Urban Parks Quality Assessment Using Multi-Dimension Indicators in Chengdu, China
Abstract
1. Introduction
2. Materials and Methods
2.1. Study Area
2.2. Assessment Framework of Multiple-Quality Urban Parks
- Category count (M1). Scores are given by the number of categories. The more categories, the higher the score. For example, in terms of leisure and recreation facilities, a park with both a café, a tea room, and a chess room, etc., could receive more points.
- Existence score (M2). The criterion is whether it exists or not. Scores for presence and 0 for absence. For example, it would be 0 if there are no accessibility facilities.
- Field measurement (M3). Use different tools and techniques to measure and calculate a specific indicator. The evaluation results are used to determine the score of this indicator. In this study, only the vegetation coverage is measured by calculating the ratio of the vertical projection area of green spaces to the total area of the park.
- Field research and experts score (M4). A panel of experts from different fields marked the scores by conducting field research (see Section 2.3).
2.3. Quality Score System of Urban Parks
3. Results
3.1. Assessment of Multi-Dimension Qualities of Urban Parks
3.1.1. Total Points and Spatial Characteristics of Urban Parks
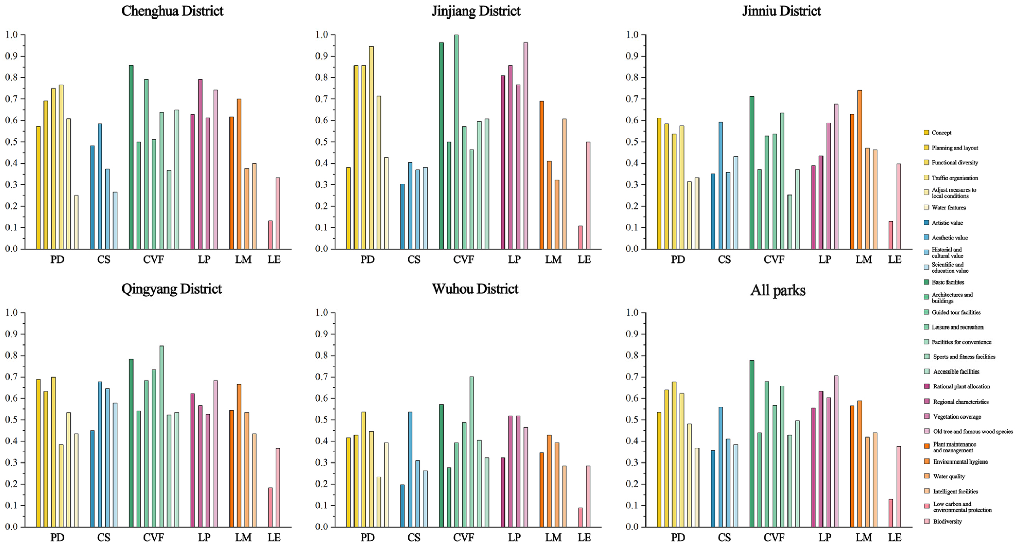
3.1.2. Analysis of Six Quality Dimensions
3.2. Identification of Spatial Areas Based on Multi-Quality Parks
4. Discussion
4.1. Implications
4.2. Limitations and Future Research Directions
5. Conclusions
Author Contributions
Funding
Data Availability Statement
Acknowledgments
Conflicts of Interest
References
- Benedict, M.A.; McMahon, E.T. Green Infrastructure: Smart Conservation for the 21st Century. Renew. Resour. J. 2002, 20, 12–17. [Google Scholar]
- Rössler, S. Green space development in shrinking cities—Opportunities and constraints. Urbani Izziv 2008, 19, 147–152. [Google Scholar] [CrossRef]
- Young, R.F. Managing municipal green space for ecosystem services. Urban For. Urban Green. 2010, 9, 313–321. [Google Scholar] [CrossRef]
- Tzoulas, K.; Korpela, K.; Venn, S.; Yli-Pelkonen, V.; Kamierczak, A.; Niemela, J.; James, P. Promoting ecosystem and human health in urban areas using Green Infrastructure: A literature review. Landsc. Urban Plan. 2007, 81, 167–178. [Google Scholar] [CrossRef]
- Zhang, S.; Muñoz Ramírez, F. Assessing and mapping ecosystem services to support urban green infrastructure: The case of Barcelona, Spain. Cities 2019, 92, 59–70. [Google Scholar] [CrossRef]
- Coutts, C.; Hahn, M. Green Infrastructure, Ecosystem Services, and Human Health. Int. J. Environ. Res. Public Health 2015, 12, 9768–9798. [Google Scholar] [CrossRef]
- Gómez-Baggethun, E.; Barton, D.N. Classifying and valuing ecosystem services for urban planning. Ecol. Econ. 2013, 86, 235–245. [Google Scholar] [CrossRef]
- Lafortezza, R.; Davies, C.; Sanesi, G.; Konijnendijk, C. Green Infrastructure as a tool to support spatial planning in European urban regions. iForest Biogeosci. For. 2013, 6, 102–108. [Google Scholar] [CrossRef]
- Zhang, S.; Li, X.; Chen, Z.; Ouyang, Y. A bibliometric analysis of the study of urban green spaces and health behaviors. Front. Public Health 2022, 10, 1005647. [Google Scholar] [CrossRef]
- Xie, B.; An, Z.; Zheng, Y.; Li, Z. Healthy aging with parks: Association between park accessibility and the health status of older adults in urban China. Sustain. Cities Soc. 2018, 43, 476–486. [Google Scholar] [CrossRef]
- Wang, H.; Dai, X.; Wu, J.; Wu, X.; Nie, X. Influence of urban green open space on residents’ physical activity in China. BMC Public Health 2019, 19, 1–12. [Google Scholar] [CrossRef] [PubMed]
- Sugiyama, T.; Carver, A.; Koohsari, M.J.; Veitch, J. Advantages of public green spaces in enhancing population health. Landsc. Urban Plan. 2018, 178, 12–17. [Google Scholar] [CrossRef]
- Taylor, S.; John, L. Supplying urban ecosystem services through multifunctional green infrastructure in the United States. Landsc. Ecol. 2013, 28, 1447–1463. [Google Scholar]
- Rayan-Gharra, N.; Ofir-Gutler, M.; Spitzer, S. Shaping health: Conducting a community health needs assessment in culturally diverse peripheral population groups. Int. J. Equity Health 2022, 21, 1–13. [Google Scholar] [CrossRef]
- Wolch, J.R.; Byrne, J.; Newell, J.P. Urban green space, public health, and environmental justice: The challenge of making cities “just green enough”. Landsc. Urban Plan. 2014, 125, 234–244. [Google Scholar] [CrossRef]
- Lome-Hurtado, A.; Touza-Montero, J.; White, P.C.L. Environmental Injustice in Mexico City: A Spatial Quantile Approach. Expo. Health 2020, 12, 265–279. [Google Scholar] [CrossRef]
- Zhang, R.; Sun, F.; Shen, Y.; Peng, S.; Che, Y. Accessibility of urban park benefits with different spatial coverage: Spatial and social inequity. Appl. Geogr. 2021, 135, 102555. [Google Scholar] [CrossRef]
- Lan, T.; Liu, Y.; Huang, G.; Corcoran, J.; Peng, J. Urban green space and cooling services: Opposing changes of integrated accessibility and social equity along with urbanization. Sustain. Cities Soc. 2022, 84, 104005. [Google Scholar] [CrossRef]
- Xiao, T.; Ding, T.; Zhang, X.; Tao, Z.; Liu, Y. Spatial Accessibility to Sports Facilities in Dongguan, China: A Multi-Preference Gaussian Two-Step Floating Catchment Area Method. Appl. Spat. Anal. Policy 2022, 15, 1093–1114. [Google Scholar] [CrossRef]
- Baran, P.K.; Smith, W.R.; Moore, R.C.; Floyd, M.F.; Bocarro, J.N.; Cosco, N.G.; Danninger, T.M. Park Use Among Youth and Adults: Examination of Individual, Social, and Urban Form Factors. Environ. Behav. 2014, 46, 768–800. [Google Scholar] [CrossRef]
- Akpınar, A. How perceived sensory dimensions of urban green spaces are associated with teenagers’ perceived restoration, stress, and mental health? Landsc. Urban Plan. 2021, 214, 104185. [Google Scholar] [CrossRef]
- Yakınlar, N.; Akpınar, A. How perceived sensory dimensions of urban green spaces are associated with adults’ perceived restoration, stress, and mental health? Urban For. Urban Green. 2022, 72, 127572. [Google Scholar] [CrossRef]
- Gordon-Larsen, P.; Nelson, M.C.; Page, P.; Popkin, B.M. Inequality in the built environment underlies key health disparities in physical activity and obesity. Pediatrics 2006, 117, 417–424. [Google Scholar] [CrossRef]
- Liu, D.; Kwan, M.P.; Kan, Z. Analysis of urban green space accessibility and distribution inequity in the City of Chicago. Urban For. Urban Green. 2021, 59, 127029. [Google Scholar] [CrossRef]
- Chaudhary, S.; McGregor, A.; Houston, D.; Chettri, N. Environmental justice and ecosystem services: A disaggregated analysis of community access to forest benefits in Nepal. Ecosyst. Serv. 2018, 29, 99–115. [Google Scholar] [CrossRef]
- Hamstead, Z.A.; Fisher, D.; Ilieva, R.T.; Wood, S.A.; McPhearson, T.; Kremer, P. Geolocated social media as a rapid indicator of park visitation and equitable park access. Comput. Environ. Urban Syst. 2018, 72, 38–50. [Google Scholar] [CrossRef]
- Van Cauwenberg, J.; Cerin, E.; Timperio, A.; Salmon, J.; Deforche, B.; Veitch, J. Park proximity, quality and recreational physical activity among mid-older aged adults: Moderating effects of individual factors and area of residence. Int. J. Behav. Nutr. Phys. Act. 2015, 12, 1–8. [Google Scholar] [CrossRef]
- Schipperijn, J.; Cerin, E.; Adams, M.A.; Reis, R.; Smith, G.; Cain, K.; Christiansen, L.B.; van Dyck, D.; Gidlow, C.; Frank, L.D.; et al. Access to parks and physical activity: An eight country comparison. Urban For. Urban Green. 2017, 27, 253–263. [Google Scholar] [CrossRef]
- Xing, L.; Liu, Y.; Liu, X.; Wei, X.; Mao, Y. Spatio-temporal disparity between demand and supply of park green space service in urban area of Wuhan from 2000 to 2014. Habitat Int. 2018, 71, 49–59. [Google Scholar] [CrossRef]
- La Rosa, D.; Takatori, C.; Shimizu, H.; Privitera, R. A planning framework to evaluate demands and preferences by different social groups for accessibility to urban greenspaces. Sustain. Cities Soc. 2018, 36, 346–362. [Google Scholar] [CrossRef]
- Yang, Y.; Lu, Y.; Yang, H.; Yang, L.; Gou, Z. Impact of the quality and quantity of eye-level greenery on park usage. Urban For. Urban Green. 2021, 60, 127061. [Google Scholar] [CrossRef]
- Norton, B.A.; Coutts, A.M.; Livesley, S.J.; Harris, R.J.; Hunter, A.M.; Williams, N.S.G. Planning for cooler cities: A framework to prioritise green infrastructure to mitigate high temperatures in urban landscapes. Landsc. Urban Plan. 2015, 134, 127–138. [Google Scholar] [CrossRef]
- Lobaccaro, G.; Acero, J.A. Comparative analysis of green actions to improve outdoor thermal comfort inside typical urban street canyons. Urban Clim. 2015, 14, 251–267. [Google Scholar] [CrossRef]
- Lai, D.; Liu, W.; Gan, T.; Liu, K.; Chen, Q. A review of mitigating strategies to improve the thermal environment and thermal comfort in urban outdoor spaces. Sci. Total Environ. 2019, 661, 337–353. [Google Scholar] [CrossRef]
- Morakinyo, T.E.; Lam, Y.F. Simulation study on the impact of tree-configuration, planting pattern and wind condition on street-canyon’s micro-climate and thermal comfort. Build. Environ. 2016, 103, 262–275. [Google Scholar] [CrossRef]
- Polat, A.T.; Akay, A. Relationships between the visual preferences of urban recreation area users and various landscape design elements. Urban For. Urban Green. 2015, 14, 573–582. [Google Scholar] [CrossRef]
- Gungor, S.; Polat, A.T. Relationship between visual quality and landscape characteristics in urban parks. J. Environ. Prot. Ecol. 2018, 19, 939–948. [Google Scholar]
- Liu, M.; Nijhuis, S. Mapping landscape spaces: Methods for understanding spatial-visual characteristics in landscape design. Environ. Impact Assess. Rev. 2020, 82, 106376. [Google Scholar] [CrossRef]
- Milburn, L.A.S.; Brown, R.D. The relationship between research and design in landscape architecture. Landsc. Urban Plan. 2003, 64, 47–66. [Google Scholar] [CrossRef]
- Rigolon, A. Parks and young people: An environmental justice study of park proximity, acreage, and quality in Denver, Colorado. Landsc. Urban Plan. 2017, 165, 73–83. [Google Scholar] [CrossRef]
- Lam, K.-C.; Ng, S.-L.; Hui, W.-C.; Chan, P.-K. Environmental Quality Of Urban Parks And Open Spaces In Hong Kong. Environ. Monit. Assess. 2005, 111, 55–73. [Google Scholar] [CrossRef] [PubMed]
- Xu, M.; Xin, J.; Su, S.; Weng, M.; Cai, Z. Social inequalities of park accessibility in Shenzhen, China: The role of park quality, transport modes, and hierarchical socioeconomic characteristics. J. Transp. Geogr. 2017, 62, 38–50. [Google Scholar] [CrossRef]
- McCormack, G.R.; Rock, M.; Toohey, A.M.; Hignell, D. Characteristics of urban parks associated with park use and physical activity: A review of qualitative research. Health Place 2010, 16, 712–726. [Google Scholar] [CrossRef] [PubMed]
- Zhang, R.; Peng, S.; Sun, F.; Deng, L.; Che, Y. Assessing the social equity of urban parks: An improved index integrating multiple quality dimensions and service accessibility. Cities 2022, 129, 103839. [Google Scholar] [CrossRef]
- Bao, Y.; Gao, M.; Luo, D.; Zhou, X. The Influence of Plant Community Characteristics in Urban Parks on the Microclimate. Forests 2022, 13, 1342. [Google Scholar] [CrossRef]
- Kendal, D.; Williams, K.J.H.; Williams, N.S.G. Plant traits link people’s plant preferences to the composition of their gardens. Landsc. Urban Plan. 2012, 105, 34–42. [Google Scholar] [CrossRef]
- Wai, K.; Tan, T.Z.; Morakinyo, T.E.; Chan, T.; Lai, A. Reduced effectiveness of tree planting on micro-climate cooling due to ozone pollution—A modeling study. Sustain. Cities Soc. 2020, 52, 101803. [Google Scholar] [CrossRef]
- Chen, X.; Wu, J. Sustainable landscape architecture: Implications of the Chinese philosophy of “unity of man with nature” and beyond. Landsc. Ecol. 2009, 24, 1015–1026. [Google Scholar] [CrossRef]
- Klemm, W.; Heusinkveld, B.G.; Lenzholzer, S.; van Hove, B. Street greenery and its physical and psychological impact on thermal comfort. Landsc. Urban Plan. 2015, 138, 87–98. [Google Scholar] [CrossRef]
- Kwong, C.; Lam, C.; Weng, J.; Liu, K.; Hang, J. The effects of shading devices on outdoor thermal and visual comfort in Southern China during summer. Build. Environ. 2023, 228, 109743. [Google Scholar]
- Xu, J.; Wei, Q.; Huang, X.; Zhu, X.; Li, G. Evaluation of human thermal comfort near urban waterbody during summer. Build. Environ. 2010, 45, 1072–1080. [Google Scholar] [CrossRef]
- McHarg, I.L. Design with Nature; American Museum of Natural History: New York, NY, USA, 1969; ISBN 0385021429. [Google Scholar]
- Ostojić, R.A.D.J.; Çiğ, A.P.D.A. (Eds.) Sustainable Practices in Horticulture and Landscape Architecture; Iksad: Ankara, Turkey, 2022; ISBN 0854046356. [Google Scholar]
- Zhang, S. Knowledge Mapping Analysis of the Study of Ecosystem Services and Landscape Architecture. J. Urban Plan. Dev. 2022, 148, 1–11. [Google Scholar] [CrossRef]
- Mahmoud, A.H.; Omar, R.H. Planting design for urban parks: Space syntax as a landscape design assessment tool. Front. Archit. Res. 2015, 4, 35–45. [Google Scholar] [CrossRef]
- Alberich, J.; Pérez-Albert, Y.; Morales, J.I.M.; Picón, E.B. Environmental Justice and Urban Parks. A Case Study Applied to Tarragona (Spain). Urban Sci. 2021, 5, 62. [Google Scholar] [CrossRef]
- Zhai, Y.; Baran, P.K. Do configurational attributes matter in context of urban parks? Park pathway configurational attributes and senior walking. Landsc. Urban Plan. 2016, 148, 188–202. [Google Scholar] [CrossRef]
- Jahani, A.; Allahverdi, S.; Saffariha, M.; Alitavoli, A.; Ghiyasi, S. Environmental modeling of landscape aesthetic value in natural urban parks using artificial neural network technique. Model. Earth Syst. Environ. 2022, 8, 163–172. [Google Scholar] [CrossRef]
- Duan, Y.; Wagner, P.; Zhang, R.; Wulff, H.; Brehm, W. Physical activity areas in urban parks and their use by the elderly from two cities in China and Germany. Landsc. Urban Plan. 2018, 178, 261–269. [Google Scholar] [CrossRef]
- Ayala-Azcárraga, C.; Diaz, D.; Zambrano, L. Characteristics of urban parks and their relation to user well-being. Landsc. Urban Plan. 2019, 189, 27–35. [Google Scholar] [CrossRef]
- Milburn, L.S.; Brown, R.D.; Mulley, S.J.; Hilts, S.G. Assessing academic contributions in landscape architecture. Landsc. Urban Plan. 2003, 64, 119–129. [Google Scholar] [CrossRef]
- Milburn, L.A.S.; Brown, R.D. Research productivity and utilization in landscape architecture. Landsc. Urban Plan. 2016, 147, 71–77. [Google Scholar] [CrossRef]
- Gazvoda, D. Characteristics of modern landscape architecture and its education. Landsc. Urban Plan. 2002, 60, 117–133. [Google Scholar] [CrossRef]
- Rodiek, J.E. Landscape planning: Its contributions to the evolution of the profession of landscape architecture. Landsc. Urban Plan. 2006, 76, 291–297. [Google Scholar] [CrossRef]
- Körner, S. Nature conservation, forestry, landscape architecture and historic preservation: Perspectives for a conceptual alliance. In Wild Urban Woodlands: New Perspectives for Urban Forestry; Springer: Berlin/Heidelber, Germany, 2005; pp. 193–220. [Google Scholar]
- Thompson, I.H. Environmental ethics and the development of landscape architectural theory. Landsc. Res. 1998, 23, 175–194. [Google Scholar] [CrossRef]
- Chengdu Statistic Bureau. Chengdu Statistical Yearbook 2020; Chengdu Bureau of Statistics: Chengdu, China, 2020. [Google Scholar]
- Neuman, M. Regional design: Recovering a great landscape architecture and urban planning tradition. Landsc. Urban Plan. 2000, 47, 115–128. [Google Scholar] [CrossRef]
- Kullmann, K. Disciplinary convergence: Landscape architecture and the spatial design disciplines. J. Landsc. Archit. 2016, 11, 30–41. [Google Scholar] [CrossRef]
- Hughey, S.M.; Walsemann, K.M.; Child, S.; Powers, A.; Reed, J.A.; Kaczynski, A.T. Using an environmental justice approach to examine the relationships between park availability and quality indicators, neighborhood disadvantage, and racial/ethnic composition. Landsc. Urban Plan. 2016, 148, 159–169. [Google Scholar] [CrossRef]
- Srdjevic, B.; Srdjevic, Z.; Reynolds, K.M.; Lakicevic, M.; Zdero, S. Using Analytic Hierarchy Process and Best–Worst Method in Group Evaluation of Urban Park Quality. Forests 2022, 13, 290. [Google Scholar] [CrossRef]
- Politi Bertoncini, A.; Machon, N.; Pavoine, S.; Muratet, A. Local gardening practices shape urban lawn floristic communities. Landsc. Urban Plan. 2012, 105, 53–61. [Google Scholar] [CrossRef]
- Xiao, Y.; Wang, Z.; Li, Z.; Tang, Z. An assessment of urban park access in Shanghai—Implications for the social equity in urban China. Landsc. Urban Plan. 2017, 157, 383–393. [Google Scholar] [CrossRef]
- Blue, B.; Index, G. Evaluating Neighborhood Green-Space Quality Using a Building Blue–Green Index (BBGI) in Nanjing, China. Land 2022, 11, 445. [Google Scholar]
- Tan, P.Y.; Samsudin, R. Effects of spatial scale on assessment of spatial equity of urban park provision. Landsc. Urban Plan. 2017, 158, 139–154. [Google Scholar] [CrossRef]
- Rigolon, A. A complex landscape of inequity in access to urban parks: A literature review. Landsc. Urban Plan. 2016, 153, 160–169. [Google Scholar] [CrossRef]
- Clemente, P.; Calvache, M.; Antunes, P.; Santos, R.; Orestes, J.; João, M. Combining social media photographs and species distribution models to map cultural ecosystem services: The case of a Natural Park in Portugal. Ecol. Indic. 2019, 96, 59–68. [Google Scholar] [CrossRef]
- Wood, S.A.; Guerry, A.D.; Silver, J.M.; Lacayo, M. Using social media to quantify nature-based tourism and recreation. Sci. Rep. 2013, 3, 2976. [Google Scholar] [CrossRef]
- Depietri, Y.; Kallis, G.; Baró, F.; Cattaneo, C. The urban political ecology of ecosystem services: The case of Barcelona. Ecol. Econ. 2016, 125, 83–100. [Google Scholar] [CrossRef]
- Veitch, J.; Ball, K.; Crawford, D.; Abbott, G.R.; Salmon, J. Park improvements and park activity: A natural experiment. Am. J. Prev. Med. 2012, 42, 616–619. [Google Scholar] [CrossRef]
- Lu, S.; Wu, F.; Wang, Z.; Cui, Y.; Chen, C.; Wei, Y. Evaluation system and application of plants in healing landscape for the elderly. Urban For. Urban Green. 2021, 58, 126969. [Google Scholar] [CrossRef]
- Akpınar, A. Green exercise: How are characteristics of urban green spaces associated with adolescents’ physical activity and health? Int. J. Environ. Res. Public Health 2019, 16, 4281. [Google Scholar] [CrossRef]





| Index | Explanation and Examples | Weight | Method |
|---|---|---|---|
| Planning and design (PD) | |||
| Concept | It is an original and typical concept. | 3 | M4 |
| Planning and layout | Scientific and reasonable spatial layout planning. | 2 | M4 |
| Functional diversity | All age friendly. Diverse functions and rich content settings. | 1 | M1 |
| Traffic organization | Reasonable tour route and classification. Accessibility. | 1 | M3 and M4 |
| Use the terrain wisely, e.g., meet the drainage and rainwater collection requirements. | 1 | M4 | |
| Adjust measures to local conditions | E.g., terrain combined with green space to create a diversified landscape. | 2 | M4 |
| Water features | Maintain reasonable water levels, and make sustainable use of water resources. | 2 | M2 |
| Cultural services (CS) | |||
| Artistic value | Integrate public art into the urban park, e.g., sculpture and land art. | 2 | M2 |
| Aesthetic value | Attractive landscape features and views. | 3 | M4 |
| Historical and cultural value | It has profound cultural connotations, historical values, and cultural landscape displays. | 3 | M4 |
| Scientific and educational value | It has important research, science popularization, and environmental education value in the aspects of natural heritage, animal and plant resources, etc. | 3 | M4 |
| Complete and various facilities (CVF) | |||
| Basic facilities | The water, electricity, gas, and monitoring systems are complete and running well. | 2 | M1 |
| Architectures and buildings | Buildings with high artistic construction techniques and historical value. | 2 | M1 |
| A variety of functional buildings in harmony with the surrounding environment. | 2 | M1 | |
| Guided tour facilities | It has a guide sign system with comprehensive and accurate tour information. | 2 | M2 |
| Leisure and recreation facilities | Provide daily or periodic recreation activities for people, e.g., cafes and chess rooms. | 3 | M1 |
| Facilities for convenience | Equipped with fixed convenience service points and daily convenience facilities, e.g., drinking water, public seats, toilets, shops, and parking lots. | 3 | M1 |
| Sports and fitness facilities | Provide facilities for different people to exercise, e.g., tennis courts, swimming pools, basketball play courts, etc. | 3 | M1 |
| Accessible facilities | There is barrier-free access and signage at the main entrance and exit, and the toilets are equipped with barrier-free toilets. | 1 | M2 |
| Landscape planting (LP) | |||
| Rational plant allocation | The trees and shrubs are dense and have distinct layers, and the canopy line and the forest edge line are beautiful. | 3 | M4 |
| Regional characteristics | Mainly native tree species. | 2 | M1 |
| Vegetation coverage | Plants (including lawns) grow lush, and the vegetation coverage rate of the park is ≥80%. | 4 | M3 |
| Old trees and famous wood species | There are positive protection measures, and the protection rate reaches 100%. | 2 | M4 |
| Landscape management (LM) | |||
| Plant maintenance and management | The plants in the garden are kept in the best condition, and there is no random cutting or naked phenomenon. | 3 | M4 |
| Environmental hygiene | The facilities (i.e., ground, toilets, walls, etc.) are clean, tidy, and without odor. | 2 | M4 |
| Water quality | Water security for human, flora, and fauna. | 2 | M3 |
| Intelligent facilities | Intelligent management system. A certain number of intelligent facilities. | 1 | M1 |
| Landscape ecology (LE) | |||
| Low carbon and environmental protection | E.g., effective use of green lighting and clean energy. | 1 | M1 |
| The application of sponge city (e.g., roads, parking lots, permeable paving), and low carbon environmental protection measures of resource recycling. | 2 | M1 | |
| Biodiversity | Plant and animal diversity, including the invasive species. | 2 | M2 and M4 |
| Districts | Comprehensive Parks | Community Parks | Special Parks | No. (Total) | Area (ha) | Quality Score (Mean) |
|---|---|---|---|---|---|---|
| Jinniu | 7 | 10 | 10 | 27 | 904.09 | 31.22 |
| Wuhou | 4 | 7 | 3 | 14 | 204.58 | 25.54 |
| Qingyang | 5 | 5 | 5 | 15 | 288.04 | 37.53 |
| Chenghua | 14 | 9 | 7 | 30 | 395.48 | 35.22 |
| Jinjiang | 7 | 6 | 1 | 14 | 218.6 | 38.07 |
| No. | Score (Mean) | PD (Mean) | CS (Mean) | CVF (Mean) | LP (Mean) | LM (Mean) | LE (Mean) | |
|---|---|---|---|---|---|---|---|---|
| Small parks (<5 ha) | 30 | 28.13 | 5.53 | 3.45 | 8.8 | 6.39 | 3.25 | 0.72 |
| Medium parks (5–10 ha) | 24 | 34.85 | 6.71 | 5.44 | 9.79 | 6.77 | 4.65 | 1.65 |
| Large parks (>10 ha) | 23 | 36.36 | 7.09 | 5.30 | 10.90 | 6.91 | 4.75 | 1.32 |
Disclaimer/Publisher’s Note: The statements, opinions and data contained in all publications are solely those of the individual author(s) and contributor(s) and not of MDPI and/or the editor(s). MDPI and/or the editor(s) disclaim responsibility for any injury to people or property resulting from any ideas, methods, instructions or products referred to in the content. |
© 2024 by the authors. Licensee MDPI, Basel, Switzerland. This article is an open access article distributed under the terms and conditions of the Creative Commons Attribution (CC BY) license (https://creativecommons.org/licenses/by/4.0/).
Share and Cite
Zhang, S.; Song, H.; Li, X.; Luo, S. Urban Parks Quality Assessment Using Multi-Dimension Indicators in Chengdu, China. Land 2024, 13, 86. https://doi.org/10.3390/land13010086
Zhang S, Song H, Li X, Luo S. Urban Parks Quality Assessment Using Multi-Dimension Indicators in Chengdu, China. Land. 2024; 13(1):86. https://doi.org/10.3390/land13010086
Chicago/Turabian StyleZhang, Sining, Haoxiang Song, Xiaopeng Li, and Shixian Luo. 2024. "Urban Parks Quality Assessment Using Multi-Dimension Indicators in Chengdu, China" Land 13, no. 1: 86. https://doi.org/10.3390/land13010086
APA StyleZhang, S., Song, H., Li, X., & Luo, S. (2024). Urban Parks Quality Assessment Using Multi-Dimension Indicators in Chengdu, China. Land, 13(1), 86. https://doi.org/10.3390/land13010086

