Abstract
The aim of this article is to study time dependent rotating single-wall electrically conducting carbon nanotubes with aqueous suspensions under the influence of nonlinear thermal radiation in a permeable medium. The impact of viscous dissipation is taken into account. The basic governing equations, which are in the form of partial differential equations (PDEs), are transformed to a set of ordinary differential equations (ODEs) suitable for transformations. The homotopy analysis method (HAM) is applied for the solution. The effect of numerous parameters on the temperature and velocity fields is explanation by graphs. Furthermore, the action of significant parameters on the mass transportation and the rates of fiction factor are determined and discussed by plots in detail. The boundary layer thickness was reduced by a greater rotation rate parameter in our established simulations. Moreover, velocity and temperature profiles decreased with increases of the unsteadiness parameter. The action of radiation phenomena acts as a source of energy to the fluid system. For a greater rotation parameter value, the thickness of the thermal boundary layer decreases. The unsteadiness parameter rises with velocity and the temperature profile decreases. Higher value of augments the strength of frictional force within a liquid motion. For greater and ; the heat transfer rate rises. Temperature profile reduces by rising values of .
1. Introduction
The recent period of technology and science has been totally affected by nanofluids, and they possess an important role in various engineering and machinery uses, like biomedical applications, detergency, transferences, industrialized cooling, microchip technology and nuclear reactions. By adding nanoparticles, mathematicians and physicists developed to a way to increase the capacity of heat transfer in the base fluid. The investigators applied advanced techniques, like in the base fluids, by adding ultra-fine solid particles. Heat transfer and single-phase higher thermal conductivity coefficients are greater in nanofluids as compared to bottom liquids. Khan [1] has examined Buongiorno’s model with heat transfer and mass for nanofluid flow. Mahdy et al. [2] have applied Buongiorno’s model for nanofluid flow with heat transfer through an unsteady contracting cylinder. Malvandi et al. [3] have described flow through a vertical annular pipe. In [4,5,6], researchers have examined the flow of nanofluids through a stretching sheet. Ellahi [7] has discussed nanofluid flow through a pipe with the MHD effect. Nanofluid flow through a cone has been deliberated by Nadeem et al. [8]. Abolbashari et al. [9] have debated entropy generation for the analytical modelling of Casson nanofluid flow. A mixture of suspended metallic nanoscale particles with a base fluid is known as a mixture of nanoparticles, the word nanofluid was invented by Choi [10]. Nanofluids were formulated for heat transport, momentum and mass transfer by Buongiorno, in order to obtain four equations of two components for non-homogeneous equilibrium models [11]. Most of the research available on the nanofluid problem is cited in works [12,13,14]. Presently, in these studies, few significant attempts have been presented for nonlinear thermal radiation [15]. Kumar et al. [15] have reported the rotating nanofluid flow problem with deliberation of dissimilar types of nanoparticles, including entropy generation to use the second law of thermodynamics. Nadeem et al. [16] have studied the inclusion of nanoparticles of titanium and copper oxide, which related to the rotating fluid flow problem. Mabood et al. [17] have studied the flow of rotating nanofluid and the impact of magnetic and heat transfer. Shah et al. [18,19] have deliberated a rotating system nanofluid flow with hall current and thermal radiation. Gireesha et al. [20] have examined a single-wall nanotube in an unsteady rotating flow with heat transfer and nonlinear thermal radiation. Currently, Ishaq et al. [21] have discussed the thermal radiation effect with respect to the entropy generation of unsteady nanofluid thin film flow on a porous stretching sheet. In the field of nanoscience, the study of the flow of fluid with nanoparticles (nanofluids) holds a great amount of attention. Nanofluids scattered with 109 nm sized materials are arranged in fluids such as nanofibers, droplets, nanoparticles, nanotubes etc. Solid phase and liquid phase are the two period systems. To augment the thermal conductivity of fluids, nanofluids can be applied, and they thrive in stable fluids, exhibiting good writing and dispersion properties on hard materials [22,23]. Sheikholeslami et al. [24,25,26] have described the significance of nanofluids in in nanotechnology. Yadav et al. [27,28,29] have deliberated nanofluids with the MHD effect by using dissimilar phenomena, further study of heat transfer enhancement, numerical simulation, stability and instability with linear and non-linear flows of nanofluid. The Darcy–Forchheimer flow of radiative carbon nanotubes (CNTs) in nanofluid in a rotating frame has been investigated by Shah et al. [30,31,32,33]. Dawar et al. [33] have studied CNTs, Casson MHD and nanofluid with radiative heat transfer in rotating channels. Khan et al. [34] have studied three-dimensional Williamson nanofluid flow over a linear stretching surface. Shah et al. [35] have described the analysis of a micropolar nanofluid flow with radiative heat and mass transfer. Khan et al. [36,37] have discussed the Darcy–Forchheimer flow of micropolar nanofluid between two plates. Shah et al. [38] have described MHD thin film flow of Williamson fluid over an unsteady permeable stretching surface. Jawad et al. [39] have investigated the Darcy–Forchheimer flow of MHD nanofluid thin film flow with Joule dissipation and Navier’s partial slip. Khan et al. [40] have investigated the slip flow of Eyring–Powell nanoliquid. Hammed et al. [41] have described a combined magnetohydrodynamic and electric field effect on an unsteady Maxwell nanofluid flow. Dawar et al. [42] have described unsteady squeezing flow of MHD CNT nanofluid in rotating channels. Khan et al. [43] have investigated the Darcy–Forchheimer flow of MHD CNT nanofluid with radiative thermal aspects. Sheikholeslami et al. [44] have investigated the uniform magnetic force impact on water based nanofluid with thermal aspects in a porous enclosure. Feroz et al. [45] have examined the entropy generation of carbon nanotube flow in a rotating channel. Alharbi et al. [46] have described entropy generation in MHD Eyring–Powell fluid flow over an unsteady oscillatory porous stretching surface with thermal radiation. Liao [47] learned in 1992 that this method was a fast way to find the approximate solution and that for the solution of nonlinear problems it was a better fit.
The main objective of this article is to investigate the augmentation of heat transfer in time dependent rotating single-wall carbon nanotubes with aqueous suspensions under the influence of nonlinear thermal radiation in a permeable medium. The impact of viscous dissipation is taken into account. For the solution, the homotopy analysis method (HAM) [48,49,50] is applied. The effect of numerous parameters on the temperature and velocity fields are explained by graphs.
2. Problem Formulation
We considered a three-dimensional time dependent electrically conducting incompressible laminar rotating flow of nanofluid. Aqueous suspensions of single-wall CNTs based on water were assumed as a nanoscale materials with a porous medium. The x, y and z variables are the Cartesian coordinates where is angular velocity of the rotating fluid, which is measured about the z-axis. The surface velocities in the x and y axes are taken as and respectively, and is the velocity in the z-axis, known as the mass flux wall velocity. The governing equations under these assumptions are taken in the form as [4,14,18]
The corresponding boundary conditions are given as
where and are the directions of the velocity components. The angular velocity of the nanofluid is denoted as , nanofluid dynamic viscosity is denoted as , the nanofluid density is denoted as , the nanofluid thermal diffusivity is denoted as , temperature of the nanofluid is denoted as , and denotes the wall and outside surface temperature, respectively.
The expression of radiative heat flux in Equation (5) is written as:
where the mean absorption coefficient is denoted by and the Stefan–Boltzman constant is denoted by . By using Equation (7) in Equation (5), this produces the following equation:
, and are interrelated with which is denoted as:
The volumetric heat capacity of the CNT and base fluid is denoted by and respectively. Nanofluid thermal conductivity is denoted as , base fluid thermal conductivity is denoted by , CNT thermal conductivity is denoted by , nanoparticle volume fraction is denoted by , the base fluid density viscosity is denoted by and CNT density is denoted by .
Similarity transformations are now introduce as:
Inserting Equation (10) in Equations (2)–(6), we have:
The boundary conditions are written as:
Here, denotes the rotation parameter and is defined as , and represents the unsteadiness parameter, defined as . is radiation parameter, defined as . is Prandtl number, defined as . represents the Eckert number, defined as . The temperature ratio parameter is denoted by and .
Physical Quantities of Interest
In the given problem, the physical quantities of interest are , and , which is denoted as:
The surface heat flux is denoted by , and and are surface shear stress, which are written as:
By the use of Equations (15) and (16), then we have:
is the Reynolds number.
3. HAM Solution
Liao [46,47] proposed the homotopy analysis technique in 1992. In order to attain this method, he used the ideas of a topology called homotopy. For the derivation he used two homotopic functions, where one of them can be continuously distorted into another. He used for binary incessant purposes and and are dual topological plane, additionally, if map from to , then is supposed to be homotopic to . If a continuous function of is produced:
So that
where is homotopic. Here, we use the HAM to solve Equations (11)–(13), consistent with the boundary restrain (14). The preliminary guesses are selected as follows:
The linear operators are denoted as , and are represented as
Which has the following applicability:
where the representation of coefficients is included in the general solution by .
The corresponding non-linear operators are sensibly selected as and and identify in the form:
For Equations (8–10), the 0th-order scheme takes the form
where the boundary constrains are:
where the embedding restriction is , to normalize for the solution convergence and are used. When and , we get:
Expanding and through Taylor’s series for ,
The boundary constrains are:
Resulting in:
where
4. Results and Discussion
In this section, we described the physical resources of the modeled problems and their impact on , , and , which are identified in Figure 1, Figure 2, Figure 3, Figure 4, Figure 5, Figure 6, Figure 7, Figure 8, Figure 9, Figure 10, Figure 11, Figure 12 and Figure 13. In Figure 1, a graphical representation of the problem is shown.
Figure 1.
The influence of the rotation parameter on when .
Figure 2.
The effect of the rotation rate parameter on when .
Figure 3.
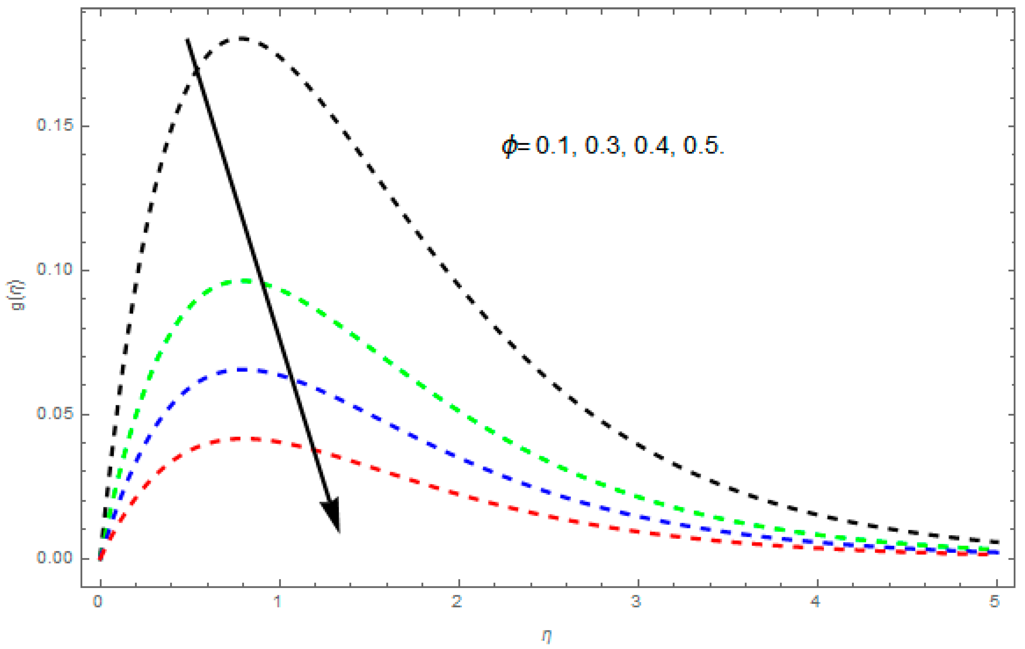
The effect of nanoparticle volume friction on when .
Figure 4.
The impact of nanoparticle volume friction on when .
Figure 5.
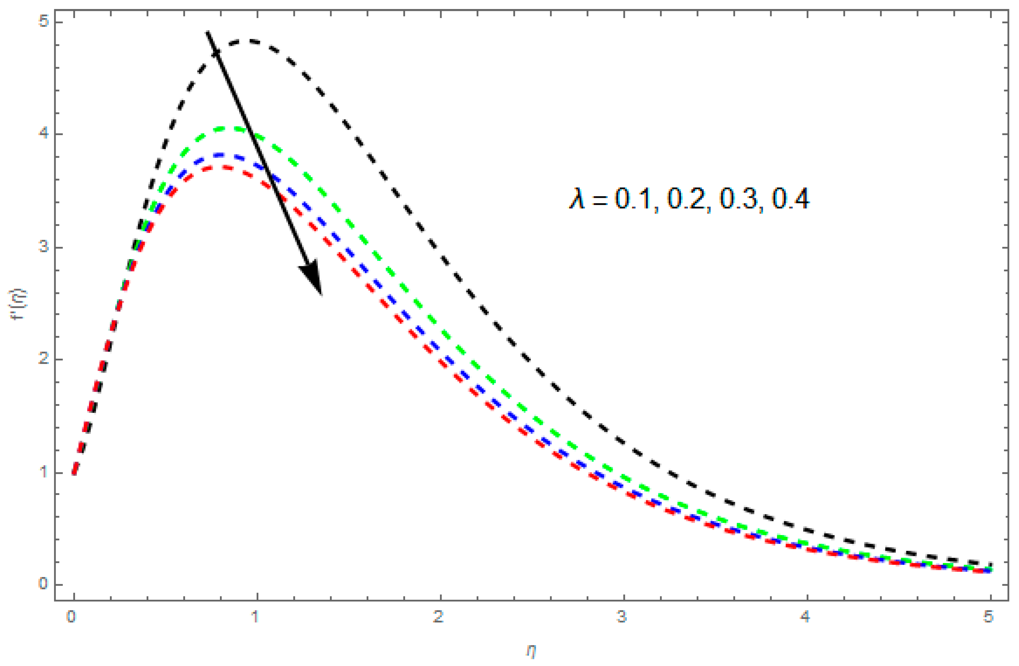
The influence of the unsteadiness parameter on when .
Figure 6.
The effect of the unsteadiness parameter on when .
Figure 7.
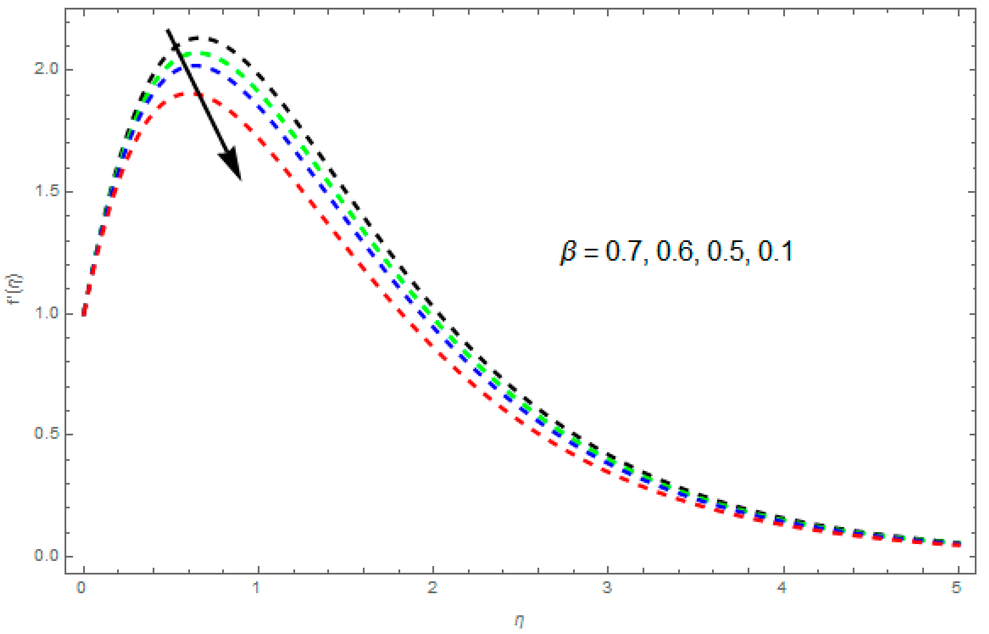
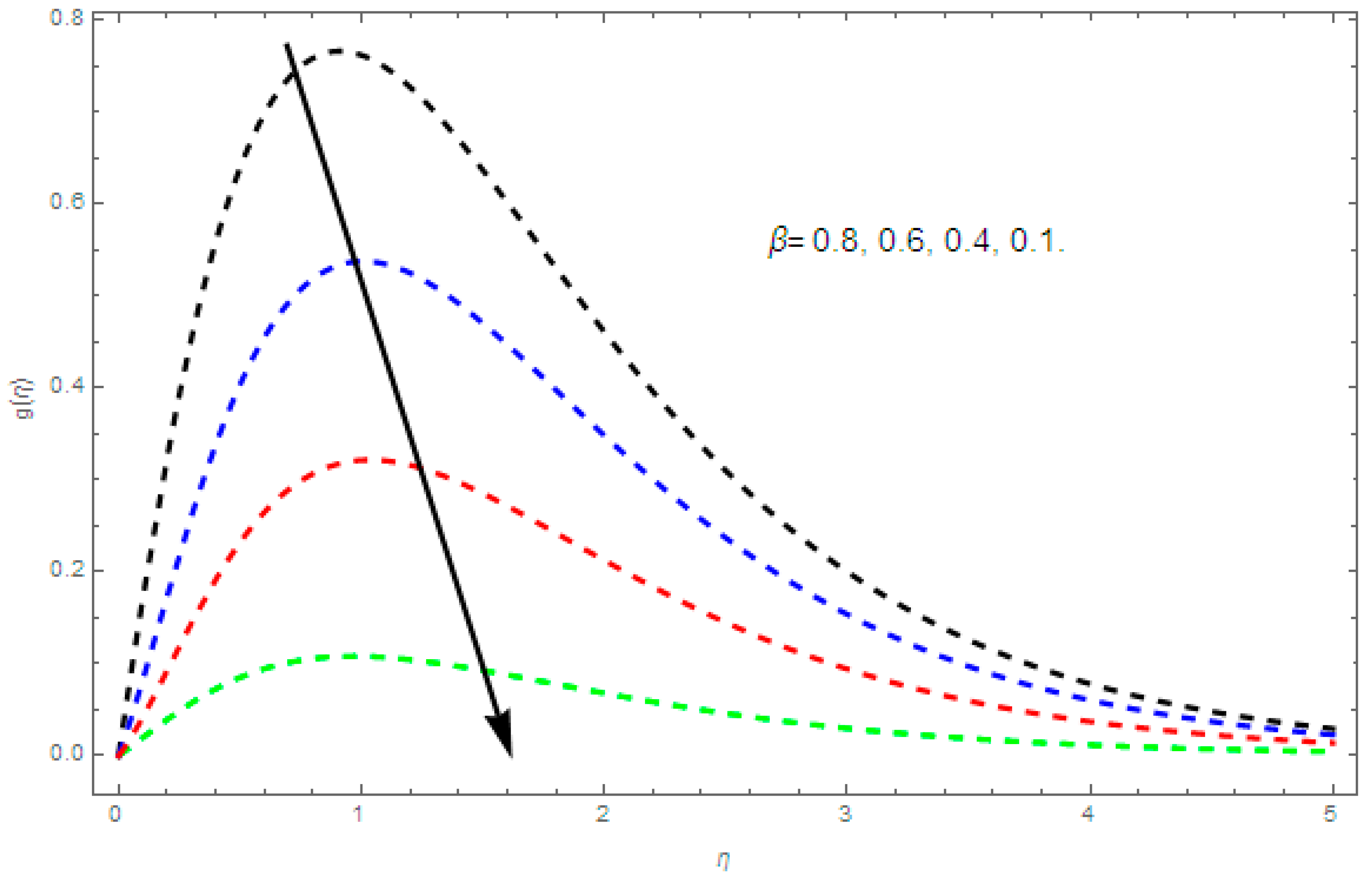
The effect of magnetic field on when .
Figure 8.
The effect of magnetic field on when .
Figure 9.
The effect of the unsteadiness parameter on when .
Figure 10.
The influence of the temperature ratio parameter on when .
Figure 11.
The influence of the radiation parameter on when .
Figure 12.
The influence of Prandtl number on when .
Figure 13.
The impact of the Eckert number on when .
4.1. Velocity Profile and
The influence of , , and on the velocity profile is presented in Figure 1, Figure 2, Figure 3, Figure 4, Figure 5, Figure 6, Figure 7 and Figure 8. The impact of on and is presented in Figure 1 and Figure 2. For greater values of , is increased. Actually, increasing the rotation parameter increases kinetic energy, which in result augmented the velocity profile. Indeed, is decreased due to a greater rotation parameter rate, as compared to the stretching rate, which had a greater rotation rate for a larger value of . Hence, the velocity field increases for larger rotation effects. Figure 3 and Figure 4 represent the influence of on the and profile. With an increase in , the velocity profile decreases. It is examined that and decrease uniformly in nanofluids with a rise in . This is due to the detail that an increase in the increases the density of the nanofluid and this results in equally slowing the fluid and profiles. Figure 5 and Figure 6 describe the effect of on and . It is defined in the figures that with increases in λ, the velocity profiles decrease consistently. It is also indicated from the figures that the velocity profiles intensify for rising , while we can examine an opposing influence of on and inside the nanofluid and in the thickness of the layer. Figure 7 and Figure 8 represent the influence of on and . With increases in , the velocity profiles of fluid film decrease consistently. It was also detected that a rise in resulted in a decrease in the fluid profiles and of the nanofluid, as well as for the layer thickness. The purpose behind such an influence of is for the stimulation of a delaying body force, stated as Lorentz force, due to the presence of in an electrically conducting nanofluid layer. Since suggests the ratio of hydromagnetic body force and viscous force, a larger value of specifies a stronger hydromagnetic body force, which has a trend to slow the fluid flow.
4.2. Temperature Profile
The impact of on physical parameters , , , and is defined in Figure 9, Figure 10, Figure 11, Figure 12 and Figure 13. Figure 9 represent the impact of λ on the profile. Figure 9 represents that the increase in the λ momentum boundary layer thickness decreases. Figure 10 and Figure 11 disclosed the responses of for and . The influence of on is presented in Figure 11. By increasing , the temperature of the nanofluid boundary layer area is increased. It is observed in Figure 11 that is augmented with a rise in the . An enhanced parameter leads to a release of heat energy in the flow direction, therefore the fluid is increased. Graphical representation identifies that is increased when we increase the ratio strength and thermal radiation temperature. The impact of on is given in Figure 12, where decreases with large value of and for smaller value increases. The variation of for the variation of is illustrated such that specifies the ratio of momentum diffusivity to thermal diffusivity. It is realized that is reduced with a rising . Moreover, by suddenly rising , the thermal boundary layer thickness decreases. Figure 13 identifies that for increasing , the attainment is enlarged, which supports the physics. By increasing , the heat stored in the liquid is dissipated, due to the enhanced temperature, whereas increases with increasing values of the Eckert number and the thermal boundary layer thickness of the nanofluid becomes larger.
4.3. Table Discussion
The effect of skin friction in the x and y directions is shown in Table 1, due to change of parameters and . We can see in Table 1 that the skin friction coefficient rises with rising values of and . The skin friction coefficient decreases with increasing values of , as shown in Table 1. The impact of and on are calculated numerically. It was detected that a higher value of and increases the heat flux, while a higher value of and decreases it, as shown in Table 2. Some physical properties of CNTs are shown in Table 3 and Table 4.
Table 1.
Skin friction versus various values of embedded parameters.
Table 2.
Nusslet number versus various values of embedded parameters.
Table 3.
Thermophysical properties of different base fluids and carbon nanotubes (CNTs).
Table 4.
Variation of thermal conductivities of CNT nanofluids with the diameter of CNTs.
5. Conclusions
Exploration on nanoparticle presentation has established more deliberation in mechanical and industrial engineering, due to the probable uses of nanoparticles in cooling devices to produce an increase in continuous phase fluid thermal performance. The radiation phenomena acts as a source of energy to the fluid system. In this research, the time dependent rotating single-wall electrically conducting carbon nanotubes with aqueous suspensions under the influence of nonlinear thermal radiation in a permeable medium was investigated. The basic governing equations, in the form of partial differential equations (PDEs), were transformed into to a set of ordinary differential equations (ODEs) suitable for transformations. The optimal approach was used for the solution. The main concluding points are given below:
- The thermal boundary layer thickness is reduced by a greater rotation rate parameter.
- Velocity and temperature profile decrease due to increases in the unsteadiness parameter.
- A greater increases the asset of frictional force within a fluid motion.
- The heat transfer rate rises for greater and values.
- The skin friction coefficient increases with increasing values of and .
- A greater value of and increases the heat flux, while a greater value of and decreases it.
- By enhancing , is reduced.
Author Contributions
M.J. and Z.S. modeled the problem and wrote the manuscript. S.I., I.T. and I.K. thoroughly checked the mathematical modeling and English corrections. W.K. and Z.S. solved the problem using Mathematica software. M.J., J.M. and I.T. contributed to the results and discussions. All authors finalized the manuscript after its internal evaluation.
Acknowledgments
The fourth author would like to thank Deanship of Scientific Research, Majmaah University for supporting this work under the Project Number No 1440-43.
Conflicts of Interest
The authors declare no conflict of interest.
References
- Khan, W.A. Buongiorno model for nanofluid Blasius flow with surface heat and mass fluxes. J. Thermophys. Heat Transf. 2013, 27, 134–141. [Google Scholar] [CrossRef]
- Mahdy, A.; Chamkha, A. Heat transfer and fluid flow of a non-Newtonian nano fluid over an unsteady contracting cylinder employing Buongiorno’smodel. Int. J. Numer. Method Heat Fluid Flow 2015, 25, 703–723. [Google Scholar] [CrossRef]
- Malvandi, A.; Moshizi, S.A.; Soltani, E.G.; Ganji, D.D. Modified Buongiorno’s model for fully developed mixed convection flow of nanofluids in a vertical annular pipe. Comput. Fluids 2014, 89, 124–132. [Google Scholar] [CrossRef]
- Hayat, T.; Ashraf, M.B.; Shehzad, S.A.; Abouelmaged, E.I. Three dimensional flow of Erying powell nanofluid over an exponentially stretching sheet. Int. J. Numer. Method Heat Fluid Flow 2015, 25, 333–357. [Google Scholar] [CrossRef]
- Nadeem, S.; Haq, R.U.; Akbar, N.S.; Lee, C.; Khan, Z.H. Numerical study of boundary layer flow and heat transfer of Oldroyed-B nanofluid towards a stretching sheet. PLoS ONE 2013, 8, e69811. [Google Scholar] [CrossRef] [PubMed]
- Rosmila, A.B.; Kandasamy, R.; Muhaimin, I. Lie symmetry groups transformation for MHD natural convection flow of nanofluid over linearly porous stretching sheet in presence of thermal stratification. Appl. Math. Mech. Engl. Ed. 2012, 33, 593–604. [Google Scholar] [CrossRef]
- Ellahi, R. The effects of MHD an temperature dependent viscosity on the flow of non-Newtonian nanofluid in a pipe analytical solutions. Appl. Math. Model. 2013, 37, 1451–1467. [Google Scholar] [CrossRef]
- Nadeem, S.; Saleem, S. Series solution of unsteady Erying Powell nanofluid flow on a rotating cone. Indian J. Pure Appl. Phys. 2014, 52, 725–737. [Google Scholar]
- Abolbashari, M.H.; Freidoonimehr, N.; Rashidi, M.M. Analytical modeling of entropy generation for Casson nano-fluid flow induced by a stretching surface. Adv. Powder Technol. 2015, 6, 542–552. [Google Scholar] [CrossRef]
- Choi, S.U.S.; Siginer, D.A.; Wang, H.P. Enhancing thermal conductivity of fluids with nanoparticle developments and applications of non-Newtonian flows. ASME N. Y. 1995, 66, 99–105. [Google Scholar]
- Buongiorno, J. Convective transport in nanofluids. ASME J Heat Transf. 2005, 128, 240–250. [Google Scholar] [CrossRef]
- Kumar, K.G.; Rudraswamy, N.G.; Gireesha, B.J.; Krishnamurthy, M.R. Influence of nonlinear thermal radiation and viscous dissipation on three-dimensional flow of Jeffrey nanofluid over a stretching sheet in the presence of Joule heating. Nonlinear Eng. 2017, 6, 207–219. [Google Scholar]
- Rudraswamy, N.G.; Shehzad, S.A.; Kumar, K.G.; Gireesha, B.J. Numerical analysis of MHD three-dimensional Carreau nanoliquid flow over bidirectionally moving surface. J. Braz. Soc. Mech. Sci. Eng. 2017, 23, 5037–5047. [Google Scholar] [CrossRef]
- Gireesha, B.J.; Kumar, K.G.; Ramesh, G.K.; Prasannakumara, B.C. Nonlinear convective heat and mass transfer of Oldroyd-B nanofluid over a stretching sheet in the presence of uniform heat source/sink. Results Phys. 2018, 9, 1555–1563. [Google Scholar] [CrossRef]
- Kumar, K.G.; Gireesha, B.J.; Manjunatha, S.; Rudraswamy, N.G. Effect of nonlinear thermal radiation on double-diffusive mixed convection boundary layer flow of viscoelastic nanofluid over a stretching sheet. IJMME 2017, 12, 18. [Google Scholar]
- Nadeem, S.; Rehman, A.U.; Mehmood, R. Boundary layer flow of rotating two phase nanofluid over a stretching surface. Heat Transf. Asian Res. 2016, 45, 285–298. [Google Scholar] [CrossRef]
- Mabood, F.; Ibrahim, S.M.; Khan, W.A. Framing the features of Brownian motion and thermophoresis on radiative nanofluid flow past a rotating stretching sheet with magnetohydrodynamics. Results Phys. 2016, 6, 1015–1023. [Google Scholar] [CrossRef]
- Shah, Z.; Islam, S.; Gul, T.; Bonyah, E.; Khan, M.A. The electrical MHD and hall current impact on micropolar nanofluid flow between rotating parallel plates. Results Phys. 2018, 9, 1201–1214. [Google Scholar] [CrossRef]
- Shah, Z.; Gul, T.; Khan, A.M.; Ali, I.; Islam, S. Effects of hall current on steady three dimensional non-newtonian nanofluid in a rotating frame with brownian motion and thermophoresis effects. J. Eng. Technol. 2017, 6, 280–296. [Google Scholar]
- Gireesha, B.J.; Ganesh, K.; Krishanamurthy, M.R.; Rudraswamy, N.G. Enhancement of heat transfer in an unsteady rotating flow for the aqueous suspensions of single wall nanotubes under nonlinear thermal radiation. Numer. Study 2018. [Google Scholar] [CrossRef]
- Ishaq, M.; Ali, G.; Shah, Z.; Islam, S.; Muhammad, S. Entropy Generation on Nanofluid Thin Film Flow of Eyring–Powell Fluid with Thermal Radiation and MHD Effect on an Unsteady Porous Stretching Sheet. Entropy 2018, 20, 412. [Google Scholar] [CrossRef]
- Sarit, K.D.; Stephen, U.S.; Choi Wenhua, Y.U.; Pradeep, T. Nanofluids Science and Technology; Wiley-Interscience: New Your, NY, USA, 2007; Volume 397. [Google Scholar]
- Wong, K.F.V.; Leon, O.D. Applications of nanofluids: Current and future. Adv. Mech. Eng. 2010, 2, 519659. [Google Scholar] [CrossRef]
- Sheikholeslami, M.; Haq, R.L.; Shafee, A.; Zhixiong, L. Heat transfer behavior of Nanoparticle enhanced PCM solidification through an enclosure with V shaped fins. Int. J. Heat Mass Transf. 2019, 130, 1322–1342. [Google Scholar] [CrossRef]
- Sheikholeslami, M.; Gerdroodbary, M.B.; Moradi, R.; Shafee, A.; Zhixiong, L. Application of Neural Network for estimation of heat transfer treatment of Al2O3-H2O nanofluid through a channel. Comput. Methods Appl. Mech. Eng. 2019, 344, 1–12. [Google Scholar] [CrossRef]
- Sheikholeslami, M.; Mehryan, S.A.M.; Shafee, A.; Sheremet, M.A. Variable magnetic forces impact on Magnetizable hybrid nanofluid heat transfer through a circular cavity. J. Mol. Liquids 2019, 277, 388–396. [Google Scholar] [CrossRef]
- Yadav, D.; Lee, D.; Cho, H.H.; Lee, J. The onset of double-diffusive nanofluid convection in a rotating porous medium layer with thermal conductivity and viscosity variation: A revised model. J. Porous Media 2016, 19, 31–46. [Google Scholar] [CrossRef]
- Yadav, D.; Nam, D.; Lee, J. The onset of transient Soret-driven MHD convection confined within a Hele-Shaw cell with nanoparticles suspension. J. Taiwan Inst. Chem. Eng. 2016, 58, 235–244. [Google Scholar] [CrossRef]
- Yadav, D.; Lee, J. The onset of MHD nanofluid convection with Hall current effect. Eur. Phys. J. Plus 2015, 130, 162–184. [Google Scholar] [CrossRef]
- Shah, Z.; Dawar, A.; Islam, S.; Khan, I.; Ching, D.L.C. Darcy-Forchheimer Flow of Radiative Carbon Nanotubes with Microstructure and Inertial Characteristics in the Rotating Frame. Case Stud. Therm. Eng. 2018, 12, 823–832. [Google Scholar] [CrossRef]
- Shah, Z.; Bonyah, E.; Islam, S.; Gul, T. Impact of thermal radiation on electrical mhd rotating flow of carbon nanotubes over a stretching sheet. AIP Adv. 2019, 9, 015115. [Google Scholar] [CrossRef]
- Shah, Z.; Dawar, A.; Islam, S.; Khan, I.; Ching, D.L.C.; Khan, Z.A. Cattaneo-Christov model for Electrical MagnetiteMicropoler Casson Ferrofluid over a stretching/shrinking sheet using effective thermal conductivity model. Case Stud. Therm. Eng. 2018. [Google Scholar] [CrossRef]
- Dawar, A.; Shah, Z.; Islam, S.; Idress, M.; Khan, W. Magnetohydrodynamic CNTs Casson Nanofl uid and Radiative heat transfer in a Rotating Channels. J. Phys. Res. Appl. 2018, 1, 017–032. [Google Scholar]
- Khan, A.S.; Nie, Y.; Shah, Z.; Dawar, A.; Khan, W.; Islam, S. Three-Dimensional Nanofluid Flow with Heat and Mass Transfer Analysis over a Linear Stretching Surface with Convective Boundary Conditions. Appl. Sci. 2018, 8, 2244. [Google Scholar] [CrossRef]
- Shah, Z.; Islam, S.; Ayaz, H.; Khan, S. Radiative Heat and Mass Transfer Analysis of Micropolar Nanofluid Flow of Casson Fluid between Two Rotating Parallel Plates with Effects of Hall Current. ASME J. Heat Transf. 2019, 141, 022401. [Google Scholar] [CrossRef]
- Khan, A.; Shah, Z.; Islam, S.; Khan, S.; Khan, W.; Khan, Z.A. Darcy–Forchheimer flow of micropolar nanofluid between two plates in the rotating frame with non-uniform heat generation/absorption. Adv. Mech. Eng. 2018, 10, 1687814018808850. [Google Scholar] [CrossRef]
- Shah, Z.; Bonyah, E.; Islam, S.; Khan, W.; Ishaq, M. Radiative MHD thin film flow of Williamson fluid over an unsteady permeable stretching. Heliyon 2018, 4, e00825. [Google Scholar] [CrossRef] [PubMed]
- Jawad, M.; Shah, Z.; Islam, S.; Islam, S.; Bonyah, E.; Khan, Z.A. Darcy-Forchheimer flow of MHD nanofluid thin film flow with Joule dissipation and Navier’s partial slip. J. Phys. Commun. 2018. [Google Scholar] [CrossRef]
- Khan, N.; Zuhra, S.; Shah, Z.; Bonyah, E.; Khan, W.; Islam, S. Slip flow of Eyring-Powell nanoliquid film containing graphene nanoparticles. AIP Adv. 2018, 8, 115302. [Google Scholar] [CrossRef]
- Hammed, K.; Haneef, M.; Shah, Z.; Islam, I.; Khan, W.; Asif, S.M. The Combined Magneto hydrodynamic and electric field effect on an unsteady Maxwell nanofluid Flow over a Stretching Surface under the Influence of Variable Heat and Thermal Radiation. Appl. Sci. 2018, 8, 160. [Google Scholar] [CrossRef]
- Dawar, A.; Shah, Z.; Khan, W.; Idrees, M.; Islam, S. Unsteady squeezing flow of MHD CNTS nanofluid in rotating channels with Entropy generation and viscous Dissipation. Adv. Mech. Eng. 2019, 10, 1–18. [Google Scholar] [CrossRef]
- Khan, A.; Shah, Z.; Islam, S.; Dawar, A.; Bonyah, E.; Ullah, H.; Khan, Z.A. Darcy-Forchheimer flow of MHD CNTs nanofluid radiative thermal behaviour andconvective non uniform heat source/sink in the rotating frame with microstructureand inertial characteristics. AIP Adv. 2018, 8, 125024. [Google Scholar] [CrossRef]
- Sheikholeslami, M.; Shah, Z.; Shafi, A.; Khan, I.; Itili, I. Uniform magnetic force impact on water based nanofluid thermal behavior in a porous enclosure with ellipse shaped obstacle. Sci. Rep. 2019. [CrossRef]
- Feroz, N.; Shah, Z.; Islam, S.; Alzahrani, E.O.; Khan, W. Entropy Generation of Carbon Nanotubes Flow in a Rotating Channel with Hall and Ion-Slip Effect Using Effective Thermal Conductivity Model. Entropy 2019, 21, 52. [Google Scholar] [CrossRef]
- Alharbi, S.O.; Dawar, A.; Shah, Z.; Khan, W.; Idrees, M.; Islam, S.; Khan, I. Entropy Generation in MHD Eyring–Powell Fluid Flow over an Unsteady Oscillatory Porous Stretching Surface under the Impact of Thermal Radiation and Heat Source/Sink. Appl. Sci. 2018, 8, 2588. [Google Scholar] [CrossRef]
- Liao, S.J. On Homotopy Analysis Method for Nonlinear Problems. Appl. Math. Comput. 2004, 147, 499–513. [Google Scholar] [CrossRef]
- Nasir, N.; Shah, Z.; Islam, S.; Bonyah, E.; Gul, T. Darcy Forchheimer nanofluid thin film flow of SWCNTs and heat transfer analysis over an unsteady stretching sheet. AIP Adv. 2019, 9, 015223. [Google Scholar] [CrossRef]
- Tlili, I.; Khan, W.A.; Khan, I. Multiple slips effects on MHD SA-Al2O3 and SA-Cu non-Newtonian nanofluids flow over a stretching cylinder in porous medium with radiation and chemical reaction. Results Phys. 2018, 8, 213–221. [Google Scholar] [CrossRef]
- Khan, N.S.; Shah, Z.; Islam, S.; Khan, I.; Alkanhal, T.A.; Tlili, I. Entropy Generation in MHD Mixed Convection Non-Newtonian Second-Grade Nanoliquid Thin Film Flow through a Porous Medium with Chemical Reaction and Stratification. Entropy 2019, 21, 139. [Google Scholar] [CrossRef]
- Fiza, M.; Islam, S.; Ullah, H.; Shah, Z.; Chohan, F. An Asymptotic Method with Applications to Nonlinear Coupled Partial Differential Equations. Punjab Univ. J. Math. 2018, 50, 139–151. [Google Scholar]
© 2019 by the authors. Licensee MDPI, Basel, Switzerland. This article is an open access article distributed under the terms and conditions of the Creative Commons Attribution (CC BY) license (http://creativecommons.org/licenses/by/4.0/).












