Abstract
Despite advancements in technologies such as time-lapse microscopy and artificial intelligence, the gold standard for embryo selection still relies on standard morphological assessment. Several studies have investigated the correlation between blastocyst characteristics (expansion status, inner cell mass, and trophectoderm) and clinical outcomes, reaching contradictory results. In consideration of these ambiguities in the literature, we performed a retrospective study of 1546 untested first-vitrified–warmed single day 5/6 blastocyst transfers. The purpose of our study is to evaluate three scenarios: (i) independent association between each morphological characteristic (expansion status, inner cell mass, and trophectoderm) and live birth; (ii) comparison between blastocysts with inner cell mass grade A and trophectoderm grade B and blastocysts with inner cell mass grade B and trophectoderm grade A; and (iii) comparison between poor-quality day 5 and top-quality day 6 blastocysts. After adjusting for principal confounders, we report that trophectoderm is more predictive of live births than inner cell mass and expansion status. We observed a trend in favor of top-quality day 6 blastocysts over poor-quality day 5 blastocysts. Moreover, on the same day of development and expansion status, blastocyst BA should be preferable to blastocyst AB.
1. Introduction
In vitro fertilization (IVF) treatments have revolutionized the field of reproductive medicine, offering hope to couples dealing with infertility challenges. The main goal of IVF is to facilitate a single healthy live birth [1]. To enhance the success of this goal, the most effective approach seems to be performing a single blastocyst transfer. Moreover, in recent years, vitrification has become the preferred method for cryopreserving blastocysts in human IVF, resulting in a high live birth rate [2,3]. Blastocyst selection is a crucial step in the IVF process. Despite advancements in certain technologies, such as time-lapse microscopy and artificial intelligence (AI), the gold standard for embryo selection still relies on standard morphological assessment [4,5]. To aid in this selection process, a widely accepted morphological classification system was introduced by Gardner and Schoolcraft over a decade ago [6]. This system classifies blastocysts based on three criteria: the degree of expansion and hatching; the quality of the inner cell mass (ICM); and the trophectoderm cells (TE). Numerous studies and expert consensus support the validity of this classification system [7,8,9]. The morphological quality of blastocyst characteristics is closely associated with clinical outcomes [10,11,12,13,14,15,16]. Nevertheless, the superiority of either of these morphological features is still under debate. Several studies have investigated the correlation between ICM, TE, expansion status (ES), and clinical outcomes, reaching contradictory results [10,11,12,13,14,15,16]. Previous studies showed ICM as the best predictor for implantation and clinical pregnancy compared to TE, suggesting ICM as a biomarker for viability [11,12,17]. In contrast, several studies have reached a different conclusion, asserting that the TE quality is the superior predictor of reproductive competence in euploid and untested blastocysts [14,15,16,18]. In addition, evidence suggests that ES is a predictor of live birth (LB) after single blastocyst transfer [12].
Gaining a comprehensive understanding of predictive power of individual morphological characteristics, such as ICM, TE, and ES, is crucial in embryo transfer selection. While the Istanbul Consensus did not specifically explore this aspect, it did suggest that the ICM may have greater significance in predicting the implantation rate [19]. However, current evidence does not distinguish between the relative clinical performance of ICM grade A and TE grade B blastocysts and ICM grade B and TE grade A blastocysts. Moreover, when only poor-quality day 5 and top-quality day 6 blastocysts are available, it can indeed be challenging to determine which should be prioritized [20,21]. These uncertainties underscore the need for further investigation in this area.
In consideration of these ambiguities in the literature, we performed a retrospective study of 1546 untested first-vitrified–warmed single day 5/6 blastocyst transfers. The purpose of our study is to evaluate three scenarios: (i) the independent association between morphological characteristic (ICM, TE, and ES) and LB; (ii) the comparison between blastocysts with ICM grade A and TE grade B and blastocysts with ICM grade B and TE grade A; and (iii) the comparison between poor-quality day 5 and top-quality day 6 blastocysts.
2. Materials and Methods
2.1. Study Population
This is a retrospective study including 1546 patients who received first-vitrified–warmed single day 5/6 untested blastocyst transfers between January 2019 and October 2023 after first-freeze-all intracytoplasmic sperm injection (ICSI) cycles. Exclusions included (i) ICSI cycles utilizing surgically obtained or previously frozen sperm; (ii) cycles involving donor gametes; and (iii) cycles with oocytes that were previously cryopreserved and thawed. No restrictions criteria were adopted for maternal age.
During the study period (5 years) no changes were introduced in the clinical and laboratory routine. New staff were introduced only after a period of training to assure harmonization with pre-existing operators. Nevertheless, to minimize the risk of bias due to variations between operators, two senior embryologists, each with over six years of expertise, assessed each blastocyst simultaneously. This study was approved by the local Institutional Review Board.
2.2. Ovarian Stimulation Protocol, ICSI, and Embryo Culture
All the vitrified–warmed blastocysts used in this study were obtained in stimulated oocyte retrieval ICSI freeze-all cycles as previously described [22]. A daily protocol involving either a GnRH agonist or antagonist was applied for pituitary suppression. Ovarian stimulation was carried out using highly purified FSH (IBSA, Lodi, Italy), with the initial dose ranging from 100 to 300 IU per day, based on the patient’s hormonal profile and body measurements. Both initial and adjusted doses were personalized based on individual responses to gonadotropins. Final oocyte maturation was triggered with HP–human chorionic gonadotropin (hCG) (Gonasi; Amsa, Rome, Italy) once one or more follicles reached a diameter of 17 mm or greater. Oocyte retrieval was conducted 35–36 h post-hCG trigger through transvaginal ultrasound-guided aspiration.
ICSI was conducted as previously described [22]. Fertilization was assessed 16–18 h after the procedure, with normal fertilization confirmed by the presence of two pronuclei (2PN) and two polar bodies. Embryos were systematically cultured to the blastocyst stage on day 5. In cycles with extended culture, the culture medium (Sage In-Vitro Fertilization, Inc., Trumbull, CT, USA) was refreshed on day 3 by moving embryos into a newly prepared dish on day 2.
2.3. Blastocyst Morphological Assessment
Blastocyst morphology was evaluated using a modified version of the Gardner and Schoolcraft criteria [23]. In summary, on the morning of days 5 to 6 of development, blastocysts were graded based on the following: (i) the degree of expansion and hatching, with scores ranging from 1 (early blastocyst) to 5 (hatched blastocyst). (ii) The assessment of ICM, where “A” is characterized by a prominent, well-compacted, and easily identifiable group of cells. These cells are numerous, tightly packed, and cohesive. “B” indicates fewer small cells forming a non-continuous uneven layer with some gaps. “C” represents a poorly defined small group of cells, with few cells forming the aggregate and a lower degree of organization. (iii) The evaluation of the TE, where “A” represents many identical small cells forming a tightly knit continuous epithelium, “B” indicates fewer small cells forming a non-continuous uneven layer with some gaps, and “C” represents a sparse number of cells of uneven size forming a loose epithelium with more gaps. According to modified Gardner and Schoolcraft [23], a top-quality blastocyst was defined as a fully expanded or hatching blastocyst with an “A” grade for the ICM and the TE, or with one component graded “A” and the other “B”. Blastocysts were considered good quality if both the ICM and TE were graded “B”, or if one was “B” and the other “C”. Poor-quality blastocysts were those with ICM and TE rated as “C”.
In our clinic, all embryologists responsible for embryo assessment were rigorously trained, qualified, and experienced. Morphological grading is subjective and qualitative; therefore, intra- and interlaboratory variations may exist. Nevertheless, to minimize the risk of bias due to variations between operators, two senior embryologists, each with over six years of expertise, assessed each blastocyst simultaneously. In cases of disagreement, the decision was taken in agreement with the IVF laboratory director. The operators assessing the blastocysts included in this study were compared for their consistency in the grading of ICM, TE, and ES on a set of 50 randomly chosen blastocysts. The resulting interclass correlation coefficients (ICC) were 0.85, 0.80, and 0.82, respectively.
2.4. Blastocyst Vitrification and Warming
Expanded blastocysts were cryopreserved using the simplified embryo vitrification protocol developed by Irvine Scientific (https://www.irvinesci.com/) after artificial shrinkage. The equilibration step was conducted at room temperature for 10 min. Subsequently, the blastocysts were moved into three 50 µL drops of vitrification solution for 1 min before loading. A single blastocyst was frozen using an individual storage device. The thawing process followed the simplified embryo warming protocol from Irvine Scientific (https://www.irvinesci.com/) using the Irvine Vit Kit-Thaw (FUJIFILM Irvine scientific, Santa Ana, CA, USA). Once thawed, the blastocysts were transferred to a culture dish containing six 30 µL drops of blastocyst medium (Sage In-Vitro Fertilization, Inc., Trumbull, CT, USA) beneath 3 mL of mineral oil (Sage In-Vitro Fertilization, Inc., Trumbull, CT, USA). The culture dishes were prepared the day before the FBTs and incubated overnight in a controlled environment with 6% CO2 and 5% O2.
2.5. Embryo Transfer Procedure
Single vitrified–warmed untested blastocyst transfers were performed on day 5 or day 6 according to the guidelines of the American Society for Reproductive Medicine [24]. All frozen blastocyst transfers (FBTs) were performed via either a natural or an artificial cycle. The blastocysts remained in the culture drops until the time of transfer (2 to 3 h); subsequently, they were transferred into a one-well culture dish with 1.5 mL of blastocyst medium (Sage In-Vitro Fertilization, Inc., Trumbull, CT, USA). Two operators, the transfer operator and the witness operator, moved the blastocyst into the one-well culture dish before loading the embryo into the catheter. All FBTs were performed with ultrasound guidance, as previously described [25].
2.6. Outcome Measure
The primary outcome of the study was the LB. The LB rate was defined as the number of live births out of the total number of transferred blastocysts.
2.7. Statistical Analysis
Data analysis was performed with the Statistical Package for Social Sciences (SPSS) version 26.0 (SPSS Inc., Chicago, IL, USA). All continuous variables were expressed as means ± standard deviation (SD). For prediction of the LB, multivariate analysis was conducted using generalized linear models (GLM); this approach allows for the adjustment of treatment correlations within individuals. The number of retrieved oocytes, inseminated oocytes, fertilized oocytes, mature oocytes, total motile sperm count (million), maternal age, paternal age, days of stimulation, estrogen on the day of the ovulation trigger, progesterone concentration on the day of the ovulation trigger, cause of infertility, and transfer preparation protocols were included as confounding variables in the GLM model to obtain adjusted estimation for the effect of ES, ICM, and TE grading on LB. The predictive power of blastocyst morphology was investigated by comparing LB in three scenarios: (i) independent association between each morphological characteristic (expansion status, inner cell mass, and trophectoderm) and live birth; (ii) comparison between blastocysts with inner cell mass grade A and trophectoderm grade B and blastocysts with inner cell mass grade B and trophectoderm grade A; and (iii) comparison between poor-quality day 5 and top-quality day 6 blastocysts.
To test the hypothesis that TE are stronger predictors of LB than ICM and ES, a receiver operating characteristic (ROC) curve analysis was also performed. All the reported p-values were corrected for confounders, as previously described, and a p-value < 0.05 was considered statistically significant.
3. Results
A total of 1546 first vitrified–warmed day 5/6 blastocyst transfer cycles were included in this study. Cycle baseline characteristics of FBTs are reported in Table 1. Overall, the LB rate is 26.1%, while on day 5, blastocyst transfer is 32.7%, and on day 6, blastocyst transfer is 19.5%.
Table 1.
Patient demographics and cycle parameters for untested blastocyst transfer by live birth outcome.
After adjusting for principal confounders, TE were independently associated with LB in overall and day 6 blastocyst transfers (Table 2).
Table 2.
Blastocyst characteristics (expansion status, inner cell mass, and trophectoderm according to modified Gardner’s criteria) and live birth.
When the TE grade dropped from A to C, the likelihood of achieving a LB was reduced from 37.9% to 18.3% [OR = 1.370, 95%IC (1.117–1.680), adjusted p = 0.002, overall blastocyst transfer] and from 40.6% to 14.3% [OR = 1.711, 95% CI (1.238–2.366), adjusted p = 0.001, day 6 blastocyst transfer] (Table 2).
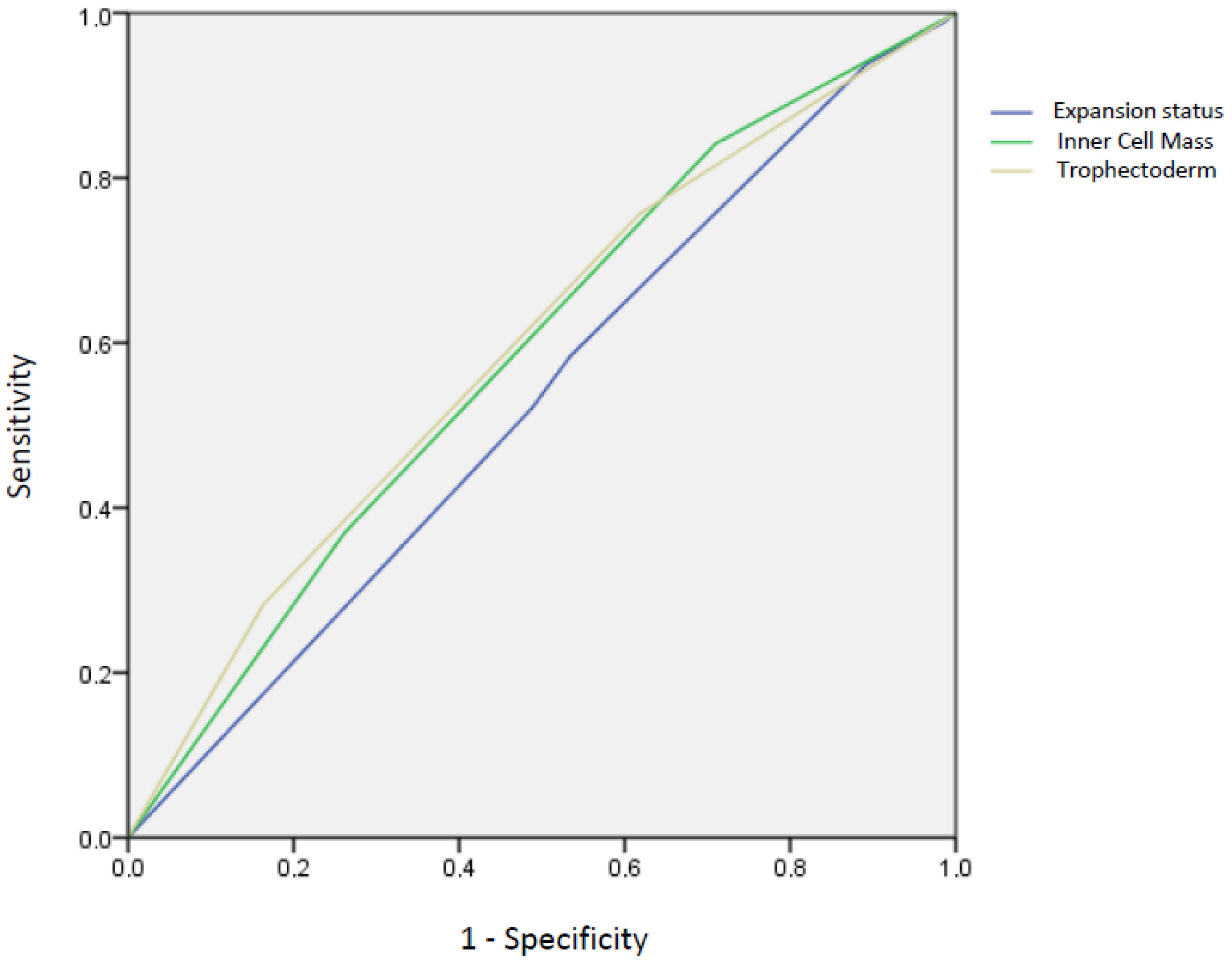
In line with multivariate logistic regression, the ROC curve analysis indicated that TE are more accurate than ICM and ES in predicting LB [TE: AUC = 0.595 (95% CI 0.563–0.627), ICM: AUC = 0.587 (95% CI 0.555–0.619), ES: AUC = 0.529 (95% CI 0.497–0.561), overall blastocyst transfer] (Figure 1).
Figure 1.
Live birth prediction according to ROC curves derived from expansion status [AUC = 0.529 (95% CI 0.497–0.561), p-value = 0.08], inner cell mass [AUC = 0.587 (95% CI 0.555–0.619), p-value < 0.001], and trophectoderm [AUC = 0.595 (95% CI 0.563–0.627), p-value < 0.001].
Blastocyst ICM grade A and TE grade B presented a significantly lower LB chance than blastocyst ICM grade B and TE grade A (AB); the probability of achieving an LB was increased from 32.1% (AB) to 40.9% (BA) [OR = 1.751, 95% CI (1.010–3.038), adjusted p = 0.046, overall blastocyst transfers] (Table 3). A trend, though not statistically different, was found in favor of day 6 top-quality blastocysts over day 5 poor-quality blastocysts [33.9% Vs 28.2%, OR= 1.147, 95% CI (0.453–2.898), p-value = 0.773], especially considering only AA as top-quality on day 6 [41.4% Vs 28.2%, OR = 1.270, 95% CI (0.507–3.184), p-value = 0.608] (Table 4).
Table 3.
Live birth of blastocyst ICM grade A, TE grade B (AB), and ICM grade B, TE grade A (BA).
Table 4.
Live birth of poor-quality day 5 and top-quality day 6 blastocysts.
4. Discussion
Current evidence has not conclusively defined the best predictor of LB among blastocyst features (ES, ICM, and TE). To provide new insights in this field, we performed a retrospective study including 1546 patients receiving the first-cryopreserved single day 5/6 blastocyst transfers (n = 772 for day 5 blastocysts; n = 774 for day 6 blastocyst). Our study aims to determine the best predictor of LB among ICM, TE, and ES. Several studies have investigated the correlation between blastocyst quality and clinical outcomes, reaching contradictory results [10,11,12,14,15,16,17,18]. After adjusting for principal confounders, we report that TE were independently associated with LB. In contrast to our results, previous studies have suggested ICM as a biomarker of viability [11,17]. Generally, ICM was the most significant characteristic affecting transfer outcomes, maybe because it fated to become fetal tissue, while TE developed into the placenta. On the other hand, according to our results, several studies showed that TE cells are a stronger predictor of clinical outcomes [10,14,16,18,26]. TE cells, responsible for forming the placenta, are essential for implanting into the endometrium and maintaining pregnancy. One study demonstrated that TE cells produce prostaglandins, which have a well-established role in facilitating embryo–endometrium interaction [27]. Additionally, a previous study found that prostaglandin H synthase is abundantly expressed in the TE, while only minimal background activity was detected in the ICM [28]. This highlights the potential importance of the TE, rather than the ICM, in mediating interactions with the endometrium at the implantation site. A previous study showed that TE quality is significantly related to ongoing pregnancy and miscarriage rates [18]. Taken together, these results may speculate that the implantation of TE into the endometrium is a critical step in sustaining pregnancy and obtaining a LB. In line with multivariate logistic regression, our ROC curve analysis demonstrated that TE are more accurate than ICM and ES in predicting LB.
Interestingly, Alfarawati et al. showed that the decline in TE quality (from A to C) corresponded to an increased incidence of aneuploidy [29]. Specifically, they found that the likelihood of aneuploidy is 2.5 times higher in embryos with a TE grade of C compared to those with a TE grade of A.
Moreover, we investigated the predictive potential of blastocysts with ICM grade A and TE grade B compared to those with ICM grade B and TE grade A, as well as the outcomes between poor-quality day 5 blastocysts and top-quality day 6 blastocysts. Our goal was to provide key insights to assist embryologists in selecting the optimal blastocyst for warming. Interestingly, the probability of achieving an LB was increased from 32.1% (AB) to 40.9% (BA) [OR = 1.751, 95% CI (1.010–3.038), adjusted p = 0.046]. Although blastocysts with ICM grade A and TE grade B (AB) and those with ICM grade B and TE grade A (BA) are both classified as top-quality blastocysts according to the Istanbul consensus [19], our data revealed a significant difference in live birth (LB) rates between these two qualities (AB vs. BA). This finding is crucial in selecting the most viable blastocyst for transfer. Moreover, these results reinforce the findings of previous studies which suggest that trophectoderm is the most reliable biomarker for predicting blastocyst viability [14,15,18].
A recent study demonstrated that top-quality day 6 blastocysts are preferred over poor-quality day 5 blastocysts when selecting blastocyst transfer [21]. Moreover, one study with a large sample size found no significant difference in pregnancy and perinatal outcomes between the delayed formation of high-quality expanded blastocysts on day 6 and those formed on day 5, regardless of their quality [20]. Our findings align with those of Shi and colleagues, showing a trend favoring top-quality day 6 blastocysts, albeit not statistically significant. However, the limited sample size in our study restricts the strength of this analysis. Therefore, further investigation is needed to fully evaluate the differences between poor-quality day 5 blastocysts and top-quality day 6 blastocysts. We are currently planning an extension of this study to address this gap.
One limitation of standard morphological assessment is its subjectivity, which can lead to intra- and interlaboratory variations. An interesting study showed that the morphological assessment of embryos can vary among different embryologists within the same center and also between different centers [30]. It is important to recognize the growing relevance of advanced non-invasive techniques such as time-lapse imaging and artificial intelligence (AI). These methods offer promising opportunities to enhance embryo selection by providing continuous monitoring and objective assessments that could complement traditional grading criteria. These technologies can reduce interoperator variability and improve reproducibility [31].
However, in our study, to minimize this potential bias, all operators assessing the blastocysts were compared for their consistency in grading the ICM, TE, and ES across a set of 50 randomly chosen blastocysts. This comparison resulted in high intraclass correlation coefficients (ICCs) for all blastocyst features (ES, ICM, and TE), indicating a high level of consistency.
Additionally, a recent manuscript introduced an innovative method for standardized TE assessment. This new approach makes objective blastocyst assessment feasible, allowing for standardization across operators and laboratories worldwide [32].
Our study assumes relevance in the context of clinical practice.
When selecting a blastocyst for warming, a day 5 blastocyst should be prioritized when the morphology is equal. Blastocyst selection should follow the classifications AA, BA, and AB. Additionally, if only poor-quality day 5 and top-quality day 6 blastocysts are available, our data have revealed a trend, although not statistically significant, favoring the use of top-quality day 6 blastocysts (AA, AB, BA) (33.9% vs. 28.2%, OR= 1.147, 95% CI (0.453–2.898), p-value = 0.773). This trend increases considering only day 6 AA (41.4% vs. 28.2%, OR = 1.270, 95% CI (0.507–3.184), p-value = 0.608). However, these data should be interpreted with caution due to the small sample size analyzed (n = 69 blastocysts).
Moreover, while our study supports TE quality as a stronger predictor of implantation and clinical success, it is important to discuss the clinical implications of selecting embryos with high-quality TE but poor-quality ICM, especially given that the ICM contributes directly to fetal tissue development.
Our findings, prioritizing TE quality over ICM quality, might understandably raise concerns about the potential risks of transferring blastocysts with lower ICM quality. However, recent studies have demonstrated that poor blastocyst quality does not necessarily increase the risk of adverse perinatal outcomes [33]. This suggests that selecting embryos based primarily on TE quality is clinically sound, even in cases where ICM quality is suboptimal. Therefore, prioritizing embryos with superior TE quality, despite lower ICM quality, is unlikely to compromise perinatal outcomes. In contrast, selecting an embryo with a high ICM but poor TE quality could reduce the chances of successful implantation and pregnancy establishment.
Taken together, these data support the idea that prioritizing TE quality is a reasonable approach, without significant risk associated with transferring embryos that may have lower ICM quality.
One limitation of this study is that we did not assess cumulative live births. Another limitation is the retrospective nature of this study. However, despite its retrospective nature, this study is strengthened by its analysis of a large number of first FBTs from the first ICSI freeze-all cycles. Furthermore, by focusing exclusively on FBTs, we eliminated any potential differences due to endometrial asynchrony, which could occur in fresh cycles.
5. Conclusions
In conclusion, our findings showed that TE cells are the strongest predictor of live birth in day 5/6 untested vitrified warmed blastocyst transfer. We observed a trend in favor of top-quality day 6 blastocysts over poor-quality day 5 blastocysts. Moreover, when comparing blastocysts at the same stage of development and ES, blastocyst BA should be prioritized over blastocyst AB. However, further randomized controlled trials (RCTs) are necessary to validate our results.
Author Contributions
All authors contributed to the conception of this manuscript. A.B. and S.d.G. designed the study, collected and analyzed the data, and drafted the manuscript. L.S.N., E.R. and L.D.S. were involved in drafting the manuscript. L.P. revised the manuscript. E.P. was responsible for the critical reading of the manuscript. All authors have read and agreed to the published version of the manuscript.
Funding
This research received no external funding.
Institutional Review Board Statement
This study was conducted in accordance with the Declaration of Helsinki and approved by the Institutional Review Board of San Raffaele Scientific Institute (protocol code BC-GINEOS, approval date: 7 February 2019).
Informed Consent Statement
Informed consent was obtained from all the subjects involved in this study.
Data Availability Statement
The data that support the findings of this study are available from the corresponding author upon reasonable request.
Conflicts of Interest
E.P. reports grants and personal fees from MSD, grants from Ferring, IBSA, TEVA, and Gedeon Richter, and grants and personal fees from Merck. The other authors declare no conflicts of interest.
References
- Land, J.A.; Evers, J.L.H. Risks and complications in assisted reproduction techniques: Report of an ESHRE consensus meeting. Hum. Reprod. 2003, 18, 455–457. [Google Scholar] [CrossRef] [PubMed]
- Roy, T.K.; Bradley, C.K.; Bowman, M.C.; McArthur, S.J. Single-embryo transfer of vitrified-warmed blastocysts yields equivalent live-birth rates and improved neonatal outcomes compared with fresh transfers. Fertil. Steril. 2014, 101, 1294–1301. [Google Scholar] [CrossRef] [PubMed]
- Liebermann, J. Vitrification: A simple and successful method for cryostorage of human blastocysts. Methods Mol. Biol. 2021, 2180, 501–515. [Google Scholar] [CrossRef]
- Kieslinger, D.C.; Vergouw, C.G.; Ramos, L.; Arends, B.; Curfs, M.H.J.M.; Slappendel, E.; Kostelijk, E.H.; Pieters, M.H.E.C.; Consten, D.; Verhoeven, M.O.; et al. Clinical outcomes of uninterrupted embryo culture with or without time-lapse-based embryo selection versus interrupted standard culture (SelecTIMO): A three-armed, multicentre, double-blind, randomised controlled trial. Lancet 2023, 401, 1438–1446. [Google Scholar] [CrossRef] [PubMed]
- Illingworth, P.J.; Venetis, C.; Gardner, D.K.; Nelson, S.M.; Berntsen, J.; Larman, M.G.; Agresta, F.; Ahitan, S.; Ahlström, A.; Cattrall, F.; et al. Deep learning versus manual morphology-based embryo selection in IVF: A randomized, double-blind noninferiority trial. Nat. Med. 2024, 1–7. [Google Scholar] [CrossRef] [PubMed]
- Gardner, D.K.; Schoolcraft, W.B. Culture and transfer of human blastocysts. Curr. Opin. Obstet. Gynecol. 1999, 11, 307–311. [Google Scholar] [CrossRef]
- Balaban, B.; Urman, B.; Sertac, A.; Alatas, C.; Aksoy, S.; Mercan, R. Blastocyst quality affects the success of blastocyst-stage embryo transfer. Fertil. Steril. 2000, 74, 282–287. [Google Scholar] [CrossRef]
- Balaban, B.; Yakin, K.; Urman, B. Randomized comparison of two different blastocyst grading systems. Fertil. Steril. 2006, 85, 559–563. [Google Scholar] [CrossRef]
- Gardner, D.K.; Surrey, E.; Minjarez, D.; Leitz, A.; Stevens, J.; Schoolcraft, W.B. Single blastocyst transfer: A prospective randomized trial. Fertil. Steril. 2004, 81, 551–555. [Google Scholar] [CrossRef]
- Storr, A.; Bilir, E.; Cooke, S.; Garrett, D.; Venetis, C.A. Fine-tuning blastocyst selection based on morphology: A multicentre analysis of 2461 single blastocyst transfers. Reprod. Biomed. Online 2019, 39, 588–598. [Google Scholar] [CrossRef]
- Ai, J.; Jin, L.; Zheng, Y.; Yang, P.; Huang, B.; Dong, X. The Morphology of Inner Cell Mass Is the Strongest Predictor of Live Birth After a Frozen-Thawed Single Embryo Transfer. Front. Endocrinol. 2021, 12, 621221. [Google Scholar] [CrossRef]
- Du, Q.-Y.; Wang, E.-Y.; Huang, Y.; Guo, X.-Y.; Xiong, Y.-J.; Yu, Y.-P.; Yao, G.-D.; Shi, S.-L.; Sun, Y.-P. Blastocoele expansion degree predicts live birth after single blastocyst transfer for fresh and vitrified/warmed single blastocyst transfer cycles. Fertil. Steril. 2016, 105, 910–919.e1. [Google Scholar] [CrossRef]
- Ma, B.-X.; Yang, L.; Tian, Y.; Jin, L.; Huang, B. Cytoplasmic strings between ICM and mTE are a positive predictor of clinical pregnancy and live birth outcomes: A time-lapse study. Front. Med. 2022, 9, 934327. [Google Scholar] [CrossRef]
- Rienzi, L.; Cimadomo, D.; Delgado, A.; Minasi, M.G.; Fabozzi, G.; Gallego, R.D.; Stoppa, M.; Bellver, J.; Giancani, A.; Esbert, M.; et al. Time of morulation and trophectoderm quality are predictors of a live birth after euploid blastocyst transfer: A multicenter study. Fertil. Steril. 2019, 112, 1080–1093.e1. [Google Scholar] [CrossRef]
- Ahlström, A.; Westin, C.; Reismer, E.; Wikland, M.; Hardarson, T. Trophectoderm morphology: An important parameter for predicting live birth after single blastocyst transfer. Hum. Reprod. 2011, 26, 3289–3296. [Google Scholar] [CrossRef]
- Baatarsuren, M.; Sengebaljir, D.; Ganbaatar, C.; Tserendorj, T.; Erdenekhuyag, B.; Baljinnyam, L.; Radnaa, E.; Dorjpurev, A.; Ganbat, G.; Boris, T.; et al. The trophectoderm could be better predictable parameter than inner cellular mass (ICM) for live birth rate and gender imbalance. Reprod. Biol. 2022, 22, 100596. [Google Scholar] [CrossRef]
- Sivanantham, S.; Saravanan, M.; Sharma, N.; Shrinivasan, J.; Raja, R. Morphology of inner cell mass: A better predictive biomarker of blastocyst viability. PeerJ 2022, 10, e13935. [Google Scholar] [CrossRef]
- Honnma, H.; Baba, T.; Sasaki, M.; Hashiba, Y.; Ohno, H.; Fukunaga, T.; Endo, T.; Saito, T.; Asada, Y. Trophectoderm morphology significantly affects the rates of ongoing pregnancy and miscarriage in frozen-thawed single-blastocyst transfer cycle in vitro fertilization. Fertil. Steril. 2012, 98, 361–367. [Google Scholar] [CrossRef]
- Alpha Scientists in Reproductive Medicine and ESHRE Special Interest Group of Embryology. The Istanbul consensus workshop on embryo assessment: Proceedings of an expert meeting. Hum. Reprod. 2011, 26, 1270–1283. [Google Scholar] [CrossRef]
- Hu, J.; Zheng, J.; Li, J.; Shi, H.; Wang, H.; Zheng, B.; Liang, K.; Rong, C.; Zhou, L. D6 high-quality expanded blastocysts and D5 expanded blastocysts have similar pregnancy and perinatal outcomes following single frozen blastocyst transfer. Front. Endocrinol. 2023, 14, 1216910. [Google Scholar] [CrossRef]
- Shi, W.; Zhou, H.; Chen, L.; Xue, X.; Shi, J. Live birth rate following frozen-thawed blastocyst transfer is higher in high-grade day 6 blastocysts than in low-grade day 5 blastocysts. Front. Endocrinol. 2022, 13, 1066757. [Google Scholar] [CrossRef]
- Bartolacci, A.; Pagliardini, L.; Makieva, S.; Salonia, A.; Papaleo, E.; Viganò, P. Abnormal sperm concentration and motility as well as advanced paternal age compromise early embryonic development but not pregnancy outcomes: A retrospective study of 1266 ICSI cycles. J. Assist. Reprod. Genet. 2018, 35, 1897–1903. [Google Scholar] [CrossRef]
- Veeck, L.L.; Zaninovic, N. An Atlas of Human Blastocysts; CRC Press: Boca Raton, FL, USA, 2003; ISBN 9781135403508. [Google Scholar]
- Practice Committee of the American Society for Reproductive Medicine; Practice Committee of the Society for Assisted Reproductive Technology. Blastocyst culture and transfer in clinically assisted reproduction: A committee opinion. Fertil. Steril. 2018, 110, 1246–1252. [Google Scholar] [CrossRef]
- D’Angelo, A.; Panayotidis, C.; Alteri, A.; Mcheik, S.; Veleva, Z. Evidence and consensus on technical aspects of embryo transfer. Hum. Reprod. Open 2022, 2022, hoac038. [Google Scholar] [CrossRef]
- Bakkensen, J.B.; Brady, P.; Carusi, D.; Romanski, P.; Thomas, A.M.; Racowsky, C. Association between blastocyst morphology and pregnancy and perinatal outcomes following fresh and cryopreserved embryo transfer. J. Assist. Reprod. Genet. 2019, 36, 2315–2324. [Google Scholar] [CrossRef]
- van der Weiden, R.M.; Helmerhorst, F.M.; Keirse, M.J. Influence of prostaglandins and platelet activating factor on implantation. Hum. Reprod. 1991, 6, 436–442. [Google Scholar] [CrossRef]
- van der Weiden, R.M.; Wisse, L.J.; Helmerhorst, F.M.; Keirse, M.J.; Poelmann, R.E. Immunohistochemical and ultrastructural localization of prostaglandin H synthase in the preimplantation mouse embryo. J. Reprod. Fertil. 1996, 107, 161–166. [Google Scholar] [CrossRef][Green Version]
- Alfarawati, S.; Fragouli, E.; Colls, P.; Stevens, J.; Gutiérrez-Mateo, C.; Schoolcraft, W.B.; Katz-Jaffe, M.G.; Wells, D. The relationship between blastocyst morphology, chromosomal abnormality, and embryo gender. Fertil. Steril. 2011, 95, 520–524. [Google Scholar] [CrossRef]
- Cimadomo, D.; Sosa Fernandez, L.; Soscia, D.; Fabozzi, G.; Benini, F.; Cesana, A.; Dal Canto, M.B.; Maggiulli, R.; Muzzì, S.; Scarica, C.; et al. Inter-centre reliability in embryo grading across several IVF clinics is limited: Implications for embryo selection. Reprod. Biomed. Online 2022, 44, 39–48. [Google Scholar]
- Cimadomo, D.; Chiappetta, V.; Innocenti, F.; Saturno, G.; Taggi, M.; Marconetto, A.; Casciani, V.; Albricci, L.; Maggiulli, R.; Coticchio, G.; et al. Towards Automation in IVF: Pre-Clinical Validation of a Deep Learning-Based Embryo Grading System during PGT-A Cycles. J. Clin. Med. 2023, 12, 1806. [Google Scholar] [CrossRef]
- Pons, M.C.; Carrasco, B.; Rives, N.; Delgado, A.; Martínez-Moro, A.; Martínez-Granados, L.; Rodriguez, I.; Cairó, O.; Cuevas-Saiz, I.; SIG Embryology of ASEBIR. Predicting the likelihood of live birth: An objective and user-friendly blastocyst grading system. Reprod. Biomed. Online 2023, 47, 103243. [Google Scholar] [CrossRef] [PubMed]
- Zou, H.; Kemper, J.M.; Hammond, E.R.; Xu, F.; Liu, G.; Xue, L.; Bai, X.; Liao, H.; Xue, S.; Zhao, S.; et al. Blastocyst quality and reproductive and perinatal outcomes: A multinational multicentre observational study. Hum. Reprod. 2023, 38, 2391–2399. [Google Scholar] [CrossRef] [PubMed]
Disclaimer/Publisher’s Note: The statements, opinions and data contained in all publications are solely those of the individual author(s) and contributor(s) and not of MDPI and/or the editor(s). MDPI and/or the editor(s) disclaim responsibility for any injury to people or property resulting from any ideas, methods, instructions or products referred to in the content. |
© 2024 by the authors. Licensee MDPI, Basel, Switzerland. This article is an open access article distributed under the terms and conditions of the Creative Commons Attribution (CC BY) license (https://creativecommons.org/licenses/by/4.0/).
