Effective Quantum Field Theory Methods for Calculating Feynman Integrals
Abstract
1. Introduction
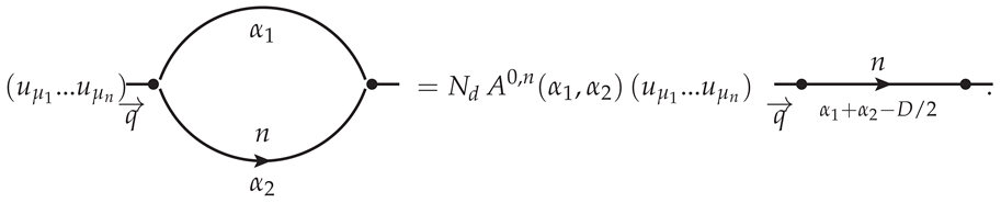
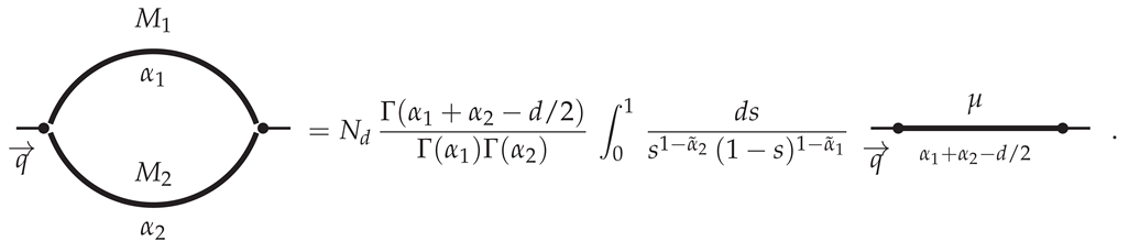
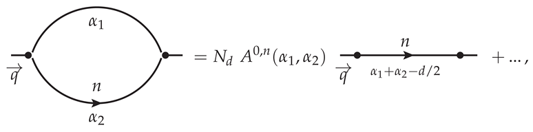
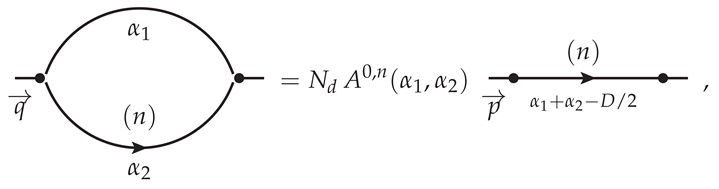
2. Basic Formulas
- (a)
- Transition to a coordinate representation;
- (b)
- Conformal inversion transformation ;
- (c)
- A special series of transformations that allows someone to make one of the vertices unique, and then apply the relation (12) to it.
3. Basic Massless Two-Loop FIs
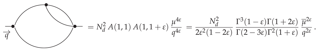
3.1. and
3.2. and
4. Examples of the Calculation of Four-Point Massless FIs
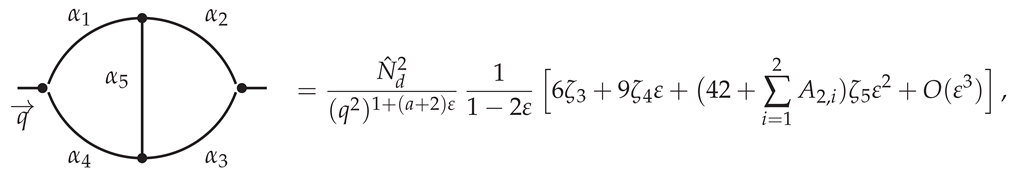
4.1. FIs and
4.2. FIs and
5. -Operation
Five Loop Corrections in the Model
6. Calculation of Massive FIs
7. Two-Loop On-Shall MI
8. Basic Massive Two-Loop FIs
8.1. Results Are in the Form of Series
8.2. Properties of Series
8.3. Additional Examples
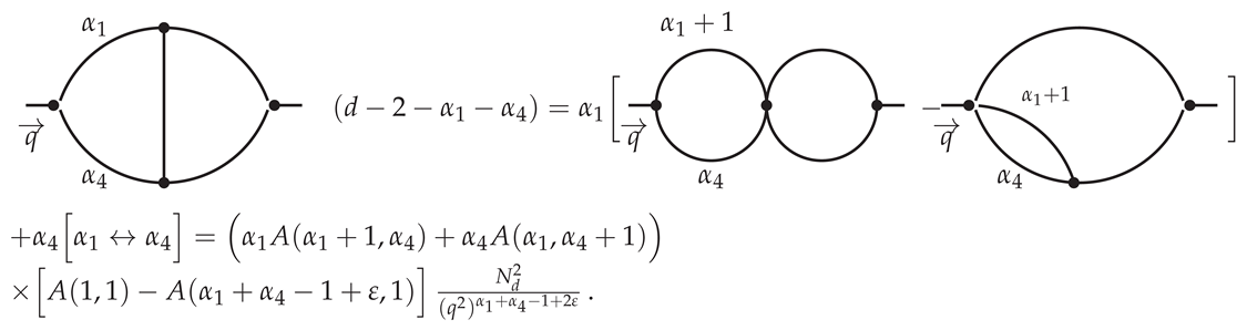
- When a two-loop two-point FI with a ‘similar topology’ (for example, and ) has already been calculated, we consider a similar set of basic terms for the corresponding two-loop three-point FIs with a higher level of complexity.
- Let the considered FI contain the singularities and/or powers of logarithms.Since the coefficients in the front; the coefficients in the leading singularity; the coefficients in the front of the largest degree of the logarithm; or the coefficients in the largest -function are very simple, they can often be predicted directly from the first few coefficients of the considered expansion. Then, we can try to use them (with a corresponding increase in the level of complexity) to predict the rest of the diagram. If we need to find -suppressed terms, we must further increase the level of transcendentality of the corresponding basic elements.
8.4. Modern Method of Massive FIs
9. Conclusions
Funding
Data Availability Statement
Acknowledgments
Conflicts of Interest
Appendix A. Analytic Continuation
Appendix B. The Method of “Projectors”
Appendix C. Useful Variables for Integrations
References
- Peterman, A. Renormalization Group and the Deep Structure of the Proton. Phys. Rep. 1979, 53, 157–248. [Google Scholar] [CrossRef]
- ’t Hooft, G.; Veltman, M.J.G. Regularization and Renormalization of Gauge Fields. Nucl. Phys. B 1972, 44, 189–213. [Google Scholar] [CrossRef]
- Bollini, C.G.; Giambiagi, J.J. Dimensional Renormalization: The Number of Dimensions as a Regularizing Parameter. Nuovo Cim. B 1972, 12, 20–26. [Google Scholar] [CrossRef]
- Cicuta, G.M.; Montaldi, E. Analytic renormalization via continuous space dimension. Lett. Nuovo Cim. 1972, 4, 329–332. [Google Scholar] [CrossRef]
- Hooft, G. Dimensional regularization and the renormalization group. Nucl. Phys. B 1973, 61, 455–468. [Google Scholar] [CrossRef]
- D’Eramo, M.; Peliti, L. Theoretical Predictions for Critical Exponents at the Lambda Point of Bose Liquids. Lett. Nuovo Cim. 1971, 2, 878–880. [Google Scholar] [CrossRef]
- Vasiliev, A.N.; Khonkonen, Y.R. 1/N Expansion: Calculation of the Exponents Eta Furthermore, Nu in the Order 1/N**2 for Arbitrary Number of Dimensions. Theor. Math. Phys. 1981, 47, 465–475. [Google Scholar] [CrossRef]
- Kazakov, D.I. The Method of Uniqueness, a New Powerful Technique for Multiloop Calculations. Phys. Lett. B 1983, 133, 406–410. [Google Scholar] [CrossRef]
- Kazakov, D.I. Calculation of Feynman Integrals by the Method of ‘uniqueness’. Theor. Math. Phys. 1984, 58, 223–230, [Teor. Mat. Fiz. 1984, 58, 343]. [Google Scholar] [CrossRef]
- Usyukina, N.I. Calculation of Many Loop Diagrams of Perturbation Theory. Theor. Math. Phys. 1983, 54, 78–81, [Teor. Mat. Fiz. 1983, 54, 124]. [Google Scholar] [CrossRef]
- Belokurov, V.V.; Usyukina, N.I.J. Calculation of Ladder Diagrams in Arbitrary Order. J. Phys. A 1983, 16, 2811. [Google Scholar] [CrossRef]
- Belokurov, V.V.; Usyukina, N.I. An Algorithm for Calculating Massless Feynman Diagrams. Theor. Math. Phys. 1989, 79, 385–391, [Teor. Mat. Fiz. 1989, 79, 63]. [Google Scholar]
- Kazakov, D.I. Multiloop Calculations: Method of Uniqueness and Functional Equations. Theor. Math. Phys. 1985, 62, 84–89, [Teor. Mat. Fiz. 1984, 62, 127]. [Google Scholar] [CrossRef]
- Kotikov, A.V. The Gegenbauer polynomial technique: The Evaluation of a class of Feynman diagrams. Phys. Lett. B 1996, 375, 240–248. [Google Scholar] [CrossRef][Green Version]
- Kotikov, A.V.; Teber, S. New Results for a Two-Loop Massless Propagator-Type Feynman Diagram. Theor. Math. Phys. 2018, 194, 284–294, [Teor. Mat. Fiz. 2018, 194, 331]. [Google Scholar] [CrossRef]
- Kotikov, A.V.; Teber, S. Multi-loop techniques for massless Feynman diagram calculations. Phys. Part. Nucl. 2019, 50, 1–41. [Google Scholar] [CrossRef]
- Kotikov, A.V. Differential Equations and Feynman Integrals. arXiv 2012, arXiv:2102.07424. [Google Scholar]
- Ryder, L.H. Quantum Field Theory; Cambridge University Press: Cambridge, UK, 1996. [Google Scholar]
- Chetyrkin, K.G.; Tkachov, F.V. Integration By Parts: The Algorithm to Calculate Beta Functions in 4 Loops. Nucl. Phys. B 1981, 192, 159–204. [Google Scholar] [CrossRef]
- Kazakov, D.I.; Kotikov, A.V. The Method of Uniqueness: Multiloop Calculations in QCD. Theor. Math. Phys. 1988, 73, 1264–1274. [Google Scholar] [CrossRef]
- Kazakov, D.I.; Kotikov, A.B. Total αs Correction to Deep Inelastic Scattering Cross-section Ratio R = σL/σT in QCD. Nucl. Phys. B 1988, 307, 721–762, Erratum in Nucl. Phys. B 1990, 345, 299. [Google Scholar] [CrossRef]
- Kotikov, A.V. The Calculation of Moments of Structure Function of Deep Inelastic Scattering in QCD. Theor. Math. Phys. 1989, 78, 134–143. [Google Scholar] [CrossRef]
- Kotikov, A.V. Differential equations method: New technique for massive Feynman diagrams calculation. Phys. Lett. B 1991, 254, 158–164. [Google Scholar] [CrossRef]
- Kotikov, A.V. Differential equations method: The Calculation of vertex type Feynman diagrams. Phys. Lett. B 1991, 259, 314–322. [Google Scholar] [CrossRef]
- Kotikov, A.V. Differential equation method: The Calculation of N point Feynman diagrams. Phys. Lett. B 1991, 267, 123–127. [Google Scholar] [CrossRef]
- Kotikov, A.V. New method of massive N point Feynman diagrams calculation. Mod. Phys. Lett. A 1991, 6, 3133–3141. [Google Scholar] [CrossRef]
- Remiddi, E. Differential equations for Feynman graph amplitudes. Nuovo Cim. A 1997, 110, 1435–1452. [Google Scholar] [CrossRef]
- Kotikov, A.V. New method of massive Feynman diagrams calculation. Mod. Phys. Lett. A 1991, 6, 677–692. [Google Scholar] [CrossRef]
- Kotikov, A.V. New method of massive Feynman diagrams calculation. Vertex type functions. Int. J. Mod. Phys. A 1992, 7, 1977–1991. [Google Scholar] [CrossRef]
- Gorishnii, S.G.; Larin, S.A.; Tkachov, F.V.; Chetyrkin, K.G. Five Loop Renormalization Group Calculations in the gϕ4 in Four-dimensions Theory. Phys. Lett. B 1983, 132, 351–354. [Google Scholar]
- Tarasov, O.V. Connection between Feynman integrals having different values of the space-time dimension. Phys. Rev. D 1996, 54, 6479. [Google Scholar] [CrossRef]
- Tarasov, O.V. Generalized recurrence relations for two loop propagator integrals with arbitrary masses. Nucl. Phys. B 1997, 502, 455–482. [Google Scholar] [CrossRef]
- Lee, R.N. Presenting LiteRed: A tool for the Loop InTEgrals REDuction. arXiv 2012, arXiv:1212.2685. [Google Scholar]
- Lee, R.N. LiteRed 1.4: A powerful tool for reduction of multiloop integrals. J. Phys. Conf. Ser. 2014, 523, 012059. [Google Scholar] [CrossRef]
- Lee, R.N.; Smirnov, A.V.; Smirnov, V.A. Analytic Results for Massless Three-Loop Form Factors. J. High Energy Phys. JHEP 2010, 2010, 020. [Google Scholar] [CrossRef]
- Kotikov, A.V.; Lipatov, L.N. NLO corrections to the BFKL equation in QCD and in supersymmetric gauge theories. Nucl. Phys. B 2000, 582, 19–43. [Google Scholar] [CrossRef]
- Lipatov, L.N. Reggeization of the Vector Meson and the Vacuum Singularity in Nonabelian Gauge Theories. Sov. J. Nucl. Phys. 1976, 23, 338–345. [Google Scholar]
- Fadin, V.S.; Kuraev, E.A.; Lipatov, L.N. On the Pomeranchuk Singularity in Asymptotically Free Theories. Phys. Lett. B 1975, 60, 50–52. [Google Scholar] [CrossRef]
- Kuraev, E.A.; Lipatov, L.N.; Fadin, V.S. Multi-Reggeon Processes in the Yang-Mills Theory. Sov. Phys. JETP 1976, 44, 443–450. [Google Scholar]
- Kuraev, E.A.; Lipatov, L.N.; Fadin, V.S. The Pomeranchuk Singularity in Nonabelian Gauge Theories. Sov. Phys. JETP 1977, 45, 199–204. [Google Scholar]
- Balitsky, I.I.; Lipatov, L.N. The Pomeranchuk Singularity in Quantum Chromodynamics. Sov. J. Nucl. Phys. 1978, 28, 822–829. [Google Scholar]
- Balitsky, I.I.; Lipatov, L.N. Calculation of meson meson interaction cross-section in quantum chromodynamics. JETP Lett. 1979, 30, 355. [Google Scholar]
- Fadin, V.S.; Lipatov, L.N. BFKL pomeron in the next-to-leading approximation. Phys. Lett. B 1998, 429, 127–134. [Google Scholar] [CrossRef]
- Camici, G.; Ciafaloni, M. Energy scale(s) and next-to-leading BFKL equation. Phys. Lett. B 1998, 430, 349–354. [Google Scholar]
- Brink, L.; Schwarz, J.H.; Scherk, J. Supersymmetric Yang-Mills Theories. Nucl. Phys. B 1977, 121, 77–92. [Google Scholar] [CrossRef]
- Gliozzi, F.; Scherk, J.; Olive, D.I. Supersymmetry, Supergravity Theories and the Dual Spinor Model. Nucl. Phys. B 1977, 122, 253–290. [Google Scholar] [CrossRef]
- Kotikov, A.V.; Lipatov, L.N. DGLAP and BFKL equations in the N = 4 supersymmetric gauge theory. Nucl. Phys. B 2003, 661, 19–61. [Google Scholar] [CrossRef]
- Kotikov, A.V.; Lipatov, L.N. DGLAP and BFKL evolution equations in the N = 4 supersymmetric gauge theory. arXiv 2001, arXiv:hep-ph/0112346. [Google Scholar]
- Kotikov, A.V.; Lipatov, L.N.; Velizhanin, V.N. Anomalous dimensions of Wilson operators in N = 4 SYM theory. Phys. Lett. B 2003, 557, 114–120. [Google Scholar] [CrossRef]
- Kotikov, A.V.; Lipatov, L.N.; Onishchenko, A.I.; Velizhanin, V.N. Three loop universal anomalous dimension of the Wilson operators in N = 4 SUSY Yang-Mills model. Phys. Lett. B 2004, 595, 521–529. [Google Scholar] [CrossRef]
- Bianchi, L.; Forini, V.; Kotikov, A.V. On DIS Wilson coefficients in N = 4 super Yang–Mills theory. Phys. Lett. B 2013, 725, 394–401. [Google Scholar] [CrossRef]
- Moch, S.; Vermaseren, J.A.M.; Vogt, A. The Three loop splitting functions in QCD: The Nonsinglet case. Nucl. Phys. B 2004, 688, 101–134. [Google Scholar] [CrossRef]
- Vogt, A.; Moch, S.; Vermaseren, J.A.M. The Three-loop splitting functions in QCD: The Singlet case. Nucl. Phys. B 2004, 691, 129–181. [Google Scholar] [CrossRef]
- Vermaseren, J.A.M.; Vogt, A.; Moch, S. The Third-order QCD corrections to deep-inelastic scattering by photon exchange. Nucl. Phys. B 2005, 724, 3–182. [Google Scholar] [CrossRef]
- Kotikov, A.V. The Property of maximal transcendentality in the N = 4 Supersymmetric Yang–Mills. In Subtleties in Quantum Field Theory; Diakonov, D., Ed.; PNPI: Gatchina, Russia, 2010; pp. 150–174. [Google Scholar]
- Kotikov, A.V. The property of maximal transcendentality: Calculation of anomalous dimensions in the = 4 SYM and master integrals. Phys. Part. Nucl. 2013, 44, 374–385. [Google Scholar] [CrossRef]
- Kotikov, A.V.; Onishchenko, A.I. DGLAP and BFKL equations in = 4 SYM: From weak to strong coupling. arXiv 2019, arXiv:1908.05113. [Google Scholar]
- Kotikov, A.V. The property of maximal transcendentality: Calculation of master integrals. Theor. Math. Phys. 2013, 176, 913–921. [Google Scholar] [CrossRef]
- Kotikov, A.V. The property of maximal transcendentality: Calculation of Feynman integrals. Theor. Math. Phys. 2017, 190, 391–401. [Google Scholar] [CrossRef]
- Kotikov, A.V. Some Examples of Calculation of Massless and Massive Feynman Integrals. Particles 2021, 4, 361–380. [Google Scholar] [CrossRef]
- Broadhurst, D.J. The Master Two Loop Diagram with Masses. Z. Phys. C 1990, 47, 115–124. [Google Scholar] [CrossRef]
- Fleischer, J.; Kotikov, A.V.; Veretin, O.L. Analytic two loop results for selfenergy type and vertex type diagrams with one nonzero mass. Nucl. Phys. B 1999, 547, 343–374. [Google Scholar] [CrossRef]
- Kotikov, A.V. About calculation of massless and massive Feynman integrals. Particles 2020, 3, 394–443. [Google Scholar] [CrossRef]
- Eden, B.; Heslop, P.; Korchemsky, G.P.; Sokatchev, E. Hidden symmetry of four-point correlation functions and amplitudes in N = 4 SYM. Nucl. Phys. B 2012, 862, 193–231. [Google Scholar] [CrossRef]
- Dixon, L.J. Scattering amplitudes: The most perfect microscopic structures in the universe. J. Phys. A 2011, 44, 454001. [Google Scholar] [CrossRef]
- Dixon, L.J.; Drummond, J.M.; Henn, J.M. Analytic result for the two-loop six-point NMHV amplitude in N = 4 super Yang–Mills theory. J. High Energy Phys. JHEP 2012, 2012, 024. [Google Scholar] [CrossRef]
- Gehrmann, T.; Henn, J.M.; Huber, T. The three-loop form factor in N = 4 super Yang–Mills. J. High Energy Phys. JHEP 2012, 2012, 101. [Google Scholar] [CrossRef]
- Brandhuber, A.; Travaglini, G.; Yang, G. Analytic two-loop form factors in N = 4 SYM. J. High Energy Phys. JHEP 2012, 2012, 082. [Google Scholar] [CrossRef]
- Henn, J.M.; Moch, S.; Naculich, S.G. Form factors and scattering amplitudes in N = 4 SYM in dimensional and massive regularizations. J. High Energy Phys. JHEP 2011, 2011, 024. [Google Scholar] [CrossRef]
- Schlotterer, O.; Stieberger, S.J. Motivic Multiple Zeta Values and Superstring Amplitudes. J. Phys. A 2013, 46, 475401. [Google Scholar] [CrossRef]
- Broedel, J.; Schlotterer, O.; Stieberger, S. Polylogarithms, Multiple Zeta Values and Superstring Amplitudes. Fortsch. Phys. 2013, 61, 812–870. [Google Scholar] [CrossRef]
- Stieberger, S.; Taylor, T.R. Maximally Helicity Violating Disk Amplitudes, Twistors and Transcendental Integrals. Phys. Lett. B 2012, 716, 236–239. [Google Scholar] [CrossRef]
- Eden, B. Three-loop universal structure constants in N = 4 susy Yang–Mills theory. arXiv 2012, arXiv:1207.3112. [Google Scholar]
- Ambrosio, R.G.; Eden, B.; Goddard, T.; Heslop, P.; Taylor, C. Local integrands for the five-point amplitude in planar N = 4 SYM up to five loops. J. High Energy Phys. JHEP 2015, 2015, 116. [Google Scholar] [CrossRef]
- Chicherin, D.; Doobary, R.; Eden, B.; Heslop, P.; Korchemsky, G.P.; Sokatchev, E. Bootstrapping correlation functions in N = 4 SYM. J. High Energy Phys. JHEP 2016, 2016, 031. [Google Scholar] [CrossRef]
- Eden, B.; Sfondrini, A. Three-point functions in = 4 SYM: The hexagon proposal at three loops. J. High Energy Phys. JHEP 2016, 2016, 165. [Google Scholar] [CrossRef]
- Chetyrkin, K.G.; Kataev, A.L.; Tkachov, F.V. New Approach to Evaluation of Multiloop Feynman Integrals: The Gegenbauer Polynomial x Space Technique. Nucl. Phys. B 1980, 174, 345–377. [Google Scholar] [CrossRef]
- Kotikov, A.V. Critical behavior of 3-D electrodynamics. JETP Lett. 1993, 58, 731, [Pisma Zh. Eksp. Teor. Fiz. 1993, 58, 785]. [Google Scholar]
- Kotikov, A.V. On the Critical Behavior of (2+1)-Dimensional QED. Phys. Atom. Nucl. 2012, 75, 890–892. [Google Scholar] [CrossRef]
- Kotikov, A.V.; Shilin, V.I.; Teber, S. Critical behavior of (2+1)-dimensional QED: 1/Nf corrections in the Landau gauge. Phys. Rev. D 2016, 94, 056009, Erratum in Phys. Rev. D 2019, 99, 119901. [Google Scholar] [CrossRef]
- Kotikov, A.V.; Teber, S. Critical behavior of (2+1)-dimensional QED: 1/Nf corrections in an arbitrary nonlocal gauge. Phys. Rev. D 2016, 94, 114011, Addendum in Phys. Rev. D 2019, 99, 059902. [Google Scholar] [CrossRef]
- Kotikov, A.V.; Teber, S. Two-loop fermion self-energy in reduced quantum electrodynamics and application to the ultrarelativistic limit of graphene. Phys. Rev. D 2014, 89, 065038. [Google Scholar] [CrossRef]
- Derkachev, S.E.; Ivanov, A.V.; Shumilov, L.A. Mellin–Barnes transformation for two-loop master-diagrams. Zap. Nauchn. Semin. 2020, 494, 144–167. [Google Scholar] [CrossRef]
- Derkachev, S.E.; Ivanov, A.V.; Shumilov, L.A. Mellin–Barnes Transformation for Two-Loop Master-Diagram. J. Math. Sci. 2022, 264, 298–312. [Google Scholar] [CrossRef]
- Derkachov, S.E.; Isaev, A.P.; Shumilov, L.A. Ladder and zig-zag Feynman diagrams, operator formalism and conformal triangles. J. High Energy Phys. JHEP 2023, 2023, 059. [Google Scholar] [CrossRef]
- Teber, S.; Kotikov, A.V. The method of uniqueness and the optical conductivity of graphene: New application of a powerful technique for multiloop calculations. Theor. Math. Phys. 2017, 190, 446–457. [Google Scholar] [CrossRef]
- Tkachov, F.V. A Theorem on Analytical Calculability of Four Loop Renormalization Group Functions. Phys. Lett. B 1981, 100, 65–68. [Google Scholar] [CrossRef]
- Broadhurst, D.J. Exploiting the 1.440 Fold Symmetry of the Master Two Loop Diagram. Z. Phys. C 1986, 32, 249–253. [Google Scholar] [CrossRef]
- Gorishnii, S.G.; Isaev, A.P. On an Approach to the Calculation of Multiloop Massless Feynman Integrals. Theor. Math. Phys. 1985, 62, 232–240, [Teor. Mat. Fiz. 1985, 62, 345]. [Google Scholar] [CrossRef]
- Kazakov, D.I. Analytical Methods for Multiloop Calculations: Two Lectures on The Method of Uniqueness. JINR-E2-84-410. 1984. Available online: https://inspirehep.net/literature/203305 (accessed on 25 May 2023).
- Broadhurst, D.J. Dimensionally continued multiloop gauge theory. arXiv 1999, arXiv:hep-th/9909185. [Google Scholar]
- Kotikov, A.V.; Teber, S. Landau-Khalatnikov-Fradkin transformation and the mystery of even ζ-values in Euclidean massless correlators. Phys. Rev. D 2019, 100, 105017. [Google Scholar] [CrossRef]
- Kazakov, D.I.; Kotikov, A.V. On the value of the alpha-s correction to the Callan-Gross relation. Phys. Lett. B 1992, 291, 171–176. [Google Scholar] [CrossRef]
- Gorishnii, S.G.; Larin, S.A.; Tkachov, F.V. The Algorithm for Ope Coefficient Functions in the Ms Scheme. Phys. Lett. B 1983, 124, 217–220. [Google Scholar] [CrossRef]
- Gorishnii, S.G.; Larin, S.A. Coefficient Functions of Asymptotic Operator Expansions in Minimal Subtraction Scheme. Nucl. Phys. B 1987, 283, 452–476. [Google Scholar] [CrossRef]
- Tkachov, F.V. On The Operator Product Expansion in the Ms Scheme. Phys. Lett. B 1983, 124, 212–216. [Google Scholar] [CrossRef]
- Chetyrkin, K.G. Infrared R*—operation and operator product expansion in the minimal subtraction scheme. Phys. Lett. B 1983, 126, 371–375. [Google Scholar] [CrossRef]
- Bogoliubov, N.N.; Parasiuk, O.S. On the Multiplication of the causal function in thequantum theory of fields. Acta Math. 1957, 97, 227–266. [Google Scholar]
- Hepp, K. Proof of the Bogolyubov-Parasiuk theorem on renormalization. Commun. Math. Phys. 1966, 2, 301–326. [Google Scholar] [CrossRef]
- Zimmermann, W. Convergence of Bogoliubov’s method of renormalization in momentumspace. Commun. Math. Phys. 1969, 15, 208–234. [Google Scholar] [CrossRef]
- Vladimirov, A.A. Method for Computing Renormalization Group Functions in Dimen-sional Renormalization Scheme. Theor. Math. Phys. 1980, 43, 417–422. [Google Scholar] [CrossRef]
- Chetyrkin, K.G.; Tkachov, F.V. Infrared R Operation Furthermore, Ultraviolet CountertermsIn The Ms Scheme. Phys. Lett. B 1982, 114, 340–344. [Google Scholar] [CrossRef]
- Chetyrkin, K.G.; Smirnov, V.A. R* Operation Corrected. Phys. Lett. B 1984, 144, 419–424. [Google Scholar] [CrossRef]
- Smirnov, V.A.; Chetyrkin, K.G. R* Operation in the Minimal Subtraction Scheme. Theor. Math. Phys. 1985, 63, 462–469. [Google Scholar] [CrossRef]
- Chetyrkin, K.G. Combinatorics of R-, R−1-, and R*-operations and asymptotic expan-sions of feynman integrals in the limit of large momenta and masses. arXiv 2017, arXiv:1701.08627. [Google Scholar]
- Henn, J.M.; Plefka, J.C. Scattering Amplitudes in Gauge Theories; Lecture Notes in Physics; Springer: Berlin, Germany, 2014; Volume 883. [Google Scholar]
- Kniehl, B.A.; Kotikov, A.V.; Onishchenko, A.; Veretin, O. Two-loop sunset diagrams with three massive lines. Nucl. Phys. B 2006, 738, 306–316. [Google Scholar] [CrossRef]
- Kniehl, B.A.; Kotikov, A.V.; Onishchenko, A.I.; Veretin, O.L. Two-loop diagrams in non-relativistic QCD with elliptics. Nucl. Phys. B 2019, 948, 114780. [Google Scholar] [CrossRef]
- Kniehl, B.A.; Kotikov, A.V. Calculating four-loop tadpoles with one non-zero mass. Phys. Lett. B 2006, 638, 531–537. [Google Scholar] [CrossRef]
- Kniehl, B.A.; Kotikov, A.V. Counting master integrals: Integration-by-parts procedure with effective mass. Phys. Lett. B 2012, 712, 233–234. [Google Scholar] [CrossRef]
- Lewin, L. Polylogarithms and Associated Functions; North Holland: Amsterdam, The Netherlands, 1981. [Google Scholar]
- Devoto, A.; Duke, D.W. Table of Integrals and Formulae for Feynman Diagram Calculations. Riv. Nuovo Cim. 1984, 7, 1–39. [Google Scholar] [CrossRef]
- Campert, L.G.J.; Moriello, F.; Kotikov, A. Sunrise integrals with two internal masses and pseudo-threshold kinematics in terms of elliptic polylogarithms. J. High Energy Phys. JHEP 2021, 2021, 072. [Google Scholar] [CrossRef]
- Kotikov, A.; Kuhn, J.H.; Veretin, O. Two-Loop Formfactors in Theories with Mass Gap and Z-Boson Production. Nucl. Phys. B 2008, 788, 47–62. [Google Scholar] [CrossRef][Green Version]
- Aglietti, U.; Bonciani, R. Master integrals with one massive propagator for the two loop electroweak form-factor. Nucl. Phys. B 2003, 668, 3–76. [Google Scholar] [CrossRef]
- Aglietti, U.; Bonciani, R.; Degrassi, G.; Vicini, A. Two loop light fermion contribution to Higgs production and decays. Phys. Lett. B 2004, 595, 432–441. [Google Scholar] [CrossRef]
- Aglietti, U.; Bonciani, R.; Degrassi, G.; Vicini, A. Master integrals for the two-loop light fermion contributions to gg —> H and H —> gamma gamma. Phys. Lett. B 2004, 600, 57–64. [Google Scholar] [CrossRef]
- Aglietti, U.; Bonciani, R.; Degrassi, G.; Vicini, A. Analytic Results for Virtual QCD Corrections to Higgs Production and Decay. J. High Energy Phys. JHEP 2007, 2007, 021. [Google Scholar] [CrossRef]
- Lee, R.N.; Schwartz, M.D.; Zhang, X. Compton Scattering Total Cross Section at Next-to-Leading Order. Phys. Rev. Lett. 2021, 126, 211801. [Google Scholar] [CrossRef]
- Blumlein, J.; Schneider, C. Analytic Computing Methods for Precision Calculations in Quantum Field Theory. Int. J. Mod. Phys. 2018, A33, 1830015. [Google Scholar] [CrossRef]
- Ablinger, J.; Blümlein, J.; Schneider, C. Iterated integrals over letters induced by quadratic forms. Phys. Rev. D 2021, 103, 096025. [Google Scholar] [CrossRef]
- Ablinger, J.; Blumlein, J.; Schneider, C.J. Harmonic Sums and Polylogarithms Generated by Cyclotomic Polynomials. Math. Phys. 2011, 52, 102301. [Google Scholar] [CrossRef]
- Fleischer, J.; Kalmykov, M.Y.; Kotikov, A.V. Two-loop self-energy master integrals on shell. Phys. Lett. B 1999, 462, 169–177. [Google Scholar] [CrossRef][Green Version]
- Fleischer, J.; Kotikov, A.V.; Veretin, O.L. The differential equation method: Calculation of vertex-type diagrams with one non-zero mass. Phys. Lett. B 1998, 417, 163–172. [Google Scholar] [CrossRef]
- Kniehl, B.A.; Kotikov, A.V.; Onishchenko, A.I.; Veretin, O.L. Strong-coupling constant with flavor thresholds at five loops in the MS-bar scheme. Phys. Rev. Lett. 2006, 97, 042001. [Google Scholar] [CrossRef]
- Kniehl, B.A.; Kotikov, A.V.; Merebashvili, Z.V.; Veretin, O.L. Heavy-quark pair production in polarized photon-photon collisions at next-to-leading order: Fully integrated total cross sections. Phys. Rev. D 2009, 79, 114032. [Google Scholar] [CrossRef]
- Kniehl, B.A.; Kotikov, A.V.; Veretin, O.L. Orthopositronium lifetime: Analytic results in O(α) and O(α3ln(α)). Phys. Rev. Lett. 2008, 101, 193401. [Google Scholar] [CrossRef]
- Kniehl, B.A.; Kotikov, A.V.; Veretin, O.L. Orthopositronium lifetime at O(alpha) and O(alpha3 ln(alpha)) in closed form. Phys. Rev. A 2009, 80, 052501. [Google Scholar] [CrossRef]
- Kotikov, A.V.; Rej, A.; Zieme, S. Analytic three-loop Solutions for N = 4 SYM Twist Operators. Nucl. Phys. B 2009, 813, 460–483. [Google Scholar] [CrossRef]
- Beccaria, M.; Belitsky, A.V.; Kotikov, A.V.; Zieme, S. Analytic solution of the multiloop Baxter equation. Nucl. Phys. B 2010, 827, 565–606. [Google Scholar] [CrossRef][Green Version]
- Staudacher, M. The Factorized S-matrix of CFT/AdS. J. High Energy Phys. JHEP 2005, 2005, 054. [Google Scholar] [CrossRef]
- Beisert, N.; Staudacher, M. Long-range psu(2,2|4) Bethe Ansatze for gauge theory and strings. Nucl. Phys. B 2005, 727, 1–62. [Google Scholar] [CrossRef]
- Kotikov, A.V.; Lipatov, L.N.; Rej, A.; Staudacher, M.; Velizhanin, V.N. Dressing and wrapping. J. Stat. Mech. 2007, 0710, P10003. [Google Scholar] [CrossRef]
- Bajnok, Z.; Janik, R.A.; Lukowski, T. our-loop perturbative Konishi from strings and finite size effects for multiparticle states. Nucl. Phys. B 2009, 816, 376–398. [Google Scholar] [CrossRef][Green Version]
- Lukowski, T.; Rej, A.; Velizhanin, V.N. Five-Loop Anomalous Dimension of Twist-Two Operators. Nucl. Phys. B 2010, 831, 105–132. [Google Scholar] [CrossRef][Green Version]
- Marboe, C.; Velizhanin, V.; Volin, D. Six-loop anomalous dimension of twist-two operators in planar = 4 SYM theory. J. High Energy Phys. JHEP 2015, 2015, 084. [Google Scholar] [CrossRef]
- Marboe, C.; Velizhanin, V. Twist-2 at seven loops in planar = 4 SYM theory: Full result and analytic properties. J. High Energy Phys. JHEP 2016, 2016, 013. [Google Scholar] [CrossRef]
- Kotikov, A.V.; Lipatov, L.N. On the highest transcendentality in N = 4 SUSY. Nucl. Phys. B 2007, 769, 217–255. [Google Scholar] [CrossRef]
- Benna, M.K.; Benvenuti, S.; Klebanov, I.R.; Scardicchio, A. A Test of the AdS/CFT correspondence using high-spin operators. Phys. Rev. Lett. 2007, 98, 131603. [Google Scholar] [CrossRef]
- Basso, B.; Korchemsky, G.P.; Kotanski, J. Cusp anomalous dimension in maximally supersymmetric Yang–Mills theory at strong coupling. Phys. Rev. Lett. 2008, 100, 091601. [Google Scholar] [CrossRef]
- Basso, B.; Korchemsky, G.P. Embedding nonlinear O(6) sigma model into N = 4 super-Yang–Mills theory. Nucl. Phys. B 2009, 807, 397–423. [Google Scholar] [CrossRef]
- Costa, M.S.; Goncalves, V.; Penedones, J. Conformal Regge theory. J. High Energy Phys. JHEP 2012, 2012, 091. [Google Scholar] [CrossRef]
- Kotikov, A.V.; Lipatov, L.N. Pomeron in the N = 4 supersymmetric gauge model at strong couplings. Nucl. Phys. B 2013, 874, 889–904. [Google Scholar] [CrossRef]
- Gromov, N.; Levkovich-Maslyuk, F.; Sizov, G.; Valatka, S. Quantum spectral curve at work: From small spin to strong coupling in = 4 SYM. J. High Energy Phys. JHEP 2014, 2014, 156. [Google Scholar] [CrossRef]
- Alday, L.F.; Hansen, T. The AdS Virasoro-Shapiro Amplitude. arXiv 2023, arXiv:2306.12786. [Google Scholar] [CrossRef]
- Henn, J.M. Multiloop integrals in dimensional regularization made simple. Phys. Rev. Lett. 2013, 110, 251601. [Google Scholar] [CrossRef]
- Henn, J.M. Lectures on differential equations for Feynman integrals. J. Phys. A 2015, 48, 153001. [Google Scholar] [CrossRef]
- Adams, L.; Weinzierl, S. The ε-form of the differential equations for Feynman integrals in the elliptic case. Phys. Lett. B 2018, 781, 270–278. [Google Scholar] [CrossRef]
- Lee, R.N. Reducing differential equations for multiloop master integrals. J. High Energy Phys. JHEP 2015, 2015, 108. [Google Scholar] [CrossRef]
- Lee, R.N. Symmetric ϵ- and (ϵ+1/2)-forms and quadratic constraints in “elliptic” sectors. J. High Energy Phys. JHEP 2018, 2018, 176. [Google Scholar] [CrossRef]
- Lee, R.N.; Onishchenko, A.I. ϵ-regular basis for non-polylogarithmic multiloop integrals and total cross section of the process e+e−→2(QQ). J. High Energy Phys. JHEP 2019, 2019, 084. [Google Scholar] [CrossRef]
- Badger, S.; Henn, J.; Plefka, J.; Zoia, S. Scattering Amplitudes in Quantum Field Theory. arXiv 2023, arXiv:2306.05976. [Google Scholar]
- Duhr, C. Mathematical aspects of scattering amplitudes. arXiv 2014, arXiv:1411.7538. [Google Scholar]
- Goncharov, A.B. Multiple polylogarithms and mixed Tate motives. arXiv 2001, arXiv:math/0103059. [Google Scholar]
- Goncharov, A.B. Multiple polylogarithms, cyclotomy and modular complexes. Math. Res. Lett. 1998, 5, 497–516. [Google Scholar] [CrossRef]
- Remiddi, E.; Vermaseren, J.A.M. Harmonic polylogarithms. Int. J. Mod. Phys. A 2000, 15, 725–754. [Google Scholar] [CrossRef]
- Davydychev, A.I.; Kalmykov, M.Y. Massive Feynman diagrams and inverse binomial sums. Nucl. Phys. B 2004, 699, 3–64. [Google Scholar] [CrossRef]
- Kotikov, A.V. Gluon distribution for small x. Phys. At. Nucl. 1994, 57, 133. [Google Scholar]
- Kotikov, A.V.; Velizhanin, V.N. Analytic continuation of the Mellin moments of deep inelastic structure functions. arXiv 2005, arXiv:hep-ph/0501274. [Google Scholar]
- Parisi, G.; Sourlas, N. A Simple Parametrization of the Q2 Dependence of the Quark Distributions in QCD. Nucl. Phys. B 1979, 151, 421–428. [Google Scholar] [CrossRef]
- Gribov, V.N.; Lipatov, L.N. Deep inelastic e p scattering in perturbation theory. Sov. J. Nucl. Phys. 1972, 15, 438–450. [Google Scholar]
- Gribov, V.N.; Lipatov, L.N. e+e-pair annihilation and deep inelastic e p scattering in perturbation theory. Sov. J. Nucl. Phys. 1972, 15, 675–684. [Google Scholar]
- Lipatov, L.N. The parton model and perturbation theory. Sov. J. Nucl. Phys. 1975, 20, 94–102. [Google Scholar]
- Altarelli, G.; Parisi, G. Asymptotic Freedom in Parton Language. Nucl. Phys. B 1977, 126, 298–318. [Google Scholar] [CrossRef]
- Dokshitzer, Y.L. Calculation of the Structure Functions for Deep Inelastic Scattering and e+ e- Annihilation by Perturbation Theory in Quantum Chromodynamics. Sov. Phys. JETP 1977, 46, 641–653. [Google Scholar]
- Krivokhizhin, V.G.; Kotikov, A.V. Functions of the nucleon structure and determination of the strong coupling constant. Phys. Part. Nucl. 2009, 40, 1059–1099. [Google Scholar] [CrossRef]
- Illarionov, A.Y.; Kotikov, A.V.; Bermudez, G.P. Small x behavior of parton distributions. A Study of higher twist effects. Phys. Part. Nucl. 2008, 39, 307–347. [Google Scholar] [CrossRef]
- Kotikov, A.V. Deep inelastic scattering: Q**2 dependence of structure functions. Phys. Part. Nucl. 2007, 38, 1–40, Erratum in Phys. Part. Nucl. 2007, 38, 828. [Google Scholar] [CrossRef]
- Chetyrkin, K.G.; Tkachov, F.V.; Gorishnii, S.G. Operator Product Expansion In The Minimal Subtraction Scheme. Phys. Lett. B 1982, 119, 407–411. [Google Scholar] [CrossRef]




Disclaimer/Publisher’s Note: The statements, opinions and data contained in all publications are solely those of the individual author(s) and contributor(s) and not of MDPI and/or the editor(s). MDPI and/or the editor(s) disclaim responsibility for any injury to people or property resulting from any ideas, methods, instructions or products referred to in the content. |
© 2023 by the author. Licensee MDPI, Basel, Switzerland. This article is an open access article distributed under the terms and conditions of the Creative Commons Attribution (CC BY) license (https://creativecommons.org/licenses/by/4.0/).
Share and Cite
Kotikov, A.V. Effective Quantum Field Theory Methods for Calculating Feynman Integrals. Symmetry 2024, 16, 52. https://doi.org/10.3390/sym16010052
Kotikov AV. Effective Quantum Field Theory Methods for Calculating Feynman Integrals. Symmetry. 2024; 16(1):52. https://doi.org/10.3390/sym16010052
Chicago/Turabian StyleKotikov, Anatoly V. 2024. "Effective Quantum Field Theory Methods for Calculating Feynman Integrals" Symmetry 16, no. 1: 52. https://doi.org/10.3390/sym16010052
APA StyleKotikov, A. V. (2024). Effective Quantum Field Theory Methods for Calculating Feynman Integrals. Symmetry, 16(1), 52. https://doi.org/10.3390/sym16010052


