Navicular Drop Height Asymmetry as an Intrinsic Risk Factor for Lower Limb Injury in Male Recreational Athletes
Abstract
1. Introduction
2. Materials and Methods
2.1. Ethics
2.2. Sample Size
2.3. Study Design
2.4. Participants
2.5. Procedure
2.5.1. Anthropometric Measurements
2.5.2. Recording Injuries—Injury History Questionnaire (IHQ)
2.5.3. Sit-to-Stand Navicular Drop Test (SSNDT)
2.6. Asymmetry Calculations
2.7. Statistics
3. Results
4. Discussion
5. Conclusions
Funding
Institutional Review Board Statement
Informed Consent Statement
Data Availability Statement
Acknowledgments
Conflicts of Interest
References
- Nielsen, R.G.; Rathleff, M.S.; Simonsen, O.H.; Langberg, H. Determination of normal values for navicular drop during walking: A new model correcting for foot length and gender. J. Foot Ankle Res. 2009, 2, 12. [Google Scholar] [CrossRef] [PubMed]
- Richie, D.H. Biomechanics and clinical analysis of the adult acquired flatfoot. Clin. Podiatr. Med. Surg. 2007, 24, 617–644. [Google Scholar] [CrossRef] [PubMed]
- Headlee, D.L.; Leonard, J.L.; Hart, J.M.; Ingersoll, C.D.; Hertel, J. Fatigue of the plantar intrinsic foot muscles increases navicular drop. J. Electromyogr. Kinesiol. 2008, 18, 420–425. [Google Scholar] [CrossRef] [PubMed]
- Wen, D.Y. Risk factors for overuse injuries in runners. Curr. Sports Med. Rep. 2007, 6, 307–313. [Google Scholar] [PubMed]
- Verhangen, E.; Van der Beek, A.; Bouter, L.; Bahr, R.; Machelen, W. A one season prospective cohort study on volleyball injuries. Br. J. Sports Med. 2014, 38, 477–481. [Google Scholar] [CrossRef]
- Carroll, L.A.; Paulseth, S.; Martin, R.L. Forefoot injuries in athletes: Integration of the movement system. Int. J. Sports Phys. Ther. 2022, 17, 81–89. [Google Scholar] [CrossRef]
- Perez-Morcillo, A.; Gomez-Bernal, A.; Gil-Guillen, V.F.; Alfaro-Santafé, J.; Alfaro-Santafé, J.V.; Quesada, J.A.; Lopez-Pineda, A.; Orozco-Beltran, D.; Carratalá-Munuera, C. Association between the Foot Posture Index and running-related injuries: A case-control study. Clin. Biomech. 2019, 61, 217–221. [Google Scholar] [CrossRef]
- Tong, J.W.; Kong, P.W. Association between foot type and lower extremity injuries: Systematic literature review with meta-analysis. J. Orthop. Sports Phys. Ther. 2013, 43, 700–714. [Google Scholar] [CrossRef]
- Neal, B.S.; Griffiths, I.B.; Dowling, G.J.; Murley, G.S.; Munteanu, S.E.; Smith, M.M.F.; Collins, N.J.; Barton, C.J. Foot posture as a risk factor for lower limb overuse injury: A systematic review and meta-analysis. J. Foot Ankle Res. 2014, 7, 55. [Google Scholar] [CrossRef]
- Widuchowski, J.; Widuchowski, W. Injuries and traumas of the locomotor system in sport. Med. Sport. 2005, 9, 281–292. [Google Scholar]
- Williams, D.S.; McClay, I.S.; Hamill, J. Arch structure and injury patterns in runners. Clin. Biomech. 2001, 16, 341–347. [Google Scholar] [CrossRef]
- Moul, J.L. Differences in selected predictors of anterior cruciate ligament tears between male and female NCAA Division I collegiate basketball players. J. Athl. Train. 1998, 33, 118–121. [Google Scholar] [PubMed]
- Fukano, M.; Nakagawa, K.; Inami, T.; Higashihara, A.; Iizuka, S.; Narita, T.; Maemichi, T.; Yoshimura, A.; Yamaguchi, S.; Iso, S. Increase in foot arch asymmetry after full marathon completion. J. Sports Sci. 2021, 39, 2468–2474. [Google Scholar] [CrossRef] [PubMed]
- Sadeghi, H.; Allard, P.; Prince, F.; Labelle, H. Symmetry and limb dominance in able-bodied gait: A review. Gait Posture 2000, 12, 34–45. [Google Scholar] [CrossRef] [PubMed]
- Virgile, A.; Bishop, C. A narrative review of limb dominance: Task specificity and the importance of fitness testing. J. Strength Cond. Res. 2021, 35, 846–858. [Google Scholar] [CrossRef] [PubMed]
- Chalmers, S.; Debenedictis, T.A.; Zacharia, A.; Townsley, S.; Gleeson, C.; Lynagh, M.; Townsley, A.; Fuller, J.T. Asymmetry during Functional Movement Screening and injury risk in junior football players: A replication study. Scand. J. Med. Sci. Sports 2018, 28, 1281–1287. [Google Scholar] [CrossRef] [PubMed]
- Duke, S.R.; Martin, S.E.; Gaul, C.A. Preseason Functional Movement Screen Predicts Risk of Time-Loss Injury in Experienced Male Rugby Union Athletes. J. Strength Cond. Res. 2017, 31, 2740–2747. [Google Scholar] [CrossRef] [PubMed]
- Helme, M.; Tee, J.; Emmonds, S.; Low, C. Does lower-limb asymmetry increase injury risk in sport? A systematic review. Phys. Ther. Sport 2021, 49, 204–213. [Google Scholar] [CrossRef] [PubMed]
- Fox, K.T.; Pearson, L.T.; Hicks, K.M. The effect of lower inter-limb asymmetries on athletic performance: A systematic review and meta-analysis. PLoS ONE 2023, 18, e0286942. [Google Scholar] [CrossRef] [PubMed] [PubMed Central]
- Philipp, N.M.; Garver, M.J.; Crawford, D.A.; Davis, D.W.; Hair, J.N. Interlimb asymmetry in collegiate American football players: Effects on combine-related performance. J. Hum. Sport Exerc. 2022, 17, 708–718. [Google Scholar] [CrossRef]
- Woźniacka, R.; Oleksy, Ł.; Jankowicz-Szymańska, A.; Mika, A.; Kielnar, R.; Stolarczyk, A. The association between symmetrical or asymmetrical high-arched feet and muscle fatigue in young women. Symmetry 2022, 14, 52. [Google Scholar] [CrossRef]
- Promsri, A.; Longo, A.; Haid, T.; Doix, A.M.; Federolf, P. Leg dominance as a risk factor for lower-limb injuries in downhill skiers: A pilot study into possible mechanisms. Int. J. Environ. Res. Public Health 2019, 16, 3399. [Google Scholar] [CrossRef] [PubMed]
- Guan, Y.; Bredin, S.; Taunton, J.; Jiang, Q.; Wu, N.; Li, Y.; Warburton, D. Risk factors for non-contact lower-limb injury: A retrospective survey in pediatric athletes. J. Clin. Med. 2021, 10, 3171. [Google Scholar] [CrossRef]
- Gómez-Cabello, A.; Ara, I.; González-Agüero, A.; Casajús, J.A.; Vicente-Rodríguez, G. Effects of training on bone mass in older adults: A systematic review. Sports Med. 2012, 42, 301–325. [Google Scholar] [CrossRef]
- Puthucheary, Z.; Kordi, M.; Rawal, J.; Eleftheriou, K.I.; Payne, J.; Montgomery, H.E. The relationship between lower limb bone and muscle in military recruits, response to physical training, and influence of smoking status. Sci. Rep. 2015, 5, 9323. [Google Scholar] [CrossRef]
- Robin, X.; Turck, N.; Hainard, A.; Tiberti, N.; Lisacek, F.; Sanchez, J.; Müller, M. pROC: An open-source package for R and S+ to analyze and compare ROC curves. BMC Bioinform. 2011, 12, 77. [Google Scholar] [CrossRef]
- Koźlenia, D.; Domaradzki, J. Prediction and injury risk based on movement patterns and flexibility in a 6-month prospective study among physically active adults. PeerJ 2021, 9, e11399. [Google Scholar] [CrossRef]
- Brody, T.M. Techniques in the evaluation and treatment of the injured runner. Orthop. Clin. N. Am. 1982, 13, 541–558. [Google Scholar] [CrossRef]
- Deng, J.; Joseph, R.; Wong, C.K. Reliability and validity of the sit-to-stand navicular drop test: Do static measures of navicular height relate to the dynamic navicular motion during gait? J. Stud. Phys. Ther. Res. 2010, 2, 21–28. [Google Scholar]
- Domaradzki, J.; Koźlenia, D.; Popowczak, M.; Šimonek, J.; Paška, Ľ.; Horička, P. Prognostic power of foot mobility in identifying the risk of musculoskeletal injuries: A cross-sectional study of male volleyball players at different competitive levels. J. Clin. Med. 2024, 13, 1189. [Google Scholar] [CrossRef]
- Auerbach, B.M.; Ruff, C.B. Limb bone bilateral asymmetry: Variability and commonality among modern humans. J. Hum. Evol. 2006, 50, 203–218. [Google Scholar] [CrossRef] [PubMed]
- Algaba-Del-Castillo, J.; Castro-Méndez, A.; Pérez-Belloso, A.J.; Garrido-Barragán, J.G.; Aguilar Sánchez, A.; Coheña-Jiménez, M. Pilot study: The relationship between foot posture and movement quality in non-professional male football players. Life 2023, 13, 1574. [Google Scholar] [CrossRef] [PubMed]
- Ghani, N.S.; Razak, N.A.; Usman, J.; Gholizadeh, H. Foot over pronation problem among undergraduate students: A preliminary study. Sains Malays. 2020, 49, 1651–1662. [Google Scholar] [CrossRef]
- Lopezosa-Reca, E.; Gijon-Nogueron, G.; Morales-Asencio, J.M.; Cervera-Marin, J.A.; Luque-Suarez, A. Is there any association between foot posture and lower limb–related injuries in professional male basketball players? A cross-sectional study. Clin. J. Sport Med. 2020, 30, 46–51. [Google Scholar] [CrossRef] [PubMed]
- Kobayashi, T.; Koshino, Y.; Miki, T. Abnormalities of foot and ankle alignment in individuals with chronic ankle instability: A systematic review. BMC Musculoskelet. Disord. 2021, 22, 683. [Google Scholar] [CrossRef] [PubMed] [PubMed Central]
- Burns, J.; Keenan, A.M.; Redmond, A. Foot type and overuse injury in triathletes. J. Am. Podiatr. Med. Assoc. 2005, 95, 235–241. [Google Scholar] [CrossRef]
- Kim, J.; Lee, S.C.; Chun, Y.; Jun, H.P.; Seegmiller, J.G.; Kim, K.M.; Lee, S.Y. Effects of a 4-week short-foot exercise program on gait characteristics in patients with stage II posterior tibial tendon dysfunction. J. Sport Rehabil. 2020, 30, 120–128. [Google Scholar] [CrossRef]
- Sulowska-Daszyk, I.; Mika, A.; Oleksy, Ł. Impact of short foot muscle exercises on quality of movement and flexibility in amateur runners. Int. J. Environ. Res. Public Health 2020, 17, 6534. [Google Scholar] [CrossRef]
- Franettovich, M.M.; McPoil, T.G.; Russell, T.; Skardoon, G.; Vicenzino, B. The ability to predict dynamic foot posture from static measurements. J. Am. Podiatr. Med. Assoc. 2007, 97, 115–120. [Google Scholar] [CrossRef]
- Zhang, C.; Chen, N.; Wang, J.; Zhang, Z.; Jiang, C.; Chen, Z.; Fang, J.; Peng, J.; Li, W.; Song, B. The prevalence and characteristics of chronic ankle instability in elite athletes of different sports: A cross-sectional study. J. Clin. Med. 2022, 11, 7478. [Google Scholar] [CrossRef]
- Bere, T.; Kruczynski, J.; Veintimilla, N.; Hamu, Y.; Bahr, R. Injury risk is low among world-class volleyball players: 4-year data from the FIVB Injury Surveillance System. Br. J. Sports Med. 2015, 49, 1132–1137. [Google Scholar] [CrossRef]
- Machado, F.A.; Csuka, R.D.S.; da Rosa, S.E.; Marson, R.A.; Martinez, E.C.; Reis, V.M.; MD, R. Functional impairment of knee muscles after walking with backpack load: A systematic review. Hum. Mov. 2024, 25, 36–52. [Google Scholar] [CrossRef]
- Koźlenia, D.; Domaradzki, J.; Trojanowska, I.; Czermak, P. Association between speed and agility abilities with movement patterns quality in team sports players. Med. dello Sport 2020, 73, 176–186. [Google Scholar] [CrossRef]
- Tenriwulan, A.F.; Sinsurin, K.; Areerak, K.; Nanta, P.; Kong-oun, S.; Sakunkaruna, Y.; Wattananon, P.; Richards, J. Comparisons of gait variability and symmetry in healthy runners, runners with a history of lower limb injuries, and runners with a current lower limb injury. Asian J. Sports Med. 2022, 13, e114922. [Google Scholar] [CrossRef]
- Girard, O.; Brocherie, F.; Morin, J.B.; Millet, G.P. Lower limb mechanical asymmetry during repeated treadmill sprints. Hum. Mov. Sci. 2017, 52, 203–214. [Google Scholar] [CrossRef]
- Zifchock, R.A.; Davis, I.; Hamill, J. Kinetic asymmetry in female runners with and without retrospective tibial stress fractures. J. Biomech. 2006, 39, 2792–2797. [Google Scholar] [CrossRef]
- Zifchock, R.A.; Davis, I.; Higginson, J.; McCaw, S.; Royer, T. Side-to-side differences in overuse running injury susceptibility: A retrospective study. Hum. Mov. Sci. 2008, 27, 888–902. [Google Scholar] [CrossRef]
- Nimphius, S.; Callaghan, S.J.; Spiteri, T.; Lockie, R.G. Change of Direction Deficit: A More Isolated Measure of Change of Direction Performance Than Total 505 Time. J. Strength Cond. Res. 2016, 30, 3024–3032. [Google Scholar] [CrossRef] [PubMed]
- Thomas, T.D.C.; Comfort, P.; Jones, P.A. Comparison of change of direction speed performance and asymmetries between team-sport athletes: Application of change of direction deficit. Sports 2018, 6, 174. [Google Scholar] [CrossRef]
- Popowczak, M.; Cichy, I.; Rokita, A.; Domaradzki, J. The relationship between reactive agility and change of direction speed in professional female basketball and handball players. Front. Psychol. 2021, 12, 708771. [Google Scholar] [CrossRef]
- Brown, S.R.; Brughelli, M.; Hume, P.A. Knee mechanics during planned and unplanned sidestepping: A systematic review and meta-analysis. Sports Med. 2014, 44, 1573–1588. [Google Scholar] [CrossRef] [PubMed]
- Dos’Santos, T.; Thomas, C.; Comfort, P.; Jones, P.A. The effect of angle and velocity on change of direction biomechanics: An angle-velocity trade-off. Sports Med. 2018, 48, 2235–2253. [Google Scholar] [CrossRef] [PubMed]
- Domaradzki, J.; Popowczak, M.; Zwierko, T. The mediating effect of change of direction speed in the relationship between the type of sport and reactive agility in elite female team-sport athletes. J. Sports Sci. Med. 2021, 20, 699–705. [Google Scholar] [CrossRef] [PubMed] [PubMed Central]



| Measurement | Overall | Not Injured | Injured | ||||||||||
|---|---|---|---|---|---|---|---|---|---|---|---|---|---|
| Mean | 95%CI | SD | Mean | 95%CI | SD | Mean | 95%CI | SD | p | ||||
| Age [y] | 20.50 | 20.19 | 20.80 | 1.01 | 20.36 | 19.95 | 20.76 | 1.09 | 20.78 | 20.33 | 21.22 | 0.80 | 0.193 |
| Body height [cm] | 185.02 | 182.96 | 187.08 | 6.85 | 184.60 | 182.15 | 187.05 | 6.57 | 185.86 | 181.68 | 190.04 | 7.55 | 0.567 |
| Body weight [kg] | 77.99 | 75.53 | 80.45 | 8.18 | 78.16 | 75.30 | 81.02 | 7.65 | 77.66 | 72.43 | 82.88 | 9.43 | 0.849 |
| BMI [kg/m2] | 22.74 | 22.30 | 23.18 | 1.47 | 22.89 | 22.43 | 23.36 | 1.24 | 22.43 | 21.41 | 23.45 | 1.84 | 0.322 |
| Foot length—right [cm] | 26.82 | 26.32 | 27.31 | 1.66 | 26.72 | 26.07 | 27.37 | 1.74 | 27.00 | 26.15 | 27.85 | 1.54 | 0.604 |
| Foot length—left [cm] | 26.94 | 26.44 | 27.45 | 1.67 | 26.85 | 26.20 | 27.50 | 1.74 | 27.13 | 26.27 | 28.00 | 1.57 | 0.598 |
| SSNDT—right [mm] | 8.12 | 7.21 | 9.02 | 3.02 | 7.57 | 6.72 | 8.42 | 2.28 | 9.21 | 7.00 | 11.42 | 3.99 | 0.084 |
| SSNDT—left [mm] | 7.69 | 6.92 | 8.47 | 2.58 | 7.48 | 6.71 | 8.25 | 2.06 | 8.11 | 6.20 | 10.01 | 3.44 | 0.451 |
| AA-SSNDT [%] | 24.83 | 18.55 | 31.11 | 20.92 | 15.75 | 11.82 | 19.69 | 10.53 | 42.98 | 29.24 | 56.72 | 24.82 | <0.001 |
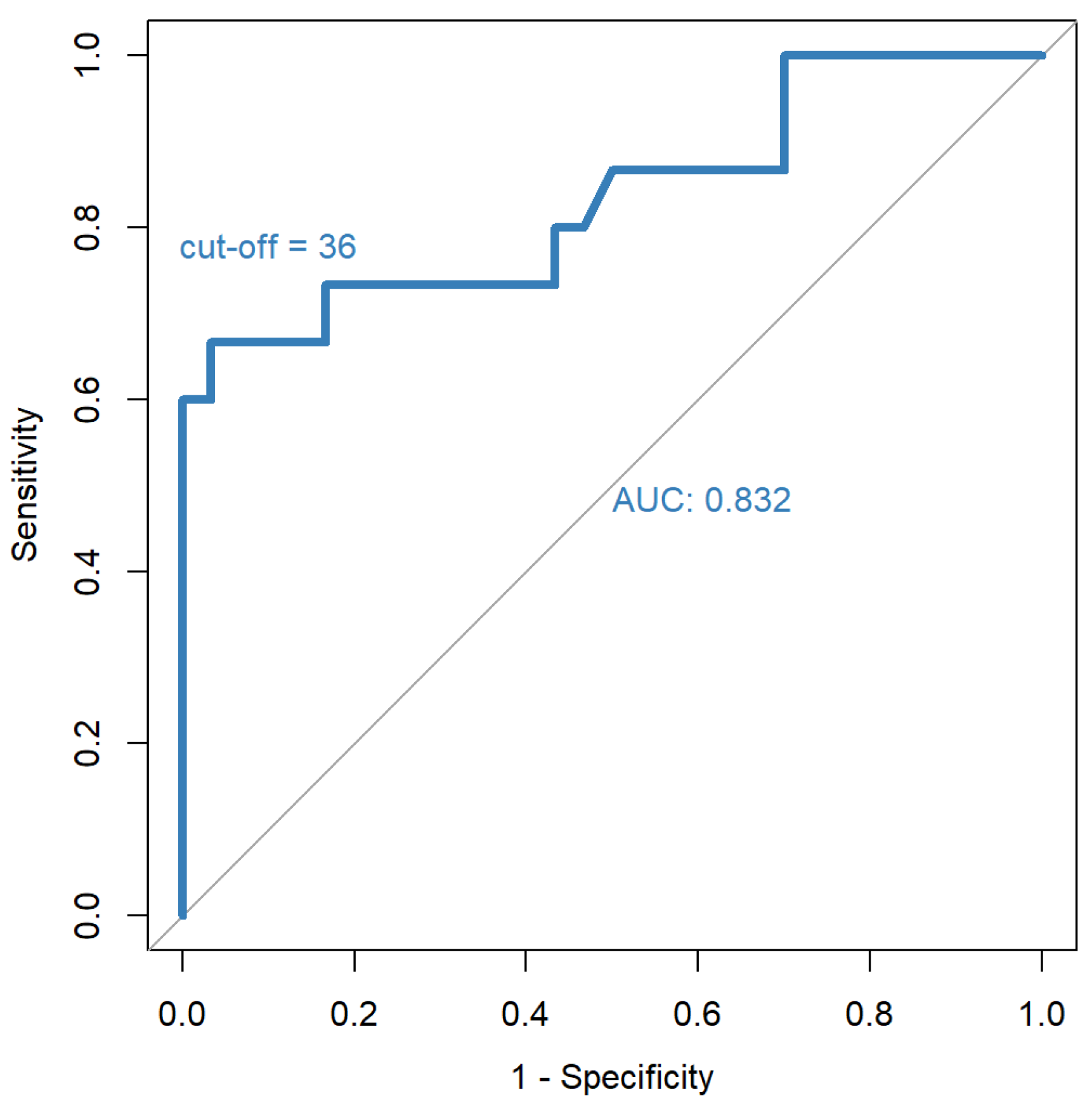
| Cut-Off Point | Youden Index | AUC | SE | 95% CI | p | |
|---|---|---|---|---|---|---|
| 36 | 0.63 | 0.832 | 0.072 | 0.691 | 0.973 | <0.001 |
Disclaimer/Publisher’s Note: The statements, opinions and data contained in all publications are solely those of the individual author(s) and contributor(s) and not of MDPI and/or the editor(s). MDPI and/or the editor(s) disclaim responsibility for any injury to people or property resulting from any ideas, methods, instructions or products referred to in the content. |
© 2024 by the author. Licensee MDPI, Basel, Switzerland. This article is an open access article distributed under the terms and conditions of the Creative Commons Attribution (CC BY) license (https://creativecommons.org/licenses/by/4.0/).
Share and Cite
Domaradzki, J. Navicular Drop Height Asymmetry as an Intrinsic Risk Factor for Lower Limb Injury in Male Recreational Athletes. Symmetry 2024, 16, 1390. https://doi.org/10.3390/sym16101390
Domaradzki J. Navicular Drop Height Asymmetry as an Intrinsic Risk Factor for Lower Limb Injury in Male Recreational Athletes. Symmetry. 2024; 16(10):1390. https://doi.org/10.3390/sym16101390
Chicago/Turabian StyleDomaradzki, Jarosław. 2024. "Navicular Drop Height Asymmetry as an Intrinsic Risk Factor for Lower Limb Injury in Male Recreational Athletes" Symmetry 16, no. 10: 1390. https://doi.org/10.3390/sym16101390
APA StyleDomaradzki, J. (2024). Navicular Drop Height Asymmetry as an Intrinsic Risk Factor for Lower Limb Injury in Male Recreational Athletes. Symmetry, 16(10), 1390. https://doi.org/10.3390/sym16101390
