Abstract
In the paper, we introduce a new model that addresses the generation of quantum droplets (QDs) in the binary Bose–Einstein condensate (BEC) mixture with mutually symmetric spinor components loaded in multi-color optical lattices (MOLs) of commensurate wavelengths and tunable intensities. The considered MOL confinement is the combination of the four-color optical lattice with an exponential periodic trap, which includes the complete set of the Fourier harmonics. Employing the one-dimensional (1D) extended Gross–Pitäevskii equation (eGPE), we calculate the exact analytical form of the wavefunction, MF/BMF nonlinearities, and MOL trap parameters. Utilizing the exact solutions, the formation of supersolid-like spatially periodic matter-wave droplet lattices and superlattices is illustrated under the space-periodic nonlinearity management. The precise positioning of the density maxima/minima of the droplet patterns at the center of the trap and tunable Anderson-like localization are observed by tuning the symmetry and amplitude of the considered MOL trap. The stability of the obtained solution is confirmed using the Vakhitov–Kolokolov (VK) criterion.
1. Introduction
Bose–Einstein condensates (BECs) and ultracold atoms confined in an optical lattice (OL) trap constitute an ideal experimental platform for the quantum simulations of emerging quantum many-body phenomena [1,2,3,4,5]. The experimental observation of the zero-temperature quantum phase transition in a strongly interacting Mott insulator [6] and weakly interacting Bose gas [7] utilizing the OL confinement provides a significant example for the same. Further, the OL is widely used to investigate the fundamental physics problems: Anderson localization [8], negative temperature [9,10,11], supersolid phase [12], etc., and it also provides the basis for the development of quantum technologies: quantum memory [13], registers [14], optical lattice clocks [15], and entanglement [16]. Experimentally, the OL trap is formed by the superposition of two counter propagating laser beams, resulting in the generation of an artificial crystal of light with spatially periodic polarization patterns, which is tunable through the power and period of the overlapping lasers [1,11]. Different engineered forms of OL geometries such as bi-periodic, kagome, hexagonal, double-well superlattices, etc., are regularly experimentally realized by interfering different sets of laser beams [17]. A number of interesting physical phenomena have been reported in the presence of the above-mentioned geometrically frustrated OLs, including frustrated quantum magnetism at negative absolute temperature [18], many-body localization [19], the exploration of the ionic Hubbard model with ultracold fermions [20], and Hund’s metal in multicomponent Fermi systems [21].
Currently, a new class of quantum liquids, ultradilute quantum droplets (QDs), has aroused a great deal of attention in the field of BECs [22,23,24]. Usually, the BEC dynamics is studied in the presence of an external trap, since it is commonly known to exist in a gaseous phase, and in the absence of a container (i.e., external trap), it expands. However, Petrov, in a pioneering theoretical proposal, pointed out that liquid-like QDs can be stabilized in a weakly interacting binary BEC mixture in free space by realizing a subtle balance between the attractive cubic mean-field (MF) interaction and quadratic repulsive beyond mean-field (BMF) interaction generated due to the quantum fluctuations [25]. Like solitons, these dilute QDs are a self-bound many-body state; however, bright solitons collapse under the influence of the attractive cubic MF interaction. Different from that, QDs can be stabilized in 3D by counter balancing MF and BMF interactions. Based on this stabilization mechanism, QDs are observed in Bose–Bose mixtures [26,27] and dipolar gases [28,29]. The idea of droplet formation without any external trapping is not new, and this is studied in classical liquid or liquid helium systems [30]. However, in comparison to classical liquids in which droplets are generated due to a balance of repulsive interactions (generated due to high density) with attractive van der Waals interactions [30], the formation of QDs is a quantum phenomena with its formation dependent on the balance of the Lee–Huang–Yang (LHY) interaction (due to quantum fluctuations), i.e., the BMF interaction with two-body MF interactions. Further, the observed equilibrium density of QDs is orders smaller than liquid helium, and due to the realization in ultracold atoms, this provides versatile control of the tunability of MF/BMF interactions and the geometry of the system.
In this work, we address the dynamics of QDs in a two-component binary BEC mixture in the presence of external multi-color optical lattice (MOL) confinement through the spatial periodic management of MF and BMF nonlinearities in 1D geometry. The QD dynamics is extensively explored in the absence of any confinement, i.e., free space [31,32], and some of us have recently reported the exact theoretical model for QDs in harmonic confinement [33]. However, the study of QDs in the presence of the OL or MOL has received less attention in the current literature. In condensed matter physics, the periodic lattice is considered as one of the fundamental problems, and even in the ultracold atoms domain, a variety of solitonic structures have been investigated in OL traps, both analytically and numerically. The study of QDs’ behavior in the presence of OL or MOL traps acts as a quantum test bed for exploring advanced solid-state physics concepts, such as topological quantum states, discrete systems, etc. Recently, Morera et al. illustrated the generation of QDs, dimerized QDs, and a variety of phases in OL confinement [34,35], whereas the supersolid-like crystallization of QDs was investigated in 1D [36] and on a periodic lattice in a quasi-2D trapped dipolar BEC [37,38]. Further, the stability of QDs is also studied in OL, and the existence of stable dipole QDs has been proposed [39]. The motivation for studying a two-component BEC in the presence of the MOL is twofold: (i) constructing a family of OL traps: the precise control of the intensity and period of overlapping laser beams results in the formation of the OL, bi-color OL (BOL), frustrated bi-color double-well superlattice, tri-color OL (TOL), and four-color OL (FOL); and (ii) a test bed for quantum simulation: optical superlattice confinements comprise a clean controllable many-body test bed, and a variety of physical phenomena [8,9,16] is observed in this trap. In principle, the multi-color beams can be used to design a variety of optical superlattice potentials necessary for supporting the existence of non-trivial QD patterns [40,41]. Therefore, theoretically, it would be important to investigate the behavior of QDs in the presence of the MOL. In this paper, we solve the 1D eGPE for the considered confinement and calculate the non-trivial exact analytical form of the wavefunction, phase, MF/BMF nonlinearities, and trap parameters. This reveals the specific form of the MOL and its correlation with the MF/BMF nonlinearities, which provide tunability for the generation of various QDs density profiles. As an illustration, we show the generation of supersolid-like density schemes in QDs: periodic lattice, bi-periodic superlattice, and bi-periodic double-well superlattice. For each of these patterns, we write the analytical solutions and identify the specific form of the multi-color OL and its parameter domain. The controllable positioning of density maxima at the center of the trap, compression, fragmentation, and Anderson-like localization of the droplet patterns are also observed by tuning the symmetry of the considered trap.
In the following section, we present the analytical framework for solving the 1D eGPE for a weakly interacting Bose–Bose mixture with equal masses and an equal number of atoms in the components under the MOL. The model for the calculated system variables is explained by finding the MOL potential parameters, i.e., the amplitudes and periodicity, the wavefunction, and the form of MF/BMF interactions. It is shown that with a suitable choice of the laser intensity, one can construct the following experimentally relevant forms of confinements: single-color OL, BOL, TOL, double-well superlattice BOL, and FOL. Next, we study the characteristics of QDs under the influence of the above-mentioned traps and illustrate the interesting supersolid-like periodic lattice and superlattice density patterns in QDs. Finally, the stability of the obtained solutions is confirmed using the Vakhitov–Kolokolov (VK) criterion.
2. The Model and Analytical Framework
We start by considering the two-component mass-balanced binary BEC under the influence of the BMF (LHY corrections for quantum fluctuations) in the presence of spatially varying MOL confinement. The choice of equal masses and an equal number of atoms in the BEC mixture makes the result analysis clearer and easier. In the 1D configuration, the QDs are observed under the subtle balance of the slightly repulsive MF interaction with the attractive BMF. In this geometry, the MF and BMF interactions’ contribution to the energy per particle is proportional to n and , where n is the density of the gas [31], and the system is described by the following equations, the 1D eGPE [25,39]:
Here, is the external MOL confinement present in the considered system with () representing the wavefunctions of binary mixture components. In Equations (1) and (2), we take the interaction strengths controlling the repulsion between the atoms in each components to be equal: and . Here, represents the self-interaction coefficients, whereas is the cross interaction coefficients along with [39]. represent the space-dependent inter- and intra-components’ atomic scattering lengths, which are tunable through the Feshbach resonance technique [42]. Thus, the sign and strength of both (inter- and intra-) components’ atomic scattering length, i.e., MF and BMF interactions, can be experimentally modulated. Here, m is the mass of the BEC atoms and ℏ is the scaled Planck’s constant.
Next, we reduce the dynamics of the considered system to the space-dependent dimensionless single eGPE by assuming , i.e., mutually symmetric spinor components in the binary mixture [25,31]:
Equation (3) is the extended form of the Gross–Piteäevskii equation (GPE) with the external confinement added. For the case, , it becomes the 1D eGPE in free space, which is extensively explored to investigate the QDs’ dynamics [23,24]. In the equation, is the condensate wave function of the QDs having mass m, and , are the magnitude coupling strengths of the two-component Bose–Bose mixture representing BMF and MF interactions, respectively. Here, , , are the magnitudes of the scaling parameters , , , respectively [31]. To investigate the structure and dynamics of QDs in the presence of MOL, we consider the form of the external trap:
which is a combination of the FOL with commensurate lattice periods and an exponential periodic trap. The combination results in the generation of an MOL potential trap, which becomes an FOL for . The choice of the exponential periodic trap ensures the presence of the complete set of the Fourier harmonics in the considered trap combination. Here, and are real constants. In Equation (4), is the scaled lattice wave vector, which is commensurate for the four-color laser beams () with , and is the transverse oscillator frequency. Here, () represents the potential depths of each OL and is connected to the recoil energy: for the laser of wavelength (color) and mass m of BEC atoms [40]. Recently, ultracold atoms were investigated in the FOL potential to obtain eightfold rotationally symmetric OLs [43] and solitonic solutions [41]. In this paper, we considered the cigar-shaped BEC atoms trapped with transverse frequency Hz, atomic scattering length nm, and a CO laser of wavelength m [44]. In the experiments, various forms of OLs can be realized by tuning the applied magnetic field, the magnitude of k, and the angle between superimposing laser beams [45].
In order to construct the analytical solution form of for Equation (3), based on the general similarity transformation scheme used for constructing matter-wave solitons in 1D geometry [46,47], we start with following ansatz solution:
where , , and , being real functions, are the space- and time-modulated amplitude, phase, and similarity variables, respectively. Using the ansatz solution, our goal is to connect Equation (3) to the solvable differential equation:
such that we obtain the following consistency conditions on the amplitude and MF and BMF nonlinearities for the chosen potential of Equation (4) (see Appendix A):
In Equation (6), E is the eigenvalue of the equation, , denote the constantBMF/MF interactions, which can take a positive or negative magnitude depending on the sign of the inter- and intra-component atomic scattering length. Here, the function with the subscript implies the partial differentiation of the function with respect to the subscripted variable. The above set of consistency conditions are simultaneously solved to obtain the amplitude, phase, and MF/BMF:
where is an integration constant. It is evident from Equation (11) that the form of MF/BMF nonlinearities and the phase is directly dependent on the amplitude, which will be determined by solving the consistency Equation (11). For that purpose, we substitute the trap expression from Equation (4) into the set of consistency Equations (7) and (11) and choose , to obtain the exact analytical form of the amplitude, phase, and nonlinearities:
with the potential depths of each overlapping OL connected in the following manner:
Equation (16) reveals a non-trivial correlation in between trap parameters and , and this is one of the important results of the article. In principle, by the suitable tuning of these parameters, one can realize various forms of : OL (Figure 1c), BOL (Figure 1d), double-well superlattice (Figure 1e), frustrated double-well optical superlattice (Figure 1f), bi-periodic frustrated double-well optical superlattice (Figure 1g), etc., and study the QDs’ profiles with precise knowledge of the MF/BMF interactions. In Equation (12), (constant) .
Figure 1.
Various potential profiles of the MOL by tuning parameters and of Equation (4) for , , in the interval : (a) for fixed , varying from to ; (b) for fixed , varying from to ; (c) flipping of the OL phase by the half-wavelength: , (black solid line) and , (dashed blue line); (d) BOL: , (black line); (e) triple-well optical superlattice: , (red solid line); (f) frustrated double-well optical superlattice: , (blue solid line); (g) bi-periodic frustrated double-well optical superlattice: , (red solid line). The spatial co-ordinate is scaled by the oscillator length.
The solution of Equation (6) can be given as: with , , , and [25,31]. Thus, the complete solution of Equation (3) can be written as:
Further, one can choose the solution of Equation (6) in terms of the Jacobi elliptic function () as: with , , , and [48]. For this case, the complete wavefunction form of Equation (3) becomes:
where q is the modulus parameter for the Jacobi elliptic function . In principle, the function can also possess a family of solutions for the range of the modulus parameter, 0 , and at will signify a periodic QD profile. Thus, it is worth indicating that we constructed a large family of exact analytical solutions of the 1D eGPE for the considered MOL trap configuration.
3. Results
The exact expressions of the distributed confinement parameters are already solved in Equation (16) where the parameters () can be widely tuned. We are now in a position to analyze the relevant QDs’ profiles along with the corresponding confinement form. In the following, we would like to perform a detailed study of the tuning of the trap under consideration and of the density patterns of the QDs.
3.1. Potential Profiles and Corresponding Trap Parameters
From the constructed model, the general form of the potential can be written as:
where and . With suitable tuning of the physical parameters and , one can construct various potential profiles and obtain the exact analytical expression of the wavefunction. Physically, and are connected to the power of overlapping laser intensities. Figure 1 illustrates the various trap patterns by tuning of the trap parameters (, ). In Figure 1a,b, the variation of the potential profile is depicted for , , in the interval : (a) for fixed , with varying from to ; and in (b) for fixed , varying from to . This clearly indicates the various shapes of the resultant potential by changing the magnitude of and . For , becomes constant, representing the free space scenario. Further, the trap takes the form of the two-color BOL with periodicity () for and , whereas if , then the MOL becomes a disordered double-well superlattice with frustration present both in the inter- and intra-well separations [41]. Additionally, we observe interesting trap forms for . For with positive constant, this leads to the formation of the triple-well superlattice, which is evident from Figure 1a.
Similarly, we illustrate a half-wavelength shift of this double-well superlattice by tuning with positive constant. For better insight into the tunability of the generated MOL trap form, we plot the shape of the trap at some specific points and illustrate the experimentally realizable trap configuration: (a) OL: for , (black solid line) and the flipping of this OL by the half-wavelength for , (dashed blue line) (Figure 1c); (b) BOL: overlapping of two OLs of frequency and for , (black solid line) (Figure 1d); (c) triple-well optical superlattice: , (red solid line) (Figure 1e); (d) frustrated double-well optical superlattice: , (blue solid line) (Figure 1f); (e) bi-periodic frustrated double-well optical superlattice: , (red line) (Figure 1g). Thus, potential Equation (19) consists of the family of OLs, and in principle, the complete set of the Fourier harmonics can be generated from it.
For or , the higher-order terms of the exponential trap tend towards zero, and the trap behaves as an FOL confinement. Utilizing Equation (19), we identify the points in Table 1 at which the shape of the MOL becomes the OL, BOL, or TOL in the , space for [41]. On the contrary, the FOL is obtained in the entire space, excluding the points indicated in the table. It needs to be emphasized here that the constructed MOL trap configuration provides a large variety of experimentally useful potential profiles with exact analytical solutions, which may find applications for quantum information processing and simulations [5,16,17]. We further illustrate the results by displaying various QD patterns in the presence of the above-mentioned trap configurations.
Table 1.
Various shapes of the MOL potential by tuning the magnitude of the power of the laser beam, i.e., and .
3.2. Periodic Lattice Density Patterns in QDs
In this section, we correlate the above-mentioned understanding of the confinement engineering with the atomic condensate density for a variety of experimentally relevant forms of the MOL confinement to investigate the droplet characteristics in it. As discussed earlier, a family of OL traps can be constructed from (19), but we begin by investigating the generation of QDs in the presence of the two-color BOL() with competing MF and BMF nonlinearities. The superposition of two-color OLs results in the formation of quasi-periodic optical superlattice confinement, which is used to study various interesting physical phenomena: Anderson localization, frustrated quantum magnetism, negative absolute temperature, etc. [10,18,19]. Motivated by that, we construct the BOL with commensurate period from potential Equation (20) by taking . Further, the form of the MF and BMF nonlinearities is: and , respectively, with (constant). Thus, the resulting form of the potential from Equation (19) takes the form:
for which the wavefunction solution of Equation (3) can be given as:
Using the above wavefunction, we illustrate the density profiles of QDs for for the BOL potential Equation (20) in Figure 2 and Figure 3, respectively. In these figures, each plot (a–d) has two panels: the upper panel shows the density plot, and the lower panel consists of a 2D plot of the density. In Figure 2a, initially, we take , making constant, i.e., the free space potential and with the MF interaction () and the BMF interaction (). As there is a subtle balance between MF and BMF, thus we observe the flat top density profile, which is the signature feature of QDs.
Figure 2.
Condensate density patterns for two-color BOL traps with and : (a) (free space); (b) ; (c) ; and (d) . Each plot of (a–d) has three panels: the upper panel shows the density plot; the middle panel consists of a 2D plot of the density; the lower panel indicates the corresponding trap profile. Here, the magnitude of the physical parameters: , , , , , . The spatial co-ordinate is scaled by the oscillator length.
Figure 3.
Condensate density patterns for two-color BOL traps with and are depicted: (a) (free space); (b) ; (c) ; and (d) . Each plot (a–d) has three panels: the upper panel shows the density plot; the middle panel consists of a 2D plot of the density; the last panel represents the corresponding trap profile. Here, the magnitude of the physical parameters: , , , , , . The spatial co-ordinate is scaled by the oscillator length.
Similarly, condensate density has previously been illustrated in the free space potential, and the observed pattern is in conformity with the physical situations reported in the literature [32]. Here, the magnitude of other physical parameters: , , , . Next, we investigate the impact of on the droplet density profile for the same physical parameters. We took , , and depict their corresponding condensate density patterns in Figure 2b–d. It is evident from the figure that with tending from , this leads to the expansion of the QDs, and due to the increase in the lattice depth of the trap, it forms the lattice patterns in the QDs. Importantly, the signature of the potential is superimposed over the flat density profile, and correspondingly, we observe periodic lattice density pattern on the QDs. We observe that for , the density periodic lattice maxima are located at . However, to establish supersolidity in the system, we need to show the spontaneous breaking of the translational symmetry and the spontaneous breaking of the gauge symmetry in the considered system. However, in absence of that, we term this supersolid-like periodic density patterns, as done in previous studies on spinor BECs [38,49]. Further, we note that the decreasing magnitude of also results in the increase of the width of the QDs, i.e., leading to its expansion. Thus, in principle, the depth and width of these formed periodic lattice density patterns in QDs are connected to the magnitude of , and from the constructed analytical model, we reveal a non-trivial correlation in between them.
In Figure 3, we illustrate the density variation of the wavefunction solution (21) for with its magnitude changing from for the identical physical parameter as taken in the case of . Here, we take the parameter values: , , , , , . We begin with in Figure 3a, i.e., the free space situation. Next, the magnitude of increased to , resulting in the formation of multiple peaks in the density profile, which are due to the presence of the OL trap (Figure 3b). However, in comparison to shown in Figure 2b, here, the number of droplet lattice peaks is less and the width is compressed. Subsequently, we observe a reduction in the width of the droplet and the number of density lattice wells with the increase of (Figure 3c,d). The condensate atomic density illustrates an Anderson-like localization with the increasing magnitude of the laser intensity . This behavior was confirmed by comparing the maximum amplitude of the density for . In comparison to , in which the maximum amplitude remains the same (Figure 2), here, its magnitude increases with tending from 0 to , showing the localization of condensate atoms. Further, in comparison to , we note here that the density periodic lattice minima are located at for .
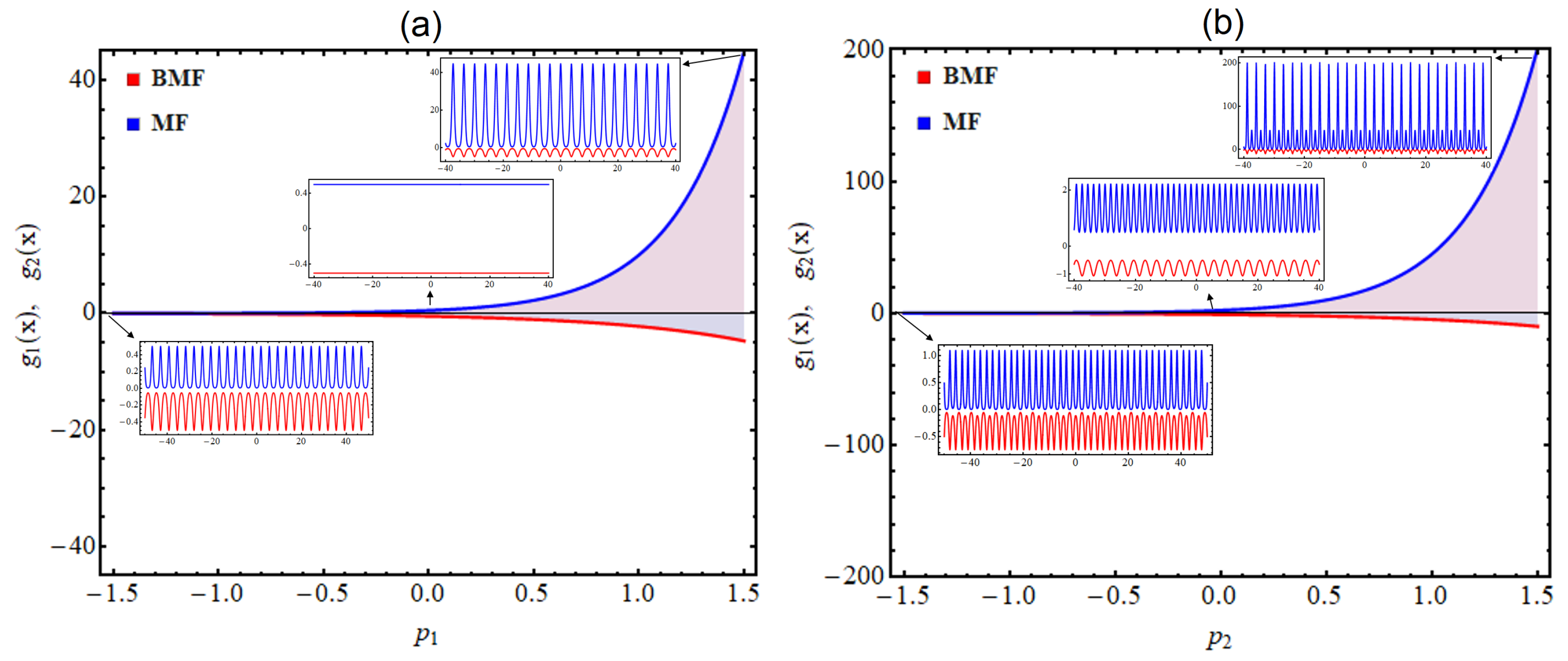
In order to physically understand the reasons for the observation of the QDs’ density patterns in Figure 2 and Figure 3, we plot the profile of MF/BMF nonlinearities with respect to the variation of the MOL trap parameters with and varying from to in Figure 4a. It is evident from the figure that the magnitude of MF and BMF interactions remains comparable till changes in the interval []. This is due to the negative magnitude of , which is present in the exponential term of both interactions, and it ensures the observation of the flat top density profile in Figure 2a–d. Furthermore, the increase in the depth of the QDs’ periodic lattice patterns is due to the potential depth of the trap with changing the value of from 0 to , which leads to the expansion of the droplet profile. For and its increase from 0 to , this leads to the amplification of both MF/BMF amplitudes (due to the presence of the exponential factor); however, in this region, the MF term dominates the BMF due to the term in it. This leads to an imbalance of the MF and BMF interaction strengths, as is evident from Figure 4a, and simultaneously, the system tends towards the soliton region with a dominant repulsive MF. Since the balance of these nonlinearities is essential for the observation of the droplet profile, the increase of results in the gradual decrease of the flat top density profile (see Figure 3) and the phenomena of the Anderson-like localization observed, which is a characteristic feature of disordered optical lattices [40]. Thus, we illustrate an interesting and non-trivial tunability of QDs’ density patterns by changing the sign (i.e., symmetry) and potential depth of the BOL () confinement.
Figure 4.
The profile of MF and BMF nonlinearities is plotted with respect to varying (a) in the interval [] at for and (b) in the interval [] at with . Each inset plot depicts the variation of (BMF, red line) and (MF, blue line) for the indicated magnitude of and , respectively. Here, the magnitude of the physical parameters: , , , , , .
3.3. Double-Well Superlattice Density Patterns in QDs
In this section, we illustrate the formation, expansion, and compression of double-well superlattice density patterns in QDs under the MOL confinement. For that purpose, we take in the potential Equation (20) with and . Utilizing the corresponding wavefunction solution from Equation (20), we plot the atomic condensate density in Figure 5a–d for ; , , and , respectively, for , , , . It is evident from Figure 5a that the periodic lattice density patterns are formed for and . However, as changes from , the double-well superlattice density patterns become visible in the QDs’ profile (Figure 5b). The decreasing magnitude of from results in the expansion of the QDs along with the increase in the depths of these double-well superlattice density patterns. Further, in Figure 6, we depict the impact of and on the QDs’ profile for the same physical parameter values. Here, we plot for (a) , (b) , (c) , and (d) , respectively. In comparison to the double-well superlattice density pattern of QDs for , we observe the formation of a bi-periodic density lattice for the case of (Figure 6b). The depth of this bi-periodic density pattern increases, and the width of the droplet decreases with the increasing magnitude of from (Figure 6c,d).
Figure 5.
Condensate density patterns for four-color BOL traps with and: (a) (BOL); (b) ; (c) ; and (d) . Each plot (a–d) has three panels: the upper panel shows the density plot; the middle panel consists of a 2D plot of the density; the lower panel indicates the corresponding trap profile. Here, the magnitude of the physical parameters: , , , , , . The spatial co-ordinate is scaled by the oscillator length.
Figure 6.
Condensate density patterns for four-color BOL traps with and: (a) ; (b) ; (c) ; and (d) . Each plot (a–d) has three panels: the upper panel shows the density plot; the middle panel consists of a 2D plot of the density; the lower panel indicates the corresponding trap profile. Here, the magnitude of the physical parameters: , , , , , . The spatial co-ordinate is scaled by the oscillator length.
In order to physically understand the reasons for the observation of the QDs’ density superlattice patterns in Figure 5 and Figure 6, we plot the profile of MF/BMF nonlinearities with respect to the variation of the MOL trap parameters with and varying from to in Figure 4b. In comparison to Figure 4a, in which , here, the double-well superlattice trap is formed due to . As discussed earlier, in this regime also, the magnitude of MF and BMF interactions remains comparable till changes from [] (shown in Figure 4b). This results in the observation of the flat top density profile as shown in Figure 6a–d. The superlattice QDs’ density patterns are due to the superlattice periodicity of MF/BMF interactions and the corresponding resulting trap. For and tending from 0 to , then the MF term dominates the BMF due to the factor. Similar to the previous regime, we observe a decrease in the flat top density profile with the increasing magnitude of . However, different from the previous case, here, the droplet density patterns are bi-periodic. Therefore, we observe that the compression and expansion of the droplet density patterns are due to the spatial periodic management of MF and BMF nonlinearities: and respectively, with respect to the changing sign of . Thus, we illustrate an interesting transition of the supersolid-like double-well superlattice and bi-periodic density patterns in droplets from the starting periodic density profile by changing the magnitude of and MF/BMF nonlinearities.
3.4. Stability of QDs in MOL Confinement
In the above sections, we illustrated the generation of a variety of droplet density patterns in the MOL confinement by tuning the magnitude of (, ) in Equation (17). In this section, we evaluate the stability of the obtained wavefunction solution (17), and for that purpose, we employed the VK criterion, which is extensively utilized to determine the stability of nonlinear Schrödinger equation solutions [50]. According to the VK criterion, a solution is found to be stable if the slope of the number of atoms with respect to the chemical potential, i.e., , is positive. Here, N is the normalization, and E is the chemical potential of the system. For the case , the solution is unstable, whereas provides the instability threshold of the obtained solution. Now, using Equation (17) and , one can estimate the correlation between normalization N and E as:
where and . Equation (22) estimates the magnitude of N in the presence of the MOL and is equal to the N reported for the free space [31,32]. Thus, even in the presence of the MOL confinement, N is conserved, and the considered system shows a continuous symmetry property according to Noether’s theorem [51]. In Figure 7, using Equation (22), we plot with respect to E, where . It is evident from Figure 7a that the magnitude of is positive with respect to its variation E, which indicates the stable nature of the obtained solution.
Figure 7.
(Color online) (a) For the VK stability criterion, the slope of normalization with the chemical potential () is plotted with respect to a varying chemical potential (E); (b) is depicted as a function of and the wavenumber (l) keeping ; (c) with , is depicted as a function of and the wavenumber (l). Here, the magnitude of the physical parameters: , , , , , with l varying from 0 to 3.
The small-scale fluctuations in the droplet under the MOL confinement can be estimated by linearizing the 1D eGPE (3) around the ground state given by Equation (17) [32]. We take , where is the stationary solution (17) and is the small perturbation with ; are the real and imaginary parts of . With the substitution of in Equation (3), this leads to the well-known Bogoliubov–de Gennes (BdG) equation:
with , , and . Here, we consider , and applying it in Equation (23), then this yields the perturbation eigenmodes, where l denotes the wave number and stands for the frequency. The resulting dispersion relation can be given as:
by neglecting the l independent terms. From Equation (24), is imaginary for , and these are the instability region. In Figure 7b, is depicted as a function of and the wavenumber (l), keeping , representing the two-color BOL () case, whereas in Figure 7c, we locate with respect to the changing magnitude of and the wavenumber (l) with for the MOL confinement. The magnitudes of the other physical parameters: , , , , , .
4. Conclusions
In conclusion, we obtained a family of exact analytical solutions of the 1D eGPE for the generation of QDs in the binary BEC mixture with mutually symmetric spinor components in the presence of the MOL confinement. In the constructed model, the choice of the MOL confinement, which is a combination of the FOL and exponential periodic trap, results in the generation of various experimentally relevant trap profiles: OL, BOL, TOL, FOL, symmetric and asymmetric double-well superlattice, etc., and the corresponding exact wavefunction solution. From the constructed model, we identified the two parameters and for tuning the shape of the MOL confinement and revealed interesting potential symmetry with its tuning. Further, by taking the spatial periodic variation of the competing repulsive cubic MF and attractive quadratic BMF interactions, we illustrated the generation of interesting supersolid-like periodic, bi-periodic, and double-well superlattice density patterns in QDs under the BOL and MOL confinements. By tuning the symmetry of the BOL trap, we demonstrated two possible types of periodic lattice density patterns of the droplets: (a) at the central potential site (i.e., at ), the maxima of the periodic density lattice for and and (b) for and , its minima . Interestingly, the strength of () was identified as a key parameter for the fragmentation, compression, and inter-well transport of droplets. We observed an Anderson-like localization for , i.e., the compression of the droplet, whereas the expansion of the droplet width was noted for , , forming the MOL, as well as in two-color () OL confinements. This can be attributed to the change in the subtle balance of the MF and BMF interactions, leading to a decrease in the flat top density profile and the observation of localization. Finally, the stability of the obtained droplet solutions was confirmed using the VK criterion and by the linear stability analysis.
The results of this paper can be tested experimentally by taking binary Bose gases with mass-balanced two-mixture components under the influence of BMF interactions in the presence of spatially varying MOL confinement with the present know-how. The shape of the MOL confinement is dependent on the power of the laser intensity and the wavelength of the laser light, which were connected with () in the present work. In particular, for typical values of the physical parameters, one can estimate the potential depths: . As the constructed model is based on a 1D geometry, it may be interesting to explore the impact in a 2D/3D confinement setup and droplet crossover to the 2D/3D configuration as future extensions of the present work.
Author Contributions
Conceptualization, formal analysis, investigation, methodology, visualization, writing—original draft: M.R.P.; conceptualization, validation, writing—review and editing, supervision: A.N. All authors have read and agreed to the published version of the manuscript.
Funding
This research received no external funding.
Institutional Review Board Statement
Not applicable.
Informed Consent Statement
Not applicable.
Data Availability Statement
All data generated or analyzed during this study are included in this published article. They can be reproduced by utilizing the form of the wavefunction and the considered trap form.
Conflicts of Interest
The authors declare no conflict of interest.
Appendix A
We begin with the reduced one-component eGPE:
and our goal is to connect it to the solvable differential equation:
which has the solution form: with , , , and [25,31]. It is a standard mathematical technique to obtain solutions of nonlinear differential equation [47,52].
For that purpose, we substitute an ansatz solution in (A1):
and separate out the imaginary and real parts of the equation:
We obtain the following consistency conditions on the amplitude and MF and BMF nonlinearities:
Further, with a little algebra, we obtain the amplitude, phase, and MF/BMF:
where is an integration constant.
Next, we take and calculate the exact analytical form of the amplitude, phase, and nonlinearities:
Thus, the complete solution of Equation (3) can be written as:
References
- Lewenstein, M.; Sanpera, A.; Ahufinger, V. Ultracold Atoms in Optical Lattices: Simulating Quantum Many-Body Systems; Oxford University Press: Oxford, UK, 2012. [Google Scholar]
- Schäfer, F.; Fukuhara, T.; Sugawa, S.; Takasu, Y.; Takahashi, Y. Tools for quantum simulation with ultracold atoms in optical lattices. Nat. Rev. Phys. 2020, 2, 411–425. [Google Scholar] [CrossRef]
- Gross, C.; Bloch, I. Quantum simulations with ultracold atoms in optical lattices. Science 2017, 357, 995–1001. [Google Scholar] [CrossRef] [PubMed] [Green Version]
- Hauke, P.; Cucchietti, F.M.; Tagliacozzo, L.; Deutsch, I.; Lewenstein, M. Can one trust quantum simulators? Rep. Prog. Phys. 2012, 75, 082401. [Google Scholar] [CrossRef] [PubMed] [Green Version]
- Qiu, X.; Zou, J.; Qi, X.; Li, X. Precise programmable quantum simulations with optical lattices. NPJ Quantum Inf. 2020, 6, 87. [Google Scholar] [CrossRef]
- Haller, E.; Hart, R.; Mark, M.J.; Danzl, J.G.; Reichsöllner, L.; Gustavsson, M.; Dalmonte, M.; Pupillo, G.; Nägerl, H.-C. Pinning quantum phase transition for a Luttinger liquid of strongly interacting bosons. Nature (Lond.) 2010, 466, 597–600. [Google Scholar] [CrossRef] [PubMed] [Green Version]
- Greiner, M.; Mandel, O.; Esslinger, T.; Hänsch, T.W.; Bloch, I. Quantum phase transition from a superfluid to a Mott insulator in a gas of ultracold atoms. Nature (Lond.) 2002, 415, 39–44. [Google Scholar] [CrossRef] [PubMed]
- Billy, J.; Josse, V.; Zuo, Z.; Bernard, A.; Hambrecht, B.; Lugan, P.; Clement, D.; Sanchez-Palencia, L.; Bouyer, P.; Aspect, A. Direct observation of Anderson localization of matter waves in a controlled disorder. Nature 2008, 453, 891–894. [Google Scholar] [CrossRef] [PubMed]
- Braun, S.; Ronzheimer, J.P.; Schreiber, M.; Hodgman, S.S.; Rom, T.; Bloch, I.; Schneider, U. Negative Absolute Temperature for Motional Degrees of Freedom. Science 2013, 339, 52–55. [Google Scholar] [CrossRef] [Green Version]
- Nath, A.; Bera, J.; Ghosh, S.; Roy, U. Exact Analytical Model for Bose–Einstein Condensate at Negative Temperature. Sci. Rep. 2020, 10, 9016. [Google Scholar] [CrossRef]
- Kundu, N.; Nath, A.; Bera, J.; Ghosh, S.; Roy, U. Synergy between the negative absolute temperature and the external trap for a Bose–Einstein condensate under optical lattices. Phys. Lett. A 2022, 427, 127922. [Google Scholar] [CrossRef]
- Li, J.R.; Lee, J.; Huang, W.; Burchesky, S.; Shteynas, B.; Top, F.Ç.; Jamison, A.O.; Ketterle, W. A stripe phase with supersolid properties in spin-orbit coupled Bose–Einstein condensates. Nature 2017, 543, 91–94. [Google Scholar] [CrossRef] [PubMed]
- Wang, Z.M.; Wu, L.A.; Modugno, M.; Byrd, M.S.; Yu, T.; You, J.Q. Fault-tolerant breathing pattern in optical lattices as a dynamical quantum memory. Phys. Rev. A 2014, 89, 042326. [Google Scholar] [CrossRef] [Green Version]
- Brennen, G.K.; Pupillo, G.; Rey, A.M.; Clark, C.W.; Williams, C.J. Scalable register initialization for quantum computing in an optical lattice. J. Phys. B At. Mol. Opt. Phys. 2005, 38, 1687. [Google Scholar] [CrossRef]
- Katori, H. Optical lattice clocks and quantum metrology. Nat. Photonics 2011, 5, 203–210. [Google Scholar] [CrossRef]
- Yang, B.; Sun, H.; Huang, C.J.; Wang, H.Y.; Deng, Y.; Dai, H.N.; Yuan, Z.S.; Pan, J.W. Cooling and entangling ultracold atoms in optical lattices. Science 2020, 369, 550–553. [Google Scholar] [CrossRef]
- Windpassinger, P.; Sengstock, K. Engineering novel optical lattices. Rep. Prog. Phys. 2013, 76, 086401. [Google Scholar] [CrossRef]
- Yamamoto, D.; Fukuhara, T.; Danshita, I. Frustrated quantum magnetism with Bose gases in triangular optical lattices at negative absolute temperatures. Nat. Phys. 2020, 3, 56. [Google Scholar] [CrossRef] [Green Version]
- Kohlert, T.; Scherg, S.; Li, X.; Lüschen, H.P.; Sarma, S.D.; Bloch, I.; Aidelsburger, M. Observation of many-body localization in a one dimensional system with a single-particle mobility edge. Phys. Rev. Lett. 2019, 122, 170403. [Google Scholar] [CrossRef] [Green Version]
- Messer, M.; Desbuquois, R.; Uehlinger, T.; Jotzu, G.; Huber, S.; Greif, D.; Esslinger, T. Exploring Competing Density Order in the Ionic Hubbard Model with Ultracold Fermions. Phys. Rev. Lett. 2015, 115, 115303. [Google Scholar] [CrossRef] [Green Version]
- Richaud, A.; Ferraretto, M.; Capone, M. Interaction-resistant metals in multicomponent Fermi systems. Phys. Rev. B 2021, 103, 205132. [Google Scholar] [CrossRef]
- Kartashov, Y.V.; Astrakharchik, G.E.; Malomed, B.A.; Torner, L. Frontiers in multidimensional self-trapping of nonlinear fields and matter. Nat. Rev. Phys. 2019, 1, 185. [Google Scholar] [CrossRef]
- Böttcher, F.; Schmidt, J.-N.; Hertkorn, J.; Ng, K.S.H.; Graham, S.D.; Guo, M.; Langen, T.; Pfau, T. New states of matter with fine-tuned interactions: Quantum droplets and dipolar supersolids. Rep. Prog. Phys. 2021, 84, 012403. [Google Scholar] [CrossRef] [PubMed]
- Luo, Z.-H.; Pang, W.; Liu, B.; Li, Y.-L.; Malomed, B.A. A new form of liquid matter: Quantum droplets. Front. Phys. 2021, 16, 32201. [Google Scholar] [CrossRef]
- Petrov, D.S. Quantum Mechanical Stabilization of a Collapsing Bose–Bose Mixture. Phys. Rev. Lett. 2015, 115, 155302. [Google Scholar] [CrossRef] [PubMed] [Green Version]
- Cabrera, C.R.; Tanzi, L.; Sanz, J.; Naylor, B.; Thomas, P.; Cheiney, P.; Tarruell, L. Quantum liquid droplets in a mixture of Bose–Einstein condensates. Science 2018, 359, 301–304. [Google Scholar] [CrossRef] [PubMed] [Green Version]
- Semeghini, G.; Ferioli, G.; Masi, L.; Mazzinghi, C.; Wolswijk, L.; Minardi, F.; Modugno, M.; Modugno, G.; Inguscio, M.; Fattori, M. Self-Bound Quantum Droplets of Atomic Mixtures in Free Space. Phys. Rev. Lett. 2018, 120, 235301. [Google Scholar] [CrossRef] [Green Version]
- Ferrier-Barbut, I.; Kadau, H.; Schmitt, M.; Wenzel, M.; Pfau, T. Observation of quantum droplets in a strongly dipolar bose gas. Phys. Rev. Lett. 2016, 116, 215301. [Google Scholar] [CrossRef]
- Edler, D.; Mishra, C.; Wächtler, F.; Nath, R.; Sinha, S.; Santos, L. Quantum fluctuations in quasi- one-dimensional dipolar bose-einstein condensates. Phys. Rev. Lett. 2017, 119, 050403. [Google Scholar] [CrossRef] [Green Version]
- Ferrier-Barbut, I.; Pfau, T. Quantum liquids get thin. Science 2018, 359, 274–275. [Google Scholar] [CrossRef]
- Astrakharchik, G.E.; Malomed, B.A. Dynamics of one-dimensional quantum droplets. Phys. Rev. A 2018, 98, 013631. [Google Scholar] [CrossRef] [Green Version]
- Tylutki, M.; Astrakharchik, G.E.; Malomed, B.A.; Petrov, D.S. Collective excitations of a one-dimensional quantum droplet. Phys. Rev. A 2020, 101, 051601. [Google Scholar] [CrossRef]
- Pathak, R.M.; Nath, A. Dynamics of Quantum Droplets in an External Harmonic Confinement. Sci. Rep. 2022, 12, 6904. [Google Scholar] [CrossRef] [PubMed]
- Morera, I.; Astrakharchik, G.E.; Polls, A.; Juliá-Díaz, B. Universal Dimerized Quantum Droplets in a One-Dimensional Lattice. Phys. Rev. Lett. 2021, 126, 023001. [Google Scholar] [CrossRef] [PubMed]
- Morera, I.; Astrakharchik, G.E.; Polls, A.; Juliá-Díaz, B. Quantum droplets of bosonic mixtures in a one-dimensional optical lattice. Phys. Rev. Res. 2020, 2, 022008. [Google Scholar] [CrossRef] [Green Version]
- Chomaz, L.; Petter, D.; Ilzhöfer, P.; Natale, G.; Trautmann, A.; Politi, C.; Durastante, G.; van Bijnen, R.M.W.; Patscheider, A.; Sohmen, M.; et al. Long-Lived and Transient Supersolid Behaviors in Dipolar Quantum Gases. Phys. Rev. X 2019, 9, 021012. [Google Scholar] [CrossRef] [Green Version]
- Norcia, M.A.; Politi, C.; Klaus, L.; Poli, E.; Sohmen, M.; Mark, M.J.; Bisset, R.; Santos, L.; Ferlaino, F. Two-dimensional supersolidity in a dipolar quantum gas. Nature (Lond.) 2021, 596, 357–361. [Google Scholar] [CrossRef] [PubMed]
- Young, S.L.E.; Adhikari, S.K. Supersolid-like square- and honeycomb-lattice crystallization of droplets in a dipolar condensate. Phys. Rev. A 2022, 105, 033311. [Google Scholar] [CrossRef]
- Otajonov, S.R.; Tsoy, E.N.; Abdullaev, F.K. Stationary and dynamical properties of one-dimensional quantum droplets. Phys. Lett. A 2019, 383, 34. [Google Scholar] [CrossRef] [Green Version]
- Nath, A.; Roy, U. Bose–Einstein condensate in a bichromatic optical lattice: An exact analytical model. Laser Phys. Lett. 2014, 11, 115501. [Google Scholar] [CrossRef]
- Halder, B.; Ghosh, S.; Basu, P.; Bera, J.; Malomed, B.; Roy, U. Exact Solutions for Solitary Waves in a Bose–Einstein Condensate under the Action of a Four-Color Optical Lattice. Symmetry 2022, 14, 49. [Google Scholar] [CrossRef]
- Inouye, S.; Andrews, M.R.; Stenger, J.; Miesner, H.-J.; Stamper-Kurn, D.M.; Ketterle, W. Observation of Feshbach resonances in a Bose–Einstein condensate. Nature 1998, 392, 151–154. [Google Scholar] [CrossRef]
- Viebahn, K.; Sbroscia, M.; Carter, E.; Yu, J.-C.; Schneider, U. Matter-Wave Diffraction from a Quasicrystalline Optical Lattice. Phys. Rev. Lett. 2019, 122, 110404. [Google Scholar] [CrossRef] [PubMed] [Green Version]
- Khaykovich, L.; Schreck, F.; Ferrari, G.; Bourdel, T.; Cubizolles, J.; Carr, L.D.; Castin, Y.; Salomon, C. Formation of a Matter-Wave Bright Soliton. Science 2002, 296, 1290–1293. [Google Scholar] [CrossRef] [PubMed] [Green Version]
- Zhang, T.; Jo, G.B. One-dimensional sawtooth and zigzag lattices for ultracold atoms. Sci. Rep. 2015, 5, 16044. [Google Scholar] [CrossRef] [Green Version]
- Kengne, E.; Liu, W.-M.; Malomed, B.A. Spatiotemporal engineering of matter-wave solitons in Bose–Einstein condensates. Phys. Rep. 2021, 899, 1–62. [Google Scholar] [CrossRef]
- Nath, A.; Bera, J.; Ghosh, S.; Panigrahi, P.K.; Roy, U. Soliton dynamics for an ingenious trap combination in a Bose–Einstein condensate. Eur. Phys. J. D 2020, 74, 27. [Google Scholar] [CrossRef]
- Mithun, T.; Maluckov, A.; Kasamatsu, K.; Malomed, B.A.; Khare, A. Modulational Instability, Inter-Component Asymmetry, and Formation of Quantum Droplets in One-Dimensional Binary Bose Gases. Symmetry 2020, 12, 174. [Google Scholar] [CrossRef] [Green Version]
- Kaur, P.; Gautam, S.; Adhikari, S.K. Supersolid-like solitons in a spin-orbit-coupled spin-2 condensate. Phys. Rev. A 2022, 105, 023303. [Google Scholar] [CrossRef]
- Vakhitov, N.; Kolokolov, A.A. Stationary solutions of the wave equation in a medium with nonlinearity saturation. Radiophys. Quantum Electron. 1973, 16, 783. [Google Scholar] [CrossRef]
- Sardanashvily, G. Noether’s Theorems. Applications in Mechanics and Field Theory; Springer: Berlin/Heidelberg, Germany, 2016. [Google Scholar]
- Owyed, S.; Abdou, M.A.; Abdel-Aty, A.-H.; Ibraheem, A.A.; Nekhili, R.; Baleanu, D. New optical soliton solutions of space-time fractional nonlinear dynamics of microtubules via three integration schemes. J. Intell. Fuzzy Syst. 2020, 38, 2859–2866. [Google Scholar] [CrossRef]
Publisher’s Note: MDPI stays neutral with regard to jurisdictional claims in published maps and institutional affiliations. |
© 2022 by the authors. Licensee MDPI, Basel, Switzerland. This article is an open access article distributed under the terms and conditions of the Creative Commons Attribution (CC BY) license (https://creativecommons.org/licenses/by/4.0/).






