Abstract
HRA (Human Reliability Analysis) can be seen as a symmetric problem, as it is mainly reflected in two aspects of failure and success. Human error is the most common accident in industrial systems; furthermore, an astronaut is in a very complex environment, and coupled with weightlessness, it is easy to cause human error. For this reason, this paper took the human-computer interface in a spacecraft cabin as the background, and based on the literature, questionnaire inquiry, and the division of three cognitive processes during the interaction between the astronaut and human, a computer interface was determined. This paper proposed a human reliability influencing factors system of different cognitive phases for the human-computer interface in a spacecraft cabin, a task analysis tree with a symmetry of success and failure, an HRA model with symmetry of failure and success based on cognitive stages, and Game Theory and Fuzzy Center of Gravity Method, and obtained influencing factors weights of three cognitive stages. By simulating an experiment, the trend of error probability curves shows the rationality of the human reliability method. Finally, an example was illustrated, and the analysis process of the example demonstrates that an HRA model with symmetry provides a feasible analysis process and method for the cognitive reliability of the spacecraft cabin human-computer interface interaction. The research achievements in this paper can provide theoretical guidance to improve human error root reason analysis, an analysis basis of how to improve influencing factors level, and provide a HRA method based on cognitive stages for the human-computer interaction process in a spacecraft cabin.
1. Introduction
The consequences of human behavior can be viewed as a symmetry of success and failure. In the process of accident handling, more than 85% are directly or indirectly caused by unsafe human behavior. NASA (National Aeronautics and Space Administration) analyzed 612 spacecraft accidents and incidents from 1990 to 1993, and results indicated that 66% of the reasons could be attributed to human error [1]. In nuclear power accidents, the proportion of human error has been calculated to be 50% to 70% [2].
In general, human error occurs in the process of interacting with a human-computer interface to obtain system information, judge information, make decisions, and control the operation of systems; therefore, if accidents rooted in human error are caused, the human-computer interface is a main carrier. The human-computer interface in a spacecraft cabin is a place of information interaction between astronauts and aircraft, and it is a main carrier to obtain information, establish parameters, and complete related tasks for astronauts. The devices display relevant information and astronauts perform cognitive activities including diagnosis, decision-making, and execution based on the information. Because the environment the astronauts live in is different from general human-computer interaction, the astronauts will face related problems in this process, such as information overload, cumbersome data display, and information delay, coupled with mental stress, weightlessness, and other external conditions/interferences astronauts may experience relating to human errors, such as: ① information acquisition deviation, diagnostic error, decision-making error, joystick execution deviation; and ② information acquisition and judgment error, improper operation force, wrong touch, accidental touch, etc. [3].
In fact, the process by which the astronauts obtain information, judge status, and execute actions from the human-computer interface can be viewed as the cognitive stages of astronauts, such as monitoring, situation evaluation, response plan, and execution [4]. Then, the human reliability with human-computer interface interaction can evolve into an HRA considering success and failure based on cognitive stages. In order to better manage a complex human-computer system, it is necessary to pay attention not only to the reliability of astronauts’ actions and execution under different human-computer interface components, but also to the reliability of their cognitive behavior. As a result, human Reliability Analysis (HRA) has shifted to focus more on cognitive processes, such as diagnosis, decision making, planning, etc. [5]. Obviously, with an HRA, more attention should be paid to the reliability research of cognitive behavior.
Therefore, in order to decrease accidents, it is necessary to analyze the human reliability for the human-computer interface interaction in the cabin of a spacecraft. Given the situation, this paper proposes a Human Reliability Model with symmetry of success and failure for Spacecraft Cabin Human-computer Interface interaction to evaluate the astronaut’s human reliability. The proposed model has two main features: (1) a recovery effect on handling an accident is considered, and (2) based on HRA event tree, combining AHP, improved G2 method and Game Theory, using Fuzzy Center of Gravity Method, the research establishes a frame and mathematical expression to analyze the probability of human failure and success. The paper has several main contributions: (1) the obtained research achievements in this paper can provide the basis to improve the influencing factors level of spacecraft cabin human-computer interaction, (2) can provide help for optimizing the human-computer interface and method guidance for HRA; and (3) the proposed model can be applied to human error analysis of a spacecraft cabin.
2. Related Research
Compared with other fields, research achievements in human reliability for the human-computer interface of a spacecraft cabin are fewer. The following review analysis was based on literature investigations, and it primarily included the human-computer interface of spacecraft cabin and HRA methods.
(1) Literature reviews of human-computer interface in spacecraft cabin
Zhou et al. [6] proposed an ergonomics fuzzy comprehensive evaluation model for the human-computer interface of spacecraft cabin in 2002. This method can analyze human-computer interface various parameters, and is more feasible in realistic situations. An auxiliary visual system design and implementation of astronaut cabin were studied in 2018 and included three aspects [7]: modeling relative motion of spacecraft using a dynamic equation, calculating relative motion state according to initial conditions, proposed complex structure, and relative motion collision detection algorithm based on relative motion. Dong et al. [8]. established a human-computer interface simulation environment of a plane cockpit with the human-computer interaction function through the combination of VC++ and VAPS platforms, which realized the communication between control devices and display devices by using TCP/IP network protocol, and carried out a real-time data exchange of human-computer interaction through the data CHANNEL provided by VAPS. To optimize the layout design of the human-machine interface of an aircraft cockpit, Ye et al. [9] proposed a layout optimization model based on the visual attention distribution of pilots, and considering the visibility level of different visual areas, analyzed the importance degree of each device for the man-machine interface and the quantitative value. Furthermore, they established an optimization model to obtain an optimal object of visual attention in the human-computer interface layout of an aircraft cockpit. Aiming at the incomplete analysis of task requirements and inadequate overall design for the spacecraft cabin human-computer interface, an overall design method was proposed [10]. The layout design and evaluation of a human-computer interface in a spacecraft cabin were studied in 2016, and the study proposed [11] a method framework for layout design and optimization and established the mathematical model and object functions for layout optimization. For color image evaluation, from the perspective of color psychological effects, the paper evaluated whether the spacecraft cabin environment color design can give a reasonable display to the adjustment function of color, and whether it meets the user’s demand of color image. From the perspective of the cognitive model, Fu conducted [12] corresponding principle verification tests for the modern cockpit man-machine interface of different typical mission stages, such as cruise task and the fault warning stage. An information display mechanism is verified from the perspective of cockpit ergonomics. From the point of improving pilots’ ergonomics, corresponding eye movements and EEG tests were done by an attention distribution model, which provides a reference for the man-machine interface information display design of the modern aircraft cockpit. Wang [13] studied the layout and components of a cockpit based on ergonomics, established a rod-shaped human motion model with multi-rigid body kinematics, and determined the position of eye point in a cockpit according to the transformation matrix of the motion chain and relevant standards of aircraft cockpit design.
(2) HRA methods
The first stage HRA methods were mainly focused on theories and classification of human error as well as expert judgment. Their disadvantages were limited by the development levels of psychology, cognitive science, and computer science, as these methods have some deficiencies in cognition modeling and analyzing human error mechanisms and were mainly focused on aspects including structured modeling and mathematical calculations to realize accurate analysis results. The HRA methods that emerged in this period mainly include SLIM-MAUD [14] (Success Likelihood Index Method-Multi Attribute Utility Decomposition), OAT [15] (Operation Action Tree), the PC [16] (Paired Comparison) method, and AIPA (Accident Investigation and Progression Analysis).
After the 1990s, the cognitive reliability model was established based on analysis process, where researchers tried to describe the human error mechanism by analyzing human error factors such as environmental conditions, the operator’s own factors, and equipment status. Collectively, the methods from this period are called the second-generation HRA method, and mainly include ATHEANA (A Technique for Human Event Analysis) [17], CREAM (Cognitive Reliability and Error Analysis Method) [18], MERMOS [19], and so on.
With the advancement of computer simulative technology, so-called third-generation HRA methods emerged along with the development of the first- and second-generation HRA methods. Compared with the previous two generations, the third-generation HRA methods have remarkably different features, functions, and limitations. Simulation-based third-generation HRA methods are dynamic modeling systems, and it provides a dynamic descriptive basis for HRA modeling and quantitative calculation through simulating human performance in a real environment using a virtual scene, virtual environment, and virtual human beings, which indicates the features of the complex dynamic interaction between humans and systems. The representative third-generation HRA methods [20] are CES (Cognitive Environment Simulation), CSM (Cognitive Simulation Model), CS, (Crew Simulation), Operator-Plant Simulation Model, IDAC (Information, Decision, and Action in Crew Context), MIDAS (Man-Machine Integration Design and Analysis System), and so on. In 2008, Andrei Khrennikov [21] proposed a cognitive quantitative model for decision making and information processing and the model was based on the digital measurement of psychological context and psychological communication. In 2009, Hyun-Chul Lee proposed an effective computational model to assess the attention, memory, and mental state of operators in nuclear power plants [22]. In 2014, Lin et al. proposed a qualitative and quantitative method to analyze human reliability for medical devices. This method applied fuzzy linguistic theory to convert the subjective cognition of experts into an information entity to obtain the numerical values of risk factors [23]. In 2016, a new framework of an HRA method was proposed, which can evaluate soft control execution human error by performing a soft control task analysis [24]. In 2017, a new methodology was developed by revising and modifying the HEART (Human Error Assessment and Reduction Technique) to assess and quantify the potential human errors in different marine environmental and operational conditions. Additionally, the Error Producing Condition (EPC) and Error Influencing Factor (EIF) tables were refined and developed to reflect the particular conditions of marine environments for Human Error Probability (HEP) estimation [25]. In 2018, an integrated model was presented to support human reliability-based decision producing and making processes, and this model is mainly mathematically treated through the fuzzy Cognitive Reliability and Error Analysis Method (CREAM) in combination with Genetic Algorithms (GA) and Adaptive Neuro-Fuzzy Inference Systems (ANFIS) [26].
On the one hand, the research mentioned above provides a theoretical basis and method guidance for the visual design, evaluation, simulative environment, layout, task requirement, and function distribution of a human-machine interface; on the other hand, it provides a method of guidance for qualitative and quantitative analysis of human reliability, and effective ways of analyzing human reliability, cognition reliability, and influencing factors. Based on these methods and models, taking a human-computer interface in a spacecraft cabin as the background, this paper proposes an HRA model with symmetry of failure and success to evaluate human reliability.
3. An HRA Model with Symmetry of Failure and Success Based on Cognitive Stages for a Human-Computer Interface in a Spacecraft Cabin
3.1. A Division of Cognitive Stages
So-called cognition usually includes perception and attention, knowledge representation, memory and learning, language, problem solving, and reasoning, etc. The technology of building cognitive models is often called cognitive modeling. In classic research achievements in HRA, the cognitive stages are different, but their essences are based on the process of how to handle things for operators. The information processing model [27,28] proposed by Wichens is a representative cognitive model at present, which divides cognitive process into four stages: information acquisition, information analysis, decision-making and planning, and execution stage. REHall developed the OAT method [15], which divides people’s response to events into three consecutive stages: observing events, diagnosing events, and responding to events. OAT expresses human behavior in the form of a binary tree, with success or failure.
Hannaman et al. proposed a Human Cognitive Reliability [29] (HCR) model, which has two important assumptions: first, it is based on the SRK (skill, rule, knowledge) three-level behavior model, and the second basic assumption is that the error probability of each behavior category is related to the ratio of allowable time to execution time. This model mainly emphasizes the execution process. Techniques for the human error-rate prediction [30] (THERP) method mainly considered two stages, including human reliability: monitoring and execution. The cognitive reliability and error analysis method [18] (CREAM) divided cognitive function into four stages: observation, interpretation, planning, and execution. Each type of cognitive function was divided into several failure modes. The IDAC model proposed by Y.H.J. Chang et al. divided the crew model of an HRA in a nuclear power plant into three stages: Information, Decision, and Action [31].
The spacecraft cabin is a place where astronauts live and work during space flight. Its human-computer interface constitutes the main interface of communication and dialogue between humans and manned spacecraft systems [6]. The cabin is an area where the astronauts observe and control the mission, and it has display instruments, manipulators, alarms, parameters, signals, and other terminal interfaces. The human-computer interface is the main channel by which astronauts interact with the system. An operator needs to rely on sight, hearing, and touch to obtain the running state of the outside world and system through the human-computer interface, and then makes quick decisions in the brain before performing related tasks [11]. In order to reasonably divide the cognitive stages of astronauts, a questionnaire survey was conducted. The subjects of the survey include astronaut training centers in China, research institutions, relevant experts, and scholars. A total of 33 questionnaires were distributed; 31 of them were retrieved and 31 of them were valid. The analysis results are shown in Table 1.
Table 1.
Investigation and analysis table of cognitive phases in astronauts’ human-computer interface interaction process.
It can be seen from Table 1 that the number of people who agreed with the division of the second cognitive stage (information acquisition, status response, and execution) is 22, which accounted for the majority.
Judging from the existing research achievements of cognitive stages, the division including three stages does not violate cognitive process and laws for operators. Therefore, an astronaut’s cognitive behavior process is divided into three stages in this paper, namely, information acquisition, status response, and execution, as shown in Figure 1.
Figure 1.
Cognitive stage of astronauts.
Information acquisition is the first step in a cognitive stage, which mainly acquires the parameters, alarms, and other information including normal or abnormal operation process through vision, hearing, perception, etc. In the status response stage, when a task is completed (such as space docking, robotic arm operation) or under abnormal conditions (such as yaw, deviation in a task execution), an astronaut needs to enter the diagnostic program according to obtained parameters or screen information, alarm signals, or other criteria. In the diagnostic program, the current status needs to be judged according to the status of the main equipment and parameter levels; then, astronauts make a response or decision. In the execution phase, according to the strategies determined by state assessment or astronauts own experience, the astronauts carry out specific actions based on the requirements of regulations and specific operations of the mission. These are external representations of cognitive processes.
3.2. Research on Influencing Factors System of Cognitive Phases
3.2.1. Initial Influencing Factors
The human-computer interaction process in a spacecraft cabin is in a complex and harsh environment. Therefore, the human-computer interaction in a spacecraft cabin has high complexity and difficulty. If there is a slight improper operation for a task, errors may be caused. To reduce the probability of accidents, we should analyze which factors affect human error from the view of the root cause.
The basis for determining initial influencing factors is mainly derived from literature investigations. The authors investigated some classic HRA methods and the research results of HRA theory. The preliminary influencing factors system is shown in Table 2.
Table 2.
Initial influencing factors.
3.2.2. Constructing Influencing Factors System of Cognition Stages
(1) Calculation formula of relative importance
Based on preliminary influencing factors (see Table 2), they are scored by experts and scholars, and the questionnaires are collected and analyzed to calculate their relative importance. The calculation expression of importance is shown in Formula (1).
Xi means the ith expert’s proficiency in influencing factors (it is divided into: high, higher, medium, lower, low); yi indicates the degree that influencing factors affect the cognitive stages (it is divided into five categories: high, higher, medium, lower, low). Five levels are represented by 5, 4, 3, 2 and 1, respectively.
(2) Questionnaire survey and statistics
Consistent with cognitive phases, questionnaire participants came from astronaut training centers, research institutions, related experts, and scholars. A total of 33 questionnaires were issued; 31 were retrieved and 31 were valid.
① Reliability and validity
The reliabilities and validities of each cognitive stage questionnaire survey results were analyzed by SPSS 18.0. The KMO values in three cognitive stages including information acquisition, status response, and execution are 0.87, 0.86, 0.83, respectively, and they were all greater than 0.8, which indicates the questionnaire survey results have good validity. Cronbach’s Alpha coefficients of three cognitive stages are 0.95, 0.98, 0.96, respectively, and all are above 0.9, which indicates that the questionnaire survey results have good reliability.
② Relative importance analysis
Based on Formula (1), the relative importance of the questionnaire survey results was calculated. The relative importance of influencing factors at each cognitive stage was expressed by its average value. The results are shown in Table 3, Table 4 and Table 5.
Table 3.
Relative importance of influencing factors in “information acquisition” phase.
Table 4.
Relative importance of influencing factors in “status response” phase.
Table 5.
Relative importance of influencing factors in “execution” phase.
3.2.3. Influencing Factors System of Each Cognitive Stage
The final influencing factors system was determined by combining expert opinions (experts came from University of South China, Central South University, Hunan Institute of Technology) and relative importance. Expert opinions were listed in Table 6. To facilitate analysis, the average relative importance value and influencing factors description to be eliminated were added in Table 6.
Table 6.
Expert judgment statistical results of influencing factors and the descriptions of influencing factors to be eliminated.
Based on the analysis results in Table 6, the final influencing factors system obtained are shown in Table 7.
Table 7.
Influencing factors system of each cognitive phase for Human-computer interface in spacecraft cabin.
3.3. A Quantitative HRA Computational Model with Symmetry of Failure and Success Based on Cognitive Processes
An HRA model is used to analyze the error probability of an accident or an upcoming task, so its analysis process takes accidents or tasks for object, and the analysis steps are as follows: ① the analyzed accidents or tasks are divided into some sub-processes, and the divided processes are constituted as an appropriate tasks sequence; ② based on the aforementioned analysis result, the cognitive stages of each process should be determined into any one or a combination of three cognitive stages; then, the cognitive stage behavior tree was established. The process of HRA is shown in Figure 2.
Figure 2.
HRA process for human-computer interface in spacecraft cabin.
3.3.1. A Frame for HRA for a Task with Symmetry of Failure and Success
The following description about an HRA frame and computational expressions is based on the existing research [30], and is, in a sense, an extension of the existing research achievement.
The HRA frame is based on tasks or accident stages, and it is represented by an event tree with symmetry, in which each branch denotes two cases including a success and failure of event processing phase. Based on the frame of an HRA event tree, a task or event analysis process with sequence and parallel is shown in Figure 3.
Figure 3.
Task analysis process with symmetry of failure and success.
In Figure 3, T1, T2, Tn represent the first, second, nth stages of task decomposed, respectively; T1_f, T2_f, T3_f denote task cognitive failure in the first, second, third cognitive phase, respectively; similarly, T1_s, T2_s, T3_s, Tn-1_s, Tn_s respectively represent that the cognitive process is successful when the task processing stage is first, second, third, (n − 1)th, nth; S indicates task processing success; F represents task processing failure.
(1) If T1, T2, ……, Tn are a sequential relationship, the failure probability to process a task for an astronaut is:
In Formula (1), Pevent_seq(F) denotes an failure probability when the relationship among sub-tasks is sequential; P(T1_f) indicates a failure probability when the stage is T1; P(T1_s)is a success probability when the stage is T1; P(Tn_f)is the failure probability of at T1 processing stage; P(Tn_s)is the success probability of at Tn processing stage; P(T2_f|T1_f)indicates the failure probability of a T2 subtask under the condition of T1 subtask failure; similarly, P(T2_s|T1_f) denotes the success probability of T2 subtask under the condition of T1 subtask failure.
In Formula (1), for the conditional probability in any case, there is:
where, Tx_f denotes processing failure when subtask is x; Ty_s denotes processing success when subtask is y.
P(Ty_s|Tx_f) = 1 − P(Ty_s|Tx_f)
When substituting Formula (2) into Formula (1), Formula (3) is obtained after simplifying.
Obvious, the success probability to process a task for an astronaut is:
(2) If T1, T2, ……, Tn are a parallel relationship, the failure probability to process a task for an astronaut is:
where Pevent_p(F)represents a failure probability when the relationship among subtasks is parallel.
Obviously, the success probability to process a task for an astronaut is:
3.3.2. Cognitive Stages Behavior Tree with Symmetry of Failure and Success for Each Subtask
After a task is divided, each subtask’s cognitive stages need to be determined. The human reliability of each subtask can be obtained by calculation method based on cognitive stages. HRA is based on cognitive stages and considers the rehabilitating effect of each cognitive stage. Figure 4 describes a symmetric HRA process by taking a subtask as an example.
Figure 4.
Cognitive process behavior tree with symmetry of failure and success for a subtask.
In Figure 4:
- a1: Successfully obtains information;
- A1: fails to obtain information;
- a2: Successfully corrects the error of information acquisition;
- A2: fails to correct the error of information acquisition;
- b1: Successfully completes status response;
- B1: fails to complete status response;
- b2: Successfully corrects the error of status response;
- B2: fails to correct the error of status response;
- c1: Successfully completes operation;
- C1: fails to complete operation;
- c2: Successfully corrects wrong operation;
- C2: fails to correct wrong operation.
As seen from Figure 4, the human error probability for a subtask is written as:
The human successful probability for a subtask is:
In Formula (5), is the human error probability of a subtask or an event known as x; is success probability; represents the error probability of F1 branch; similarly, is the error probability of F2;
is the error probability of F3 branch.
According to Figure 4, the error probabilities considering recovery process in information acquisition, status response, and execution processes can be obtained.
For branch F1, the human error and success probability of information acquisition are, respectively:
For branch F2, the human error and success probability of status response are, respectively:
For branch F3, the human error and success probability of operation phase are, respectively:
As seen from Formulas (9), (11), and (13), there is a correlation among three cognitive stages. The correlation calculation method in this paper adopts the research achievement of the THERP method. See Table 8 [30].
Table 8.
The correction calculation method.
In Table 8, CD: complete dependence; MD: moderate dependence; ZD: zero dependence; HD: high dependence; LD: low dependence; P(B|A) denotes the probability of B failure under the condition of A failure; p(B) represents the error probability of B, then p(B) = 1 − p(b), p(b) is the successful probability of B.
3.3.3. A Quantitative HRA Method Based on Fuzzy Center of Gravity and Game Theories
To date, many research achievements including qualitative and quantitative methods have been made on human reliability. Some quantitative research achievements have shown that the feature boundary and change in value for human reliability are in accordance with an exponential distribution, such as classical HRA methods: SLIM [14], CREAM [18], and HCR [29]. Later HRA methods [47,48,49,50,51,52] appearing in succession indicated that human error probability follows an exponential distribution. Similarly, an exponential distribution pattern was considered for human reliability in a spacecraft cabin human-computer interface in this paper. According to the three stages of cognitive processes and the characteristics of a spacecraft cabin human-computer interface, the proposed human reliability calculation method considered the following factors: ① the correction factor of available time and mental stress; ② the influencing factors on three cognitive stages including information acquisition, status response, and execution; and ③ the weights of influencing factors. Therefore, the human error probability calculation method for human-computer interaction in a spacecraft cabin was defined as follows:
In Formula (15), Pinformation_acquisition/status_response/execution (x) represents the error probability of information acquisition, status response, or execution process, respectively; k is the coefficient of error correction; wi,j is the jth influencing factor weight of the ith cognitive stage; i signifies the cognitive category: i = 1 denotes information acquisition, i = 2 represents status response, and i = 3 refers to operation or execution; ranki,j,r indicates an input value of the jth influencing factor of ith cognitive category at the rth level; tc is the adjustment factor of available time; mc the adjustment factor of mental stress.
Available time and mental stress have important effects on a process to finish an event, which are mentioned in almost all studies on influencing factors of human reliability [14,18,29,30,31,34,41,49,53,54]; therefore, the two influencing factors are used as adjustment factors to highlight the importance and significance of the effects on human reliability.
Obviously, the human success probability calculation expression is:
The fuzzy center of gravity method is used to synthesize the interval fuzzy values of tc and mc in the HRA method. Similarly, Game Theory is used to synthesize the weights derived from the results obtained by AHP and G2 methods. The purpose considering the two methods is to reduce the subjectivity of scoring by experts.
The determination of correction coefficient k for Formulas (15) or (16).
In Formulas (15) or (16), for , when all parameters values are the least, its value is the least. On the contrary, when the parameter values are the maximum, its value is the maximum. It can be seen from part 4 of Section 3.3 that the value range (ranki,j) of each impact factor is (0, 1]. When the input values of all impact factors are close to 0, the value of is approximately 0; when all input values are 1, as the weight sum of all impact factors is 1, then, the value of is 1. Obviously, the order of magnitude for is 10−1 or 101. According to related research [55,56,57], the order of magnitude of error probability is 10−2 or 10−3; therefore, for , its order of magnitude should be 10−2 or 10−3. Because the order of magnitude of is 10−1 or 101, the order of magnitude for k only is 10−2, and the order of magnitude of can be in the range of [10−3, 10−2]. Therefore, the correction coefficient value of k was identified as 0.01.
The determination of the adjustment factors including tc and mc based on fuzzy center of gravity method for Formulas (15) or (16).
It is difficult for experts to give a specific value in a certain situation. Therefore, it may be more reasonable for experts to give interval fuzzy values. The fuzzy center of gravity method is used to synthesize the interval fuzzy values obtained by some experts. The basic process to obtain the values of tc or mc is: ① give some interval values by related experts based on a range shown in Table 9 or Table 10; ② calculate the values of tc and mc based on fuzzy center of gravity method.
Table 9.
The values of available time for SPAR-H.
Table 10.
The values of mental stress for SPAR-H.
Because the SPAR-H method has a certain advantage for overlap calculation of associated influencing factors [58], the division levels and values of available time and mental stress adjustment factors were based on the SPAR-H method. They were shown in Table 9 and Table 10 [34].
As the scene and environment between the human-computer interaction in a spacecraft cabin and SPAR-H method are different, the corresponding value of each level, except the normal level, should be different. This paper used the fuzzy center of gravity method to obtain the values of tc and mc.
Because the standard time for tc and the moderate lever for mc are at a normal level, the error probability does not need to be corrected. Therefore, the adjustment factors including tc and mc both are 1 when they are at a moderate level.
(1) A description of fuzzy center of gravity method
According to the principle of fuzzy statistics, subjective intervals comment set matrix named as F is divided into n groups of subjective evaluation fuzzy intervals sequences, and the kth group fuzzy interval sequence defined as F(, k) is written as:
where F(, k) is the comment sequences of objective intervals, [f1ij, f2ij] is seen as an interval evaluation range, i is the ith expert, j is the jth influencing factor, i = 1, 2, ……m, j = 1, 2, ……k, m is numbers of expert, and k is number of influencing factors, f1ij <= f2ij.
Define 1: Falling shadow represents the fuzzy coverage frequency that m fuzzy interval comments in F(, k) and covers a fixed point value.
Define 2: y(F(, k)) is known as sample falling shadow function, and it denotes the fuzzy coverage frequency distribution of m subjective fuzzy interval comments containing f.
A fuzzy coverage frequency peak (Max(F(, k)) of F(, k) can be obtained by sample falling shadow function of F(, k), Max(F(, k)) and is called the fuzzy center of gravity of F(, k).
Supposing:C known as domain of discourse is a bounded measurable set in a real number field, then the MAX(F) on C is as follows [59]:
y(F)reflects the peak of fuzzy coverage frequency of the subjective intervals comment sequence, and if the center of gravity for Max(F) is near the point where the convex function takes its maximum value, then the expressions of the two parameters for Formula (17) are written as:
where ,
Based on Formulas (10)–(12), the expression of fuzzy center of gravity(gk) with the highest fuzzy coverage frequency for subjective intervals comment sequences(y(F(, k))) is:
(2) The adjustment factors including tc and mc for Formulas (15) or (16)
By referring to the correction factors including available time and mental stress of the SPAR-H method, five experts gave their subjective evaluations of fuzzy values of correction factors based on the special environment of the astronaut The evaluation results are listed in Table 11 and Table 12, respectively.
Table 11.
Two evaluation objects (tc) of five pairs of interval numbers.
Table 12.
Two evaluation objects (mc) of five pairs of interval numbers.
Based on Table 11 and Table 12, and according to Formulas (18)–(20), the values of adjustment factors including tc and mc are seen in Table 13 and Table 14.
Table 13.
The values of available time adjustment factors for Formulas (15) or (16).
Table 14.
The values of mental stress adjustment factors for Formulas (15) or (16).
It can be seen from Table 11, Table 12, Table 13 and Table 14 that the values of adjustment factors including tc and mc are within the range of the maximum upper bounds and the minimum lower bounds of the five pairs of interval numbers comments, which shows that the interval numbers comments can well cover the fuzzy center point of comment sequences.
The weights of influencing factors based on Game Theory for Formulas (15) or (16)
To improve the rationality of weights, the weights of influencing factors in this paper are obtained by combination the weighting method based on Game Theory.
Initial weights were obtained by AHP [60] and improved G2 [61] methods, respectively. Final weights were obtained by Game Theory. They are a composition of other weights, namely, the Game Theory method, which draws data from other weights in a certain proportion, and absorbs the advantages of AHP and G2 methods. Therefore, in a sense, the subjectivity of the weights can be reduced.
(1) Main processes of Game Theory are as follows:
① Random linear combination of k weight vectors:
Wc is a combination weight based on basic weight sets; mi denotes combination coefficient; wi is the weight of each weight method; k is number of weight method.
② According to the differential properties of matrix, the linear equation of optimal first-order derivative about Equation (21) is:
③ mk can be obtained based on Formula (22). The normalization expression of mk is as follows:
④ The optimal comprehensive weight calculation method for the evaluation factors is written as:
(2) The main steps of the AHP method are: ① The element sets are hierarchized to establish a multilevel hierarchical structure model; ② According to the established multilevel hierarchical structure model, the relative importance of the factor sets belonging to the same parent factor set is determined according to the judgment scale, and a comparison matrix is established accordingly; ③ After calculation, the relative importance of each factor is determined; and ④ The relative importance is normalized.
(3) The main steps of the G2 method are: ① Experts or decision makers select the least important evaluation factor, denoted as xjm from the evaluation factors set {xj} (j = 1, 2, …m); ② Select the least important evaluation factors, denoted as xjm − 1 from the remaining (m − 1) evaluation factors; ③ Sort the importance of the evaluation factors set {xj}; ④ Give a rational value for the ratio of the importance between xjk and xjm; and ⑤ Calculate the weight of the evaluation factors according to the ratio of the importance degrees.
Initial data was obtained by questionnaire. Respondents in this paper included relevant experts from the astronaut training center, human reliability analysis experts, and experts and scholars in the field of human factor engineering. A total of 32 questionnaires were distributed, and 30 of them were valid.
Based on Formulas (21)–(24), the optimal comprehensive weights of influencing factors were obtained by analyzing two different weight vectors obtained by AHP [60] and improved G2 [61] methods. The weights of astronauts’ information acquisition, status response, and operation processes were shown in Table 15.
Table 15.
The weights of influencing factors.
(4) The input values of ranki,j,r of influencing factors for Formulas (15) or (16)
In Formulas (15) or (16), the input values of ranki,j,r for the influencing factors should be determined by astronauts or experts according to the level of influencing factors and the task scene. The levels of influencing factors in this paper were divided into four categories, including excellent, good, moderate, and poor. The ranges of each level are as follows: [0.75, 1], [0.6, 0.75), [0.4, 0.6), (0, 0.4) [62]. The better the level of influencing factor is, the larger the values of ranki,j,r will be. Otherwise, the smaller the value of ranki,j,r will be. Specific values of influencing factor levels should be based on analyzed subtasks, astronauts themselves, and circumstances.
4. Results and Discussion
4.1. Influencing Factors
The influencing factors of each cognitive stage were obtained in two steps. Firstly, initial influencing factors were collected by literature reviews and expert consultation. Secondly, based on relative importance results and expert opinions, the final influencing factors of each cognitive stage were determined. Obviously, the analysis process is reasonable.
The Cronbach’s alpha coefficient and the Kaiser–Meyer–Olkin (KMO) values were larger than 0.8, which shows that the reliability and validity of the questionnaire survey about relative importance of influencing factors is good. Final influencing factors were obtained by eliminating from initial influencing factors based on the relative importance and expert suggestions. The questionnaire survey and expert judgment may be subjective, but the process of eliminating a few influencing factors shows that subjectivity has been minimized.
4.2. The Adjustment Factors including tc and mc
The level division and range of adjustment factors are based on the SPAR-H method, which is a mature and easy to use method. As their scenes are different from spacecraft cabins, the values of SPAR-H are not entirely suitable for the adjustment factors. The fuzzy center of gravity method is used to obtain the values by synthesizing interval fuzzy values derived from certain experts. It is shown from the obtained results that the values of tc and mc are within the range of the corresponding interval values, which shows the obtained results are reasonable.
4.3. Weights of Influencing Factors
In general, influencing factor weights are obtained by related questionnaires, so there is a certain subjectivity to the questionnaire. To reduce the subjectivity, the weights of each cognitive stage in this paper were obtained by synthesizing two different weights that were obtained by the AHP and G2 methods, respectively. It can be seen from Table 15 that the weight values obtained by Game Theory are between the weights obtained by the G2 method and the weights obtained by the AHP method, which shows that the weights obtained by Game Theory considers two different weights obtained by the AHP and G2 methods, and so they are balanced. To a certain extent, the subjectivity of experts is eliminated. Obviously, the weights obtained by Game Theory are more reasonable.
4.4. Performance Analysis of HRA Method
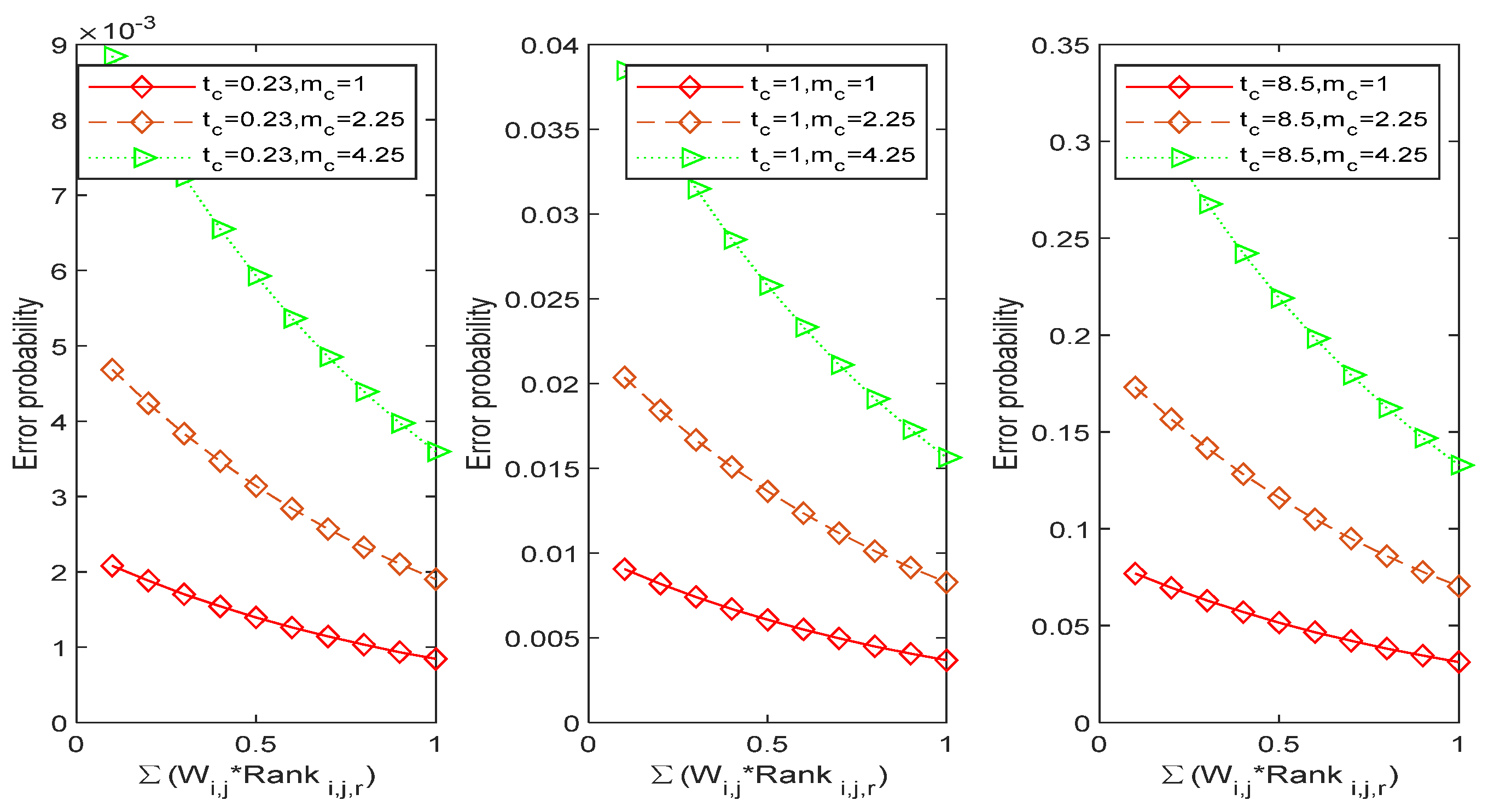
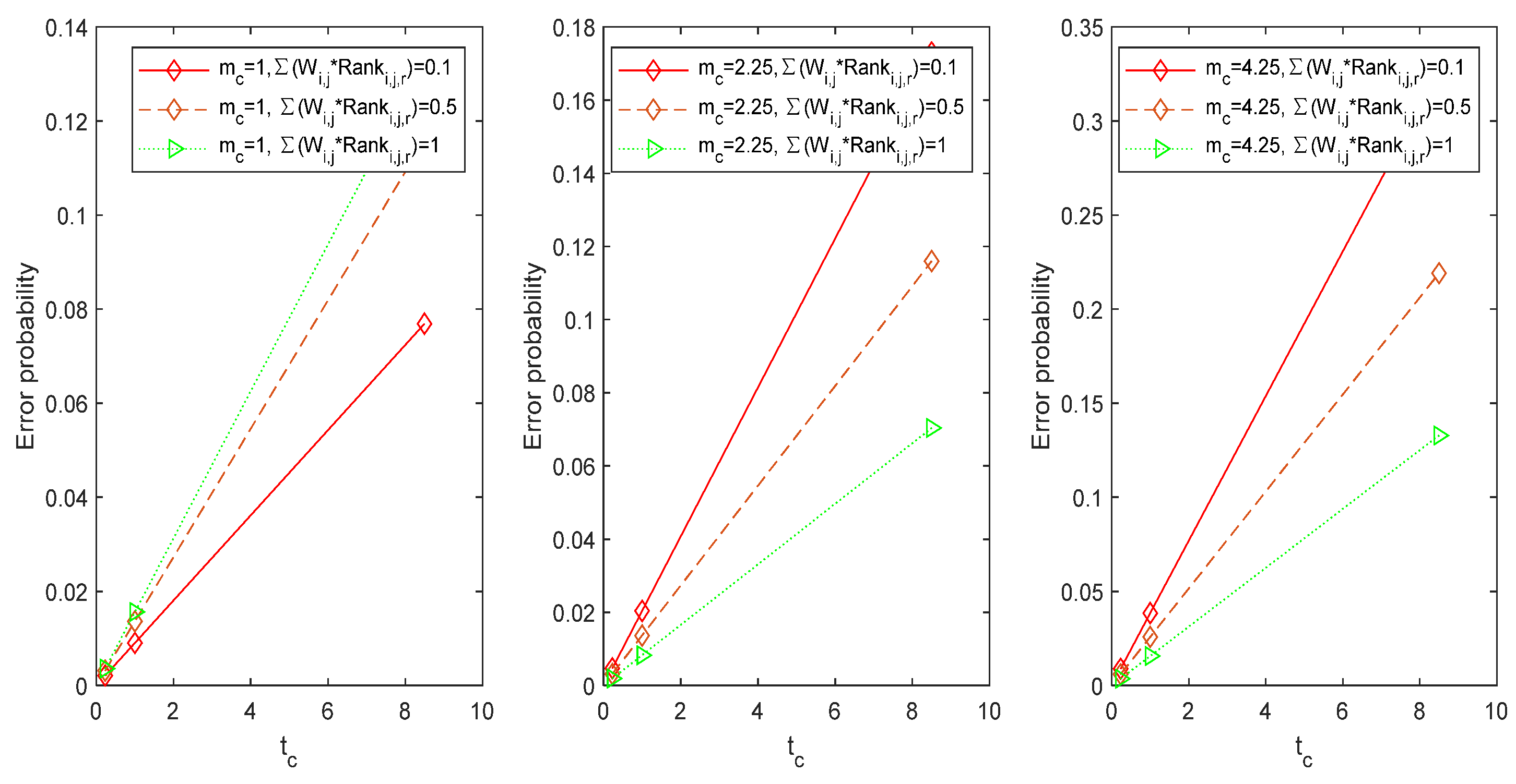
To illustrate the rationality of the error probability for Formula (15), the boundary and change of error probability was analyzed. The value of available time and mental stress adjustment factors are based on Table 9 and Table 10, where the value of k is 0.01. The changes of human error probability are shown in Figure 5, Figure 6 and Figure 7.
Figure 5.
Variation of error probabilities with k = 0.01 and ∑Wi,j × ranki,j,r ∈ [0.1, 1].
Figure 6.
Variation of error probabilities with k = 0.01 and tc = 0.23, 1, and 8.5.
Figure 7.
Variation of error probabilities with k = 0.01 and mc = 1, 2.25, and 4.25.
As seen from Figure 5, Figure 6 and Figure 7, ① The error probability decreases as the sum of the product of the factor weights and input values increases, which is rational, because a higher sum of the products indicates that the influence factors are at a better level. If the level of influencing factors is better, the error probability will be less; ② The error probability increases with an increase of available time adjustment factors tc, which is reasonable, as the greater tc explains that the available time is less, and less available time shows that the time to handle an event is less, and so the error probability will be greater; ③ The error probability increases with an increase of mental stress adjustment factors mc, which is reasonable, as the greater mc indicates that the mental stress is higher; obviously, the higher the mental stress is, the higher the error probability is; and ④ The values, trends, and ranges of the error probability are basically similar to the relevant research achievements [55,56,63,64,65,66], which shows the values, boundaries, and ranges of error probability are credible and reasonable.
5. Example of Application
Taking the typical manual rendezvous and docking task of a manned space flight as an example, this task covers three cognitive stages, and can be used to analyze cognitive reliability.
5.1. Decomposing the Task and Determining Astronaut’s’ Cognitive Stages
Based on research achievements [66], the manual rendezvous and docking task sequence and determined cognitive stages were shown in Figure 8.
Figure 8.
The task sequence of manual rendezvous and docking and division of cognitive stages.
5.2. Determining the Values of Parameter
This part mainly explains the analysis process of human reliability. Before obtaining a calculation result of human reliability, related parameters should be determined based on a certain task and scene. The source of parameter values was based on a ground simulative training that was carried out at the astronaut training center in China. The parameter values were given by the participant after finishing the ground simulation experiment of manual rendezvous and docking. The values of tc and mc of different cognitive stages for each subtask are shown in Table 16, and the values of influencing factors levels are listed in Table 17, Table 18 and Table 19.
Table 16.
The values of tc and mc.
Table 17.
The values of influencing factors lever for T1 stage.
Table 18.
The values of influencing factors lever for T2 stage.
Table 19.
The values of influencing factors lever for T3 stage.
5.3. Modeling and Calculation
5.3.1. The error probability for T1
According to Formula (7) and Figure 8, the error probability of T1 is:
Phra(T1_f) = PT1_information acquisition (T11) + PT1_status response (T12) + PT1_execution (T13)
Phra(T1_f) denotes the error probability of subtask T1.
(1) PT1_information acquisition (T11)
The HRA process in this paper took into account recovery process, and based on Formula (9), the computational expression of information acquisition stage for T11 is:
PT1_informaiton acquisition (T11) = Pinformaiton acquisition(T11_A1) * Pinformaiton acquisition(T11_A2|T11_A1)
T11_A1 represents that information acquisition is unsuccessful for subtask T11; T11_A2 indicates that the recovery process of information acquisition is unsuccessful for subtask T11.
② Similarly, according Formula (15), Table 15, Table 16 and Table 17, Pinformation acquisition(T11_A2)is:
It is shown in Table 12 that if the correlation among cognitive stages is high dependence, then:
Pinformation acquisition(T11_A2|T11_A1) = (1 + Pinformation acquisition(T11_A2))/2 = 0.5007
Therefore,
PT1_information acquisition (T11) = Pinformation acquisition(T11_A1) * Pinformation acquisition(T11_A2| T11_A1) = 0.00202
(2) PT1_status response (T12)
Based on Formula (9), the computational expression of the information acquisition stage for T12 is:
PT1_status response (T12) = P status response(T12_A1)*P status response(T12_A2| T12_A1)
T12_A1 represents the status response of failure for subtask T12, and T12_A2 denotes that the recovery process of information acquisition is unsuccessful for subtask T12.
② Similarly, for Pstatus response (T12_A2):
It is shown in Table 16 that if the correlation among cognitive stages is high dependence, then:
Pstatus response(T12_A2|T12_A1) = (1 + Pstatus response(T12_A2))/2 = 0.5007
Then,
PT1_ status response (T12) = P status response(T12_A1)*P status response(T12_A2| T12_A1) = 0.00049
(3) PT1_execution (T13)
Similarly, the computational expression of information acquisition stage for PT1_execution (T13) is:
PT1_execution (T13) = P execution(T13_A1)*P execution(T13_A2|T12_A1)
T13_A1 represents that information acquisition is unsuccessful for subtask T13, and T13_A2 indicates that the recovery process of information acquisition is unsuccessful for subtask T13.
① Similarly, for Pexecution(T13_A1):
② for Pexecution(T13_A2):
It is shown in Table 16 that if the correlation among cognitive stages is high dependence, then:
Pexecution(T13_A2|T13_A1) = (1 + Pexecution(T13_A2))/2 = 0.50905
Then,
PT1_execution(T13) = Pexecution(T13_A1)*P execution(T13_A2| T13_A1) = 0.00921
Therefore,
Phra(T1_f) = PT1_information acquisition (T11) + PT1_status response (T12) + PT1_execution(T13) = 0.01172
5.3.2. The error probability of subtask T2
According Formula (7) and Figure 8, the computational expression of error probability for T2 is:
Phra(T2_f) = PT2_status response (T21) + PT2_execution (T22)
Phra(T2_f) denotes the error probability of subtask T2.
(1) PT2_status response (T21)
Similarly, based on formula (9), the computational expression of error probability for T21 is:
PT2_status response (T21) = Pstatus response(T21_A1)*Pstatus response(T21_A2| T21_A1)
T21_A1 indicates that status response is unsuccessful for subtask T2, and; T21_A2 indicates that the recovery process of information acquisition is unsuccessful for subtask T21.
② Similarly, for Pstatus response(T21_A2):
It is shown in Table 12 that if the correlation among cognitive stages is high dependence, then:
Pstatus response(T21_A2|T21_A1) = (1 + Pstatus response(T21_A2))/2 = 0.50802
Therefore,
PT2_status response (T21) = Pstatus response(T21_A1)*Pstatus response(T21_A2|T21_A1) = 0.00519
(2) PT2_exectuon (T22)
Similarly, for PT2_execution (T22),
PT2_ execution (T22) = P execution(T22_A1)*P execution(T22_A2|T22_A1)
T22_A1 indicates that status response is unsuccessful for subtask T22 and T22_A2 denotes that the recovery process of information acquisition is unsuccessful for subtask T22.
① Similarly, for Pexecution(T22_A1):
② Similarly, for Pexecution(T22_A2):
It is shown in Table 12 that if the correlation among cognitive stages is high dependence, then:
Pexectuion(T22_A2|T22_A1) = (1 + Pexectuion(T22_A2))/2 = 0.50916
Then,
PT2_exectuion (T22) = Pexectuion(T22_A1)*Pexectuion(T22_A2| T22_A1) = 0.012553
Therefore,
Phra(T2_f) = PT2_status response (T21) + PT2_exectuion (T22) = 0.00109
5.3.3. The error probability of subtask T3
According Formula (7) and Figure 8, the computational expression of error probability for T3 is:
Phra(T3_f) = PT3_information acquisition (T31) + PT3_status response (T32) + PT3_execution (T33)
Phra(T3_f) denotes the error probability of subtask T3.
(1) PT3_information acquisition(T31)
Human reliability analysis took into account recovery process, and based on Formula (9), the computational expression of information acquisition stage for T31 is:
PT3_information acquisition (T31) = P information acquisition(T31_A1)*P information acquisition(T31_A2|T31_A1)
T31_A1 represents the information acquisition of failure for subtask T31 and T31_A2 indicates that the recovery process of information acquisition is unsuccessful for subtask T31.
① Similarly, for Pinformation acquisition(T31_A1):
②Similarly, for
Pinformation acquisition(T31_A2):
It is shown in Table 12 that if the correlation among cognitive stages is high dependence, then:
Pinformation acquisition(T31_A2|T31_A1) = (1 + Pinformation acquisition(T31_A2))/2 = 0.50254
Then:
PT3_information acquisition (T31) = Pinformation acquisition(T31_A1)*Pinformation acquisition(T31_A2| T31_A1) = 0.00276
(2) PT3_status response (T32)
Similarly, the computational expression of status response stage for T32 is:
PT3_status response (T32) = P status response(T32_A1)*P status response(T32_A2| T32_A1)
T32_A1 represents the status response of failure for subtask T32 and T32_A2 indicates that the recovery process of status response is unsuccessful for subtask T32.
① Similarly, for Pstatus respon
② Similarly, for
It is shown in Table 12 that if the correlation among cognitive stages is high dependence, then:
Pstatus response(T32_A2|T32_A1) = (1 + Pstatus response(T32_A2))/2 = 0.50125
Then,
PT3_status response (T32) = Pstatus response(T32_A1)*Pstatus response(T32_A2| T32_A1) = 0.00119
(3) PT3_execution (T33)
Similarly:
PT3_execution (T33) = P execution(T33_A1)*P execution(T33_A2| T32_A1)
T33_A1 represents the status response of failure for subtask T33 and T33_A2 indicates that the recovery process of status response is unsuccessful for subtask T33.
① Similarly, for Pexecution(T33_A1):
② Similarly, for Pexecution(T33_A2):
It is shown in Table 12 that if the correlation among cognitive stages is high dependence, then:
Pexecution(T33_A2|T33_A1) = (1 + Pexecution(T33_A2))/2 = 0.50975
Then,
PT3_execution(T33) = Pexecution(T33_A1)*Pexecution(T33_A2| T33_A1) = 0.00485
Therefore,
Phra(T3_f) = PT3_information acquisition (T31) + PT3_status response (T32) + PT3_execution (T33) = 0.0088
(4) The error probability of task T
According to Figure 8, the analysis process for subtasks including T1, T2, and T3 is shown in Figure 9.
Figure 9.
The process analysis for task T.
Based on Figure 9 and Formula (3), the computational expression of error probability for task is:
P(T_f) = P(F1) + P(F2) + P(F3)
Obviously, P(F1) = P(T1_f) = 0.01172
P(F2) = P(T1_s)*P(T2_f) = (1 − 0.01172)*0.00109 = 0.00108
P(F3) = P(T1_s)*P(T2_s)* P(T3_f) = (1 − 0.01172)*(1 − 0.00109)*0.0088 = 0.00869
Therefore, the error probability for task T is:
P(T_f) = P(F1) + P(F2) + P(F3) = 0.01172 + 0.00108 + 0.00869 = 0.02149
Therefore, the human error probability of the manual rendezvous and docking task that was finished by ground simulation training is 0.02149.
6. Conclusions
This paper constructed a cognitive reliability influencing factors system and analysis model in order to analyze the human reliability of a human-computer interface in a spacecraft cabin. Through the research, the following conclusions were obtained: (1) the division of cognitive stages was determined; (2) the influencing factors system of each cognitive stage was constructed; (3) the analysis process and calculation method were proposed; (4) the human reliability method with symmetry of failure and success was established; and (5) the weights of influencing factors for each cognitive stage were obtained.
However, the methods may have limitations. For example, the influencing factors considered by cognitive process may not be comprehensive; the range of error probability to deduce correction factor values is based on related research, which may suffer from bias; and the relationship analysis referred to the results of THREE, which may have deviations in the context of a spacecraft cabin human-computer interface. In the future, it is recommended to further improve the influencing factors, improve correction coefficients, and correct the correlation method.
It is very easy to see from the analysis process of the proposed model and example that an HRA model in this paper has several advantages compared with previously developed models: (1) The application process of aforementioned example showed that the level values of influencing factors specified a range, which brings convenience and accuracy to the application process; (2) The allowed time and executed time do not need to be considered; (3) The level values including tc and mc have a reference range, and obviously, it is easier to select corresponding parameter value as a result; and (4) The division of cognitive stages for a subtask is dynamic, and the application process of above-mentioned example showed that it can be divided into two or three cognitive states according to actual condition, which breaks the fixed division of cognitive stages.
Author Contributions
Conceptualization, J.J. and Y.X.; methodology, J.J. and Y.X.; software, J.J., W.Z, C.J. and D.Y.; validation, J.J., Y.X. and D.Y.; formal analysis, W.Z. and C.J.; investigation, W.Z. and C.J.;resources, L.X.; data curation, J.J., H.H. and D.Y.; writing—original draft preparation, J.J., Y.X., L.Z. and J.L.; writing—review and editing, J.J., Y.Z., L.Z. and D.Y.; visualization, D.Y., L.X. and Y.X.; supervision, Y.X.; project administration, J.J. and Y.X.;funding acquisition, J.J., Y.X. and Y.Z. All authors have read and agreed to the published version of the manuscript.
Funding
This work is supported by the Open Funding Project of National Key Laboratory of Human Factors Engineering, China Astronaut Research and Training Center, Beijing, China (Grant No, SYFD061904K; 6140002402; 201706080206-002-001); the Scientific Research Fund of the Hunan Provincial Education Department (21A0566) of China; the Science and Technology Program of Hengyang City, China (Grant No. 202150054073); the Natural Science Foundation, grant numbers T2192931, 7207011334; National Brain Project, grant number 2022ZD0208507; the National Key Laboratory Project of Human Factors Engineering, grant number SYFD062003; and the Equipment Advanced Research, grant number 61400020402.
Institutional Review Board Statement
Not applicable.
Informed Consent Statement
Not applicable.
Data Availability Statement
The data presented in this study are available on request from the corresponding author. The data are not publicly available due to privacy.
Acknowledgments
This work is supported by the Open Funding Project of National Key Laboratory of Human Factors Engineering, China Astronaut Research and Training Center, Beijing, China (Grant No, SYFD061904K; 6140002402; 201706080206-002-001); the Scientific Research Fund of the Hunan Provincial Education Department (21A0566) of China; and the Science and Technology Program of Hengyang City, China (Grant No. 202150054073).
Conflicts of Interest
The authors declare no conflict of interest.
References
- He, X.; Huang, X. Human Reliability Analysis: Theory, Methods and Applications in Industrial System; QingHua University Press: Beijing, China, 2007. (In Chinese) [Google Scholar]
- Stanton, N.A. Human Factors in Nuclear Safety; Taylor & Francis Ltd.: Abingdon, UK, 1996. [Google Scholar]
- He, H. Study on Human Error Evaluation Modelsfor Civil Aviation Pilots; Safety Technology and Engineering; China University of Mining and Technology: Beijing, China, 2017. (In Chinese) [Google Scholar]
- Ha, J.S.; Seong, P.H. Attentional-resource effectiveness measure in monitoring and detection tasks in nuclear power plants. IEEE Trans. Syst. Man Cybern.—Part A Syst. Hum. 2010, 40, 993–1008. [Google Scholar] [CrossRef]
- Kontogiannis, T. A framework for the analysis of cognitive reliability in complex systems: A recovery centred approach. Reliab. Eng. Syst. Saf. 1997, 58, 233–247. [Google Scholar] [CrossRef]
- Zhoum, Q.-x.; Jiang, G.-h. Research on Ergonomic Assessment of Human-Machine Interface Design in Manned Spacecraft Cockpit Based on Fuzzy Factors. Fuzzy Syst. Math. 2002, 16, 99–103. (In Chinese) [Google Scholar]
- Li, Y. Design and Implementation of Auxiliary Visualization System for Astronaut Control of Serving Aircraft; School of Software Engineering, Nanchang Hangkong University: Nanchang, China, 2018. (In Chinese) [Google Scholar]
- Dong, D.-y.; Yuan, X.-g.; Wang, L.-j.; Li, Y.-x.; Zhang, L.-b. Simulation of Flight-task Based Cockpit Display Human Machine Interface. J. Syst. Simul. 2007, 19, 678–680. (In Chinese) [Google Scholar]
- Ye, K.; Bao, H.; Wei, S. Layout Optimization for Aircraft Cockpit Man-Machine Interface Based on Visual Attention Distibution. J. Nanjing Univ. Aeronaut. Astronaut. 2018, 50, 416–422. (In Chinese) [Google Scholar]
- Hu, T.; Xu, C.; Wei, C.; Zhang, L.; Li, T.; Wang, G. System design method of human-machine interface for manned spacecraft based on systems engineering. Spacecr. Environ. Eng. 2017, 34, 76–80. (In Chinese) [Google Scholar]
- Deng, L. Research on Layout Design and Evaluation Optimization of Human-Machine Interface for Cabin; Northwestern Polytechnical University: Xi’an, China, 2016. (In Chinese) [Google Scholar]
- Fu, J. Research on Task Oriented Information Display Mechanism of Modern Cockpit Human Machine Interface; University of Aeronautics and Astronautics: Nanjing, China, 2017. (In Chinese) [Google Scholar]
- Wang, J. Research and Design on Human-Machine Interface of Light Sport Aircraft’s Cockpit; College of Aerospace Engineering, Nanjing Unversity of Aeronautics and Astronautics: Nanjing, China, 2010. (In Chinese) [Google Scholar]
- Embrey, D.E.; Humphreys, P.; Rosa, E.A.; Kirwan, B.; Rea, K. SLIM-MAUD: An Approach to Assessing Human Error Probabilities Using Structured Expert Judgment; NUREG/CR-3518; US Nuclear Regulatory Commission: Washington, DC, USA, 1984.
- Hall, R.E.; Fragola, J.; Wreathall, J. Post-Event Human Decision Errors: Operator Action Tree/Time Reliability Correlation; NUREG/CR-3010; OSTI: Washington, DC, USA, 1982. [Google Scholar]
- Seaver, D.A.; Stillwell, W.G. Procedures for Using Expert Judgement to Estimate Human Error Probabilities in Nuclear Power Plant Operations; NUREG/CR-2743; US Nuclear Regulatory Commission: Washington, DC, USA, 1983.
- Barriere, M. Technical Basis and Implementation Guidelines for a Technique for Human Event Analysis (ATHEANA) (NUREG-1624, Revision 1); US Nuclear Regulatory Commission: Washington, DC, USA, 2000.
- Hollnagel, E. Cognitive Reliability and Error Analysis Method (CREAM); Elsevier Science Ltd.: Amsterdam, The Netherlands, 1998. [Google Scholar]
- Bieder, C.; Le-Bot, P.; Desmares, E.; Bonnet, J.; Cara, F. Mermos: EDF’s New Advanced HRA Method. In Proceedings of the International 4th Conference on Probabilistic Safety Assessment and Management, New York, NY, USA, 13–18 September 1998; pp. 129–134. [Google Scholar]
- Li, P.; Cheng, G.; Zhang, L.; Dai, L. Research Review and Development Trends of Human Reliability Analysis Techniques. At. Energy Sci. Technol. 2011, 45, 329–341. (In Chinese) [Google Scholar]
- Khrennikov, A. Quantum-like model of cognitive decision making and information processing. Biosystems 2009, 95, 179–187. [Google Scholar] [CrossRef]
- Lee, H.-C.; Seong, P.-H. A computational model for evaluating the effects of attention, memory, and mental models on situation assessment of nuclear power plant operators. Reliab. Eng. Syst. Saf. 2009, 94, 1796–1805. [Google Scholar] [CrossRef]
- Lin, Q.-L.; Wang, D.-J.; Lin, W.-G.; Liu, H.-C. Human reliability assessment for medical devices based on failure mode and effects analysis and fuzzy linguistic theory. Saf. Sci. 2014, 62, 248–256. [Google Scholar] [CrossRef]
- Jang, I.; Kim, A.R.; Jung, W.; Seong, P.H. Study on a new framework of Human Reliability Analysis to evaluate soft control execution error in advanced MCRs of NPPs. Ann. Nucl. Energy 2016, 91, 92–104. [Google Scholar] [CrossRef]
- Islam, R.; Abbassi, R.; Garaniya, V.; Khan, F. Development of a human reliability assessment technique for the maintenance procedures of marine and offshore operations. J. Loss Prev. Process Ind. 2017, 50, 416–428. [Google Scholar] [CrossRef]
- Zhang, R.; Tan, H. An integrated human reliability based decision pool generating and decision making method for power supply system in LNG terminal. Saf. Sci. 2018, 101, 86–97. [Google Scholar] [CrossRef]
- Wickens, C.D. Situation awareness and workload in aviation. Curr. Dir. Psychol. Sci. 2002, 11, 128–133. [Google Scholar] [CrossRef]
- Iani, C.; Wickens, C.D. Factors affecting task management in aviation. Hum. Factors J. Hum. Factors Ergon. Soc. 2007, 49, 16–24. [Google Scholar] [CrossRef]
- Hanaman, G.W.; Spurgin, A.J.; Lukic, Y. Human Cognitive Reliability Model for PRA Analysis (NUS24531); Draft EPRI Report; Electric Power Research Institute: Washington, DC, USA, 1984. [Google Scholar]
- Swain, A.D.; Guttmann, H.E. Handbook of Human of Human Reliability Analysis with Emphasis on Nuclear Power Plant Application; NUREG/CR-1278; U.S. Nuclear Regulatory Commission: Washington, DC, USA, 1983.
- Chang, Y.H.J.; Mosleh, A. Cognitive modeling and dynamic probabilistic simulation of operating crew response to complex system accidents—Part 4: IDAC causal model of operator problem-solving response. Reliab. Eng. Syst. Saf. 2007, 92, 1061–1075. [Google Scholar] [CrossRef]
- Jiang, Y.-j.; Li, L.; Sun, Z.-q.; Gong, E.-l.; Xie, H.-w. Review of Performance Shaping Factor Analysis Methods. China Saf. Sci. J. 2011, 21, 66–72. (In Chinese) [Google Scholar]
- Zhao, J.; Tong, J.-j.; Liu, T.; Yu, Y. Integrating team factor into current human reliability analysis of nuclear power plant. At. Energy Sci. Technol. 2011, 45, 966–971. (In Chinese) [Google Scholar]
- Gertman, D.; Blackman, H.; Marble, J.; Byers, J.; Smith, C. The SPAR-H Human Reliability Analysis Method; 20555-0001, NUREG/CR-6883; U.S. Nuclear Regulatory Commission, Office of Nuclear Regulatory Research: Washington, DC, USA, 2005.
- Ding, Y. An Advanced Discussion for AP1000 Nuclear Power Plant Main Control Room. In Proceedings of the 2007 Annual Conference of Chinese Nuclear Society, Wuhan, China, 8 September 2007. (In Chinese). [Google Scholar]
- Mao, W. Design and Study on Fault Diagnosis Expert System for Reactor Coolant System; School of Nuclear Science and Technique, Harbin Engineering University: Harbin, China, 2014. (In Chinese) [Google Scholar]
- Xi, Y.; Hu, S. Model of Performance Shaping Factors in Marine Human Reliability Reliability Analysis. Mavigation China 2012, 35, 66–70. (In Chinese) [Google Scholar]
- Chen, H.-l.; He, R.-k. Robot Voice Interaction Cognitive Load Evaluation Based on AHP and Physiological Signal. Packag. Eng. 2020, 41, 145–150. (In Chinese) [Google Scholar]
- Xue, Y.-f.; Li, Z.-w. Research on Online Learning Cognitive Load Quantitative Model based on Eye Tracking Technology. Mod. Educ. Technol. 2019, 29, 59–65. (In Chinese) [Google Scholar]
- Yin, P.; Huang, B.; Liu, Z. Analysis of Noise Characteristics in Helicopter Cabin. Helicopter Tech. 2019, 202, 28–31. (In Chinese) [Google Scholar]
- Chang, Y.H.J.; Mosleh, A. Cognitive modeling and dynamic probabilistic simulation of operating crew response to complex system accidents—Part 2: IDAC performance influencing factors model. Reliab. Eng. Syst. Saf. 2007, 92, 1014–1040. [Google Scholar] [CrossRef]
- Santoso, S. Factors Influencing Human Reliability of High Temperature Gas Cooled Reactor Operation. TRI DASA MEGA—J. Teknol. Reakt. Nukl. 2016, 18, 135–144. [Google Scholar] [CrossRef][Green Version]
- Dai, L.-c.; Zhang, L.; Huang, S.-d. Post-accident Human Reliability Analysis and Improvement of Operators’ Performance in a NPP. Chin. J. Ergon. 2007, 13, 31–34. (In Chinese) [Google Scholar]
- Yan, Y.; Liu, W.; Xiong, X. A Influence of DCS on Human Error for Operator. Sci. Technol. 2015, 25, 103. (In Chinese) [Google Scholar]
- Gao, J.; He, X.; Huang, R.; Shen, Z. Error Mechanism Initial analysis of operator crew. In Proceedings of the 6th National Conference on Man-Machine-Environmental System Engineering, Xiamen, China, 1 October 2003. (In Chinese). [Google Scholar]
- Chang, Y.H.J.; Mosleh, A. Cognitive modeling and dynamic probabilistic simulation of operating crew response to complex system accidents—Part 1: Overview of the IDAC Model. Reliab. Eng. Syst. Saf. 2007, 92, 997–1013. [Google Scholar] [CrossRef]
- Blischke, W.R.; Murthy, D.N.P. Reliabilitiy: Modeling, Prediction and Optimization; Wiley Series in Probability and Statistics; Wiley: New York, NY, USA, 2000. [Google Scholar]
- Fang, X.; He, X.-h.; Zhao, B.-q. Research on Cognitive Model of Nuclear Power Plant Operator. At. Energy Sci. Technol. 2006, 40, 570–573. (In Chinese) [Google Scholar]
- Dragan, I.-M.; Isaic-Maniu, A. The reliability of the human factor. Procedia Econ. Financ. 2014, 15, 1486–1494. [Google Scholar] [CrossRef]
- Di Pasquale, V.; Miranda, S.; Iannone, R.; Riemma, S. A Simulator for Human Error Probability Analysis (SHERPA). Reliab. Eng. Syst. Saf. 2015, 139, 17–32. [Google Scholar] [CrossRef]
- Fruggiero, F.; Fera, M.; Lambiase, A.; Maresca, P.; Caja, J. The role of human fatigue in the uncertainty of measurement. Procedia Manuf. 2017, 13, 1320–1327. [Google Scholar] [CrossRef]
- Jiang, J.; Wang, Y.; Zhang, L.; Wu, D.; Li, M.; Xie, T.; Li, P.; Dai, L.; Li, P.; Shi, X.; et al. A Cognitive Reliability Model Research for Complex Digital Human-Computer interface of Industrial System. Saf. Sci. 2018, 108, 196–202. [Google Scholar] [CrossRef]
- Musharraf, M.; Hassan, J.; Khan, F.; Veitch, B.; MacKinnon, S.; Imtiaz, S. Human reliability assessment during offshore emergency conditions. Saf. Sci. 2013, 59, 19–27. [Google Scholar] [CrossRef]
- Jiang, J.; Zhang, L.; Wang, Y.; Zhang, K.; Peng, Y.; Zhou, C. Research on Cognitive Reliability Model for Main Control Room Considering Human Factors in Nuclear Power Plants. Nucl. Power Eng. 2012, 33, 66–73. (In Chinese) [Google Scholar]
- Hannaman, G.W.; Spurgin, A.J.; Lukic, Y.D. A model for assessing human cognitive reliability in PRA studies. In Proceedings of the IEEE Third Conference on Human Factors and Nuclear Safety, Monterey, CA, USA, 23–27 June 1985. [Google Scholar]
- Hwang, S.-L.; Liang, G.-F.; Lin, J.-T.; Yau, Y.-J.; Yenn, T.-C.; Hsu, C.-C.; Chuang, C.-F. A real-time warning model for teamwork performance and system safety in nuclear power plants. Saf. Sci. 2009, 47, 425–435. [Google Scholar] [CrossRef]
- Westermann, S.J.; Davies, D.R.; Glendon, A.I.; Stammers, R.B.; Matthews, G. Age and cognitive ability as predictors of computerized information retrieval. Behav. Inf. 1995, 14, 313–326. [Google Scholar] [CrossRef]
- Zhang, L. Human Reliability of Digitalized Nuclear Power Plants; National Defense Industry Press of China: Beijing, China, 2019. (In Chinese) [Google Scholar]
- Yu, K. Research on Man-machine Interface Integrated Evaluation for Large-Scale Ship Wheelhouse. Ph.D. Thesis, Harbin Engineering University, Harbin, China, 2012. (In Chinese). [Google Scholar]
- Zhang, B.; Xu, S.; Sun, Y. The Application of Fuzzy Comprehensive Evaluation Method Based on AHP in Evaluation of Property Service Quality. J. Huaiyin Inst. Technol. 2021, 30, 94–100. (In Chinese) [Google Scholar]
- Wang, J.; Jin, C.; Gong, L.; Zhang, X. Risk assessment of railway tunnel collapse based on variable fuzzy set theory. J. Railw. Sci. Eng. 2021, 18, 1364–1372. (In Chinese) [Google Scholar]
- Liu, P.; Qiu, Y.; Hu, J.; Tong, J.; Zhao, J.; Li, Z. Expert Judgments for Performance Shaping Factors Multiplier Design in Human Reliability Analysis. Reliab. Eng. Syst. Saf. 2020, 194, 106343. [Google Scholar] [CrossRef]
- Wiedenbeck, S. The use of icons and labels in an end-user application program: An empirical study of learning and retention. Behav. Inf. Technol. 1999, 18, 68–82. [Google Scholar] [CrossRef]
- Kontogiannis, T.; Moustakis, V. An experimental evaluation of comprehensibility aspects of knowledge structures derived through induction technique: A case study of industrial false diagnosis. Behav. Inf. Technol. 2002, 21, 117–135. [Google Scholar] [CrossRef]
- Fischer, S.; Doherty, U. Adaptively shortened pull-down menus: Location knowledge and selection efficiency. Behav. Inf. Technol. 2008, 27, 439–444. [Google Scholar] [CrossRef]
- Wang, C. The Design and Development of Astronaut Modeling and Simulation System. Ph.D. Thesis, Tianjin Unversity, Tianjin, China, 2017. (In Chinese). [Google Scholar]
Publisher’s Note: MDPI stays neutral with regard to jurisdictional claims in published maps and institutional affiliations. |
© 2022 by the authors. Licensee MDPI, Basel, Switzerland. This article is an open access article distributed under the terms and conditions of the Creative Commons Attribution (CC BY) license (https://creativecommons.org/licenses/by/4.0/).








