Abstract
The unrelated parallel machine scheduling problem (UPMSP) is a typical production scheduling problem with certain symmetries on machines. Additional resources and preventive maintenance (PM) extensively exist on parallel machines; however, UPMSP with additional resources and PM has been scarcely investigated. Adaptive competition is also seldom implemented in the artificial bee colony algorithm for production scheduling. In this study, UPMSP with additional resources and PM is investigated, which has certain symmetries with machines. An artificial bee colony with adaptive competition (ABC-AC) is proposed to minimize the makespan. Two employed bee swarms are constructed and evaluated. In the employed bee phase, adaptive competition is used to dynamically decide two cases. The first is the shifting of search resources from the employed bee swarm with a lower evolution quality to another one, and the second is the migration of solutions from the employed bee swarm with a higher evolution quality to another one. An adaptive onlooker bee phase and a new scout phase are given. Extensive experiments are conducted on 300 instances. The computational results demonstrate that the new strategies of ABC-AC are effective, and ABC-AC provides promising results for the considered UPMSP.
1. Introduction
In the past decades, UPMSP has been extensively considered, and in most of works on UPMSP, the machine is the only considered resource; however, additional resources often exist in many real-world parallel machine manufacturing process. Additional resources include automated guided vehicles, machine operators, tools, pallets, dies and industrial robots, and the total number of the used additional resources on each machine cannot exceed a given threshold at any time. Unrelated parallel machine scheduling problem with additional resources (UPMSPR) has become a significant area of scheduling research, and many results have been obtained [,,,,,,,,,,,,,,,].
There are two types of UPMSPR. The first is UPMSPR with one additional resource [,,,,,,]. Zheng and Wang [] proposed a two-stage adaptive fruit fly optimization algorithm (TAFOA) with a heuristic and knowledge-guided search for the problem with renewable resource. Fanjul-Peyro et al. [] presented two integer linear programming models and three math-euristics. Fleszar and Hindi [] presented an efficient mixed-integer linear programming (MILP) model and a constraint programming model.
Zheng and Wang [] developed a collaborative multi-objective fruit fly optimization algorithm for UPMSPR with carbon emission minimization. Villa et al. [] gave several heuristics based on resource constraint and assignment rule. Vallada et al. [] applied an enriched scatter search and an enriched iterated greedy. The second is UPMSPR with multiple additional resources [,,,,,,,].
UPMSP with some types of dies as second resources [] and UPMSP with auxiliary resources in a photolithography workshop are solved by heuristic and memetic algorithms. Afzalirad and Shafipour [] presented an integer mathematical programming model and two genetic algorithms (GA) for UPMSPR with eligibility restrictions. Al-Harkan and Qamhan [] developed a two-stage hybrid meta-heuristic for solving UPMSPR with non-zero arbitrary release dates and sequence-dependent setup times (SDST). UPMSPR with more than two conditions and constraints have also been studied [,,,], including processing resources, setup resources and shared resources [], setup times and additional limited resources in setup [], SDST, precedence relation, machine eligibility and release dates [] and release dates, SDST []. These problems are handled by using a three-phase algorithm [], heuristics and GRASP algorithm [] and a modified harmony search algorithm [].
Generally, preventive maintenance (PM) is an effective way to prevent potential failures and serious accidents in parallel machines. Regarding UPMSP with PM, Yang et al. [] found that UPMSP with aging effects, PM and total machine load minimization can be solved by polynomial algorithm. Tavana et al. [] proposed a three-stage maintenance scheduling model for UPMSP with aging effect and multi-maintenance activities. Wang and Liu [] proposed an improved non-dominated sorting genetic algorithm-II for UPMSP with multi-resource PM planning.
Several performance criteria, different maintenance systems and a new method are presented for UPMSP with deteriorating maintenance []. UPMSP with PM and SDST is often considered by using a meta-heuristic with a multi-start strategy [], a novel imperialist competitive algorithm with an estimation of distribution algorithm and an artificial bee colony (ABC) with swarm division and swarm updating with optimization data []. Pang et al. [] proposed a feature-extraction-based iterated algorithm for UPMSP with release times and maintenance activities. Lei and Yi [] presented a differentiated shuffled frog-leaping algorithm for solving UPMSP with deteriorating PM and SDST.
As stated above, additional resources and PM are frequently considered constraints in many parallel machine processes, and some results have been obtained on UPMSP with these two constraints. Although additional resources and PM often appear simultaneously in parallel machine shops, optimization results of UPMSP including these can effectively reflect real-life situations, and the obtained schedule has high application value, UPMSP with these two constraints is seldom studied; thus, it is necessary to solve UPMSP with additional resources and PM.
On the other hand, UPMSPR and UPMSP with PM are solved with polynomial time algorithms, heuristics and meta-heuristics; moreover, meta-heuristics have been successfully applied to solve the above two UPMSP [,]. As typical stochastic optimization methods [], meta-heuristics are not applied to solve UPMSP with the above two constraints, and some meta-heuristics, such as ABC, are seldom used to deal with UPMSPR and UPMSP with PM, let alone UPMSPR with PM; thus, meta-heuristics, including ABC should be studied well to obtain competitive approaches to UPMSPR with PM.
ABC is a meta-heuristic inspired by the intelligent foraging behavior of honeybee swarms []. It has features including simplicity and the ease of implementation. In the past decade, as a main approach to optimization problems [,], ABC has been successfully applied to solve various production scheduling problems [,,,,,,,,,,]. ABC also has been successfully applied to solve UPMSP [,,,,], and some ABC algorithms were proposed, including hybrid ABC with iterated greedy and simulated annealing-based acceptance rule [].
ABC with a new neighborhood approach [], hybrid ABC-tabu search [] and improved ABC with problem-related knowledge and knowledge-based neighborhood search []. UPMSPR with PM is an extended UPMSP with additional resources and PM. It has some similar characteristics to UPMSP by ABC [,,,,]. For example, they have the same sub-problems. The previous works on ABC for UPMSP and the relations between UPMSP and UPMSPR with PM that ABC is a potential good optimization algorithm to solve UPMSPR with PM; therefore, ABC is used.
When two bee swarms or multiple bee swarms are used, adaptive competition as an effective way is implemented among bee swarms in previous ABC [,]. Chu et al. [] presented an adaptive competition by evaluation of swarm and solutions of migration from the inferior swarm to superior one. Wang et al. [] proposed an adaptive competition in the onlooker bee phase, in which two employed bee swarms are given a selection probability. Adaptive competitions can effectively use search advantages of the winning bee swarms and intensify the search efficiency of ABC; however, adaptive competition is seldom investigated in ABC, and the corresponding implementations are also limited.
In this study, UPMSPR with PM and makespan minimization is considered. An effective way is provided to implement adaptive competition, and a novel artificial bee colony with adaptive competition (ABC-AC) is proposed. Two employed bee swarms are constructed and compared according to evolution quality. In the employed bee phase, adaptive competition is fulfilled to dynamically select the following two cases. The first is the shifting of search resources from the employed bee swarm with lower evolution quality to another one, and the second is the migration of solutions from the employed bee swarm with higher evolution quality to another one. An adaptive onlooker bee phase is implemented, and a new scout phase is given. A number of experiments are conducted. The computational results demonstrate that new strategies of ABC-AC are effective and that ABC-AC is a competitive algorithm for solving the considered UPMSPR.
The rest of the paper is arranged as follows. Section 2 describes the considered UPMSPR with PM. ABC is introduced in Section 3. Section 4 shows the detailed steps of ABC-AC for UPMSPR with PM. Section 5 presents the computational results and analyses. The conclusions and future topics are reported in the final section.
2. Problem Description
UPMSPR with PM is described as follows. There are n jobs and m unrelated parallel machines . Each job can be processed on any one of m machines. indicates processing time of job on machine . An additional renewable resource is considered. Job processed on needs units of the additional resource. At most, units of the additional resource can be used at any time.
To keep the manufacturing system at the desired level of operation, PM is considered. A time interval exists between two consecutive PM and jobs are processed in the interval. is the length of the interval on , indicates the duration of PM on and the beginning time of the g-th PM is .
There have following constraints on jobs and machines.
All jobs and machines are available at time zero.
Each job can be processed on only one machine at a time.
Each machine handles at most one job at a time.
Preemption is not allowed.
The problem is composed of the scheduling sub-problem and machine assignment sub-problem. The goal of the problem is to minimize the makespan.
where indicates the maximum completion time of all jobs.
For UPMSP with the objective of makespan, on each machine, there exists a job-related symmetry, that is, two adjacent jobs are exchanged, and the objective is not changed. When additional resources are considered, there is a certain amount of destruction on the above symmetry; however, the symmetry still exists.
An example with eight jobs and two machines is given with . Its schedule is shown in Figure 1, in which numbers in each box are job and how many units of the additional resource are used. For example, 8(6) on machine , 8 means job , and 6 indicates of 6. ; .

Figure 1.
A schedule of the example.
3. Introduction to ABC
In ABC, there are three types of artificial bees. The first is employed bee, who searches for the food source. The second is the onlooker bee, who is in the hive to choose a food source. The third is the scout, who does random searches for a new food source. A solution of the problem is depicted as the position of a food source, the nectar amount of which is the fitness of the solution.
In the search process, the initial population P with N solutions is first produced, and then three phases—bee phase, onlooker bee phase and scout phase—are performed repeatedly before the stopping condition is met.
In the employed bee phase, a new solution is produced for each .
where is a real random number, and is a randomly selected solution, .
Greedy selection is applied between and : if , then substitutes for , where denotes the fitness of .
In the onlooker bee phase, each onlooker bee chooses a food source by roulette selection based on the probability defined by
where indicates the probability of solution .
Once an onlooker bee selects a food solution , a new solution is obtained by Equation (2) and the above greedy selection is applied to decide if can be replaced with .
In the above two phases, a is computed for each . Initially, for all solutions in P. If the newly obtained cannot update , then ; otherwise, .
In scout phase, if of a food source exceeds a threshold , the corresponding employed bee will turn into a scout, which randomly produces a food source to substitute for the old one.
4. ABC-AC for UPMSPR with PM
Competition is often performed among populations or swarms in the following way. After populations or swarms are evaluated, the winning population or swarm are determined, and then solutions of other population or swarm are migrated to the winning one. In this study, a new way is applied to execute adaptive competition, in which solution migration or search resource shifting between two employed bee swarms are dynamically decided according to competition results, adaptive onlooker bee phase and a scout phase are also newly implemented. The detailed descriptions are shown below.
4.1. Solution Representation
In this study, a new solution representation is presented. For UPMSPR with n jobs, m machines, units of the additional resource and PM, its solution is represented as a machine assignment string and a scheduling string , where is the assigned machine for job and is real number.
The decoding procedure is shown below.
- (1)
- All assigned jobs on each machine are decided in terms of machine assignment string;
- (2)
- For each machine , (1) a permutation of all jobs on is gotten by sorting these jobs in the ascending order of , (2) for the permutation, start with first job, for each job , first decide each idle period of , if can be inserted into some idle periods when processing time and resource constraint are met, then choose an idle period with the smallest beginning time and insert into the chosen period in terms of processing time and resource constraint; otherwise, is processed after the current last processed job of ; if the completion time of exceeds , then PM is first done, and then is processed.
All constraints of UPMSPR with PM are directly handled in the decoding procedure, and the obtained schedule is always feasible. A solution of the example in Section 2 is and , and the corresponding schedule is depicted in Figure 1. As shown in Figure 1, is assigned on , and ; moreover, all constraints are met, and thus a feasible schedule is obtained.
A solution with m job sequences [] and a representation method with three strings [] are used to denote solutions of UPMSPR; however, strings or job sequences in these methods are dependent each other. In this study, machine assignment string and scheduling string are independent, and additional resources are effectively handled in the decoding procedure.
The initial population with N solutions is produced as follows. A heuristic is presented for an initial solution. Each job is first assigned on a machine with the smallest and allocated on a with the smallest when , then scheduling string is randomly produced. The remaining initial solutions are randomly generated.
After initial population P is produced, all solutions in P are sorted in the ascending order of , suppose that ; then, is added into , is included into , is assigned into , becomes a member of and so on; finally, two employed bee swarms are obtained, where indicates makespan of solution .
4.2. Employed Bee Phase with Adaptive Competition
Adaptive competition is performed between and based on their evolution quality, which is defined below.
where is the evolution quality of on generation , if is replaced with z in the employed bee phase on generation , is 1; otherwise 0.
When and are compared, if , then obtains extra R searches from , that is, is given searches and has searches. One search means that, for a solution , global search is first done and then a multiple neighborhood search of is executed.
For solution , global search is shown as follows. Randomly choose a solution , execute two-point crossover between on machine assignment string, if the obtained solution z is better than , then update with and replace with z; else perform two-point crossover between on scheduling string, if the produced solution z is better than , then update with and replace with z.
denotes a set of historical optimization data and is updated as follows. If , then solution z is directly included into ; otherwise, if z is better than the worst member of , then the worst member is replaced with z, where indicates maximum size of . We set to be 50 by experiments.
Neighborhood structures are used. is depicted as follows. A randomly chosen job from a machine with the longest completion time is moved to a machine with smallest completion time. generates new solutions by deciding a randomly selected job on a machine with the longest completion time and a randomly chosen job on machine and swapping them. is shown below. Randomly decide two machines and swap a randomly selected job on and a randomly chosen job on . In , only machine assignment string is changed.
is applied to obtain new solutions by randomly deciding a machine and two jobs on and exchanging them. When is done, a , on are randomly determined, ten is inserted on the position of scheduling string, if , is inserted on position j. Multiple neighborhood search of is shown below. Let , repeat the following steps until : produce a solution , if , then is replaced with z and ; otherwise, .
is defined. Initial , . If obtains extra seach times from , then and . To avoid excessive competition, solution migration is executed if one of and exceeds or is equal to Q. If , then R solutions with smallest makespan are chosen from and substitutes for the worst R solutions of , and reduced variable neighborhood search (RVNS) acts on each of R newly added solutions of , where Q is integer.
It can be found that when , must be 0, and thus only one of and exceeds or is equal to Q. RVNS is performed for solution x: let , , repeat the following steps until : produce a new solution , if z is better than x, then update with y and replace y with z, and ; otherwise, , let if , where T is integer.
Employed bee phase is composed of two cases. If and , then the first case is executed; otherwise, the second case is performed. The first case is executed as follows.
- (1)
- Compute and .
- (2)
- If , then , execute sequentially one search for each solution in and .
- (3)
- If , then , , sort all solutions of and , respectively, in the ascending order of makespan, let W be the set of R solutions with smallest makespan from , execute one search for each solution in and one search for each , sequentially, perform one search for each of the first solutions of .
- (4)
- If , then , , obtains extra R searches and just has searches as done in (3).
The second case is described below. If , R solutions with best makespan are chosen from , for each chosen solution , if it is better than the worst solution of , then the worst solution y of is replaced with x and RVNS acts on y.
When the second case is executed, solution migration is applied, RVNS only acts on the transferred solutions from with and searches of the first case are not done, as a result, evolution quality of can be improved and can win in the next competition with .
and compete according to evolution quality, excessive competition is considered and the worse employed bee swarm is improved, as a result, and can compete extensively.
4.3. Adaptive Onlooker Bee Phase and New Scout Phase
Adaptive onlooker bee phase is shown as follows.
- (1)
- Compute and
- (2)
- If random number , then is chosen; otherwise, is selected
- (3)
- For each onlooker bee , select a x from the chosen empoyed bee swarm by roulette selection in Section 3, execute one search for the solution x.
where follows uniform distribution on [0, 1], is equal to .
In the onlooker bee phase, a employed bee swarm is selected adaptively. If , then the probability of is less than that of and has higher possibility than in step (2), that is, with lower solution quality is given higher selection possiblity, as a result, may possess more searches, its solutions can be improved, and can win in the next competition.
A new scout phase is described below.
- (1)
- Sort all solutions of P in the ascending order of
- (2)
- For each solution with ,
If , then for each solution , compute its probability ; then, select a solution by roulette selection based on ; produce , sequentially, the best directly substitutes for .
Otherwise, a set with solutions is constructed, and a solution is selected using the same way in the first case; we generate , and the best them becomes new .
4.4. Algorithm Description
The detailed steps of ABC-AC are shown as follows.
- (1)
- Randomly produce initial population P with N solutions and divide the whole population into and , .
- (2)
- Execute employed bee phase with adaptive competition.
- (3)
- Perform onlooker bee phase.
- (4)
- Execute scout phase.
- (5)
- . If the stopping condition is not met, go to step (2); otherwise, stop the search.
Unlike the previous ABCs [,,,,,,,,,,,,,,], ABC-AC has the following features. (1) Two employed bee swarms are constructed, and the employed bee phase consists of two cases, searches shifting and solution migration between and . An adaptive competition is performed between and to dynamically select one of two cases on each generation. (2) In the onlooker bee phase, one employed bee swarm is first chosen adaptively, and then all onlooker bees select food sources from the selected employed bee swarm.
A new scout phase is implemented based on the solution quality. Competitive and adaptive onlooker bee phase that lead to have more chance to improve performance when and , as a result, can win extra R search in the next employed bee phase, and can compete well and the possibility of falling local optimal can reduce notably; therefore, the search efficiency can be improved.
5. Computational Experiments
Many experiments are conducted to test the performance of ABC-AC for UPMSPR with PM. All experiments were implemented using Microsoft Visual C++ 2019 and run on 8.0G RAM 2.30 GHz CPU PC.
5.1. Test Instances and Comparative Algorithms
A total of 300 instances were used [], which can be obtained directly from http://soa.iti.es (accessed on 19 May 2022). , is an integer selected from the same interval as , . denotes an integer being closet to x. Five ways were used to produce processing time, and two ways were applied to generate additional resource; thus, 10 combinations of processing time and additional resources were used. is defined as a combination of the a-th way of processing time and the b-th way of additional resource. for and for , and thus the instance is depicted as .
TAFOA [] and a multi-pass heuristic (MPH) [] are chosen as comparative algorithm because they can be directly used to solve UPMSPR with PM. Salehi Mir and Rezaeian [] presented a hybrid particle swarm optimization and genetic algorithm (HPSOGA), which can be directly applied to our UPMSPR after the decoding procedure of ABC-AC is adopted; therefore, we selected it as a comparative algorithm.
ABC is constructed to show the effect of new strategies of ABC-AC, which are adaptive competition, adaptive onlooker bee phase and new scout phase. In ABC, only one employed bee swarm and no adaptive competition is used in the employed bee phase, each onlooker bee selects a food source according to probability and a randomly chosen neighborhood structure is performed on the selected food source. The scout phase of Section 3 is directly adopted.
5.2. Parameter Settings
ABC-AC has the following parameters: N, R, T, Q, , and stopping condition. We found that ABC-AC can converge well with seconds of CPU time, and seconds CPU time also can be used as a stopping condition of comparative algorithms. Thus, seconds of CPU time is used as the stopping condition.
Then, we apply the Taguchi method [] to decide the settings for other parameters. We select instance . Table 1 gives the levels of each parameter. The orthogonal array is tested. ABC-AC with each combination run 10 times independently for the chosen instance.

Table 1.
Parameters and their levels.
Figure 2 shows the results of and ratio, in which the ratio is defined as and is the best solution found in 10 runs. As shown in Figure 2, it can be found that ABC-AC with following combination , , , , and can obtain better results than ABC-AC with other combinations; thus, the above combination is adopted.

Figure 2.
The mean MIN and the mean S/N ratio of MIN.
ABC has following parameters: and .
Parameter settings of three comparative algorithms are directly selected from references [,,] except that the stopping condition. We also test these settings for each comparative algorithm by Taguchi method. The experimental results show that those settings of each comparative algorithm are still effective and comparative algorithms with those settings can produce better results than MPH, HPSOGA and TAFOA with other settings.
5.3. Results and Discussion
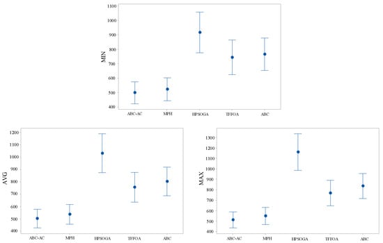
ABC-AC is compared with ABC and three comparative algorithms. Each of five algorithms randomly runs 10 times on each instance. The corresponding results of all algorithms are shown in Table 2, Table 3, Table 4, Table 5, Table 6 and Table 7 and Table A1, Table A2 and Table A3, where is the average value of 10 elite solutions obtained in 10 runs, and is the worst of 10 elite solutions in 10 runs. Table A1, Table A2 and Table A3 are listed in Appendix A. Figure 3 presents a mean plot with a 95% confidence interval.

Table 2.
The results of five algorithms on (1).

Table 3.
The results of five algorithms on (2).

Table 4.
The results of five algorithms on (3).

Table 5.
The results of five algorithms on (1).

Table 6.
The results of five algorithms on (2).

Table 7.
The results of five algorithms on (3).

Figure 3.
Mean plot with 95% confidence interval.
As shown in Table 2, Table 3 and Table 4, ABC-AC produces better than or identical with ABC on all instances; moreover, of ABC is worse than that of ABC-AC by at least 20 on more than 210 instances. ABC-AC converges better than ABC. This conclusion also can be obtained from Figure 3. It also can be found from Table 5, Table 6 and Table 7 and Table A1, Table A2 and Table A3 and Figure 3 that ABC-AC performs significantly than ABC on and . ABC-AC produces smaller and than ABC on all instances and and of ABC-AC are notably less than those of ABC on all instances with . ABC-AC significantly outperforms ABC on convergence, average result and stability; thus, it can be concluded that the usage of new strategies, such as adaptive competition has a positive impact on the performance of ABC-AC.
It can be found from Table 2, Table 3 and Table 4 that ABC-AC converges better than its comparative algorithms. ABC-AC produces smaller than or identical with three comparative algorithms on 258 of 300 instances; moreover, of ABC-AC is less than that of TAFOA by at least 20 on 241 instances, smaller than that of MPH by at least 20 on 66 instances and better than that of HPSOGA by at least 20 on more than 250 instances. ABC-AC has better convergence than MPH, HSPOGA and TAFOA. This conclusion can also be drawn from Figure 3.
As shown in Table 5, Table 6 and Table 7, ABC-AC obtains smaller than or the same as MPH, TAFOA and HPSOGA on 278 instances; moreover, of ABC-AC is better than that of its all comparative algorithms by at least 10 on more than 160 instances. ABC-AC possesses better average performance than its three comparative algorithms. Figure 3 also depicts the average performance differences between ABC-AC and each comparative algorithm.
It also can be seen from Table A1, Table A2 and Table A3 that of ABC-AC exceeds that of three comparative algorithms on only 18 instances. ABC-AC has smaller than comparative algorithms by at least 10 on 253 instances. Figure 3 also shows that ABC-AC possesses better stability than the comparative algorithms.
The good performance of ABC-AC results from its adaptive competition, adaptive onlooker bee phase and new scout phase. Adaptive competition and adaptive onlooker bee phase can effectively lead to the extensive competition between two employed bee swarms, which can be evolved fully. A new scout phase can effectively extend the exploitation ability of ABC-AC. These features can result in a low possibility of a falling local optimum and a good balance between exploration and exploitation; thus, ABC-AC is a competitive algorithm for UPMSPR with PM.
6. Conclusions and Future Research
The consideration of additional resources and PM leads to a high application value of the results of UPMSPR with PM, and competition between swarms is an effective path to intensify the performance of ABC. In this study, new adaptive competition was implemented, and ABC-AC was proposed to solve UPMSPR with PM. Two employed bee swarms were evaluated and compete with each other in an adaptive way to dynamically select one from two cases employed in the bee phase.
The first is the shifting of search resources from the employed bee swarm with lower evolution quality to another one, and the second is the migration of solutions from the employed bee swarm with higher evolution quality to another one. An adaptive onlooker bee phase was implemented, and a new scout phase was given. A number of experiments were conducted on 300 instances. The computational results demonstrate that the new strategies of ABC-AC are effective, and ABC-AC has promising advantages in solving the considered UPMSPR.
Additional resources (learning effect, deteriorating jobs, etc.) often exist in an unrelated parallel machine manufacturing process; UPMSPR with these constraints is a future research topic. We will attempt to solve the above problems using meta-heuristics, such as the imperialist competitive algorithm. Competition or cooperation among populations are effective paths to improve the performance of meta-heuristics with multiple populations, and we will apply new methods to implement competition or cooperation to obtain new meta-heuristics with a high search efficiency. The hybrid flow shop scheduling problem with additional resources is also a future topic of ours.
Author Contributions
Methodology, M.L.; software, H.X. and D.L.; data curation, H.X. and D.L.; computation experiments; writing—review and editing, H.X. and D.L. All authors have read and agreed to the published version of the manuscript.
Funding
This work was supported by the National Natural Science Foundation of China (61573264).
Institutional Review Board Statement
Not applicable.
Informed Consent Statement
Not applicable.
Data Availability Statement
Not applicable.
Conflicts of Interest
The authors declare no conflict of interest.
Appendix A

Table A1.
The results of five algorithms on (1).
Table A1.
The results of five algorithms on (1).
Instance | ABC-AC | MPH | HPSOGA | TAFOA | ABC | Instance | ABC-AC | MPH | HPSOGA | TAFOA | ABC |
---|---|---|---|---|---|---|---|---|---|---|---|
8 × 2 × 1 | 326 | 326 | 357 | 326 | 326 | 12 × 6 × 1 | 145 | 161 | 240 | 174 | 161 |
8 × 2 × 2 | 269 | 269 | 277 | 326 | 269 | 12 × 6 × 2 | 151 | 156 | 188 | 162 | 160 |
8 × 2 × 3 | 197 | 216 | 209 | 197 | 198 | 12 × 6 × 3 | 62 | 62 | 80 | 70 | 72 |
8 × 2 × 4 | 241 | 252 | 413 | 283 | 251 | 12 × 6 × 4 | 63 | 65 | 115 | 87 | 72 |
8 × 2 × 5 | 194 | 194 | 244 | 194 | 194 | 12 × 6 × 5 | 49 | 50 | 92 | 82 | 76 |
8 × 2 × 6 | 139 | 139 | 164 | 139 | 139 | 12 × 6 × 6 | 57 | 60 | 105 | 64 | 71 |
8 × 2 × 7 | 204 | 205 | 259 | 224 | 204 | 12 × 6 × 7 | 57 | 67 | 116 | 111 | 87 |
8 × 2 × 8 | 171 | 171 | 212 | 171 | 171 | 12 × 6 × 8 | 64 | 82 | 102 | 77 | 85 |
8 × 2 × 9 | 544 | 544 | 607 | 544 | 544 | 12 × 6 × 9 | 250 | 308 | 403 | 480 | 284 |
8 × 2 × 10 | 577 | 577 | 708 | 634 | 634 | 12 × 6 × 10 | 263 | 323 | 439 | 322 | 305 |
8 × 4 × 1 | 124 | 131 | 176 | 137 | 131 | 16 × 2 × 1 | 573 | 645 | 719 | 664 | 623 |
8 × 4 × 2 | 119 | 125 | 164 | 126 | 126 | 16 × 2 × 2 | 600 | 655 | 763 | 690 | 654 |
8 × 4 × 3 | 174 | 192 | 183 | 190 | 177 | 16 × 2 × 3 | 522 | 534 | 613 | 544 | 557 |
8 × 4 × 4 | 123 | 124 | 152 | 171 | 131 | 16 × 2 × 4 | 642 | 813 | 1107 | 803 | 804 |
8 × 4 × 5 | 80 | 96 | 97 | 122 | 80 | 16 × 2 × 5 | 332 | 348 | 608 | 341 | 361 |
8 × 4 × 6 | 66 | 78 | 103 | 78 | 78 | 16 × 2 × 6 | 264 | 284 | 424 | 307 | 300 |
8 × 4 × 7 | 91 | 100 | 116 | 100 | 96 | 16 × 2 × 7 | 363 | 394 | 548 | 384 | 406 |
8 × 4 × 8 | 78 | 89 | 112 | 89 | 90 | 16 × 2 × 8 | 358 | 386 | 505 | 388 | 418 |
8 × 4 × 9 | 279 | 326 | 364 | 357 | 292 | 16 × 2 × 9 | 1165 | 1392 | 1631 | 1337 | 1416 |
8 × 4 × 10 | 275 | 317 | 382 | 342 | 317 | 16 × 2 × 10 | 1219 | 1416 | 1785 | 1718 | 1449 |
8 × 6 × 1 | 103 | 109 | 118 | 115 | 103 | 16 × 4 × 1 | 283 | 325 | 545 | 340 | 355 |
8 × 6 × 2 | 106 | 106 | 134 | 114 | 106 | 16 × 4 × 2 | 213 | 229 | 329 | 255 | 240 |
8 × 6 × 3 | 46 | 46 | 57 | 53 | 77 | 16 × 4 × 3 | 181 | 194 | 263 | 383 | 208 |
8 × 6 × 4 | 71 | 75 | 90 | 87 | 78 | 16 × 4 × 4 | 140 | 159 | 170 | 163 | 165 |
8 × 6 × 5 | 36 | 36 | 68 | 56 | 44 | 16 × 4 × 5 | 80 | 90 | 171 | 114 | 117 |
8 × 6 × 6 | 58 | 58 | 67 | 58 | 58 | 16 × 4 × 6 | 90 | 102 | 175 | 102 | 154 |
8 × 6 × 7 | 42 | 42 | 68 | 68 | 49 | 16 × 4 × 7 | 112 | 117 | 157 | 158 | 160 |
8 × 6 × 8 | 62 | 62 | 77 | 62 | 62 | 16 × 4 × 8 | 121 | 128 | 238 | 121 | 175 |
8 × 6 × 9 | 214 | 227 | 255 | 254 | 217 | 16 × 4 × 9 | 488 | 532 | 626 | 711 | 560 |
8 × 6 × 10 | 218 | 226 | 301 | 230 | 225 | 16 × 4 × 10 | 508 | 558 | 705 | 566 | 603 |
12 × 2 × 1 | 326 | 326 | 453 | 326 | 328 | 16 × 6 × 1 | 146 | 159 | 209 | 167 | 172 |
12 × 2 × 2 | 593 | 684 | 775 | 663 | 605 | 16 × 6 × 2 | 153 | 159 | 221 | 238 | 171 |
12 × 2 × 3 | 380 | 415 | 527 | 399 | 396 | 16 × 6 × 3 | 123 | 126 | 202 | 162 | 146 |
12 × 2 × 4 | 292 | 332 | 421 | 329 | 324 | 16 × 6 × 4 | 115 | 126 | 154 | 296 | 124 |
12 × 2 × 5 | 171 | 175 | 195 | 176 | 175 | 16 × 6 × 5 | 67 | 75 | 145 | 82 | 106 |
12 × 2 × 6 | 261 | 280 | 335 | 261 | 280 | 16 × 6 × 6 | 62 | 75 | 146 | 75 | 108 |
12 × 2 × 7 | 205 | 205 | 208 | 205 | 206 | 16 × 6 × 7 | 95 | 95 | 181 | 110 | 127 |
12 × 2 × 8 | 296 | 318 | 436 | 300 | 320 | 16 × 6 × 8 | 85 | 100 | 151 | 95 | 122 |
12 × 2 × 9 | 774 | 774 | 1164 | 774 | 811 | 16 × 6 × 9 | 356 | 389 | 492 | 389 | 402 |
12 × 2 × 10 | 1035 | 1094 | 1195 | 1129 | 1091 | 16 × 6 × 10 | 360 | 389 | 535 | 413 | 413 |
12 × 4 × 1 | 235 | 253 | 353 | 285 | 272 | 20 × 2 × 1 | 563 | 699 | 725 | 621 | 654 |
12 × 4 × 2 | 204 | 218 | 242 | 242 | 221 | 20 × 2 × 2 | 622 | 674 | 799 | 701 | 669 |
12 × 4 × 3 | 214 | 253 | 416 | 305 | 269 | 20 × 2 × 3 | 728 | 860 | 1291 | 1001 | 1004 |
12 × 4 × 4 | 229 | 244 | 301 | 269 | 240 | 20 × 2 × 4 | 596 | 710 | 946 | 753 | 753 |
12 × 4 × 5 | 93 | 96 | 164 | 94 | 117 | 20 × 2 × 5 | 448 | 482 | 568 | 448 | 515 |
12 × 4 × 6 | 70 | 84 | 128 | 91 | 113 | 20 × 2 × 6 | 338 | 422 | 559 | 424 | 422 |
12 × 4 × 7 | 112 | 115 | 160 | 125 | 138 | 20 × 2 × 7 | 504 | 568 | 644 | 528 | 579 |
12 × 4 × 8 | 98 | 107 | 151 | 134 | 131 | 20 × 2 × 8 | 397 | 549 | 659 | 533 | 568 |
12 × 4 × 9 | 403 | 438 | 546 | 439 | 451 | 20 × 2 × 9 | 1468 | 1735 | 2174 | 1701 | 1880 |
12 × 4 × 10 | 388 | 444 | 562 | 444 | 446 | 20 × 2 × 10 | 1507 | 1610 | 2126 | 1926 | 1956 |

Table A2.
The results of five algorithms on (2).
Table A2.
The results of five algorithms on (2).
Instance | ABC-AC | MPH | HPSOGA | TAFOA | ABC | Instance | ABC-AC | MPH | HPSOGA | TAFOA | ABC |
---|---|---|---|---|---|---|---|---|---|---|---|
20 × 4 × 1 | 355 | 383 | 671 | 470 | 463 | 30 × 2 × 1 | 1303 | 1624 | 1733 | 1660 | 1650 |
20 × 4 × 2 | 304 | 312 | 391 | 371 | 338 | 30 × 2 × 2 | 915 | 965 | 1146 | 932 | 1017 |
20 × 4 × 3 | 164 | 175 | 189 | 183 | 179 | 30 × 2 × 3 | 371 | 374 | 429 | 410 | 416 |
20 × 4 × 4 | 170 | 178 | 189 | 233 | 184 | 30 × 2 × 4 | 992 | 1164 | 1380 | 1375 | 1199 |
20 × 4 × 5 | 126 | 130 | 234 | 152 | 181 | 30 × 2 × 5 | 670 | 789 | 1050 | 814 | 894 |
20 × 4 × 6 | 111 | 130 | 215 | 143 | 176 | 30 × 2 × 6 | 697 | 820 | 1076 | 924 | 945 |
20 × 4 × 7 | 153 | 165 | 258 | 183 | 218 | 30 × 2 × 7 | 759 | 884 | 1095 | 914 | 1012 |
20 × 4 × 8 | 149 | 179 | 235 | 184 | 213 | 30 × 2 × 8 | 784 | 939 | 1142 | 889 | 959 |
20 × 4 × 9 | 631 | 677 | 1116 | 691 | 732 | 30 × 2 × 9 | 2303 | 2869 | 3206 | 2901 | 3090 |
20 × 4 × 10 | 629 | 729 | 1096 | 681 | 728 | 30 × 2 × 10 | 2544 | 2937 | 3450 | 2932 | 2994 |
20 × 6 × 1 | 210 | 223 | 314 | 264 | 260 | 30 × 4 × 1 | 405 | 459 | 702 | 543 | 581 |
20 × 6 × 2 | 203 | 225 | 267 | 298 | 229 | 30 × 4 × 2 | 389 | 408 | 651 | 443 | 461 |
20 × 6 × 3 | 180 | 188 | 286 | 316 | 198 | 30 × 4 × 3 | 357 | 376 | 449 | 419 | 423 |
20 × 6 × 4 | 59 | 71 | 133 | 71 | 84 | 30 × 4 × 4 | 382 | 413 | 604 | 547 | 426 |
20 × 6 × 5 | 79 | 94 | 190 | 102 | 144 | 30 × 4 × 5 | 156 | 176 | 539 | 190 | 314 |
20 × 6 × 6 | 59 | 62 | 155 | 65 | 121 | 30 × 4 × 6 | 130 | 150 | 305 | 156 | 286 |
20 × 6 × 7 | 107 | 114 | 231 | 140 | 163 | 30 × 4 × 7 | 219 | 221 | 556 | 254 | 346 |
20 × 6 × 8 | 84 | 92 | 183 | 106 | 148 | 30 × 4 × 8 | 179 | 209 | 399 | 204 | 344 |
20 × 6 × 9 | 445 | 479 | 696 | 534 | 521 | 30 × 4 × 9 | 1140 | 1219 | 1599 | 1233 | 1360 |
20 × 6 × 10 | 435 | 473 | 634 | 497 | 522 | 30 × 4 × 10 | 1080 | 1138 | 1436 | 1119 | 1306 |
25 × 2 × 1 | 770 | 934 | 1120 | 919 | 914 | 30 × 6 × 1 | 314 | 331 | 560 | 455 | 406 |
25 × 2 × 2 | 772 | 798 | 895 | 802 | 825 | 30 × 6 × 2 | 268 | 290 | 460 | 316 | 318 |
25 × 2 × 3 | 1520 | 1752 | 2222 | 2215 | 1953 | 30 × 6 × 3 | 226 | 243 | 374 | 568 | 271 |
25 × 2 × 4 | 281 | 312 | 369 | 299 | 332 | 30 × 6 × 4 | 277 | 302 | 455 | 857 | 336 |
25 × 2 × 5 | 632 | 748 | 1069 | 728 | 851 | 30 × 6 × 5 | 75 | 81 | 245 | 105 | 173 |
25 × 2 × 6 | 474 | 530 | 689 | 524 | 596 | 30 × 6 × 6 | 82 | 101 | 282 | 129 | 219 |
25 × 2 × 7 | 713 | 919 | 1100 | 765 | 970 | 30 × 6 × 7 | 114 | 123 | 313 | 142 | 201 |
25 × 2 × 8 | 559 | 611 | 698 | 594 | 664 | 30 × 6 × 8 | 127 | 136 | 309 | 172 | 253 |
25 × 2 × 9 | 2150 | 2395 | 3010 | 2269 | 2721 | 30 × 6 × 9 | 581 | 632 | 1041 | 642 | 700 |
25 × 2 × 10 | 2018 | 2222 | 2739 | 2191 | 2234 | 30 × 6 × 10 | 608 | 642 | 1279 | 723 | 812 |
25 × 4 × 1 | 339 | 356 | 608 | 517 | 497 | 50 × 10 × 1 | 299 | 306 | 502 | 371 | 381 |
25 × 4 × 2 | 422 | 447 | 709 | 648 | 483 | 50 × 10 × 2 | 277 | 303 | 434 | 394 | 337 |
25 × 4 × 3 | 309 | 350 | 478 | 403 | 392 | 50 × 10 × 3 | 326 | 335 | 613 | 932 | 395 |
25 × 4 × 4 | 171 | 174 | 215 | 189 | 193 | 50 × 10 × 4 | 262 | 263 | 608 | 432 | 364 |
25 × 4 × 5 | 133 | 145 | 297 | 141 | 257 | 50 × 10 × 5 | 70 | 72 | 433 | 120 | 275 |
25 × 4 × 6 | 160 | 190 | 367 | 182 | 278 | 50 × 10 × 6 | 81 | 103 | 339 | 131 | 257 |
25 × 4 × 7 | 175 | 182 | 359 | 190 | 288 | 50 × 10 × 7 | 110 | 110 | 461 | 173 | 295 |
25 × 4 × 8 | 199 | 245 | 471 | 224 | 324 | 50 × 10 × 8 | 133 | 164 | 360 | 174 | 281 |
25 × 4 × 9 | 759 | 776 | 1219 | 791 | 1102 | 50 × 10 × 9 | 581 | 634 | 1375 | 1008 | 1057 |
25 × 4 × 10 | 826 | 995 | 1322 | 995 | 1220 | 50 × 10 × 10 | 645 | 704 | 1395 | 775 | 837 |
25 × 6 × 1 | 231 | 248 | 346 | 310 | 279 | 50 × 20 × 1 | 185 | 195 | 379 | 399 | 256 |
25 × 6 × 2 | 212 | 233 | 323 | 256 | 245 | 50 × 20 × 2 | 148 | 190 | 290 | 278 | 198 |
25 × 6 × 3 | 159 | 171 | 269 | 368 | 177 | 50 × 20 × 3 | 119 | 119 | 365 | 809 | 163 |
25 × 6 × 4 | 91 | 106 | 183 | 142 | 133 | 50 × 20 × 4 | 102 | 102 | 284 | 376 | 161 |
25 × 6 × 5 | 76 | 79 | 230 | 109 | 163 | 50 × 20 × 5 | 29 | 34 | 212 | 38 | 158 |
25 × 6 × 6 | 76 | 76 | 216 | 85 | 176 | 50 × 20 × 6 | 24 | 35 | 213 | 38 | 140 |
25 × 6 × 7 | 104 | 113 | 264 | 145 | 201 | 50 × 20 × 7 | 50 | 57 | 236 | 93 | 180 |
25 × 6 × 8 | 107 | 124 | 220 | 117 | 203 | 50 × 20 × 8 | 48 | 59 | 223 | 71 | 157 |
25 × 6 × 9 | 541 | 557 | 750 | 605 | 635 | 50 × 20 × 9 | 323 | 332 | 717 | 519 | 477 |
25 × 6 × 10 | 551 | 567 | 791 | 575 | 638 | 50 × 20 × 10 | 310 | 326 | 741 | 434 | 445 |

Table A3.
The results of five algorithms on (3).
Table A3.
The results of five algorithms on (3).
Instance | ABC-AC | MPH | HPSOGA | TAFOA | ABC | Instance | ABC-AC | MPH | HPSOGA | TAFOA | ABC |
---|---|---|---|---|---|---|---|---|---|---|---|
50 × 30 × 1 | 116 | 136 | 226 | 196 | 159 | 250 × 20 × 1 | 944 | 767 | 1649 | 1317 | 1153 |
50 × 30 × 2 | 109 | 125 | 244 | 199 | 150 | 250 × 20 × 2 | 836 | 833 | 1713 | 1315 | 1124 |
50 × 30 × 3 | 88 | 91 | 231 | 232 | 122 | 250 × 20 × 3 | 884 | 851 | 2229 | 6939 | 1570 |
50 × 30 × 4 | 92 | 100 | 260 | 378 | 114 | 250 × 20 × 4 | 842 | 1047 | 2608 | 2765 | 1622 |
50 × 30 × 5 | 16 | 16 | 173 | 16 | 112 | 250 × 20 × 5 | 76 | 90 | 1359 | 109 | 962 |
50 × 30 × 6 | 16 | 17 | 166 | 27 | 113 | 250 × 20 × 6 | 86 | 107 | 1316 | 109 | 903 |
50 × 30 × 7 | 38 | 38 | 198 | 50 | 129 | 250 × 20 × 7 | 201 | 212 | 1611 | 272 | 1083 |
50 × 30 × 8 | 39 | 43 | 187 | 55 | 127 | 250 × 20 × 8 | 209 | 218 | 1534 | 239 | 988 |
50 × 30 × 9 | 214 | 249 | 588 | 412 | 341 | 250 × 20 × 9 | 1658 | 1585 | 4817 | 2387 | 2975 |
50 × 30 × 10 | 211 | 238 | 568 | 412 | 334 | 250 × 20 × 10 | 1668 | 1658 | 4816 | 2119 | 2965 |
150 × 10 × 1 | 1051 | 990 | 1685 | 1107 | 1291 | 250 × 30 × 1 | 677 | 512 | 1286 | 1055 | 821 |
150 × 10 × 2 | 874 | 917 | 1704 | 1287 | 1180 | 250 × 30 × 2 | 590 | 567 | 1251 | 905 | 820 |
150 × 10 × 3 | 1133 | 1134 | 1969 | 3785 | 1487 | 250 × 30 × 3 | 391 | 617 | 1572 | 935 | 1018 |
150 × 10 × 4 | 803 | 823 | 1836 | 1636 | 1633 | 250 × 30 × 4 | 656 | 601 | 1833 | 3219 | 1201 |
150 × 10 × 5 | 151 | 172 | 1277 | 247 | 1023 | 250 × 30 × 5 | 52 | 54 | 1090 | 67 | 703 |
150 × 10 × 6 | 175 | 193 | 1133 | 226 | 897 | 250 × 30 × 6 | 51 | 59 | 1057 | 78 | 661 |
150 × 10 × 7 | 281 | 302 | 1470 | 405 | 1094 | 250 × 30 × 7 | 128 | 140 | 1229 | 171 | 724 |
150 × 10 × 8 | 307 | 339 | 1350 | 442 | 1006 | 250 × 30 × 8 | 134 | 151 | 1218 | 198 | 710 |
150 × 10 × 9 | 2063 | 2142 | 4258 | 2972 | 3159 | 250 × 30 × 9 | 1176 | 1174 | 3794 | 1390 | 2218 |
150 × 10 × 10 | 2099 | 2234 | 4193 | 2996 | 3029 | 250 × 30 × 10 | 1172 | 1218 | 3688 | 1600 | 2137 |
150 × 20 × 1 | 523 | 449 | 1010 | 670 | 716 | 350 × 10 × 1 | 2362 | 2370 | 4096 | 2762 | 2998 |
150 × 20 × 2 | 432 | 441 | 1118 | 759 | 691 | 350 × 10 × 2 | 2404 | 2302 | 3882 | 2830 | 2808 |
150 × 20 × 3 | 497 | 466 | 1385 | 2595 | 926 | 350 × 10 × 3 | 2238 | 2506 | 4255 | 4872 | 4437 |
150 × 20 × 4 | 536 | 537 | 1191 | 2718 | 793 | 350 × 10 × 4 | 1786 | 1776 | 3913 | 5611 | 3539 |
150 × 20 × 5 | 62 | 81 | 789 | 95 | 634 | 350 × 10 × 5 | 382 | 397 | 3341 | 513 | 2457 |
150 × 20 × 6 | 54 | 60 | 780 | 71 | 570 | 350 × 10 × 6 | 365 | 392 | 3290 | 389 | 2345 |
150 × 20 × 7 | 133 | 146 | 869 | 183 | 647 | 350 × 10 × 7 | 723 | 769 | 3518 | 874 | 2603 |
150 × 20 × 8 | 125 | 139 | 827 | 147 | 602 | 350 × 10 × 8 | 725 | 794 | 3343 | 803 | 2407 |
150 × 20 × 9 | 1010 | 1014 | 3040 | 1278 | 1756 | 350 × 10 × 9 | 4852 | 4887 | 10646 | 6081 | 7602 |
150 × 20 × 10 | 1040 | 1101 | 2838 | 1202 | 1639 | 350 × 10 × 10 | 5105 | 5266 | 11632 | 5786 | 7454 |
150 × 30 × 1 | 294 | 318 | 752 | 598 | 471 | 350 × 20 × 1 | 1226 | 1127 | 2474 | 1834 | 1608 |
150 × 30 × 2 | 287 | 285 | 657 | 555 | 395 | 350 × 20 × 2 | 1074 | 1083 | 2361 | 1746 | 1505 |
150 × 30 × 3 | 251 | 300 | 844 | 1363 | 561 | 350 × 20 × 3 | 736 | 1255 | 2260 | 1702 | 1703 |
150 × 30 × 4 | 239 | 289 | 993 | 1101 | 656 | 350 × 20 × 4 | 1182 | 1416 | 3686 | 4108 | 2351 |
150 × 30 × 5 | 32 | 32 | 608 | 47 | 403 | 350 × 20 × 5 | 113 | 128 | 1937 | 133 | 1260 |
150 × 30 × 6 | 32 | 38 | 595 | 43 | 342 | 350 × 20 × 6 | 106 | 131 | 1861 | 136 | 1228 |
150 × 30 × 7 | 80 | 95 | 645 | 123 | 481 | 350 × 20 × 7 | 273 | 283 | 2247 | 302 | 1438 |
150 × 30 × 8 | 81 | 97 | 658 | 110 | 411 | 350 × 20 × 8 | 272 | 298 | 2187 | 340 | 1396 |
150 × 30 × 9 | 609 | 625 | 2204 | 1128 | 1334 | 350 × 20 × 9 | 2324 | 2340 | 7364 | 3088 | 4097 |
150 × 30 × 10 | 612 | 627 | 2117 | 1194 | 1263 | 350 × 20 × 10 | 2368 | 2427 | 6953 | 3269 | 4040 |
250 × 10 × 1 | 1563 | 1568 | 2621 | 1720 | 2040 | 350 × 30 × 1 | 847 | 774 | 1830 | 1421 | 1185 |
250 × 10 × 2 | 1536 | 1610 | 2792 | 1904 | 1944 | 350 × 30 × 2 | 806 | 754 | 1808 | 1692 | 1112 |
250 × 10 × 3 | 1635 | 1750 | 3381 | 3991 | 2794 | 350 × 30 × 3 | 709 | 951 | 2218 | 2304 | 1599 |
250 × 10 × 4 | 1542 | 1547 | 2665 | 4133 | 2073 | 350 × 30 × 4 | 531 | 700 | 2357 | 1046 | 1552 |
250 × 10 × 5 | 268 | 287 | 2186 | 305 | 1711 | 350 × 30 × 5 | 66 | 68 | 1530 | 73 | 973 |
250 × 10 × 6 | 301 | 338 | 2142 | 359 | 1579 | 350 × 30 × 6 | 55 | 63 | 1475 | 76 | 955 |
250 × 10 × 7 | 530 | 546 | 2501 | 589 | 1861 | 350 × 30 × 7 | 182 | 189 | 1746 | 218 | 1058 |
250 × 10 × 8 | 577 | 607 | 2289 | 637 | 1792 | 350 × 30 × 8 | 172 | 193 | 1642 | 220 | 1040 |
250 × 10 × 9 | 3401 | 3502 | 7838 | 3951 | 5341 | 350 × 30 × 9 | 1604 | 1500 | 5237 | 2143 | 3028 |
250 × 10 × 10 | 3577 | 3897 | 7558 | 3995 | 5329 | 350 × 30 × 10 | 1521 | 1589 | 5762 | 2394 | 2994 |
References
- Edis, E.B.; Oguz, C.; Ozkarahan, I. Parallel machine scheduling with additional resources: Notation, classification, models and solution methods. Eur. J. Oper. Res. 2013, 230, 449–463. [Google Scholar] [CrossRef]
- Ventura, J.A.; Kim, D. Parallel machine scheduling with earliness-tardiness penalties and additional resource constraints. Comput. Oper. Res. 2003, 30, 1945–1958. [Google Scholar] [CrossRef]
- Zheng, X.L.; Wang, L. A two-stage adaptive fruit fly optimization algorithm for unrelated parallel machine scheduling problem with additional resource constraints. Expert Syst. Appl. 2016, 65, 28–39. [Google Scholar] [CrossRef]
- Fanjul-Peyro, L.; Perea, F.; Ruiz, R. Models and matheuristics for the unrelated parallel machine scheduling problem with additional resources. Eur. J. Oper. Res. 2017, 260, 482–493. [Google Scholar] [CrossRef]
- Fleszar, K.; Hindi, K.S. Algorithms for the unrelated parallel machine scheduling problem with a resource constraint. Eur. J. Oper. Res. 2018, 271, 839–848. [Google Scholar] [CrossRef]
- Zheng, X.L.; Wang, L. A collaborative multiobjective fruit fly optimization algorithm for the resource constrained unrelated parallel machine green scheduling problem. IEEE Trans. Syst. Man Cybern. Syst. 2018, 48, 790–800. [Google Scholar] [CrossRef]
- Villa, F.; Vallada, E.; Fanjul-Peyro, L. Heuristic algorithms for the unrelated parallel machine scheduling problem with one scarce additional resource. Expert Syst. Appl. 2018, 93, 28–38. [Google Scholar] [CrossRef] [Green Version]
- Vallada, E.; Villa, F.; Fanjul-Peyro, L. Enriched metaheuristics for the resource unrelated parallel machine scheduling problem. Comput. Oper. Res. 2019, 111, 415–424. [Google Scholar] [CrossRef]
- Chen, J.F. Unrelated parallel machine scheduling with second resource constraints. Int. J. Adv. Manuf. Technol. 2005, 26, 285–292. [Google Scholar] [CrossRef]
- Bitar, A.; Dauzère-Pérès, S.; Yugma, C.; Roussel, R. A memetic algorithm to solve an unrelated parallel machine scheduling problem with auxiliary resources in semiconductor manufacturing. J. Sched. 2016, 19, 367–376. [Google Scholar] [CrossRef] [Green Version]
- Afzalirad, M.; Shafipour, M. Design of an efficient genetic algorithm for resource-constrained unrelated parallel machine scheduling with machine eligibility restrictions. J. Intell. Manuf. 2018, 29, 423–437. [Google Scholar] [CrossRef]
- Al-Harkan, I.M.; Qamhan, A.A. Optimize unrelated parallel machine scheduling problems with multiple limited additional resources, sequence-dependent setup times and release date constraints. IEEE Access 2019, 7, 171533–171547. [Google Scholar] [CrossRef]
- Fanjul-Peyro, L. Models and an exact method for the unrelated parallel machine scheduling problem with setups and resources. Expert Syst. Appl. 2020, 5, 100022. [Google Scholar] [CrossRef]
- Yepes-Borrero, J.C.; Villa, F.; Perea, F.; Caballero-Villalobos, J.P. GRASP algorithm for the unrelated parallel machine scheduling problem with setup times and additional resources. Expert Syst. Appl. 2020, 141, 112959. [Google Scholar] [CrossRef]
- Pinar, Y.; Seyda, T.Y. Constraint programming approach for multi-resource-constrained unrelated parallel machine scheduling problem with sequence-dependent setup times. Int. J. Prod. Res. 2021, 98, 40–52. [Google Scholar]
- Al-Harkan, I.M.; Qamhan, A.A.; Badwelan, A.; Alsamhan, A.; Hidri, L. Modified harmony search algorithm for resource-constrained parallel machine scheduling problem with release dates and sequence-dependent setup times. Processes 2021, 9, 654. [Google Scholar] [CrossRef]
- Yang, D.L.; Cheng, T.C.E.; Yang, S.J.; Hsu, C.J. Unrelated parallel-machine scheduling with aging effects and multi-maintenance activities. Comput. Oper. Res. 2012, 39, 1458–1464. [Google Scholar] [CrossRef]
- Tavana, M.; Zarook, Y.; Santos-Arteaga, F.J. An integrated three-stage maintenance scheduling model for unrelated parallel machines with aging effect and multi-maintenance activities. Comput. Ind. Eng. 2015, 83, 226–236. [Google Scholar] [CrossRef]
- Wang, S.J.; Liu, M. Multi-objective optimization of parallel machine scheduling integrated with multi-resources preventive maintenance planning. J. Manuf. Syst. 2015, 37, 182–192. [Google Scholar] [CrossRef]
- Gara-Ali, A.; Finke, G.; Espinouse, M.L. Parallel-machine scheduling with maintenance: Praising the assignment problem. Eur. J. Oper. Res. 2016, 252, 90–97. [Google Scholar] [CrossRef]
- Avalos-Rosales, O.; Angel-Bello, F.; Álvarez, A.; Cardona-Valds, Y. Including preventive maintenance activities in an unrelated parallel machine environment with dependent setup times. Comput. Ind. Eng. 2018, 123, 364–377. [Google Scholar] [CrossRef]
- Lei, D.M.; Liu, M.Y. An artificial bee colony with division for distributed unrelated parallel machine scheduling with preventive maintenance. Comput. Ind. Eng. 2020, 141, 106320. [Google Scholar] [CrossRef]
- Pang, J.H.; Tsai, Y.C.; Chou, F.D. Feature-extraction-based iterated algorithm to solve the unrelated parallel machine problem with periodic maintenance activities. IEEE Access 2021, 9, 139089–139108. [Google Scholar] [CrossRef]
- Lei, D.M.; Yi, T. A novel shuffled frog-leaping algorithm for unrelated parallel machine scheduling with deteriorating maintenance and setup Time. Symmetry 2021, 13, 1574. [Google Scholar] [CrossRef]
- Doush, I.A.; Al-betar, M.A.; Mohammed, A.A.; Santos, E.; Hammouri, A.I. Flow shop scheduling with blocking using modified harmony search algorithm with neighboring heuristics methods. Appl. Soft Comput. 2019, 85, 105861. [Google Scholar]
- Xue, Y.; Wang, T.; Pang, W.; Liu, A.X. Self-adaptive parameter and strategy based particle swarm optimization for large-scale feature selection problems with multiple classifier. Appl. Soft Comput. 2020, 88, 106031. [Google Scholar] [CrossRef]
- Kizieiewicz, B.; Salabun, W. A new approach to identifying a multi-criteria decision model based on stochastic optimization techniques. Symmetry 2020, 12, 1551. [Google Scholar] [CrossRef]
- Karaboga, D. An Idea Based on Honeybee Swarm for Numerical Optimization; Technical Report TR06; Erciyes University, Engineering Faculty, Computer Engineering Department: Kayseri, Turkey, 2005. [Google Scholar]
- Lei, D.M.; Cai, J.C. Multi-population meta-heuristics for production scheduling: A survey. Swarm Evol. Comput. 2020, 58, 100739. [Google Scholar] [CrossRef]
- Bolaji, A.L.; Khader, A.T.; Al-betar, M.A.; Mohammed, A.A. Artificial bee colony algorithm, its variants and applications: A survey. J. Theor. Appl. Inf. Technol. 2013, 47, 434–459. [Google Scholar]
- Li, J.Q.; Pan, Q.K.; Gao, K.Z. Pareto-based discrete artificial bee colony algorithm for multi-objective flexible job shop scheduling problem. Int. J. Adv. Manuf. Technol. 2011, 55, 1159–1169. [Google Scholar] [CrossRef]
- Pan, Q.K.; Tasgetiren, M.F.; Suganthan, P.N.; Chua, T.J. A discrete artificial bee colony algorithm for the lot-streaming flow shop scheduling problem. Inf. Sci. 2011, 181, 2455–2468. [Google Scholar] [CrossRef]
- Wang, L.; Zhou, G.; Xu, Y.; Liu, M. An enhanced Pareto-based artificial bee colony algorithm for the multi-objective flexible job-shop scheduling. Int. J. Adv. Manuf. Technol. 2011, 60, 1111–1123. [Google Scholar] [CrossRef]
- Ying, K.C.; Lin, S.W. Unrelated parallel machine scheduling with sequence- and machine-dependent setup times and due date constraints. Int. J. Innov. Comput. Inf. Control 2012, 8, 3279–3297. [Google Scholar]
- Lin, S.W.; Ying, K.C. ABC-based manufacturing scheduling for unrelated parallel machines with machine-dependent and job sequence-dependent setup times. Comput. Oper. Res. 2014, 51, 172–181. [Google Scholar] [CrossRef]
- Han, Y.Y.; Gong, D.W.; Sun, X.Y. A discrete artificial bee colony algorithm incorporating differential evolution for the flow-shop scheduling problem with blocking. Eng. Optim. 2015, 47, 927–946. [Google Scholar] [CrossRef]
- Caniyilmaz, E.; Benli, B.; Ilkay, M.S. An artificial bee colony algorithm approach for unrelated parallel machine scheduling with processing set restrictions, job sequence-dependent setup times, and due date. Int. J. Adv. Manuf. Technol. 2015, 77, 2105–2115. [Google Scholar] [CrossRef]
- Asadzadeh, L. A parallel artificial bee colony algorithm for the job shop scheduling problem with a dynamic migration strategy. Comput. Ind. Eng. 2016, 102, 359–367. [Google Scholar] [CrossRef]
- Zhang, R.; Chang, P.C.; Song, S.J.; Wu, C. A multi-objective artificial bee colony algorithm for parallel batch-processing machine scheduling in fabric dyeing processes. Knowl.-Based Syst. 2017, 116, 114–129. [Google Scholar] [CrossRef]
- Gong, D.W.; Han, Y.Y.; Sun, J.Y. A novel hybrid multi-objective artificial bee colony algorithm for blocking lot-streaming flow shop scheduling problems. Knowl.-Based Syst. 2018, 148, 115–130. [Google Scholar] [CrossRef]
- Lu, S.J.; Liu, X.B.; Pei, J.; Thai, M.T.; Pardalos, P.M. A hybrid ABC-TS algorithm for the unrelated parallel-batching machines scheduling problem with deteriorating jobs and maintenance activity. Appl. Soft Comput. 2018, 66, 168–182. [Google Scholar] [CrossRef]
- Lei, D.M.; Yuan, Y.; Cai, J.C. An improved artificial bee colony for multi-objective distributed unrelated parallel machine scheduling. Int. J. Prod. Res. 2021, 59, 5259–5271. [Google Scholar] [CrossRef]
- Wang, J.; Lei, D.M.; Cai, J.C. An adaptive artificial bee colony with reinforcement learning for distributed three-stage assembly scheduling with maintenance. Appl. Soft Comput. 2022, 117, 108371. [Google Scholar] [CrossRef]
- Chu, X.H.; Cai, F.L.; Gao, D.; Li, L.; Cui, J.S. An artificial bee colony algorithm with adaptive heterogeneous competition for global optimization problems. Appl. Soft Comput. 2020, 93, 106391. [Google Scholar] [CrossRef]
- Li, J.Q.; Han, Y.Y. A hybrid multi-objective artificial bee colony algorithm for flexible task scheduling problems in cloud computing system. Clust. Comput. 2020, 23, 2483–2499. [Google Scholar] [CrossRef]
- Meng, T.; Pan, Q.K. A distributed heterogeneous permutation flowshop scheduling problem with lot-streaming and carryover sequence-dependent setup time. Swarm Evol. Comput. 2021, 60, 100804. [Google Scholar] [CrossRef]
- Salehi Mir, M.S.; Rezaeian, J. A robust hybrid approach based on particle swarm optimization and genetic algorithm to minimize the total machine load on unrelated parallel machines. Appl. Soft Comput. 2016, 41, 488–504. [Google Scholar] [CrossRef]
- Taguchi, G. Introduction to Quality Engineering; Asian Productivity Organization: Tokyo, Japan, 1986. [Google Scholar]
Publisher’s Note: MDPI stays neutral with regard to jurisdictional claims in published maps and institutional affiliations. |
© 2022 by the authors. Licensee MDPI, Basel, Switzerland. This article is an open access article distributed under the terms and conditions of the Creative Commons Attribution (CC BY) license (https://creativecommons.org/licenses/by/4.0/).