Abstract
This article applies the homotopy perturbation transform technique to analyze fractional-order nonlinear fifth-order Korteweg–de-Vries-type (KdV-type)/Kawahara-type equations. This method combines the Zain Ul Abadin Zafar-transform (ZZ-T) and the homotopy perturbation technique (HPT) to show the validation and efficiency of this technique to investigate three examples. It is also shown that the fractional and integer-order solutions have closed contact with the exact result. The suggested technique is found to be reliable, efficient, and straightforward to use for many related models of engineering and several branches of science, such as modeling nonlinear waves in different plasma models.
1. Introduction
Fractional calculus was started in Newton’s period, but recently it has captured the interest of numerous researchers. For the last thirty decades, many interesting and significant steps in applied science have been discovered within the structure of fractional calculus. Because of the intricacy associated with a heterogeneous phenomenon, the fractional derivative was invented [1,2]. Fractional derivative operators are sufficient to capture the attitudes of multidimensional media since they have diffusion procedures. This has been a useful tool, and differential equations of any order can show numerous problems more quickly and accurately. Due to the increased use of mathematical methods that use computer software, many scholars have begun to work on generalized calculus to convey their viewpoints while investigating various complicated phenomena [3,4,5]. Plasma is a multifaceted, quasi-neutral, electrically conducting fluid. It is made up of electrons, ions, and non-magnetic particles. Plasma has electric and magnetic fields as a result of its electrical conductive nature. Plasma can support several types of waves due to particle–field interactions. Wave phenomena are significant in plasma heating, instabilities, and diagnostics, among other things. A magneto-sonic wave is a dispersion-free, longitudinal wave of ions in a magnetized plasma that propagates perpendicular to the stationary magnetic field. In the presence of a low magnetic field, the magneto-acoustic wave behaves like an ion-acoustic wave, and in the presence of a low temperature, the magneto-acoustic wave behaves like an Alfven wave. Magneto-acoustic waves have been discovered in the solar corona.
Nonlinear effects are observed in a wide variety of applied sciences, including particle physics, mathematical biology, quantum optics, quantum field theory, physical chemistry, thermodynamics, fluid mechanics, plasma physics, etc. Nonlinear partial differential equations (PDEs) of various higher orders are used to model these processes. PDEs are frequently used to describe physical processes [6,7,8,9,10]. The nonlinear nature of the majority of fundamental physical systems remains concealed. It may be impossible to determine the exact outcome of such nonlinear events. This phenomenon can be examined solely with the application of helpful tools for solving these nonlinear schemes [11,12,13,14,15,16,17].
In 1895, Korteweg and De Vries developed a Korteweg–De-Vries (KdV) equation that could be used to explain Russell’s soliton phenomenon, such as huge and small waves in water and plasma. Solitons are steady solitary waves, which mean that these solitary waves are particles. The KdV equation and some higher-order nonlinearity-related equations are analyzed for researching dispersive wave processes in different research areas, such as fluid dynamics, quantum mechanics, plasma physics, optics, etc. [18,19,20,21,22,23,24,25]. There is another family to the KdV equation, but with higher-order dispersion and nonlinearity, which is called a fifth-order KdV-type (sometimes called Kawahara-type) equation utilized to investigate many nonlinear particle physics phenomena, especially in plasma physics. This family of higher-order dispersion and nonlinearity is effective and important for describing nonlinear waves in many nonlinear and dispersive media such as the physics of plasmas [26,27,28,29,30,31,32]. Researchers have examined the KdV-type model and found that it has dispersive terms of the 3rd and 5th order that are important to the acoustic waves in a plasma [27,28,29,30]. Dispersive terms appear near the critical angle of propagation [27]. Motivated by theoretical studies and satellite observations of nonlinear waves that propagate in different plasma models, we will focus in this work on finding some solutions for the family of fifth-order KdV-type equations in order to understand the mechanisms of propagation of these waves in different plasma systems [27,28,29,30,33,34].
This is the general model for studying magnetic properties, which includes waves in shallow water and acoustic waves in different plasma models with surface tension. The fifth-order KdV equation is used to describe this model. Researchers have recently analyzed that the solutions of the traveling waves of this equation do not vanish at infinity [35,36]. Consider the three well-known types of the 5th-order KdV equations as [37,38]:
with initial condition ,
with initial condition ,
with initial condition .
Equations (1) and (2) called fifth-order KdV equations and Equation (3) is called the Kawahara equation. The analytical approaches to these physical problems are very difficult to find since they are extremely nonlinear. In the last decade, several researchers have applied different analytical and computational techniques to solving linear and nonlinear KdV equations, such as the variational iteration method [38], multi-symplectic method [39], exp-function method [40], and He’s homotopy perturbation method [41].
The homotopy perturbation method is combined with the ZZ-transform method to provide a good way of dealing with nonlinear terms. This method is called the homotopy perturbation transform method (HPTM). This method can facilitate obtaining the result quickly in convergent series, which leads to a closed form of the solution. The use of He’s polynomials in nonlinear terms was first presented by Ghorbani [42,43,44]. Later on, numerous investigators utilized the homotopy perturbation transform methodology for linear and nonlinear differential equations such as Navier–Stokes equations [45], heat-like equations [46], the gas dynamic equation [47], the hyperbolic equation, and Fisher’s equation [48].
2. Preliminaries
Definition 1.
The set of functions of the Aboodh transformation is obtained as
and is expressed as [49,50]
Theorem 1.
Now let us regard F and G as the Laplace and Aboodh transformations of , then [51,52]
Zain Ul Abadin Zafar [53] was the first to introduce the ZZ transformation. It combined the integral transformations of Aboodh and Laplace. The ZZ transformation is defined in the following.
Definition 2.
(ZZ Transformation) Assume that is a function, then the ZZ transform of is expressed as [53]
The ZZ transform is linear, just like the Laplace and Aboodh transformations. The Mittag–Leffler function (MLF) is a function that is defined as an extension of the exponential function.
Definition 3.
The Atangana–Baleanu–Caputo derivative of a function , then for , it is defined as [54]
Definition 4.
Let the Atangana–Baleanu Riemann–Liouville derivative , then for , it is given as [54]
where with the conditions , is a function and .
Theorem 2.
The Laplace transformation of the Atangana–Baleanu–Caputo and Atangana–Baleanu Riemann–Liouville derivative are, respectively, defined as [54]
and
The following theorems have been proposed, with the assumption that and .
Theorem 3.
The Aboodh transformation of the Atangana–Baleanu Riemann–Liouville derivative is defined as [52]
Proof.
We arrive at the needed solution using Theorem 1 and Equation (6). In the theorem below, the relationship between the transformations of ZZ and Aboodh is defined. □
Theorem 4.
The Aboodh transformation of the Atangana–Baleanu–Caputo operator is defined as [52]
Proof.
We may find the desired solution by using Theorem and Equation (5). □
Theorem 5.
If and are the ZZ and Aboodh transformations of , then we achieve [52]
Proof.
Using the transformation definition, we obtain
Putting in Equation (9) we obtain
Theorem 6.
transformation of is defined as
Theorem 7.
Let and , then the transformation of is defined as [52]
Proof.
We know that the Aboodh transformation of is defined as
So,
Applying Theorem 6, we achieve
□
Theorem 8.
If and are the ZZ and Aboodh transformations of , then the ZZ transform of the Atangana–Baleanu–Caputo derivative is defined as [52]
Proof.
Therefore, the transformation of Atangana–Baleanu–Caputo is given as
□
Theorem 9.
Let us suppose that and are the ZZ and Aboodh transformations of . Then the ZZ transformation of the Atangana–Baleanu Riemann–Liouville derivative is defined as [52]
3. Basic Concept of the Suggested Method
Here, we suggest the arbitrary-order differential equation in order to show the fundamental solution method.
Using the ZZ transform of Equation (21), we obtain
Now, applying the inverse ZZ transform, we obtain
where
Now, the perturbation technique is described in terms of a power series with parameter p.
where p is the perturbation parameter and .
The non-linear term can be defined as
where are He’s polynomials in terms of and can be calculated as
where
Both sides have a comparison coefficient of p, and we have
The component can be determined easily, which quickly leads us to the convergent series. We can obtain
4. Numerical Implementations
This section uses HPTM to analyze magnetic-acoustic plasma waves in the nonlinear fifth-order model KdV equations.
Example 1.
Firstly, the following nonlinear fifth-order KdV equation is considered
with the initial condition
Using the ZZ transformation on Equation (31), we obtain
Next, applying the inverse of the ZZ transformation of Equation (33),
Now, we apply HPM
In Equation (34), represents the non-linear terms of He’s polynomial. He’s polynomials of the first few components are presented by
Comparing the P-like coefficient, we obtain
Therefore, the approximate result of is given by
Then, with put into Equation (35)
As , this series has the closed form , which is an exact result of the given Korteweg–de Vries Equation (31) for standard value and this solution is closed, in agreement with Goswami et al. [16].
In Figure 1, the 3-dimensional graphs of actual and HPTM results are shown in Figure 1a and Figure 1b, respectively, at , and the close relation of the HPTM and exact results is studied. In Figure 2, we show different fractional-orders of HPTM solutions at . The fractional outcomes are examined to be convergent to an integer-order solution of the model.
Figure 1.
(a) Figure of actual and (b) numerical solution of of Example 1.
Figure 2.
Graph of different fractional-orders of Example 1.
Example 2.
The following nonlinear fifth-order KdV equation is considered
with the initial condition
Using the ZZ transformation on Equation (36), we obtain
Next, applying the inverse of the ZZ transformation of Equation (38),
Now, we apply HPM
In Equation (39), represents the non-linear terms of He’s polynomial. He’s polynomials of the first few components are presented by
Comparing the P-like coefficient, we obtain
Therefore, the approximate result of is given by
Then, with for Equation (40), we obtain
As , this series has the closed form , which is an exact result of the given KdV Equation (36) for standard value , and this solution is closed in agreement with Goswami et al. [16].
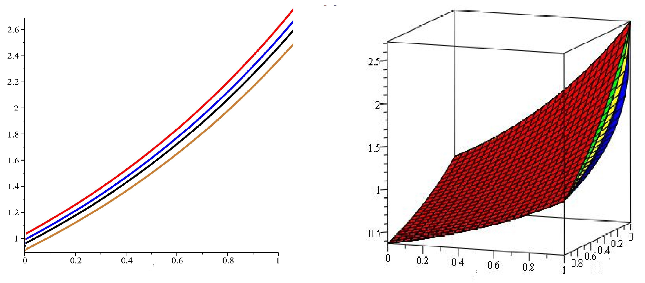
In Figure 3, the 3-dimensional graphs of the actual and HPTM results are shown in Figure 3a and Figure 3b, respectively, at , and the close relation of the HPTM and exact results is studied. In Figure 4, we show different fractional-orders of HPTM solutions at . The fractional outcomes are examined to be convergent to an integer-order solution of the model.
Figure 3.
(a) Figure of actual and (b) numerical solution of of Example 2.
Figure 4.
The first graph of two dimensions and second graph of three dimensions of different fractional-orders of Example 2.
Example 3.
Consider the following non-linear Kawahara equation
with the initial condition
Using the ZZ transformation on Equation (41), we obtain
Next, applying the inverse of ZZ transformation of Equation (43)
Now, we apply HPM
In Equation (44), represents the non-linear terms of He’s polynomial. He’s polynomials of the first few components are presented by
Comparing the P-like coefficient, we obtain
Therefore, the approximate result is obtained by
As , this series has the closed form , which is an exact result of the given non-linear Kawahara Equation (41) for standard value , and this solution is closed in agreement with Goswami et al. [16].
In Figure 5, the 3-dimensional graphs of actual and HPTM results are shown in Figure 5a and Figure 5b, respectively, at , and the close relation of the HPTM and exact results is studied. In Figure 6, (a) we show different fractional-orders of HPTM solutions at and (b) show that the error plot. The fractional outcomes are examined to be convergent to an integer-order solution of the model.
Figure 5.
(a) Figure of actual and (b) numerical solution of of Example 3.
Figure 6.
(a) The first graph shows different fractional orders of ℘ and the (b) second graph shows the error plot of Example 3.
5. Conclusions
This article evaluated the fractional-order fifth-order KdV/Kawahara-type equations, using the HPTM. The results for particular examples were explained by applying the current method. The HPTM result is in close relation with the exact result of the proposed problems. The suggested method also calculated the results of the examples with the fractional-order derivatives. Graphical investigation of the fractional-order results obtained confirmed the convergence towards integer-order results. Moreover, the HPTM technique is straightforward, simple, and carries less computational cost; the proposed method can be modified to solve other fractional-order partial differential equations. This investigation could help researchers to gain a deep understanding of the mechanisms of generation and propagation of nonlinear waves in different plasma systems in addition to the various fields of science. The methods used in this study can also be used for analyzing both the modified Kawahara equation and the Gardner–Kawahara equation, which are used for describing the nonlinear structures in a critical plasma composition and near a critical plasma composition, respectively.
Author Contributions
Data curation, N.A.S.; Formal analysis, S.A.E.-T. and R.S.; Methodology, H.A.A.; Project administration, J.D.C.; Software, R.S.; Supervision, J.D.C.; Writing and original draft, N.A.S. and R.S.; Writing, review and editing, S.A.E.-T. and J.D.C. All authors have read and agreed to the published version of the manuscript.
Funding
Not applicable.
Institutional Review Board Statement
Not applicable.
Informed Consent Statement
Not applicable.
Data Availability Statement
No data were used to support this study.
Acknowledgments
The authors express their gratitude to Princess Nourah bint Abdulrahman University Researchers Supporting Project (Grant No. PNURSP2022R17), Princess Nourah bint Abdulrahman University, Riyadh, Saudi Arabia. This research was supported by Basic Science Research Program through the National Research Foundation of Korea (NRF) funded by the Ministry of Education (No. 2017R1D1A1B05030422)).
Conflicts of Interest
The authors declare no conflict of interest.
References
- Baleanu, D.; Fernandez, A. On fractional operators and their classifications. Mathematics 2019, 7, 830. [Google Scholar] [CrossRef] [Green Version]
- Sunthrayuth, P.; Zidan, A.; Yao, S.; Shah, R.; Inc, M. The Comparative Study for Solving Fractional-Order Fornberg–Whitham Equation via ρ-Laplace Transform. Symmetry 2021, 13, 784. [Google Scholar] [CrossRef]
- Khader, M.M.; Saad, K.M. Numerical studies of the fractional Korteweg-de Vries, Korteweg-de Vries-Burgers and Burgers equations. Proc. Natl. Acad. Sci. India Sect. Phys. Sci. 2021, 91, 67–77. [Google Scholar] [CrossRef]
- Khader, M.M.; Saad, K.M.; Hammouch, Z.; Baleanu, D. A spectral collocation method for solving fractional KdV and KdV-Burgers equations with non-singular kernel derivatives. Appl. Numer. Math. 2021, 161, 137–146. [Google Scholar] [CrossRef]
- Saad, K.M.; AL-Shareef, E.H.; Alomari, A.K.; Baleanu, D.; Gomez-Aguilar, J.F. On exact solutions for time-fractional Korteweg-de Vries and Korteweg-de Vries-Burgers equations using homotopy analysis transform method. Chin. J. Phys. 2020, 63, 149–162. [Google Scholar] [CrossRef]
- Nonlaopon, K.; Alsharif, A.; Zidan, A.; Khan, A.; Hamed, Y.; Shah, R. Numerical Investigation of Fractional-Order Swift–Hohenberg Equations via a Novel Transform. Symmetry 2021, 13, 1263. [Google Scholar] [CrossRef]
- Alesemi, M.; Iqbal, N.; Abdo, M. Novel Investigation of Fractional-Order Cauchy-Reaction Diffusion Equation Involving Caputo-Fabrizio Operator. J. Funct. Spaces 2022, 2022, 1–14. [Google Scholar] [CrossRef]
- Khan, N.A.; Hameed, T.; Ahmed, S. Homotopy perturbation aided optimization procedure with applications to oscillatory fractional order nonlinear dynamical systems. Int. J. Model. Simul. Sci. Comput. 2019, 10, 1950026. [Google Scholar] [CrossRef]
- Alam, K.N.; Hameed, T.; Ayaz, M.; Abdul, R.O. The reaction dimerization: A resourceful slant applied on the fractional partial differential equation. Therm. Sci. 2019, 23 (Suppl. 6), 2095–2105. [Google Scholar]
- Khan, N.A.; Hameed, T.; Razzaq, O.A. Elegant scheme for one-way wave propagation in Kerr media. Eur. Phys. J. Plus 2020, 135, 1–33. [Google Scholar] [CrossRef]
- Naeem, M.; Zidan, A.; Nonlaopon, K.; Syam, M.; Al-Zhour, Z.; Shah, R. A New Analysis of Fractional-Order Equal-Width Equations via Novel Techniques. Symmetry 2021, 13, 886. [Google Scholar] [CrossRef]
- Agarwal, R.; Mofarreh, F.; Shah, R.; Luangboon, W.; Nonlaopon, K. An Analytical Technique, Based on Natural Transform to Solve Fractional-Order Parabolic Equations. Entropy 2021, 23, 1086. [Google Scholar] [CrossRef] [PubMed]
- Aljahdaly, N.; Agarwal, R.; Shah, R.; Botmart, T. Analysis of the Time Fractional-Order Coupled Burgers Equations with Non-Singular Kernel Operators. Mathematics 2021, 9, 2326. [Google Scholar] [CrossRef]
- Kazeminia, M.; Soleimani-Amiri, S.; Zahedi, S.A. Exact and numerical solutions for nonlinear higher order modified KdV equations by using variational iteration method. Adv. Stud. Theor. Phys. 2010, 4, 437–447. [Google Scholar]
- Shah, N.A.; El-Zahar, E.R.; Chung, J.D. Fractional Analysis of Coupled Burgers Equations within Yang Caputo-Fabrizio Operator. J. Funct. Spaces 2022, 2022, 1–13. [Google Scholar] [CrossRef]
- Goswami, A.; Singh, J.; Kumar, D. A reliable algorithm for KdV equations arising in warm plasma. Nonlin. Eng. 2016, 5, 7–16. [Google Scholar] [CrossRef]
- Singh, J.; Kumar, D.; Kumar, S. A reliable algorithm for solving discontinued problems arising in nanotechnology. Sci. Iran. 2013, 20, 1059–1062. [Google Scholar]
- Wazwaz, A.-M. Partial Differential Equations and Solitary Waves Theory Higher Education; Springer: Beijing, China; Berlin/Heidelberg, Germany, 2009. [Google Scholar]
- Wazwaz, A.-M. (2+1)-Dimensional mKdV (N) equations by the mKdV recursion operator: Multiple soliton and multiple singular soliton solutions. Appl. Math. Comput. 2012, 219, 2535–2544. [Google Scholar] [CrossRef]
- LÃ, X.; Chen, S.-J. Interaction solutions to nonlinear partial differential equations via Hirota bilinear forms: One-lump-multi-stripe and one-lump-multi-soliton types. Nonlinear Dyn. 2021, 103, 947–977. [Google Scholar]
- El-Tantawy, S.A.; Salas Alvaro, H.; Alharthi, M.R. On the analytical and numerical solutions of the damped nonplanar Shamel Korteweg-de Vries Burgers equation for modeling nonlinear structures in strongly coupled dusty plasmas: Multistage homotopy perturbation method. Phys. Fluids 2021, 33, 043106. [Google Scholar] [CrossRef]
- Albalawi, W.; El-Tantawy, S.A.; Salas Alvaro, H. On the rogue wave solution in the framework of a Korteweg-de Vries equation. Results Phys. 2021, 30, 104847. [Google Scholar] [CrossRef]
- Almutlak, S.A.; El-Tantawy, S.A. On the approximate solutions of a damped nonplanar modified Korteweg-de Vries equation for studying dissipative cylindrical and spherical solitons in plasmas. Results Phys. 2021, 23, 104034. [Google Scholar] [CrossRef]
- El-Tantawy, S.A.; Wazwaz, A.-M. Anatomy of modified Korteweg-de Vries equation for studying the modulated envelope structures in non-Maxwellian dusty plasmas: Freak waves and dark soliton collisions. Phys. Plasmas 2018, 25, 092105. [Google Scholar] [CrossRef]
- El-Tantawy, S.A. Rogue waves in electronegative space plasmas: The link between the family of the KdV equations and the nonlinear Schradinger equation. Astrophys. Space Sci. 2016, 361, 164–169. [Google Scholar] [CrossRef]
- Drazin, P.G.; Johnson, R.S. Solitons: An Introduction; Cambridge University Press: New York, NY, USA, 1989. [Google Scholar]
- Kakutani, T.; Ono, H. Weak non-linear hydromagnetic waves in a cold collision free plasma. J. Phys. Soc. Jpn. 1969, 26, 1305–1318. [Google Scholar] [CrossRef]
- Iqbal, N.; Akgul, A.; Shah, R.; Bariq, A.; Mossa Al-Sawalha, M.; Ali, A. On Solutions of Fractional-Order Gas Dynamics Equation by Effective Techniques. J. Funct. Spaces 2022, 2022, 1–14. [Google Scholar] [CrossRef]
- El-Tantawy, S.A.; Salas Alvaro, H.; Alharthi, M.R. Novel analytical cnoidal and solitary wave solutions of the Extended Kawahara equation. Chaos Solitons Fractals 2021, 147, 110965. [Google Scholar] [CrossRef]
- El-Tantawy, S.A.; Salas Alvaro, H.; Alharthi, M.R. On the dissipative extended Kawahara solitons and cnoidal waves in a collisional plasma: Novel analytical and numerical solutions. Phys. Fluids 2021, 33, 106101. [Google Scholar] [CrossRef]
- Wazwaz, A.-M. New solitary wave solutions to the Kuramoto-Sivashinsky and the Kawahara equations. Appl. Math. Comput. 2006, 182, 1642–1650. [Google Scholar] [CrossRef]
- Wazwaz, A.-M. Two-mode fifth-order KdV equations: Necessary conditions for multiple-soliton solutions to exist. Nonlinear Dyn. 2017, 87, 1685–1691. [Google Scholar] [CrossRef]
- Alesemi, M.; Iqbal, N.; Botmart, T. Novel Analysis of the Fractional-Order System of Non-Linear Partial Differential Equations with the Exponential-Decay Kernel. Mathematics 2022, 10, 615. [Google Scholar] [CrossRef]
- Goswami, A.; Singh, J.; Kumar, D. Numerical simulation of fifth order KdV equations occurring in magneto-acoustic waves. Ain Shams Eng. J. 2018, 9, 2265–2273. [Google Scholar] [CrossRef]
- Miansari, M.O.; Miansari, M.E.; Barari, A.; Ganji, D.D. Application of He’s Variational Iteration Method to nonlinear Helmholtz and fifth-order KdV equations. J. Appl. Math.-Stat. Inform. 2009, 5, 5–19. [Google Scholar]
- Abbasbandy, S.; Zakaria, F.S. Soliton solutions for the fifth-order KdV equation with the homotopy analysis method. Nonlinear Dyn. 2008, 51, 83–87. [Google Scholar] [CrossRef]
- Wazwaz, A.M. Solitons and periodic solutions for the fifth-order KdV equation. Appl. Math. Lett. 2006, 19, 1162–1167. [Google Scholar] [CrossRef] [Green Version]
- Darvishi, M.T.; Khani, F. Numerical and explicit solutions of the fifth-order Korteweg-de Vries equations. Chaos Solitons Fractals 2009, 39, 2484–2490. [Google Scholar] [CrossRef]
- Hu, W.-P.; Deng, Z.-C. Multi-symplectic method for generalized fifth-order KdV equation. Chin. Phys. B 2008, 17, 3923. [Google Scholar]
- Zhang, S. Application of Exp-function method to a KdV equation with variable coefficients. Phys. Lett. A 2007, 365, 448–453. [Google Scholar] [CrossRef]
- Ozis, T.; Yildirim, A. Traveling wave solution of Korteweg-de Vries equation using He’s homotopy perturbation method. Int. J. Nonlinear Sci. Numer. Simul. 2007, 8, 239–242. [Google Scholar] [CrossRef]
- He, J.H. Homotopy perturbation method: A new nonlinear analytical technique. Appl. Math. Comput. 2003, 135, 73–79. [Google Scholar] [CrossRef]
- He, J.H. Homotopy perturbation method for bifurcation of nonlinear problems. Int. J. Nonlinear Sci. Numer. Simul. 2005, 6, 207–208. [Google Scholar] [CrossRef]
- He, J.H. Homotopy perturbation method for solving boundary value problems. Phys. Lett. A 2006, 350, 87–88. [Google Scholar] [CrossRef]
- Shah, N.A.; El-Zahar, E.R.; Aljoufi, M.D.; Chung, J.D. An efficient approach for solution of fractional-order Helmholtz equations. Adv. Differ. Equ. 2021, 2021, 1–15. [Google Scholar] [CrossRef]
- Mahgoub, M.; Sedeeg, A. A Comparative Study for Solving Nonlinear Fractional Heat -Like Equations via Elzaki Transform. Br. J. Math. Comput. Sci. 2016, 19, 1–12. [Google Scholar] [CrossRef]
- Chu, Y.M.; Shah, N.A.; Ahmad, H.; Chung, J.D.; Khaled, S.M. A comparative study of semi-analytical methods for solving fractional-order cauchy reaction-diffusion equation. Fractals 2021, 29, 2150143. [Google Scholar] [CrossRef]
- Singh, P.; Sharma, D. Comparative study of homotopy perturbation transformation with homotopy perturbation Elzaki transform method for solving nonlinear fractional PDE. Nonlinear Eng. 2019, 9, 60–71. [Google Scholar] [CrossRef]
- Aboodh, K.S. Application of new transform “Aboodh Transform” to partial differential equations. Glob. J. Pure Appl. Math. 2014, 10, 249–254. [Google Scholar]
- Aboodh, K.S. Solving fourth order parabolic PDE with variable coefficients using Aboodh transform homotopy perturbation method. Pure Appl. Math. J. 2015, 4, 219–224. [Google Scholar] [CrossRef]
- Jena, R.M.; Chakraverty, S.; Baleanu, D.; Alqurashi, M.M. New aspects of ZZ transform to fractional operators with Mittag-Leffler kernel. Front. Phys. 2020, 8, 352. [Google Scholar] [CrossRef]
- Riabi, L.; Belghaba, K.; Cherif, M.H.; Ziane, D. Homotopy perturbation method combined with ZZ transform to solve some nonlinear fractional differential equations. Int. J. Anal. Appl. 2019, 17, 406–419. [Google Scholar]
- Zafar, Z.U.A. Application of ZZ transform method on some fractional differential equations. Int. J. Adv. Eng. Glob. Technol. 2016, 4, 1355–1363. [Google Scholar]
- Atangana, A.; Baleanu, D. New fractional derivatives with nonlocal and non-singular kernel: Theory and application to heat transfer model. Therm Sci. 2016, 20, 763–769. [Google Scholar] [CrossRef] [Green Version]
Publisher’s Note: MDPI stays neutral with regard to jurisdictional claims in published maps and institutional affiliations. |
© 2022 by the authors. Licensee MDPI, Basel, Switzerland. This article is an open access article distributed under the terms and conditions of the Creative Commons Attribution (CC BY) license (https://creativecommons.org/licenses/by/4.0/).





