Next Article in Journal
Aeolian Environment Regionalization in Xinjiang and Suggestions for Sand Prevention in Typical Areas
Next Article in Special Issue
Environmental Factors Driving Diversification of Ponderosa Pine in the Western United States
Previous Article in Journal
Urban Green Infrastructure Connectivity: The Role of Private Semi-Natural Areas
Previous Article in Special Issue
Non-Breeding Season Habitat Selection of Three Commonly Occurring Bird Species in a Patchy Habitat in SE China
 
 
Font Type:
Arial Georgia Verdana
Font Size:
Aa Aa Aa
Line Spacing:
Column Width:
Background:
Article

Habitat and Body Condition of Small Mammals in a Country at Mid-Latitude

by
Linas Balčiauskas
* and
Laima Balčiauskienė
Nature Research Centre, Akademijos 2, 08412 Vilnius, Lithuania
*
Author to whom correspondence should be addressed.
Land 2024, 13(8), 1214; https://doi.org/10.3390/land13081214
Submission received: 3 July 2024 / Revised: 27 July 2024 / Accepted: 5 August 2024 / Published: 6 August 2024
(This article belongs to the Special Issue Species Vulnerability and Habitat Loss II)

Abstract

The relationship between the body condition of different small mammal species and the habitat they occupy is poorly analyzed. We analyzed the body condition index, BCI, of 18 small mammal species trapped in forest, shrub, wetland, meadow, riparian, mixed and fragmented, disturbed, agricultural, and commensal habitats of Lithuania during the span of 1980–2023. The composition of small mammal communities was habitat-dependent, being richest in meadows, with eighteen species, and poorest in riparian habitats, with nine species. A significant variation in the BCI with respect to habitat was observed in eight small mammal species (Sorex araneus, S. minutus, Apodemus agrarius, A. flavicollis, Clethrionomys glareolus, Alexandromys oeconomus, Microtus agrestis, and M. arvalis). The highest average BCI for most of these species was found in disturbed habitats, with S. minutus and M. arvalis showing the highest BCI in agricultural habitats. The lowest average BCI for most species was found in mixed habitats, while C. glareolus and M. arvalis exhibited the lowest BCI in shrub habitats. In general, species dominating certain habitats did not have the highest BCI. This is the first multi-species, multi-habitat study of body condition in small mammals at mid-latitudes.

1. Introduction

Large-scale information on the habitats distribution of mammal species is still lacking [1]. Mammal atlases, such as The Atlas of European Mammals, present information on mammal habitats in a very general way [2]. In addition, general information on habitat use by mammal species is too coarse to be useful at the local scale [3], so regional and local information is needed.
Another issue is the classification of habitats. While there is a global map of terrestrial habitats that includes general habitat classes such as forest, savannah, shrubland, grassland, wetland, rocky, desert, and artificial habitats [4], this does not always correspond to the habitat classification used in small mammal studies [5]. Other broad habitat classification schemes such as the IUCN Habitats Classification [6], CORINE [7], or EUNIS [8] are also very general.
Broad habitat classifications are mainly used to analyze different scenarios of habitat loss, the influence of climate change and human activities, and predicted species loss [9]. More often, however, even when broad study objectives are stated in terms of habitat use, abundance, or the diversity of small mammals in different habitats [10,11,12], the actual range of habitats studied is much narrower. Microhabitat studies assessing the relationship between small mammals and very specific habitat elements are also quite common [13,14], especially as new technologies greatly facilitate in situ assessment of these fragments [15,16,17].
Studies of small mammals focus on forest habitats [18,19,20,21,22], shrub habitats [23], grasslands [24], agricultural areas [25], protected areas [26], or riparian habitats [27]. From a species perspective, studies cover small mammal communities [21,26,28], guilds [18,29,30], several species [19], or a single species [22,27,31,32,33,34,35]. The number of studies covering the diversity of small mammals in the range of habitats is really small [28,36,37,38]. However, if these studies say “preferred habitat”, they misinterpret habitat use and preference. Knowledge of species’ preferences requires knowledge of resources and conditions [39], which in most mentioned studies were not investigated, except in [29].
Why do so few small mammal studies cover all major habitats in a single study area? Such studies can require large resources and involve complex logistics, while stable funding for such studies is rarely available [40]. In addition, long-term small mammal studies in a wide range of habitats are even more complex because of the need to account for temporal and seasonal variation in small mammal communities [41].
Studies involving habitats examine small mammal diet [29,42,43,44], abundance and population dynamics [10,45], reproduction [46,47], and hibernation [48]. There are few studies on the relationship between body mass and the habitat occupied; see [49,50,51,52]. The body mass of mammals has been shown to respond not only to habitat but also to disturbance [53]. The individual fitness of small mammals has not been analyzed in this context.
Various body condition indices (BCIs) are used as a proxy for individual fitness, as fitness is not easily assessed [54]. The higher the BCI, the higher the individual fitness [55,56], which ensures better survival and reproduction [57,58]. In general, food resources are expected to link habitat and body condition in small mammals [59], but this has been better studied at high latitudes, not mid-latitudes (see Discussion).
To fill this gap in small mammal ecology, we aimed to evaluate patterns of the body condition indices of different small mammal species captured in different habitats of Lithuania, Northern Europe. We tested whether the BCI is higher in habitats where species are best represented (based on the assumption that animals are more numerous in the most suitable and productive habitats). Alternatively, the BCI cannot be high in habitats with high species richness due to interspecific competition for the same resources.

2. Materials and Methods

This study covers the period of 1980–2023 and the whole territory of Lithuania, including a variety of habitats (Figure 1). As mentioned in [60], material was collected at 321 sampling sites, many of them covering various habitats. Compared to the total number of captured individuals [61], not all captured individuals were measured and dissected.

2.1. Small Mammal Habitats

Until recent years, small mammal trapping in Lithuania was uncoordinated and therefore covered a very wide range of habitats. However, these habitats, especially before 2010, were either poorly described or did not correspond to broad habitat classifications such as EUNIS, CORINE, and the IUCN Habitats Classification Scheme [6,7,8].
After analyzing available descriptions of trapping sessions, we categorized small mammal habitats into nine groups:
  • Forest (311–313 land cover classes according to the CORINE nomenclature, covering all forest ages, including clear-cuts);
  • Scrub (324 land cover classes according to the CORINE nomenclature);
  • Wetland (411 and 412 land cover classes according to the CORINE nomenclature);
  • Grassland (231 and 321 land cover classes according to the CORINE nomenclature, including natural and sown grassland and pastures);
  • Riparian habitats (no equivalent in the CORINE classification; we have included all habitats close to water, such as meadows, forests and wetlands, with the rule that they are within 50 m of the shore of a river, lake, or island);
  • Mixed and fragmented habitats (no direct equivalent according to the CORINE classification; the most relevant is land use class 243, but also all cases where a catch line covered several different habitats, i.e., habitats were fragmented);
  • Disturbed habitats (land use classes 131, 132, and 133 according to the CORINE nomenclature, dump sites, and breeding sites of great cormorants (Phalacrocorax carbo), i.e., sites characterized by natural or anthropogenic disturbance). We treated human-caused and biological disturbances as having similar effects on small mammals. Active landfills and recently burned areas were not used as trapping sites;
  • Agricultural habitats (land cover classes 211, 222, 241 and 242 according to the CORINE nomenclature);
  • Commensal habitats (111 and 112 land cover classes according to the CORINE nomenclature, but also farms, farmsteads, cattle sheds, individual houses, and similar places providing small mammals with food and shelter).
We did not detail the habitats by grouping them into more general categories. The retrospective data were not always described in the same level of detail, which would create compatibility problems. Furthermore, dividing habitats into many groups reduces the sample size and the representativeness of some small mammal species within them.
Grouping habitats into a limited number of categories facilitates compatibility with data from other researchers, as the number of smaller habitat categories is large and difficult to compare on a large scale. In addition, grouping, in our case, ensured a larger sample size for a wide range of small mammal species in all habitat groups. We expect that our choice of habitats, even if it does not fully correspond to the main habitat classification schemes, will allow comparability of results for the majority of researchers catching small mammals in mid-latitudes. The proportions of these habitats in Lithuania in 1990 and 2018, and the trend of changes are presented in Table 1. In both time periods, about 3% of the territory was not allocated to habitats, but mainly to water bodies and road networks. Both of these land use classes are not suitable for small mammals.

2.2. Small Mammal Trapping and Sample Size

Nearly all small mammal specimens were collected by snap trapping, with less than 0.1% collected from live trapping and pitfall traps. We used retrospective material from the former trappings, which did not require ethical approval, and material from various projects where approval was obtained, including bodies and organs used for multiple purposes, such as elemental analysis, pathogen analysis, and reproductive studies.
In the absolute majority of cases, snap trapping was performed using the standard method [60,61]; traps were placed in lines of 25 traps, 5 m apart, set for three days and checked once or twice a day, i.e., in the morning or in the morning and evening. The traps were baited with brown bread and crude sunflower oil and replaced after rain or when eaten. One to four lines were set per habitat. Most of the small mammals (76.1%) were caught in the fall season, 13.3% in the summer, 6.3% in the spring, and 4.3% in the winter.
Small mammals were kept cold without freezing if measured and dissected the same day of capture, or they were kept frozen in plastic bags until transfer to the laboratory. The identification of small mammal species was based on external characteristics, such as that of Microtus voles on differences in their teeth and that of M. rossiaemeridionalis by genetic methods.
We processed 28567 individuals of 18 small mammal species: 2536 common shrews (Sorex araneus), 805 pygmy shrews (S. minutus), 100 water shrews (Neomys fodiens), 3 Mediterranean water shrews (N. milleri), 1 hazel dormouse (Muscardinus avellanarius), 18 northern birch mice (Sicista betulina), 432 house mice (Mus musculus), 3781 striped field mice (Apodemus agrarius), 5561 yellow-necked mice (A. flavicollis), 5 wood mice (A. sylvaticus), 74 pygmy field mice (A. uralensis), 347 harvest mice (Micromys minutus), 10,316 bank voles (Clethrionomys glareolus), 10 water voles (Arvicola amphibius), 1337 root voles (Alexandromys oeconomus), 2537 common voles (Microtus arvalis s.l.), 674 short-tailed voles (M. agrestis), and 30 sibling voles (M. rossiaemeridionalis).
Sample sizes in different habitats were not evenly distributed (Table 2). The unevenness of sample sizes reflects the different objectives of small mammal trapping during the study period, which changed from monitoring and species composition studies in protected areas [61] to specialized studies in disturbed areas, agricultural areas, and commensal habitats. The numbers of processed small mammal individuals in different habitats are presented in Table 2.

2.3. Body Condition Index of Small Mammals

Based on [54,55,56,57,58], we used the body condition index (BCI) as a proxy for individual fitness. To keep compatibility with previous publications, the BCI was calculated according to Moors [64]: (Q/L3) × 105, where Q is body weight in grams (measured to the nearest 0.1 g) and L is body length in millimeters (measured to the nearest 0.1 mm). Body length was measured from the beginning of the snout to the rear side of the anus opening when the individual was laid on the table, flat and straight, on its back (supine). For pregnant females, the weight of the uterus with embryos was excluded [65]. Bias in the BCI due to differences in measurement methods [66] was minimal, as over 80% of the individuals sampled were measured by the same person throughout the study period.

2.4. Data Analysis

To run the GLM (general linear model), we used the log BCI transformation for normality because the distribution of the BCIs in each habitat was not always normal. In the model, the log BCI was the dependent variable; season, habitat, species, age, and sex of individuals were categorical factors; and, to control for random spatial effects, the part of the country where animals were trapped was used as a continuous predictor. We used four seasons: winter (December, January, and February), spring (March, April, and May), summer (June, July, and August), and autumn (September, October, and November). We defined three age groups of small mammals under dissection (adults, subadults, and juveniles), based on the status of sex organs and on the presence and atrophy of the thymus gland. More details are given in [60]. Once the coordinates of the survey sites were established (in some cases the location was not precisely specified), they were assigned to the eastern, northern, western, central, southern, northeastern, northwestern, southeastern, or southwestern part of the country, which we used as a continuous predictor.
We used partial eta-square (η2) as a measure of the effect size for a specific factor, representing the proportion of total variability attributable to that factor after controlling for other variables in the model.
After that, we selected two factors, species and habitat group, for further analysis. To maintain compatibility with previous publications, the non-transformed BCI and non-parametric Kruskal–Wallis ANOVA were used. For all small mammal species, we tested the influence of habitat as a categorical factor on the BCI as a dependent parameter.
The other statistics used were standard ones (mean, standard error (SE), standard deviation (SD), minimum, maximum, and range). Mean, SE, and SD were presented graphically. Multiple comparisons of the mean ranks for all habitat groups were used as a post hoc analysis.
We used the χ2 statistic to test whether the number of individuals of different species captured was dependent on habitat type. H0, the distribution of the number of individuals caught per species, is independent of habitat type, and H1, the distribution of the number of individuals caught per species, is dependent of habitat type, i.e., there is a relationship between species distribution and habitat type. Based on χ2, if p < 0.05, the null hypothesis is rejected. Individual rarefaction was also used to test whether differences in species numbers were influenced by sample size.
Chi-square and the normality of the BCI distribution were tested using PAST version 4.13 (Museum of Paleontology, Oslo College, Oslo, Norway) [67]. All other calculations were performed using Statistica for Windows, version 6.0 (StatSoft, Inc., Tulsa, OK, USA) [68]. The minimum confidence level was set as p < 0.05.

3. Results

3.1. Habitat Use by Small Mammals Based on Their Catches

The most numerous processed species were represented in all habitats, though the number of species in each habitat was not equal (Figure 2). Thus, meadows had 17 small mammal species, with A. agrarius being the most represented, followed by S. araneus, A. oeconomus, and C. glareolus.
Three other habitats, forests, wetlands, and mixed habitats, hosted 15 small mammal species each (Figure 2). These habitats were most represented by C. glareolus. In forest and mixed habitats, A. flavicollis was the second most represented species, while in wetlands, S. araneus and A. flavicollis were the second and third most represented species, respectively.
In commensal habitats, the most numerous species analyzed were C. glareolus, M. arvalis, and A. flavicollis, with 14 small mammal species in total. Agricultural habitats were best represented by M. arvalis and A. flavicollis, with 13 species in total.
A total of 11 small mammal species were identified in both disturbed habitats and shrub habitats. A. flavicollis was the most abundant species in disturbed habitats, followed by C. glareolus. In shrub habitats, the proportion of these two species was reversed. Ten small mammal species were identified in riparian habitats, with the highest proportion being C. glareolus (Figure 2).
From the perspective of habitat, the majority of the processed specimens of S. araneus, S. minutus, N. fodiens, S. betulina, A. agrarius, A. uralensis, M. minutus, A. oeconomus, and M. agrestis were caught in meadows (Figure 3). The majority of C. glareolus and A. flavicollis were captured in forest habitats, while the majority of M. musculus and M. arvalis were caught in commensal habitats. In contrast, M. rossiaemeridionalis was most commonly observed in agricultural habitats.
The distribution of the trapped individuals of different species was found to be related to the habitat type (χ2 = 14,644, df = 104, p < 0.00001, Monte Carlo p < 0.0001).

3.2. Analysis of Factors Affecting Body Condition in Relation to Habitat

A spatially controlled GLM showed cumulative influence on the BCIs of season (F3, 25,927 = 183.1), animal age (F2, 25,927 = 165.8), habitat (F8, 25,927 = 152.3), and species (F18, 25,927 = 150.6), all of which were highly significant (p < 0.0001). There was no spatial constraint on the model, as the influence of the country part was not significant (F = 2.0, p = 0.15). The influence of the animal’s sex was also not significant in this model (F = 1.9, p = 0.15).
After controlling for other variables in the model, two of these factors, species (η2 = 0.095) and habitat group (η2 = 0.045), had the strongest influence on BCI variation. The season (η2 = 0.021) and the animal’s age (η2 = 0.013) were weaker. Therefore, we further analyzed the effects of habitat and species on individual body condition indices.

3.3. The Influence of Habitat on the Body Condition Index of Small Mammal Species

The non-parametric ANOVA revealed a significant influence of habitat on the BCI of eight small mammal species. The greatest variation in the BCIs was observed in C. glareolus (Kruskal–Wallis H8, 9866 = 644.5, p < 0.0001), A. flavicollis (H8, 5403 = 400.3, p < 0.0001), M. arvalis (H8, 2429 = 309.3, p < 0.0001), S. araneus (H8, 2303 = 193.1, p < 0.0001), A. agrarius (H8, 3482 = 154.7, p < 0.0001), M. agrestis (H8, 652 = 62.8, p < 0.0001), A. oeconomus (H8, 1286 = 41.5, p < 0.0001), and S. minutus (H8, 724 = 21.7, p < 0.01).
In M. minutus (H8, 337 = 7.0), M. musculus (H8, 424 = 0), N. fodiens (H8, 99 = 0), A. uralensis (H8, 68 = 0), M. rossiaemeridionalis (H8, 30 = 0), S. betulina (H8, 17 = 0), A. amphibius (H8, 10 = 0), and A. sylvaticus (H8, 4 = 0), habitat influence on the BCI was not confirmed.

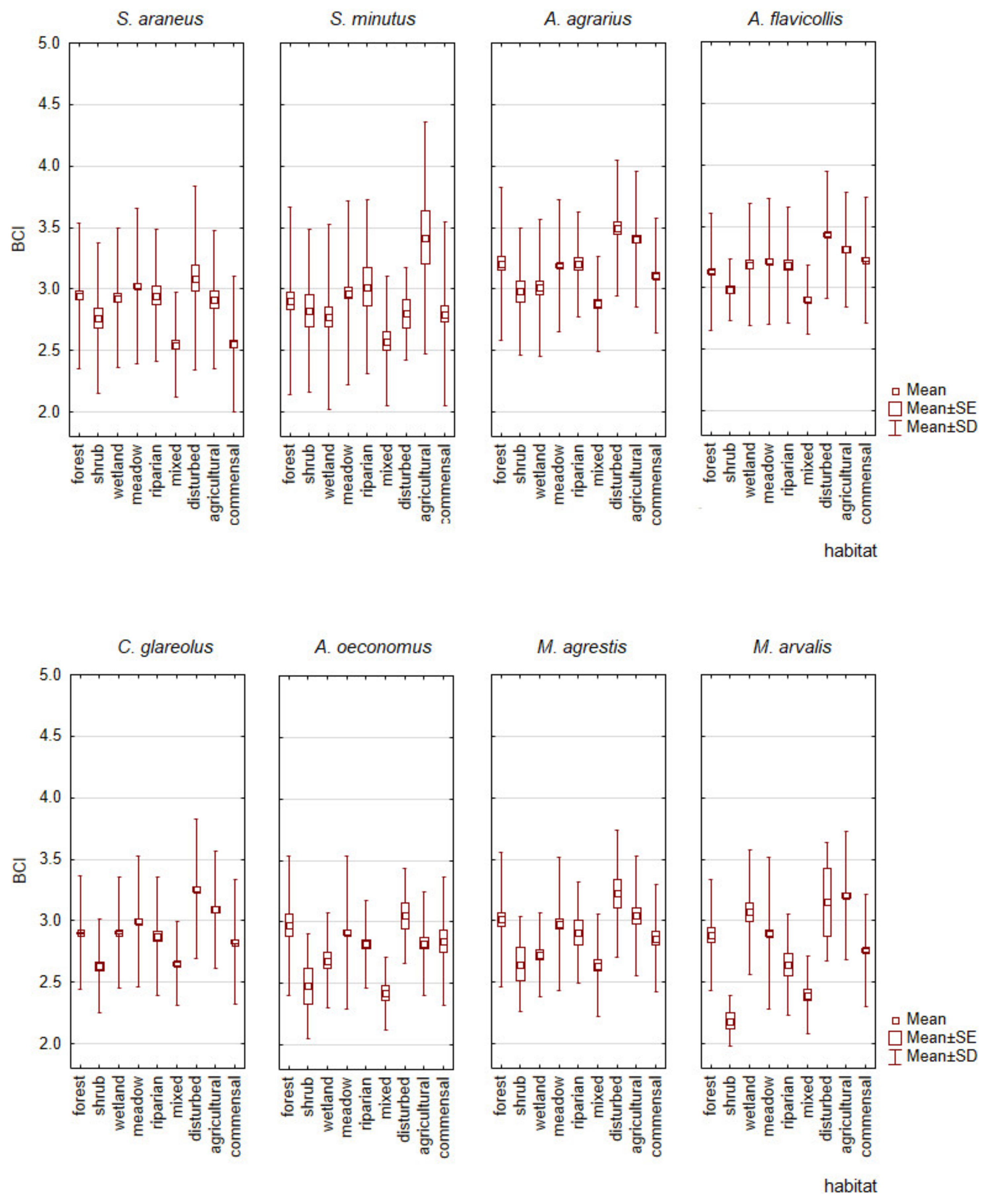
3.4. Variations in Body Condition Index of Small Mammal Species across Habitats

A significant variation in the BCI with respect to habitat was observed in the eight small mammal species (Figure 4). In contrast, BCI variation was not significant in the other species, indicating that it is not dependent on habitat (Figure S1). Standard BCI statistics for all small mammal species are presented in Table S1. It is important to note that, with the exception of M. minutus (N = 337) and N. fodiens (N = 99), sample sizes for species with similar BCIs across habitats were small (N = 1–18), limiting distribution across habitats and BCI variability.
The highest average BCI in S. araneus, A. agrarius, A. flavicollis, C. glareolus, A. oeconomus, and M. agrestis was observed in disturbed habitats and that of S. minutus and M. arvalis in agricultural habitats. The smallest average BCI in S. araneus, S. minutus, A. agrarius, A. flavicollis, A. oeconomus, and M. agrestis was characteristic to mixed habitats and that in C. glareolus and M. arvalis to shrub habitats. It is important to note that this does not imply that all differences between habitats are significant. Therefore, a post hoc test was applied to determine the significance of these differences.
A post hoc analysis identified two groups of habitats with different BCI values for S. araneus. The first group, comprising shrub, commensal, and mixed habitats, exhibited the lowest shrew fitness, with a BCI of 2.55–2.71. In contrast, the remaining habitats exhibited similar species fitness, with a BCI of 2.92–3.09 (Table S1). The BCIs of S. araneus in all habitats included in the first group were significantly different from the BCIs in all habitats in the second group.
In S. minutus, the only significant difference in the BCIs was between the maximum observed in agricultural habitats and the minimum observed in mixed habitats (Figure 4).
The BCI of A. agrarius was found to be the highest in disturbed and agricultural habitats, with BCI values of 3.50 and 3.0, respectively. In contrast, the BCI was found to be the lowest in mixed habitats, with a value of 2.88. The BCI was found to be similar in the remaining habitats.
In A. flavicollis, the body condition index was best in disturbed habitats (BCI = 3.43) and worst in mixed habitats (BCI = 2.91). Post hoc analysis revealed that the difference from any other habitat was significant in both cases. Species’ body condition indices in agricultural and commensal habitats were higher than average and better than those in forest or mixed habitats. The BCI of A. flavicollis in wetlands, meadows, and riparian habitats was comparable and nearly aligned with the mean (Table S1).
Similar tendencies were observed in the body condition index of C. glareolus (Figure 4). The highest BCI values were observed in disturbed habitats (BCI = 3.26), which were significantly higher than in any other habitat. Agricultural habitats exhibited a BCI = 3.09, while meadows exhibited a BCI = 2.99. These values were higher than those observed in forests, shrub, wetlands, riparian, and mixed habitats (Table S1). In A. oeconomus and M. agrestis, the relationship between habitat and the BCI was identical to that observed in C. glareolus, although the differences were less pronounced.
The highest body condition index of M. arvalis was observed in agricultural habitats (BCI = 3.20), which exhibited a higher body condition index than any other habitat, with the exception of disturbed habitats and wetlands. The lowest body condition index was observed in individuals of this species trapped in shrub and in mixed habitats (Table S1).
The remaining small mammal species were captured in a limited number of habitats. Even in M. minutus and M. musculus, which are not considered less represented species, BCI differences were not significant (Figure S1).

3.5. Body Condition Variability among Species in Different Habitats

Variations in the BCI of small mammal species in different habitats are presented in Figure 5, while relevant numerical data are presented in Table S1.
The BCI of M. minutus was consistently higher than that of the other species in all habitats, with the exception of wetland and commensal habitats, where the highest BCI was observed in M. musculus.
The species with the lowest body condition indices were M. rossiaemerisionalis in forest, meadow, mixed, and agricultural habitats, M. arvalis in shrub and riparian habitats, N. fodiens in wetlands and disturbed habitats, and A. uralensis in commensal habitats. However, not all differences were significant (Table S1).

4. Discussion

This is the first investigation into the body condition of small mammals in middle latitudes, encompassing multiple species and habitats. Our findings corroborate the alternative hypothesis, H1, indicating that the trapped numbers of different species are dependent upon habitat type. While C. glareolus and A. flavicollis were most abundant in forest habitats, M. musculus and M. arvalis were most prevalent in commensal habitats, and M. rossiaemeridionalis was most common in agricultural habitats (see Figure 4).
Field studies have shown that small mammals tend to occupy the best habitats [69], where they can survive and reproduce better due to sufficient food and shelter [70,71]. So, can small mammal abundance be used to find which habitats are the best for the species concerned? As F. Ecke et al. [10] point out, ”most likely, the positive relations of species abundance… were closely related to a general effect on habitat conditions… such as the amount of shelter and food”.
However, the occupation of the best habitats by small mammals is an active and controlled process that involves a trade-off between food and safety. This process may be sex-dependent [72] and density-dependent [11]. In contrast to the view that microhabitats are important for the community structure of small mammals [73], it can be argued that differences in habitat structure at the landscape scale [74] are of greater importance, at least in grasslands [24]. Nevertheless, local adaptations, including intraspecific differences in the niche, may prove to be of importance in predicting the potential impacts of climate change [73].
The aforementioned investigations do not address the body condition of small mammals in different habitats. Our findings indicate a significant variation in the BCI with respect to habitat in eight small mammal species (see Figure 4). Among these, the highest average BCI of six species was found in disturbed habitats and that of two species in agricultural habitats. The lowest average BCI of the six species was in mixed habitats and that of two species in shrub habitats.
In our case, a high BCI in disturbed habitats, particularly in breeding colonies of great cormorants, was found to depend on the excessive enrichment of the entire food chain by biogenic elements [75]. Conversely, agricultural habitats were found to be excellent food sources for several small mammal species [76].
It can be postulated that the worse BCIs we found in small mammals trapped in mixed habitats are related to their fragmentation, which in turn leads to reduced access to essential resources, increased predation risk due to a small mammal explosion at the edges, increased energy requirements due to traveling between patches, and changes in the local microclimate. The combination of different habitat patches results in resource variability, which in turn negatively affects the body condition. With regard to shrub habitats in the country, despite an increase in area (see Table 1), they still represent less than 5% of the total area, and thus are inevitably fragmented and unlikely to be among the most suitable habitats.
This theoretical framework is supported by studies conducted in various latitudes, including the Atlantic Forest in low latitudes of Brazil [77] and mid- and high latitudes [78]. It was found that habitat fragmentation and quality significantly affect even widespread small mammal populations [79], which partially explains our findings. The body condition indices of individuals may be employed to elucidate the responses of small mammal species to habitat disturbance and fragmentation [80], which would otherwise remain unobservable.
As previously stated by G. Sozio and A. Mortelliti, in a fragmented landscape, small mammal species with a narrow range of habitats, such as A. flavicollis and C. glareolus, tend to outcompete and displace generalist species, such as A. sylvaticus. However, compared to the influence of habitat connectivity and resource availability, the role of interspecific competition remains relatively insignificant [81].
Habitat influence can be observed even in species with the widest distribution, such as C. glareolus in forests [82]. In mid-latitude regions, this species demonstrates a dependence on local elements in forest habitats, entering patches of poor or clumped understory only in the second half of the year [83].
For Microtus voles in grasslands and agricultural habitats, latitude is a significant factor. Mediterranean farmlands provide these species with seasonally stable habitats and nearly permanent vegetation characteristics [34], whereas, in mid-latitude regions, seasonal changes of vegetation are well-expressed. Moreover, seasonal changes have long-term trends [84]. In the high latitudes, that is, on or near the northern boundary of the distribution of vole species, these changes exert a particularly strong influence [30].
In our previous study, we observed growth depression in M. arvalis and C. glareolus. It occurred in January and February in juveniles and in January, February, and March in subadults [85]. However, a BCI was not used in this study. We will re-evaluate the seasonal effect on the BCI in further analyses.
Our findings indicate that the BCI in shrews is below the average (BCI = 3.02 ± 0.003) of all small mammals in our study in the majority of habitats (see Figure 5). It is not reasonable to attribute this directly to habitat influences, as insectivores have a different diet than granivores or herbivores. In general, shrews are underrepresented in agricultural and commensal habitats of Lithuania [86]. However, we noted that not only was the BCI of S. minutus in agricultural habitats higher than that of any other species, but it was also slightly higher than the BCIs of S. araneus and N. fodiens in both agricultural and commensal habitats. The higher BCI of S. minutus may be explained by differences in their diet. It has been proposed that a commensal niche expansion has occurred in this species, with S. minutus exploiting human-created spaces for foraging [43].
In multi-species shrew communities, habitat is of great importance, as it should ensure the coexistence of sympatric species [87] and even syntopic species [29] with similar requirements. It has been demonstrated that trophic niche overlap allows the coexistence of S. araneus and S. minutus in montane forests in Slovenia [18]. In forest habitats of Finland, the larger shrew species occupy productive habitats, while the smaller ones inhabit less productive ones. They survive due to lower food requirements [88]. Four shrew species in the marshlands of Bialowieża Forest, Poland, coexist due to different foraging modes, though their prey size overlaps [29]. The species identified in this study are the same as those found in Lithuania (S. araneus, S. minutus, N. fodiens, and N. milleri). However, the sample size for the latter two species in our study was relatively limited.
The body condition of shrews should be analyzed with respect to the season, as their species are subjected to Dehnel’s phenomenon. Their body mass, braincase, and brain size decrease towards winter and are restored in spring [89]. In our study, season was a significant factor influencing the variability of the BCIs in other species of small mammals [60], but it was not analyzed in detail.
Over a decade ago, one of the research priorities in the field of small mammal ecology in fragmented landscapes was formulated as “fragmentation relationship with individual fitness and population demographics” [78]. Our results confirm the negative influence of habitat fragmentation on the body condition of small mammals; for seven of the eight most abundant species, the BCI was lowest in mixed (fragmented) habitats. The only exception was M. arvalis. However, the temporal scale was not included in the analysis, despite the significant relationship between temporal factors and BCI variability [60].
For some species, such as M. minutus, seasonal patterns of habitat use are unambiguous, as evidenced by studies conducted by Haberl and Kryštufek [27] and Occhiuto [90]. However, these patterns have not been analyzed in Lithuania [62].
The BCI we used cannot answer the question about the body composition of individuals, i.e., whether a higher BCI is related to fat or lean mass [91,92]. Retrospective data do not allow the use of these methods for such estimations [93]; therefore, the relationship between BMI and body composition could only be established by specific studies.
The assessment of individual body condition is of significant importance not only in ecological and evolutionary studies in general, but also as an index in analyses of life histories, reproduction, and conservation resource management [54,55,94]. It is anticipated that BCI analyses could contribute to the understanding of individual and population responses and their trends to habitat-related effects, as well as interspecies patterns at the local and regional levels. In line with Kuipers et al., global estimates of body condition patterns can assist in elucidating the effects of climate change and biodiversity trends [95].

5. Conclusions

  • We found that the representation of small mammal species was habitat-dependent, with certain species dominating certain habitats. The most suitable habitat was meadows, where 17 small mammal species were found, with nine species being the most abundant.
  • The BCI variation across habitats was species-specific, indicating habitats and species with the highest and lowest average BCIs.
  • No correlation was found between the proportion of a species in a habitat and its BCI. Higher BCI values were found to be characteristic of non-dominant species.

Supplementary Materials

The following supporting information can be downloaded at: https://www.mdpi.com/article/10.3390/land13081214/s1, Figure S1: Non-significant variations in body condition index of small mammals across different habitats; Table S1: The body condition index (BCI) statistics of small mammal species in different habitats of Lithuania, 1980–2023.

Author Contributions

Conceptualization, L.B. (Linas Balčiauskas); methodology and investigation, L.B. (Linas Balčiauskas) and L.B. (Laima Balčiauskienė); formal analysis, L.B. (Linas Balčiauskas); writing—original draft preparation, L.B. (Linas Balčiauskas) and L.B. (Laima Balčiauskienė); writing—review and editing, L.B. (Linas Balčiauskas) and L.B. (Laima Balčiauskienė). All authors have read and agreed to the published version of the manuscript.

Funding

The work of the authors is funded by the Nature Research Centre budget.

Institutional Review Board Statement

This study uses historical material on small mammal trapping and material collected for other projects. It was conducted in accordance with Lithuanian legislation (the Republic of Lithuania Law on the Welfare and Protection of Animals No. XI-2271, “Requirements for the Housing, Care and Use of Animals for Scientific and Educational Purposes”, approved by Order No B1-866, 31 October 2012 of the Director of the State Food and Veterinary Service (Paragraph 4 of Article 16) and European legislation (Directive 2010/63/EU) on the protection of animals, and was approved by the Animal Welfare Committee of the Nature Research Centre, protocols No GGT-7 and GGT-8).

Informed Consent Statement

Not applicable.

Data Availability Statement

The original contributions presented in the study are included in the article and Supplementary Materials, further inquiries can be directed to the corresponding author.

Acknowledgments

We acknowledge the help of P. Alejūnas, M. Jasiulionis, and V. Stirkė in small mammal trapping.

Conflicts of Interest

The authors declare no conflicts of interest.

References

  1. Rondinini, C.; Di Marco, M.; Chiozza, F.; Santulli, G.; Baisero, D.; Visconti, P.; Hoffmann, M.; Schipper, J.; Stuart, S.N.; Tognelli, M.F.; et al. Global habitat suitability models of terrestrial mammals. Philos. Trans. R. Soc. B. 2011, 366, 2633–2641. [Google Scholar] [CrossRef] [PubMed]
  2. Mitchell-Jones, A.J.; Mitchell, J.; Amori, G.; Bogdanowicz, W.; Kryštufek, B.; Reijnders, P.H.; Spitzenberger, F.; Stubbe, M.; Thissen, J.; Vohralík, V.; et al. (Eds.) The Atlas of European Mammals; Academic Press: London, UK, 1999; pp. 1–484. [Google Scholar]
  3. Smith, R.J.; Verissimo, D.; Leader-Williams, N.; Cowling, R.M.; Knight, A.T. Let the locals lead. Nature 2009, 462, 280–281. [Google Scholar] [CrossRef] [PubMed]
  4. Jung, M.; Dahal, P.R.; Butchart, S.H.M.; Donald, P.F.; De Lamo, X.; Lesiv, M.; Kapos, V.; Rondinini, C.; Visconti, P. A global map of terrestrial habitat types. Sci. Data 2020, 7, 256. [Google Scholar] [CrossRef] [PubMed]
  5. Orrock, J.L.; Pagels, J.F.; McShea, W.J.; Harper, E.K. Predicting presence and abundance of a small mammal species: The effect of scale and resolution. Ecol. Appl. 2000, 10, 1356–1366. [Google Scholar] [CrossRef]
  6. Habitats Classification Scheme (Version 3.1). Available online: https://www.iucnredlist.org/resources/habitat-classification-scheme (accessed on 12 May 2024).
  7. CORINE Land Cover. Available online: https://land.copernicus.eu/pan-european/corine-land-cover (accessed on 12 May 2024).
  8. European Nature Information System. Available online: https://eunis.eea.europa.eu/ (accessed on 14 May 2024).
  9. Baisero, D.; Visconti, P.; Pacifici, M.; Cimatti, M.; Rondinini, C. Projected global loss of mammal habitat due to land-use and climate change. One Earth 2020, 2, 578–585. [Google Scholar] [CrossRef]
  10. Ecke, F.; Löfgren, O.; Hörnfeldt, B.; Eklund, U.; Ericsson, P.; Sörlin, D. Abundance and diversity of small mammals in relation to structural habitat factors. Ecol. Bull. 2001, 165–171. [Google Scholar]
  11. Morris, D.W.; MacEachern, J.T. Active density-dependent habitat selection in a controlled population of small mammals. Ecology 2010, 91, 3131–3137. [Google Scholar] [CrossRef] [PubMed]
  12. Goldingay, R.L. General or local habitat preferences? Unravelling geographically consistent patterns of habitat preference in gliding mammals. For. Ecol. Manag. 2021, 491, 119204. [Google Scholar] [CrossRef]
  13. Varner, J.; Dearing, M.D. The importance of biologically relevant microclimates in habitat suitability assessments. PLoS ONE 2014, 9, e104648. [Google Scholar] [CrossRef] [PubMed]
  14. Becker, N.I.; Encarnação, J.A. Silvicolous on a Small Scale: Possibilities and Limitations of Habitat Suitability Models for Small, Elusive Mammals in Conservation Management and Landscape Planning. PLoS ONE 2015, 10, e0120562. [Google Scholar] [CrossRef] [PubMed]
  15. Valerio, F.; Ferreira, E.; Godinho, S.; Pita, R.; Mira, A.; Fernandes, N.; Santos, S.M. Predicting microhabitat suitability for an endangered small mammal using sentinel-2 data. Remote Sens. 2020, 12, 562. [Google Scholar] [CrossRef]
  16. Moudrý, V.; Cord, A.F.; Gábor, L.; Laurin, G.V.; Barták, V.; Gdulová, K.; Malavasi, M.; Rocchini, D.; Stereńczak, K.; Prošek, J.; et al. Vegetation structure derived from airborne laser scanning to assess species distribution and habitat suitability: The way forward. Divers. Distrib. 2023, 29, 39–50. [Google Scholar] [CrossRef]
  17. Appleby, S.M.; Bebre, I.; Riebl, H.; Balkenhol, N.; Seidel, D. Linking small mammal capture probability with understory structural complexity using a mobile laser scanning-derived metric: A case study. Ecol. Res. 2024, 39, 360–367. [Google Scholar] [CrossRef]
  18. Klenovsek, T.; Novak, T.; Cas, M.; Trilar, T.; Janžekovič, F. Feeding ecology of three sympatric Sorex shrew species in montane forests of Slovenia. Folia Zool. 2013, 62, 193–199. [Google Scholar] [CrossRef]
  19. Brouard, M.J.; Knowles, S.C.L.; Dressen, S.; Coulson, T.; Malo, A.F. Factors affecting woodland rodent growth. J. Zool. 2020, 312, 174–182. [Google Scholar] [CrossRef]
  20. Benedek, A.M.; Sîrbu, I.; Lazăr, A. Responses of small mammals to habitat characteristics in Southern Carpathian forests. Sci. Rep. 2021, 11, 12031. [Google Scholar] [CrossRef] [PubMed]
  21. Čepelka, L.; Suchomel, J.; Purchart, L.; Heroldová, M. Small Mammal Communities in Central European Forests—A Case Study from the Czech Republic. Available online: https://papers.ssrn.com/sol3/papers.cfm?abstract_id=4442095 (accessed on 18 May 2024).
  22. Díaz, M.; Morán-López, T. Forest Fragmentation and Developmental Stability of Wood Mice Apodemus sylvaticus: A Food-Mediated Effect? Diversity 2023, 15, 423. [Google Scholar] [CrossRef]
  23. Torre, I.; Jaime-González, C.; Díaz, M. Habitat suitability for small mammals in Mediterranean landscapes: How and why shrubs matter. Sustainability 2022, 14, 1562. [Google Scholar] [CrossRef]
  24. Rowland-Schaefer, E.G.; Koehn, O.; Jones, H.P. Small mammal associations with habitat composition, configuration, and management in tallgrass prairies: A review. Mammal Rev. 2024, 54, 178–192. [Google Scholar] [CrossRef]
  25. Bence, S.L.; Stander, K.; Griffiths, M. Habitat characteristics of harvest mouse nests on arable farmland. Agric. Ecosyst. Environ. 2003, 99, 179–186. [Google Scholar] [CrossRef]
  26. Benedek, A.M.; Lazăr, A.; Cic, N.V.; Cocîrlea, M.D.; Sîrbu, I. Effects of Long-Term Habitat Protection on Montane Small Mammals: Are Sorex araneus and S. minutus More Sensitive Than Previously Considered? Diversity 2022, 14, 38. [Google Scholar] [CrossRef]
  27. Haberl, W.; Kryštufek, B. Spatial distribution and population density of the harvest mouse Micromys minutus in a habitat mosaic at Lake Neusiedl, Austria. Mammalia 2003, 57, 355–565. [Google Scholar] [CrossRef]
  28. Canova, L.; Fasola, M. Communities of small mammals in six biotopes of northern Italy. Acta Theriol. 1991, 36, 73–86. [Google Scholar] [CrossRef]
  29. Churchfield, S.; Rychlik, L. Diets and coexistence in Neomys and Sorex shrews in Białowieża forest, eastern Poland. J. Zool. 2006, 269, 381–390. [Google Scholar] [CrossRef]
  30. Ivanter, E.V. The Ecology of Sibling Species of the Common Vole (Microtus arvalis Pall. and Microtus rossiaemeridionalis Ognev) at the Northern Limit of Its Range. Biol. Bull. Russ. Acad. Sci. 2023, 50, 1286–1293. [Google Scholar] [CrossRef]
  31. Harris, S. History, distribution, status and habitat requirements of the Harvest mouse (Micromys minutus) in Britain. Mammal Rev. 1979, 9, 159–171. [Google Scholar] [CrossRef]
  32. Darinot, F. Improving detectability of the harvest mouse (Micromys minutus Pallas, 1771) by above ground live-trapping. Mammalia 2019, 84, 239–245. [Google Scholar] [CrossRef]
  33. Fuentes-Montemayor, E.; Ferryman, M.; Watts, K.; Macgregor, N.A.; Hambly, N.; Brennan, S.; Coxon, R.; Langridge, H.; Park, K.J. Small mammal responses to long-term large-scale woodland creation: The influence of local and landscape-level attributes. Ecol. Appl. 2020, 30, e02028. [Google Scholar] [CrossRef] [PubMed]
  34. Caminero-Saldaña, C.; Correa-Cuadros, J.P.; Baños-Herrero, A.; Riquelme, C.; Pallavicini, Y.; Fernández-Villán, M.; Plaza, J.; Pérez-Sánchez, R.; Sánchez, N.; Mougeot, F.; et al. Exploring the influence of density-dependence and weather on the spatial and temporal variation in common vole (Microtus arvalis) abundance in Castilla y León, NW Spain. Pest Manag. Sci, 2023; early view. [Google Scholar] [CrossRef]
  35. Torre, I.; Díaz, M. Assessing the effects of landscape change on the occupancy dynamics of the Greater white-toothed shrew Crocidura russula. Life 2022, 12, 1230. [Google Scholar] [CrossRef] [PubMed]
  36. Kitchings, J.T.; Levy, D.J. Habitat patterns in a small mammal community. J. Mammal. 1981, 62, 814–820. [Google Scholar] [CrossRef]
  37. Väli, Ü.; Tõnisalu, G. Community-and species-level habitat associations of small mammals in a hemiboreal forest–farmland landscape. Ann. Zool. Fenn. 2020, 58, 1–11. [Google Scholar] [CrossRef]
  38. McCarthy, A.; Caravaggi, A.; Fernández-Bellon, D.; Irwin, S.; Lusby, J.; O’Halloran, J. Bird and small mammal community composition and abundance in upland open habitats and early conifer forests. Eur. J. Wildl. Res. 2021, 67, 26. [Google Scholar] [CrossRef]
  39. Schweiger, B.R.; Frey, J.K.; Cain, J.W., III. A case for multiscale habitat selection studies of small mammals. J. Mammal. 2021, 102, 1249–1265. [Google Scholar] [CrossRef] [PubMed]
  40. Fisher, D.O. Cost, effort and outcome of mammal rediscovery: Neglect of small species. Biol. Conserv. 2011, 144, 1712–1718. [Google Scholar] [CrossRef]
  41. Peck, M.R.; Maddock, S.T.; Morales, J.N.; Oñate, H.; Mafla-Endara, P.; Peñafiel, V.A.; Torres-Carvajal, O.; Pozo-Rivera, W.E.; Cueva-Arroyo, X.A.; Tolhurst, B.A. Cost-effectiveness of using small vertebrates as indicators of disturbance. Conserv. Biol. 2014, 28, 1331–1341. [Google Scholar] [CrossRef] [PubMed]
  42. Watts, C.H.S. The foods eaten by wood mice (Apodemus sylvaticus) and bank voles (Clethrionomys glareolus) in Wytham Woods, Berkshire. J. Anim. Ecol. 1968, 37, 25. [Google Scholar] [CrossRef]
  43. Ware, R.L.; Booker, A.L.; Allaby, F.R.; Allaby, R.G. Habitat selection drives dietary specialisation in Sorex minutus. bioRxiv 2020. [Google Scholar] [CrossRef]
  44. Lukyanova, L.E.; Ukhova, N.L.; Ukhova, O.V.; Gorodilova, Y.V. Common Shrew (Sorex araneus, Eulipotyphla) Population and the Food Supply of Its Habitats in Ecologically Contrasting Environments. Russ. J. Ecol. 2021, 52, 316–328. [Google Scholar] [CrossRef]
  45. Hansson, L. Population growth and habitat distribution in cyclic small rodents: To expand or to change? Oecologia 1997, 112, 345–350. [Google Scholar] [CrossRef] [PubMed]
  46. Surmacki, A.; Goldyn, B.; Tryjanowski, P. Location and habitat characteristics of the breeding nests of the harvest mouse (Micromys minutus) in the reed-beds of an intensively used farmland. Mammalia 2005, 69, 5–9. [Google Scholar] [CrossRef]
  47. Ivanter, E.V. The Reproductive Ecology of the Bank Vole Myodes (Clethrionomys) glareolus Schreb. in North Periphery of Its Areal: I. Sex Cycles, Course, Dates, and Intensive Reproduction. Biol. Bull. Russ. Acad. Sci. 2020, 47, 535–547. [Google Scholar] [CrossRef]
  48. Koskela, P.; Viro, P. The abundance, autumn migration, population structure and body dimensions of the Harvest mouse in Northern Finland. Acta Theriol. 1976, 21, 375–387. [Google Scholar] [CrossRef]
  49. Gehring, T.M.; Swihart, R.K. Body size, niche breadth, and ecologically scaled responses to habitat fragmentation: Mammalian predators in an agricultural landscape. Biol. Conserv. 2003, 109, 283–295. [Google Scholar] [CrossRef]
  50. Prevedello, J.A.; Forero-Medina, G.; Vieira, M.V. Movement behaviour within and beyond perceptual ranges in three small mammals: Effects of matrix type and body mass. J. Anim. Ecol. 2010, 79, 1315–1323. [Google Scholar] [CrossRef] [PubMed]
  51. Fisher, J.T.; Anholt, B.; Volpe, J.P. Body mass explains characteristic scales of habitat selection in terrestrial mammals. Ecol. Evol. 2011, 1, 517–528. [Google Scholar] [CrossRef] [PubMed]
  52. Battisti, C.; Fanelli, G.; Cerfolli, F.; Amori, G.; Luiselli, L. Body mass and trophic level variations in relation to habitat disturbance in a set of mammal species. Life Environ. 2019, 69, 147–152. [Google Scholar]
  53. Ewers, R.M.; Didham, R.K. Confounding factors in the detection of species responses to habitat fragmentation. Biol. Rev. 2006, 81, 117–142. [Google Scholar] [CrossRef] [PubMed]
  54. Wilder, S.M.; Raubenheimer, D.; Simpson, S.J. Moving beyond body condition indices as an estimate of fitness in ecological and evolutionary studies. Funct. Ecol. 2016, 30, 108–115. [Google Scholar] [CrossRef]
  55. Moya-Laraño, J.; Macías-Ordóñez, R.; Blanckenhorn, W.U.; Fernández-Montraveta, C. Analysing body condition: Mass, volume or density? J. Anim. Ecol. 2008, 77, 1099–1108. [Google Scholar] [CrossRef] [PubMed]
  56. Wishart, A.E.; Guerrero-Chacón, A.L.; Smith, R.; Hawkshaw, D.M.; McAdam, A.G.; Dantzer, B.; Boutin, S.; Lane, J.E. Inferring condition in wild mammals: Body condition indices confer no benefit over measuring body mass across ecological contexts. Oecologia 2024, 204, 161–172. [Google Scholar] [CrossRef] [PubMed]
  57. Ergon, T.; Speakman, J.R.; Scantlebury, M.; Cavanagh, R.; Lambin, X. Optimal body size and energy expenditure during winter: Why are voles smaller in declining populations? Am. Nat. 2004, 163, 442–457. [Google Scholar] [CrossRef] [PubMed]
  58. Mills, S.C.; Grapputo, A.; Jokinen, I.; Koskela, E.; Mappes, T.; Poikonen, T. Fitness trade-offs mediated by immunosuppression costs in a small mammal. Evolution 2010, 64, 166–179. [Google Scholar] [CrossRef] [PubMed]
  59. Schulte-Hostedde, A.I.; Zinner, B.; Millar, J.S.; Hickling, G.J. Restitution of mass–size residuals: Validating body condition indices. Ecology 2005, 86, 155–163. [Google Scholar] [CrossRef]
  60. Balčiauskas, L.; Balčiauskienė, L. Insight into Body Condition Variability in Small Mammals. Animals 2024, 14, 1686. [Google Scholar] [CrossRef] [PubMed]
  61. Balčiauskas, L.; Balčiauskienė, L. Small Mammal Diversity Changes in a Baltic Country, 1975–2021: A Review. Life 2022, 12, 1887. [Google Scholar] [CrossRef] [PubMed]
  62. Balčiauskas, L.; Balčiauskienė, L. Long-Term Stability of Harvest Mouse Population. Diversity 2023, 15, 1102. [Google Scholar] [CrossRef]
  63. CORINE Land Cover. Available online: https://www.eea.europa.eu/en/datahub/datahubitem-view/a5144888-ee2a-4e5d-a7b0-2bbf21656348 (accessed on 17 May 2024).
  64. Moors, P.J. Norway rats (Rattus norvegicus) on the Noises and Motukawao islands, Hauraki Gulf, New Zealand. N. Z. J. Ecol. 1985, 8, 37–54. [Google Scholar]
  65. Sibly, R.M.; Brown, J.H. Effects of body size and lifestyle on evolution of mammal life histories. Proc. Natl. Acad. Sci. USA 2007, 104, 17707–17712. [Google Scholar] [CrossRef] [PubMed]
  66. Krebs, C.J.; Singleton, G.R. Indexes of condition for small mammals. Aust. J. Zool. 1993, 41, 317–323. [Google Scholar] [CrossRef]
  67. Past 4—The Past of the Future. Available online: https://www.nhm.uio.no/english/research/resources/past/ (accessed on 1 January 2024).
  68. TIBCO Software Inc. Data Science Textbook. Available online: https://docs.tibco.com/data-science/textbook (accessed on 15 January 2024).
  69. Pulliam, H.R.; Danielson, B.J. Sources, sinks, and habitat selection: A landscape perspective on population dynamics. Am. Nat. 1991, 137, 50–66. [Google Scholar] [CrossRef]
  70. Kristan, W.B., III. The role of habitat selection behavior in population dynamics: Source–sink systems and ecological traps. Oikos 2003, 103, 457–468. [Google Scholar] [CrossRef]
  71. Corbalán, V.; Tabeni, S.; Ojeda, R.A. Assessment of habitat quality for four small mammal species of the Monte Desert, Argentina. Mamm. Biol. 2006, 71, 227–237. [Google Scholar] [CrossRef]
  72. Morris, D.W. Sex-dependent habitat selection modulates risk management by meadow voles. Ecosphere 2023, 14, e4378. [Google Scholar] [CrossRef]
  73. Escalante, M.A.; Horníková, M.; Marková, S.; Kotlík, P. Niche differentiation in a postglacial colonizer, the bank vole Clethrionomys glareolus. Ecol. Evol. 2021, 11, 8054–8070. [Google Scholar] [CrossRef] [PubMed]
  74. Glass, A.; Eichholz, M.W. Habitat associations of small mammal communities in a restored prairie system in southern Illinois. J. Mammal. 2021, 102, 789–801. [Google Scholar] [CrossRef]
  75. Balčiauskas, L.; Skipitytė, R.; Jasiulionis, M.; Balčiauskienė, L.; Remeikis, V. Immediate increase in isotopic enrichment in small mammals following the expansion of a great cormorant colony. Biogeosciences 2018, 15, 3883–3891. [Google Scholar] [CrossRef]
  76. Fischer, C.; Thies, C.; Tscharntke, T. Small mammals in agricultural landscapes: Opposing responses to farming practices and landscape complexity. Biol. Conserv. 2011, 144, 1130–1136. [Google Scholar] [CrossRef]
  77. Delciellos, A.C.; Vieira, M.V.; Grelle, C.E.; Cobra, P.; Cerqueira, R. Habitat quality versus spatial variables as determinants of small mammal assemblages in Atlantic Forest fragments. J. Mammal. 2016, 97, 253–265. [Google Scholar] [CrossRef]
  78. Mortelliti, A.; Amori, G.; Boitani, L. The role of habitat quality in fragmented landscapes: A conceptual overview and prospectus for future research. Oecologia 2010, 163, 535–547. [Google Scholar] [CrossRef] [PubMed]
  79. Holland, G.J.; Bennett, A.F. Habitat fragmentation disrupts the demography of a widespread native mammal. Ecography 2010, 33, 841–853. [Google Scholar] [CrossRef]
  80. Delciellos, A.C.; Barros, C.D.S.D.; Prevedello, J.A.; Ferreira, M.S.; Cerqueira, R.; Vieira, M.V. Habitat fragmentation affects individual condition: Evidence from small mammals of the Brazilian Atlantic Forest. J. Mammal. 2018, 99, 936–945. [Google Scholar] [CrossRef]
  81. Sozio, G.; Mortelliti, A. Empirical evaluation of the strength of interspecific competition in shaping small mammal communities in fragmented landscapes. Landsc. Ecol. 2016, 31, 775–789. [Google Scholar] [CrossRef]
  82. Van Apeldoorn, R.C.; Oostenbrink, W.T.; Van Winden, A.; Van Der Zee, F.F. Effects of habitat fragmentation on the bank vole, Clethrionomys glareolus, in an agricultural landscape. Oikos 1992, 65, 265–274. [Google Scholar] [CrossRef]
  83. Mazurkiewicz, M. Factors influencing the distribution of the bank vole in forest habitats. Acta Theriol. 1994, 39, 113–126. [Google Scholar] [CrossRef]
  84. Linderholm, H.W. Growing season changes in the last century. Agric. For. Meteorol. 2006, 137, 1–14. [Google Scholar] [CrossRef]
  85. Balčiauskienė, L.; Balčiauskas, L.; Čepukienė, A. Winter growth depression of common vole (Microtus arvalis). Acta Zool. Litu. 2009, 19, 85–92. [Google Scholar] [CrossRef]
  86. Balčiauskas, L.; Stirkė, V.; Garbaras, A.; Balčiauskienė, L. Shrews Under-Represented in Fruit Farms and Homesteads. Animals 2023, 13, 1028. [Google Scholar] [CrossRef] [PubMed]
  87. Rychlik, L. Habitat preferences of four sympatric species of shrews. Acta Theriol. 2000, 45, 173–190. [Google Scholar] [CrossRef]
  88. Hanski, I.; Kaikusalo, A. Distribution and habitat selection of shrews in Finland. Ann. Zool. Fenn. 1989, 26, 339–348. [Google Scholar]
  89. Lázaro, J.; Nováková, L.; Hertel, M.; Taylor, J.R.; Muturi, M.; Zub, K.; Dechmann, D.K. Geographic patterns in seasonal changes of body mass, skull, and brain size of common shrews. Ecol. Evol. 2021, 11, 2431–2448. [Google Scholar] [CrossRef] [PubMed]
  90. Occhiuto, F.; Mohallal, E.; Gilfillan, G.D.; Lowe, A.; Reader, T. Seasonal patterns in habitat use by the harvest mouse (Micromys minutus) and other small mammals. Mammalia 2021, 85, 325–335. [Google Scholar] [CrossRef]
  91. Hilderbrand, G.V.; Gustine, D.D.; Mangipane, B.A.; Joly, K.; Leacock, W.; Mangipane, L.S.; Erlenbach, J.; Sorum, M.S.; Cameron, M.D.; Belant, J.L.; et al. Body size and lean mass of brown bears across and within four diverse ecosystems. J. Zool. 2018, 305, 53–62. [Google Scholar] [CrossRef]
  92. Ross, J.G.B.; Newman, C.; Buesching, C.D.; Connolly, E.; Nakagawa, S.; Macdonald, D.W. A fat chance of survival: Body condition provides life-history dependent buffering of environmental change in a wild mammal population. Clim. Change Ecol. 2021, 2, 100022. [Google Scholar] [CrossRef]
  93. Reynolds, D.S.; Sullivan, J.C.; Kunz, T.H. Evaluation of total body electrical conductivity to estimate body composition of a small mammal. J. Wildl. Manag. 2009, 73, 1197–1206. [Google Scholar] [CrossRef]
  94. Stevenson, R.D.; Woods, W.A., Jr. Condition indices for conservation: New uses for evolving tools. Integr. Comp. Biol. 2006, 46, 1169–1190. [Google Scholar] [CrossRef] [PubMed]
  95. Kuipers, K.J.; Hilbers, J.P.; Garcia-Ulloa, J.; Graae, B.J.; May, R.; Verones, F.; Huijbregts, M.A.; Schipper, A.M. Habitat fragmentation amplifies threats from habitat loss to mammal diversity across the world’s terrestrial ecoregions. One Earth 2021, 4, 1505–1513. [Google Scholar] [CrossRef]
Figure 1. Land use map of Lithuania in 2018, redrawn from [62]. CORINE Level 3 habitats are urban fabric: 111–112; industrial, commercial, and transport units: 121–124; mine, dump, and construction sites: 131–133; artificial, non-agricultural vegetated areas: 141–142; arable land: 211—non-irrigated arable land; permanent crops: 222—fruit trees and berry plantations; pastures: 231; heterogeneous agricultural areas: 241—annual crops associated with permanent crops, 242—complex cultivation patterns, 243—land principally occupied by agriculture, with significant areas of natural vegetation; forests: 311—broad-leaved forest, 312—coniferous forest, 313—mixed forest; scrub and/or herbaceous vegetation associations: 321—natural grasslands, 322—moors and heathland, 324—transitional woodland-shrub; open spaces with little or no vegetation: 331–334; inland wetlands: 411—inland marshes, 412—peat bogs; inland waters: 511—water courses, 512—water bodies; marine waters: 521–523 [63].
Figure 1. Land use map of Lithuania in 2018, redrawn from [62]. CORINE Level 3 habitats are urban fabric: 111–112; industrial, commercial, and transport units: 121–124; mine, dump, and construction sites: 131–133; artificial, non-agricultural vegetated areas: 141–142; arable land: 211—non-irrigated arable land; permanent crops: 222—fruit trees and berry plantations; pastures: 231; heterogeneous agricultural areas: 241—annual crops associated with permanent crops, 242—complex cultivation patterns, 243—land principally occupied by agriculture, with significant areas of natural vegetation; forests: 311—broad-leaved forest, 312—coniferous forest, 313—mixed forest; scrub and/or herbaceous vegetation associations: 321—natural grasslands, 322—moors and heathland, 324—transitional woodland-shrub; open spaces with little or no vegetation: 331–334; inland wetlands: 411—inland marshes, 412—peat bogs; inland waters: 511—water courses, 512—water bodies; marine waters: 521–523 [63].
Land 13 01214 g001
Figure 2. The proportions of species observed in the investigated habitats between the years 1980 and 2023. Species with n < 10 were not analyzed.
Figure 2. The proportions of species observed in the investigated habitats between the years 1980 and 2023. Species with n < 10 were not analyzed.
Land 13 01214 g002
Figure 3. The frequency of occurrence of small mammals in different habitats, based on data derived from dissections conducted between 1980 and 2023. Species with n < 10 were not analyzed.
Figure 3. The frequency of occurrence of small mammals in different habitats, based on data derived from dissections conducted between 1980 and 2023. Species with n < 10 were not analyzed.
Land 13 01214 g003
Figure 4. The significant variations in the body condition index of small mammals across different habitats. Species with n < 10 were not analyzed.
Figure 4. The significant variations in the body condition index of small mammals across different habitats. Species with n < 10 were not analyzed.
Land 13 01214 g004
Figure 5. The variations in the body condition index (BCI) of small mammals in different habitats. Species with n < 10 were not analyzed.
Figure 5. The variations in the body condition index (BCI) of small mammals in different habitats. Species with n < 10 were not analyzed.
Land 13 01214 g005
Table 1. The area and proportion of selected small mammal habitats in Lithuania, 1990 and 2018. CORINE land cover classes and data used from [7,63].
Table 1. The area and proportion of selected small mammal habitats in Lithuania, 1990 and 2018. CORINE land cover classes and data used from [7,63].
Habitat19902018Trend
Area, ha%Area, ha%
Forest1,919,87229.571,944,74729.96increasing
Shrub162,6532.51310,3624.78increasing
Wetland57,2290.8856,4120.87stable
Meadow489,9667.55455,8587.02decreasing
Mixed524,7408.08459,9717.09decreasing
Disturbed93570.1463890.10stable
Agricultural2,989,97846.062,905,69544.76decreasing
Commensal147,2862.27157,7422.43increasing
Table 2. The sample composition of small mammals in different habitats: N—number of individuals, S—number of small mammal species.
Table 2. The sample composition of small mammals in different habitats: N—number of individuals, S—number of small mammal species.
HabitatNS
Forest765715
Shrub39211
Wetland227115
Meadow768317
Riparian6479
Mixed118115
Disturbed202211
Agricultural213913
Commensal457514
Total28,56718
Disclaimer/Publisher’s Note: The statements, opinions and data contained in all publications are solely those of the individual author(s) and contributor(s) and not of MDPI and/or the editor(s). MDPI and/or the editor(s) disclaim responsibility for any injury to people or property resulting from any ideas, methods, instructions or products referred to in the content.

Share and Cite

MDPI and ACS Style

Balčiauskas, L.; Balčiauskienė, L. Habitat and Body Condition of Small Mammals in a Country at Mid-Latitude. Land 2024, 13, 1214. https://doi.org/10.3390/land13081214

AMA Style

Balčiauskas L, Balčiauskienė L. Habitat and Body Condition of Small Mammals in a Country at Mid-Latitude. Land. 2024; 13(8):1214. https://doi.org/10.3390/land13081214

Chicago/Turabian Style

Balčiauskas, Linas, and Laima Balčiauskienė. 2024. "Habitat and Body Condition of Small Mammals in a Country at Mid-Latitude" Land 13, no. 8: 1214. https://doi.org/10.3390/land13081214

APA Style

Balčiauskas, L., & Balčiauskienė, L. (2024). Habitat and Body Condition of Small Mammals in a Country at Mid-Latitude. Land, 13(8), 1214. https://doi.org/10.3390/land13081214

Note that from the first issue of 2016, this journal uses article numbers instead of page numbers. See further details here.

Article Metrics

Back to TopTop