Survival of Xanthomonas vasicola pv. vasculorum in Soil and in Corn Crop Residues under the Humid Subtropical Climate of Southern Brazil
Abstract
1. Introduction
2. Materials and Methods
2.1. Obtaining and Maintaining RL1 Xanthomonas vasicola pv. vasculorum Rifampicin-Resistant Mutant (RL1Rif+)
2.2. Survival of Xanthomonas vasicola pv. vasculorum in Soil as Free Cells under Controlled Conditions
2.3. Survival of Xanthomonas vasicola pv. vasculorum in Soil as Free Cells under Field Conditions
2.4. Survival of Xanthomonas vasicola pv. vasculorum in Infected Corn Crop Residues
2.5. Statistical Analysis
3. Results
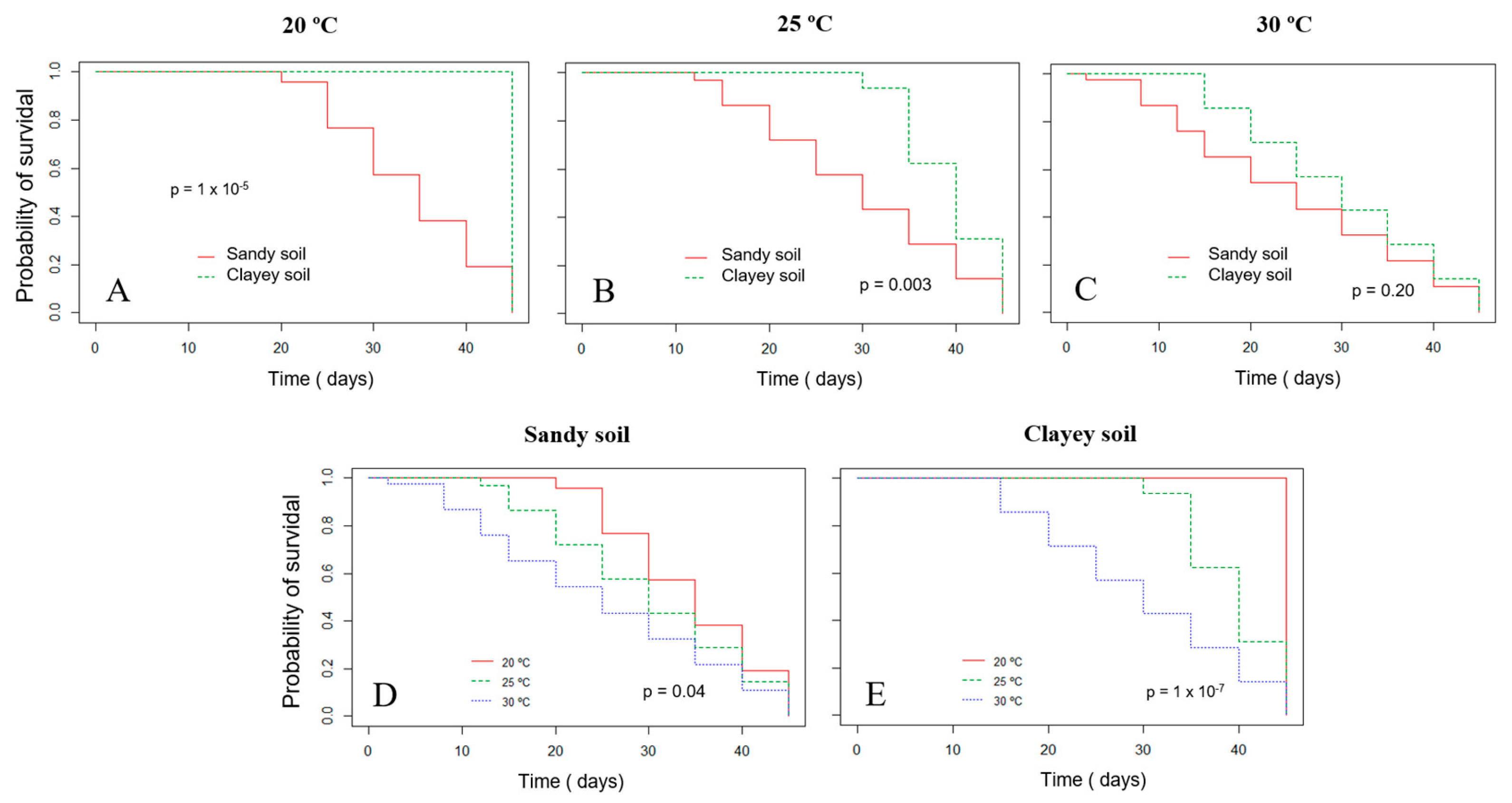
3.1. Survival of Xanthomonas vasicola pv. vasculorum in Soil under Controlled Conditions
3.2. Survival of Xanthomonas vasicola pv. vasculorum in Soil under Field Conditions
3.3. Survival of Xanthomonas vasicola pv. vasculorum in Infected Corn Crop Residues
4. Discussion
Author Contributions
Funding
Institutional Review Board Statement
Informed Consent Statement
Data Availability Statement
Acknowledgments
Conflicts of Interest
References
- Liu, Z.; Friskop, A.; Jacobs, J.M.; Dill-Macky, R. Bacterial leaf streak: A persistent and increasingly important disease problem for cereal crops. Phytopathology 2023, 113, 2020–2023. [Google Scholar] [CrossRef] [PubMed]
- Dyer, R.A. Botanical surveys and control of plant diseases. Farming in South Africa. Annu. Rep. Dep. Agric. S. Afr. 1949, 275, 119–121. [Google Scholar]
- Broders, K. Status of bacterial leaf streak of corn in the United States. In Proceedings of the Integrated Crop Management Conference, Ames, IA, USA, 29–30 November 2017; pp. 111–115. Available online: https://core.ac.uk/download/pdf/212818239.pdf (accessed on 30 March 2020).
- Damicone, J.; Cevallos, F.; Olson, J. First report of bacterial leaf streak of corn caused by Xanthomonas vasicola pv. vasculorum in Oklahoma. Plant Dis. 2018, 102, 437. [Google Scholar] [CrossRef]
- Jamann, T.M.; Plewa, D.; Mideros, S.X.; Bissonnette, S. First report of bacterial leaf streak of corn caused by Xanthomonas vasicola pv. vasculorum in Illinois. Plant Dis. 2019, 103, 1018. [Google Scholar] [CrossRef]
- Korus, K.A.; Lang, J.M.; Adesemoye, A.O.; Block, C.C.; Pal, N.; Leach, J.E.; Jackson-Ziems, T.A. First report of Xanthomonas vasicola causing bacterial leaf streak on corn in the United States. Plant Dis. 2017, 101, 1030. [Google Scholar] [CrossRef]
- Plazas, M.C.; de Rossi, R.L.; Brücher, E.; Guerra, F.A.; Vilaro, M.L.; Guerra, G.D.; Wu, G.; Ortiz-Castro, M.C.; Broders, K. First report of Xanthomonas vasicola pv. vasculorum causing bacteria leaf streak of maize (Zea mays) in Argentina. Plant Dis. 2018, 102, 1026. [Google Scholar] [CrossRef]
- Leite, R.P., Jr.; Custódio, A.A.P.; Madalosso, T.; Robaina, R.R.; Duin, I.M.; Sugahara, V.H. First report of the occurrence of bacterial leaf streak of corn caused by Xanthomonas vasicola pv. vasculorum in Brazil. Plant Dis. 2019, 103, 145. [Google Scholar] [CrossRef]
- Schuster, M.L.; Coyne, D.P. Survival mechanisms of phytopathogenic bacteria. Annu. Rev. Phytopathol. 1974, 12, 199–221. [Google Scholar] [CrossRef]
- Barak, J.D.; Koike, S.T.; Gilbertson, R.L. Role of crop debris and weeds in the epidemiology of bacterial leaf spot of lettuce in California. Plant Dis. 2001, 85, 169–178. [Google Scholar] [CrossRef]
- Gent, D.H.; Lang, J.M.; Bartolo, M.E.; Schwartz, H.F. Inoculum sources and survival of Xanthomonas axonopodis pv. allii in Colorado. Plant Dis. 2005, 89, 507–514. [Google Scholar] [CrossRef][Green Version]
- Vicente, J.G.; Holub, E.B. Xanthomonas campestris pv. campestris (cause of black rot of crucifers) in the genomic era is still a worldwide threat to brassica crops. Mol. Plant Pathol. 2013, 14, 2–18. [Google Scholar] [CrossRef] [PubMed]
- Ortiz-Castro, M.; Hartman, T.; Coutinho, T.; Lang, J.M.; Korus, K.; Leach, J.E.; Jackson-Ziems, T.; Broders, K. Current Understanding of the history, global spread, ecology, evolution, and management of the corn bacterial leaf streak pathogen, Xanthomonas vasicola pv. vasculorum. Phytopathology 2020, 110, 1124–1131. [Google Scholar] [CrossRef]
- Ryan, R.P.; Vorhölter, F.J.; Potnis, N.; Jones, J.B.; Van Sluys, M.A.; Bogdanove, A.J.; Dow, J.M. Pathogenomics of Xanthomonas: Understanding bacterium–plant interactions. Nat. Rev. Microbiol. 2011, 9, 344–355. [Google Scholar] [CrossRef]
- Gonçalves, R.M.; Soman, J.M.; Krause-Sakate, R.; Passos, J.R.S.; Silva, T.A.F., Jr.; Maringoni, A.C. Survival of Curtobacterium flaccumfaciens pv. flaccumfaciens in the soil under Brazilian conditions. Eur. J. Plant Pathol. 2018, 152, 213–223. [Google Scholar] [CrossRef]
- De Boer, S.H. Survival of phytopathogenic bacteria in soil. In Phytopathogenic Prokaryotes; Mount, M.S., Lacy, G.H., Eds.; Academic Press: New York, NY, USA, 1982; Volume 1, pp. 285–306. [Google Scholar]
- Lennon, J.T.; Aanderud, Z.T.; Lehmkuhl, B.K.; Schoolmaster, D.R., Jr. Mapping the niche space of soil microorganisms using taxonomy and traits. Ecology 2012, 93, 1867–1879. [Google Scholar] [CrossRef] [PubMed]
- Gazdik, F.; Magnus, S.; Roberts, S.J.; Baranski, R.; Cechova, J.; Pokluda, R.; Eichmeier, A.; Grzebelus, D.; Baranek, M. Persistence of Xanthomonas campestris pv. campestris in field soil in Central Europe. Microorganisms 2021, 9, 591. [Google Scholar] [CrossRef]
- Silva, T.A.F., Jr.; Negrão, D.R.; Itako, A.T.; Soman, J.M.; Maringoni, A.C. Survival of Curtobacterium flaccumfaciens pv. flaccumfaciens in soil and bean crop debris. J. Plant Pathol. 2012, 94, 331–337. Available online: https://www.jstor.org/stable/45156042 (accessed on 30 March 2020).
- Sulley, S.; Hind, S.R.; Babadoost, M. Survival of Xanthomonas cucurbitae in different crop rotations, plant debris, and weeds in pumpkin fields. Plant Health Prog. 2021, 22, 529–535. [Google Scholar] [CrossRef]
- Lang, J.M.; DuCharme, E.; Ibarra Caballero, J.; Luna, E.; Hartman, T.; Ortiz-Castro, M.; Korus, K.J.; Rascoe, J.; Jackson-Ziems, T.A.; Broders, K.; et al. Detection and characterization of Xanthomonas vasicola pv. vasculorum (Cobb 1894) comb. nov. causing bacterial leaf streak of corn in the United States. Phytopathology 2017, 107, 1312–1321. [Google Scholar] [CrossRef]
- Schaad, N.W.; Jones, J.B.; Chun, W. (Eds.) Laboratory Guide for Identification of Plant Pathogenic Bacteria, 3rd ed.; American Phytopathological Society Press: St. Paul, MN, USA, 2001; pp. 3–4. [Google Scholar]
- Nitsche, P.R.; Caramori, P.H.; Ricce, W.S.; Pinto, L.F.D. Atlas Climático do Estado do Paraná. 2019. Available online: https://www.idrparana.pr.gov.br/Pagina/Atlas-Climatico (accessed on 10 February 2021).
- Larach, J.O.I.; Cardoso, A.; De Carvalho, A.P.; Hochmüller, D.P.; Martins, J.S.; Rauen, M.D.J.; Fasolo, P.J.; Pötter, R.O. Levantamento de Reconhecimento dos Solos do Estado do Paraná (Survey of Soil Identification in the State of Paraná); Embrapa Solos: Recife, Brazil, 1984. [Google Scholar]
- Pavan, M.A.; Bloch, M.F.; Zempulski, H.C.; Miyazawa, M.; Zocoler, D.C. Manual de Análise Química do solo e Controle de Qualidade; (Circular, 76); Instituto Agronômico do Paraná: Londrina, Brazil, 1992; 38p. [Google Scholar]
- Empresa Brasileira de Pesquisa Agropecuária—EMBRAPA; Centro Nacional de Pesquisa de Solos. Manual de Métodos de Análise de Solo, 2nd ed.; EMBRAPA: Rio de Janeiro, Brazil, 1997; 212p. [Google Scholar]
- Shapiro, S.S.; Wilk, M.B. An analysis of variance test for normality (complete samples). Biometrika 1965, 52, 591–611. [Google Scholar] [CrossRef]
- Levene, H. Robust tests for equality of variances. In Contributions to Probability and Statistics: Essays in Honor of Harold Hotelling; Olkin, I., Ghurye, S.G., Hoeffding, W., Madow, W.G., Mann, H.B., Eds.; Stanford University Press: Palo Alto, CA, USA, 1960; pp. 278–292. [Google Scholar]
- R Core Team. The R Project for Statistical Computing (2020). Available online: https://www.r-project.org/ (accessed on 30 March 2020).
- Kaplan, E.L.; Meier, P. Nonparametric estimation from incomplete observations. J. Am. Stat. Assoc. 1958, 53, 457–481. [Google Scholar] [CrossRef]
- Savage, I.R. Contributions to the theory of rank order statistics the two-sample case. Ann. Math. Stat. 1956, 27, 590–615. [Google Scholar] [CrossRef]
- Cintas, N.A.; Koike, S.T.; Bunch, R.A.; Bull, C.T. Hold over inoculum of Pseudomonas syringae pv. alisalensis from broccoli raab causes disease in subsequent plantings. Plant Dis. 2006, 90, 1077–1084. [Google Scholar] [CrossRef] [PubMed][Green Version]
- Silva, T.A.F., Jr.; Silva, J.C.; Gonçalves, R.M.; Soman, J.M.; Passos, J.R.S.; Maringoni, A.C. Survival of Xanthomonas campestris pv. campestris associated with soil and cauliflower crop debris under Brazilian conditions. Eur. J. Plant Pathol. 2020, 156, 399–411. [Google Scholar] [CrossRef]
- Hattori, T. Microbial Life in the Soil: An Introduction; Marcel Dekker: New York, NY, USA, 1973. [Google Scholar]
- Marshall, K.C. Sorptive interactions between soil particles and microorganisms. Soil Biochem. 1971, 2, 409–445. [Google Scholar]
- Nascimento, D.M.; Oliveira, L.R.; Melo, L.L.; Ribeiro, M.R., Jr.; Silva, J.C.; Soman, J.M.; Sartori, M.M.P.; Silva, T.A.F., Jr.; Maringoni, A.C. Survival of Curtobacterium flaccumfaciens pv. flaccumfaciens from soybean and common bean in soil. Eur. J. Plant Pathol. 2022, 162, 971–979. [Google Scholar] [CrossRef]
- Goto, M. Fundamentals of Bacterial Plant Pathology; Academic Press: San Diego, CA, USA, 1990; 342p. [Google Scholar]
- Pelczar, M.J., Jr.; Reid, R.; Chan, E.C.S. Microbiologia; McGraw Hill Ltda: São Paulo, Brazil, 1980; 566p. [Google Scholar]
- Mwebaze, J.M.; Tusiime, G.; Teshemereirwe, W.K.; Kubiriba, J. The survival of Xanthomonas campestris pv. musacearum in soil and plant debris. Afr. Crop. Sci. J. 2006, 14, 111–120. [Google Scholar] [CrossRef]
- Alippi, A.M. Survival of Xanthomonas campestris pv. malvacearum in soil. Turrialba 1989, 39, 176–178. [Google Scholar]
- Graham, J.H.; Gottwald, T.R.; Civerolo, E.L.; Mcguire, R.G. Population-dynamics and survival of Xanthomonas campestris in soil in citrus nurseries in Maryland and Argentina. Plant Dis. 1989, 73, 423–427. [Google Scholar] [CrossRef]
- Fayette, J.; Jones, J.B.; Pernezny, K.; Roberts, P.D.; Raid, R. Survival of Xanthomonas campestris pv. vitians on lettuce in crop debris, irrigation water, and weeds in south Florida. Eur. J. Plant Pathol. 2018, 151, 341–353. [Google Scholar] [CrossRef]
- Torres, J.P.; Maringoni, A.C.; Silva, T.A.F., Jr. Survival of Xanthomonas axonopodis pv. phaseoli var. fuscans in common bean leaflets on soil. J. Plant Pathol. 2009, 91, 195–198. Available online: https://www.jstor.org/stable/41998592 (accessed on 30 March 2020).
- Zhao, Y.; Damicone, J.P.; Bender, C.L. Detection, survival, and sources of inoculum for bacterial diseases of leafy crucifers in Oklahoma. Plant Dis. 2002, 86, 883–888. [Google Scholar] [CrossRef] [PubMed]
- Fanou, A.; Wydra, K.; Zandjanakou, M.; Legall, P.; Rudolph, K. Studies on the survival mode of Xanthomonas campestris pv. manihotis and the dissemination of cassava bacterial blight through weeds, plant debris and an insect vector. In Proceedings of the 7th Symposium of the International Society of Tropical Root Crops Africa Branch (ISTRC-AB), Cotonou, Benin, 11–17 October 1998; Akoroda, M.O., Ngeve, J.M., Eds.; International Society For Tropical Root Crops—Africa Branch: Ibadan, Nigeria, 2001; pp. 569–575. [Google Scholar]
- Sikirou, R.; Wydra, K. Persistence of Xanthomonas axonopodis pv. vignicola in weeds and crop debris and identification of Sphenostylis stenocarpa as a potential new host. Eur. J. Plant Pathol. 2004, 110, 939–947. [Google Scholar] [CrossRef]
- Milus, E.A.; Mirlohi, A.F. Survival of Xanthomonas campestris pv. translucens between successive wheat crops in Arkansas. Plant Dis. 1995, 79, 263–265. [Google Scholar] [CrossRef]
- Jones, J.B.; Pohronezny, K.L.; Stall, R.E.; Jones, J.P. Survival of Xanthomonas campestris pv. vesicatoria in Florida on tomato crop residues, weeds, seeds and volunteer tomato plants. Phytopathology 1986, 76, 430–434. [Google Scholar] [CrossRef]
- Fatmi, M.; Schaad, N.W. Survival of Clavibacter michiganenesis subsp. michiganensis in infected tomato stems under natural field conditions in California, Ohio and Morocco. Plant Pathol. 2002, 51, 149–154. [Google Scholar] [CrossRef]
- Longhi, T.V.; Robaina, R.R.; Carvalho, D.U.; Oliveira, A.G.; Leite, R.P., Jr.; Balbi-Peña, M.I. New insights on alternative hosts of Xanthomonas vasicola pv. vasculorum, the causal agent of bacterial leaf streak of maize. Agronomy 2023, 13, 1073. [Google Scholar] [CrossRef]







| Soil Type | Collection Site | Characteristics | ||
|---|---|---|---|---|
| Clay | Silte | Sandy | ||
| (%) | (%) | (%) | ||
| Clayey | Londrina, PR | 76 | 14 | 10 |
| Sandy | Guairaçá, PR | 9 | 2 | 89 |
| Soil Type | pH | P | C | Al3+ | H+Al | Ca2+ | Mg2+ | K+ | SB | T | V | m |
|---|---|---|---|---|---|---|---|---|---|---|---|---|
| (CaCl2 0.01 M) | (mg dm−3) | (g dm−3) | (cmolcdm−3 of Soil) | (%) | ||||||||
| Clayey | 5.00 | 92.70 | 16.44 | 0.04 | 5.76 | 5.40 | 1.85 | 0.68 | 7.93 | 13.69 | 57.92 | 0.50 |
| Sandy | 4.50 | 7.20 | 4.71 | 0.21 | 2.73 | 0.55 | 0.24 | 0.07 | 0.86 | 3.59 | 23.95 | 19.62 |
| Day | Experimental Period | |||||||||||||||||||||||
|---|---|---|---|---|---|---|---|---|---|---|---|---|---|---|---|---|---|---|---|---|---|---|---|---|
| I | II | III | IV | |||||||||||||||||||||
| 18 November through 24 November 2020 | 8 February through 14 February 2021 | 24 February through 2 March 2021 | May 03 through May 09 2021 | |||||||||||||||||||||
| Tave (°C) | Tmax (°C) | Tmin (°C) | Rain (mm) | RH (%) | SM (%) | Tave (°C) | Tmax (°C) | Tmin (°C) | Rain (mm) | RH (%) | SM (%) | Tave (°C) | Tmax (°C) | Tmin (°C) | Rain (mm) | RH (%) | SM (%) | Tave (°C) | Tmax (°C) | Tmin (°C) | Rain (mm) | RH (%) | SM (%) | |
| 0 | 19.2 | 25 | 17.5 | 30.6 | 95 | 90 | 22.8 | 28.8 | 16.8 | 0 | 64 | 18 | 25.1 | 34.2 | 20.1 | 0.2 | 75 | 16 | 21.5 | 29 | 14.9 | 0 | 64 | 3 |
| 1 | 21.4 | 28.7 | 17.1 | 0.2 | 77 | 33 | 22.2 | 27.7 | 16.6 | 0 | 72 | 34 | 23.5 | 31.4 | 18.7 | 4.2 | 84 | 20 | 22 | 30.2 | 14.5 | 0 | 59 | 22 |
| 2 | 21.5 | 29.2 | 14.7 | 0 | 63 | 33 | 23.5 | 30.9 | 17.6 | 0 | 69 | 21 | 24.1 | 31.3 | 19.5 | 0 | 73 | 16 | 22.7 | 30.6 | 16.1 | 0 | 52 | 14 |
| 3 | 22.8 | 30.5 | 15.3 | 0 | 60 | 27 | 20.7 | 24.4 | 18.3 | 12.4 | 92 | 100 | 22.9 | 30.5 | 17.9 | 11 | 79 | 30 | 21.3 | 29.7 | 14.5 | 0 | 63 | 5 |
| 4 | 23.6 | 32.3 | 16.2 | 0 | 58 | 25 | 21.2 | 25.9 | 17.1 | 0.2 | 90 | 80 | 21.6 | 25.8 | 19.8 | 13.8 | 90 | 95 | 17.4 | 22 | 14.5 | 0 | 81 | 5 |
| 5 | 23.9 | 31.3 | 16.9 | 0 | 52 | 20 | 23.6 | 31.1 | 17.9 | 0 | 83 | 60 | 21.5 | 29.6 | 18.6 | 5.2 | 92 | 95 | 17.7 | 25.3 | 12 | 0 | 76 | 0 |
| 6 | 25.4 | 33.6 | 16.9 | 0 | 53 | 18 | 21.6 | 25.9 | 18 | 32.8 | 91 | 100 | 22.6 | 30.8 | 19.1 | 0.2 | 89 | 90 | 19.1 | 26.9 | 11.8 | 0 | 70 | 0 |
| Mean | 22.7 | 30.1 | 16.4 | 4.4 | 65.4 | 35.1 | 22.2 | 27.8 | 17.5 | 6.5 | 80.1 | 59.0 | 23.0 | 30.5 | 19.1 | 4.9 | 83.1 | 51.7 | 20.2 | 27.7 | 14.0 | 0.0 | 66.4 | 7.0 |
Disclaimer/Publisher’s Note: The statements, opinions and data contained in all publications are solely those of the individual author(s) and contributor(s) and not of MDPI and/or the editor(s). MDPI and/or the editor(s) disclaim responsibility for any injury to people or property resulting from any ideas, methods, instructions or products referred to in the content. |
© 2024 by the authors. Licensee MDPI, Basel, Switzerland. This article is an open access article distributed under the terms and conditions of the Creative Commons Attribution (CC BY) license (https://creativecommons.org/licenses/by/4.0/).
Share and Cite
Longhi, T.V.; Robaina, R.R.; Leite, R.P., Jr.; Balbi-Peña, M.I. Survival of Xanthomonas vasicola pv. vasculorum in Soil and in Corn Crop Residues under the Humid Subtropical Climate of Southern Brazil. Life 2024, 14, 825. https://doi.org/10.3390/life14070825
Longhi TV, Robaina RR, Leite RP Jr., Balbi-Peña MI. Survival of Xanthomonas vasicola pv. vasculorum in Soil and in Corn Crop Residues under the Humid Subtropical Climate of Southern Brazil. Life. 2024; 14(7):825. https://doi.org/10.3390/life14070825
Chicago/Turabian StyleLonghi, Talita Vigo, Renata Rodrigues Robaina, Rui Pereira Leite, Jr., and Maria Isabel Balbi-Peña. 2024. "Survival of Xanthomonas vasicola pv. vasculorum in Soil and in Corn Crop Residues under the Humid Subtropical Climate of Southern Brazil" Life 14, no. 7: 825. https://doi.org/10.3390/life14070825
APA StyleLonghi, T. V., Robaina, R. R., Leite, R. P., Jr., & Balbi-Peña, M. I. (2024). Survival of Xanthomonas vasicola pv. vasculorum in Soil and in Corn Crop Residues under the Humid Subtropical Climate of Southern Brazil. Life, 14(7), 825. https://doi.org/10.3390/life14070825

