The Spatiotemporal Dynamics of the Landscape of the Itombwe Nature Reserve and Its Periphery in South Kivu, the Democratic Republic of Congo
Abstract
1. Introduction
2. Materials and Methods
2.1. Study Area: Itombwe Nature Reserve and Its Peripheral Area
2.1.1. Remote Sensing Data
2.1.2. Image Pre-Processing in Google Earth Engine
2.1.3. Supervised Image Classification and Validation of Land Use Maps
2.1.4. Analysis of Spatial Patterns in the Itombwe Nature Reserve and Its Periphery
3. Results
3.1. Validation of Supervised Classifications and Mapping of Land Cover
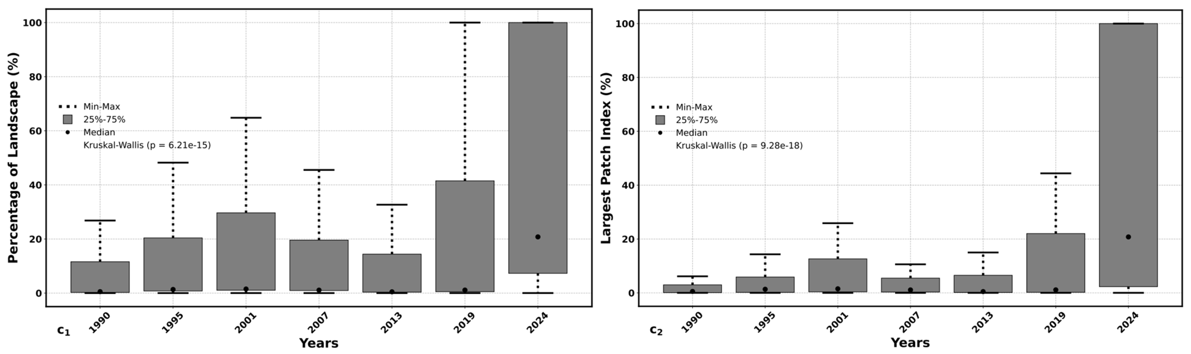
3.2. Annual Change at the Landscape Level of Itombwe Nature Reserve and Its Periphery from 1990 to 2014
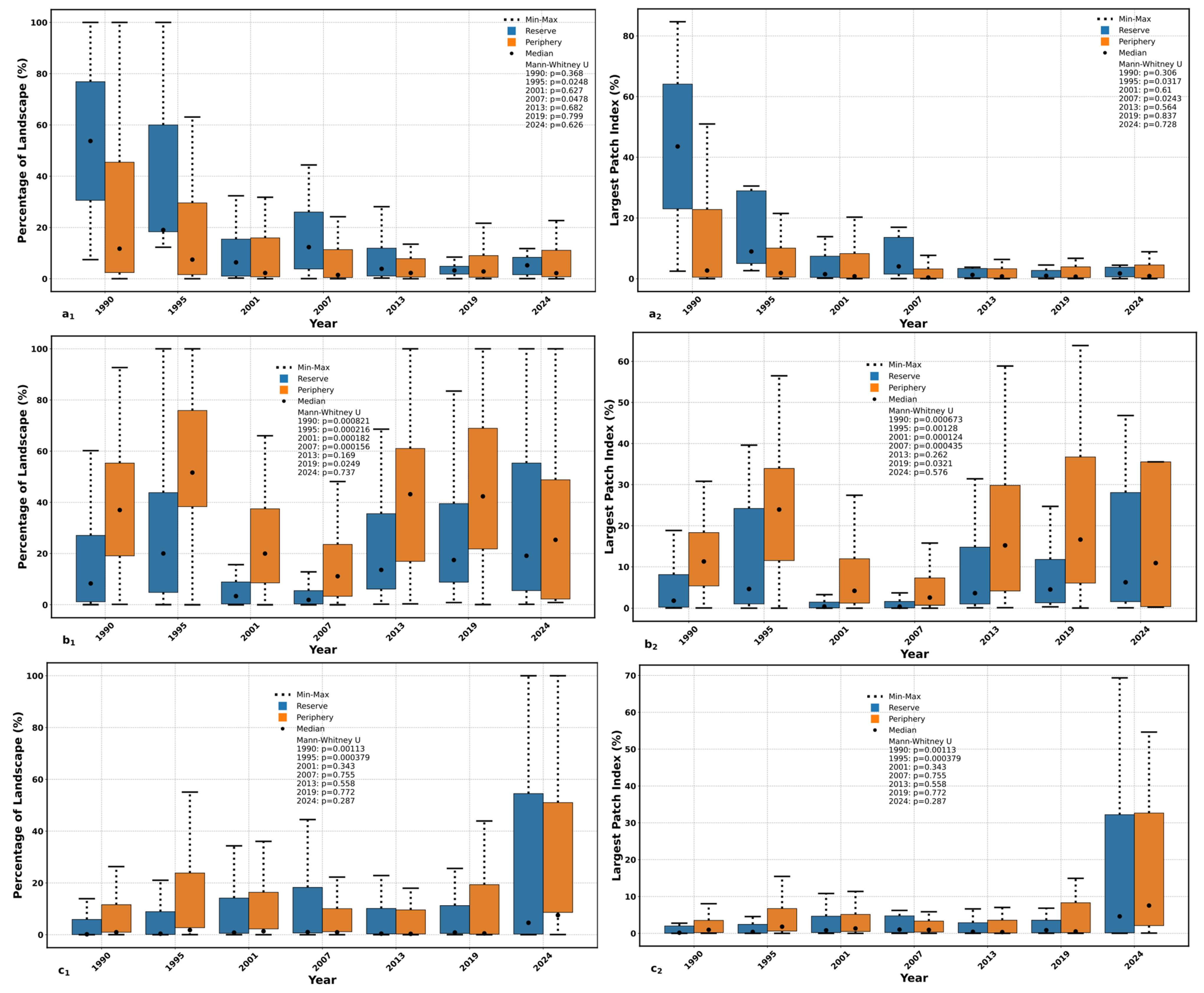
3.3. Annual Change in PLAND and LPI Between Reserve and Periphery
4. Discussion
4.1. Methodological Approaches
4.2. Spatiotemporal Dynamics of the Itombwe Nature Reserve and Its Periphery Between 1990 and 2024
5. Conclusions
- -
- Local authorities and communities, emphasizing the value of the ecosystems within and surrounding the reserve.
- -
- Peripheral landowners, emphasizing the importance of ensuring the conservation of their properties.
- -
- Loggers, emphasizing the impact of their practices on the reserve’s objectives.
- -
- Farmers and herders, emphasizing the impact of their activities on the region’s natural resources.
Author Contributions
Funding
Data Availability Statement
Acknowledgments
Conflicts of Interest
References
- Aveling, C. Le Patrimoine Mondial dans le Bassin du Congo; Centre du Patrimoine Mondial de L’unesco: Paris, France, 2010; 64p. [Google Scholar]
- Barima, Y.S.S.; Barbier, N.; Bamba, I.; Traoré, D.; Lejoly, J.; Bogaert, J. Dynamique paysagère en milieu de transition forêt-savane ivoirienne. Bois For. Trop. 2009, 299, 15. [Google Scholar] [CrossRef]
- Lawson, S. L’exploitation illégale des forêts en République démocratique du Congo. Énerg. Environ. Ressour. 2014, 3, 34. [Google Scholar]
- Potapov, P.V.; Turubanova, S.A.; Hansen, M.C.; Adusei, B.; Broich, M.; Altstatt, A.; Mane, L.; Justice, C.O. Quantifying forest cover loss in the Democratic Republic of the Congo, 2000–2010, with Landsat ETM+ data. Remote Sens. Environ. 2012, 122, 106–116. [Google Scholar] [CrossRef]
- Karsenty, A. Géopolitique des forêts d’Afrique centrale. Hérodote 2020, 179, 108–129. [Google Scholar] [CrossRef]
- Ntoto, M.; Carine, V.; Maurice, M.L.; Roger, N.M.; Makaya, K.; Carine, K.B. Les enjeux socioéconomiques et écologiques de la production du charbon de bois dans la peripherie de la ville de boma en RDC Résumé: Socioeconomics and ecologicals issues of charcoal production in Boma’s outskirts (DRCongo). Int. J. Water Environ. Sci. Technol. 2021, 6, 42–54. [Google Scholar]
- Mayaux, P.; Gond, V.; Massart, M.; Pain-orcet, M.; Achard, F. Évolution du couvert forestier du bassin du Congo mesurée par télédétection spatiale Des projets d’ aménagement forestier Remote Sensing to Measure in the Congo Basin. Bois For. Trop. 2003, 277, 45–52. [Google Scholar]
- Butsic, V.; Baumann, M.; Shortland, A.; Walker, S.; Kuemmerle, T. Conservation and conflict in the Democratic Republic of Congo: The impacts of warfare, mining, and protected areas on deforestation. Biol. Conserv. 2015, 191, 266–273. [Google Scholar] [CrossRef]
- Salomon, W.; Sikuzani, Y.U.; Kouakou, A.T.M.; Barima, Y.S.S.; Theodat, J.M.; Bogaert, J. Mapping and quantification of the loss of forest cover in the national parks of the South of the Republic of Haiti from 1985 to 2018: Role of local agricultural activities. Int. J. Biol. Chem. Sci. 2021, 15, 477–496. [Google Scholar] [CrossRef]
- Malhi, Y.; Roberts, J.T.; Betts, R.A.; Killeen, T.J.; Li, W.; Nobre, C.A. Climate Change, Deforestation, and the Fate of the Amazon. Science 2008, 319, 169–172. [Google Scholar] [CrossRef]
- Thompson, I.D.; Okabe, K.; Tylianakis, J.M.; Kumar, P.; Brockerhoff, E.G.; Schellhorn, N.A.; Parrotta, J.A.; Nasi, R. Forest Biodiversity and the Delivery of Ecosystem Goods and Services: Translating Science into Policy. BioScience 2011, 61, 972–981. [Google Scholar] [CrossRef]
- Kipute, D.D.; Mampeta, S.W.; Kahindo, J.M.M.; Lelo, U.D.M.; Kankeu, R.S.; Sonwa, J.D.; Joiris, V.; Mate, J.-P. Complexity of Zoning Management in Biosphere Reserves: The Case of the Yangambi Biosphere Reserve in, D.R.C. Int. For. Rev. 2021, 23, 55–67. [Google Scholar] [CrossRef]
- Jayne, T.; Fox, L.; Fuglie, K.; Adelaja, A.; Anderson, P.; Ash, J.; Bertram, R.; Brooks, K.; Cohen, C.; Deaton, B.; et al. Agricultural Productivity Growth, Resilience, and Economic Transformation in Sub-Saharan Africa Implications for USAID Documents; USAID: Washington, DC, USA, 2021. [Google Scholar]
- Masolele, R.N.; Marcos, D.; De Sy, V.; Abu, I.O.; Verbesselt, J.; Reiche, J.; Herold, M. Mapping the diversity of land uses following deforestation across Africa. Sci. Rep. 2024, 14, 1681. [Google Scholar] [CrossRef]
- Ansoms, A.; Nyenyezi Bisoka, A.; Vandeginste, S. Conjonctures de l’Afrique Centrale 2018; L’Harmattan: Paris, France, 2018; pp. 117–231. [Google Scholar]
- Mudinga, E.M.; Ngendakumana, S.; Ansoms, A. Analyse critique du processus de cogestion du parc national de Kahuzi-Biega en République Démocratique du Congo. VertigO Rev. Électron. Sci. L’environ. 2013. [Google Scholar] [CrossRef]
- Rainforest Foundation Norway. Cartographie 3D: Un Outil de Planification et de Gestion Pour la Réserve D’itombwe-Livre Vert de la Modélisation Participative en Trois Dimensions. 2016. Available online: http://www.fpa2.com (accessed on 16 August 2016).
- Habiyaremye, F.; Mugoli, E.; Mubalama, L.; Masumbuko, C. Connaître leur état à l’aide d’un lexique des plantes dominantes. In Habitats de la Réserve Naturelle d’Itombwe; RBINS: Bruxelles, Belgium, 2024. [Google Scholar]
- Barima, Y.S.S.; Kouakou, A.T.M.; Bamba, I.; Sangne, Y.C.; Godron, M.; Andrieu, J.; Bogaert, J. Cocoa crops are degrading the forest reserves of the classified forest in Haut-Sassandra, Ivory Coast. Glob. Ecol. Conserv. 2016, 8, 85–98. [Google Scholar] [CrossRef]
- Kyale, K.J.; Wardell, D.A.; Mikwa, J.-F.; Masimo, J.K.; Maindo, M.N.A.; Oszwald, J.; Charles Doumeng, C. Dynamique de la déforestation dans la Réserve de biosphère de Yangambi (République démocratique du Congo): Variabilité spatiale et temporelle au cours des 30 dernières années. Bois For. Trop. 2019, 341, 15–28. [Google Scholar] [CrossRef]
- Cabral, A.I.R.; Vasconcelos, M.J.; Oom, D.; Sardinha, R. Spatial dynamics and quantification of deforestation in the central-plateau woodlands of Angola (1990–2009). Appl. Geogr. 2010, 31, 1185–1193. [Google Scholar] [CrossRef]
- Havyarimana, F.; Bamba, I.; Barima, Y.S.S.; Masharabu, T.; Nduwarugira, D.; Bigendako, M.-J.; De Cannière, C. La contribution des camps des déplacés à la dynamique paysagère au Sud et au Sud-Est du Burundi. Tropicultura 2018, 36, 243–257. [Google Scholar] [CrossRef]
- Busset, G. Evaluations des Impacts Environnementaux en Période de Conflits Armés: Cas de la Sierra Leone et du Soudan; Universitaires Europeennes: London, UK, 2009. [Google Scholar]
- Muteya, H.K.; Mukenza, M.M.; Mwenya, I.K.; Malaisse, F.; Nghonda, D.D.N.T.; Mukendi, N.K.; Bogaert, J. Protected area creation and its limited effect on deforestation: Insights from the Kiziba-Baluba hunting domain (DR Congo). Trees People 2024, 18, 100654. [Google Scholar] [CrossRef]
- Ganza, M. Analyse de la Dynamique du Couvert Forestier de la Réserve Naturelle D’itombwe en, R.D.Congo. Master’s Thesis, Aménagement et Gestion Intégrés des Forêts et Territoires Tropicaux, ERAIFT, Kinshasa, Democratic Republic of the Congo, 2019. [Google Scholar]
- Buhendwa, E. Identification des Facteurs de Dégradation Forestières et Déboisement dans le Paysage de la RNI Entre 1986 et 2020. Master’s Thesis, Aménagement et Gestion Intégrés des Forêts et Territoires Tropicaux, ERAIFT, Kinshasa, Democratic Republic of the Congo, 2021. [Google Scholar]
- Siaka, O. Problématique de Gestion du Parc National du W du Niger Face aux Pressions Anthropiques: Cas des îles de Karey Kopto, de Tondey et de Birigambou. Mémoire de fin d’étude CRESA, Faculté d’Agronomie, UAM, Niamey, Niger, 2004; 79p. [Google Scholar]
- Moussa, M.S.; Amadou, B.; et Waziri, M.M. Les Dynamiques Associatives Locales dans la Gestion des Ressources Naturelles des Aires Protégées dans un Contexte de Décentralisation: Expérience de la Commune Rurale de Falmey en Périphérie du Parc du «W» au Niger; Revue, T.S.E., Ed.; Université de Zinder: Zinder, Niger, 2013; pp. 107–127. [Google Scholar]
- Oszwald, J.; Gond, V.; Dolédec, S.; Lavelle, P. Identification d’indicateurs de changement d’occupation du sol pour le suivi des mosaïques paysagères. Bois For. Trop. 2011, 307, 7. [Google Scholar] [CrossRef]
- Tsewoue, M.R.; Tchamba, M.; Avana, M.L.; Tanougong, A.D. Dynamique spatio temporelle de l’occupation du sol dans le Moungo, Région du Littoral, Cameroun: Influence sur l’expansion des systèmes agroforestiers à base de bananiers. Int. J. Biol. Chem. Sci. 2020, 14, 486–500. [Google Scholar] [CrossRef]
- Useni, S.Y.; Khoji, M.H.; Bogaert, J. Miombo woodland, an ecosystem at risk of disappearance in the Lufira Biosphere Reserve (Upper Katanga, DR Congo)? A 39-year analysis based on Landsat images. Glob. Ecol. Conserv. 2020, 24, e01333. [Google Scholar] [CrossRef]
- Balandi, J.B.; To Hulu, J.-P.P.M.; Sambieni, K.R.; Sikuzani, Y.U.; Bastin, J.-F.; Musavandalo, C.M.; Nguba, T.B.; Jesuka, R.; Sodalo, C.; Pika, L.M.; et al. Anthropogenic Effects on Green Infrastructure Spatial Patterns in Kisangani City and Its Urban–Rural Gradient. Land 2024, 13, 1794. [Google Scholar] [CrossRef]
- MDE. Sixième Rapport National sur la Biodiversité d’Haïti. gef/CBD/6NR/UNDP. Ministère de L’Environnement. Direction de la Biodiversité. 2019. Available online: https://www.cbd.int/doc/nr/nr-06/ht-nr-06-fr.pdf (accessed on 6 May 2021).
- Plumptre, J.A.; Davenport, T.R.B.; Behangana, M.; Robert Kityo, R.; Eilu, G.; Ssegawa, P.; Ewango, C.; Meirte, D.; Kahindo, C.; Herremans, M.; et al. Biodiversity of Albertine Rift. Biol. Conserv. 2007, 134, 178–194. [Google Scholar] [CrossRef]
- ICCN/RNI. Plan d‘Aménagement et de Gestion de la Reserve Naturelle d‘Itombwe, 2018–2027; Elaboré par l‘ICCN Avec l‘appui financier et technique de WWF-RDC et ses partenaires; ICCN/RNI: Mwenga, Democratic Republic of Congo, 2018; 140p. [Google Scholar]
- Doumenge, C.; Schilter, C. Les Monts Itombwe; UICN: Kinshasa, Democratic Republic of the Congo, 1997. [Google Scholar]
- Greenbaum, E.; Chifundera, K. Conservation implications following the rediscovery of four frog species from the Itombwe Natural Reserve, eastern Democratic Republic of the Congo. Herpetol. Rev. 2012, 43, 253. [Google Scholar]
- Mubalama, L.; Atalia, G.; Mitamba, G.; Wilondja, B. Utiliser le SIG pour accéder aux informations sur le statut et la conservation des gros mammifères dans le paysage de Conservation du Massif d’Itombwe en République Démocratique du Congo. Nat. Faune 2008, 23, 43–50. [Google Scholar]
- Prigogine, A. Conservation of the avifauna of the forests of the Albertin Rift. In Conservation of Tropical Forest Birds; Diamond, A.W., Lovejoy, T.E., Eds.; ICBP Technical Publication No 4; International Council for Bird Preservation: Cambridge, UK, 1985; pp. 275–295. [Google Scholar]
- WWF for a Living Planet. Termes of Reference Project Number 40000357 Itombwe WWF NL. Kinshasa. 2015. Available online: https://wwfeu.awsassets.panda.org/downloads/consultant_conservation_program_itombwe__drc.pdf (accessed on 15 December 2015).
- Union Internationale Pour la Conservation de la Nature. Parcs et Réserves de la République Démocratique du Congo: Évaluation de L’efficacité de Gestion des Aires Protégées; UICN/PACO: Ouagadougou, Burkina Faso, 2010; 149p. [Google Scholar]
- Bahati, J.M. Rôle des Savoirs Traditionnels dans L’approche Participative en Gestion des Aires Protégées. Cas de la Réserve Naturelle d’Itombwe (Sud-Kivu, RDC). Master’s Thesis, Aménagement et Gestion intégrés des Forêts et Territoires Tropicaux, ERAIFT, Kinshasa, Democratic Republic of the Congo, 2012. [Google Scholar]
- Muteya, H.K.; Nghonda, D.D.N.T.; Kalenda, F.M.; Strammer, H.; Kankumbi, F.M.; Malaisse, F.; Bastin, J.F.; Sikuzani, Y.U.; Bogaert, J. Mapping and Quantification of Miombo Deforestation in the Lubumbashi Charcoal Production Basin (DR Congo): Spatial Extent and Changes between 1990 and 2022. Land 2023, 12, 1852. [Google Scholar] [CrossRef]
- Gorelick, N.; Hancher, M.; Dixon, M.; Ilyushchenko, S.; Thau, D.; Moore, R. Google Earth Engine: Planetary-scale geospatial analysis for everyone. Remote Sens. Environ. 2017, 202, 18–27. [Google Scholar] [CrossRef]
- Shelestov, A.; Lavreniuk, M.; Kussul, N.; Novikov, A.; Skakun, S. Exploring Google Earth Engine platform for big data processing: Classification of multi-temporal satellite imagery for crop mapping. Front. Earth Sci. 2017, 5, 232994. [Google Scholar] [CrossRef]
- Wang, J.; Duncan, D.; Shi, Z.; Zhang, B. WEB-based gene set analysis toolkit (WebGestalt): Update 2013. Nucleic Acids Res. 2013, 41, W77–W83. [Google Scholar] [CrossRef]
- Zhao, Q.; Yu, L.; Li, X.; Peng, D.; Zhang, Y.; Gong, P. Progress and trends in the application of Google Earth and Google Earth Engine. Remote Sens. 2021, 13, 3778. [Google Scholar] [CrossRef]
- Noi Phan, T.; Kuch, V.; Lehnert, L.W. Land cover classification using Google Earth Engine and Random Forest: The Role of Image Composition. Remote Sens. 2020, 12, 2411. [Google Scholar] [CrossRef]
- Kouassi, J.A.; Kablan, Y.A.; Bachmann, M.E.; Lemoine, S.R.; Nielsen, M.R.; Koné, I. Determinants of bushmeat supply sources in rural areas of Côte d’Ivoire. J. Nat. Conserv. 2023, 72, 126330. [Google Scholar] [CrossRef]
- Breiman, L. Random forests. Mach. Learn. 2001, 45, 5–32. [Google Scholar] [CrossRef]
- Xia, G.S.; Hu, J.; Hu, F.; Shi, B.; Bai, X.; Zhong, Y.; Zhang, L.; Lu, X. AID: A benchmark data set for performance evaluation of aerial scene classification. IEEE Trans. Geosci. Remote Sens. 2017, 55, 3965–3981. [Google Scholar] [CrossRef]
- Gislason, P.O.; Benediktsson, J.A.; Sveinsson, J.R. Random forests for land cover classification. Pattern Recognit. Lett 2006, 27, 294–300. [Google Scholar] [CrossRef]
- Hayes, G.P.; Herman, M.W.; Barnhart, W.D.; Furlong, K.P.; Riquelme, S.; Benz, H.M.; Bergman, E.; Barrientos, S.; Earle, P.S.; Samsonov, S. Continuing megathrust earthquake potential in Chile after the 2014 Iquique earthquake. Nature 2014, 512, 295–298. [Google Scholar] [CrossRef]
- Zeferino, L.B.; de Souza, L.F.T.; do Amaral, C.H.; Fernandes Filho, E.I.; de Oliveira, T.S. Does environmental data increase the accuracy of land use and land cover classification? Int. J. Appl. Earth Obs. Geoinf. 2020, 91, 102128. [Google Scholar] [CrossRef]
- Bogaert, J.; Zhou, L.; Tucker, C.J.; Myneni, R.B.; Ceulemans, R. Evidence for a persistent and extensive greening trend in Eurasia inferred from satellite vegetation index data. J. Geophys. Res. Atmos. 2002, 107, ACL-4. [Google Scholar] [CrossRef]
- Wu, J. Effects of changing scale on landscape pattern analysis: Scaling relations. Landsc. Ecol. 2004, 19, 125–138. [Google Scholar] [CrossRef]
- Foody, G.M. Ground reference data error and the mis-estimation of the Area of land cover change as a function of its abundance. Remote Sens. Lett 2013, 4, 783–792. [Google Scholar] [CrossRef]
- Olofsson, P.; Foody, G.M.; Herold, M.; Stehman, S.V.; Woodcock, C.E.; Wulder, M.A. Good Practices for Estimating Area and Assessing Accuracy of Land Change. Remote Sens. Environ. 2014, 148, 42–57. [Google Scholar] [CrossRef]
- Muteya, H.K.; Nghonda, D.-D.N.; Malaisse, F.; Waselin, S.; Sambiéni, K.R.; Kaleba, S.C.; Kankumbi, F.M.; Bastin, J.-F.; Bogaert, J.; Sikuzani, Y.U. Quantification and Simulation of Landscape Anthropization around the Mining Agglomerations of Southeastern Katanga (DR Congo) between 1979 and 2090. Land 2022, 11, 850. [Google Scholar] [CrossRef]
- Cabala, K.S.; Useni, S.Y.; Munyemba, K.F.; Bogaert, J. Activités anthropiques et dynamique spatiotemporelle de la forêt claire dans la Plaine de Lubumbashi. In Anthropisation des Paysages Katangais; Bogaert, J., Colinet, G., Mahy, G., Eds.; Les Presses Universitaires de Liège: Liège, Belgique, 2018; pp. 253–266. [Google Scholar]
- Bauters, M.; Drake, T.W.; Wagner, S.; Baumgartner, S.; Makelele, I.A.; Bodé, S.; Verheyen, K.; Verbeeck, H.; Ewango, C.; Cizungu, L.; et al. Fire-derived phosphorus fertilization of African tropical forests. Nat. Commun. 2021, 12, 5129. [Google Scholar] [CrossRef]
- Kaleba, S.C.; Sikuzani, Y.U.; Yamba, A.M.; Kankumbi, F.M.; Bogaert, J. Anthropogenic activities and dynamics of forest ecosystems in the territorial areas of Katangan copper belt (KCB) (DR Congo). Tropicultura 2022, 40, 1–27. [Google Scholar]
- Bamba, I. Anthropisation et Dynamique Spatio-Temporelle de Paysages Forestiers en République Démocratique du Congo. Ph.D. Thesis, Université Libre de Bruxelles, Bruxelles, Belgique, 2010; 186p. [Google Scholar]
- Molinario, G.; Hansen, M.C.; Potapov, P.V. Forest cover dynamics of shifting cultivation in the Democratic Republic of Congo: Remote sensing-based assessment for 2000–2010. Environ. Res. Lett. 2015, 10, 9. [Google Scholar] [CrossRef]
- Kalambay, B.M.; Rudant, J.P.; Lumbuenamo, R.; Beland, M.; Riera, B. Dynamique spatiale du domaine de chasse et réserve de Bombo Lumene entre 2000 et 2015 par imagerie satellitaire optique. Int. J. Innov. Appl. Stud. 2016, 18, 559–568. [Google Scholar]
- Kabuanga, J.M.; Adipalina Guguya, B.; Ngenda Okito, E.; Maestripieri, N.; Saqalli, M.; Rossi, V.; Iyongo Waya Mongo, L. Suivi de l’anthropisation du paysage dans la région forestière de Babagulu, République Démocratique du Congo. VertigO Rev. Électron. Sci. L’environ. 2020. Available online: http://journals.openedition.org/vertigo/28347 (accessed on 23 August 2023). [CrossRef]
- Kimvula, J.M.; Luzolo, J.T.T.; Muke, M.K.; Tango, E.K.; Ayingweu, C.L. Dynamique de l’occupation du sol à la station forestière de l’INÉRA Kiyaka, Kwilu, République Démocratique du Congo. VertigO Rev. Électron. Sci. L’environ. 2023. [Google Scholar] [CrossRef]
- Orékan, V. Implémentation du Modèle Local CLUE-s Aux Transformations Spatiales dans le Centre Bénin Aux Moyens de Données Socio-Économiques et de Télédétection. Ph.D. Thesis, Université de Bonn, Bonn, Germany, 2007. [Google Scholar]
- Kouta, S.; Imorou, I.T. Forest landscape dynamics in the cotton basin of North Benin. Int. J. For. Anim. Fish Res. 2019, 3, 195–202. [Google Scholar] [CrossRef]
- Zakari, S.; Imorou, I.T.; Thomas, O.A.B.; Djaouga, M.; Arouna, O. Application de la Télédétection et du Sig au Suivi des Formations Végétales de la Forêt Classée des Trois Rivières au Nord-Est du Bénin. Eur. Sci. J. ESJ 2018, 14, 450. [Google Scholar] [CrossRef]
- Tyukavina, A.; Hansen, M.C.; Potapov, P.; Parker, D.; Okpa, C.; Stehman, S.V.; Kommareddy, I.; Turubanova, S. Congo Basin forest loss dominated by increasing smallholder clearing. Sci. Adv. 2018, 4. [Google Scholar] [CrossRef] [PubMed]
- Shapiro, A.C.; Bernhard, K.P.; Zenobi, S.; Müller, D.; Aguilar-Amuchastegui, N.; d’Annunzio, R. Proximate causes of forest degradation in the Democratic Republic of the Congo vary in space and time. Front. Conserv. Sci. 2021, 2, 690562. [Google Scholar] [CrossRef]
- Akkermans, T.; Van Rompaey, A.; Van Lipzig, N.; Moonen, P.; Verbist, B. Quantifying successional land cover after clearing of tropical rainforest along forest frontiers in the Congo Basin. Phys. Geogr. 2023, 34, 417–440. [Google Scholar] [CrossRef]
- Sonter, L.J.; Moran, C.J.; Barrett, D.J.; Soares-Filho, B.S. Processes of land use change in mining regions. J. Clean. Prod. 2014, 84, 494–501. [Google Scholar] [CrossRef]
- Burgi, M.; Hersperger, A.M.; Schneeberger, N. Driving forces of landscape change—Current and new directions. Landsc. Ecol. 2004, 19, 857–868. [Google Scholar] [CrossRef]
- Mangion, I. Le Futur Mécanisme REDD Face Aux Moteurs de la Déforestation et de la Dégradation des Forêts au Brésil, en Indonésie et en, R.D.C. Master’s Thesis, Université Libre de Bruxelles. Institut de Gestion de l’Environnement et d’Aménagement du Territoire, Bruxelles, Belgium, 2010; 152p. [Google Scholar]
- Benoit, M. Quelles «Mesures» Pour Quantifier la Pauvreté? Marie-Françoise Durand; Christian Lequesne. Ceriscope Pauvreté, Centre de Recherches Internationales; Atelier de Cartographie de SCIENCES Po. 2012. Available online: https://sciencespo.hal.science/hal-03393525 (accessed on 21 October 2021).
- MECNT. Synthèse des Études sur les Causes de la Déforestation et de la Dégradation des Forêts en République Démocratique du Congo; Ministère de L’Environnement Conservation de la Nature et Tourisme: Kinshasa, Democratic Republic of the Congo, 2012; 40p. [Google Scholar]
- Brockhaus, M.; Di Gregorio, M.; Mardiah, S. Governing the design of national REDD+: An analysis of the power of agency. For. Policy Econ. 2014, 49, 23–33. [Google Scholar] [CrossRef]
- de Failly, D.; Bantu, J.-M. La forêt d’Itombwe: Enjeux socio-économiques et conservation de la nature en contexte congolais. ECADIM Étude Cas Dimens. Mult. 2010, 25. [Google Scholar]
- Atangana, A.; Khasa, D.; Chang, S.; Degrande, A.; Atangana, A.; Khasa, D.; Chang, S.; Degrande, A. Definitions and classification of agroforestry systems. In Tropical Agroforestry; Springer: Berlin/Heidelberg, Germany, 2014; pp. 35–47. [Google Scholar]
- Djiongo Boukeng, E.J.; Tiencheu Avana, M.L.; Zapfack, L.; Desrochers, A.; Maaku Dzo, I.G.; Kabelong Banoho, L.P.R.; Khasa, D. Contribution of buffer zone agroforestry systems to the conservation of tree diversity in protected areas in Sudano-Sahelian zone of Cameroon, Central Africa. Agrofor. Syst. 2019, 73, 4090. [Google Scholar]






| Land Use Classes | Description |
|---|---|
| Forest | All forests, including those designated as primary, secondary, and other plantations. |
| Savannah | Includes grassy and shrubby savannahs. |
| Fields | Areas used for agricultural purposes, including fallow land. |
| Built-up and bare soil | Residential areas, roads, mining areas, and other areas not covered by vegetation. |
| Water | Consists of rivers, lakes, ponds, and temporary water bodies. |
| Water | Forest | Savannah | Fields | Built-Up and Bare Ground | Overall Accuracy | Kappa | ||||||
|---|---|---|---|---|---|---|---|---|---|---|---|---|
| Année | UA | PA | UA | PA | UA | PA | UA | PA | UA | PA | ||
| 1990 | 1 | 0.94 | 0.91 | 0.95 | 0.76 | 0.82 | 0.85 | 0.75 | 0.77 | 0.63 | 0.86 | 0.81 |
| 1995 | 1 | 1 | 0.68 | 0.86 | 0.81 | 0.79 | 0.66 | 0.72 | 1 | 0.66 | 0.80 | 0.72 |
| 2001 | 1 | 1 | 0.92 | 1 | 0.86 | 0.81 | 0.77 | 0.85 | 0.75 | 0.54 | 0.85 | 0.81 |
| 2007 | 1 | 1 | 0.85 | 1 | 0.80 | 0.73 | 0.83 | 0.93 | 0.84 | 0.68 | 0.85 | 0.80 |
| 2013 | 0.90 | 1 | 0.83 | 0.83 | 0.80 | 0.73 | 0.75 | 0.75 | 0.87 | 1 | 0.82 | 0.77 |
| 2019 | 0.90 | 1 | 0.89 | 0.89 | 0.82 | 0.77 | 0.79 | 0.87 | 0.83 | 0.78 | 0.84 | 0.79 |
| 2024 | 1 | 0.75 | 0.78 | 0.91 | 0.72 | 0.66 | 0.84 | 0.93 | 1 | 0.86 | 0.85 | 0.80 |
Disclaimer/Publisher’s Note: The statements, opinions and data contained in all publications are solely those of the individual author(s) and contributor(s) and not of MDPI and/or the editor(s). MDPI and/or the editor(s) disclaim responsibility for any injury to people or property resulting from any ideas, methods, instructions or products referred to in the content. |
© 2025 by the authors. Licensee MDPI, Basel, Switzerland. This article is an open access article distributed under the terms and conditions of the Creative Commons Attribution (CC BY) license (https://creativecommons.org/licenses/by/4.0/).
Share and Cite
Citwara, C.B.; Selemani, T.M.; Balandi, J.B.; Cirezi, N.C.; Nduwimana, A.; Kakira, L.M.; Sambieni, K.R.; Mweru, J.-P.M.; Bastin, J.-F.; Tchekote, H.; et al. The Spatiotemporal Dynamics of the Landscape of the Itombwe Nature Reserve and Its Periphery in South Kivu, the Democratic Republic of Congo. Land 2025, 14, 907. https://doi.org/10.3390/land14040907
Citwara CB, Selemani TM, Balandi JB, Cirezi NC, Nduwimana A, Kakira LM, Sambieni KR, Mweru J-PM, Bastin J-F, Tchekote H, et al. The Spatiotemporal Dynamics of the Landscape of the Itombwe Nature Reserve and Its Periphery in South Kivu, the Democratic Republic of Congo. Land. 2025; 14(4):907. https://doi.org/10.3390/land14040907
Chicago/Turabian StyleCitwara, Cléophace Bayumbasire, Trésor Mbavumoja Selemani, Julien Bwazani Balandi, Nadège Cizungu Cirezi, André Nduwimana, Léonard Mubalama Kakira, Kouagou Raoul Sambieni, Jean-Pierre Mate Mweru, Jean-François Bastin, Hervé Tchekote, and et al. 2025. "The Spatiotemporal Dynamics of the Landscape of the Itombwe Nature Reserve and Its Periphery in South Kivu, the Democratic Republic of Congo" Land 14, no. 4: 907. https://doi.org/10.3390/land14040907
APA StyleCitwara, C. B., Selemani, T. M., Balandi, J. B., Cirezi, N. C., Nduwimana, A., Kakira, L. M., Sambieni, K. R., Mweru, J.-P. M., Bastin, J.-F., Tchekote, H., & Bogaert, J. (2025). The Spatiotemporal Dynamics of the Landscape of the Itombwe Nature Reserve and Its Periphery in South Kivu, the Democratic Republic of Congo. Land, 14(4), 907. https://doi.org/10.3390/land14040907

