Diagnostic Value of DAPK Methylation for Nasopharyngeal Carcinoma: Meta-Analysis
Abstract
:1. Introduction
2. Materials and Methods
2.1. Search Strategies and Inclusion/Exclusion Criteria
2.2. Data Extraction
2.3. Statistical Analysis
3. Results
3.1. Identification of Extracted Studies
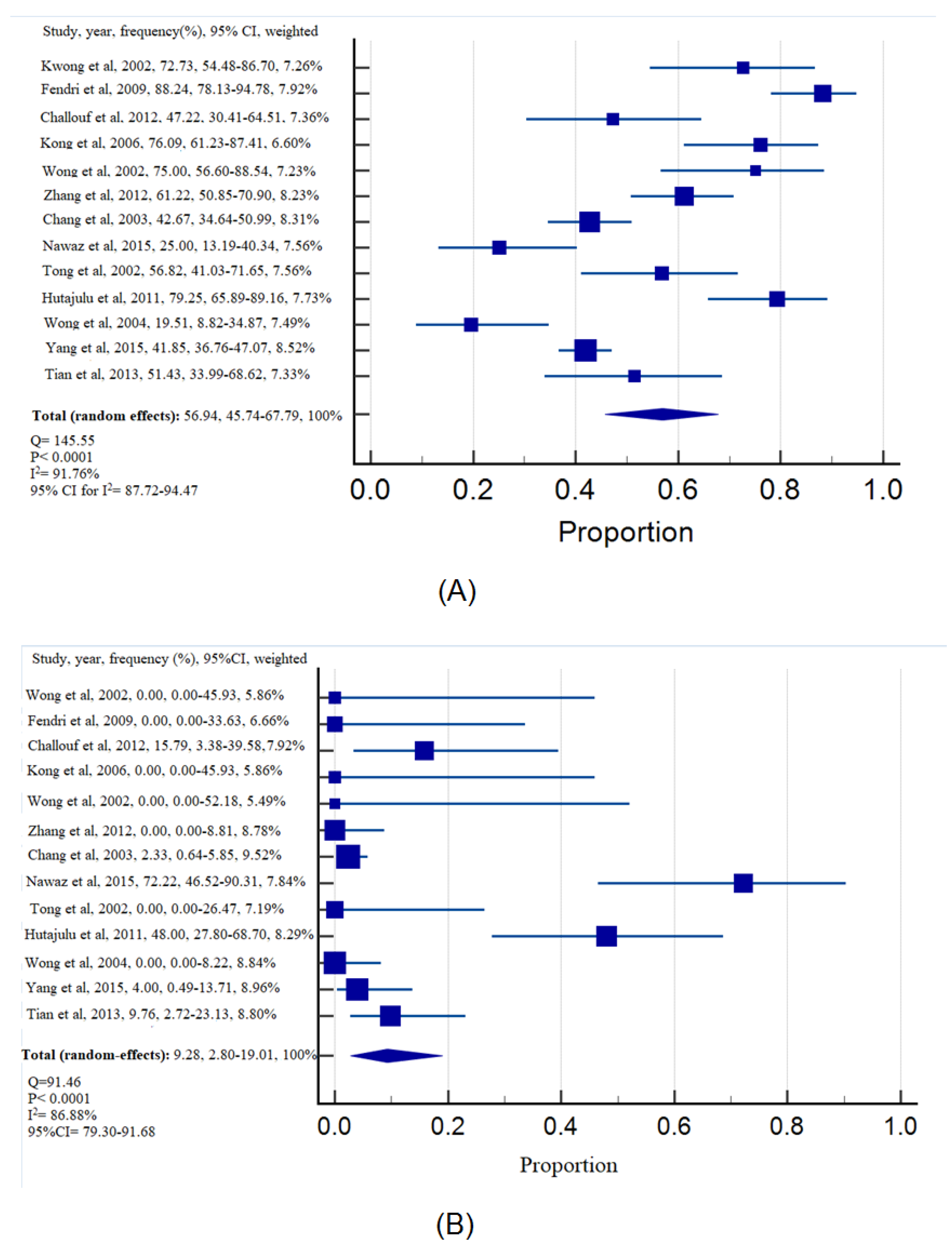
3.2. Association between Methylation of DAPK Promoter and NPC in NPC versus Non-Cancerous Samples
3.3. Diagnostic Value of DAPK Methylation
4. Discussion
5. Conclusions
Author Contributions
Funding
Institutional Review Board Statement
Informed Consent Statement
Data Availability Statement
Acknowledgments
Conflicts of Interest
References
- Chen, Y.P.; Chan, A.T.; Le, Q.T.; Blanchard, P.; Sun, Y.; Ma, J. Nasopharyngeal Carcinoma. Lancet 2019, 394, 64–80. [Google Scholar] [PubMed]
- Sung, H.; Ferlay, J.; Siegel, R.L.; Laversanne, M.; Soerjomataram, I.; Jemal, A.; Bray, F. Global Cancer Statistics 2020: GLOBOCAN Estimates of Incidence and Mortality Worldwide for 36 Cancers in 185 Countries. CA Cancer J. Clin. 2021, 71, 209. [Google Scholar] [CrossRef] [PubMed]
- Tan, W.-L.; Tan, E.-H.; Lim, D.W.-T.; Ng, Q.-S.; Tan, D.S.-W.; Jain, A.; Ang, M.-K. Advances in systemic treatment for nasopharyngeal carcinoma. Chin. Clin. Oncol. 2016, 5, 21. [Google Scholar] [CrossRef]
- Stan, D.J.; Niculet, E.; Lungu, M.; Onisor, C.; Rebegea, L.; Vesa, D.; Bezman, L.; Bujoreanu, F.C.; Sarbu, M.I.; Mihailov, R.; et al. Nasopharyngeal carcinoma: A new synthesis of literature data (Review). Exp. Ther. Med. 2021, 23, 136. [Google Scholar] [CrossRef]
- Moro, J.D.S.; Maroneze, M.C.; Ardenghi, T.; Barin, L.M.; Danesi, C.C. Oral and oropharyngeal cancer: Epidemiology and survival analysis. Einstein 2018, 16, eAO4248. [Google Scholar] [CrossRef] [PubMed]
- Tabuchi, K.; Nakayama, M.; Nishimura, B.; Hayashi, K.; Hara, A. Early Detection of Nasopharyngeal Carcinoma. Int. J. Otolaryngol. 2011, 2011, 638058. [Google Scholar] [CrossRef]
- Ahmed, N.; Abusalah, M.A.H.A.; Farzand, A.; Absar, M.; Yusof, N.Y.; Rabaan, A.A.; AlSaihati, H.; Alshengeti, A.; Alwarthan, S.; Alsuwailem, H.S.; et al. Updates on Epstein–Barr Virus (EBV)-Associated Nasopharyngeal Carcinoma: Emphasis on the Latent Gene Products of EBV. Medicina 2022, 59, 2. [Google Scholar] [CrossRef]
- Xu, Y.; Chen, L.; Chen, Y.; Ye, W.; Huang, X.; Ke, M.; Ye, G.; Lin, L.; Dong, K.; Lin, Z.; et al. Prediction of Potential Biomarkers in Early-Stage Nasopharyngeal Carcinoma Based on Platelet RNA Sequencing. Mol. Biotechnol. 2022, 65, 1096–1108. [Google Scholar] [CrossRef]
- Futscher, B.W. Epigenetic Changes During Cell Transformation. Adv. Exp. Med. Biol. 2012, 754, 179–194. [Google Scholar] [CrossRef]
- Wu, K.; Xu, X.-N.; Chen, Y.; Pu, X.-L.; Wang, B.-Y.; Tang, X.-D. RASSF1A Gene Methylation is Associated with Nasopharyngeal Carcinoma Risk in Chinese. Asian Pac. J. Cancer Prev. 2015, 16, 2283–2287. [Google Scholar] [CrossRef]
- Truong, K.P.; Lao, D.T.; Le, H.A.T. CDKN2A methylation—An Epigenetic Biomarker for Cervical Cancer Risk: A Meta-Analysis. Pharmacophore 2020, 11, 21–29. [Google Scholar]
- Lao, T.D.; Truong, P.K.; Thieu, H.H.; Le, T.A.H. The Prognosis Value of CDH-1 Methylation–The Epigenetic Biomarker in Nasopha-ryngeal Carcinoma: Systematic Review and Meta-Analysis. Asian J. Pharma. Res. Health Care 2020, 11, 68–74. [Google Scholar] [CrossRef]
- Lin, Y.; Hupp, T.R.; Stevens, C. Death-associated protein kinase (DAPK) and signal transduction: Additional roles beyond cell death. FEBS J. 2009, 277, 48–57. [Google Scholar] [CrossRef]
- Bialik, S.; Kimchi, A. The Death-Associated Protein Kinases: Structure, Function, and Beyond. Annu. Rev. Biochem. 2006, 75, 189–210. [Google Scholar] [CrossRef] [PubMed]
- Fendri, A.; Masmoudi, A.; Khabir, A.; Sellami-Boudawara, T.; Daoud, J.; Frikha, M.; Ghorbel, A.; Gargouri, A.; Mokdad-Gargouri, R. Inactivation of RASSF1A, RARbeta2 and DAP-kinase by promoter methylation cor-relates with lymph node metastasis in nasopharyngeal carcinoma. Cancer Biol. Ther. 2009, 8, 444–451. [Google Scholar] [CrossRef] [PubMed]
- Nawaz, I.; Moumad, K.; Martorelli, D.; Ennaji, M.M.; Zhou, X.; Zhang, Z.; Dolcetti, R.; Khyatti, M.; Ernberg, I.; Hu, L.-F. Detection of nasopharyngeal carcinoma in Morocco (North Africa) using a multiplex methylation-specific PCR biomarker assay. Clin. Epigenetics 2015, 7, 89. [Google Scholar] [CrossRef] [PubMed]
- Zhang, J.; Shen, Z.; Liu, H.; Liu, S.; Shu, W. Diagnostic potential of methylated DAPK in brushing samples of nasopharyngeal carcinoma. Cancer Manag. Res. 2018, 10, 2953–2964. [Google Scholar] [CrossRef]
- Lao, T.D.; Nguyen, T.N.; Le, T.A.H. Promoter Hypermethylation of Tumor Suppressor Genes Located on Short Arm of the Chromosome 3 as Potential Biomarker for the Diagnosis of Nasopharyngeal Carcinoma. Diagnostics 2021, 11, 1404. [Google Scholar] [CrossRef]
- Reis, R.S.D.; Santos, J.A.D.; Abreu, P.M.D.; Dettogni, R.S.; Santos, E.D.V.W.D.; Stur, E.; Agostini, L.P.; Anders, Q.S.; Alves, L.N.R.; Valle, I.B.D.; et al. Hypermethylation status of DAPK, MGMT and RUNX3 in HPV negative oral and oropharyngeal squamous cell carcinoma. Genet. Mol. Biol. 2020, 43, e20190334. [Google Scholar] [CrossRef]
- Park, G.-B.; Jeong, J.-Y.; Kim, D. Gliotoxin Enhances Autophagic Cell Death via the DAPK1-TAp63 Signaling Pathway in Paclitaxel-Resistant Ovarian Cancer Cells. Mar. Drugs 2019, 17, 412. [Google Scholar] [CrossRef]
- Tur, M.K.; Daramola, A.K.; Gattenlöhner, S.; Herling, M.; Chetty, S.; Barth, S. Restoration of DAP Kinase Tumor Suppressor Function: A Therapeutic Strategy to Selectively Induce Apoptosis in Cancer Cells Using Immunokinase Fusion Proteins. Biomedicines 2017, 5, 59. [Google Scholar] [PubMed]
- Higgins, J.P.T.; Thompson, S.G. Quantifying heterogeneity in a meta-analysis. Stat. Med. 2002, 21, 1539–1558. [Google Scholar] [CrossRef] [PubMed]
- Dersimonian, R. Meta-analysis in the design and monitoring of clinical trials. Stat. Med. 1996, 15, 1237–1248. [Google Scholar] [CrossRef]
- Higgins, J.P.; Thompson, S.G.; Deeks, J.J.; Altman, D.G. Measuring inconsistency in meta-analyses. BMJ 2003, 327, 557. [Google Scholar] [CrossRef]
- Begg, C.B.; Mazumdar, M. Operating characteristics of a rank correlation test for publication bias. Biometrics 1994, 50, 1088–1101. [Google Scholar] [CrossRef] [PubMed]
- Egger, M.; Smith, G.D.; Schneider, M.; Minder, C. Bias in meta-analysis detected by a simple, graphical test. BMJ 1997, 315, 629–634. [Google Scholar] [CrossRef] [PubMed]
- Kwong, J.; Lo, K.W.; To, K.F.; Teo, P.M.; Johnson, P.J.; Huang, D.P. Promoter hypermethylation of multiple genes in nasopharyngeal carcinoma. Clin. Cancer Res. 2022, 8, 131–137. [Google Scholar]
- Wong, T.S.; Chang, H.W.; Tang, K.C.; Wei, W.I.; Kwong, D.L.; Sham, J.S.; Yuen, A.P.; Kwong, Y.L. High frequency of promoter hypermethylation of the death-associated protein-kinase gene in nasopharyngeal carcinoma and its detection in the peripheral blood of patients. Clin. Cancer Res. 2002, 8, 433–437. [Google Scholar]
- Tong, J.H.; Tsang, R.K.; Lo, K.W.; Woo, J.K.; Kwong, J.; Chan, M.W.; Chang, A.R.; van Hasselt, C.A.; Huang, D.P.; To, K.F. Quantitative Epstein-Barr virus DNA analysis and detection of gene promoter hypermethylation in nasopharyngeal (NP) brushing samples from patients with NP carcinoma. Clin. Cancer Res. 2002, 8, 2612–2619. [Google Scholar]
- Chang, H.W.; Chan, A.; Kwong, D.L.; Wei, W.I.; Sham, J.S.; Yuen, A.P. Evaluation of hypermethylated tumor suppressor genes as tumor markers in mouth and throat rinsing fluid, nasopharyngeal swab and peripheral blood of nasopharygeal carcinoma patient. Int. J. Cancer 2003, 105, 851–855. [Google Scholar]
- Wong, T.S.; Kwong, D.L.; Sham, J.S.; Wei, W.I.; Kwong, Y.L.; Yuen, A.P. Quantitative plasma hypermethylated DNA markers of undifferentiated nasopharyngeal carcinoma. Clin. Cancer Res. 2004, 10, 2401–2406. [Google Scholar] [CrossRef] [PubMed]
- Kong, W.J.; Zhang, S.; Guo, C.K.; Wang, Y.J.; Chen, X.; Zhang, S.L.; Zhang, D.; Liu, Z.; Kong, W. Effect of methylation-associated silencing of the death-associated protein kinase gene on nasopharyngeal carcinoma. Anticancer Drugs 2006, 17, 251–259. [Google Scholar] [PubMed]
- Hutajulu, S.H.; Indrasari, S.R.; Indrawati, L.P.; Harijadi, A.; Duin, S.; Haryana, S.M.; Steenbergen, R.D.; Greijer, A.E.; Middeldorp, J.M. Epigenetic markers for early detection of nasopharyngeal carcinoma in a high risk population. Mol. Cancer 2011, 10, 48. [Google Scholar] [CrossRef] [PubMed]
- Challouf, S.; Ziadi, S.; Zaghdoudi, R.; Ksiaa, F.; Ben Gacem, R.; Trimeche, M. Patterns of aberrant DNA hypermethylation in nasopharyngeal carcinoma in Tunisian patients. Clin. Chim. Acta 2012, 413, 795–802. [Google Scholar] [CrossRef] [PubMed]
- Zhang, Z.; Sun, D.; Hutajulu, S.H.; Nawaz, I.; Nguyen Van, D.; Huang, G.; Haryana, S.M.; Middeldorp, J.M.; Ernberg, I.; Hu, L.F. Development of a non-invasive method, multiplex methylation specific PCR (MMSP), for early diagnosis of nasopharyngeal carcinoma. PLoS ONE 2012, 7, e45908. [Google Scholar]
- Tian, F.; Yip, S.P.; Kwong, D.L.; Lin, Z.; Yang, Z.; Wu, V.W. Promoter hypermethylation of tumor suppressor genes in serum as potential biomarker for the diagnosis of nasopharyngeal carcinoma. Cancer Epidemiol. 2013, 37, 708–713. [Google Scholar]
- Yang, X.; Dai, W.; Kwong, D.L.; Szeto, C.Y.; Wong, E.H.; Ng, W.T.; Lee, A.W.; Ngan, R.K.; Yau, C.C.; Tung, S.Y.; et al. Epigenetic markers for noninvasive early detection of nasopharyngeal carcinoma by methylation-sensitive high resolution melting. Int. J. Cancer 2015, 136, 127–135. [Google Scholar] [CrossRef]
- Wajed, S.A.; Laird, P.W.; DeMeester, T.R. DNA Methylation: An Alternative Pathway to Cancer. Ann. Surg. 2001, 234, 10–20. [Google Scholar] [CrossRef]
- Lakshminarasimhan, R.; Liang, G. The Role of DNA Methylation in Cancer. Adv. Exp. Med. Biol. 2016, 945, 151–172. [Google Scholar] [CrossRef]
- Chen, Q.W.; Zhu, X.Y.; Li, Y.Y.; Meng, Z.Q. Epigenetic regulation and cancer (Review). Oncol. Rep. 2013, 31, 523–532. [Google Scholar] [CrossRef]
- Huang, Z.; Bassil, C.F.; Murphy, S.K. Methylation-specific PCR. Methods Mol. Biol. 2013, 1049, 75–82. [Google Scholar] [PubMed]
- Agodi, A.; Barchitta, M.; Quattrocchi, A.; Maugeri, A.; Vinciguerra, M. DAPK1 Promoter Methylation and Cervical Cancer Risk: A Systematic Review and a Meta-Analysis. PLoS ONE 2015, 10, e0135078. [Google Scholar] [CrossRef]




| Authors | Year | Region | Method | Source of Sample | Case | Control | |||
|---|---|---|---|---|---|---|---|---|---|
| Case | Control | P | N | P | N | ||||
| Kwong et al. [27] | 2002 | Asia | MSP | Biopsy | Epithelium | 24 | 33 | 0 | 6 | 
| Wong et al. [28] | 2002 | Asia | MSP | Biopsy | Biopsies, epithelium | 24 | 32 | 0 | 5 | 
| Tong et al. [29] | 2002 | Asia | MSP | Biopsy | Brushing | 11 | 16 | 0 | 12 | 
| Tong et al. [29] | 2002 | Asia | MSP | Brushing | Brushing | 14 | 28 | - | - | 
| Chang et al. [30] | 2003 | Asia | MSP | Biopsy | Biopsies | 23 | 30 | 0 | 6 | 
| Chang et al. [30] | 2003 | Asia | MSP | Brushing | Brushing | 19 | 30 | 0 | 37 | 
| Chang et al. [30] | 2003 | Asia | MSP | Mouth and throat rising fluid | Mouth and throat rising fluid | 15 | 30 | 1 | 43 | 
| Chang et al. [30] | 2003 | Asia | MSP | Plasma | Plasma | 1 | 30 | 1 | 43 | 
| Chang et al. [30] | 2003 | Asia | MSP | Buffy coat | Buffy coat | 6 | 30 | 2 | 43 | 
| Wong et al. [31] | 2004 | Asia | RT-qPCR | Plasma | Plasma | 8 | 41 | 0 | 43 | 
| Kong et al. [32] | 2006 | Asia | MSP | Biopsy | Biopsies | 35 | 46 | 0 | 6 | 
| Fendri et al. [15] | 2009 | Africa | MSP | Biopsy | Epithelium | 60 | 68 | 0 | 9 | 
| Hutajulu et al. [33] | 2011 | Asia | MSP | Biopsy | Brushing | 42 | 53 | 12 | 25 | 
| Challouf et al. [34] | 2012 | Africa | MSP | Biopsy | Biopsies | 17 | 36 | 3 | 19 | 
| Zhang et al. [35] | 2012 | Asia | MMSP | Biopsy | Biopsies | 33 | 49 | 0 | 20 | 
| Zhang et al. [35] | 2012 | Asia | MMSP | Brushing | Brushing | 27 | 49 | 0 | 20 | 
| Tian et al. [36] | 2013 | Asia | MSP | Plasma | Plasma | 18 | 35 | 4 | 41 | 
| Nawaz et al. [16] | 2015 | Africa | MSP | Biopsy | Biopsies | 11 | 44 | 13 | 18 | 
| Yang et al. [37] | 2015 | Asia | MS-HRM | Plasma | Plasma | 60 | 220 | 2 | 50 | 
| Yang et al. [37] | 2015 | Asia | MS-HRM | Biopsy | Plasma | 28 | 52 | - | - | 
| Yang et al. [37] | 2015 | Asia | MS-HRM | Brushing | Plasma | 66 | 96 | - | - | 
| Group | Case | Control | Model, OR, 95%CI | Heterogeneity | |||
|---|---|---|---|---|---|---|---|
| P | N | P | N | Random effects | I2(%) | p | |
| Ethnicity | |||||||
| Asia | 454 | 900 | 22 | 400 | 16.90, 8.50–33.60 | 30.42% | 0.1656 | 
| Africa | 88 | 148 | 16 | 46 | 3.57, 0.10–126.16 | 92.66% | <0.0001 | 
| Source of sample | |||||||
| Biopsies | 227 | 338 | 16 | 89 | 15.32, 1.86–125.93 | 85.57% | <0.0001 | 
| Others | 234 | 589 | 10 | 332 | 16.99, 8.91–32.40 | 0.00% | 0.8971 | 
| Test method | |||||||
| MSP | 320 | 541 | 36 | 313 | 10.35, 2.71–39.53 | 84.43% | <0.0001 | 
| Others | 222 | 507 | 2 | 133 | 25.31, 7.88–81.25 | 0.00% | 0.4492 | 
| Disclaimer/Publisher’s Note: The statements, opinions and data contained in all publications are solely those of the individual author(s) and contributor(s) and not of MDPI and/or the editor(s). MDPI and/or the editor(s) disclaim responsibility for any injury to people or property resulting from any ideas, methods, instructions or products referred to in the content. | 
© 2023 by the authors. Licensee MDPI, Basel, Switzerland. This article is an open access article distributed under the terms and conditions of the Creative Commons Attribution (CC BY) license (https://creativecommons.org/licenses/by/4.0/).
Share and Cite
Lao, T.D.; Truong, P.K.; Le, T.A.H. Diagnostic Value of DAPK Methylation for Nasopharyngeal Carcinoma: Meta-Analysis. Diagnostics 2023, 13, 2926. https://doi.org/10.3390/diagnostics13182926
Lao TD, Truong PK, Le TAH. Diagnostic Value of DAPK Methylation for Nasopharyngeal Carcinoma: Meta-Analysis. Diagnostics. 2023; 13(18):2926. https://doi.org/10.3390/diagnostics13182926
Chicago/Turabian StyleLao, Thuan Duc, Phuong Kim Truong, and Thuy Ai Huyen Le. 2023. "Diagnostic Value of DAPK Methylation for Nasopharyngeal Carcinoma: Meta-Analysis" Diagnostics 13, no. 18: 2926. https://doi.org/10.3390/diagnostics13182926
APA StyleLao, T. D., Truong, P. K., & Le, T. A. H. (2023). Diagnostic Value of DAPK Methylation for Nasopharyngeal Carcinoma: Meta-Analysis. Diagnostics, 13(18), 2926. https://doi.org/10.3390/diagnostics13182926
 
        

 
       