Spatiotemporal Differentiation and Its Attribution of the Ecosystem Service Trade-Off/Synergy in the Yellow River Basin
Abstract
1. Introduction
2. Materials and Methods
2.1. The Location of the Study Area
2.2. Data
2.3. Research Framework
2.4. Methods
2.4.1. Measurement of ES Functions
- (1)
- Water yield
- (2)
- Soil conservation
- (3)
- Carbon sequestration
- (4)
- Habitat quality
2.4.2. Measurement of ESTSs
2.4.3. Evaluations of the Driving Factors of ESTSs
- (1)
- Selection of driving factors
- (2)
- Evaluations of the driving factors
3. Results
3.1. Spatio-Temporal Variations of ESs
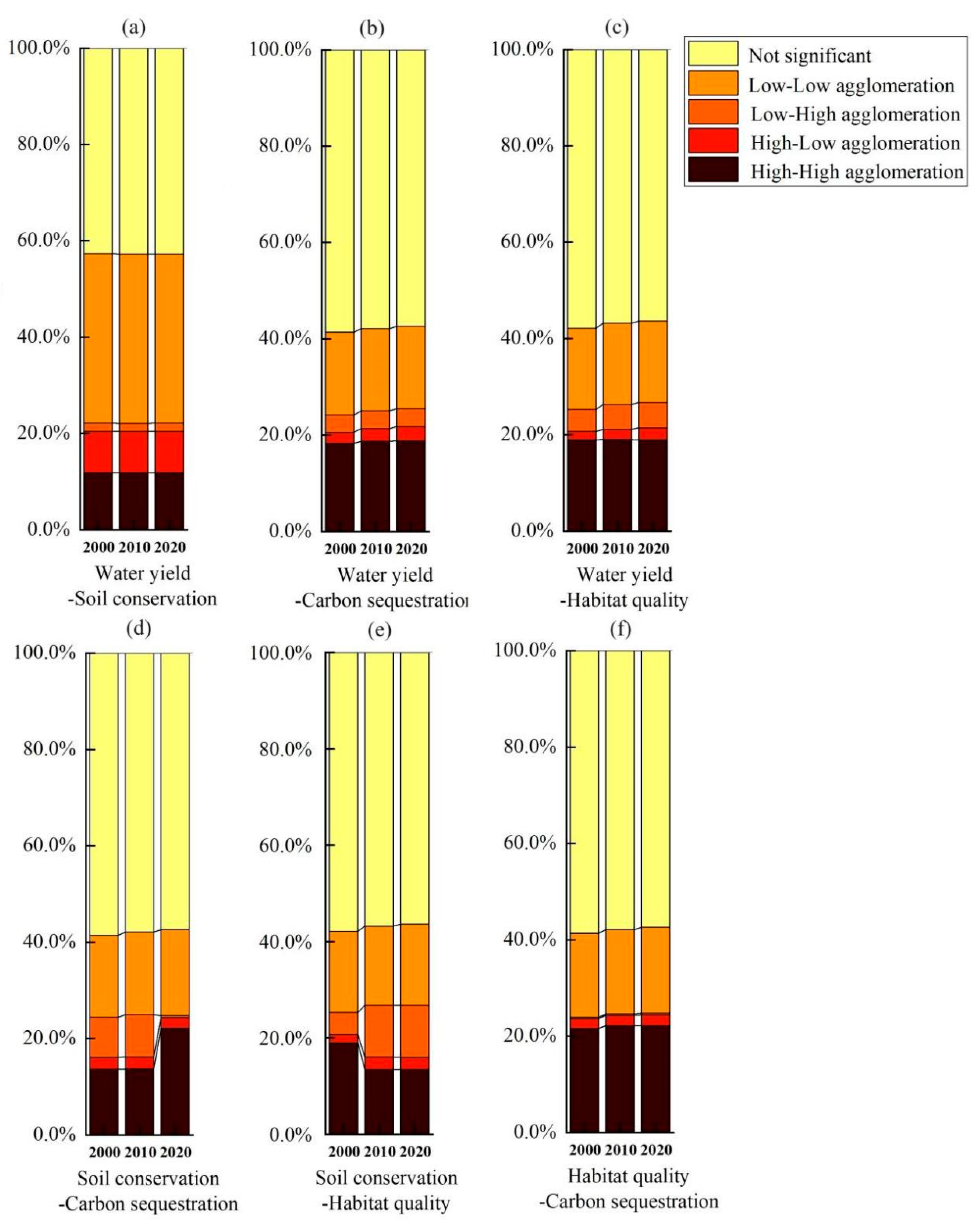
3.2. Spatio-Temporal Differences of ESTSs
3.2.1. Global Measure of ESTSs
3.2.2. Spatio-Temporal Changes of ESTSs
3.3. Driving Factors of the Spatio-Temporal Differences of ESTSs
3.3.1. Driving Factor Detection
3.3.2. Interactive Effects of Driving Factors
4. Discussion
5. Conclusions
- (1)
- In 2000–2020, the ESs of water yield, soil conservation, and habitat quality increased, while carbon sequestration decreased. There was significant spatio-temporal differentiation in ESs and ESTSs during 2000–2020, with a spatial pattern of high in the east and low in the west.
- (2)
- An overall synergistic relationship of ESs (water yield, soil conservation, carbon sequestration, and habitat quality) existed and showed a significant spatial heterogeneity distribution. The ESTSs were mostly manifested in three categories: the expansions of the synergy zone and trade-off zone occupying the majority, followed by the contraction of the synergy zone and trade-off zone, and a few of them with the contraction of the synergy area and the expansion of the trade-off zone. The synergy zones tended to be concentrated in the northwest and southeast of the study area, mainly distributed in the southeast of the Tibetan Plateau, the Fen-Wei River Valley, and the junction of the Loess Plateau and the Inner Mongolia Plateau. While the trade-off zones mainly focused on the east-central and southwestern parts of the study area, involving the Fen Wei River Valley and the lower Yellow River Basin.
- (3)
- Natural factors had the strongest explanatory power over the spatio-temporal differentiation of ESTSs, followed by regional policy factors and socio-economic factors. Among the driving factors, the NDVI of natural factors had the strongest influence on the ESTSs, and the strongest influence of natural factors on ESTSs occurred in WY-S. In addition, the influence of natural factors on ESTSs remained stable during 2000–2020, while the influence of socio-economic factors on ESTSs showed an upward trend. All of the above conclusions have been well verified by the Geo-detector and random forest methods.
- (4)
- Both the Geo-detector and the analysis of variance showed the interactions between natural factors had the strongest impact on ESTSs, followed by the interaction between natural factors and socio-economic factors. In particular, the interaction driving forces of elevation and NDVI, slope and NDVI, and average annual precipitation and NDVI had the highest influence degree for spatio-temporal differences of ESTSs. The NDVI (X5) was one of the most critical factors in participating in the construction of the main interactive factors affecting the ESTSs in the Yellow River Basin. What’s more, the top-ranking interaction factors had diminishing explanatory power on the ESTSs during 2000–2020, which was proved by the two methods.
Author Contributions
Funding
Data Availability Statement
Conflicts of Interest
References
- Pan, J.H.; Dong, L.L. Spatial-temporal variation in vegetation net primary productivity and its relationship with climatic factors in the Shule River basin from 2001 to 2010. Hum. Ecol. Risk Assess. Int. J. 2018, 24, 797–818. (In Chinese) [Google Scholar] [CrossRef]
- Zhang, Z.Y.; Liu, Y.F.; Wang, Y.H.; Liu, Y.L.; Zhang, Y.; Zhang, Y. What factors affect the synergy and tradeoff between ecosystem services, and how, from a geospatial perspective? J. Clean. Prod. 2020, 257, 120454. [Google Scholar] [CrossRef]
- Huang, J.M.; Zheng, F.Y.; Dong, X.B.; Wang, X.C. Exploring the complex trade-offs and synergies among ecosystem services in the Tibet autonomous region. J. Clean. Prod. 2023, 384, 135483. [Google Scholar] [CrossRef]
- Dou, H.S.; Li, X.B.; Li, S.K.; Dang, D.L.; Li, X.; Xin, L.Y.; Li, M.Y.; Liu, S.Y. Mapping ecosystem services bundles for analyzing spatial trade-offs in inner Mongolia, China. J. Clean. Prod. 2020, 256, 120444. [Google Scholar] [CrossRef]
- Li, G.Y.; Jiang, C.H.; Gao, Y.; Du, J. Natural driving mechanism and trade-off and synergy analysis of the spatiotemporal dynamics of multiple typical ecosystem services in Northeast Qinghai-Tibet Plateau. J. Clean. Prod. 2022, 374, 134075. [Google Scholar] [CrossRef]
- Chen, W.; Chi, G. Ecosystem services trade-offs and synergies in China, 2000–2015. Int. J. Environ. Sci. Technol. 2023, 20, 3221–3236. [Google Scholar] [CrossRef]
- Li, Y.J.; Zhang, L.W.; Qiu, J.X.; Yan, J.P.; Wan, L.W.; Wang, P.T.; Hu, N.K.; Chen, W.; Fu, B.J. Spatially explicit quantification of the interactions among ecosystem services. Landsc. Ecol. 2017, 32, 1181–1199. (In Chinese) [Google Scholar] [CrossRef]
- Zhong, L.N.; Wang, J.; Zhang, X.; Ying, L.X. Effects of agricultural land consolidation on ecosystem services: Trade-offs and synergies. J. Clean. Prod. 2020, 264, 121412. [Google Scholar] [CrossRef]
- Shen, J.S.; Li, S.C.; Liu, L.C.; Liang, Z.; Wang, Y.Y.; Wang, H.; Wu, S.Y. Uncovering the relationships between ecosystem services and social-ecological drivers at different spatial scales in the Beijing-Tianjin-Hebei region. J. Clean. Prod. 2020, 290, 125193. [Google Scholar] [CrossRef]
- Song, W.; Cao, S.S.; Du, M.Y.; Lu, L.L. Distinctive roles of land-use efficiency in sustainable development goals: An investigation of trade-offs and synergies in China. J. Clean. Prod. 2023, 382, 134889. [Google Scholar] [CrossRef]
- Turner, K.G.; Odgaard, M.V.; Bøcher, P.K.; Dalgaard, T.; Svenning, J.C. Bundling ecosystem services in Denmark: Trade-offs and synergies in a cultural landscape. Landsc. Urban Plan. 2014, 125, 89–104. [Google Scholar] [CrossRef]
- Zhang, H.; Deng, W.; Zhang, S.Y.; Peng, L.; Liu, Y. Impacts of urbanization on ecosystem services in the Chengdu-Chongqing Urban Agglomeration: Changes and trade-offs. Ecol. Indic. 2022, 139, 108920. [Google Scholar] [CrossRef]
- Dong, W.; Wu, X.; Zhang, J.J.; Zhang, Y.L.; Dang, H.; Lv, Y.H.; Wang, C.; Guo, J. Spatiotemporal heterogeneity and driving factors of ecosystem service relationships and bundles in a typical agropastoral ecotone. Ecol. Indic. 2023, 156, 111074. [Google Scholar] [CrossRef]
- He, D.; Zhou, J.; Gao, W.; Guo, H.C.; Yu, S.X.; Liu, Y. An Integrated CA-Markov Model for Dynamic Simulation of Land Use Change in Lake Dianchi Watershed. Acta Sci. Natural. Univ. Pekin. 2014, 50, 1095–1105. (In Chinese) [Google Scholar] [CrossRef]
- Yuan, J.; Li, R.; Huang, K. Driving factors of the variation of ecosystem service and the trade-off and synergistic relationships in typical karst basin. Ecol. Indic. 2022, 142, 109253. [Google Scholar] [CrossRef]
- Zhang, J.; Guo, W.; Cheng, C.J.; Tang, Z.Y.; Qi, L.H. Trade-offs and driving factors of multiple ecosystem services and bundles under spatiotemporal changes in the Danjiangkou Basin, China. Ecol. Indic. 2022, 144, 109550. [Google Scholar] [CrossRef]
- Qian, C.Y.; Gong, J.; Zhang, J.X.; Liu, D.Q.; Ma, X.C. Change and tradeoffs-synergies analysis on watershed ecosystem services: A case study of Bailongjiang Watershed, Gansu. Acta Geophys. Sin. 2018, 73, 868–879. (In Chinese) [Google Scholar] [CrossRef]
- Liu, Y.; Bi, J.; Lv, J.S. Trade-off and synergy relationships of ecosystem services and the driving forces: A case study of the Taihu Basin, Jiangsu Province. Acta Geophys. Sin. 2019, 39, 7067–7078. (In Chinese) [Google Scholar] [CrossRef]
- Sun, Y.J.; Ren, Z.Y.; Hao, M.Y.; Duan, Y.F. Spatial and temporal changes in the synergy and trade-off between ecosystem services, and its influencing factors in Yanan, Loess Plateau. Acta Geophys. Sin. 2019, 39, 3443–3454. (In Chinese) [Google Scholar] [CrossRef]
- Chen, S.; Li, G.; Zhuo, Y.; Xu, Z.; Ye, Y.; Thorn, J.P.R.; Marchant, R. Trade-offs and synergies of ecosystem services in the Yangtze River Delta, China: Response to urbanizing variation. Urban Ecosyst. 2022, 25, 313–328. (In Chinese) [Google Scholar] [CrossRef]
- Chen, D.; Zeng, W.; Guo, K.R.; Wang, F.H. Study on Spatio-Temporal Evolution and Driving Forces of Ecosystem Services in the Three Gorges Reservoir Area from 2000 to 2020. J. Hum. Settl. West China 2023, 38, 127–134. [Google Scholar] [CrossRef]
- Yin, L.C.; Wang, X.F.; Zhang, K.; Xiao, F.Y.; Cheng, C.W.; Zhang, X.R. Trade-offs and synergy between ecosystem services in National Barrier Zone. Geogr. Res. 2019, 38, 2162–2172. (In Chinese) [Google Scholar] [CrossRef]
- Liu, Y.; Gao, Y.B.; Pan, Y.C.; Tang, L.N.; Lu, M.G. Spatial differentiation characteristics and trade-off/synergy relationships of rural multi-functions based on multi-source data. Geogr. Res. 2021, 40, 2036–2050. (In Chinese) [Google Scholar] [CrossRef]
- Zeng, L. Research on the synergy relationship and spatial pattern optimization of ecosystem services in Guanzhong-Tianshui Economic Zone. Shaanxi Norm. Univ. 2019. (In Chinese) [Google Scholar] [CrossRef]
- Tian, Y.C.; Wang, S.J.; Bai, X.Y.; Luo, G.J.; Xu, Y. Trade-offs among ecosystem services in a typical karst watershed, SW China. Sci. Total Environ. 2016, 566–567, 1297–1308. (In Chinese) [Google Scholar] [CrossRef] [PubMed]
- Egoh, B.; Reyers, B.; Rouget, M.; Richardson, D.M.; Le Maitre, D.C.; Van Jaarsveld, A.S. Mapping ecosystem services for planning and management. Agric. Ecosyst. Environ. 2008, 127, 35–140. [Google Scholar] [CrossRef]
- Li, D.H.; Zhang, X.Y.; Wang, Y.; Zhang, X.; Li, L. Evolution process of ecosystem services and the trade-off synergy in Xin’an River Basin. Acta Ecol. Sin. 2021, 41, 6981–6993. (In Chinese) [Google Scholar]
- Nie, M.X.; Huang, S.H.; Pu, L.J.; Zhu, M.; Xiao, L. Spatial and Temporal Dynamics and Trade-offs and Synergies Analysis of Ecosystem Services in Rapidly Urbanizing Areas: A Case Study of the Su-Xi-Chang region. Res. Environ. Yangtze Riv. Ba. 2021, 30, 1088–1099. (In Chinese) [Google Scholar]
- Ren, J.; Ma, R.R.; Huang, Y.H.; Wang, Q.X.; Guo, J.; Li, C.Y.; Zhou, W. Identifying the trade-offs and synergies of land use functions and their influencing factors of Lanzhou-xining urban agglomeration in the upper reaches of Yellow River Basin, China. Ecol. Indic. 2024, 158, 111279. [Google Scholar] [CrossRef]
- Huang, L.; Zhu, P.; Cao, W. The impacts of the Grain for Green Project on the trade-off and synergy relationships among multiple ecosystem services in China. Acta Ecol. Sin. 2021, 41, 1178–1188. (In Chinese) [Google Scholar] [CrossRef]
- Zhu, D.Z.; Chu, L.; Ma, S.; Wang, L.J.; Zhang, J.C. Tradeoff and Synergies Relationship Among Ecosystem Services. Res. Soil Water Con. 2021, 28, 308–315. (In Chinese) [Google Scholar] [CrossRef]
- Mina, M.; Bugmann, H.; Cordonnier, T.; Irauschek, F.; Klopcic, M.; Pardos, M.; Cailleret, M. Future ecosystem services from European mountain forests under climate change. J. Appl. Ecol. 2017, 54, 389–401. [Google Scholar] [CrossRef]
- Wang, B.; Zhao, J.; Hu, X.F. Analysison trade-offs and synergistic relationships among multiple ecosystem services in the Shiyang River Basin. Acta Ecol. Sin. 2018, 38, 7582–7595. (In Chinese) [Google Scholar]
- Fang, L.L.; Xu, D.H.; Wang, L.C.; Niu, Z.G.; Zhang, M. The study of ecosystem services and the comparison of trade-off and synergy in Yangtze River Basin and Yellow River Basin. Geogr. Res. 2021, 40, 821–838. (In Chinese) [Google Scholar] [CrossRef]
- Cao, Y.; Sun, Y.L.; Chen, Z.X.; Yan, H.; Qian, S. Dynamic changes of vegetation ecological quality in the Yellow River Basin and its response to extreme climate during 2000–2020. Acta Ecol. Sin. 2022, 11, 4524–4535. (In Chinese) [Google Scholar] [CrossRef]
- Chen, Q.; Chen, Y.H.; Wang, M.J.; Jiang, W.G.; Hou, P. Change of vegetation net primary productivity in Yellow River watersheds from 2001 to 2010 and its climatic driving factors analysis. Chin. J. Appl. Ecol. 2014, 25, 2811–2818. (In Chinese) [Google Scholar] [CrossRef]
- Liu, J.Y. Study on National Resources & Environment Survey and Dynamic Monitoring Using Remote Sensing. J. Remote Sens. 1997, 3, 225–230. (In Chinese) [Google Scholar] [CrossRef]
- Sharp, R.; Tallis, H.T.; Ricketts, T. InVEST Version 3.2.0 User’s Guide; The Natural Capital Project: Stanford, CA, USA, 2015. [Google Scholar]
- Zhang, L.; Dawes, W.R.; Walker, G.R. Response of mean annual evapotranspiration to vegetation changes at catchment scale. Water Resour. Res. 2001, 37, 701–708. (In Chinese) [Google Scholar] [CrossRef]
- Renard, K.G.; Foster, G.R.; Weesies, G.A.; McCool, D.K.; Yoder, D.C. Predicting Soil Erosion by Water: A Guide to Conservation Planning with the Revised Universal Soil Loss Equation (RUSLE); US Department of Agriculture, Agricultural Research Service: Washington, DC, USA, 1997; Volume 703, p. 404. [Google Scholar]
- Wischmeier, W.H.; Smith, D. Predicting Rainfall Erosion Losses: A Guide to Conservation Planning; Department of Agriculture, Science and Education Administration: Port Antonio, Portland, 1978. [Google Scholar]
- Liu, Y.; Zhang, J.; Zhou, D.M.; Ma, J.; Dang, R. Temporal and Spatial variation of carbon storage in Shule River Basin based on InVEST model. Acta Ecol. Sin. 2021, 32, 1–14. (In Chinese) [Google Scholar]
- Tang, F.; Fu, M.C.; Wang, L.; Zhang, P.T. Land-use change in Changli County, China: Predicting its spatial-temporal evolution in habitat quality. Ecol. Indic. 2020, 117, 106719. [Google Scholar] [CrossRef]
- Zhou, X.Y.; He, Y.Y.; Huang, X.; Zhang, M.M. Topographic gradient effects of habitat quality and its response to land use change in Hubei Section of the Three Gorges Reservoir. Trans. Chin. Soc. Agric. Eng. 2021, 37, 59–267. (In Chinese) [Google Scholar] [CrossRef]
- Zhu, Y.X.; Yao, S.B. The coordinated development of environment and economy based on the change of ecosystem service vale in Shanx Province. Acta Ecol. Sin. 2021, 41, 3331–3342. (In Chinese) [Google Scholar] [CrossRef]
- Wang, Q.; Jiang, D.; Gao, Y.; Zhang, Z.; Chang, Q. Examining the Driving Factors of SOM Using a Multi-Scale GWR Model Augmented by Geo-Detector and GWPCA Analysis. Agronomy 2022, 12, 1697. [Google Scholar] [CrossRef]
- Zhang, X.; Ruan, Y.; Xuan, W.; Bao, H.J.; Du, Z.H. Risk assessment and spatial regulation on urban ground collapse based on geo-detector: A case study of Hangzhou urban area. Nat. Hazards 2023, 118, 52–543. [Google Scholar] [CrossRef]
- Wang, J.F.; Xu, C.D. Geodetector: Principle and prospective. Acta Geophys. Sin. 2017, 72, 116–134. (In Chinese) [Google Scholar] [CrossRef]
- Mantas, C.J.; Castellano, J.G.; Moral-García, S.; Joaquín, A. A comparison of random forest based algorithms: Random credal random forest versus oblique random forest. Soft Comput. 2019, 23, 10739–10754. [Google Scholar] [CrossRef]
- Emerson, R.W. MANOVA (Multivariate Analysis of Variance): An Expanded Form of the ANOVA (Analysis of Variance). J. Vis. Impair. Blind. 2018, 112, 125–126. [Google Scholar] [CrossRef]
- Breiman, L. Random forests. Mach. Learn. 2001, 45, 5–32. [Google Scholar] [CrossRef]
- Zhang, L. Principles and statistical applications of one-way and two-way ANOVA and testing. Math. Study Res. 2010, 7, 92–94. [Google Scholar]
- Yang, J.; Xie, B.P.; Zhang, D.G. Spatial-temporal heterogeneity of ecosystem services trade-off synergy in the Yellow River Basin. Chin. Desert 2021, 41, 78–87. (In Chinese) [Google Scholar]
- Xu, J.; Liu, H. Assessment and prediction of ecosystem services and their trade-offs and synergies in Gansu Province based on the GMMOP-PLUS model. China Environ. Sci. 2023, 11, 1–15. (In Chinese) [Google Scholar] [CrossRef]
- Gutsch, M.; Lasch-Born, P.; Kollas, C.; Suckow, F.; Reyer, C.P. Balancing trade-offs between ecosystem services in Germany’s forests under climate change. Environ. Res. Lett. 2018, 13, 045012. [Google Scholar] [CrossRef]
- Jaligot, R.; Chenal, J.; Bosch, M. Assessing spatial temporal patterns of ecosystem services in Switzerland. Landsc. Ecol. 2019, 34, 1379–1394. [Google Scholar] [CrossRef]
- Jafarzadeh, A.A.; Mahdavi, A.; Shamsi, S.R. Assessing synergies and trade-offs between ecosystem services in forest landscape management. Land Use Policy 2021, 111, 105741. [Google Scholar] [CrossRef]
- Kusbach, A.; Dujka, P.; Šebesta, J.; Lukeš, P.; DeRose, R.J.; Maděra, P. Ecological classification can help with assisted plant migration in forestry, nature conservation, and landscape planning. For. Ecol. Manag. 2023, 546, 121349. [Google Scholar] [CrossRef]
- Ivanova, N.; Fomin, V.; Kusbach, A. Experience of Forest Ecological Classification in Assessment of Vegetation Dynamics. Sustainability 2022, 14, 3384. [Google Scholar] [CrossRef]
- Wang, P.T.; Zhang, L.W.; Li, Y.J.; Jiao, L.; Wang, H.; Yan, J.P.; Lv, Y.H.; Fu, B.J. Spatial-temporal characteristics of ecosystem service trade-offs and synergies in the upper reaches of the Han River. Acta Geophys. Sin. 2017, 72, 2064–2078. (In Chinese) [Google Scholar] [CrossRef]
- Chen, X.M.; Wang, X.F.; Feng, X.M.; Zhang, X.M.; Luo, G.X. Ecosystem service trade-off and synergy on Qinghai-Tibet Plateau. Geogr. Res. 2021, 40, 18–34. (In Chinese) [Google Scholar] [CrossRef]










| Data Type | Data Name | Data Format | Data Source | 
|---|---|---|---|
| Remote sensing images | Landsat-OLI and Landsat-TM images | 30 m × 30 m | Geospatial Data Cloud (https://www.gscloud.cn/, accessed on 8 May 2021) | 
| Meteorological data | monthly total solar radiation, monthly sunshine duration, monthly average temperature, and monthly total rainfall | meteorological stations | China Meteorological Data Center (http://data.cma.cn/, accessed on 11 May 2021) | 
| Soil data | Sand, silt, clay, organic carbon, nitrogen, phosphorus, potassium | 1 km × 1 km | Chinese soil dataset (V1.1) in the World Soil Database (HWSD) | 
| Topographic data | DEM, slope | 30 m × 30 m | Geospatial Data Cloud (https://www.gscloud.cn/, accessed on 8 May 2021) | 
| Socio-economic data | Population and economic data | Statistics | “China County Economic Statistical Yearbook”, provincial and municipal statistical yearbooks, and socio-economic statistical bulletins (https://www.cnki.net/, accessed on 18 March 2022) | 
| Driving Factors | Impact Factors | Variable Interpretation | ||
|---|---|---|---|---|
| Natural factors | Topographic conditions | X1 | Elevation at altitude | DEM data for each regional unit is obtained based on ArcGIS/m | 
| X2 | Slope | The average slope of each geographical unit is extracted based on each DEM data/° | ||
| Climatic conditions | X3 | Average annual temperature | The average temperature of each geographical unit is obtained based on ArcGIS spatial interpolation/°C | |
| X4 | Average annual precipitation | The average annual precipitation of each geographical unit is obtained based on ArcGIS spatial interpolation/mm | ||
| Vegetation cover | X5 | NDVI | The vegetation index of each geographical unit is obtained based on ArcGIS spatial interpolation | |
| Socio-economic factors | Population size | X6 | Population | Total population by region/person | 
| X7 | Urbanization rate | Proportion of non-agricultural population in urban population by region/% | ||
| Economic level | X8 | GDP | GDP per region/yuan | |
| X9 | Social fixed asset investment | The amount of social fixed asset investment in various regions/10,000 yuan | ||
| X10 | Grain production | Grain production per region/ton | ||
| X11 | The proportion of secondary and tertiary industries | Ratio output value of secondary and tertiary industries GDP in each region | ||
| X12 | Per capita disposable income of urban residents | Per capita disposable income of urban residents/yuan | ||
| X13 | Per capita disposable income of peasant residents | Per capita disposable income of peasant residents in each region/yuan | ||
| Regional policy factor | Ecological policy | X14 | Ecological conversion Area | Conversion of cultivated land to other uses in each region/km2 | 
| Ess (Units) | 2000 | 2010 | 2020 | 2000–2010 | 2010–2020 | ||
|---|---|---|---|---|---|---|---|
| Variation | Ratio/% | Variation | Ratio/% | ||||
| Water yield (mm) | 3348.56 | 3347.20 | 3348.93 | −1.36 | −0.04 | 1.73 | 0.05 | 
| Soil conservation (T/hm2) | 897.33 | 897.54 | 898.15 | 0.21 | 0.02 | 0.61 | 0.07 | 
| Carbon sequestration (T) | 23,483.32 | 23,439.60 | 23,350.51 | −43.72 | −0.19 | −89.09 | −0.38 | 
| Habitat quality | 0.577 | 0.577 | 0.580 | — | — | 0.001 | 0.52 | 
| ESs | 2000 | 2010 | 2020 | ||||||
|---|---|---|---|---|---|---|---|---|---|
| Moran’s I | Z Value | p Value | Moran’s I | Z Value | p Value | Moran’s I | Z Value | p Value | |
| Water yield—Soil conservation (WY-S) | 0.440 | 427.527 | 0.001 | 0.440 | 427.611 | 0.001 | 0.440 | 427.351 | 0.001 | 
| Water yield—Carbon sequestration (WY-C) | 0.483 | 447.377 | 0.001 | 0.462 | 433.133 | 0.001 | 0.455 | 427.545 | 0.001 | 
| Water yield—Habitat quality (WY-H) | 0.512 | 472.213 | 0.001 | 0.487 | 453.272 | 0.001 | 0.477 | 445.666 | 0.001 | 
| Soil conservation—Carbon sequestration (S-C) | 0.297 | 295.635 | 0.001 | 0.296 | 295.191 | 0.001 | 0.299 | 297.518 | 0.001 | 
| Soil conservation—Habitat quality (S-H) | 0.294 | 288.686 | 0.001 | 0.289 | 282.575 | 0.001 | 0.290 | 282.389 | 0.001 | 
| Carbon sequestration—Habitat quality (C-H) | 0.762 | 522.991 | 0.001 | 0.748 | 550.072 | 0.001 | 0.738 | 541.105 | 0.001 | 
| WY-S | WY-C | ||||||||||
| 2000 | 2010 | 2020 | 2000 | 2010 | 2020 | ||||||
| Interactive | q value | Interactive | q value | Interactive | q value | Interactive | q value | Interactive | q value | Interactive | q value | 
| X1∩X2 | 0.659 * | X1∩X3 | 0.696 * | X1∩X5 | 0.687 * | X2∩X5 | 0.571 * | X4∩X5 | 0.576 * | X4∩X5 | 0.585 * | 
| X2∩X5 | 0.657 * | X2∩X3 | 0.685 * | X2∩X3 | 0.673 * | X5∩X10 | 0.571 ** | X5∩X6 | 0.572 ** | X1∩X5 | 0.560 ** | 
| X1∩X5 | 0.652 * | X2∩X5 | 0.681 * | X1∩X3 | 0.666 * | X4∩X5 | 0.566 ** | X2∩X5 | 0.571 * | X5∩X9 | 0.557 * | 
| X3∩X4 | 0.651 * | X1∩X5 | 0.675 * | X1∩X2 | 0.659 * | X1∩X5 | 0.563 ** | X1∩X3 | 0.564 ** | X5∩X13 | 0.556 ** | 
| X2∩X4 | 0.642 * | X3∩X13 | 0.673 * | X4∩X5 | 0.658 * | X5∩X6 | 0.551 ** | X1∩X5 | 0.562 ** | X5∩X7 | 0.554 * | 
| X3∩X5 | 0.634 * | X3∩X4 | 0.672 * | X2∩X4 | 0.654 * | X5∩X8 | 0.549 ** | X3∩X13 | 0.562 ** | X3∩X7 | 0.548 ** | 
| X4∩X5 | 0.619 * | X3∩X12 | 0.670 * | X3∩X13 | 0.651 ** | X5∩X7 | 0.532 ** | X5∩X7 | 0.559 * | X5∩X6 | 0.542 ** | 
| X1∩X3 | 0.617 * | X3∩X14 | 0.668 * | X2∩X5 | 0.638 * | X5∩X11 | 0.526 ** | X5∩X13 | 0.558 * | X5∩X14 | 0.539 * | 
| X5∩X6 | 0.603 * | X1∩X2 | 0.659 * | X3∩X8 | 0.633 ** | X5∩X13 | 0.520 * | X5∩X9 | 0.553 * | X2∩X3 | 0.536 * | 
| X5∩X7 | 0.602 * | X3∩X6 | 0.655 * | X3∩X4 | 0.632 * | X5∩X14 | 0.519 * | X5∩X10 | 0.552 ** | X5∩X12 | 0.533 ** | 
| WY-H | S-C | ||||||||||
| 2000 | 2010 | 2020 | 2000 | 2010 | 2020 | ||||||
| Interactive | q value | Interactive | q value | Interactive | q value | Interactive | q value | Interactive | q value | Interactive | q value | 
| X4∩X5 | 0.541 * | X4∩X5 | 0.567 * | X4∩X5 | 0.571 * | X2∩X5 | 0.571 * | X5∩X13 | 0.394 ** | X5∩X12 | 0.387 ** | 
| X5∩X10 | 0.537 ** | X5∩X6 | 0.529 ** | X1∩X5 | 0.551 * | X5∩X10 | 0.571 ** | X4∩X5 | 0.394 ** | X5∩X13 | 0.383 ** | 
| X2∩X5 | 0.519 * | X2∩X5 | 0.523 * | X5∩X7 | 0.535 * | X4∩X5 | 0.566 ** | X5∩X11 | 0.392 ** | X5∩X7 | 0.375 ** | 
| X1∩X5 | 0.514 ** | X5∩X13 | 0.521 * | X5∩X14 | 0.535 * | X1∩X5 | 0.563 ** | X2∩X4 | 0.387 ** | X4∩X5 | 0.367 ** | 
| X5∩X6 | 0.512 ** | X5∩X8 | 0.521 * | X5∩X13 | 0.531 * | X5∩X6 | 0.551 * | X5∩X7 | 0.385 ** | X5∩X9 | 0.360 ** | 
| X5∩X8 | 0.509 ** | X3∩X13 | 0.519 ** | X5∩X9 | 0.526 * | X5∩X8 | 0.549 ** | X2∩X12 | 0.385 ** | X3∩X12 | 0.360 ** | 
| X5∩X7 | 0.501 * | X5∩X10 | 0.519 ** | X3∩X7 | 0.523 * | X5∩X7 | 0.532 ** | X5∩X9 | 0.377 ** | X2∩X13 | 0.358 ** | 
| X3∩X7 | 0.493 ** | X5∩X11 | 0.517 * | X3∩X14 | 0.519 * | X5∩X11 | 0.526 ** | X3∩X13 | 0.374 ** | X3∩X9 | 0.352 ** | 
| X5∩X13 | 0.492 ** | X1∩X5 | 0.515 * | X5∩X6 | 0.515 ** | X5∩X13 | 0.520 ** | X5∩X12 | 0.372 ** | X3∩X7 | 0.351 ** | 
| X5∩X11 | 0.486 ** | X5∩X12 | 0.512 * | X5∩X12 | 0.514 * | X5∩X14 | 0.519 * | X3∩X12 | 0.371 ** | X5∩X10 | 0.351 ** | 
| S-H | H-C | ||||||||||
| 2000 | 2010 | 2020 | 2000 | 2010 | 2020 | ||||||
| Interactive | q value | Interactive | q value | Interactive | q value | Interactive | q value | Interactive | q value | Interactive | q value | 
| X5∩X7 | 0.409 * | X5∩X11 | 0.384 ** | X5∩X7 | 0.387 ** | X4∩X5 | 0.487 ** | X4∩X5 | 0.482 ** | X5∩X7 | 0.491 * | 
| X4∩X5 | 0.395 * | X2∩X12 | 0.382 ** | X5∩X13 | 0.373 ** | X5∩X7 | 0.479 ** | X5∩X10 | 0.466 ** | X3∩X13 | 0.484 ** | 
| X2∩X13 | 0.373 ** | X5∩X7 | 0.373 ** | X5∩X12 | 0.369 ** | X5∩X10 | 0.475 ** | X5∩X13 | 0.453 ** | X5∩X13 | 0.481 ** | 
| X2∩X12 | 0.366 ** | X5∩X13 | 0.372 ** | X3∩X7 | 0.364 ** | X1∩X5 | 0.464 ** | X5∩X12 | 0.447 ** | X5∩X10 | 0.478 ** | 
| X7∩X14 | 0.363 ** | X5∩X12 | 0.365 ** | X4∩X5 | 0.364 ** | X3∩X7 | 0.458 * | X3∩X13 | 0.442 ** | X5∩X11 | 0.478 ** | 
| X5∩X14 | 0.358 * | X4∩X5 | 0.365 ** | X5∩X9 | 0.354 ** | X2∩X7 | 0.456 ** | X5∩X7 | 0.440 * | X4∩X5 | 0.477 ** | 
| X5∩X13 | 0.358 * | X2∩X4 | 0.364 ** | X3∩X12 | 0.354 ** | X3∩X12 | 0.454 ** | X5∩X11 | 0.439 ** | X5∩X9 | 0.468 * | 
| X7∩X12 | 0.357 ** | X3∩X7 | 0.362 * | X2∩X13 | 0.353 ** | X3∩X14 | 0.452 * | X2∩X4 | 0.435 ** | X3∩X14 | 0.458 ** | 
| X4∩X7 | 0.348 ** | X5∩X8 | 0.354 ** | X3∩X14 | 0.351 ** | X3∩X4 | 0.452 * | X5∩X9 | 0.428 * | X5∩X8 | 0.456 ** | 
| X2∩X7 | 0.346 ** | X3∩X12 | 0.349 ** | X5∩X14 | 0.349 * | X5∩X11 | 0.452 ** | X4∩X7 | 0.422 ** | X5∩X12 | 0.455 ** | 
| Disclaimer/Publisher’s Note: The statements, opinions and data contained in all publications are solely those of the individual author(s) and contributor(s) and not of MDPI and/or the editor(s). MDPI and/or the editor(s) disclaim responsibility for any injury to people or property resulting from any ideas, methods, instructions or products referred to in the content. | 
© 2024 by the authors. Licensee MDPI, Basel, Switzerland. This article is an open access article distributed under the terms and conditions of the Creative Commons Attribution (CC BY) license (https://creativecommons.org/licenses/by/4.0/).
Share and Cite
Sun, H.; Di, Z.; Sun, P.; Wang, X.; Liu, Z.; Zhang, W. Spatiotemporal Differentiation and Its Attribution of the Ecosystem Service Trade-Off/Synergy in the Yellow River Basin. Land 2024, 13, 369. https://doi.org/10.3390/land13030369
Sun H, Di Z, Sun P, Wang X, Liu Z, Zhang W. Spatiotemporal Differentiation and Its Attribution of the Ecosystem Service Trade-Off/Synergy in the Yellow River Basin. Land. 2024; 13(3):369. https://doi.org/10.3390/land13030369
Chicago/Turabian StyleSun, Huiying, Zhenhua Di, Piling Sun, Xueyan Wang, Zhenwei Liu, and Wenjuan Zhang. 2024. "Spatiotemporal Differentiation and Its Attribution of the Ecosystem Service Trade-Off/Synergy in the Yellow River Basin" Land 13, no. 3: 369. https://doi.org/10.3390/land13030369
APA StyleSun, H., Di, Z., Sun, P., Wang, X., Liu, Z., & Zhang, W. (2024). Spatiotemporal Differentiation and Its Attribution of the Ecosystem Service Trade-Off/Synergy in the Yellow River Basin. Land, 13(3), 369. https://doi.org/10.3390/land13030369
 
        



 
       