Abstract
To achieve precise control of the symmetrical unmanned surface vehicle (USV) under strong external disturbances, we propose a disturbance estimation and conditional disturbance compensation control (CDCC) scheme. First, the differential flatness method is applied to convert the underactuated model into a fully actuated one, simplifying the controller design. Then, a nonlinear disturbance observer (NDOB) is designed to estimate the lumped disturbance. Subsequently, a continuous disturbance characterization index (CDCI) is proposed, which not only indicates whether the disturbance is beneficial to the system stability but also makes the controller switch smoothly and suppresses the chattering phenomenon greatly. Indicated by the CDCI, the proposed CDCC method can not only utilize the beneficial disturbance but also compensate for the detrimental disturbance, which improves the USV’s control performance under strong external disturbances. Moreover, a trajectory-planning method is designed to generate an obstacle avoidance reference trajectory for the controller. Finally, simulations verify the feasibility of applying the proposed control method to USV.
1. Introduction
The unmanned surface vehicle (USV) is widely used in sea environment monitoring, deep-sea exploration, and so on [1]. However, navigating in complex sea conditions, including external strong disturbances and obstacles, poses significant challenges for achieving precise USV control.
The USVs move through thrust and torque provided by power equipment. Thrust drives surge motion, while torque controls yaw rotation. However, due to the lack of a force acting in the sway direction, the USV is underactuated in practice [2,3]. The underactuation makes the controller design more complicated than in the fully actuated system. For instance, the backstepping control algorithm needs to design the more complex virtual control law to ensure the asymptotic stability of the system [4,5]. Differential flatness provides a feasible approach to simplify controller design for underactuated systems. If an underactuated system has flat outputs that match its inputs and fully represent all its states, then it is considered to be differentially flat. Such a system can be transformed into a fully actuated one through dynamic linearization. This method has proven effective for UAVs [6,7] and four-wheeled vehicles [8,9] in simplifying their control design. Therefore, considering the advantages of differential flatness in handling underactuation, this article explores its application in the USV system.
The USVs are also susceptible to external disturbances. Therefore, scholars have proposed different anti-disturbance control schemes. Refs. [10,11,12] designed control schemes based on the H∞ algorithm. Ref. [13] proposed a filtered probabilistic model predictive control-based reinforcement learning method to handle unpredictable and unobservable external disturbance. However, these control methods rely on feedback regulation to achieve disturbance rejection, which limits their ability to respond quickly to inhibit strong disturbances [14,15]. To handle this issue, disturbance observer-based control (DOBC) methods offer a more direct solution. For example, Ref. [16] designed a sliding mode control method based on the nonlinear disturbance observer (NDOB), enabling feed-forward compensation for strong disturbances. Ref. [17] designed an event-triggered model predictive control with NDOB to reduce the impact of external disturbance and cyber-attacks on the system. Refs. [18,19,20,21] designed a composite control strategy based on finite-time disturbance observer for USVs.
The control methods mentioned above often regard disturbances as exclusively harmful to USVs and aim to eliminate them. But it is worth noting that disturbance is often time-varying and may be beneficial to the system at a certain moment. Eliminating them blindly may not improve system performance [22]. This has prompted scholars to analyze disturbance characteristics and utilize its beneficial effects for enhancing system performance. Ref. [22] designed a disturbance effect indicator (DEI) to evaluate the positive and negative effects of disturbances on the system. Based on DEI, they proposed a disturbance estimation-triggered control scheme for the attitude tracking of hypersonic reentry vehicles. Ref. [23] designed a conditional disturbance negation module to evaluate the disturbances and selectively conduct compensation actions, achieving better control performances and avoiding the resonance phenomenon in flexible modes. Ref. [24] defined a disturbance characterization index (DCI) to indicate whether the disturbance is harmful or beneficial to system stability. The controller selectively uses beneficial disturbances and compensates for harmful ones to achieve better control performance for the “JIAOLONG” manned submersible. Similarly, Ref. [25] designed a DCI-based backstepping controller for unmanned aerial helicopters (UAHs) to conditionally eliminate and utilize disturbance, improving the system control performance. However, the sign function introduced into the controller causes discontinuity in the control signal and the chattering phenomenon in Refs. [22,24,25].
Based on the analysis of previous research on anti-disturbance control for USVs and disturbance utilization, the shortcomings can be summarized: (a) The USV is a typical underactuated system, which increases the difficulty of designing the controller and resisting strong external disturbance. (b) In the existing research on USVs, external disturbances are always assumed to be completely harmful without considering their beneficial effects on the system. (c) In prior studies on disturbance characteristic analysis and utilization, the sign function was introduced into the design of the control law, leading to the chattering phenomenon of the control signal. Motivated by the work in [26], we employ the differential flatness to linearize the USV’s dynamic model and convert an underactuated system into a fully actuated one. Then, a continuous disturbance characterization index (CDCI) is designed to indicate whether disturbances are beneficial to the system. Based on the CDCI, we propose a conditional disturbance compensation control (CDCC) method for USVs.
To verify the feasibility of the proposed control method, we choose obstacle avoidance as the verification scenario. Based on the differential flatness, we design a trajectory-planning method. By using the Bezier polynomial function, the trajectory planning problem is parameterized into an optimization problem in flat output space. Then, considering the obstacle avoidance constraint, a reference trajectory is generated offline for the controller by solving the optimization problem.
The primary contributions and works of this paper are listed as follows:
- 1.
- The traditional DCI in Refs [24,25] is discontinuous, where the control signal is subject to severe chattering phenomenon. In contrast, the proposed new CDCI is an expression of a continuous function, which makes the controller switch smoothly and can suppress the chattering phenomenon greatly.
- 2.
- Different from the full disturbance compensation control method that compensates for the total disturbance uniformly, a novel CDCC control method is proposed in this paper. The proposed control method can not only utilize the beneficial disturbance but also compensate for the detrimental disturbance, which is able to make the USV achieve a better control performance under strong external disturbances.
- 3.
- A differential flatness-based trajectory-planning method is designed for the USV, which generates an obstacle avoidance reference trajectory in advance for the system to track and provides the high derivative of the reference inputs required for the system.
The remainder of the paper is organized as follows. The preparatory work is given in Section 2. Section 3 specifies the design of the proposed control scheme. An obstacle avoidance trajectory-planning method for USVs is designed in Section 4. Comparison simulations are shown in Section 5. Finally, the conclusions are described in Section 6.
2. Preliminaries
2.1. USV Modeling
The schematic diagram of USV planar motion is shown in Figure 1. The USV has a symmetrical structure, which simplifies the complexity of the mathematical model. The inertia reference frame is fixed on the ground, and the origin point of the body reference frame coincides with the center of USV. Based on the Newton–Euler method, the dynamic model of USV is described as shown below:
where x, y, and denote the position and yaw angle in . u, v, and r denote the velocity in . Note , , , , , , , and . , , and denote the damping coefficients. m and are the mass and inertia moment. and denote the input force and yaw torque, respectively. , , and are external disturbances caused by sea winds and waves. denotes the state variable. Moreover, there is no control input in the fifth Equation of (1), so the USV is a two-input (, ) and three-output (x, y, ) underactuated system.
Figure 1.
The schematic diagram of USV planar motion.
Assumption 1.
The disturbance is second-order differentiable; , , and are bounded.
Remark 1.
The external disturbance is slow and time-varying in practice [27]. It is difficult to obtain the accurate mathematical model. Normally, can be approximated by the superposition of sinusoidal signals with various frequencies and phases.
Remark 2.
In practice, the velocities u, v, and r are bounded. The yaw angle satisfies . The input and are provided by the power equipment, so , and , are bounded.
2.2. Differential Flatness of USV
Definition 1.
For the nonlinear systems, if all system states and inputs can be represented by a set of flat output variables and their finite derivatives, then the nonlinear system is called differentially flat [28].
Proposition 1.
Ignoring the disturbance, system (1) is differentially flat by choosing x and y as flat output variables.
Proof.
Define the flat outputs as , where , . The state variables are expressed as
Furthermore, the inputs , are represented as
According to (3)–(5), all states and inputs of the USV are expressed by the finite derivative of flat outputs F. Thus, Proposition 1 is proved to be true. □
2.3. Fully Actuated Model
To simplify the control design, we convert (1) into a fully actuated model based on the differential flatness feature of USV.
Considering the first two equations in (1)
Based on Proposition 1, there exists a mapping relationship between states and inputs of the system with the flat outputs F. Therefore, we only need to design the control law with x and y as the objects.
By continuously taking the derivative of (6) until the inputs and are expressed explicitly, we obtain the fully actuated USV model:
where
and are defined as virtual control inputs. and denote complex nonlinear terms. and are treated as lumped disturbances, which can be estimated by the disturbance observer. , , , and are expressed as (A1)–(A4) in Appendix A.
Generally, the damping coefficient satisfies , namely, ; and when the USV is moving. Thus, holds, and we have the following conditions
then, actual inputs and are obtained by the inversion of (9):
Furthermore, defining , , , and , (7) can be rewritten to a compact form as
Note that there are two inputs and two outputs in (12). Therefore, system (1) is successfully converted into a fully actuated model based on differential flatness.
Remark 3.
According to (5), the fourth derivative of F is present in . To ensure the equivalent transformation of the model, we need to take continuous derivatives of (6) to obtain and . Then, we define the terms containing the actual control inputs and as virtual control inputs, i.e., . The dimensions of U match the dimensions of the system outputs . Therefore, only designing U, and can be obtained through the inverse transformation (11). This simplifies the controller design.
Assumption 2.
According to Assumption 1 and Remark 2, lumped disturbances D and are bounded. That means there exists an unknown positive constant and such that , .
3. Controller Design
In this section, we propose a conditional disturbance compensation control (CDCC) scheme for the trajectory tracking of USV under the lumped disturbance. The control scheme block diagram is shown in Figure 2.
Figure 2.
The block diagram of conditional disturbance compensation control scheme for USV (the meanings of L, Z, , , , , , , are explained in Section 3.1, Section 3.2 and Section 3.3 below).
The conditional disturbance controller is mainly composed of the basic backstepping controller, nonlinear disturbance observer (NDOB), and continuous disturbance characterization index (CDCI). The NDOB receives the control signal U and the output signal , solving the differential equations to estimate the lumped disturbance D. According to the estimated value , the CDCI analyzes whether the lumped disturbance is beneficial to the system. Then, the compensation gain will instruct the controller to conditionally compensate for D so that the USV system can accurately track the reference trajectory.
3.1. Nonlinear Disturbance Observer
Inspired by [29,30], a nonlinear disturbance observer (NDOB) is designed to estimate the lumped disturbance.
Combining with (12), the NDOB is designed as
where is an auxiliary variable, denotes the observer gain, and denotes the estimation of D.
Defining the estimation error and combing with (13), we have
3.2. Basic Backstepping Controller
A basic backstepping controller for the proposed CDCC control scheme is designed in this section.
Defining , , , , (7) can be rewritten as
Step 1. Define the reference trajectory and tracking error ; then, we have
Then, the virtual control variable is defined as
where is a positive constant.
Step 2. Define the tracking error as
Taking the derivative of (18), we have:
Then, define the virtual control variable as
where is a positive constant.
Step 3. Define the tracking error as
Taking the derivative of (22), we obtain
Similarly, define a new virtual control variable as
where is a positive constant.
Step 4. Define the error variable as
Then, taking the derivative of (26), we obtain:
Therefore, the basic backstepping control law can be designed as
3.3. Conditional Disturbance Compensation Controller
From (31), the lumped disturbance is fully compensated without considering its positive effect on the system. Therefore, in this section, we define a continuous disturbance characterization index (CDCI) to judge whether the lumped disturbance is beneficial to the USV system at the stability aspect. Then, a conditional disturbance compensation controller is proposed to utilize beneficial disturbance.
First, we define a candidate Lyapunov function as
Then,
Since , which makes hold. According to the Lyapunov theory, the stability of the system is closely related to the sign of :
- If holds, is satisfied and the system is stable, which indicates that D is beneficial to guarantee the stability of the system;
- If holds, the sign of is uncertain, which means that D is detrimental to the system;
- If holds, it means that D does not affect the stability of the system.
Furthermore, inspired by the above analysis, a CDCI is defined to judge whether the disturbance D is beneficial to the system. Since D cannot be measured directly in practice, we use the estimation of NDOB instead.
Definition 2.
The CDCI of is designed as
Therefore, based on (31), the conditional disturbance compensation control law is designed as
where denotes the disturbance compensation gain,
where denotes the i-th element of ; , and it can be selected flexibly according to the performance requirements.
The traditional disturbance characterization index (DCI) in [21,23] is designed as , as shown in Figure 3a. If , , it indicates that the disturbance is harmful. Then, the controller fully compensates for the disturbance. Contrarily, if , , it indicates that disturbance is beneficial. Then, the controller fully utilizes disturbance. However, it should be noted that the traditional DCI introduces the function , which makes only take discrete values and can only take discrete values . Under normal working conditions, the error vector is generally near zero; namely, the actual working point of the controller is generally near the longitudinal axis. Thus, the value of and may change frequently, which may cause the chattering phenomenon.
Figure 3.
The comparisons between traditional DCI and proposed CDCI; (a) the traditional DCI; (b) the proposed CDCI.
Different from traditional DCI, the values of and in the designed CDCI are continuous, as shown in Figure 3b. If , the controller fully compensates for the disturbance. If , the controller fully utilizes disturbance. If , the controller partly utilizes disturbance. Because there is a middle transition process (blue line segment) in the switching of control laws, the designed CDCI can effectively suppress or even eliminate the chattering phenomenon.
3.4. Stability Analysis
This section analyzes the stability of the USV system under the proposed conditional disturbance compensation controller.
Theorem 1.
Proof.
Define a candidate Lyapunov function as
then, we have
From (37), the sign of can be discussed as follows: if holds, then and satisfy. If holds, then and satisfy. Above all, is always satisfied, so (41) yields
The following inequalities exist [31]:
where and are positive scalars.
The parameters and L are both positive constants. According to (45), their selections significantly impact the system stability. Ensuring is always satisfied, the increase of can accelerate the error convergence. However, too large may cause high-frequency oscillations. Therefore, should be chosen to balance convergence speed, noise suppression, and stability. Similarly, L is the gain of the NDOB (13). Ensuring is always satisfied, the increase of L can allow the NDOB to estimate disturbances more quickly, which helps reduce the impact of disturbance D. However, a too large L may cause estimation oscillations and increase noise sensitivity. Therefore, the selection of L needs to balance the estimation performance and the noise suppression capability.
Then, we have
where , .
Finally, we can obtain
It can be seen that when , . Thus, the proposed control law ensures that all variables of the system are bounded. □
4. Trajectory Planning
In this section, we design an obstacle-avoiding trajectory-planning method based on differential flatness, which combines global trajectory tracking with local optimization. An obstacle avoidance scenario is constructed, as shown in Figure 4. If there are no obstacles on the global trajectory, the USV control system will sail with the global trajectory as the reference. If there are obstacles on the global trajectory, according to the safe distance, local optimization is carried out to adjust the reference trajectory. An obstacle avoidance reference trajectory is generated offline through several local optimizations.
Figure 4.
The sketch of obstacle avoidance scenario.
The trajectory planning process is mainly divided into two parts: trajectory description and trajectory optimization.
4.1. Trajectory Description
Inspired by [32], the Beizer polynomials can be used to define a flexible trajectory to avoid obstacles. Thus, we parameterize F by the 6th-order Beizer polynomial, and the polynomial trajectory is obtained as
where denotes the Beizer polynomial coefficient. is the Beizer curve parameter, and . The Bernstein basis functions () are expressed as [33]
To obtain the derivative of (), we define a fixed receding horizon time to extend to the time domain t, i.e., .
Then, we have ():
To evaluate the cost function (see Section 4.2) of the trajectory over , the trajectory is discretized into n points at . Thus, the values of the basis functions at n points are arranged into a matrix as
The values of the polynomial coefficient at n points are arranged into a matrix as
Finally, the time series of the trajectory (48) is given by
Remark 4.
In Section 3, since the design of the controller is based on the fully actuated model (7), we need the continuous derivative of the reference input of x and y to ensure the stability of the system. It can be seen from (58) to (61) that the designed trajectory-planning method can meet this requirement. This verifies the rationality of the control and planning scheme for the underactuated USV based on differential flatness.
4.2. Trajectory Optimization
According to the shortest trajectory requirement, we define the cost function as
where P and S are weight coefficients. The position offset describes the deviation between the optimized trajectory and the desired global trajectory . The speed offset denotes the deviation between the optimized velocity and the desired global velocity .
Then, we define the obstacle avoidance constraints as
where is the center position of the m-th obstacle. represents the radius of m-th obstacle. is safe distance.
5. Simulation Analysis
In this section, we use MATLAB software [34] for simulation. Comparative simulations are conducted to verify the superior performance of the proposed CDCC method in two aspects: (1) tracking performance under strong external disturbance and (2) suppression of chattering phenomenon. The obstacle avoidance trajectory planned in Section 4 serves as the reference trajectory in the following simulations.
5.1. Parameter Selection
The parameters of the USV model are shown in Table 1. Then, the control gain of the proposed CDCC is selected as , , , and . The value of the CDCI is set as . The gain of the NODB is selected as . The lumped disturbances D are determined by (A3) and (A4).
Table 1.
The parameters of the USV model.
From the obstacle avoidance scenario in Section 4, we set the following parameters: the global trajectory is set as a horizontal straight line with constant speed and heading . The receding horizon time is and step . The weight coefficients are and . The obstacle is selected as an ideal circle. Their position coordinates and radius are shown in Table 2. The safety distance is .
Table 2.
The coordinates and radius of obstacles.
5.2. Tracking Performance under Strong External Disturbance
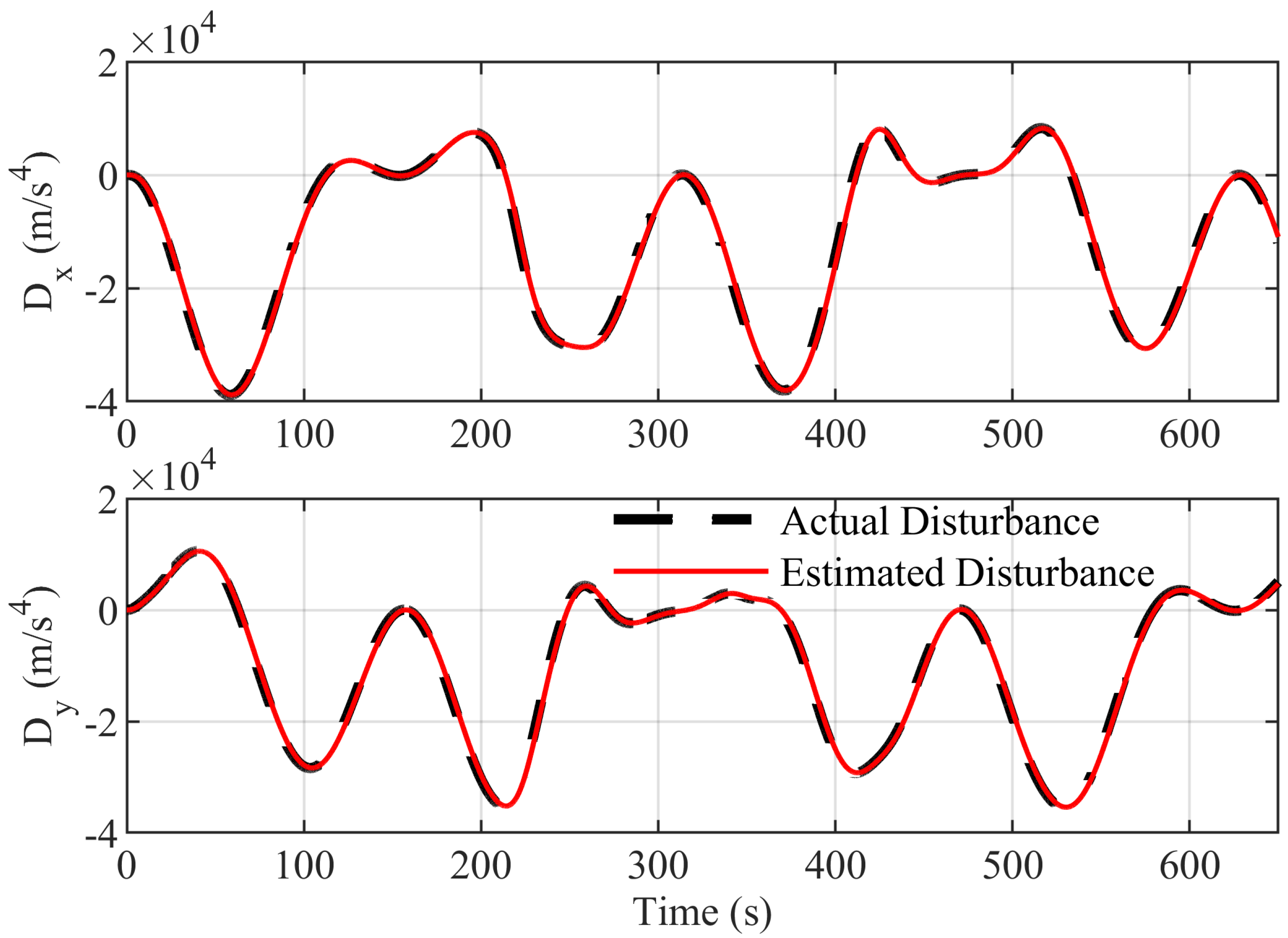
Figure 5 shows the trajectory tracking response of three control methods in the obstacle scenario. The black dashed line is the reference trajectory generated by the trajectory-planning method designed in Section 4. It guides the USV system to avoid obstacles (gray circles). Then, we select the basic backstepping control (BBC) method and the disturbance observer-based control (DOBC) method as the comparison objects of the proposed CDCC method. The BBC method does not compensate for the lumped disturbance. The DOBC fully compensates for the lumped disturbance. From Figure 6 and Figure 7, the BBC method has a large tracking error. Conversely, the DOBC method and the proposed CDCC method can compensate for the lumped disturbance based on the estimated value of the NDOB, making the USV track the reference trajectory accurately. Figure 8 depicts the lumped disturbance estimation of the NDOB. We can see that the NDOB can estimate the lumped disturbance in a timely manner. According to Figure 9, the estimation error is not more than relative to the actual disturbance, so the designed observer has an excellent estimation ability.
Figure 5.
Reference trajectory and tracking response curves under three control methods: BBC (no disturbance compensation), DOBC (full disturbance compensation), proposed CDCC (conditional disturbance compensation).
Figure 6.
Position and yaw tracking response curves under three control methods: BBC (no disturbance compensation), DOBC (full disturbance compensation), proposed CDCC (conditional disturbance compensation).
Figure 7.
Tracking error response curves under three control methods: BBC (no disturbance compensation), DOBC (full disturbance compensation), proposed CDCC (conditional disturbance compensation).
Figure 8.
The lumped disturbance estimation response curves.
Figure 9.
The lumped disturbance estimation error response curves.
However, the proposed CDCC method is superior to the DOBC method. As shown in Figure 7, the proposed control method has a smaller overshoot and faster tracking than the DOBC method, because the proposed CDCC method introduces in the control law (36), which can dynamically adjust disturbance compensation. During the periods (64 s, 113 s), (246 s, 314 s), and (512 s, 628 s) in Figure 10, according to (35) and (37), and are satisfied. This indicates that the disturbance is beneficial for system stability. In these periods, the proposed CDCC method utilizes the disturbance rather than fully compensating for it as done by DOBC, accelerating the error convergence. Similarly, during the periods (103 s, 157 s), (284 s, 315 s), and (408 s, 470 s) in Figure 11, also indicates that the disturbance is beneficial. The proposed CDCC can utilize it to accelerate the error convergence.
Figure 10.
The error () under different disturbance compensation methods: DOBC (full compensation), proposed CDCC (conditional compensation).
Figure 11.
The error () under different disturbance compensation methods: DOBC (full compensation), proposed CDCC (conditional compensation).
Table 3 shows the root mean squares (RMSs) of the tracking errors under the three control methods, which further quantitatively verifies the superiority of the proposed CDCC. The DOBC and the proposed CDCC control methods excel in tracking performance by compensating for lumped disturbances, whereas the BBC method, without such compensation, suffers from significant tracking errors. Notably, the CDCC method utilizes beneficial disturbances to speed up system convergence, resulting in smaller tracking errors compared to the DOBC method.
Table 3.
The RMS of the tracking errors under the three control methods.
Based on the above analysis, the proposed CDCC method, indicated by the CDCI, can not only utilize the beneficial disturbance but also compensate for the detrimental disturbance, which is able to make the USV achieve a better tracking performance under strong external disturbances.
5.3. Suppression of Chattering Phenomenon
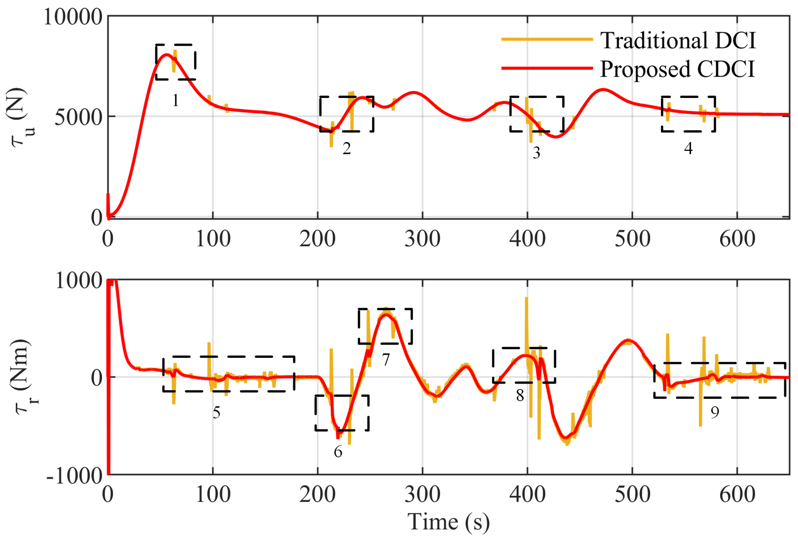
In addition, to verify the superiority of the proposed CDCI in suppressing the chattering phenomenon, the comparative simulations show the impact of traditional DCI and the proposed CDCI on control law switching in Figure 12, Figure 13, Figure 14 and Figure 15.
Figure 12.
and disturbance compensation gain response curves between traditional DCI and proposed CDCI.
Figure 13.
and disturbance compensation gain response curves between traditional DCI and proposed CDCI.
Figure 14.
Virtual control law U response curves of the fully actuated system between traditional DCI and proposed CDCI.
Figure 15.
Actual control inputs , response curves of the original system between traditional DCI and proposed CDCI.
As shown in Figure 12, the disturbance is regarded as harmful when , such as the periods (1 s, 58 s) and (412 s, 423 s). During these periods, holds in both the traditional DCI and the proposed CDCI, which instructs the controller to eliminate disturbance. However, as shown in Figure 3a, the function of a traditional DCI changes abruptly between 0 and 1. It will cause discontinuous control law switching and control signals chattering. This drawback is clearly demonstrated in Figure 12. For example, during the periods (249 s, 315 s) and (573 s, 630 s), the value of is around zero, which causes the value of of a traditional DCI to frequently jump between 0 and 1. The controller switches infrequently between full compensation and full utilization. Thus, the traditional DCI causes the chattering phenomenon of the control signal. In contrast, of the proposed CDCI is a continuous function. This ensures the value of in the proposed CDCI continuously changes between 0 and 1 rather than experiencing abrupt changes. The controller switches smoothly between full compensation, partial utilization, and full utilization, as shown in Figure 3b. Thus, the proposed CDCI can suppress the chattering phenomenon. Similarly, for the periods (156 s, 219 s) and (370 s, 410 s) in Figure 13, indicates the disturbance is harmful. Both the traditional DCI and the proposed CDCI instruct the controller to eliminate harmful disturbances. For periods (28 s, 65 s) and (503 s, 580 s), the of the proposed CDCI is also continuous. Therefore, the proposed CDCI can make the control law switch continuously and suppress the chattering phenomenon.
Furthermore, Figure 14 and Figure 15 more intuitively verify that the proposed CDCI can effectively suppress the chattering phenomenon of control inputs. Figure 14 presents the virtual control law response curves of the fully actuated system. It can be seen that the virtual control inputs have a smoother response under the instruction of the proposed CDCI. According to the dashed box (1–9) in Figure 15, the control inputs () and () under the traditional DCI have obvious peaks and chattering phenomenon. In contrast, the peaks and chattering phenomenon under the proposed CDCI is significantly suppressed.
In summary, compared with the DOBC method (full disturbance compensation), the proposed CDCC method can utilize the beneficial disturbance to achieve more satisfactory tracking performance and stronger anti-disturbance ability. The proposed CDCI can indicate whether the disturbance is beneficial to the system while also reducing the chattering phenomenon that exists in traditional DCI.
6. Conclusions
To simplify the control design, the symmetrical underactuated USV model is converted into a fully actuated model via differential flatness theory. Then, based on the fully actuated model and NDOB, we propose a CDCC method with the CDCI to solve the track control problem of USV under strong external disturbance. The CDCI is designed via Lyapunov theory to indicate whether the lumped disturbance is beneficial to system stability. It makes the controller switch continuously and suppresses the chattering phenomenon caused by the traditional DCI. Moreover, based on the flat output space, an obstacle avoidance trajectory-planning method is designed to generate a reference trajectory for the USV controller. Finally, comparative simulations are carried out to verify the superiority of our CDCC method. Compared to the DOBC method, the proposed CDCC can selectively utilize favorable effects of disturbance, indicated by the CDCI, to accelerate system convergence. It makes the USV system have more satisfactory tracking accuracy and stronger capability in anti-disturbance and chattering suppression.
Author Contributions
Conceptualization, X.F. and C.Z. (Chengxu Zhang); methodology, X.F. and C.Z. (Chengxu Zhang); software, C.Z. (Chengxu Zhang); validation, C.Z. (Chengxu Zhang) and C.Z. (Chengxi Zhang); formal analysis, X.F. and C.Z. (Chengxu Zhang); investigation, C.Z. (Chengxu Zhang); resources, Y.L. and G.X.; data curation, C.Z. (Chengxu Zhang); writing—original draft preparation, C.Z. (Chengxu Zhang); writing—review and editing, X.F. and C.Z. (Chengxi Zhang); visualization, G.X. and Y.S.; supervision, X.F. and C.Z. (Chengxi Zhang); project administration, C.Z. (Chengxi Zhang); funding acquisition, X.F. All authors have read and agreed to the published version of the manuscript.
Funding
This research was funded by the Ministry of Education Equipment Development Fund, grant number: 8091B032259, the National Natural Science Foundation of China, grant number: 62273165, and the China Postdoctoral Science Foundation, grant numbers: 2023T160493 and 2021M702505.
Data Availability Statement
The data supporting the results of this study are available upon request from the corresponding author.
Conflicts of Interest
The funders had no role in the design of the study; in the collection, analyses, or interpretation of data; in the writing of the manuscript; or in the decision to publish the results.
Appendix A
References
- Liu, Z.; Zhang, Y.; Yu, X.; Yuan, C. Unmanned surface vehicles: An overview of developments and challenges. Annu. Rev. Control 2016, 41, 71–93. [Google Scholar] [CrossRef]
- Xu, Z.; Han, T.; Zhou, W.; He, S.; Xiang, J. Trajectory Tracking Control for Differential-Driven Unmanned Surface Vessels Considering Propeller Servo Loop. IEEE Trans. Ind. Inform. 2023, 20, 3847–3856. [Google Scholar] [CrossRef]
- Jiang, K.; Mao, L.; Su, Y.; Zheng, Y. Trajectory Tracking Control for Underactuated USV with Prescribed Performance and Input Quantization. Symmetry 2021, 13, 2208. [Google Scholar] [CrossRef]
- Park, B.S.; Yoo, S.J. Robust trajectory tracking with adjustable performance of underactuated surface vessels via quantized state feedback. Ocean Eng. 2022, 246, 110475. [Google Scholar] [CrossRef]
- Tong, H. An adaptive error constraint line-of-sight guidance and finite-time backstepping control for unmanned surface vehicles. Ocean Eng. 2023, 285, 115298. [Google Scholar] [CrossRef]
- Aguilar-Ibanez, C.; Sira-Ramirez, H.; Suarez-Castanon, M.S.; Martinez-Navarro, E.; Moreno-Armendariz, M.A. The trajectory tracking problem for an unmanned four-rotor system: Flatness-based approach. Int. J. Control 2012, 85, 69–77. [Google Scholar] [CrossRef]
- Ma, D.; Xia, Y.; Shen, G.; Jia, Z.; Li, T. Flatness-based adaptive sliding mode tracking control for a quadrotor with disturbances. J. Frankl. Inst. 2018, 355, 6300–6322. [Google Scholar] [CrossRef]
- Xia, Y.; Lin, M.; Zhang, J.; Fu, M.; Li, C.; Li, S.; Yang, Y. Trajectory planning and tracking for four-wheel steering vehicle based on differential flatness and active disturbance rejection controller. Int. J. Adapt. Control Signal Process. 2021, 35, 2214–2244. [Google Scholar] [CrossRef]
- Wang, X.; Sun, W. Trajectory Tracking of Autonomous Vehicle: A Differential Flatness Approach With Disturbance-Observer-Based Control. IEEE Trans. Intell. Veh. 2023, 8, 1368–1379. [Google Scholar] [CrossRef]
- Rigatos, G.; Siano, P.; Zervos, N. A nonlinear H-infinity control approach for autonomous navigation of underactuated vessels. In Proceedings of the International Conference on Control, Automation and Systems (ICCAS), Gyeongju, Republic of Korea, 16–19 October 2016; pp. 1143–1148. [Google Scholar] [CrossRef]
- Huang, Y.; Lin, T.; Huang, W. Extended bounded real lemma based sum of squares for static output feedback H-infinity heading control. Int. J. Robust Nonlinear Control 2022, 32, 7879–7895. [Google Scholar] [CrossRef]
- Xiong, J.; Li, J.-N.; Du, P. A novel non-fragile H∞ fault-tolerant course-keeping control for uncertain unmanned surface vehicles with rudder failures. Ocean Eng. 2023, 280, 114781. [Google Scholar] [CrossRef]
- Cui, Y.; Peng, L.; Li, H. Filtered Probabilistic Model Predictive Control-Based Reinforcement Learning for Unmanned Surface Vehicles. IEEE Trans. Ind. Inform. 2022, 18, 6950–6961. [Google Scholar] [CrossRef]
- Zolotas, A. Disturbance Observer-Based Control: Methods and Applications. IEEE Control Syst. 2015, 35, 55–57. [Google Scholar] [CrossRef]
- Chen, X.; Yang, J.; Li, S.; Li, Q. Disturbance observer-based multi-variable control of ball mill grinding circuits. J. Process Control 2009, 19, 1205–1213. [Google Scholar] [CrossRef]
- Huang, C.; Zhang, X.; Zhang, G. Improved decentralized finite-time formation control of underactuated USVs via a novel disturbance observer. Ocean Eng. 2019, 174, 117–124. [Google Scholar] [CrossRef]
- Feng, N.; Wu, D.; Yu, H.; Yamashita, A.S.; Huang, Y. Predictive compensator based event-triggered model predictive control with nonlinear disturbance observer for unmanned surface vehicle under cyber-attacks. Ocean Eng. 2022, 259, 111868. [Google Scholar] [CrossRef]
- Guo, G.; Zhang, P. Asymptotic Stabilization of USVs With Actuator Dead-Zones and Yaw Constraints Based on Fixed-Time Disturbance Observer. IEEE Trans. Veh. Technol. 2020, 69, 302–316. [Google Scholar] [CrossRef]
- Er, M.J.; Gao, W.; Li, Q.; Li, L.; Liu, T. Composite trajectory tracking of a ship-borne manipulator system based on full-order terminal sliding mode control under external disturbances and model uncertainties. Ocean Eng. 2023, 267, 113203. [Google Scholar] [CrossRef]
- Meng, X.; Zhang, G.; Han, B. Fault-tolerant control of underactuated MSVs based on neural finite-time disturbance observer: An Event-triggered Mechanism. J. Frankl. Inst. 2024, 361, 106603. [Google Scholar] [CrossRef]
- Liu, H.; Sun, N.; Ren, G. An improved predictor LOS-based global fixed-time prescribed performance controller for the path following of underactuated marine surface vehicles with input saturation. J. Frankl. Inst. 2024, 361, 453–473. [Google Scholar] [CrossRef]
- Guo, Z.; Guo, J.; Zhou, J.; Chang, J. Robust Tracking for Hypersonic Reentry Vehicles via Disturbance Estimation-Triggered Control. IEEE Trans. Aerosp. Electron. Syst. 2020, 56, 1279–1289. [Google Scholar] [CrossRef]
- Sun, J.; Pu, Z.; Chang, Y.; Ding, S.; Yi, J. Appointed-Time Control for Flexible Hypersonic Vehicles with Conditional Disturbance Negation. IEEE Trans. Aerosp. Electron. Syst. 2023, 59, 6327–6345. [Google Scholar] [CrossRef]
- Fang, X.; Liu, F.; Zhao, S. Trajectory tracking control for manned submersible system with disturbances via disturbance characterization index approach. Int. J. Robust Nonlinear Control 2019, 29, 5641–5653. [Google Scholar] [CrossRef]
- Chen, L.; Li, T.; Liu, L.; Mao, Z. Trajectory tracking anti-disturbance control for unmanned aerial helicopter based on disturbance characterization index. Control Theory Technol. 2023, 21, 233–245. [Google Scholar] [CrossRef]
- Xiangyu, K.; Yuanqing, X.; Rui, H.; Min, L.; Zhongqi, S.; Li, D. Trajectory Tracking Control for Under-Actuated Hovercraft Using Differential Flatness and Reinforcement Learning-Based Active Disturbance Rejection Control. J. Syst. Sci. Complex. 2022, 35, 502–521. [Google Scholar] [CrossRef]
- He, Z.; Fan, Y.; Wang, G.; Qiao, S. Finite time course keeping control for unmanned surface vehicles with command filter and rudder saturation. Ocean Eng. 2023, 280, 114403. [Google Scholar] [CrossRef]
- Ryu, J.C.; Agrawal, S.K. Differential flatness-based robust control of mobile robots in the presence of slip. Int. J. Rob. Res. 2011, 30, 463–475. [Google Scholar] [CrossRef]
- Chen, W.H.; Yang, J.; Guo, L.; Li, S. Disturbance-Observer-Based Control and Related Methods—An Overview. IEEE Trans. Ind. Electron. 2016, 63, 1083–1095. [Google Scholar] [CrossRef]
- Li, X.; Zhu, Z.; Shen, G.; Tang, Y. Wire Tension Coordination Control of Electro-Hydraulic Servo Driven Double-Rope Winding Hoisting Systems Using a Hybrid Controller Combining the Flatness-Based Control and a Disturbance Observer. Symmetry 2021, 13, 716. [Google Scholar] [CrossRef]
- Xu, B. Composite Learning Control of Flexible-Link Manipulator Using NN and DOB. IEEE Trans. Syst. Man Cybern. 2018, 48, 1979–1985. [Google Scholar] [CrossRef]
- Cichella, V.; Kaminer, I.; Walton, C.; Hovakimyan, N. Optimal Motion Planning for Differentially Flat Systems Using Bernstein Approximation. IEEE Contr. Syst. Lett. 2018, 2, 181–186. [Google Scholar] [CrossRef]
- Arslan, O.; Tiemessen, A. Adaptive Bezier Degree Reduction and Splitting for Computationally Efficient Motion Planning. IEEE Trans. Robot. 2022, 38, 3655–3674. [Google Scholar] [CrossRef]
- Leang, K.K. Matlab Tricks and Tips [Focus on Education]. IEEE Control Syst. Mag. 2013, 33, 39–40. [Google Scholar] [CrossRef]
Disclaimer/Publisher’s Note: The statements, opinions and data contained in all publications are solely those of the individual author(s) and contributor(s) and not of MDPI and/or the editor(s). MDPI and/or the editor(s) disclaim responsibility for any injury to people or property resulting from any ideas, methods, instructions or products referred to in the content. |
© 2024 by the authors. Licensee MDPI, Basel, Switzerland. This article is an open access article distributed under the terms and conditions of the Creative Commons Attribution (CC BY) license (https://creativecommons.org/licenses/by/4.0/).














