A Deep Learning Radiomics Nomogram to Predict Response to Neoadjuvant Chemotherapy for Locally Advanced Cervical Cancer: A Two-Center Study
Abstract
1. Introduction
2. Materials and Methods
2.1. Patients
2.2. Assessment of the NACT Response
2.3. MRI Acquisition
2.4. Image Segmentation and Processing
2.5. Feature Extraction
2.6. Feature Selection and Radiomics Signature Construction
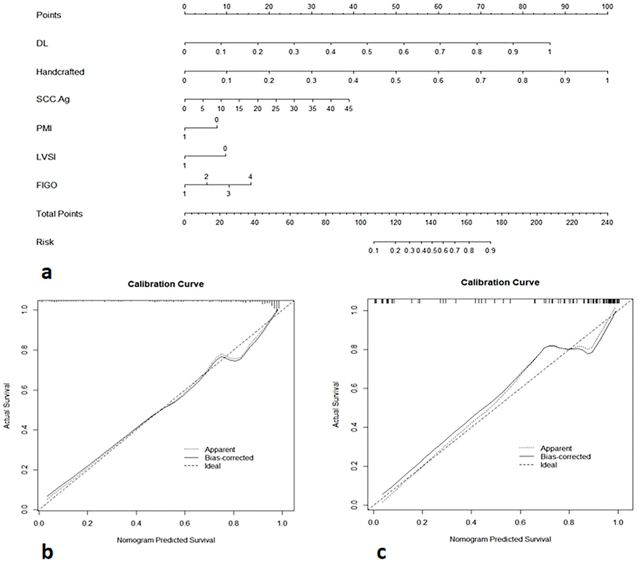
2.7. Clinical Model and DLRN Development and Validation
2.8. Statistical Analysis
3. Results
3.1. Patient Characteristics
3.2. Feature Selection and Radiomics Signature Development
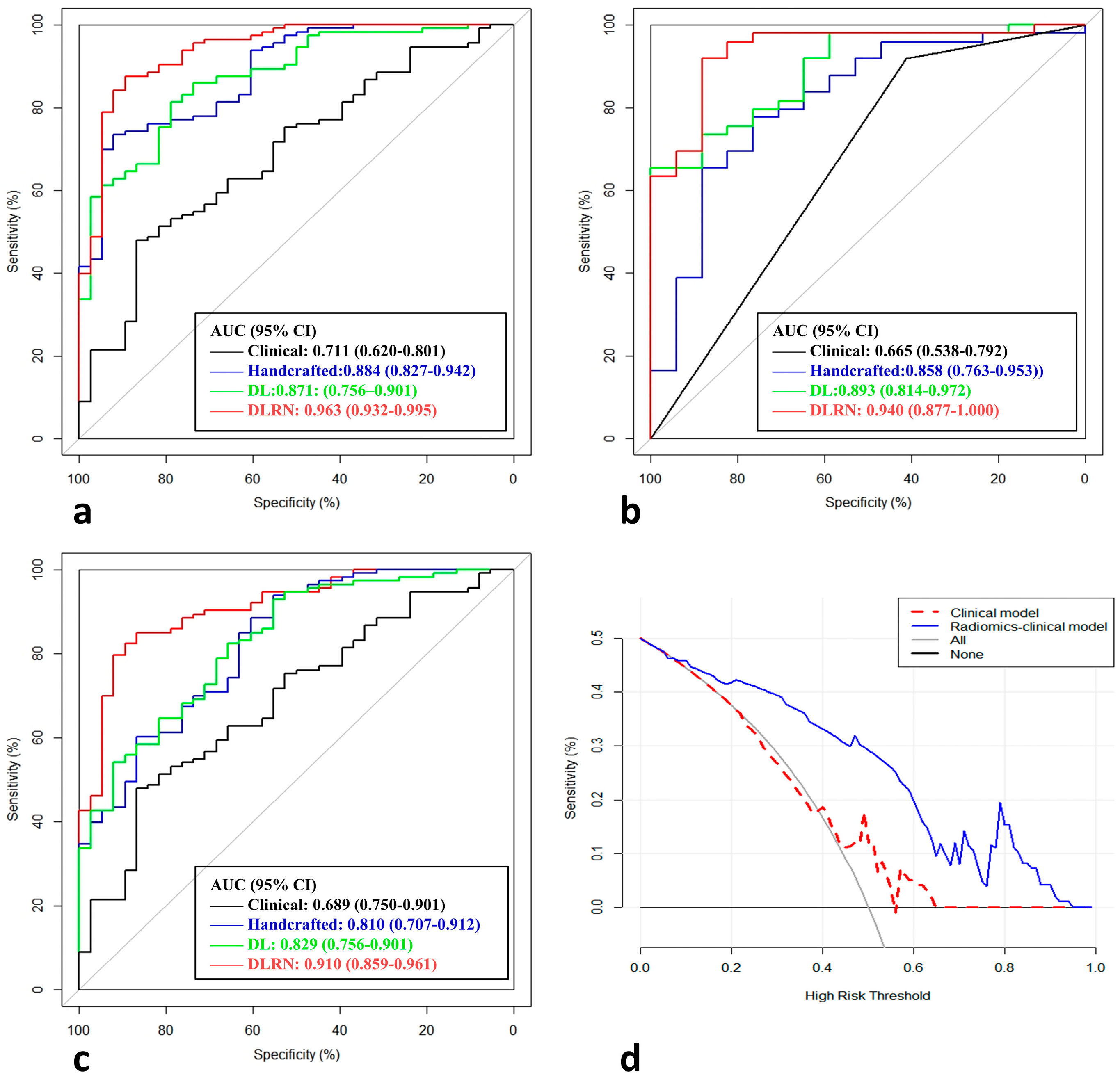
3.3. Performance of Handcrafted Radiomics Signatures
3.4. Performance of the DL-Based Radiomics Signatures
3.5. Performance of the Clinical Model
3.6. Performance of the DLRN and Model Comparison
4. Discussion
5. Conclusions
Supplementary Materials
Author Contributions
Funding
Institutional Review Board Statement
Informed Consent Statement
Data Availability Statement
Acknowledgments
Conflicts of Interest
References
- Cohen, P.A.; Jhingran, A.; Oaknin, A.; Denny, L. Cervical cancer. Lancet 2019, 393, 169–182. [Google Scholar] [CrossRef]
- Sung, H.; Ferlay, J.; Siegel, R.L.; Laversanne, M.; Soerjomataram, I.; Jemal, A.; Bray, F. Global Cancer Statistics 2020: GLOBOCAN Estimates of Incidence and Mortality Worldwide for 36 Cancers in 185 Countries. CA Cancer J. Clin. 2021, 71, 209–249. [Google Scholar] [CrossRef]
- Bhatla, N.; Aoki, D.; Sharma, D.N.; Sankaranarayanan, R. Cancer of the cervix uteri. Int. J. Gynaecol. Obstet. 2018, 143, 22–36. [Google Scholar] [CrossRef] [PubMed]
- Elit, L.; Fyles, A.W.; Devries, M.C.; Oliver, T.K.; Fung-Kee-Fung, M. Follow-up for women after treatment for cervical cancer: A systematic review. Gynecol. Oncol. 2009, 114, 528–535. [Google Scholar] [CrossRef] [PubMed]
- Ye, Q.; Yuan, H.-X.; Chen, H.-L. Responsiveness of neoadjuvant chemotherapy before surgery predicts favorable prognosis for cervical cancer patients: A meta-analysis. J. Cancer Res. Clin. Oncol. 2013, 139, 1887–1898. [Google Scholar] [CrossRef] [PubMed]
- Kim, H.S.; Sardi, J.E.; Katsumata, N.; Ryu, H.S.; Nam, J.H.; Chung, H.H.; Park, N.H.; Song, Y.S.; Behtash, N.; Kamura, T.; et al. Efficacy of neoadjuvant chemotherapy in patients with FIGO stage IB1 to IIA cervical cancer: An international collaborative meta-analysis. Eur. J. Surg. Oncol. (EJSO) 2013, 39, 115–124. [Google Scholar] [CrossRef]
- Jayne, T. Neoadjuvant chemotherapy for locally advanced cervical cancer: A systematic review and meta-analysis of individual patient data from 21 randomised trials. Eur. J. Cancer 2003, 39, 2470–2486. [Google Scholar]
- Rydzewska, L.; Tierney, J.; Vale, C.L.; Symonds, P.R. Neoadjuvant chemotherapy plus surgery versus surgery for cervical cancer. Cochrane Database Syst. Rev. 2012, 12, CD007406. [Google Scholar] [CrossRef] [PubMed]
- Sardi, J.E.; Giaroli, A.; Sananes, C.; Ferreira, M.; Soderini, A.; Bermudez, A.; Snaidas, L.; Vighi, S.; Gomez Rueda, N.; Di Paola, G. Long-Term Follow-up of the First Randomized Trial Using Neoadjuvant Chemotherapy in Stage Ib Squamous Carcinoma of the Cervix: The Final Results. Gynecol. Oncol. 1997, 67, 61–69. [Google Scholar] [CrossRef]
- Benedetti-Panici, P.; Greggi, S.; Scambia, G.; Amoroso, M.; Salerno, M.; Maneschi, F.; Cutillo, G.; Paratore, M.; Scorpiglione, N.; Mancuso, S. Long-term survival following neoadjuvant chemotherapy and radical surgery in locally advanced cervical cancer. Eur. J. Cancer 1998, 34, 341–346. [Google Scholar] [CrossRef]
- Tanderup, K.; Fokdal, L.U.; Sturdza, A.; Haie-Meder, C.; Mazeron, R.; van Limbergen, E.; Jürgenliemk-Schulz, I.; Petric, P.; Hoskin, P.; Dörr, W.; et al. Effect of tumor dose, volume and overall treatment time on local control after radiochemotherapy including MRI guided brachytherapy of locally advanced cervical cancer. Radiother. Oncol. 2016, 120, 441–446. [Google Scholar] [CrossRef] [PubMed]
- Lambin, P.; Leijenaar, R.T.H.; Deist, T.M.; Peerlings, J.; de Jong, E.E.C.; van Timmeren, J.; Sanduleanu, S.; Larue, R.T.H.M.; Even, A.J.G.; Jochems, A.; et al. Radiomics: The bridge between medical imaging and personalized medicine. Nat. Rev. Clin. Oncol. 2017, 14, 749–762. [Google Scholar] [CrossRef] [PubMed]
- Gillies, R.J.; Kinahan, P.E.; Hricak, H. Radiomics: Images Are More than Pictures, They Are Data. Radiology 2016, 278, 563–577. [Google Scholar] [CrossRef]
- Sun, C.; Tian, X.; Liu, Z.; Li, W.; Li, P.; Chen, J.; Zhang, W.; Fang, Z.; Du, P.; Duan, H.; et al. Radiomic analysis for pretreatment prediction of response to neoadjuvant chemotherapy in locally advanced cervical cancer: A multicentre study. Ebiomedicine 2019, 46, 160–169. [Google Scholar] [CrossRef] [PubMed]
- Tian, X.; Sun, C.; Liu, Z.; Li, W.; Duan, H.; Wang, L.; Fan, H.; Li, M.; Li, P.; Wang, L.; et al. Prediction of Response to Preoperative Neoadjuvant Chemotherapy in Locally Advanced Cervical Cancer Using Multicenter CT-Based Radiomic Analysis. Front. Oncol. 2020, 10, 77. [Google Scholar] [CrossRef]
- Lao, J.; Chen, Y.; Li, Z.-C.; Li, Q.; Zhang, J.; Liu, J.; Zhai, G. A Deep Learning-Based Radiomics Model for Prediction of Survival in Glioblastoma Multiforme. Sci. Rep. 2017, 7, 1–8. [Google Scholar] [CrossRef] [PubMed]
- Wu, G.; Chen, Y.; Wang, Y.; Yu, J.; Lv, X.; Ju, X.; Shi, Z.; Chen, L.; Chen, Z. Sparse representation-based radiomics for the diagnosis of brain tumors. IEEE.Trans. Med. Imaging 2018, 37, 893–905. [Google Scholar] [CrossRef]
- Simonyan, K.; Zisserman, A. Very deep convolutional networks for large-scale image recognition. Computer vision and pattern recognition (cs.CV). arXiv 2014, arXiv:1409.1556v6. [Google Scholar]
- Huang, G.; Liu, Z.; Van Der Maaten, L.; Weinberger, K.Q. Densely Connected Convolutional Networks. In Proceedings of the 2017 IEEE Conference on Computer Vision and Pattern Recognition (CVPR), Honolulu, HI, USA, 21–26 July 2017. [Google Scholar]
- Tan, M.; Q, V.-L. EfficientNet: Rethinking model scaling for convolutional neural networks. International Conference on Machine Learning. arXiv 2019, arXiv:1905.11946v5. [Google Scholar]
- Dong, D.; Fang, M.-J.; Tang, L.; Shan, X.-H.; Gao, J.-B.; Giganti, F.; Wang, R.-P.; Chen, X.; Wang, X.-X.; Palumbo, D.; et al. Deep learning radiomic nomogram can predict the number of lymph node metastasis in locally advanced gastric cancer: An international multicenter study. Ann. Oncol. 2020, 31, 912–920. [Google Scholar] [CrossRef]
- Zhang, L.; Dong, D.; Zhang, W.; Hao, X.; Fang, M.; Wang, S.; Li, W.; Liu, Z.; Wang, R.; Zhou, J.; et al. A deep learning risk prediction model for overall survival in patients with gastric cancer: A multicenter study. Radiother. Oncol. 2020, 150, 73–80. [Google Scholar] [CrossRef]
- Coppola, F.; Faggioni, L.; Gabelloni, M.; De Vietro, F.; Mendola, V.; Cattabriga, A.; Cocozza, M.A.; Vara, G.; Piccinino, A.; Monaco, S.L.; et al. Human, all too human? an all-around appraisal of the "artificial intelligence revolution" in medical imaging. Front. Psychol. 2021, 28, 710982. [Google Scholar] [CrossRef] [PubMed]
- Shi, J.; Cui, L.; Wang, H.; Dong, Y.; Yu, T.; Yang, H.; Wang, X.; Liu, G.; Jiang, W.; Luo, Y.; et al. MRI-based intratumoral and peritumoral radiomics on prediction of lymph-vascular space invasion in cervical cancer: A multi-center study. Biomed. Signal Process. Control. 2021, 72, 103373. [Google Scholar] [CrossRef]
- Xuan, R.; Li, T.; Wang, Y.; Xu, J.; Jin, W. Prenatal prediction and typing of placental invasion using MRI deep and radiomic features. Biomed. Eng. Online 2021, 20, 1–18. [Google Scholar] [CrossRef] [PubMed]
- Cui, Y.; Zhang, J.; Li, Z.; Wei, K.; Lei, Y.; Ren, J.; Wu, L.; Shi, Z.; Meng, X.; Yang, X.; et al. A CT-based deep learning radiomics nomogram for predicting the response to neoadjuvant chemotherapy in patients with locally advanced gastric cancer: A multicenter cohort study. Eclinicalmedicine 2022, 46. [Google Scholar] [CrossRef]
- Hua, W.; Xiao, T.; Jiang, X.; Liu, Z.; Wang, M.; Zheng, H.; Wang, S. Lymph-vascular space invasion prediction in cervical cancer: Exploring radiomics and deep learning multilevel features of tumor and peritumor tissue on multiparametric MRI. Biomed. Signal Process. Control. 2020, 58, 101869. [Google Scholar] [CrossRef]
- Jiang, X.; Li, J.; Kan, Y.; Yu, T.; Chang, S.; Sha, X.; Zheng, H.; Luo, Y.; Wang, S. MRI Based Radiomics Approach With Deep Learning for Prediction of Vessel Invasion in Early-Stage Cervical Cancer. IEEE/ACM Trans. Comput. Biol. Bioinform. 2020, 18, 995–1002. [Google Scholar] [CrossRef]
- Ou, Z.; Zhao, D.; Li, B.; Wang, Y.; Liu, S.; Zhang, Y. A Preoperative Nomogram for Predicting Chemoresistance to Neoadjuvant Chemotherapy in Patients with Locally Advanced Cervical Squamous Carcinoma Treated with Radical Hysterectomy. Cancer Res. Treat. 2021, 53, 233–242. [Google Scholar] [CrossRef]
- Gadducci, A.; Sartori, E.; Maggino, T.; Zola, P.; Cosio, S.; Zizioli, V.; Lapresa, M.; Piovano, E.; Landoni, F. Pathological response on surgical samples is an independent prognostic variable for patients with Stage Ib2-IIb cervical cancer treated with neoadjuvant chemotherapy and radical hysterectomy: An Italian multicenterretrospective study (CTFStudy). Gynecol. Oncol. 2013, 131, 640–644. [Google Scholar] [CrossRef]
- Eisenhauer, E.A.; Therasse, P.; Bogaerts, J.; Schwartz, L.H.; Sargent, D.; Ford, R.; Dancey, J.; Arbuck, S.; Gwyther, S.; Mooney, M.; et al. New response evaluation criteria in solid tumours: Revised RECIST guideline (version 1.1). Eur. J. Cancer. 2009, 45, 228–247. [Google Scholar] [CrossRef]
- Collewet, G.; Strzelecki, M.; Mariette, F. Influence of MRI acquisition protocols and image intensity normalization methods on texture classification. Magn. Reson. Imaging. 2004, 22, 81–91. [Google Scholar] [CrossRef] [PubMed]
- Gibbs, P.; Turnbull, L.-W. Textural analysis of contrast-enhanced MR images of the breast. Magn. Reson. Med. 2003, 50, 92–98. [Google Scholar] [CrossRef]
- Chawla, N.V.; Bowyer, K.W.; Hall, L.O.; Kegelmeyer, W.P. SMOTE: Synthetic Minority Over-sampling Technique. J. Artif. Intell. Res. 2002, 16, 321–357. [Google Scholar] [CrossRef]
- Agazzi, G.M.; Ravanelli, M.; Roca, E.; Medicina, D.; Balzarini, P.; Pessina, C.; Vermi, W.; Berruti, A.; Maroldi, R.; Farina, D. CT texture analysis for prediction of EGFR mutational status and ALK rearrangement in patients with non-small cell lung cancer. Radiol. Med. 2021, 126, 786–794. [Google Scholar] [CrossRef]
- Wu, H.; Wu, C.; Zheng, H.; Wang, L.; Guan, W.; Duan, S.; Wang, D. Radiogenomics of neuroblastoma in pediatric patients: CT-based radiomics signature in predicting MYCN amplification. Eur. Radiol. 2021, 31, 3080–3089. [Google Scholar] [CrossRef]
- Balcacer, P.; Shergill, A.; Litkouhi, B. MRI of cervical cancer with a surgical perspective: Staging, prognostic implications and pitfalls. Abdom. Imaging 2019, 44, 2557–2571. [Google Scholar] [CrossRef]
- Liu, L.; Wang, S.; Yu, T.; Bai, H.; Liu, J.; Wang, D.; Luo, Y. Value of diffusion-weighted imaging in preoperative evaluation and prediction of postoperative supplementary therapy for patients with cervical cancer. Ann. Transl. Med. 2022, 10, 120. [Google Scholar] [CrossRef] [PubMed]
- Paul, R.; Hawkins, S.H.; Hall, L.O.; Goldgof, D.B.; Gillies, R.J. Combining deep neural network and traditional image features to improve survival prediction accuracy for lung cancer patients from diagnostic CT. In Proceedings of the IEEE International Conference on Systems, Man, and Cybernetics, Budapest, Hungary, 9–12 October 2016. [Google Scholar] [CrossRef]
- Ahmed, K.B.; Hall, L.O.; Goldgof, D.B.; Liu, R.; Gatenby, R.A. Fine-tuning convolutional deep features for MRI based brain tumor classification. Proceedings of Medical Imaging 2017: Computer-Aided Diagnosis, Orlando, FL, USA, 11–16 February 2017. [Google Scholar] [CrossRef]
- Han, W.; Qin, L.; Bay, C.; Chen, X.; Yu, K.-H.; Miskin, N.; Li, A.; Xu, X.; Young, G. Deep Transfer Learning and Radiomics Feature Prediction of Survival of Patients with High-Grade Gliomas. Am. J. Neuroradiol. 2020, 41, 40–48. [Google Scholar] [CrossRef] [PubMed]
- Gadducci, A.; Cosio, S. Neoadjuvant chemotherapy in locally advanced cervical cancer: Review of the literature and perspectives of clinical research. Anticancer Res. 2020, 40, 4819–4828. [Google Scholar] [CrossRef] [PubMed]
- Kanavati, F.; Hirose, N.; Ishii, T.; Fukuda, A.; Ichihara, S.; Tsuneki, M. A Deep Learning Model for Cervical Cancer Screening on Liquid-Based Cytology Specimens in Whole Slide Images. Cancers 2022, 14, 1159. [Google Scholar] [CrossRef]
- Wu, Q.; Wang, S.; Zhang, S.; Wang, M.; Ding, Y.; Fang, J.; Wu, Q.; Qian, W.; Liu, Z.; Sun, S.; et al. Development of a Deep Learning Model to Identify Lymph Node Metastasis on Magnetic Resonance Imaging in Patients With Cervical Cancer. JAMA Netw. Open 2020, 3, e2011625. [Google Scholar] [CrossRef] [PubMed]
- Scambia, G.; Panici, P.B.; Foti, E.; Amoroso, M.; Salerno, G.; Ferrandina, G.; Battaglia, F.; Greggi, S.; De Gaetano, A.; Puglia, G.; et al. Squamous cell carcinoma antigen: Prognostic significance and role in the monitoring of neoadjuvant chemotherapy response in cervical cancer. J. Clin. Oncol. 1994, 12, 2309–2316. [Google Scholar] [CrossRef] [PubMed]
- Rein, D.T.; Kurbacher, C.M. The role of chemotherapy in invasive cancer of the cervix uteri: Current standards and future prospects. Anti-Cancer Drugs 2001, 12, 787–795. [Google Scholar] [CrossRef] [PubMed]
- Jiapaer, S.; Furuta, T.; Tanaka, S.; Kitabayashi, T.; Nakada, M. Potential Strategies Overcoming the Temozolomide Resistance for Glioblastoma. Neurol. Medico-Chirurgica 2018, 58, 405–421. [Google Scholar] [CrossRef] [PubMed]








| Characteristics | Training Dataset (148) | p | Internal Validation Dataset (72) | p | External Validation Dataset (65) | p | |||
|---|---|---|---|---|---|---|---|---|---|
| pGR | Non-pGR | pGR | Non-pGR | pGR | Non-pGR | ||||
| Number | 113 | 35 | 46 | 26 | 47 | 18 | |||
| Age, mean ± SD, years | 53.7 ± 10.64 | 51.9 ± 11.85 | 0.003 | 51.6 ± 10.21 | 50.7 ± 9.65 | 0.009 | 53.9 ± 11.26 | 51.3 ± 10.93 | 0.002 | 
| Menopausal status | |||||||||
| No | 73 (64.60%) | 19 (54.29%) | 34 (73.91%) | 18 (69.23%) | 36 (76.60%) | 10 (55.56%) | |||
| Yes | 40 (35.40%) | 16 (45.71%) | 0.272 | 12 (26.09%) | 8 (30.77%) | 0.670 | 11 (23.40%) | 8 (44.44%) | 0.095 | 
| FIGO stage | |||||||||
| IB2 | 23 (20.35%) | 8 (22.86%) | 8 (17.39%) | 5 (19.23%) | 12 (25.53%) | 6 (33.33%) | |||
| IIA-IIA2 | 61 (53.98%) | 11 (31.43%) | 21 (45.65%) | 6 (23.08%) | 21 (44.68%) | 5 (27.78%) | |||
| IIB-IIIB | 29 (25.67%) | 16 (45.71%) | 0.041 | 17 (36.96%) | 15 (57.69%) | 0.143 | 14 (29.79%) | 7 (38.89%) | 0.461 | 
| Maximum tumor diameter | 4.46 ± 1.52 | 5.02 ± 1.24 | 0.413 | 4.92 ± 1.39 | 4.84 ± 1.28 | 0.934 | 4.37 ± 1.72 | 5.29 ± 1.91 | 0.845 | 
| Pathologic type | |||||||||
| Squamous cell carcinoma | 93 (82.30%) | 24 (68.57%) | 36 (78.26%) | 23 (88.46%) | 34 (72.34%) | 15 (83.33%) | |||
| Adenocarcinoma | 20 (17.70%) | 11 (31.43%) | 0.081 | 9 (19.57%) | 3 (11.54%) | 0.557 | 13 (27.66%) | 3 (16.67%) | 0.549 | 
| SCC-Ag | 5.20 (1.90, 9.90) | 3.40 (0.80, 10.50) | <0.001 | 4.45 (1.25, 13.50) | 3.65 (0.95, 6.65) | <0.001 | 5.00 (0.85, 13.65) | 3.65 (1.15, 11.55) | <0.001 | 
| NLR | 4.57 ± 2.94 | 3.23 ± 2.01 | <0.001 | 4.92 ± 1.96 | 3.01 ± 2.08 | <0.001 | 3.98 ± 2.29 | 2.94 ± 2.66 | <0.001 | 
| PLR | 214.83 ± 61.93 | 201.32 ± 72.93 | 0.119 | 193.83 ± 73.84 | 210.83 ± 73.93 | 0.081 | 209.14 ± 64.39 | 219.67 ± 62.92 | 0.063 | 
| LVSI | |||||||||
| Positive | 31 (27.43%) | 24 (68.57%) | 16 (34.78%) | 19 (73.08%) | 13 (27.66%) | 10 (55.56%) | |||
| Negative | 82 (72.57%) | 11 (31.43%) | <0.001 | 30 (65.22%) | 7 (26.92%) | 0.002 | 34 (72.34%) | 8 (44.44%) | 0.035 | 
| LNM | |||||||||
| Positive | 15 (13.27%) | 11 (31.43%) | 8 (17.39%) | 6 (23.08%) | 9 (19.15%) | 5 (27.78%) | |||
| Negative | 98 (86.73%) | 24 (68.57%) | 0.014 | 38 (82.61%) | 20 (76.92%) | 0.558 | 38 (80.85%) | 13 (72.22%) | 0.449 | 
| PMI | |||||||||
| Positive | 29 (25.66%) | 19 (54.29%) | 14 (30.43%) | 15 (57.69%) | 19 (40.43%) | 10 (55.56%) | |||
| Negative | 84 (74.34%) | 16 (45.71%) | 0.002 | 32 (69.57%) | 11 (42.31%) | 0.024 | 28 (59.57%) | 8 (44.44%) | 0.272 | 
| Handcrafted radiomics features | Sequence | Selected Features | Coefficients | 
| T2WI | LoG 2.0_glszm_SmallAreaEmphasis | 0.578 | |
| T2WI | Wavelet-HHL_glszm_SizeZoneNonUniformityNormalized | 0.076 | |
| T2WI | Wavelet-HHH_glcm_Contrast | 0.086 | |
| T2WI | Wavelet-HLH_glcm_ClusterShade | −0.176 | |
| DWI | Firstorder_90Percentile | 0.186 | |
| DWI | LoG 5.0_glcm_MaximumProbability | 0.338 | |
| CE-T1WI | LoG 5.0_glszm_LargeAreaLowGrayLevelEmphasis | −0.147 | |
| CE-T1WI | Wavelet-HLH_firstorder_Skewness | 0.255 | |
| CET1WI | LoG 5.0_glszm_SizeZoneNonUniformity | −0.292 | |
| CE-T1WI | Wavelet-HLL_glcm_Idn | −0.699 | |
| DL-based radiomics features | T2WI | Feature 323 | −0.178 | 
| T2WI | Feature 356 | −0.421 | |
| T2WI | Feature 610 | 1.203 | |
| DWI | Feature 1579 | −0.044 | |
| DWI | Feature 1860 | −0.056 | |
| CE-T1WI | Feature 2471 | 0.193 | |
| CE-T1WI | Feature 2827 | 0.246 | 
| Variables | Univariate Logistic Regression Analysis | Multivariate Logistic Regression Analysis | ||
|---|---|---|---|---|
| OR (95% CI) | p | OR (95% CI) | p | |
| Age | 1.051 (1.009, 1.086) | <0.05 * | - | - | 
| Menopausal status | - | - | - | - | 
| FIGO stage | 1.139 (0.796, 1.650) | <0.05 * | 0.263 (0.113, 0.611) | <0.05 * | 
| Maximum tumor diameter | - | - | - | - | 
| Pathologic type | - | - | - | - | 
| CA-125 | - | - | - | - | 
| Serum SCC-Ag level | 1.021 (0.985, 1.058) | <0.05 * | 1.018 (0.978, 1.060) | <0.05 * | 
| NLR | - | - | - | - | 
| PLR | - | - | - | - | 
| LVSI | 0.211 (0.103, 0.432) | <0.05 * | 0.263 (0.113, 0.611) | <0.05 * | 
| LNM | 0.973 (0.387, 2.443) | <0.05 * | - | - | 
| PMI | 0.357 (0.176, 0.728) | <0.05 * | 0.617 (0.257, 1.485) | <0.05 * | 
| Index | β | Odds Ratio (95% CI) | Multivariate p Value | 
|---|---|---|---|
| Clinical model probability | 1.297 | 3.660 (1.109–12.082) | 0.033 * | 
| Handcrafted radiomics signature probability | 1.087 | 2.965 (1.796–4.893) | <0.001 * | 
| DL-based radiomics signature probability | 1.157 | 3.181 (1.845–5.486) | <0.001 * | 
| Intercept | −0.547 | - | 0.078 | 
| Training Dataset | Internal Validation Dataset | External Validation Dataset | ||||||||||
|---|---|---|---|---|---|---|---|---|---|---|---|---|
| AUC | Acc a | Sen a | Spe a | AUC | Acc a | Sen a | Spec a | AUC | Acc a | Sen a | Spe a | |
| Handcrafted signature | 0.884 (0.827–0.942) | 0.795 | 0.858 | 0.605 | 0.858 (0.763–0.953) | 0.781 | 0.846 | 0.619 | 0.810 (0.707–0.91) | 0.764 | 0.824 | 0.619 | 
| DL-based signature | 0.871 (0.756–0.901) | 0.821 | 0.859 | 0.711 | 0.893 (0.814–0.972) | 0.833 | 0.898 | 0.710 | 0.829 (0.756–0.90) | 0.788 | 0.867 | 0.625 | 
| Clinical model | 0.711 (0.620–0.801) | 0.730 | 0.877 | 0.389 | 0.665 (0.538–0.792) | 0.788 | 0.918 | 0.412 | 0.689 (0.750–0.90) | 0.728 | 0.885 | 0.363 | 
| DLRN | 0.963 (0.932–0.995) | 0.927 | 0.946 | 0.868 | 0.940 (0.877–1.000) | 0.909 | 0.918 | 0.882 | 0.910 (0.859–0.96) | 0.854 | 0.903 | 0.830 | 
| Handcrafted vs. DL signature | 0.376 | 0.238 | 0.303 | |||||||||
| Handcrafted vs. Clinical model | <0.001 | 0.014 | 0.022 | |||||||||
| DLRN vs. Handcrafted | <0.001 | 0.042 | 0.047 | |||||||||
| DLRN vs. Clinical model | <0.001 | <0.001 | <0.001 | |||||||||
| DLRN vs. DL signature | 0.003 | 0.251 | 0.016 | |||||||||
| Disclaimer/Publisher’s Note: The statements, opinions and data contained in all publications are solely those of the individual author(s) and contributor(s) and not of MDPI and/or the editor(s). MDPI and/or the editor(s) disclaim responsibility for any injury to people or property resulting from any ideas, methods, instructions or products referred to in the content. | 
© 2023 by the authors. Licensee MDPI, Basel, Switzerland. This article is an open access article distributed under the terms and conditions of the Creative Commons Attribution (CC BY) license (https://creativecommons.org/licenses/by/4.0/).
Share and Cite
Zhang, Y.; Wu, C.; Xiao, Z.; Lv, F.; Liu, Y. A Deep Learning Radiomics Nomogram to Predict Response to Neoadjuvant Chemotherapy for Locally Advanced Cervical Cancer: A Two-Center Study. Diagnostics 2023, 13, 1073. https://doi.org/10.3390/diagnostics13061073
Zhang Y, Wu C, Xiao Z, Lv F, Liu Y. A Deep Learning Radiomics Nomogram to Predict Response to Neoadjuvant Chemotherapy for Locally Advanced Cervical Cancer: A Two-Center Study. Diagnostics. 2023; 13(6):1073. https://doi.org/10.3390/diagnostics13061073
Chicago/Turabian StyleZhang, Yajiao, Chao Wu, Zhibo Xiao, Furong Lv, and Yanbing Liu. 2023. "A Deep Learning Radiomics Nomogram to Predict Response to Neoadjuvant Chemotherapy for Locally Advanced Cervical Cancer: A Two-Center Study" Diagnostics 13, no. 6: 1073. https://doi.org/10.3390/diagnostics13061073
APA StyleZhang, Y., Wu, C., Xiao, Z., Lv, F., & Liu, Y. (2023). A Deep Learning Radiomics Nomogram to Predict Response to Neoadjuvant Chemotherapy for Locally Advanced Cervical Cancer: A Two-Center Study. Diagnostics, 13(6), 1073. https://doi.org/10.3390/diagnostics13061073
 
        




 
       