental health. Nat. Commun. 2019, 10, 5005. [Google Scholar] [CrossRef]
- Kim, D.; Jin, J. Does happiness data say urban parks are worth it? Landsc. Urban Plan. 2018, 178, 1–11. [Google Scholar] [CrossRef]
- Azaryan, M.; Vajari, K.A.; Amanzadeh, B. Herb-layer diversity and morphological traits of beech trees (Fagus orientalis L.) in development stages of natural temperate forests. Biologia 2022, 78, 1–8. [Google Scholar] [CrossRef]
- Lobry de Bruyn, L.; Duong, T.M.P.; Kristiansen, P.; Marshall, G.R.; Wilkes, J. The Role of Livelihood Initiatives in Reducing Non-wood Forest Product Reliance in Protected Areas of Southern Vietnam: Opportunities and Challenges. Non-Wood For. Prod. Asia 2022, 25, 221–251. [Google Scholar]
- Thapa, K.; King, D.; Banhalmi-Zakar, Z.; Diedrich, A. Nature-based tourism in protected areas: A systematic review of socio-economic benefits and costs to local people. Int. J. Sustain. Dev. World Ecol. 2022, 29, 1–16. [Google Scholar] [CrossRef]
- Kia, Z. Ecotourism in Indonesia: Local community involvement and the affecting factors. J. Gov. Public Policy 2021, 8, 93–105. [Google Scholar] [CrossRef]
- Benitez, L.; Kilian, J.W.; Wittemyer, G.; Hughey, L.F.; Fleming, C.H.; Leimgruber, P.; du Preez, P.; Stabach, J.A. Precipitation, vegetation productivity, and human impacts control home range size of elephants in dryland systems in northern Namibia. Ecol. Evol. 2022, 12, e9288. [Google Scholar] [CrossRef]
- Das, M.; Chatterjee, B. Ecotourism a solution or deception for conservation: A case of Bhitarkanika Wildlife Sanctuary, Odisha, India. J. Hosp. Tour. Insights 2022. ahead-of-print. [Google Scholar] [CrossRef]
- Kaefer, F. Mihee Kang on Ecotourism Opportunities and Challenges in South Korea. Sustain. Leadersh. Tour. 2022, 1, 481–483. [Google Scholar] [CrossRef]
- Wishitemi, B.E.; Momanyi, S.O.; Ombati, B.G.; Okello, M.M. The link between poverty, environment and ecotourism development in areas adjacent to Maasai Mara and Amboseli protected areas, Kenya. Tour. Manag. Perspect. 2015, 16, 306–317. [Google Scholar] [CrossRef]
- Gao, J.; Faheem, M.; Yu, X. Global Research on Contaminated Soil Remediation: A Bibliometric Network Analysis. Land 2022, 11, 1581. [Google Scholar] [CrossRef]
- Nouri, M.; Bannayan, M. Spatiotemporal Changes in Aridity Index and Reference Evapotranspiration Over Semi-Arid and Humid Regions of Iran: Trend, Cause, and Sensitivity Analyses. Theor. Appl. Climatol. 2019, 136, 1073–1084. [Google Scholar] [CrossRef]
- Sweeney, C.P.; Jarzyna, M.A. Assessing the Synergistic Effects of Land Use and Climate Change on Terrestrial Biodiversity: Are Generalists Always the Winners? Curr. Landsc. Ecol. Rep. 2022, 7, 1–8. [Google Scholar] [CrossRef]
- Alkemade, R.; van Bussel, L.G.; Rodríguez, S.L.; Schipper, A.M. Global biodiversity assessments need to consider mixed multifunctional land-use systems. Curr. Opin. Environ. Sustain. 2022, 56, 101174. [Google Scholar] [CrossRef]
- Zoysa, M.D. Forest-based ecotourism in Sri Lanka: A review on state of governance, livelihoods, and forest conservation outcomes. J. Sustain. For. 2021, 41, 413–439. [Google Scholar] [CrossRef]
- Pornprasit, P.; Rurkkhum, S. Performance evaluation of community-based ecotourism: A case study in Satun province, Thailand. J. Ecotourism 2019, 18, 42–59. [Google Scholar] [CrossRef]
- Day, J.; Sydnor, S.; Marshall, M.; Noakes, S. Ecotourism, regenerative tourism, and the circular economy: Emerging trends and ecotourism. In Routledge Handbook of Ecotourism; Routledge: Oxfordshire, UK, 2021; Volume 1, pp. 23–36. [Google Scholar]
- Graci, S. Collaboration and partnership development for sustainable tourism. Tour. Geogr. 2013, 15, 25–42. [Google Scholar] [CrossRef]
- Jamal, T.B.; Getz, D. Collaboration theory and community tourism planning. Ann. Tour. Res. 1995, 22, 186–204. [Google Scholar] [CrossRef]
- Osman, T.; Shaw, D.; Kenawy, E. Examining the extent to which stakeholder collaboration during ecotourism planning processes could be applied within an Egyptian context. Land Use Policy 2018, 78, 126–137. [Google Scholar] [CrossRef]
- Forje, G.W.; Awazi, N.P.; Kimengsi, J.N. Ecotourism governance in sub-Saharan Africa: A systematic review. Environ. Res. Commun. 2022, 4, 1–17. [Google Scholar] [CrossRef]
- Choi, Y.E.; Oh, C.-O.; Chon, J. Applying the resilience principles for sustainable ecotourism development: A case study of the Nakdong Estuary, South Korea. Tour. Manag. 2021, 83, 104237. [Google Scholar] [CrossRef]
- Ghosh-Harihar, M.; An, R.; Athreya, R.; Borthakur, U.; Chanchani, P.; Chetry, D.; Datta, A.; Harihar, A.; Karanth, K.K.; Mariyam, D. Protected areas and biodiversity conservation in India. Biol. Conserv. 2019, 237, 114–124. [Google Scholar] [CrossRef]
- Rowlands, J. Empowerment examined. Dev. Pract. 1995, 5, 101–107. [Google Scholar] [CrossRef]
- Timur, S.; Getz, D. Sustainable tourism development: How do destination stakeholders perceive sustainable urban tourism? Sustain. Dev. 2009, 17, 220–232. [Google Scholar] [CrossRef]
- Yodsuwan, C.; Butcher, K. Determinants of tourism collaboration member satisfaction in Thailand. Asia Pac. J. Tour. Res. 2012, 17, 63–80. [Google Scholar] [CrossRef]
- Demkova, M.; Sharma, S.; Mishra, P.K.; Dahal, D.R.; Pachura, A.; Herman, G.V.; Kostilnikova, K.; Kolesárová, J.; Matlovicova, K. Potential for Sustainable Development of Rural Communities by Community-Based Ecotourism. A Case Study of Rural Village Pastanga, Sikkim Himalaya, INDIA. GeoJ. Tour. Geosites 2022, 43, 964975. [Google Scholar] [CrossRef]
- Ramaano, A.I. Nature and Impacts of Tourism Development Facilities and Activities on the Livelihoods of Communities in Musina Municipality. Tour. Plan. Dev. 2022, 19, 1–25. [Google Scholar] [CrossRef]
- Hughes, E.; Scheyvens, R. Tourism partnerships: Harnessing tourist compassion to ‘do good’through community development in Fiji. World Dev. 2021, 145, 105529. [Google Scholar] [CrossRef]
- Nejad, N.M.; Aghakhani, M. Evaluation of threats and opportunities of ecotourism industry strategic factors (Case study: Protected area of Jajroud). J. Environ. Sci. Technol. 2013, 11, 237–247. [Google Scholar]
- Krovopuskov, P.; Kantaryuk, E.; Chernyshova, M. Modern trends of development of industrial tourism for Russian Universities. Int. J. Eng. Technol. UAE 2018, 7, 65–66. [Google Scholar]
- Butler, R. Le tourisme durable: Un état de la question. Tour. Geogr. 1999, 1, 7–25. [Google Scholar] [CrossRef]
- Serna-Lagunes, R.; Rosas-Torres, F.; Aguilar-Rivera, N.; Torres-Cantú, G.B.; Llarena-Hernández, R.C.; Mora-Collado, N.; Salazar-Ortiz, J. Impact of Tourism Activities on Human Health and the Environment of a Riparian Ecosystem in Mexico. In Handbook of Human and Planetary Health; Springer: Cham, Switzerland, 2022; pp. 203–219. [Google Scholar]
- Bhatia, A.; Roy, B.; Kumar, A. A review of tourism sustainability in the era of COVID-19. J. Stat. Manag. Syst. 2022, 25, 1–18. [Google Scholar] [CrossRef]
- Nopiyani, N.M.S.; Wirawan, I.M.A. The impact of tourism on the quality of life of communities in tourist destination areas: A systematic review. Open Access Maced. J. Med. Sci. 2021, 9, 129–136. [Google Scholar] [CrossRef]
- Mooney, S.; Robinson, R.; Solnet, D.; Baum, T. Rethinking tourism’s definition, scope and future of sustainable work and employment: Editorial for the Journal of Sustainable Tourism special issue on “locating workforce at the heart of sustainable tourism discourse”. J. Sustain. Tour. 2022, 30, 1–19. [Google Scholar] [CrossRef]
- Saarinen, J.; Rogerson, J.M. Tourism and change: Issues and challenges in the Global South. Tour. Chang. Glob. South 2021, 1, 3–14. [Google Scholar]
- Badoc-Gonzales, B.P.; Mandigma, M.; Belinda, S.; Tan, J.J. SME resilience as a catalyst for tourism destinations: A literature review. J. Glob. Entrep. Res. 2022, 10, 1–22. [Google Scholar] [CrossRef]
- Zhu, S.; Jiang, W. A Comprehensive Evaluation of Environmental Quality for Health Ecotourism in Huangshan National Forest Park. Mob. Inf. Syst. 2022, 2022, 8666276. [Google Scholar] [CrossRef]
- Li, M.; Wu, X. Informal Tourism Employment for Poverty Alleviation Under the COVID-19 Pandemic: Research Advances and Novel Challenges. Tour. Aviat. Hosp. Dev. Dur. COVID-19 Pandemic 2022, 1, 191–204. [Google Scholar]
- Singh, K.; Puri, G.; Vohra, S.K. Rural Tourism: Emerging Trends & Possibilities In Indian Context Amid COVID 19. J. Posit. Sch. Psychol. 2022, 6, 2217–2224. [Google Scholar]
- Tosun, C. Expected nature of community participation in tourism development. Tour. Manag. 2006, 27, 493–504. [Google Scholar] [CrossRef]
- Laurila-Pant, M.; Lehikoinen, A.; Uusitalo, L.; Venesjärvi, R. How to value biodiversity in environmental management? Ecol. Indic. 2015, 55, 1–11. [Google Scholar] [CrossRef]
- Padma, P.; Ramakrishna, S.; Rasoolimanesh, S.M. Nature-based solutions in tourism: A review of the literature and conceptualization. J. Hosp. Tour. Res. 2022, 46, 442–466. [Google Scholar] [CrossRef]
- Lozano-Oyola, M.; Blancas, F.J.; González, M.; Caballero, R. Sustainable tourism indicators as planning tools in cultural destinations. Ecol. Indic. 2012, 18, 659–675. [Google Scholar] [CrossRef]
- Santos, M.C.; Veiga, C.; Santos, J.A.C.; Águas, P. Sustainability as a success factor for tourism destinations: A systematic literature review. Worldw. Hosp. Tour. Themes 2022, 14, 20–37. [Google Scholar] [CrossRef]
- Dewi, R.; Ginting, N. Analysis of Community Participation in Sustainable Tourism Development in Simanindo Sub-District. Int. J. Archit. Urban 2022, 6, 131–144. [Google Scholar]
- Lin, Z.; Rasoolimanesh, S.M. Sharing tourism experiences in social media: A systematic review. Anatolia 2022, 33, 1–15. [Google Scholar] [CrossRef]
- Richards, G.; Fernandes, C. Cultural tourism during the COVID-19 pandemic in Portugal. Tour. Cult. Commun. 2022, 12, 19–36. [Google Scholar] [CrossRef]
- Shang, G.; Chen, X.; Liu, L. Impact of perceived discrimination on travel intention. Soc. Behav. Personal. 2022, 50, 1–11. [Google Scholar] [CrossRef]
- Callaghan, M.; Hubbard, P. The Asian infrastructure investment bank: Multilateralism on the silk road. China Econ. J. 2016, 9, 116–139. [Google Scholar] [CrossRef]
- Afanasiev, O.E.; Afanasieva, A.V. The Effect of COVID-19 Pandemic on Russian Tourists’ Demand and Preferences. In Tourism through Troubled Times; Emerald Publishing Limited: Bradford, UK, 2022; pp. 203–230. [Google Scholar]
- Herscovici, A.; Dahan, G.; Cohen, G. Smart Cities and Tourism: The Case of Tel Aviv-Yafo. Sustainability 2022, 14, 10968. [Google Scholar] [CrossRef]
- Zhou, B.; Xiong, Q.; Liu, S.; Wang, L.E.; Li, P.; Ryan, C. Tourist satisfaction with online car-hailing: Evidence from Hangzhou City, China. Curr. Issues Tour. 2022, 15, 1–19. [Google Scholar] [CrossRef]
- Zhang, Y. Information Construction of Sports Tourism in Haikou City under the Background of Internet. Wirel. Commun. Mob. Comput. 2022, 2022, 5931315. [Google Scholar] [CrossRef]
- Rebelo, S.; Patuleia, M.; Dias, Á. Inclusive Tourism: Assessing the Accessibility of Lisbon as a Tourist Destination. Tour. Hosp. 2022, 3, 466–495. [Google Scholar] [CrossRef]
- Hasson, F.; Keeney, S. Enhancing rigour in the Delphi technique research. Technol. Forecast. Soc. Chang. 2011, 78, 1695–1704. [Google Scholar] [CrossRef]
- Likert, R.A. technique for the measurement of attitudes. Arch. Psychol. 1932, 22, 44–53. [Google Scholar]
- Phyoe, S.S.S. Factors influencing local communities’ attitudes toward protected areas: A Comparative Study of Five Different PAs in Myanmar. Master’s Thesis, NTNU, Trondheim, Norway, 2022. [Google Scholar]
- Sahani, A.K. Ecotourism-an-option-for-sustainable-livelihood-in-uttarakhand-to-reduce-out-migration. J. Tour. Res. Hosp. 2021, 10, 1–6. [Google Scholar]
- Et, A.; Ganjali, S. Environmental and strategic assessment of ecotourism potential in Anzali Wetland using SWOT analysis. Casp. J. Environ. Sci. 2014, 12, 155–165. [Google Scholar]
- Kumar, V.; Punam, S. Socio-Cultural Impacts of Ecotourism Developments on the Stakeholders in the Great Himalayan National Park: An UNESCO World Heritage Site. Issue 1 Int’l JL Mgmt. Hum. 2022, 5, 296. [Google Scholar]
- Furze, B.; Lacy, T.D.; Birckhead, J. Culture, Conservation and Biodiversity: The Social Dimension of Linking Local Level Development and Conservation through Protected Areas; John Wiley & Sons: Hoboken, NJ, USA, 1996. [Google Scholar]
- Kaltenborn, B.P.; Riese, H.; Hundeide, M. National park planning and local participation: Some reflections from a mountain region in southern Norway. Mt. Res. Develop. 1999, 19, 51–61. [Google Scholar] [CrossRef]
- Gidebo, H.B. Linking livelihood and biodiversity conservation in protected areas: Community based tourism development perspective from developing country. Tour. Hosp. Res. 2022, 22, 1–15. [Google Scholar] [CrossRef]
- Scherl, L.M.; Wilson, A.; Wild, R. Can protected areas contribute to poverty reduction? In Opportunities and Limitations; IUCN: Fontainebleau, France, 2004. [Google Scholar]
- Cronon, W. Uncommon Ground: Rethinking the Human Place in Nature; WW Norton & Company: New York, NY, USA, 1996. [Google Scholar]
- Hill, D.; Vidon, E. Missing the forest for the fracking: Wilderness as ideology and simulacrum in Pennsylvania parks. Tour. Manag. Perspect. 2022, 41, 100918. [Google Scholar] [CrossRef]
- Tsegaye, T.G.; Lars, K.; Mona, B.; Aletta, B.; Lukas, B.; Andreas, F.; Marco, H.; Wesche, K.; Winter, M.; Ordaz-Németh, I. Sustainable protected areas: Synergies between biodiversity conservation and socioeconomic development. People Nat. 2022, 4, 893–903. [Google Scholar] [CrossRef]
- Masud, M.M.; Shahabudin, S.M.; Baskaran, A.; Akhtar, R. Co-management approach to sustainable management of marine protected areas: The case of Malaysia. Mar. Policy 2022, 138, 105010. [Google Scholar] [CrossRef]
- Yonariza, Y.; Webb, E. Rural household participation in illegal timber felling in a protected area of West Sumatra, Indonesia. Environ. Conserv. 2007, 34, 73–82. [Google Scholar] [CrossRef]
- Fidler, R.Y.; Ahmadia, G.N.; Cox, C.A.A.; Glew, L.E.; Handayani, C.; Mahajan, S.L.; Mascia, M.B.; Pakiding, F. Participation, not penalties: Community involvement and equitable governance contribute to more effective multiuse protected areas. Sci. Adv. 2022, 8, eabl8929. [Google Scholar] [CrossRef]
- Khan, M.S.; Bhagwat, S.A. Protected areas: A resource or constraint for local people? Mt. Res. Develop. 2010, 30, 14–24. [Google Scholar] [CrossRef]
- Ali, M.B.; Quaddus, M.; Rabbanee, F.K.; Shanka, T. Community participation and quality of life in nature-based tourism: Exploring the antecedents and moderators. J. Hosp. Tour. Res. 2022, 46, 630–661. [Google Scholar] [CrossRef]
- Eshun, G. Towards the dual mandate of ecotourism in Africa-comparative evidence from Ghana. Afr. Insight 2014, 44, 164–184. [Google Scholar]
- Eshun, G.; Tichaawa, T.M. Reconsidering participation for local community well-being in ecotourism in Ghana. Geo J. Tour. Geosites 2019, 27, 1184–1200. [Google Scholar] [CrossRef]
- Darda, M.A.; Bhuiyan, M.A.H. A Structural Equation Model (SEM) for the socio-economic impacts of ecotourism development in Malaysia. PLoS ONE 2022, 17, e0273294. [Google Scholar] [CrossRef]
- Mudimba, T.; Tichaawa, T.M. Voices of local communities regarding their involvement and roles in the tourism development process in Victoria Falls, Zimbabwe. Afr. J. Hosp. Tour. Leis. 2017, 6, 1–15. [Google Scholar]
- Romero-Brito, T.P.; Buckley, R.C.; Byrne, J. NGO partnerships in using ecotourism for conservation: Systematic review and meta-analysis. PLoS ONE 2016, 11, e0166919. [Google Scholar]
- Harilal, V.; Tichaawa, T.M.; Saarinen, J. The impacts of ecotourism and conservation measures in protected areas on local communities in Cameroon. Tour. Rev. Int. 2021, 25, 89–103. [Google Scholar] [CrossRef]
- Musavengane, R. Environmental Operational Research for sustainable tourism and conflict management in community-based natural resources management. Conserv. Land Confl. Sustain. Tour. S. Afr. 2022, 1, 119–136. [Google Scholar]
- Prado, D.S.; Seixas, C.S.; Trimble, M. Catalytic and structural factors behind advancements of co-management in protected areas: Contributions for its evaluation. J. Environ. Manag. 2022, 311, 114825. [Google Scholar] [CrossRef]
Publisher’s Note: MDPI stays neutral with regard to jurisdictional claims in published maps and institutional affiliations. |
© 2022 by the authors. Licensee MDPI, Basel, Switzerland. This article is an open access article distributed under the terms and conditions of the Creative Commons Attribution (CC BY) license (https://creativecommons.org/licenses/by/4.0/).
