Cosmic Ray Processes in Galactic Ecosystems
Abstract
1. Introduction
2. Cosmic Ray Physics in Galaxies
2.1. Particle Transport
2.1.1. The Resonant Cosmic Ray Streaming Instability and Self-Confinement
2.1.2. Magnetohydrodynamic Wave Damping and Implications for Cosmic Ray Propagation
2.1.3. The Non-Resonant Cosmic Ray Streaming Instability
2.2. Particle Interactions
2.2.1. pp Interactions
2.2.2. p Interactions
2.2.3. Comparison between pp and p Channels in Galactic Environments
3. Cosmic Rays in the Interstellar Medium
3.1. Origins of Cosmic Rays in Galaxies
3.1.1. Stellar End-Products
3.1.2. Star-Forming Regions, Star Clusters and Super-Bubbles
3.1.3. Searching for PeVatrons
3.2. Cosmic Rays in Diffuse Interstellar Media
3.2.1. Magnetohydrodynamic Mode Damping and Implications for Cosmic Ray Propagation
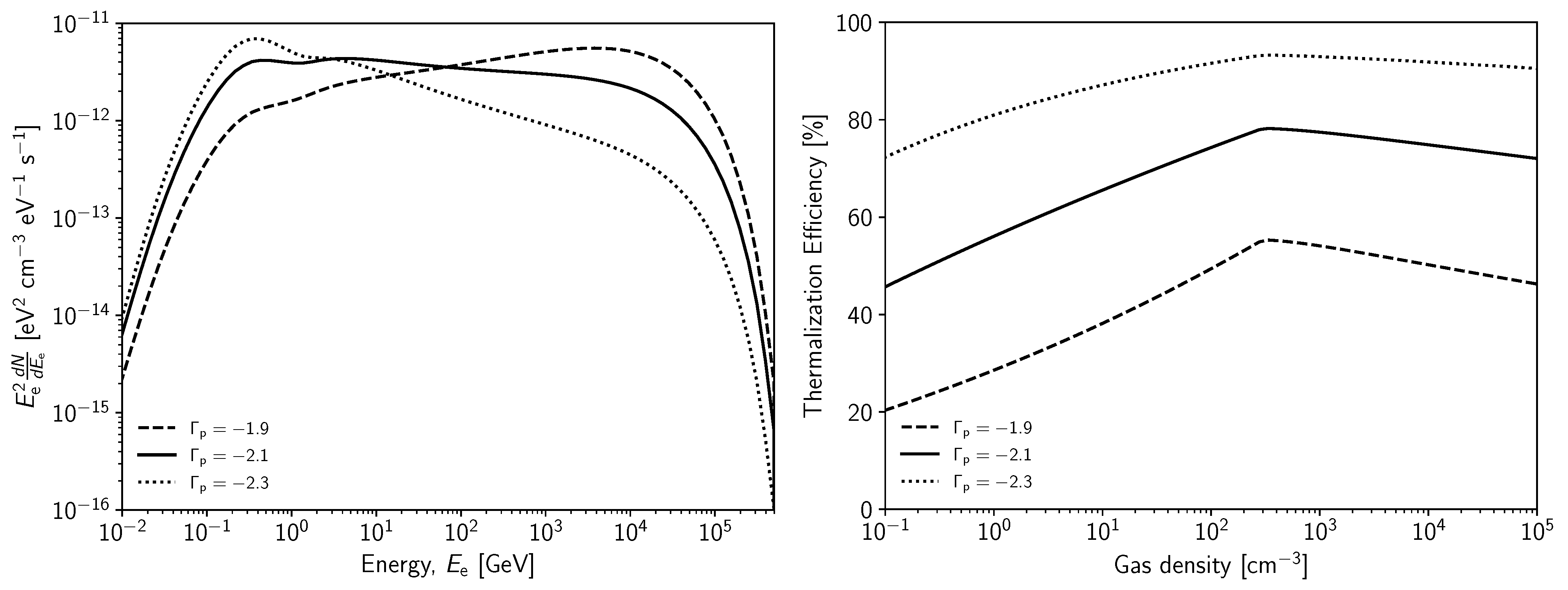
3.2.2. Cosmic Ray Heating Processes in the Ionized Interstellar Medium
3.2.3. Cosmic Ray Effects on the Structure of Interstellar Media
3.3. Cosmic Rays in Molecular Clouds
3.3.1. Propagation
3.3.2. Cosmic Ray Interactions in Molecular Clouds and Observable Signatures
3.3.3. Molecular Clouds as Cosmic Ray Barometers
3.3.4. Thermal Balance and Star-Formation
3.4. Clouds and Diffuse Media Associated with Stellar Remnants and Supernovae
3.5. The Interstellar Medium of Starburst Galaxies and Implications for Cosmic Ray Feedback
4. High-Energy Environments
4.1. Active Galactic Nuclei, Jets and Outflows
4.2. X-ray Binaries
4.2.1. SS433
4.2.2. Cyg X-3 and Related Systems
4.2.3. Pop III X-ray Binaries
5. Cosmic Rays in Galaxies and Their Circumgalactic Environments
5.1. The Milky Way
5.2. Studies of Cosmic Ray Effects in Individual Galaxies
5.2.1. Cosmic Ray Containment, Calorimetry and Galactic Magnetic Fields
5.2.2. Cosmic Ray Pressure Support in Individual Galaxies and the Eddington Limit
5.2.3. Nearby Starbursts
5.2.4. Dusty, and Infrared and Submillimeter Luminous Galaxies
5.2.5. Primordial Galaxy Evolution
5.3. Cosmic Ray Effects in Circumgalactic Media
5.3.1. Phase Structure of Circumgalactic Media and Cosmic Ray Effects
5.3.2. Cold Gas Formation from Thermal Instabilities
5.3.3. Cold Gas Supply by Inflows and the Impacts of Preventative Feedback
5.3.4. Cold Gas Supplied from the Interstellar Medium
5.3.5. Cosmic Ray Impacts on Galactic Outflow Physics
5.3.6. Cosmic Ray Effects on Circumgalactic Baryon Recycling Flows
5.3.7. Cosmic Ray Micro-Physics on Circumgalactic and Galactic Scales
6. Summary and Conclusions
6.1. Pressing Issues
- Development of robust connections between multi-wavelength/multi-messenger observables and models of CR propagation and interaction, to support efficient testing of models with the wealth of upcoming new data.
- Establish ways to address the significant numerical challenges involved with studying the effects of local plasma variations on CR instability growth rates, CR-MHD wave scattering and interaction rates, MHD wave damping, and micro-physical CR transport prescriptions.
- Development of a self-consistent CR transport theory, including self-confinement effects, that aligns with observations.
- Enhancement of CR+MHD numerical simulations to incorporate physically robust CR interaction and transport physics on galactic scales, that correctly account for physics at micro-scales.
- Creation of a comprehensive suite of reliable CR transport theories applicable to galaxies across a wide range of scales and conditions, particularly in the vicinity of CR sources.
- Construction of efficient models of CR interactions and propagation within multi-phase media, including ‘bottleneck’ effects around dense clouds, suitable for integration into MHD simulations.
- Advancement of our understanding of wind-driving effects of CRs, including their interaction with MHD waves undergoing damping, within multi-phase fluid flows, and self-consistent coupling with existing treatments of radiation hydrodynamics.
- Establish a comprehensive understanding of the thermal and dynamical impacts of CR heating and pressure support in the CGM, including their effects on inflows and outflows.
6.2. Upcoming Opportunities
Author Contributions
Funding
Data Availability Statement
Acknowledgments
Conflicts of Interest
Abbreviations
| AGN | Active galactic nucleus |
| ALMA | Atacama Large Millimeter/Submillimeter Array |
| Baikal-GVD | Baikal–Gigaton Volume Detector |
| CC | Core-collapse |
| CGM | Circumgalactic medium |
| CMZ | Central molecular zone |
| CMB | Cosmic microwave background |
| COSI | Compton Spectrometer and Imager |
| CR | Cosmic ray |
| CSM | Circumstellar medium |
| CTA | Cherenkov Telescope Array |
| EBL | Extragalactic background light |
| FIR | Far infrared |
| GC | Galactic center |
| HAWC | High Altitude Water Cherenkov Observatory |
| HAWC+ | High-Angular Wideband Camera Plus |
| HIM | Hot ionized medium |
| HMXB | High-mass X-ray binary |
| HVC | High velocity cloud |
| HyLIRG | Hyperluminous infrared galaxy |
| IceCube | IceCube Neutrino Observatory |
| IGM | Intergalactic medium |
| IMF | Initial mass function |
| IR | Infrared |
| ISRF | Interstellar radiation field |
| JCMT | James Clerk Maxwell Telescope |
| JWST | James Webb Space Telescope |
| KM3NeT | The Cubic Kilometre Neutrino Telescope |
| LAT | Large Area Telescope (on the Fermi Gamma-ray Space Telescope) |
| LHC | Large Hadron Collider |
| LHAASO | Large High Altitude Air Shower Observatory |
| LIRG | Luminous infrared galaxy |
| LMXB | Low-mass X-ray binary |
| MC | Monte Carlo |
| MHD | Magnetohydrodynamic |
| NIRSpec | Near Infra-Red Spectrograph |
| NRSI | Non-resonant streaming instability |
| PAH | Polycyclic aromatic hydrocarbon |
| P-ONE | Pacific Ocean Neutrino Experiment |
| PSG | Post-starburst galaxy |
| SED | Spectral energy distribution |
| SKA | Square Kilometer Array |
| SMG | Submillimeter galaxy |
| SMBH | Supermassive black hole |
| SN | Supernova |
| SNR | Supernova remnant |
| SOFIA | Stratospheric Observatory For Infrared Astronomy |
| SWGO | Southern Wide-Field Gamma-Ray Observatory |
| UFO | Ultra-fast outflow |
| ULIRG | Ultraluminous infrared galaxy |
| UV | Ultra-violet |
| VHE | Very high energy |
| VLT | Very large telescope |
| WIM | Warm interstellar medium |
| WR | Wolf–Rayet |
| XRB | X-ray binary |
| 1 | This is different from a non-resonant instability (see Section 2.1.3; also called Bell’s instability). |
| 2 | CR energy gains and losses are balanced, as they cancel owing to equal-intensity waves propagating in opposite directions [29] |
| 3 | It has also been shown that the opposite effect is possible, if dust streams super-Alfénically. In this case, CR propagation is suppressed, particularly on scales which are gyro-resonant with the dust [32]. |
| 4 | Hadronic CRs are assumed in this discussion. Modified forms of the NRSI are relevant when it is driven by leptonic CRs [33]. |
| 5 | It has been proposed that such production of muon anti-muon pairs can be part of a purely leptonic mechanism to produce TeV-scale neutrinos in astrophysical environments [77]. |
| 6 | |
| 7 | This can also accelerate particles by a second-order Fermi mechanism (see, e.g., [151]). |
| 8 | O is the main progenitor CR of Be and B in typical spallation reaction chains, so the total production rate becomes proportional to the amount of O released into the ISM by SNe enrichment, and the amount of O as a source of Be and B production by spallation [168]. |
| 9 | This is with the exception of secondary CRs injected by hadronic primaries, which may be non-negligible (e.g., see [192] which shows that the leptonic CR abdunance of galaxies could be a significant or dominant component of the leptonic CR flux in starburst galaxies). |
| 10 | We note that, at the time of writing, a recent pre-print for the First LHAASO Catalog indicates the number of detections at energies above 100 TeV may now have increased to 43 sources with a significance of 4 [199]. |
| 11 | However, an old SNR as an accelerator has been proposed as one possible scenario [208]. |
| 12 | This instability develops when a perturbation to the magnetic field causes the field lines to bend. Gravity then pulls gas into the valleys of the magnetic field, which sinks and deepens the valleys. |
| 13 | More comprehensive approaches are possible by using sophisticated chemical codes to obtain a robust determination of CR ionization (e.g., UCLCHEM [268] or Astrochem [269]) and can relax steady-state approximations. Beyond direct studies of CRs themselves, other applications require a reliable determination of local CR ionization rate. For example, in the age determinations of molecular cloud cores [270]. |
| 14 | |
| 15 | The far-IR radio correlation appears to be valid up to 2–3 [492]. It may not hold at higher redshifts due to increased inverse Compton losses experienced by CR electrons interacting with the CMB. Conversely, the far-IR -ray relation should not theoretically see strong variation with redshift, however instrumental constraints and extragalactic background light (EBL) attenuation make all but the nearest starbursts detectable in -rays (see Section 5.2.3). |
| 16 | ‘Conspiracies’ typically include efficient cooling of CR electrons in starbursts, and a combination of low effective ulta-violet (UV) dust opacity in lower surface density galaxies. Contributions from secondary CR electrons can also be invoked to counter decreased radio emission from bremsstrahlung, ionization, and inverse Compton cooling in starbursts [500]. However, these models can still pose a problem where CR electron density is directly proportional to the star formation rate of a galaxy, because of the increased radio synchrotron emission associated with the secondary electrons. These issues may instead be resolved by invoking models combining CR escape, cooling and secondary production [500]. |
| 17 | Higher values are obtained if the possible advective impacts of outflows on CR containment are excluded (e.g., [546]). |
| 18 | This is because CH generally arises in similar conditions regions of high OH and HO abundances in clouds, and it has been proposed that CH absorption lines from SMGs originate primarily in halo gas [583]. |
| 19 | Recent studies have found tentative indications that gas inflows may persist around some high-mass galaxies in the nearby Universe [623]. |
| 20 | Similar effects have been reported in other contexts. For example, even modest CR pressures can suppress cooling flows in galaxy clusters [634]. |
| 21 | |
| 22 | Note, however that Ref. [215] reported CR transport itself cannot reach a steady state and is not well described by either the CR streaming paradigm, the CR diffusion paradigm, or a combination of both. |
| 23 | Constraints on the the underlying wind physics have found that the role of CRs in the case of the M82 superwind is relatively limited [548]. |
| 24 | Shorter median recycling timescales around 100s Myr have been reported by some studies (e.g., [686]). |
| 25 | For a review of Alfvén wave damping in MHD turbulence for CR streaming in galactic winds, see Ref. [701]. |
| 26 | This development may be especially important on meso-scales, particularly near sites of CR injection [717]. |
References
- Shimizu, I.; Todoroki, K.; Yajima, H.; Nagamine, K. Osaka feedback model: Isolated disc galaxy simulations. Mon. Not. R. Astron. Soc. 2019, 484, 2632–2655. [Google Scholar] [CrossRef]
- Oku, Y.; Tomida, K.; Nagamine, K.; Shimizu, I.; Cen, R. Osaka Feedback Model. II. Modeling Supernova Feedback Based on High-resolution Simulations. Astrophys. J. Suppl. 2022, 262, 9. [Google Scholar] [CrossRef]
- Ostriker, E.C.; Kim, C.G. Pressure-regulated, Feedback-modulated Star Formation in Disk Galaxies. Astrophys. J. 2022, 936, 137. [Google Scholar] [CrossRef]
- Orr, M.E.; Fielding, D.B.; Hayward, C.C.; Burkhart, B. Bursting Bubbles: Feedback from Clustered Supernovae and the Trade-off Between Turbulence and Outflows. Astrophys. J. 2022, 932, 88. [Google Scholar] [CrossRef]
- Rosado, M.; Ambrocio-Cruz, P.; Le Coarer, E.; Marcelin, M. Kinematics of the galactic supernova remnants RCW 86, MSH 15-56 and MSH 11-61A. Astropart. Phys. 1996, 315, 243–252. [Google Scholar]
- Sánchez-Cruces, M.; Rosado, M.; Fuentes-Carrera, I.; Ambrocio-Cruz, P. Kinematics of the Galactic Supernova Remnant G109.1-1.0 (CTB 109). Mon. Not. R. Astron. Soc. 2018, 473, 1705–1717. [Google Scholar] [CrossRef]
- Sánchez-Cruces, M.; Sardaneta, M.M.; Fuentes-Carrera, I.; Rosado, M.; Cárdenas-Martínez, N.; Lara-López, M.A. A kinematical study of the dwarf irregular galaxy NGC 1569 and its supernova remnants. Mon. Not. R. Astron. Soc. 2022, 513, 1755–1773. [Google Scholar] [CrossRef]
- Hopkins, P.F.; Grudić, M.Y.; Wetzel, A.; Kereš, D.; Faucher-Giguère, C.A.; Ma, X.; Murray, N.; Butcher, N. Radiative stellar feedback in galaxy formation: Methods and physics. Mon. Not. R. Astron. Soc. 2020, 491, 3702–3729. [Google Scholar] [CrossRef]
- Qiu, Y.; Bogdanović, T.; Li, Y.; Park, K.; Wise, J.H. The Interplay of Kinetic and Radiative Feedback in Galaxy Clusters. Astrophys. J. 2019, 877, 47. [Google Scholar] [CrossRef]
- Chen, H. The Role of Quasar Radiative Feedback on Galaxy Formation during Cosmic Reionization. Astrophys. J. 2020, 893, 165. [Google Scholar] [CrossRef]
- Yajima, H.; Nagamine, K.; Zhu, Q.; Khochfar, S.; Dalla Vecchia, C. Growth of First Galaxies: Impacts of Star Formation and Stellar Feedback. Astrophys. J. 2017, 846, 30. [Google Scholar] [CrossRef]
- Kornecki, P.; Pellizza, L.J.; del Palacio, S.; Müller, A.L.; Albacete-Colombo, J.F.; Romero, G.E. γ-ray/infrared luminosity correlation of star-forming galaxies. Astropart. Phys. 2020, 641, A147. [Google Scholar] [CrossRef]
- Kornecki, P.; Peretti, E.; del Palacio, S.; Benaglia, P.; Pellizza, L.J. Exploring the physics behind the non-thermal emission from star-forming galaxies detected in γ rays. Astropart. Phys. 2022, 657, A49. [Google Scholar] [CrossRef]
- Owen, E.R.; Jacobsen, I.B.; Wu, K.; Surajbali, P. Interactions between ultra-high-energy particles and protogalactic environments. Mon. Not. R. Astron. Soc. 2018, 481, 666–687. [Google Scholar] [CrossRef]
- Yu, B.P.B.; Owen, E.R.; Wu, K.; Ferreras, I. A hydrodynamical study of outflows in starburst galaxies with different driving mechanisms. Mon. Not. R. Astron. Soc. 2020, 492, 3179–3193. [Google Scholar] [CrossRef]
- Krumholz, M.R.; Crocker, R.M.; Offner, S.S.R. The cosmic ray ionization and γ-ray budgets of star-forming galaxies. Mon. Not. R. Astron. Soc. 2023, 520, 5126–5143. [Google Scholar] [CrossRef]
- Owen, E.R.; Jin, X.; Wu, K.; Chan, S. Hadronic interactions of energetic charged particles in protogalactic outflow environments and implications for the early evolution of galaxies. Mon. Not. R. Astron. Soc. 2019, 484, 1645–1671. [Google Scholar] [CrossRef]
- Ruszkowski, M.; Pfrommer, C. Cosmic ray feedback in galaxies and galaxy clusters—A pedagogical introduction and a topical review of the acceleration, transport, observables, and dynamical impact of cosmic rays. arXiv 2023, arXiv:2306.03141. [Google Scholar] [CrossRef]
- Thomas, T.; Pfrommer, C. Cosmic-ray hydrodynamics: Alfvén-wave regulated transport of cosmic rays. Mon. Not. R. Astron. Soc. 2019, 485, 2977–3008. [Google Scholar] [CrossRef]
- Amato, E.; Blasi, P. Cosmic ray transport in the Galaxy: A review. Adv. Space Res. 2018, 62, 2731–2749. [Google Scholar] [CrossRef]
- Strong, A.W.; Moskalenko, I.V. Propagation of Cosmic-Ray Nucleons in the Galaxy. Astrophys. J. 1998, 509, 212–228. [Google Scholar] [CrossRef]
- Maurin, D.; Donato, F.; Taillet, R.; Salati, P. Cosmic Rays below Z = 30 in a Diffusion Model: New Constraints on Propagation Parameters. Astrophys. J. 2001, 555, 585–596. [Google Scholar] [CrossRef]
- Evoli, C.; Gaggero, D.; Grasso, D.; Maccione, L. Cosmic ray nuclei, antiprotons and gamma rays in the galaxy: A new diffusion model. J. Cosmol. Astropart. Phys. 2008, 2008, 018. [Google Scholar] [CrossRef]
- Kissmann, R. PICARD: A novel code for the Galactic Cosmic Ray propagation problem. Astropart. Phys. 2014, 55, 37–50. [Google Scholar] [CrossRef]
- Skilling, J. Cosmic ray streaming—III. Self-consistent solutions. Mon. Not. R. Astron. Soc. 1975, 173, 255–269. [Google Scholar] [CrossRef]
- Aloisio, R.; Blasi, P.; Serpico, P.D. Nonlinear cosmic ray Galactic transport in the light of AMS-02 and Voyager data. Astropart. Phys. 2015, 583, A95. [Google Scholar] [CrossRef]
- Wentzel, D.G. Cosmic-ray propagation in the Galaxy: Collective effects. Annu. Rev. Astron. Astrophys. 1974, 12, 71–96. [Google Scholar] [CrossRef]
- Cesarsky, C.J. Cosmic-ray confinement in the galaxy. Annu. Rev. Astron. Astrophys. 1980, 18, 289–319. [Google Scholar] [CrossRef]
- Zweibel, E.G. The basis for cosmic ray feedback: Written on the wind. Phys. Plasmas 2017, 24, 055402. [Google Scholar] [CrossRef]
- Plotnikov, I.; Ostriker, E.C.; Bai, X.N. Influence of Ion-Neutral Damping on the Cosmic-Ray Streaming Instability: Magnetohydrodynamic Particle-in-cell Simulations. Astrophys. J. 2021, 914, 3. [Google Scholar] [CrossRef]
- Marret, A.; Ciardi, A.; Smets, R.; Fuchs, J.; Nicolas, L. Enhancement of the Nonresonant Streaming Instability by Particle Collisions. Phys. Rev. Lett. 2022, 128, 115101. [Google Scholar] [CrossRef] [PubMed]
- Squire, J.; Hopkins, P.F.; Quataert, E.; Kempski, P. The impact of astrophysical dust grains on the confinement of cosmic rays. Mon. Not. R. Astron. Soc. 2021, 502, 2630–2644. [Google Scholar] [CrossRef]
- Gupta, S.; Caprioli, D.; Haggerty, C.C. Lepton-driven Nonresonant Streaming Instability. Astrophys. J. 2021, 923, 208. [Google Scholar] [CrossRef]
- Zweibel, E.G.; Everett, J.E. Environments for Magnetic Field Amplification by Cosmic Rays. Astrophys. J. 2010, 709, 1412–1419. [Google Scholar] [CrossRef]
- Pelletier, G.; Lemoine, M.; Marcowith, A. Turbulence and particle acceleration in collisionless supernovae remnant shocks. I. Anisotropic spectra solutions. Astropart. Phys. 2006, 453, 181–191. [Google Scholar] [CrossRef]
- Amato, E.; Blasi, P. A kinetic approach to cosmic-ray-induced streaming instability at supernova shocks. Mon. Not. R. Astron. Soc. 2009, 392, 1591–1600. [Google Scholar] [CrossRef]
- Amato, E. The streaming instability: A review. Mem. Soc. Astron. Ital. 2011, 82, 806. [Google Scholar]
- Reville, B.; Kirk, J.G.; Duffy, P.; O’Sullivan, S. Environmental Limits on the Nonresonant Cosmic-Ray Current-Driven Instability. Int. J. Mod. Phys. D 2008, 17, 1795–1801. [Google Scholar] [CrossRef]
- Marret, A.; Ciardi, A.; Smets, R.; Fuchs, J. On the growth of the thermally modified non-resonant streaming instability. Mon. Not. R. Astron. Soc. 2021, 500, 2302–2315. [Google Scholar] [CrossRef]
- Blasi, P. The origin of galactic cosmic rays. Astron. Astrophys. Rev. 2013, 21, 70. [Google Scholar] [CrossRef]
- Amato, E. The origin of galactic cosmic rays. Int. J. Mod. Phys. D 2014, 23, 1430013. [Google Scholar] [CrossRef]
- Bell, A.R. Turbulent amplification of magnetic field and diffusive shock acceleration of cosmic rays. Mon. Not. R. Astron. Soc. 2004, 353, 550–558. [Google Scholar] [CrossRef]
- Vink, J. Supernova remnants: The X-ray perspective. Astron. Astrophys. Rev. 2012, 20, 49. [Google Scholar] [CrossRef]
- Bykov, A.M.; Ellison, D.C.; Renaud, M. Magnetic Fields in Cosmic Particle Acceleration Sources. Space Sci. Rev. 2012, 166, 71–95. [Google Scholar] [CrossRef]
- Riquelme, M.A.; Spitkovsky, A. Nonlinear Study of Bell’s Cosmic Ray Current-Driven Instability. Astrophys. J. 2009, 694, 626–642. [Google Scholar] [CrossRef]
- Schroer, B.; Pezzi, O.; Caprioli, D.; Haggerty, C.; Blasi, P. Dynamical Effects of Cosmic Rays on the Medium Surrounding Their Sources. Astrophys. J. Lett. 2021, 914, L13. [Google Scholar] [CrossRef]
- Schroer, B.; Pezzi, O.; Caprioli, D.; Haggerty, C.C.; Blasi, P. Cosmic-ray generated bubbles around their sources. Mon. Not. R. Astron. Soc. 2022, 512, 233–244. [Google Scholar] [CrossRef]
- Commerçon, B.; Marcowith, A.; Dubois, Y. Cosmic-ray propagation in the bi-stable interstellar medium. I. Conditions for cosmic-ray trapping. Astropart. Phys. 2019, 622, A143. [Google Scholar] [CrossRef]
- Simpson, C.M.; Pakmor, R.; Pfrommer, C.; Glover, S.C.O.; Smith, R. How cosmic rays mediate the evolution of the interstellar medium. Mon. Not. R. Astron. Soc. 2023, 520, 4621–4645. [Google Scholar] [CrossRef]
- Almeida, S.P.; Rushbrooke, J.G.; Scharenguivel, J.H.; Behrens, M.; Blobel, V.; Borecka, I.; Dehne, H.C.; Dfaz, J.; Knies, G.; Schmitt, A.; et al. pp Interactions at 10 GeV/c. Phys. Rev. 1968, 174, 1638. [Google Scholar] [CrossRef]
- Skorodko, T.; Bashkanov, M.; Bogoslawsky, D.; Calen, H.; Cappellaro, F.; Clement, H.; Demiroers, L.; Doroshkevich, E.; Duniec, D.; Ekström, C.; et al. Excitation of the Roper resonance in single- and double-pion production in nucleon-nucleon collisions. Eur. Phys. J. A 2008, 35, 317. [Google Scholar] [CrossRef]
- Blattnig, S.R.; Swaminathan, S.R.; Kruger, A.T.; Ngom, M.; Norbury, J.W. Parametrizations of inclusive cross sections for pion production in proton-proton collisions. Phys. Rev. D 2000, 62, 094030. [Google Scholar] [CrossRef]
- Patrignani, C. Review of Particle Physics. Chin. Phys. 2016, C40, 100001. [Google Scholar] [CrossRef]
- Amenomori, M.; Bi, X.J.; Chen, D.; Chen, T.L.; Chen, W.Y.; Cui, S.W.; Danzengluobu; Ding, L.K.; Feng, C.F.; Feng, Z.; et al. Test of the hadronic interaction models SIBYLL2.3, EPOS-LHC and QGSJETII—04 with Tibet EAS core data. Eur. Phys. J. Web Conf. 2019, 208, 08013. [Google Scholar] [CrossRef]
- Bähr, M.; Gieseke, S.; Gigg, M.A.; Grellscheid, D.; Hamilton, K.; Latunde-Dada, O.; Plätzer, S.; Richardson, P.; Seymour, M.H.; Sherstnev, A.; et al. Herwig++ physics and manual. Eur. Phys. J. C 2008, 58, 639–707. [Google Scholar] [CrossRef]
- Gleisberg, T.; Höche, S.; Krauss, F.; Schönherr, M.; Schumann, S.; Siegert, F.; Winter, J. Event generation with SHERPA 1.1. J. High Energy Phys. 2009, 2009, 7. [Google Scholar] [CrossRef]
- Allison, J.; Amako, K.; Apostolakis, J.; Araujo, H.; Dubois, P.A.; Asai, M.; Barrand, G.; Capra, R.; Chauvie, S.; Chytracek, R.; et al. Geant4 developments and applications. IEEE Trans. Nucl. Sci. 2006, 53, 270–278. [Google Scholar] [CrossRef]
- Allison, J.; Amako, K.; Apostolakis, J.; Arce, P.; Asai, M.; Aso, T.; Bagli, E.; Bagulya, A.; Banerjee, S.; Barrand, G.; et al. Recent developments in GEANT4. Nucl. Instrum. Methods Phys. Res. A 2016, 835, 186–225. [Google Scholar] [CrossRef]
- Agostinelli, S.; Allison, J.; Amako, K.; Apostolakis, J.; Araujo, H.; Arce, P.; Asai, M.; Axen, D.; Banerjee, S.; Barrand, G.; et al. G EANT4—A simulation toolkit. Nucl. Instrum. Methods Phys. Res. A 2003, 506, 250–303. [Google Scholar] [CrossRef]
- Sjöstrand, T.; Mrenna, S.; Skands, P. A brief introduction to PYTHIA 8.1. Comput. Phys. Commun. 2008, 178, 852–867. [Google Scholar] [CrossRef]
- Sjöstrand, T.; Mrenna, S.; Skands, P. PYTHIA 6.4 physics and manual. J. High Energy Phys. 2006, 2006, 026. [Google Scholar] [CrossRef]
- Bierlich, C.; Chakraborty, S.; Desai, N.; Gellersen, L.; Helenius, I.; Ilten, P.; Lönnblad, L.; Mrenna, S.; Prestel, S.; Preuss, C.T.; et al. A comprehensive guide to the physics and usage of PYTHIA 8.3. arXiv 2022, arXiv:2203.11601. [Google Scholar] [CrossRef]
- Engel, R.; Ranft, J.; Roesler, S. Hard diffraction in hadron-hadron interactions and in photoproduction. Phys. Rev. D 1995, 52, 1459–1468. [Google Scholar] [CrossRef]
- Bopp, F.W.; Ranft, J.; Engel, R.; Roesler, S. Antiparticle to particle production ratios in hadron-hadron and d-Au collisions in the DPMJET-III Monte Carlo model. Phys. Rev. C 2008, 77, 014904. [Google Scholar] [CrossRef]
- Werner, K.; Liu, F.M.; Pierog, T. Parton ladder splitting and the rapidity dependence of transverse momentum spectra in deuteron-gold collisions at the BNL Relativistic Heavy Ion Collider. Phys. Rev. C 2006, 74, 044902. [Google Scholar] [CrossRef]
- Ahn, E.J.; Engel, R.; Gaisser, T.K.; Lipari, P.; Stanev, T. Cosmic ray interaction event generator SIBYLL 2.1. Phys. Rev. D 2009, 80, 094003. [Google Scholar] [CrossRef]
- Fletcher, R.S.; Gaisser, T.K.; Lipari, P.; Stanev, T. sibyll: An event generator for simulation of high energy cosmic ray cascades. Phys. Rev. D 1994, 50, 5710–5731. [Google Scholar] [CrossRef]
- Engel, J.; Gaisser, T.K.; Lipari, P.; Stanev, T. Nucleus-nucleus collisions and interpretation of cosmic-ray cascades. Phys. Rev. D 1992, 46, 5013–5025. [Google Scholar] [CrossRef]
- Fedynitch, A.; Riehn, F.; Engel, R.; Gaisser, T.K.; Stanev, T. Hadronic interaction model uc(sibyll) 2.3 c and inclusive lepton fluxes. Phys. Rev. D 2019, 100, 103018. [Google Scholar] [CrossRef]
- Ostapchenko, S. QGSJET-II: Towards reliable description of very high energy hadronic interactions. Nucl. Phys. Proc. Suppl. 2006, 151, 143–146. [Google Scholar] [CrossRef]
- Ostapchenko, S. Status of QGSJET. In Collicers to Cosmic Rays; American Institute of Physics Conference Series; Tripathi, M., Breedon, R.E., Eds.; AIP Publishing LLC: Melville, NY, USA, 2007; Volume 928, pp. 118–125. [Google Scholar] [CrossRef]
- Kafexhiu, E.; Aharonian, F.; Taylor, A.M.; Vila, G.S. Parametrization of gamma-ray production cross sections for p p interactions in a broad proton energy range from the kinematic threshold to PeV energies. Phys. Rev. D 2014, 90, 123014. [Google Scholar] [CrossRef]
- Kelner, S.R.; Aharonian, F.A.; Bugayov, V.V. Energy spectra of gamma rays, electrons, and neutrinos produced at proton-proton interactions in the very high energy regime. Phys. Rev. D 2006, 74, 034018. [Google Scholar] [CrossRef]
- Kamae, T.; Karlsson, N.; Mizuno, T.; Abe, T.; Koi, T. Parameterization of γ, e+/-, and Neutrino Spectra Produced by p-p Interaction in Astronomical Environments. Astrophys. J. 2006, 647, 692–708. [Google Scholar] [CrossRef]
- Kachelrieß, M.; Moskalenko, I.V.; Ostapchenko, S. AAfrag: Interpolation routines for Monte Carlo results on secondary production in proton-proton, proton-nucleus and nucleus-nucleus interactions. Comput. Phys. Commun. 2019, 245, 106846. [Google Scholar] [CrossRef] [PubMed]
- Koldobskiy, S.; Kachelrieß, M.; Lskavyan, A.; Neronov, A.; Ostapchenko, S.; Semikoz, D.V. Energy spectra of secondaries in proton-proton interactions. Phys. Rev. D 2021, 104, 123027. [Google Scholar] [CrossRef]
- Hooper, D.; Plant, K. A Leptonic Model for Neutrino Emission From Active Galactic Nuclei. arXiv 2023, arXiv:2305.06375. [Google Scholar] [CrossRef]
- Mücke, A.; Rachen, J.P.; Engel, R.; Protheroe, R.J.; Stanev, T. Photohadronic Processes in Astrophysical Environments. Pub. Astron. Soc. Aust. 1999, 16, 160. [Google Scholar] [CrossRef]
- Berezinsky, V.S.; Gazizov, A.Z. Production of high-energy cosmic neutrinos in pγ and nγ scattering. I. Neutrino yields for power-law spectra of protons and neutrons. Phys. Rev. D 1993, 47, 4206. [Google Scholar] [CrossRef]
- Nakamura, K. Review of Particle Physics. J. Phys. G Nucl. Part. Phys. 2010, 37, 075021. [Google Scholar] [CrossRef]
- Hümmer, S.; Rüger, M.; Spanier, F.; Winter, W. Simplified Models for Photohadronic Interactions in Cosmic Accelerators. Astrophys. J. 2010, 721, 630–652. [Google Scholar] [CrossRef]
- Dermer, C.D.; Menon, G. High Energy Radiation from Black Holes: Gamma Rays, Cosmic Rays, and Neutrinos; Princeton University Press: Princeton, NJ, USA, 2009. [Google Scholar]
- Mücke, A.; Engel, R.; Rachen, J.P.; Protheroe, R.J.; Stanev, T. Monte Carlo simulations of photohadronic processes in astrophysics. Comput. Phys. Commun. 2000, 124, 290–314. [Google Scholar] [CrossRef]
- Kelner, S.R.; Aharonian, F.A. Energy spectra of gamma rays, electrons, and neutrinos produced at interactions of relativistic protons with low energy radiation. Phys. Rev. D 2008, 78, 034013. [Google Scholar] [CrossRef]
- Draine, B.T. Physics of the Interstellar and Intergalactic Medium; Princeton University Press: Princeton, NJ, USA, 2011. [Google Scholar]
- Yoast-Hull, T.M.; Murray, N. Breaking the radio—Gamma-ray connection in Arp 220. Mon. Not. R. Astron. Soc. 2019, 484, 3665–3680. [Google Scholar] [CrossRef]
- Wilson, C.D.; Rangwala, N.; Glenn, J.; Maloney, P.R.; Spinoglio, L.; Pereira-Santaella, M. Extreme Dust Disks in Arp 220 as Revealed by ALMA. Astrophys. J. Lett. 2014, 789, L36. [Google Scholar] [CrossRef]
- Scoville, N.; Murchikova, L.; Walter, F.; Vlahakis, C.; Koda, J.; Vanden Bout, P.; Barnes, J.; Hernquist, L.; Sheth, K.; Yun, M.; et al. ALMA Resolves the Nuclear Disks of Arp 220. Astrophys. J. 2017, 836, 66. [Google Scholar] [CrossRef]
- Rowan-Robinson, M. Hyperluminous infrared galaxies. Mon. Not. R. Astron. Soc. 2000, 316, 885–900. [Google Scholar] [CrossRef]
- Chakraborty, N.; Fields, B.D. Inverse-Compton Contribution to the Star-forming Extragalactic Gamma-Ray Background. Astrophys. J. 2013, 773, 104. [Google Scholar] [CrossRef][Green Version]
- Schober, J.; Schleicher, D.R.G.; Klessen, R.S. X-ray emission from star-forming galaxies-signatures of cosmic rays and magnetic fields. Mon. Not. R. Astron. Soc. 2015, 446, 2–17. [Google Scholar] [CrossRef]
- Wilman, R.J.; Fabian, A.C.; Cutri, R.M.; Crawford, C.S.; Brandt, W.N. Limits on the X-ray emission from several hyperluminous IRAS galaxies. Mon. Not. R. Astron. Soc. 1998, 300, L7–L10. [Google Scholar] [CrossRef][Green Version]
- Danielson, A.L.R.; Swinbank, A.M.; Smail, I.; Cox, P.; Edge, A.C.; Weiss, A.; Harris, A.I.; Baker, A.J.; De Breuck, C.; Geach, J.E.; et al. The properties of the interstellar medium within a star-forming galaxy at z = 2.3. Mon. Not. R. Astron. Soc. 2011, 410, 1687–1702. [Google Scholar] [CrossRef]
- Hashimoto, T.; Laporte, N.; Mawatari, K.; Ellis, R.S.; Inoue, A.K.; Zackrisson, E.; Roberts-Borsani, G.; Zheng, W.; Tamura, Y.; Bauer, F.E.; et al. The onset of star formation 250 million years after the Big Bang. Nature 2018, 557, 392–395. [Google Scholar] [CrossRef] [PubMed]
- Bohlin, R.C.; Savage, B.D.; Drake, J.F. A survey of interstellar H I from Lalpha absorption measurements. II. Astrophys. J. 1978, 224, 132–142. [Google Scholar] [CrossRef]
- Bykov, A.M.; Ellison, D.C.; Marcowith, A.; Osipov, S.M. Cosmic Ray Production in Supernovae. Space Sci. Rev. 2018, 214, 41. [Google Scholar] [CrossRef]
- Berezinskii, V.S.; Bulanov, S.V.; Ginzburg, V.L.; Dogel, V.A.; Ptuskin, V.S. Astrophysics of Cosmic Rays; North-Holland: Amsterdam, The Netherlands, 1984. [Google Scholar]
- Lingenfelter, R.E. Superbubble origin of cosmic rays. In Proceedings of the Centenary Symposium 2012: Discovery of Cosmic Rays, Denver, CO, USA, 26–28 June 2012; American Institute of Physics Conference Series. Ormes, J.F., Ed.; AIP Publishing LLC: Melville, NY, USA, 2013; Volume 1516, pp. 162–166. [Google Scholar] [CrossRef]
- Cristofari, P. The Hunt for Pevatrons: The Case of Supernova Remnants. Universe 2021, 7, 324. [Google Scholar] [CrossRef]
- Li, W.; Chornock, R.; Leaman, J.; Filippenko, A.V.; Poznanski, D.; Wang, X.; Ganeshalingam, M.; Mannucci, F. Nearby supernova rates from the Lick Observatory Supernova Search—III. The rate-size relation, and the rates as a function of galaxy Hubble type and colour. Mon. Not. R. Astron. Soc. 2011, 412, 1473–1507. [Google Scholar] [CrossRef]
- Lingenfelter, R.E. Cosmic rays from supernova remnants and superbubbles. Adv. Space Res. 2018, 62, 2750–2763. [Google Scholar] [CrossRef]
- Marcowith, A.; Dwarkadas, V.V.; Renaud, M.; Tatischeff, V.; Giacinti, G. Core-collapse supernovae as cosmic ray sources. Mon. Not. R. Astron. Soc. 2018, 479, 4470–4485. [Google Scholar] [CrossRef]
- Murase, K.; Franckowiak, A.; Maeda, K.; Margutti, R.; Beacom, J.F. High-energy Emission from Interacting Supernovae: New Constraints on Cosmic-Ray Acceleration in Dense Circumstellar Environments. Astrophys. J. 2019, 874, 80. [Google Scholar] [CrossRef]
- Hillas, A.M. The Origin of Ultra-High-Energy Cosmic Rays. Annu. Rev. Astron. Astrophys. 1984, 22, 425–444. [Google Scholar] [CrossRef]
- Achterberg, A. Modification of scattering waves and its importance for shock acceleration. Astropart. Phys. 1983, 119, 274–278. [Google Scholar]
- Bell, A.R.; Schure, K.M.; Reville, B.; Giacinti, G. Cosmic-ray acceleration and escape from supernova remnants. Mon. Not. R. Astron. Soc. 2013, 431, 415–429. [Google Scholar] [CrossRef]
- Schure, K.M.; Bell, A.R. Cosmic ray acceleration in young supernova remnants. Mon. Not. R. Astron. Soc. 2013, 435, 1174–1185. [Google Scholar] [CrossRef][Green Version]
- Schure, K.M.; Bell, A.R. From cosmic ray source to the Galactic pool. Mon. Not. R. Astron. Soc. 2014, 437, 2802–2805. [Google Scholar] [CrossRef]
- Casanova, S. On the Search for the Galactic PeVatrons by Means of Gamma-Ray Astronomy. Universe 2022, 8, 505. [Google Scholar] [CrossRef]
- Petropoulou, M.; Coenders, S.; Vasilopoulos, G.; Kamble, A.; Sironi, L. Point-source and diffuse high-energy neutrino emission from Type IIn supernovae. Mon. Not. R. Astron. Soc. 2017, 470, 1881–1893. [Google Scholar] [CrossRef]
- Waxman, E.; Loeb, A. TeV Neutrinos and GeV Photons from Shock Breakout in Supernovae. Phys. Rev. Lett. 2001, 87, 071101. [Google Scholar] [CrossRef]
- Chevalier, R.A.; Fransson, C. Shock Breakout Emission from a Type Ib/c Supernova: XRT 080109/SN 2008D. Astrophys. J. Lett. 2008, 683, L135. [Google Scholar] [CrossRef]
- Ensman, L.; Burrows, A. Shock Breakout in SN 1987A. Astrophys. J. 1992, 393, 742. [Google Scholar] [CrossRef]
- Chevalier, R.A.; Klein, R.I. Nonequilibrium processes in the evolution of type II supernovae. Astrophys. J. 1979, 234, 597–608. [Google Scholar] [CrossRef]
- Giacinti, G.; Bell, A.R. Collisionless shocks and TeV neutrinos before Supernova shock breakout from an optically thick wind. Mon. Not. R. Astron. Soc. 2015, 449, 3693–3699. [Google Scholar] [CrossRef][Green Version]
- Bell, A.R. The acceleration of cosmic rays in shock fronts—II. Mon. Not. R. Astron. Soc. 1978, 182, 443–455. [Google Scholar] [CrossRef]
- Bell, A.R. The acceleration of cosmic rays in shock fronts—I. Mon. Not. R. Astron. Soc. 1978, 182, 147–156. [Google Scholar] [CrossRef]
- Celli, S.; Morlino, G.; Gabici, S.; Aharonian, F.A. Exploring particle escape in supernova remnants through gamma rays. Mon. Not. R. Astron. Soc. 2019, 490, 4317–4333. [Google Scholar] [CrossRef]
- Truelove, J.K.; McKee, C.F. Evolution of Nonradiative Supernova Remnants. Astrophys. J. Suppl. 1999, 120, 299–326. [Google Scholar] [CrossRef]
- Drury, L.O. Escaping the accelerator: How, when and in what numbers do cosmic rays get out of supernova remnants? Mon. Not. R. Astron. Soc. 2011, 415, 1807–1814. [Google Scholar] [CrossRef]
- Peron, G.; Aharonian, F.; Casanova, S.; Zanin, R.; Romoli, C. On the Gamma-Ray Emission of W44 and Its Surroundings. Astrophys. J. Lett. 2020, 896, L23. [Google Scholar] [CrossRef]
- Feijen, K.; Einecke, S.; Rowell, G.; Braiding, C.; Burton, M.G.; Wong, G.F. Modelling the gamma-ray morphology of HESSJ1804-216 from two supernova remnants in a hadronic scenario. Mon. Not. R. Astron. Soc. 2022, 511, 5915–5926. [Google Scholar] [CrossRef]
- Abdalla, H. et al. [H. E. S. S. Collaboration] Upper limits on very-high-energy gamma-ray emission from core-collapse supernovae observed with H.E.S.S. Astropart. Phys. 2019, 626, A57. [Google Scholar] [CrossRef]
- Li, Y.; Xin, Y.; Liu, S.; He, Y. Advanced γ-Ray Emission Studies of G15.4+0.1 with Fermi-LAT: Evidence of Escaping Cosmic Rays Interacting with Surrounding Molecular Clouds. Astrophys. J. 2023, 945, 21. [Google Scholar] [CrossRef]
- Aruga, M.; Sano, H.; Fukui, Y.; Reynoso, E.M.; Rowell, G.; Tachihara, K. Molecular and Atomic Clouds Associated with the Gamma-Ray Supernova Remnant Puppis A. Astrophys. J. 2022, 938, 94. [Google Scholar] [CrossRef]
- Zhang, Y.; Liu, R.Y.; Li, H.; Shao, S.; Yan, H.; Wang, X.Y. Measuring the Mass of Missing Baryons in the Halo of Andromeda Galaxy with Gamma-Ray Observations. Astrophys. J. 2021, 911, 58. [Google Scholar] [CrossRef]
- Zhong, W.J.; Zhang, X.; Chen, Y.; Zhang, Q.Q. A study of GeV gamma-ray emission towards supernova remnant G51.26+0.11 and its molecular environment. Mon. Not. R. Astron. Soc. 2023, 521, 1931–1940. [Google Scholar] [CrossRef]
- Yeung, P.K.H.; Bamba, A.; Sano, H. Multiwavelength studies of G298.6-0.0: An old GeV supernova remnant interacting with molecular clouds. Publ. Astron. Soc. Jpn. 2023, 75, 384–396. [Google Scholar] [CrossRef]
- Supan, L.; Fischetto, G.; Castelletti, G. Supernova remnant G46.8-0.3: A new case of interaction with molecular material. Astropart. Phys. 2022, 664, A89. [Google Scholar] [CrossRef]
- Reynolds, S.P. Supernova remnants at high energy. Annu. Rev. Astron. Astrophys. 2008, 46, 89–126. [Google Scholar] [CrossRef]
- Murase, K.; Thompson, T.A.; Ofek, E.O. Probing cosmic ray ion acceleration with radio-submm and gamma-ray emission from interaction-powered supernovae. Mon. Not. R. Astron. Soc. 2014, 440, 2528–2543. [Google Scholar] [CrossRef]
- Helder, E.A.; Vink, J.; Bykov, A.M.; Ohira, Y.; Raymond, J.C.; Terrier, R. Observational Signatures of Particle Acceleration in Supernova Remnants. Space Sci. Rev. 2012, 173, 369–431. [Google Scholar] [CrossRef]
- Bykov, A.M.; Marcowith, A.; Amato, E.; Kalyashova, M.E.; Kruijssen, J.M.D.; Waxman, E. High-Energy Particles and Radiation in Star-Forming Regions. Space Sci. Rev. 2020, 216, 42. [Google Scholar] [CrossRef]
- Tatischeff, V.; Gabici, S. Particle Acceleration by Supernova Shocks and Spallogenic Nucleosynthesis of Light Elements. Annu. Rev. Nucl. Part. Sci. 2018, 68, 377–404. [Google Scholar] [CrossRef]
- Abeysekara, A.U.; Albert, A.; Alfaro, R.; Alvarez, C.; Camacho, J.R.A.; Arteaga-Velázquez, J.C.; Arunbabu, K.P.; Rojas, D.A.; Solares, H.A.A.; Baghmanyan, V.; et al. HAWC observations of the acceleration of very-high-energy cosmic rays in the Cygnus Cocoon. Nat. Astron. 2021, 5, 465–471. [Google Scholar] [CrossRef]
- Cao, Z.; Aharonian, F.A.; An, Q.; Axikegu; Bai, L.X.; Bai, Y.X.; Bao, Y.W.; Bastieri, D.; Bi, X.J.; Bi, Y.J.; et al. Ultrahigh-energy photons up to 1.4 petaelectronvolts from 12 γ-ray Galactic sources. Nature 2021, 594, 33–36. [Google Scholar] [CrossRef] [PubMed]
- Ackermann, M.; Ajello, M.; Allafort, A.; Baldini, L.; Ballet, J.; Barbiellini, G.; Bastieri, D.; Belfiore, A.; Bellazzini, R.; Berenji, B.; et al. A Cocoon of Freshly Accelerated Cosmic Rays Detected by Fermi in the Cygnus Superbubble. Science 2011, 334, 1103. [Google Scholar] [CrossRef] [PubMed]
- Bartoli, B.; Bernardini, P.; Bi, X.J.; Branchini, P.; Budano, A.; Camarri, P.; Cao, Z.; Cardarelli, R.; Catalanotti, S.; Chen, S.Z.; et al. Identification of the TeV Gamma-Ray Source ARGO J2031+4157 with the Cygnus Cocoon. Astrophys. J. 2014, 790, 152. [Google Scholar] [CrossRef]
- Dzhappuev, D.D.; Afashokov, Y.Z.; Dzaparova, I.M.; Dzhatdoev, T.A.; Gorbacheva, E.A.; Karpikov, I.S.; Khadzhiev, M.M.; Klimenko, N.F.; Kudzhaev, A.U.; Kurenya, A.N.; et al. Observation of Photons above 300 TeV Associated with a High-energy Neutrino from the Cygnus Region. Astrophys. J. Lett. 2021, 916, L22. [Google Scholar] [CrossRef]
- Yang, R.Z.; Wang, Y. The diffuse gamma-ray emission toward the Galactic mini starburst W43. Astropart. Phys. 2020, 640, A60. [Google Scholar] [CrossRef]
- Aharonian, F.; Ashkar, H.; Backes, M.; Barbosa Martins, V.; Becherini, Y.; Berge, D.; Bi, B.; Böttcher, M.; de Bony de Lavergne, M.; Bradascio, F.; et al. A deep spectromorphological study of the γ-ray emission surrounding the young massive stellar cluster Westerlund 1. Astropart. Phys. 2022, 666, A124. [Google Scholar] [CrossRef]
- Härer, L.K.; Reville, B.; Hinton, J.; Mohrmann, L.; Vieu, T. Understanding the TeV γ-ray emission surrounding the young massive star cluster Westerlund 1. Astropart. Phys. 2023, 671, A4. [Google Scholar] [CrossRef]
- Mestre, E.; de Oña Wilhelmi, E.; Torres, D.F.; Holch, T.L.; Schwanke, U.; Aharonian, F.; Parkinson, P.S.; Yang, R.; Zanin, R. Probing the hadronic nature of the gamma-ray emission associated with Westerlund 2. Mon. Not. R. Astron. Soc. 2021, 505, 2731–2740. [Google Scholar] [CrossRef]
- Ge, T.T.; Sun, X.N.; Yang, R.Z.; Liang, Y.F.; Liang, E.W. Diffuse γ-ray emission around the massive star forming region of Carina Nebula Complex. Mon. Not. R. Astron. Soc. 2022, 517, 5121–5128. [Google Scholar] [CrossRef]
- Baghmanyan, V.; Peron, G.; Casanova, S.; Aharonian, F.; Zanin, R. Evidence of Cosmic-Ray Excess from Local Giant Molecular Clouds. Astrophys. J. Lett. 2020, 901, L4. [Google Scholar] [CrossRef]
- Cesarsky, C.J.; Montmerle, T. Gamma-Rays from Active Regions in the Galaxy—The Possible Contribution of Stellar Winds. Space Sci. Rev. 1983, 36, 173–193. [Google Scholar] [CrossRef]
- Voelk, H.J.; Forman, M. Cosmic rays and gamma-rays from OB stars. Astrophys. J. 1982, 253, 188–198. [Google Scholar] [CrossRef]
- Mac Low, M.M.; McCray, R. Superbubbles in Disk Galaxies. Astrophys. J. 1988, 324, 776. [Google Scholar] [CrossRef]
- Reimer, A.; Pohl, M.; Reimer, O. Nonthermal High-Energy Emission from Colliding Winds of Massive Stars. Astrophys. J. 2006, 644, 1118–1144. [Google Scholar] [CrossRef]
- Vieu, T.; Reville, B.; Aharonian, F. Can superbubbles accelerate ultrahigh energy protons? Mon. Not. R. Astron. Soc. 2022, 515, 2256–2265. [Google Scholar] [CrossRef]
- Bykov, A.M.; Toptygin, I.N. A Model of Particle Acceleration to High Energies by Multiple Supernova Explosions in OB Associations. Astron. Lett. 2001, 27, 625–633. [Google Scholar] [CrossRef]
- Bykov, A.M.; Fleishman, G.D. On non-thermal particle generation in superbubbles. Mon. Not. R. Astron. Soc. 1992, 255, 269–275. [Google Scholar] [CrossRef]
- Bykov, A.M. Nonthermal particles and photons in starburst regions and superbubbles. Astron. Astrophys. Rev. 2014, 22, 77. [Google Scholar] [CrossRef]
- Parizot, E.; Marcowith, A.; van der Swaluw, E.; Bykov, A.M.; Tatischeff, V. Superbubbles and energetic particles in the Galaxy. I. Collective effects of particle acceleration. Astropart. Phys. 2004, 424, 747–760. [Google Scholar] [CrossRef]
- Higdon, J.C.; Lingenfelter, R.E. OB Associations, Supernova-generated Superbubbles, and the Source of Cosmic Rays. Astrophys. J. 2005, 628, 738–749. [Google Scholar] [CrossRef]
- Wang, K.; Zhang, H.M.; Liu, R.Y.; Wang, X.Y. Detection of Diffuse γ-Ray Emission toward a Massive Star-forming Region Hosting Wolf-Rayet Stars. Astrophys. J. 2022, 935, 129. [Google Scholar] [CrossRef]
- Kamijima, S.F.; Ohira, Y. Escape of cosmic rays from perpendicular shocks in the circumstellar magnetic field. Phys. Rev. D 2022, 106, 123025. [Google Scholar] [CrossRef]
- Gupta, S.; Nath, B.B.; Sharma, P.; Eichler, D. Realistic modelling of wind and supernovae shocks in star clusters: Addressing 22Ne/20Ne and other problems in Galactic cosmic rays. Mon. Not. R. Astron. Soc. 2020, 493, 3159–3177. [Google Scholar] [CrossRef]
- Gupta, S.; Nath, B.B.; Sharma, P.; Eichler, D. Lack of thermal energy in superbubbles: Hint of cosmic rays? Mon. Not. R. Astron. Soc. 2018, 473, 1537–1553. [Google Scholar] [CrossRef]
- Morlino, G.; Blasi, P.; Peretti, E.; Cristofari, P. Particle acceleration in winds of star clusters. Mon. Not. R. Astron. Soc. 2021, 504, 6096–6105. [Google Scholar] [CrossRef]
- Gabici, S. Star clusters as cosmic ray accelerators. arXiv 2023, arXiv:2301.06505. [Google Scholar] [CrossRef]
- Murphy, R.P.; Sasaki, M.; Binns, W.R.; Brandt, T.J.; Hams, T.; Israel, M.H.; Labrador, A.W.; Link, J.T.; Mewaldt, R.A.; Mitchell, J.W.; et al. Galactic Cosmic Ray Origins and OB Associations: Evidence from SuperTIGER Observations of Elements 26Fe through 40Zr. Astrophys. J. 2016, 831, 148. [Google Scholar] [CrossRef]
- Tatischeff, V.; Raymond, J.C.; Duprat, J.; Gabici, S.; Recchia, S. The origin of Galactic cosmic rays as revealed by their composition. Mon. Not. R. Astron. Soc. 2021, 508, 1321–1345. [Google Scholar] [CrossRef]
- Rauch, B.F.; Link, J.T.; Lodders, K.; Israel, M.H.; Barbier, L.M.; Binns, W.R.; Christian, E.R.; Cummings, J.R.; de Nolfo, G.A.; Geier, S.; et al. Cosmic Ray origin in OB Associations and Preferential Acceleration of Refractory Elements: Evidence from Abundances of Elements 26Fe through 34Se. Astrophys. J. 2009, 697, 2083–2088. [Google Scholar] [CrossRef]
- Wiedenbeck, M.E.; Binns, W.R.; Cummings, A.C.; Davis, A.J.; de Nolfo, G.A.; Israel, M.H.; Leske, R.A.; Mewaldt, R.A.; Stone, E.C.; von Rosenvinge, T.T. An Overview of the Origin of Galactic Cosmic Rays as Inferred from Observations of Heavy Ion Composition and Spectra. Space Sci. Rev. 2007, 130, 415–429. [Google Scholar] [CrossRef]
- Meyer, J.P.; Drury, L.O.; Ellison, D.C. Galactic Cosmic Rays from Supernova Remnants. I. A Cosmic-Ray Composition Controlled by Volatility and Mass-to-Charge Ratio. Astrophys. J. 1997, 487, 182–196. [Google Scholar] [CrossRef]
- Ellison, D.C.; Drury, L.O.; Meyer, J.P. Galactic Cosmic Rays from Supernova Remnants. II. Shock Acceleration of Gas and Dust. Astrophys. J. 1997, 487, 197–217. [Google Scholar] [CrossRef]
- Parizot, E. Superbubbles and the Galactic evolution of Li, Be and B. Astropart. Phys. 2000, 362, 786–798. [Google Scholar] [CrossRef]
- Meneguzzi, M.; Audouze, J.; Reeves, H. The production of the elements Li, Be, B by galactic cosmic rays in space and its relation with stellar observations. Astropart. Phys. 1971, 15, 337. [Google Scholar]
- Reeves, H.; Fowler, W.A.; Hoyle, F. Galactic Cosmic Ray Origin of Li, Be and B in Stars. Nature 1970, 226, 727–729. [Google Scholar] [CrossRef]
- Kulikov, G.; Khristiansen, G. On the size spectrum of extensive air showers. Sov. Phys. JETP 1959, 35, 441–444. [Google Scholar]
- Parizot, E. Cosmic Ray Origin: Lessons from Ultra-High-Energy Cosmic Rays and the Galactic/Extragalactic Transition. Nucl. Phys. B Proc. Suppl. 2014, 256, 197–212. [Google Scholar] [CrossRef]
- Antoni, T.; Apel, W.D.; Badea, A.F.; Bekk, K.; Bercuci, A.; Blümer, J.; Bozdog, H.; Brancus, I.M.; Chilingarian, A.; Daumiller, K.; et al. KASCADE measurements of energy spectra for elemental groups of cosmic rays: Results and open problems. Astroparticle Physics 2005, 24, 1–25. [Google Scholar] [CrossRef]
- Adriani, O.; Barbarino, G.C.; Bazilevskaya, G.A.; Bellotti, R.; Boezio, M.; Bogomolov, E.A.; Bonechi, L.; Bongi, M.; Bonvicini, V.; Borisov, S.; et al. PAMELA Measurements of Cosmic-Ray Proton and Helium Spectra. Science 2011, 332, 69. [Google Scholar] [CrossRef]
- Aguilar, M.; Aisa, D.; Alpat, B.; Alvino, A.; Ambrosi, G.; Andeen, K.; Arruda, L.; Attig, N.; Azzarello, P.; Bachlechner, A.; et al. Precision Measurement of the Proton Flux in Primary Cosmic Rays from Rigidity 1 GV to 1.8 TV with the Alpha Magnetic Spectrometer on the International Space Station. Phys. Rev. Lett. 2015, 114, 171103. [Google Scholar] [CrossRef]
- Aguilar, M.; Aisa, D.; Alpat, B.; Alvino, A.; Ambrosi, G.; Andeen, K.; Arruda, L.; Attig, N.; Azzarello, P.; Bachlechner, A.; et al. Precision Measurement of the Helium Flux in Primary Cosmic Rays of Rigidities 1.9 GV to 3 TV with the Alpha Magnetic Spectrometer on the International Space Station. Phys. Rev. Lett. 2015, 115, 211101. [Google Scholar] [CrossRef] [PubMed]
- Bartoli, B.; Bernardini, P.; Bi, X.J.; Cao, Z.; Catalanotti, S.; Chen, S.Z.; Chen, T.L.; Cui, S.W.; Dai, B.Z.; D’Amone, A.; et al. Knee of the cosmic hydrogen and helium spectrum below 1 PeV measured by ARGO-YBJ and a Cherenkov telescope of LHAASO. Phys. Rev. D 2015, 92, 092005. [Google Scholar] [CrossRef]
- Cao, Z. et al. [Lhaaso Collaboration] Peta-electron volt gamma-ray emission from the Crab Nebula. Science 2021, 373, 425–430. [Google Scholar] [CrossRef]
- Liu, R.Y.; Wang, X.Y. PeV Emission of the Crab Nebula: Constraints on the Proton Content in Pulsar Wind and Implications. Astrophys. J. 2021, 922, 221. [Google Scholar] [CrossRef]
- Peng, Q.Y.; Bao, B.W.; Lu, F.W.; Zhang, L. Multiband Emission up to PeV Energy from the Crab Nebula in a Spatially Dependent Lepto-hadronic Model. Astrophys. J. 2022, 926, 7. [Google Scholar] [CrossRef]
- Baade, W.; Zwicky, F. Cosmic Rays from Super-novae. Proc. Natl. Acad. Sci. USA 1934, 20, 259–263. [Google Scholar] [CrossRef] [PubMed]
- Abramowski, A. et al. [HESS Collaboration] Acceleration of petaelectronvolt protons in the Galactic Centre. Nature 2016, 531, 476–479. [Google Scholar] [CrossRef]
- Bednarek, W.; Protheroe, R.J. Contribution of nuclei accelerated by gamma-ray pulsars to cosmic rays in the Galaxy. Astropart. Phys. 2002, 16, 397–409. [Google Scholar] [CrossRef][Green Version]
- Escobar, G.J.; Pellizza, L.J.; Romero, G.E. Highly collimated microquasar jets as efficient cosmic-ray sources. Astropart. Phys. 2022, 665, A145. [Google Scholar] [CrossRef]
- Yang, R.Z.; Aharonian, F.; de Oña Wilhelmi, E. Massive star clusters as the an alternative source population of galactic cosmic rays. Rend. Lincei Sci. Fis. Nat. 2019, 30, 159–164. [Google Scholar] [CrossRef]
- Abramowski, A.; Acero, F.; Aharonian, F.; Akhperjanian, A.G.; Anton, G.; Balzer, A.; Barnacka, A.; Barres de Almeida, U.; Becherini, Y.; Becker, J.; et al. Discovery of extended VHE γ-ray emission from the vicinity of the young massive stellar cluster Westerlund 1. Astropart. Phys. 2012, 537, A114. [Google Scholar] [CrossRef]
- Abramowski, A. et al. [H. E. S. S. Collaboration] The exceptionally powerful TeV γ-ray emitters in the Large Magellanic Cloud. Science 2015, 347, 406–412. [Google Scholar] [CrossRef]
- Yang, R.z.; de Oña Wilhelmi, E.; Aharonian, F. Diffuse γ-ray emission in the vicinity of young star cluster Westerlund 2. Astropart. Phys. 2018, 611, A77. [Google Scholar] [CrossRef]
- Vieu, T.; Reville, B. Massive star cluster origin for the galactic cosmic ray population at very-high energies. Mon. Not. R. Astron. Soc. 2023, 519, 136–147. [Google Scholar] [CrossRef]
- Cristofari, P.; Blasi, P.; Amato, E. The low rate of Galactic pevatrons. Astropart. Phys. 2020, 123, 102492. [Google Scholar] [CrossRef]
- Zirakashvili, V.N.; Ptuskin, V.S. Diffusive Shock Acceleration with Magnetic Amplification by Nonresonant Streaming Instability in Supernova Remnants. Astrophys. J. 2008, 678, 939–949. [Google Scholar] [CrossRef]
- Lacki, B.C.; Beck, R. The equipartition magnetic field formula in starburst galaxies: Accounting for pionic secondaries and strong energy losses. Mon. Not. R. Astron. Soc. 2013, 430, 3171–3186. [Google Scholar] [CrossRef]
- Halzen, F.; Kappes, A.; Ó Murchadha, A. Prospects for identifying the sources of the Galactic cosmic rays with IceCube. Phys. Rev. D 2008, 78, 063004. [Google Scholar] [CrossRef]
- Avrorin, A.D. et al. [Baikal-GVD Collaboration] Baikal-GVD: Status and prospects. arXiv 2018, arXiv:1808.10353. [Google Scholar] [CrossRef]
- Aartsen, M.G.; Abbasi, R.; Ackermann, M.; Adams, J.; Aguilar, J.A.; Ahlers, M.; Ahrens, M.; Alispach, C.; Allison, P.; Amin, N.M.; et al. IceCube-Gen2: The window to the extreme Universe. J. Phys. Nucl. Phys. 2021, 48, 060501. [Google Scholar] [CrossRef]
- Agostini, M.; Böhmer, M.; Bosma, J.; Clark, K.; Danninger, M.; Fruck, C.; Gernhäuser, R.; Gärtner, A.; Grant, D.; Henningsen, F.; et al. The Pacific Ocean Neutrino Experiment. Nat. Astron. 2020, 4, 913–915. [Google Scholar] [CrossRef]
- Ye, Z.P.; Hu, F.; Tian, W.; Chang, Q.C.; Chang, Y.L.; Cheng, Z.S.; Gao, J.; Ge, T.; Gong, G.H.; Guo, J.; et al. Proposal for a neutrino telescope in South China Sea. arXiv 2022, arXiv:2207.04519. [Google Scholar] [CrossRef]
- Amenomori, M.; Bao, Y.W.; Bi, X.J.; Chen, D.; Chen, T.L.; Chen, W.Y.; Chen, X.; Chen, Y.; Cirennima; Cui, S.W.; et al. First Detection of sub-PeV Diffuse Gamma Rays from the Galactic Disk: Evidence for Ubiquitous Galactic Cosmic Rays beyond PeV Energies. Phys. Rev. Lett. 2021, 126, 141101. [Google Scholar] [CrossRef] [PubMed]
- Cao, Z.; Aharonian, F.; An, Q.; Axikegu; Bai, Y.X.; Bao, Y.W.; Bastieri, D.; Bi, X.J.; Bi, Y.J.; Cai, J.T.; et al. The First LHAASO Catalog of Gamma-Ray Sources. arXiv 2023, arXiv:2305.17030. [Google Scholar] [CrossRef]
- Abeysekara, A.U.; Albert, A.; Alfaro, R.; Angeles Camacho, J.R.; Arteaga-Velázquez, J.C.; Arunbabu, K.P.; Avila Rojas, D.; Ayala Solares, H.A.; Baghmanyan, V.; Belmont-Moreno, E.; et al. Multiple Galactic Sources with Emission above 56 TeV Detected by HAWC. Phys. Rev. Lett. 2020, 124, 021102. [Google Scholar] [CrossRef] [PubMed]
- Blumenthal, G.R.; Gould, R.J. Bremsstrahlung, Synchrotron Radiation, and Compton Scattering of High-Energy Electrons Traversing Dilute Gases. Rev. Mod. Phys. 1970, 42, 237–271. [Google Scholar] [CrossRef]
- Breuhaus, M.; Hahn, J.; Romoli, C.; Reville, B.; Giacinti, G.; Tuffs, R.; Hinton, J.A. Ultra-high Energy Inverse Compton Emission from Galactic Electron Accelerators. Astrophys. J. Lett. 2021, 908, L49. [Google Scholar] [CrossRef]
- Amenomori, M. et al. [Tibet ASγ Collaboration] Potential PeVatron supernova remnant G106.3+2.7 seen in the highest-energy gamma rays. Nat. Astron. 2021, 5, 460–464. [Google Scholar] [CrossRef]
- Abe, H. et al. [MAGIC Collaboration] MAGIC observations provide compelling evidence of hadronic multi-TeV emission from the putative PeVatron SNR G106.3+2.7. Astropart. Phys. 2023, 671, A12. [Google Scholar] [CrossRef]
- de la Fuente, E.; Toledano-Juarez, I.; Kawata, K.; Trinidad, M.A.; Tafoya, D.; Sano, H.; Tokuda, K.; Nishimura, A.; Onishi, T.; Sako, T.; et al. Detection of a new molecular cloud in the LHAASO J2108+5157 region supporting a hadronic PeVatron scenario. Publ. Astron. Soc. Jpn. 2023, 75, 546–566. [Google Scholar] [CrossRef]
- de la Fuente, E.; Toledano-Juárez, I.; Kawata, K.; Trinidad, M.A.; Yamagishi, M.; Takekawa, S.; Tafoya, D.; Ohnishi, M.; Nishimura, A.; Kato, S.; et al. Evidence for a gamma-ray molecular target in the enigmatic PeVatron candidate LHAASO J2108+5157. arXiv 2023, arXiv:2306.11921. [Google Scholar] [CrossRef]
- Abe, S.; Aguasca-Cabot, A.; Agudo, I.; Alvarez Crespo, N.; Antonelli, L.A.; Aramo, C.; Arbet-Engels, A.; Artero, M.; Asano, K.; Aubert, P.; et al. Multiwavelength study of the galactic PeVatron candidate LHAASO J2108+5157. Astropart. Phys. 2023, 673, A75. [Google Scholar] [CrossRef]
- De Sarkar, A. Supernova connection of unidentified ultra-high-energy gamma-ray source LHAASO J2108+5157. Mon. Not. R. Astron. Soc. 2023, 521, L5–L10. [Google Scholar] [CrossRef]
- Albert, A.; Alfaro, R.; Ashkar, H.; Alvarez, C.; Álvarez, J.; Arteaga-Velázquez, J.C.; Ayala Solares, H.A.; Arceo, R.; Bellido, J.A.; BenZvi, S.; et al. Science Case for a Wide Field-of-View Very-High-Energy Gamma-Ray Observatory in the Southern Hemisphere. arXiv 2019, arXiv:1902.08429. [Google Scholar] [CrossRef]
- Atoyan, A.M.; Aharonian, F.A. On the mechanisms of gamma radiation in the Crab Nebula. Mon. Not. R. Astron. Soc. 1996, 278, 525–541. [Google Scholar] [CrossRef]
- Sudoh, T.; Beacom, J.F. Where are Milky Way’s hadronic PeVatrons? Phys. Rev. D 2023, 107, 043002. [Google Scholar] [CrossRef]
- Scannapieco, E.; Madau, P.; Woosley, S.; Heger, A.; Ferrara, A. The Detectability of Pair-Production Supernovae at z ≲ 6. Astrophys. J. 2005, 633, 1031–1041. [Google Scholar] [CrossRef]
- Cristofari, P.; Renaud, M.; Marcowith, A.; Dwarkadas, V.V.; Tatischeff, V. Time-dependent high-energy gamma-ray signal from accelerated particles in core-collapse supernovae: The case of SN 1993J. Mon. Not. R. Astron. Soc. 2020, 494, 2760–2765. [Google Scholar] [CrossRef]
- Cristofari, P.; Marcowith, A.; Renaud, M.; Dwarkadas, V.V.; Tatischeff, V.; Giacinti, G.; Peretti, E.; Sol, H. The first days of Type II-P core collapse supernovae in the gamma-ray range. Mon. Not. R. Astron. Soc. 2022, 511, 3321–3329. [Google Scholar] [CrossRef]
- Thomas, T.; Pfrommer, C.; Pakmor, R. Cosmic-ray-driven galactic winds: Transport modes of cosmic rays and Alfvén-wave dark regions. Mon. Not. R. Astron. Soc. 2023, 521, 3023–3042. [Google Scholar] [CrossRef]
- Armillotta, L.; Ostriker, E.C.; Jiang, Y.F. Cosmic-Ray Transport in Simulations of Star-forming Galactic Disks. Astrophys. J. 2021, 922, 11. [Google Scholar] [CrossRef]
- Xu, S.; Lazarian, A. Cosmic Ray Streaming in the Turbulent Interstellar Medium. Astrophys. J. 2022, 927, 94. [Google Scholar] [CrossRef]
- Cesarsky, C.J.; Volk, H.J. Cosmic Ray Penetration into Molecular Clouds. Astropart. Phys. 1978, 70, 367. [Google Scholar]
- Kulsrud, R.; Pearce, W.P. The Effect of Wave-Particle Interactions on the Propagation of Cosmic Rays. Astrophys. J. 1969, 156, 445. [Google Scholar] [CrossRef]
- Zweibel, E.G.; Shull, J.M. Confinement of cosmic rays in molecular clouds. Astrophys. J. 1982, 259, 859–868. [Google Scholar] [CrossRef]
- Yang, R.Z.; Li, G.X.; Wilhelmi, E.d.O.; Cui, Y.D.; Liu, B.; Aharonian, F. Effective shielding of ≲10 GeV cosmic rays from dense molecular clumps. Nat. Astron. 2023, 7, 351. [Google Scholar] [CrossRef]
- Hill, A.S.; Mac Low, M.M.; Gatto, A.; Ibáñez-Mejía, J.C. Effect of the Heating Rate on the Stability of the Three-phase Interstellar Medium. Astrophys. J. 2018, 862, 55. [Google Scholar] [CrossRef]
- Owen, E.R.; Wu, K.; Jin, X.; Surajbali, P.; Kataoka, N. Starburst and post-starburst high-redshift protogalaxies. The feedback impact of high energy cosmic rays. Astropart. Phys. 2019, 626, A85. [Google Scholar] [CrossRef]
- Walker, M.A. Heating of the Warm Ionized Medium by Low-energy Cosmic Rays. Astrophys. J. 2016, 818, 23. [Google Scholar] [CrossRef]
- Minter, A.H.; Spangler, S.R. Heating of the Interstellar Diffuse Ionized Gas via the Dissipation of Turbulence. Astrophys. J. 1997, 485, 182–194. [Google Scholar] [CrossRef][Green Version]
- Wiener, J.; Zweibel, E.G.; Oh, S.P. Cosmic Ray Heating of the Warm Ionized Medium. Astrophys. J. 2013, 767, 87. [Google Scholar] [CrossRef]
- Wentzel, D.G. Acceleration and Heating of Interstellar Gas by Cosmic Rays. Astrophys. J. 1971, 163, 503. [Google Scholar] [CrossRef]
- Rathjen, T.E.; Naab, T.; Girichidis, P.; Walch, S.; Wünsch, R.; Dinnbier, F.; Seifried, D.; Klessen, R.S.; Glover, S.C.O. SILCC VI—Multiphase ISM structure, stellar clustering, and outflows with supernovae, stellar winds, ionizing radiation, and cosmic rays. Mon. Not. R. Astron. Soc. 2021, 504, 1039–1061. [Google Scholar] [CrossRef]
- Owen, E.R.; On, A.Y.L.; Lai, S.P.; Wu, K. Observational Signatures of Cosmic-Ray Interactions in Molecular Clouds. Astrophys. J. 2021, 913, 52. [Google Scholar] [CrossRef]
- Papadopoulos, P.P.; Thi, W.F.; Miniati, F.; Viti, S. Extreme cosmic ray dominated regions: A new paradigm for high star formation density events in the Universe. Mon. Not. R. Astron. Soc. 2011, 414, 1705–1714. [Google Scholar] [CrossRef]
- Semenov, V.A.; Kravtsov, A.V.; Caprioli, D. Cosmic-Ray Diffusion Suppression in Star-forming Regions Inhibits Clump Formation in Gas-rich Galaxies. Astrophys. J. 2021, 910, 126. [Google Scholar] [CrossRef]
- Farcy, M.; Rosdahl, J.; Dubois, Y.; Blaizot, J.; Martin-Alvarez, S. Radiation-magnetohydrodynamics simulations of cosmic ray feedback in disc galaxies. Mon. Not. R. Astron. Soc. 2022, 513, 5000–5019. [Google Scholar] [CrossRef]
- Bustard, C.; Zweibel, E.G. Cosmic-Ray Transport, Energy Loss, and Influence in the Multiphase Interstellar Medium. Astrophys. J. 2021, 913, 106. [Google Scholar] [CrossRef]
- Wiener, J.; Oh, S.P.; Zweibel, E.G. Interaction of cosmic rays with cold clouds in galactic haloes. Mon. Not. R. Astron. Soc. 2017, 467, 646–660. [Google Scholar] [CrossRef]
- Wiener, J.; Zweibel, E.G.; Ruszkowski, M. Cosmic ray acceleration of cool clouds in the circumgalactic medium. Mon. Not. R. Astron. Soc. 2019, 489, 205–223. [Google Scholar] [CrossRef]
- Brüggen, M.; Scannapieco, E. The Launching of Cold Clouds by Galaxy Outflows. IV. Cosmic-Ray-driven Acceleration. Astrophys. J. 2020, 905, 19. [Google Scholar] [CrossRef]
- Heintz, E.; Bustard, C.; Zweibel, E.G. The Role of the Parker Instability in Structuring the Interstellar Medium. Astrophys. J. 2020, 891, 157. [Google Scholar] [CrossRef]
- Heintz, E.; Zweibel, E.G. The Parker Instability with Cosmic-Ray Streaming. Astrophys. J. 2018, 860, 97. [Google Scholar] [CrossRef]
- Protheroe, R.J.; Ott, J.; Ekers, R.D.; Jones, D.I.; Crocker, R.M. Interpretation of radio continuum and molecular line observations of Sgr B2: Free-free and synchrotron emission, and implications for cosmic rays. Mon. Not. R. Astron. Soc. 2008, 390, 683–692. [Google Scholar] [CrossRef][Green Version]
- Dogiel, V.A.; Chernyshov, D.O.; Kiselev, A.M.; Nobukawa, M.; Cheng, K.S.; Hui, C.Y.; Ko, C.M.; Nobukawa, K.K.; Tsuru, T.G. Spectrum of Relativistic and Subrelativistic Cosmic Rays in the 100 pc Central Region. Astrophys. J. 2015, 809, 48. [Google Scholar] [CrossRef]
- Ivlev, A.V.; Dogiel, V.A.; Chernyshov, D.O.; Caselli, P.; Ko, C.M.; Cheng, K.S. Penetration of Cosmic Rays into Dense Molecular Clouds: Role of Diffuse Envelopes. Astrophys. J. 2018, 855, 23. [Google Scholar] [CrossRef]
- Everett, J.E.; Zweibel, E.G. The Interaction of Cosmic Rays with Diffuse Clouds. Astrophys. J. 2011, 739, 60. [Google Scholar] [CrossRef]
- Skilling, J.; Strong, A.W. Cosmic ray exclusion from dense molecular clouds. Astropart. Phys. 1976, 53, 253–258. [Google Scholar]
- Silsbee, K.; Ivlev, A.V. Exclusion of Cosmic Rays from Molecular Clouds by Self-generated Electric Fields. Astrophys. J. Lett. 2020, 902, L25. [Google Scholar] [CrossRef]
- Ko, C.M. A note on the hydrodynamical description of cosmic ray propagation. Astropart. Phys. 1992, 259, 377–381. [Google Scholar]
- Padoan, P.; Scalo, J. Confinement-driven Spatial Variations in the Cosmic-Ray Flux. Astrophys. J. Lett. 2005, 624, L97–L100. [Google Scholar] [CrossRef][Green Version]
- Chandran, B.D.G. Confinement and Isotropization of Galactic Cosmic Rays by Molecular-Cloud Magnetic Mirrors When Turbulent Scattering Is Weak. Astrophys. J. 2000, 529, 513–535. [Google Scholar] [CrossRef]
- Desch, S.J.; Connolly, H.C.J.; Srinivasan, G. An Interstellar Origin for the Beryllium 10 in Calcium-rich, Aluminum-rich Inclusions. Astrophys. J. 2004, 602, 528–542. [Google Scholar] [CrossRef][Green Version]
- Owen, E.R.; Lee, K.G.; Kong, A.K.H. Characterizing the signatures of star-forming galaxies in the extragalactic γ-ray background. Mon. Not. R. Astron. Soc. 2021, 506, 52–72. [Google Scholar] [CrossRef]
- Silsbee, K.; Ivlev, A.V.; Padovani, M.; Caselli, P. Magnetic Mirroring and Focusing of Cosmic Rays. Astrophys. J. 2018, 863, 188. [Google Scholar] [CrossRef]
- Albertsson, T.; Kauffmann, J.; Menten, K.M. Atlas of Cosmic-Ray-induced Astrochemistry. Astrophys. J. 2018, 868, 40. [Google Scholar] [CrossRef]
- Li, G.X.; Burkert, A. Quantifying the interplay between gravity and magnetic field in molecular clouds—A possible multiscale energy equipartition in NGC 6334. Mon. Not. R. Astron. Soc. 2018, 474, 2167–2172. [Google Scholar] [CrossRef]
- Padovani, M.; Ivlev, A.V.; Galli, D.; Caselli, P. Cosmic-ray ionisation in circumstellar discs. Astropart. Phys. 2018, 614, A111. [Google Scholar] [CrossRef]
- Phan, V.H.M.; Morlino, G.; Gabici, S. What causes the ionization rates observed in diffuse molecular clouds? The role of cosmic ray protons and electrons. Mon. Not. R. Astron. Soc. 2018, 480, 5167–5174. [Google Scholar] [CrossRef]
- Morlino, G.; Gabici, S. Cosmic ray penetration in diffuse clouds. Mon. Not. R. Astron. Soc. 2015, 451, L100–L104. [Google Scholar] [CrossRef]
- Dogiel, V.A.; Chernyshov, D.O.; Ivlev, A.V.; Malyshev, D.; Strong, A.W.; Cheng, K.S. Gamma-Ray Emission from Molecular Clouds Generated by Penetrating Cosmic Rays. Astrophys. J. 2018, 868, 114. [Google Scholar] [CrossRef]
- Padovani, M.; Galli, D.; Glassgold, A.E. Cosmic-ray ionization of molecular clouds. Astropart. Phys. 2009, 501, 619–631. [Google Scholar] [CrossRef]
- Gabici, S. Low-energy cosmic rays: Regulators of the dense interstellar medium. Astron. Astrophys. Rev. 2022, 30, 4. [Google Scholar] [CrossRef]
- Oka, T.; Geballe, T.R.; Goto, M.; Usuda, T.; Benjamin; McCall, J.; Indriolo, N. The Central 300 pc of the Galaxy Probed by Infrared Spectra of H3+ and CO. I. Predominance of Warm and Diffuse Gas and High H2 Ionization Rate. Astrophys. J. 2019, 883, 54. [Google Scholar] [CrossRef]
- Indriolo, N. Absorption-line Observations of H3+ and CO in Sight Lines Toward the Vela and W28 Supernova Remnants. Astrophys. J. 2023, 950, 64. [Google Scholar] [CrossRef]
- Le Petit, F.; Ruaud, M.; Bron, E.; Godard, B.; Roueff, E.; Languignon, D.; Le Bourlot, J. Physical conditions in the central molecular zone inferred by H3+. Astropart. Phys. 2016, 585, A105. [Google Scholar] [CrossRef]
- Sabatini, G.; Bovino, S.; Redaelli, E. First ALMA maps of cosmic ray ionisation rate in high-mass star-forming regions. arXiv 2023, arXiv:2304.00329. [Google Scholar] [CrossRef]
- Schilke, P.; Neufeld, D.A.; Müller, H.S.P.; Comito, C.; Bergin, E.A.; Lis, D.C.; Gerin, M.; Black, J.H.; Wolfire, M.; Indriolo, N.; et al. Ubiquitous argonium (ArH+) in the diffuse interstellar medium: A molecular tracer of almost purely atomic gas. Astropart. Phys. 2014, 566, A29. [Google Scholar] [CrossRef]
- Jacob, A.M.; Menten, K.M.; Wyrowski, F.; Winkel, B.; Neufeld, D.A. Extending the view of ArH+ chemistry in diffuse clouds. Astropart. Phys. 2020, 643, A91. [Google Scholar] [CrossRef]
- Bialy, S.; Neufeld, D.; Wolfire, M.; Sternberg, A.; Burkhart, B. Chemical Abundances in a Turbulent Medium-H2, OH+, H2O+, ArH+. Astrophys. J. 2019, 885, 109. [Google Scholar] [CrossRef]
- Jacob, A.M.; Neufeld, D.A.; Schilke, P.; Wiesemeyer, H.; Kim, W.J.; Bialy, S.; Busch, M.; Elia, D.; Falgarone, E.; Gerin, M.; et al. HyGAL: Characterizing the Galactic Interstellar Medium with Observations of Hydrides and Other Small Molecules. I. Survey Description and a First Look Toward W3(OH), W3 IRS5. and NGC 7538 IRS1. Astrophys. J. 2022, 930, 141. [Google Scholar] [CrossRef]
- Indriolo, N.; McCall, B.J. Investigating the Cosmic-Ray Ionization Rate in the Galactic Diffuse Interstellar Medium through Observations of H+3. Astrophys. J. 2012, 745, 91. [Google Scholar] [CrossRef]
- Holdship, J.; Viti, S.; Jiménez-Serra, I.; Makrymallis, A.; Priestley, F. UCLCHEM: A Gas-grain Chemical Code for Clouds, Cores, and C-Shocks. Astron. J. 2017, 154, 38. [Google Scholar] [CrossRef]
- Maret, S.; Bergin, E.A. Astrochem: Abundances of Chemical Species in the Interstellar Medium. Astrophysics Source Code Library, record ascl:1507.010. 2015. [Google Scholar]
- Lin, S.J.; Pagani, L.; Lai, S.P.; Lefèvre, C.; Lique, F. Physical and chemical modeling of the starless core L 1512. Astropart. Phys. 2020, 635, A188. [Google Scholar] [CrossRef]
- Indriolo, N.; Blake, G.A.; Goto, M.; Usuda, T.; Oka, T.; Geballe, T.R.; Fields, B.D.; McCall, B.J. Investigating the Cosmic-ray Ionization Rate Near the Supernova Remnant IC 443 through H+3 Observations. Astrophys. J. 2010, 724, 1357–1365. [Google Scholar] [CrossRef]
- Ceccarelli, C.; Hily-Blant, P.; Montmerle, T.; Dubus, G.; Gallant, Y.; Fiasson, A. Supernova-enhanced Cosmic-Ray Ionization and Induced Chemistry in a Molecular Cloud of W51C. Astrophys. J. Lett. 2011, 740, L4. [Google Scholar] [CrossRef]
- Owen, E. The secret agent of galaxy evolution. Astron. Geophys. 2023, 64, 1.29–1.35. [Google Scholar] [CrossRef]
- Caselli, P.; Walmsley, C.M.; Terzieva, R.; Herbst, E. The Ionization Fraction in Dense Cloud Cores. Astrophys. J. 1998, 499, 234–249. [Google Scholar] [CrossRef]
- Morales Ortiz, J.L.; Ceccarelli, C.; Lis, D.C.; Olmi, L.; Plume, R.; Schilke, P. Ionization toward the high-mass star-forming region NGC 6334 I. Astropart. Phys. 2014, 563, A127. [Google Scholar] [CrossRef]
- Hezareh, T.; Houde, M.; McCoey, C.; Vastel, C.; Peng, R. Simultaneous Determination of the Cosmic Ray Ionization Rate and Fractional Ionization in DR 21(OH). Astrophys. J. 2008, 684, 1221–1227. [Google Scholar] [CrossRef][Green Version]
- van der Tak, F.F.S.; van Dishoeck, E.F. Limits on the cosmic-ray ionization rate toward massive young stars. Astropart. Phys. 2000, 358, L79–L82. [Google Scholar] [CrossRef]
- de Boisanger, C.; Helmich, F.P.; van Dishoeck, E.F. The ionization fraction in dense clouds. Astropart. Phys. 1996, 310, 315–327. [Google Scholar] [CrossRef]
- Redaelli, E.; Sipilä, O.; Padovani, M.; Caselli, P.; Galli, D.; Ivlev, A.V. The cosmic-ray ionisation rate in the pre-stellar core L1544. Astropart. Phys. 2021, 656, A109. [Google Scholar] [CrossRef]
- Porras, A.J.; Federman, S.R.; Welty, D.E.; Ritchey, A.M. OH+ in Diffuse Molecular Clouds. Astrophys. J. Lett. 2014, 781, L8. [Google Scholar] [CrossRef]
- Indriolo, N.; Geballe, T.R.; Oka, T.; McCall, B.J. H+3 in Diffuse Interstellar Clouds: A Tracer for the Cosmic-Ray Ionization Rate. Astrophys. J. 2007, 671, 1736–1747. [Google Scholar] [CrossRef]
- Indriolo, N.; Neufeld, D.A.; Gerin, M.; Schilke, P.; Benz, A.O.; Winkel, B.; Menten, K.M.; Chambers, E.T.; Black, J.H.; Bruderer, S.; et al. Herschel Survey of Galactic OH+, H2O+, and H3O+: Probing the Molecular Hydrogen Fraction and Cosmic-Ray Ionization Rate. Astrophys. J. 2015, 800, 40. [Google Scholar] [CrossRef]
- Bacalla, X.L.; Linnartz, H.; Cox, N.L.J.; Cami, J.; Roueff, E.; Smoker, J.V.; Farhang, A.; Bouwman, J.; Zhao, D. The EDIBLES survey. IV. Cosmic ray ionization rates in diffuse clouds from near-ultraviolet observations of interstellar OH+. Astropart. Phys. 2019, 622, A31. [Google Scholar] [CrossRef]
- Padovani, M.; Galli, D. Synchrotron emission in molecular cloud cores: The SKA view. Astropart. Phys. 2018, 620, L4. [Google Scholar] [CrossRef]
- Padovani, M.; Bialy, S.; Galli, D.; Ivlev, A.V.; Grassi, T.; Scarlett, L.H.; Rehill, U.S.; Zammit, M.C.; Fursa, D.V.; Bray, I. Cosmic rays in molecular clouds probed by H2 rovibrational lines. Perspectives for the James Webb Space Telescope. Astropart. Phys. 2022, 658, A189. [Google Scholar] [CrossRef]
- Tatischeff, V.; Decourchelle, A.; Maurin, G. Nonthermal X-rays from low-energy cosmic rays: Application to the 6.4 keV line emission from the Arches cluster region. Astropart. Phys. 2012, 546, A88. [Google Scholar] [CrossRef]
- Okon, H.; Imai, M.; Tanaka, T.; Uchida, H.; Tsuru, T.G. Probing cosmic rays with Fe Kα line structures generated by multiple ionization process. Publ. Astron. Soc. Jpn. 2020, 72, L7. [Google Scholar] [CrossRef]
- Bialy, S. Cold clouds as cosmic-ray detectors. Commun. Phys. 2020, 3, 32. [Google Scholar] [CrossRef]
- Bialy, S.; Belli, S.; Padovani, M. Constraining the cosmic-ray ionization rate and spectrum with NIR spectroscopy of dense clouds. A testbed for JWST. Astropart. Phys. 2022, 658, L13. [Google Scholar] [CrossRef]
- Gaches, B.A.L.; Bialy, S.; Bisbas, T.G.; Padovani, M.; Seifried, D.; Walch, S. Cosmic-ray-induced H2 line emission. Astrochemical modeling and implications for JWST observations. Astropart. Phys. 2022, 664, A150. [Google Scholar] [CrossRef]
- Casanova, S.; Aharonian, F.A.; Fukui, Y.; Gabici, S.; Jones, D.I.; Kawamura, A.; Onishi, T.; Rowell, G.; Sano, H.; Torii, K.; et al. Molecular Clouds as Cosmic-Ray Barometers. Publ. Astron. Soc. Jpn. 2010, 62, 769. [Google Scholar] [CrossRef]
- Cavasinni, V.; Grasso, D.; Maccione, L. TeV neutrinos from supernova remnants embedded in giant molecular clouds. Astroparticle Physics 2006, 26, 41–49. [Google Scholar] [CrossRef][Green Version]
- Banik, P.; Bhadra, A. An interacting molecular cloud scenario for production of gamma-rays and neutrinos from MAGIC J1835-069, and MAGIC J1837-073. Eur. Phys. J. C 2021, 81, 478. [Google Scholar] [CrossRef]
- Sarmah, P.; Chakraborty, S.; Joshi, J.C. Probing LHAASO galactic PeVatrons through gamma-ray and neutrino correspondence. Mon. Not. R. Astron. Soc. 2023, 521, 1144–1151. [Google Scholar] [CrossRef]
- Abbasi, R.; Ackermann, M.; Adams, J.; Aggarwal, N.; Aguilar, J.A.; Ahlers, M.; Alameddine, J.M.; Alves, A.A.; Amin, N.M.; Andeen, K.; et al. Searches for Neutrinos from Large High Altitude Air Shower Observatory Ultra-high-energy γ-Ray Sources Using the IceCube Neutrino Observatory. Astrophys. J. Lett. 2023, 945, L8. [Google Scholar] [CrossRef]
- Voisin, F.J.; Rowell, G.P.; Burton, M.G.; Fukui, Y.; Sano, H.; Aharonian, F.; Maxted, N.; Braiding, C.; Blackwell, R.; Lau, J. Connecting the ISM to TeV PWNe and PWN candidates. Pub. Astron. Soc. Aust. 2019, 36, e014. [Google Scholar] [CrossRef]
- Aharonian, F. et al. [H. E. S. S. Collaboration] HESS J1809-193: A halo of escaped electrons around a pulsar wind nebula? arXiv 2023, arXiv:2302.13663. [Google Scholar] [CrossRef]
- Crutcher, R.M. Magnetic Fields in Molecular Clouds. Annu. Rev. Astron. Astrophys. 2012, 50, 29–63. [Google Scholar] [CrossRef]
- Rodríguez, L.F.; Zapata, L.A. Star Formation in the Massive “Starless” Infrared Dark Cloud G0.253+0.016. Astrophys. J. Lett. 2013, 767, L13. [Google Scholar] [CrossRef]
- Jones, D.I. Prospects for Detection of Synchrotron Emission from Secondary Electrons and Positrons in Starless Cores: Application to G0.216+0.016. Astrophys. J. Lett. 2014, 792, L14. [Google Scholar] [CrossRef][Green Version]
- Zhang, J.; Hopkins, A.; Barnes, P.J.; Cagnes, M.; Yonekura, Y.; Fukui, Y. The Radio-FIR Correlation in the Milky Way. Pub. Astron. Soc. Aust. 2010, 27, 340–346. [Google Scholar] [CrossRef]
- Filho, M.E.; Tabatabaei, F.S.; Sánchez Almeida, J.; Muñoz-Tuñón, C.; Elmegreen, B.G. Global correlations between the radio continuum, infrared, and CO emissions in dwarf galaxies. Mon. Not. R. Astron. Soc. 2019, 484, 543–561. [Google Scholar] [CrossRef]
- Strong, A.W.; Dickinson, C.; Murphy, E.J. Synchrotron radiation from molecular clouds. arXiv 2014, arXiv:1412.4500. [Google Scholar] [CrossRef]
- Gabici, S.; Aharonian, F.A.; Casanova, S. Broad-band non-thermal emission from molecular clouds illuminated by cosmic rays from nearby supernova remnants. Mon. Not. R. Astron. Soc. 2009, 396, 1629–1639. [Google Scholar] [CrossRef]
- Aharonian, F.; Peron, G.; Yang, R.; Casanova, S.; Zanin, R. Probing the sea of galactic cosmic rays with Fermi-LAT. Phys. Rev. D 2020, 101, 083018. [Google Scholar] [CrossRef]
- Aharonian, F.A. Gamma Rays from Molecular Clouds. Space Sci. Rev. 2001, 99, 187–196. [Google Scholar] [CrossRef]
- Abrahams, R.D.; Teachey, A.; Paglione, T.A.D. Calibrating Column Density Tracers with Gamma-Ray Observations of the ρ Ophiuchi Molecular Cloud. Astrophys. J. 2017, 834, 91. [Google Scholar] [CrossRef]
- Peron, G.; Aharonian, F. Probing the galactic cosmic-ray density with current and future γ-ray instruments. Astropart. Phys. 2022, 659, A57. [Google Scholar] [CrossRef]
- Neufeld, D.A.; Wolfire, M.G. The Cosmic-Ray Ionization Rate in the Galactic Disk, as Determined from Observations of Molecular Ions. Astrophys. J. 2017, 845, 163. [Google Scholar] [CrossRef]
- Phan, V.H.M.; Recchia, S.; Mertsch, P.; Gabici, S. Stochasticity of cosmic rays from supernova remnants and the ionization rates in molecular clouds. Phys. Rev. D 2023, 107, 123006. [Google Scholar] [CrossRef]
- Phan, V.H.M.; Schulze, F.; Mertsch, P.; Recchia, S.; Gabici, S. Stochastic Fluctuations of Low-Energy Cosmic Rays and the Interpretation of Voyager Data. Phys. Rev. Lett. 2021, 127, 141101. [Google Scholar] [CrossRef] [PubMed]
- Huang, X.; Yuan, Q.; Fan, Y.Z. A GeV-TeV particle component and the barrier of cosmic-ray sea in the Central Molecular Zone. Nat. Commun. 2021, 12, 6169. [Google Scholar] [CrossRef]
- Chernyshov, D.O.; Egorov, A.E.; Dogiel, V.A.; Ivlev, A.V. On a Possible Origin of the Gamma-ray Excess around the Galactic Center. Symmetry 2021, 13, 1432. [Google Scholar] [CrossRef]
- Acero, F.; Ackermann, M.; Ajello, M.; Albert, A.; Baldini, L.; Ballet, J.; Barbiellini, G.; Bastieri, D.; Bellazzini, R.; Bissaldi, E.; et al. Development of the Model of Galactic Interstellar Emission for Standard Point-source Analysis of Fermi Large Area Telescope Data. Astrophys. J. Suppl. 2016, 223, 26. [Google Scholar] [CrossRef]
- Guo, Y.Q.; Yuan, Q. Understanding the spectral hardenings and radial distribution of Galactic cosmic rays and Fermi diffuse γ rays with spatially-dependent propagation. Phys. Rev. D 2018, 97, 063008. [Google Scholar] [CrossRef]
- Peron, G.; Aharonian, F.; Casanova, S.; Yang, R.; Zanin, R. Probing the Cosmic-Ray Density in the Inner Galaxy. Astrophys. J. Lett. 2021, 907, L11. [Google Scholar] [CrossRef]
- Rogers, F.; Zhang, S.; Perez, K.; Clavel, M.; Taylor, A. New Constraints on Cosmic Particle Populations at the Galactic Center Using X-ray Observations of the Molecular Cloud Sagittarius B2. Astrophys. J. 2022, 934, 19. [Google Scholar] [CrossRef]
- Yusef-Zadeh, F.; Law, C.; Wardle, M.; Wang, Q.D.; Fruscione, A.; Lang, C.C.; Cotera, A. Detection of X-ray Emission from the Arches Cluster near the Galactic Center. Astrophys. J. 2002, 570, 665–670. [Google Scholar] [CrossRef]
- Wang, Q.D.; Dong, H.; Lang, C. The interplay between star formation and the nuclear environment of our Galaxy: Deep X-ray observations of the Galactic centre Arches and Quintuplet clusters. Mon. Not. R. Astron. Soc. 2006, 371, 38–54. [Google Scholar] [CrossRef][Green Version]
- Kuznetsova, E.; Krivonos, R.; Clavel, M.; Lutovinov, A.; Chernyshov, D.; Hong, J.; Mori, K.; Ponti, G.; Tomsick, J.; Zhang, S. Investigating the origin of the faint non-thermal emission of the Arches cluster using the 2015-2016 NuSTAR and XMM-Newton X-ray observations. Mon. Not. R. Astron. Soc. 2019, 484, 1627–1636. [Google Scholar] [CrossRef]
- Clavel, M.; Soldi, S.; Terrier, R.; Tatischeff, V.; Maurin, G.; Ponti, G.; Goldwurm, A.; Decourchelle, A. Variation of the X-ray non-thermal emission in the Arches cloud. Mon. Not. R. Astron. Soc. 2014, 443, L129–L133. [Google Scholar] [CrossRef]
- Krivonos, R.A.; Tomsick, J.A.; Bauer, F.E.; Baganoff, F.K.; Barriere, N.M.; Bodaghee, A.; Boggs, S.E.; Christensen, F.E.; Craig, W.W.; Grefenstette, B.W.; et al. First Hard X-ray Detection of the Non-thermal Emission around the Arches Cluster: Morphology and Spectral Studies with NuSTAR. Astrophys. J. 2014, 781, 107. [Google Scholar] [CrossRef]
- Chernyshov, D.O.; Ko, C.M.; Krivonos, R.A.; Dogiel, V.A.; Cheng, K.S. Time Variability of Equivalent Width of 6.4 keV Line from the Arches Complex: Reflected X-rays or Charged Particles? Astrophys. J. 2018, 863, 85. [Google Scholar] [CrossRef]
- Nobukawa, K.K.; Saji, S.; Hirayama, A.; Nobukawa, M.; Yamauchi, S.; Matsumoto, H.; Koyama, K. Measurement of Low-Energy Cosmic Rays via the Neutral Iron Line. J. Phys. Conf. Ser. 2019, 1181, 012040. [Google Scholar] [CrossRef]
- Bergin, E.A.; Tafalla, M. Cold Dark Clouds: The Initial Conditions for Star Formation. Annu. Rev. Astron. Astrophys. 2007, 45, 339–396. [Google Scholar] [CrossRef]
- Rodríguez, L.F.R. Molecular Clouds: Fragmentation, Modeling and Observations. In Proceedings of the The Cool Universe: Observing Cosmic Dawn, Valparaiso, Chile, 4–8 October 2004; Astronomical Society of the Pacific Conference Series. Lidman, C., Alloin, D., Eds.; Astronomical Society of the Pacific: San Francisco, CA, USA, 2005; Volume 344, p. 146. [Google Scholar]
- Myers, P.C. Star Forming Molecular Clouds. In Molecular Clouds and Star Formation; Chi, Y., You, J., Eds.; World Scientific Publishing Co Pte Ltd.: Singapore, 1995; p. 47. [Google Scholar]
- Spitzer, L.J.; Tomasko, M.G. Heating of H i Regions by Energetic Particles. Astrophys. J. 1968, 152, 971. [Google Scholar] [CrossRef]
- Goldsmith, P.F. Molecular Depletion and Thermal Balance in Dark Cloud Cores. Astrophys. J. 2001, 557, 736–746. [Google Scholar] [CrossRef]
- Consolandi, C. Precision Measurement of the Proton Flux in Primary Cosmic Rays from 1 GV to 1.8 TV with the Alpha Magnetic Spectrometer on the International Space Station. arXiv 2016, arXiv:1612.08562. [Google Scholar] [CrossRef]
- Crutcher, R.M.; Wandelt, B.; Heiles, C.; Falgarone, E.; Troland, T.H. Magnetic Fields in Interstellar Clouds from Zeeman Observations: Inference of Total Field Strengths by Bayesian Analysis. Astrophys. J. 2010, 725, 466–479. [Google Scholar] [CrossRef]
- Elmegreen, B.G. Magnetic diffusion and ionization fractions in dense molecular clouds: The role of charged grains. Astrophys. J. 1979, 232, 729–739. [Google Scholar] [CrossRef]
- Bisbas, T.G.; van Dishoeck, E.F.; Papadopoulos, P.P.; Szűcs, L.; Bialy, S.; Zhang, Z.Y. Cosmic-ray Induced Destruction of CO in Star-forming Galaxies. Astrophys. J. 2017, 839, 90. [Google Scholar] [CrossRef]
- Gaches, B.A.L.; Offner, S.S.R. Exploration of Cosmic-ray Acceleration in Protostellar Accretion Shocks and a Model for Ionization Rates in Embedded Protoclusters. Astrophys. J. 2018, 861, 87. [Google Scholar] [CrossRef]
- Gong, M.; Ostriker, E.C.; Wolfire, M.G. A Simple and Accurate Network for Hydrogen and Carbon Chemistry in the Interstellar Medium. Astrophys. J. 2017, 843, 38. [Google Scholar] [CrossRef]
- Pazianotto, M.T.; Pilling, S.; Quesada Molina, J.M.; Federico, C.A. Energy Deposition by Cosmic Rays in the Molecular Cloud Using GEANT4 Code and Voyager I Data. Astrophys. J. 2021, 911, 129. [Google Scholar] [CrossRef]
- Pazianotto, M.T.; Pilling, S. Computational simulation of the bombardment of molecular clump by realistic cosmic ray field employing GEANT4 code. Mon. Not. R. Astron. Soc. 2023, 518, 1735–1743. [Google Scholar] [CrossRef]
- Pilling, S.; Pazianotto, M.T.; de Souza, L.A.; Maciel do Nascimento, L. Realistic energy deposition and temperature heating in molecular clouds due to cosmic rays: A computation simulation with the GEANT4 code employing light particles and medium-mass and heavy ions. Mon. Not. R. Astron. Soc. 2022, 509, 6169–6178. [Google Scholar] [CrossRef]
- Aharonian, F.A. Vary High and Ultra High Energy Gamma-Rays from Giant Molecular Clouds. Astrophys. Space Sci. 1991, 180, 305–320. [Google Scholar] [CrossRef]
- Fujita, Y.; Nobukawa, K.K.; Sano, H. Intrusion of MeV-TeV Cosmic Rays into Molecular Clouds Studied by Ionization, the Neutral Iron Line, and Gamma Rays. Astrophys. J. 2021, 908, 136. [Google Scholar] [CrossRef]
- Nobukawa, K.K.; Nobukawa, M.; Koyama, K.; Yamauchi, S.; Uchiyama, H.; Okon, H.; Tanaka, T.; Uchida, H.; Tsuru, T.G. Evidence for a Neutral Iron Line Generated by MeV Protons from Supernova Remnants Interacting with Molecular Clouds. Astrophys. J. 2018, 854, 87. [Google Scholar] [CrossRef]
- Maxted, N.I.; Braiding, C.; Wong, G.F.; Rowell, G.P.; Burton, M.G.; Filipović, M.D.; Voisin, F.; Urošević, D.; Vukotić, B.; Pavlović, M.Z.; et al. Searching for an interstellar medium association for HESS J1534-571. Mon. Not. R. Astron. Soc. 2018, 480, 134–148. [Google Scholar] [CrossRef]
- Okon, H.; Uchida, H.; Tanaka, T.; Matsumura, H.; Tsuru, T.G. The origin of recombining plasma and the detection of the Fe-K line in the supernova remnant W 28. Publ. Astron. Soc. Jpn. 2018, 70, 35. [Google Scholar] [CrossRef]
- Saji, S.; Matsumoto, H.; Nobukawa, M.; Nobukawa, K.K.; Uchiyama, H.; Yamauchi, S.; Koyama, K. Discovery of 6.4 keV line and soft X-ray emissions from G323.7-1.0 with Suzaku. Publ. Astron. Soc. Jpn. 2018, 70, 23. [Google Scholar] [CrossRef]
- Makino, K.; Fujita, Y.; Nobukawa, K.K.; Matsumoto, H.; Ohira, Y. Interaction between molecular clouds and MeV-TeV cosmic-ray protons escaped from supernova remnants. Publ. Astron. Soc. Jpn. 2019, 71, 78. [Google Scholar] [CrossRef]
- Nobukawa, K.K.; Hirayama, A.; Shimaguchi, A.; Fujita, Y.; Nobukawa, M.; Yamauchi, S. Neutral iron line in the supernova remnant IC 443 and implications for MeV cosmic rays. Publ. Astron. Soc. Jpn. 2019, 71, 115. [Google Scholar] [CrossRef]
- Shimaguchi, A.; Nobukawa, K.K.; Yamauchi, S.; Nobukawa, M.; Fujita, Y. Suzaku observations of Fe K-shell lines in the supernova remnant W 51 C and hard X-ray sources in the proximity. Publ. Astron. Soc. Jpn. 2022, 74, 656–663. [Google Scholar] [CrossRef]
- Mitchell, A.M.W.; Rowell, G.P.; Celli, S.; Einecke, S. Using interstellar clouds to search for Galactic PeVatrons: Gamma-ray signatures from supernova remnants. Mon. Not. R. Astron. Soc. 2021, 503, 3522–3539. [Google Scholar] [CrossRef]
- Hewitt, J.W.; Yusef-Zadeh, F.; Wardle, M. Correlation of Supernova Remnant Masers and Gamma-Ray Sources. Astrophys. J. Lett. 2009, 706, L270–L274. [Google Scholar] [CrossRef][Green Version]
- Voisin, F.; Rowell, G.; Burton, M.G.; Walsh, A.; Fukui, Y.; Aharonian, F. ISM gas studies towards the TeV PWN HESS J1825-137 and northern region. Mon. Not. R. Astron. Soc. 2016, 458, 2813–2835. [Google Scholar] [CrossRef]
- Abdalla, H. et al. [H. E. S. S. Collaboration] The H.E.S.S. Galactic plane survey. Astropart. Phys. 2018, 612, A1. [Google Scholar] [CrossRef]
- Sano, H.; Yoshiike, S.; Yamane, Y.; Hayashi, K.; Enokiya, R.; Tokuda, K.; Tachihara, K.; Rowell, G.; Filipović, M.D.; Fukui, Y. ALMA CO Observations of the Mixed-morphology Supernova Remnant W49B: Efficient Production of Recombining Plasma and Hadronic Gamma Rays via Shock-Cloud Interactions. Astrophys. J. 2021, 919, 123. [Google Scholar] [CrossRef]
- Jacobs, H.; Mertsch, P.; Phan, V.H.M. Self-confinement of low-energy cosmic rays around supernova remnants. J. Cosmol. Astropart. Phys. 2022, 2022, 024. [Google Scholar] [CrossRef]
- Fujii, M.S.; Portegies Zwart, S. The Formation and Dynamical Evolution of Young Star Clusters. Astrophys. J. 2016, 817, 4. [Google Scholar] [CrossRef]
- Li, M.; Ostriker, J.P.; Cen, R.; Bryan, G.L.; Naab, T. Supernova Feedback and the Hot Gas Filling Fraction of the Interstellar Medium. Astrophys. J. 2015, 814, 4. [Google Scholar] [CrossRef]
- Krumholz, M.R.; Crocker, R.M.; Xu, S.; Lazarian, A.; Rosevear, M.T.; Bedwell-Wilson, J. Cosmic ray transport in starburst galaxies. Mon. Not. R. Astron. Soc. 2020, 493, 2817–2833. [Google Scholar] [CrossRef]
- Peng, F.K.; Xi, S.Q.; Wang, X.Y.; Zhi, Q.J.; Li, D. Comparative study of gamma-ray emission from molecular clouds and star-forming galaxies. Astropart. Phys. 2019, 621, A70. [Google Scholar] [CrossRef]
- Eichmann, B.; Becker Tjus, J. The Radio-Gamma Correlation in Starburst Galaxies. Astrophys. J. 2016, 821, 87. [Google Scholar] [CrossRef]
- Ajello, M.; Di Mauro, M.; Paliya, V.S.; Garrappa, S. The γ-Ray Emission of Star-forming Galaxies. Astrophys. J. 2020, 894, 88. [Google Scholar] [CrossRef]
- Kauffmann, G.; Heckman, T.M.; Tremonti, C.; Brinchmann, J.; Charlot, S.; White, S.D.M.; Ridgway, S.E.; Brinkmann, J.; Fukugita, M.; Hall, P.B.; et al. The host galaxies of active galactic nuclei. Mon. Not. R. Astron. Soc. 2003, 346, 1055–1077. [Google Scholar] [CrossRef]
- Schawinski, K.; Urry, C.M.; Virani, S.; Coppi, P.; Bamford, S.P.; Treister, E.; Lintott, C.J.; Sarzi, M.; Keel, W.C.; Kaviraj, S.; et al. Galaxy Zoo: The Fundamentally Different Co-Evolution of Supermassive Black Holes and Their Early- and Late-Type Host Galaxies. Astrophys. J. 2010, 711, 284–302. [Google Scholar] [CrossRef]
- Wilson, A.S.; Ulvestad, J.S. A Radiative Bow Shock Wave (?) Driven by Nuclear Ejecta in a Seyfert Galaxy. Astrophys. J. 1987, 319, 105. [Google Scholar] [CrossRef]
- Michiyama, T.; Inoue, Y.; Doi, A.; Khangulyan, D. ALMA Detection of Parsec-scale Blobs at the Head of a Kiloparsec-scale Jet in the Nearby Seyfert Galaxy NGC 1068. Astrophys. J. Lett. 2022, 936, L1. [Google Scholar] [CrossRef]
- Tombesi, F.; Cappi, M.; Reeves, J.N.; Palumbo, G.G.C.; Yaqoob, T.; Braito, V.; Dadina, M. Evidence for ultra-fast outflows in radio-quiet AGNs. I. Detection and statistical incidence of Fe K-shell absorption lines. Astropart. Phys. 2010, 521, A57. [Google Scholar] [CrossRef]
- Tombesi, F.; Cappi, M.; Reeves, J.N.; Braito, V. Evidence for ultrafast outflows in radio-quiet AGNs—III. Location and energetics. Mon. Not. R. Astron. Soc. 2012, 422, L1–L5. [Google Scholar] [CrossRef]
- Gofford, J.; Reeves, J.N.; McLaughlin, D.E.; Braito, V.; Turner, T.J.; Tombesi, F.; Cappi, M. The Suzaku view of highly ionized outflows in AGN—II. Location, energetics and scalings with bolometric luminosity. Mon. Not. R. Astron. Soc. 2015, 451, 4169–4182. [Google Scholar] [CrossRef]
- Wang, X.; Loeb, A. Probing the gaseous halo of galaxies through non-thermal emission from AGN-driven outflows. Mon. Not. R. Astron. Soc. 2015, 453, 837–848. [Google Scholar] [CrossRef][Green Version]
- Lamastra, A.; Fiore, F.; Guetta, D.; Antonelli, L.A.; Colafrancesco, S.; Menci, N.; Puccetti, S.; Stamerra, A.; Zappacosta, L. Galactic outflow driven by the active nucleus and the origin of the gamma-ray emission in NGC 1068. Astropart. Phys. 2016, 596, A68. [Google Scholar] [CrossRef]
- Liu, R.Y.; Murase, K.; Inoue, S.; Ge, C.; Wang, X.Y. Can Winds Driven by Active Galactic Nuclei Account for the Extragalactic Gamma-Ray and Neutrino Backgrounds? Astrophys. J. 2018, 858, 9. [Google Scholar] [CrossRef]
- Inoue, S.; Cerruti, M.; Murase, K.; Liu, R.Y. High-energy neutrinos and gamma rays from winds and tori in active galactic nuclei. arXiv 2022, arXiv:2207.02097. [Google Scholar] [CrossRef]
- Peretti, E.; Lamastra, A.; Saturni, F.G.; Ahlers, M.; Blasi, P.; Morlino, G.; Cristofari, P. Diffusive shock acceleration at EeV and associated multimessenger flux from ultra-fast outflows driven by Active Galactic Nuclei. arXiv 2023, arXiv:2301.13689. [Google Scholar] [CrossRef]
- Kahler, S.W. Solar flares and coronal mass ejections. Annu. Rev. Astron. Astrophys. 1992, 30, 113–141. [Google Scholar] [CrossRef]
- Cliver, E.W.; Schrijver, C.J.; Shibata, K.; Usoskin, I.G. Extreme solar events. Living Rev. Sol. Phys. 2022, 19, 2. [Google Scholar] [CrossRef]
- Kazanas, D.; Ellison, D.C. The Central Engine of Quasars and Active Galactic Nuclei: Hadronic Interactions of Shock-accelerated Relativistic Protons. Astrophys. J. 1986, 304, 178. [Google Scholar] [CrossRef]
- Zdziarski, A.A. On the Origin of the Infrared and X-ray Continua of Active Galactic Nuclei. Astrophys. J. 1986, 305, 45. [Google Scholar] [CrossRef]
- Sikora, M.; Kirk, J.G.; Begelman, M.C.; Schneider, P. Electron Injection by Relativistic Protons in Active Galactic Nuclei. Astrophys. J. Lett. 1987, 320, L81. [Google Scholar] [CrossRef]
- Begelman, M.C.; Rudak, B.; Sikora, M. Consequences of Relativistic Proton Injection in Active Galactic Nuclei. Astrophys. J. 1990, 362, 38. [Google Scholar] [CrossRef]
- Stecker, F.W.; Done, C.; Salamon, M.H.; Sommers, P. Erratum: “High-energy neutrinos from active galactic nuclei” [Phys. Rev. Lett. 66. 2697 (1991)]. Phys. Rev. Lett. 1992, 69, 2738. [Google Scholar] [CrossRef]
- Inoue, Y.; Khangulyan, D.; Inoue, S.; Doi, A. On High-energy Particles in Accretion Disk Coronae of Supermassive Black Holes: Implications for MeV Gamma-rays and High-energy Neutrinos from AGN Cores. Astrophys. J. 2019, 880, 40. [Google Scholar] [CrossRef]
- Kimura, S.S.; Murase, K.; Toma, K. Neutrino and Cosmic-Ray Emission and Cumulative Background from Radiatively Inefficient Accretion Flows in Low-luminosity Active Galactic Nuclei. Astrophys. J. 2015, 806, 159. [Google Scholar] [CrossRef]
- Abbasi, R. et al. [IceCube Collaboration] Evidence for neutrino emission from the nearby active galaxy NGC 1068. Science 2022, 378, 538–543. [Google Scholar] [CrossRef] [PubMed]
- Lenain, J.P.; Ricci, C.; Türler, M.; Dorner, D.; Walter, R. Seyfert 2 galaxies in the GeV band: Jets and starburst. Astropart. Phys. 2010, 524, A72. [Google Scholar] [CrossRef]
- Ajello, M.; Atwood, W.B.; Baldini, L.; Ballet, J.; Barbiellini, G.; Bastieri, D.; Bellazzini, R.; Bissaldi, E.; Blandford, R.D.; Bloom, E.D.; et al. 3FHL: The Third Catalog of Hard Fermi-LAT Sources. Astrophys. J. Suppl. 2017, 232, 18. [Google Scholar] [CrossRef]
- Abdollahi, S. et al. [The Fermi-LAT Collaboration] Fermi Large Area Telescope Fourth Source Catalog. arXiv 2019, arXiv:1902.10045. [Google Scholar]
- Aartsen, M.G. et al. [IceCube Collaboration] Time-integrated Neutrino Source Searches with 10 years of IceCube Data. arXiv 2019, arXiv:1910.08488. [Google Scholar]
- Inoue, Y.; Khangulyan, D.; Doi, A. On the Origin of High-energy Neutrinos from NGC 1068: The Role of Nonthermal Coronal Activity. Astrophys. J. Lett. 2020, 891, L33. [Google Scholar] [CrossRef]
- Murase, K.; Kimura, S.S.; Mészáros, P. Hidden Cores of Active Galactic Nuclei as the Origin of Medium-Energy Neutrinos: Critical Tests with the MeV Gamma-Ray Connection. Phys. Rev. Lett. 2020, 125, 011101. [Google Scholar] [CrossRef]
- Eichmann, B.; Oikonomou, F.; Salvatore, S.; Dettmar, R.J.; Tjus, J.B. Solving the Multimessenger Puzzle of the AGN-starburst Composite Galaxy NGC 1068. Astrophys. J. 2022, 939, 43. [Google Scholar] [CrossRef]
- Michel, F.C. Cosmic-ray acceleration by pulsars. Adv. Space Res. 1984, 4, 387–391. [Google Scholar] [CrossRef]
- Heyl, J.S.; Gill, R.; Hernquist, L. Cosmic rays from pulsars and magnetars. Mon. Not. R. Astron. Soc. 2010, 406, L25–L29. [Google Scholar] [CrossRef]
- Fang, K.; Kotera, K.; Murase, K.; Olinto, A.V. Testing the newborn pulsar origin of ultrahigh energy cosmic rays with EeV neutrinos. Phys. Rev. D 2014, 90, 103005. [Google Scholar] [CrossRef]
- Piro, A.L.; Kollmeier, J.A. Ultrahigh-energy Cosmic Rays from the “En Caul” Birth of Magnetars. Astrophys. J. 2016, 826, 97. [Google Scholar] [CrossRef]
- Bowden, C.C.G.; Bradbury, S.M.; Chadwick, P.M.; Dickinson, J.E.; Dipper, N.A.; Edwards, P.J.; Lincoln, E.W.; McComb, T.J.L.; Orford, K.J.; Rayner, S.M.; et al. 350 GeV gamma rays from AE Aqr. Astropart. Phys. 1992, 1, 47–59. [Google Scholar] [CrossRef]
- Li, J.; Torres, D.F.; Rea, N.; de Oña Wilhelmi, E.; Papitto, A.; Hou, X.; Mauche, C.W. Search for Gamma-Ray Emission from AE Aquarii with Seven Years of Fermi-LAT Observations. Astrophys. J. 2016, 832, 35. [Google Scholar] [CrossRef]
- Meintjes, P.J.; Madzime, S.T.; Kaplan, Q.; van Heerden, H.J. Spun-Up Rotation-Powered Magnetized White Dwarfs in Close Binaries as Possible Gamma-ray Sources: Signatures of Pulsed Modulation from AE Aquarii and AR Scorpii in Fermi-LAT Data. Galaxies 2023, 11, 14. [Google Scholar] [CrossRef]
- Cooper, A.J.; Gaggero, D.; Markoff, S.; Zhang, S. High-energy cosmic ray production in X-ray binary jets. Mon. Not. R. Astron. Soc. 2020, 493, 3212–3222. [Google Scholar] [CrossRef]
- Linares, M.; Kachelrieß, M. Cosmic ray positrons from compact binary millisecond pulsars. J. Cosmol. Astropart. Phys. 2021, 2021, 030. [Google Scholar] [CrossRef]
- Harding, A.K. The Emission Physics of Millisecond Pulsars. In Astrophysics and Space Science Library; Bhattacharyya, S., Papitto, A., Bhattacharya, D., Eds.; Springer: London, UK, 2022; Volume 465, pp. 57–85. [Google Scholar] [CrossRef]
- Fabrika, S. The jets and supercritical accretion disk in SS433. Astrophys. Space Phys. Res. 2004, 12, 1–152. [Google Scholar] [CrossRef]
- Cherepashchuk, A.M.; Belinski, A.A.; Dodin, A.V.; Postnov, K.A. Discovery of orbital eccentricity and evidence for orbital period increase of SS433. Mon. Not. R. Astron. Soc. 2021, 507, L19–L23. [Google Scholar] [CrossRef]
- Hillwig, T.C.; Gies, D.R.; Huang, W.; McSwain, M.V.; Stark, M.A.; van der Meer, A.; Kaper, L. Identification of the Mass Donor Star’s Spectrum in SS 433. Astrophys. J. 2004, 615, 422–431. [Google Scholar] [CrossRef]
- Han, Q.; Li, X.D. On the Formation of SS433. Astrophys. J. 2020, 896, 34. [Google Scholar] [CrossRef]
- Roberts, D.H.; Wardle, J.F.C.; Lipnick, S.L.; Selesnick, P.L.; Slutsky, S. Structure and Magnetic Fields in the Precessing Jet System SS 433. I. Multifrequency Imaging from 1998. Astrophys. J. 2008, 676, 584–593. [Google Scholar] [CrossRef]
- Bowler, M.G.; Keppens, R. W 50 and SS 433. Astropart. Phys. 2018, 617, A29. [Google Scholar] [CrossRef]
- Abeysekara, A.U.; Albert, A.; Alfaro, R.; Alvarez, C.; Álvarez, J.D.; Arceo, R.; Arteaga-Velázquez, J.C.; Avila Rojas, D.; Ayala Solares, H.A.; Belmont-Moreno, E.; et al. Very-high-energy particle acceleration powered by the jets of the microquasar SS 433. Nature 2018, 562, 82–85. [Google Scholar] [CrossRef]
- Watson, M.G.; Willingale, R.; Grindlay, J.E.; Seward, F.D. The X-ray lobes of SS 433. Astrophys. J. 1983, 273, 688–696. [Google Scholar] [CrossRef]
- Yamauchi, S.; Kawai, N.; Aoki, T. A Non-Thermal X-ray Spectrum from the Supernova Remnant W 50. Publ. Astron. Soc. Jpn. 1994, 46, L109–L113. [Google Scholar]
- Brinkmann, W.; Aschenbach, B.; Kawai, N. ROSAT observations of the W 50/SS 433 system. Astropart. Phys. 1996, 312, 306–316. [Google Scholar]
- Safi-Harb, S.; Ögelman, H. ROSAT and ASCA Observations of W50 Associated with the Peculiar Source SS 433. Astrophys. J. 1997, 483, 868–881. [Google Scholar] [CrossRef]
- Safi-Harb, S.; Petre, R. Rossi X-ray Timing Explorer Observations of the Eastern Lobe of W50 Associated with SS 433. Astrophys. J. 1999, 512, 784–792. [Google Scholar] [CrossRef]
- Kayama, K.; Tanaka, T.; Uchida, H.; Tsuru, T.G.; Sudoh, T.; Inoue, Y.; Khangulyan, D.; Tsuji, N.; Yamamoto, H. Spatially resolved study of the SS 433/W 50 west region with Chandra: X-ray structure and spectral variation of non-thermal emission. Publ. Astron. Soc. Jpn. 2022, 74, 1143–1156. [Google Scholar] [CrossRef]
- Sudoh, T.; Inoue, Y.; Khangulyan, D. Multiwavelength Emission from Galactic Jets: The Case of the Microquasar SS433. Astrophys. J. 2020, 889, 146. [Google Scholar] [CrossRef]
- Kimura, S.S.; Murase, K.; Mészáros, P. Deciphering the Origin of the GeV-TeV Gamma-Ray Emission from SS 433. Astrophys. J. 2020, 904, 188. [Google Scholar] [CrossRef]
- Pakull, M.W.; Soria, R.; Motch, C. A 300-parsec-long jet-inflated bubble around a powerful microquasar in the galaxy NGC 7793. Nature 2010, 466, 209–212. [Google Scholar] [CrossRef]
- Cseh, D.; Corbel, S.; Kaaret, P.; Lang, C.; Grisé, F.; Paragi, Z.; Tzioumis, A.; Tudose, V.; Feng, H. Black Hole Powered Nebulae and a Case Study of the Ultraluminous X-ray Source IC 342 X-1. Astrophys. J. 2012, 749, 17. [Google Scholar] [CrossRef]
- Inoue, Y.; Lee, S.H.; Tanaka, Y.T.; Kobayashi, S.B. High energy gamma rays from nebulae associated with extragalactic microquasars and ultra-luminous X-ray sources. Astropart. Phys. 2017, 90, 14–19. [Google Scholar] [CrossRef]
- Mason, K.O.; Cordova, F.A.; White, N.E. Simultaneous X-ray and Infrared Observations of Cygnus X-3. Astrophys. J. 1986, 309, 700. [Google Scholar] [CrossRef]
- Stark, M.J.; Saia, M. Doppler Modulation of X-ray Lines in Cygnus X-3. Astrophys. J. Lett. 2003, 587, L101–L104. [Google Scholar] [CrossRef][Green Version]
- van Kerkwijk, M.H.; Geballe, T.R.; King, D.L.; van der Klis, M.; van Paradijs, J. The Wolf-Rayet counterpart of Cygnus X-3. Astropart. Phys. 1996, 314, 521–540. [Google Scholar] [CrossRef]
- Lommen, D.; Yungelson, L.; van den Heuvel, E.; Nelemans, G.; Portegies Zwart, S. Cygnus X-3 and the problem of the missing Wolf-Rayet X-ray binaries. Astropart. Phys. 2005, 443, 231–241. [Google Scholar] [CrossRef]
- Egron, E.; Pellizzoni, A.; Righini, S.; Giroletti, M.; Koljonen, K.; Pottschmidt, K.; Trushkin, S.; Lobina, J.; Pilia, M.; Wilms, J.; et al. Investigating the Mini and Giant Radio Flare Episodes of Cygnus X-3. Astrophys. J. 2021, 906, 10. [Google Scholar] [CrossRef]
- Koljonen, K.I.I.; McCollough, M.L.; Hannikainen, D.C.; Droulans, R. 2006 May-July major radio flare episodes in Cygnus X-3: Spectrotiming analysis of the X-ray data. Mon. Not. R. Astron. Soc. 2013, 429, 1173–1188. [Google Scholar] [CrossRef]
- Mioduszewski, A.J.; Rupen, M.P.; Hjellming, R.M.; Pooley, G.G.; Waltman, E.B. A One-sided Highly Relativistic Jet from Cygnus X-3. Astrophys. J. 2001, 553, 766–775. [Google Scholar] [CrossRef]
- Tudose, V.; Miller-Jones, J.C.A.; Fender, R.P.; Paragi, Z.; Sakari, C.; Szostek, A.; Garrett, M.A.; Dhawan, V.; Rushton, A.; Spencer, R.E.; et al. Probing the behaviour of the X-ray binary Cygnus X-3 with very long baseline radio interferometry. Mon. Not. R. Astron. Soc. 2010, 401, 890–900. [Google Scholar] [CrossRef]
- Abdo, A. et al. [Fermi LAT Collaboration] Modulated High-Energy Gamma-Ray Emission from the Microquasar Cygnus X-3. Science 2009, 326, 1512. [Google Scholar] [CrossRef]
- Tavani, M.; Bulgarelli, A.; Piano, G.; Sabatini, S.; Striani, E.; Evangelista, Y.; Trois, A.; Pooley, G.; Trushkin, S.; Nizhelskij, N.A.; et al. Extreme particle acceleration in the microquasar CygnusX-3. Nature 2009, 462, 620–623. [Google Scholar] [CrossRef]
- Dubus, G.; Cerutti, B.; Henri, G. The relativistic jet of Cygnus X-3 in gamma-rays. Mon. Not. R. Astron. Soc. 2010, 404, L55–L59. [Google Scholar] [CrossRef]
- Susa, H.; Hasegawa, K.; Tominaga, N. The Mass Spectrum of the First Stars. Astrophys. J. 2014, 792, 32. [Google Scholar] [CrossRef]
- Chantavat, T.; Chongchitnan, S.; Silk, J. The most massive Population III stars. Mon. Not. R. Astron. Soc. 2023, 522, 3256–3262. [Google Scholar] [CrossRef]
- Haemmerlé, L.; Woods, T.E.; Klessen, R.S.; Heger, A.; Whalen, D.J. The evolution of supermassive Population III stars. Mon. Not. R. Astron. Soc. 2018, 474, 2757–2773. [Google Scholar] [CrossRef]
- Moriya, T.J.; Wong, K.C.; Koyama, Y.; Tanaka, M.; Oguri, M.; Hilbert, S.; Nomoto, K. Searches for Population III pair-instability supernovae: Predictions for ULTIMATE-Subaru and WFIRST. Publ. Astron. Soc. Jpn. 2019, 71, 59. [Google Scholar] [CrossRef]
- Sotomayor Checa, P.; Romero, G.E. Model for Population III microquasars. Astropart. Phys. 2019, 629, A76. [Google Scholar] [CrossRef]
- Verbunt, F.; Zwaan, C. Magnetic braking in low-mass X-ray binaries. Astropart. Phys. 1981, 100, L7–L9. [Google Scholar]
- Eggleton, P.P. Aproximations to the radii of Roche lobes. Astrophys. J. 1983, 268, 368–369. [Google Scholar] [CrossRef]
- Bhattacharya, D.; van den Heuvel, E.P.J. Formation and evolution of binary and millisecond radio pulsars. Phys. Rep. 1991, 203, 1–124. [Google Scholar] [CrossRef]
- Postnov, K.A.; Yungelson, L.R. The Evolution of Compact Binary Star Systems. Living Rev. Relativ. 2014, 17, 3. [Google Scholar] [CrossRef] [PubMed]
- Romero, G.E.; Vila, G.S. The proton low-mass microquasar: High-energy emission. Astropart. Phys. 2008, 485, 623–631. [Google Scholar] [CrossRef]
- Smponias, T. Synthetic Neutrino Imaging of a Microquasar. Galaxies 2021, 9, 80. [Google Scholar] [CrossRef]
- Mücke, A.; Protheroe, R.J. A proton synchrotron blazar model for flaring in Markarian 501. Astropart. Phys. 2001, 15, 121–136. [Google Scholar] [CrossRef]
- Reynoso, M.M.; Medina, M.C.; Romero, G.E. A lepto-hadronic model for high-energy emission from FR I radiogalaxies. Astropart. Phys. 2011, 531, A30. [Google Scholar] [CrossRef]
- Carulli, A.M.; Reynoso, M.M.; Romero, G.E. Neutrino production in Population III microquasars. Astropart. Phys. 2021, 128, 102557. [Google Scholar] [CrossRef]
- Tibaldo, L.; Gaggero, D.; Martin, P. Gamma Rays as Probes of Cosmic-Ray Propagation and Interactions in Galaxies. Universe 2021, 7, 141. [Google Scholar] [CrossRef]
- Tsuboi, M.; Handa, T.; Ukita, N. Dense Molecular Clouds in the Galactic Center Region. I. Observations and Data. Astrophys. J. Suppl. 1999, 120, 1–39. [Google Scholar] [CrossRef]
- Molinari, S.; Bally, J.; Noriega-Crespo, A.; Compiègne, M.; Bernard, J.P.; Paradis, D.; Martin, P.; Testi, L.; Barlow, M.; Moore, T.; et al. A 100 pc Elliptical and Twisted Ring of Cold and Dense Molecular Clouds Revealed by Herschel Around the Galactic Center. Astrophys. J. Lett. 2011, 735, L33. [Google Scholar] [CrossRef]
- Yusef-Zadeh, F.; Hewitt, J.W.; Wardle, M.; Tatischeff, V.; Roberts, D.A.; Cotton, W.; Uchiyama, H.; Nobukawa, M.; Tsuru, T.G.; Heinke, C.; et al. Interacting Cosmic Rays with Molecular Clouds: A Bremsstrahlung Origin of Diffuse High-energy Emission from the Inner 2°×1° of the Galactic Center. Astrophys. J. 2013, 762, 33. [Google Scholar] [CrossRef]
- Yoast-Hull, T.M.; Gallagher, J.S., III; Zweibel, E.G. The Cosmic-Ray Population of the Galactic Central Molecular Zone. Astrophys. J. 2014, 790, 86. [Google Scholar] [CrossRef]
- Crocker, R.M.; Jones, D.I.; Melia, F.; Ott, J.; Protheroe, R.J. A lower limit of 50 microgauss for the magnetic field near the Galactic Centre. Nature 2010, 463, 65–67. [Google Scholar] [CrossRef]
- Calore, F.; Di Mauro, M.; Donato, F.; Hessels, J.W.T.; Weniger, C. Radio Detection Prospects for a Bulge Population of Millisecond Pulsars as Suggested by Fermi-LAT Observations of the Inner Galaxy. Astrophys. J. 2016, 827, 143. [Google Scholar] [CrossRef]
- Ackermann, M.; Albert, A.; Atwood, W.B.; Baldini, L.; Ballet, J.; Barbiellini, G.; Bastieri, D.; Bellazzini, R.; Bissaldi, E.; Blandford, R.D.; et al. The Spectrum and Morphology of the Fermi Bubbles. Astrophys. J. 2014, 793, 64. [Google Scholar] [CrossRef]
- Yang, H.Y.; Ruszkowski, M.; Zweibel, E. Unveiling the Origin of the Fermi Bubbles. Galaxies 2018, 6, 29. [Google Scholar] [CrossRef]
- Yang, H.Y.K.; Ruszkowski, M.; Zweibel, E. Unveiling the Origin of the Fermi/eRosita Bubbles. PoS 2023, ECRS, 023. [Google Scholar] [CrossRef]
- Crocker, R.M. Non-thermal insights on mass and energy flows through the Galactic Centre and into the Fermi bubbles. Mon. Not. R. Astron. Soc. 2012, 423, 3512–3539. [Google Scholar] [CrossRef]
- Razzaque, S.; Yang, L. Hadronic Models of the Fermi Bubbles: Future Perspectives. Galaxies 2018, 6, 47. [Google Scholar] [CrossRef]
- Yang, H.Y.K.; Ruszkowski, M.; Ricker, P.M.; Zweibel, E.; Lee, D. The Fermi Bubbles: Supersonic Active Galactic Nucleus Jets with Anisotropic Cosmic-Ray Diffusion. Astrophys. J. 2012, 761, 185. [Google Scholar] [CrossRef]
- Su, M.; Slatyer, T.R.; Finkbeiner, D.P. Giant Gamma-ray Bubbles from Fermi-LAT: Active Galactic Nucleus Activity or Bipolar Galactic Wind? Astrophys. J. 2010, 724, 1044–1082. [Google Scholar] [CrossRef]
- Zubovas, K.; King, A.R.; Nayakshin, S. The Milky Way’s Fermi bubbles: Echoes of the last quasar outburst? Mon. Not. R. Astron. Soc. 2011, 415, L21–L25. [Google Scholar] [CrossRef]
- Tourmente, O.; Rodgers-Lee, D.; Taylor, A.M. A galactic breeze origin for the Fermi bubbles emission. Mon. Not. R. Astron. Soc. 2023, 518, 6083–6091. [Google Scholar] [CrossRef]
- Taylor, A.M.; Giacinti, G. Cosmic rays in a galactic breeze. Phys. Rev. D 2017, 95, 023001. [Google Scholar] [CrossRef]
- Guo, F.; Mathews, W.G. The Fermi Bubbles. I. Possible Evidence for Recent AGN Jet Activity in the Galaxy. Astrophys. J. 2012, 756, 181. [Google Scholar] [CrossRef]
- Yang, H.Y.K.; Ruszkowski, M.; Zweibel, E. The Fermi bubbles: Gamma-ray, microwave and polarization signatures of leptonic AGN jets. Mon. Not. R. Astron. Soc. 2013, 436, 2734–2746. [Google Scholar] [CrossRef]
- Yang, H.Y.K.; Ruszkowski, M. The Spatially Uniform Spectrum of the Fermi Bubbles: The Leptonic Active Galactic Nucleus Jet Scenario. Astrophys. J. 2017, 850, 2. [Google Scholar] [CrossRef]
- Yang, H.Y.K.; Ruszkowski, M.; Zweibel, E.G. Fermi and eROSITA bubbles as relics of the past activity of the Galaxy’s central black hole. Nat. Astron. 2022, 6, 584–591. [Google Scholar] [CrossRef]
- Mulcahy, D.D.; Horneffer, A.; Beck, R.; Krause, M.; Schmidt, P.; Basu, A.; Chyży, K.T.; Dettmar, R.J.; Haverkorn, M.; Heald, G.; et al. Investigation of the cosmic ray population and magnetic field strength in the halo of NGC 891. Astropart. Phys. 2018, 615, A98. [Google Scholar] [CrossRef]
- Butsky, I.S.; Quinn, T.R. The Role of Cosmic-ray Transport in Shaping the Simulated Circumgalactic Medium. Astrophys. J. 2018, 868, 108. [Google Scholar] [CrossRef]
- Dashyan, G.; Dubois, Y. Cosmic ray feedback from supernovae in dwarf galaxies. Astropart. Phys. 2020, 638, A123. [Google Scholar] [CrossRef]
- Ji, S.; Chan, T.K.; Hummels, C.B.; Hopkins, P.F.; Stern, J.; Kereš, D.; Quataert, E.; Faucher-Giguère, C.A.; Murray, N. Properties of the circumgalactic medium in cosmic ray-dominated galaxy haloes. Mon. Not. R. Astron. Soc. 2020, 496, 4221–4238. [Google Scholar] [CrossRef]
- Recchia, S.; Gabici, S.; Aharonian, F.A.; Niro, V. Giant Cosmic-Ray Halos around M31 and the Milky Way. Astrophys. J. 2021, 914, 135. [Google Scholar] [CrossRef]
- Pshirkov, M.S.; Vasiliev, V.V.; Postnov, K.A. Evidence of Fermi bubbles around M31. Mon. Not. R. Astron. Soc. 2016, 459, L76–L80. [Google Scholar] [CrossRef]
- Roy, M.; Nath, B.B. Gamma-rays from the circumgalactic medium of M31. Mon. Not. R. Astron. Soc. 2022, 514, 1412–1421. [Google Scholar] [CrossRef]
- Tibaldo, L.; Digel, S.W.; Casandjian, J.M.; Franckowiak, A.; Grenier, I.A.; Jóhannesson, G.; Marshall, D.J.; Moskalenko, I.V.; Negro, M.; Orlando, E.; et al. Fermi-LAT Observations of High- and Intermediate-velocity Clouds: Tracing Cosmic Rays in the Halo of the Milky Way. Astrophys. J. 2015, 807, 161. [Google Scholar] [CrossRef] [PubMed]
- Subrahmanyan, R.; Cowsik, R. Is there an Unaccounted for Excess in the Extragalactic Cosmic Radio Background? Astrophys. J. 2013, 776, 42. [Google Scholar] [CrossRef]
- Jana, R.; Roy, M.; Nath, B.B. Gamma-Ray and Radio Background Constraints on Cosmic Rays in Milky Way Circumgalactic Medium. Astrophys. J. Lett. 2020, 903, L9. [Google Scholar] [CrossRef]
- Fixsen, D.J.; Kogut, A.; Levin, S.; Limon, M.; Lubin, P.; Mirel, P.; Seiffert, M.; Singal, J.; Wollack, E.; Villela, T.; et al. ARCADE 2 Measurement of the Absolute Sky Brightness at 3–90 GHz. Astrophys. J. 2011, 734, 5. [Google Scholar] [CrossRef]
- Joubaud, T.; Grenier, I.A.; Casandjian, J.M.; Tolksdorf, T.; Schlickeiser, R. The cosmic-ray content of the Orion-Eridanus superbubble. Astropart. Phys. 2020, 635, A96. [Google Scholar] [CrossRef]
- Feldmann, R.; Hooper, D.; Gnedin, N.Y. Circum-galactic Gas and the Isotropic Gamma-Ray Background. Astrophys. J. 2013, 763, 21. [Google Scholar] [CrossRef]
- Blasi, P.; Amato, E. Escape of Cosmic Rays from the Galaxy and Effects on the Circumgalactic Medium. Phys. Rev. Lett. 2019, 122, 051101. [Google Scholar] [CrossRef]
- Taylor, A.M.; Gabici, S.; Aharonian, F. Galactic halo origin of the neutrinos detected by IceCube. Phys. Rev. D 2014, 89, 103003. [Google Scholar] [CrossRef]
- Kalashev, O.; Martynenko, N.; Troitsky, S. On the contribution of cosmic-ray interactions in the circumgalactic gas to the observed high-energy neutrino flux. J. Cosmol. Astropart. Phys. 2023, 2023, 053. [Google Scholar] [CrossRef]
- Recchia, S.; Blasi, P.; Morlino, G. Cosmic ray driven Galactic winds. Mon. Not. R. Astron. Soc. 2016, 462, 4227–4239. [Google Scholar] [CrossRef]
- Holguin, F.; Ruszkowski, M.; Lazarian, A.; Farber, R.; Yang, H.Y.K. Role of cosmic-ray streaming and turbulent damping in driving galactic winds. Mon. Not. R. Astron. Soc. 2019, 490, 1271–1282. [Google Scholar] [CrossRef]
- Dogiel, V.A.; Ivlev, A.V.; Chernyshov, D.O.; Ko, C.M. Formation of the Cosmic-Ray Halo: Galactic Spectrum of Primary Cosmic Rays. Astrophys. J. 2020, 903, 135. [Google Scholar] [CrossRef]
- Kempski, P.; Quataert, E. Reconciling cosmic ray transport theory with phenomenological models motivated by Milky-Way data. Mon. Not. R. Astron. Soc. 2022, 514, 657–674. [Google Scholar] [CrossRef]
- Evoli, C.; Blasi, P.; Morlino, G.; Aloisio, R. Origin of the Cosmic Ray Galactic Halo Driven by Advected Turbulence and Self-Generated Waves. Phys. Rev. Lett. 2018, 121, 021102. [Google Scholar] [CrossRef]
- Schober, J.; Schleicher, D.R.G.; Klessen, R.S. Magnetic field amplification in young galaxies. Astropart. Phys. 2013, 560, A87. [Google Scholar] [CrossRef]
- Bernet, M.L.; Miniati, F.; Lilly, S.J.; Kronberg, P.P.; Dessauges-Zavadsky, M. Strong magnetic fields in normal galaxies at high redshift. Nature 2008, 454, 302–304. [Google Scholar] [CrossRef]
- Hammond, A.M.; Robishaw, T.; Gaensler, B.M. A New Catalog of Faraday Rotation Measures and Redshifts for Extragalactic Radio Sources. arXiv 2012, arXiv:1209.1438. [Google Scholar] [CrossRef]
- Peng, F.K.; Wang, X.Y.; Liu, R.Y.; Tang, Q.W.; Wang, J.F. First Detection of GeV Emission from an Ultraluminous Infrared Galaxy: Arp 220 as Seen with the Fermi Large Area Telescope. Astrophys. J. Lett. 2016, 821, L20. [Google Scholar] [CrossRef]
- Read, S.C.; Smith, D.J.B.; Gürkan, G.; Hardcastle, M.J.; Williams, W.L.; Best, P.N.; Brinks, E.; Calistro-Rivera, G.; ChyŻy, K.T.; Duncan, K.; et al. The Far-Infrared Radio Correlation at low radio frequency with LOFAR/H-ATLAS. Mon. Not. R. Astron. Soc. 2018, 480, 5625–5644. [Google Scholar] [CrossRef]
- Ackermann, M.; Ajello, M.; Allafort, A.; Baldini, L.; Ballet, J.; Bastieri, D.; Bechtol, K.; Bellazzini, R.; Berenji, B.; Bloom, E.D.; et al. GeV Observations of Star-forming Galaxies with the Fermi Large Area Telescope. Astrophys. J. 2012, 755, 164. [Google Scholar] [CrossRef]
- Sargent, M.T.; Schinnerer, E.; Murphy, E.; Carilli, C.L.; Helou, G.; Aussel, H.; Le Floc’h, E.; Frayer, D.T.; Ilbert, O.; Oesch, P.; et al. No Evolution in the IR-Radio Relation for IR-luminous Galaxies at z < 2 in the COSMOS Field. Astrophys. J. Lett. 2010, 714, L190–L195. [Google Scholar] [CrossRef]
- Bourne, N.; Dunne, L.; Ivison, R.J.; Maddox, S.J.; Dickinson, M.; Frayer, D.T. Evolution of the far-infrared-radio correlation and infrared spectral energy distributions of massive galaxies over z = 0–2. Mon. Not. R. Astron. Soc. 2011, 410, 1155–1173. [Google Scholar] [CrossRef]
- Murphy, E.J. The Far-Infrared-Radio Correlation at High Redshifts: Physical Considerations and Prospects for the Square Kilometer Array. Astrophys. J. 2009, 706, 482–496. [Google Scholar] [CrossRef]
- Vollmer, B.; Gassmann, B.; Derrière, S.; Boch, T.; Louys, M.; Bonnarel, F.; Dubois, P.; Genova, F.; Ochsenbein, F. The SPECFIND V2.0 catalogue of radio cross-identifications and spectra. SPECFIND meets the Virtual Observatory. Astropart. Phys. 2010, 511, A53. [Google Scholar] [CrossRef]
- Vollmer, B.; Davoust, E.; Dubois, P.; Genova, F.; Ochsenbein, F.; van Driel, W. A method for determining radio continuum spectra and its application to large surveys. Astropart. Phys. 2005, 431, 1177–1187. [Google Scholar] [CrossRef]
- Vollmer, B.; Soida, M.; Dallant, J. Deciphering the radio-star formation correlation on kpc scales. II. The integrated infrared-radio continuum and star formation-radio continuum correlations. Astropart. Phys. 2022, 667, A30. [Google Scholar] [CrossRef]
- Lisenfeld, U.; Voelk, H.J.; Xu, C. A quantitative model of the FIR/radio correlation for normal late-type galaxies. Astropart. Phys. 1996, 306, 677. [Google Scholar] [CrossRef]
- Lisenfeld, U.; Völk, H.J. On the radio spectral index of galaxies. Astropart. Phys. 2000, 354, 423–430. [Google Scholar] [CrossRef]
- Helou, G.; Bicay, M.D. A Physical Model of the Infrared-to-Radio Correlation in Galaxies. Astrophys. J. 1993, 415, 93. [Google Scholar] [CrossRef]
- Niklas, S.; Beck, R. A new approach to the radio-far infrared correlation for non-calorimeter galaxies. Astropart. Phys. 1997, 320, 54–64. [Google Scholar]
- Lacki, B.C.; Thompson, T.A.; Quataert, E. The Physics of the Far-infrared-Radio Correlation. I. Calorimetry, Conspiracy, and Implications. Astrophys. J. 2010, 717, 1–28. [Google Scholar] [CrossRef]
- Pfrommer, C.; Werhahn, M.; Pakmor, R.; Girichidis, P.; Simpson, C.M. Simulating radio synchrotron emission in star-forming galaxies: Small-scale magnetic dynamo and the origin of the far-infrared-radio correlation. Mon. Not. R. Astron. Soc. 2022, 515, 4229–4264. [Google Scholar] [CrossRef]
- Pfrommer, C.; Pakmor, R.; Simpson, C.M.; Springel, V. Simulating Gamma-Ray Emission in Star-forming Galaxies. Astrophys. J. Lett. 2017, 847, L13. [Google Scholar] [CrossRef]
- Werhahn, M.; Pfrommer, C.; Girichidis, P.; Winner, G. Cosmic rays and non-thermal emission in simulated galaxies—II. γ-ray maps, spectra, and the far-infrared-γ-ray relation. Mon. Not. R. Astron. Soc. 2021, 505, 3295–3313. [Google Scholar] [CrossRef]
- Werhahn, M.; Pfrommer, C.; Girichidis, P. Cosmic rays and non-thermal emission in simulated galaxies—III. Probing cosmic-ray calorimetry with radio spectra and the FIR-radio correlation. Mon. Not. R. Astron. Soc. 2021, 508, 4072–4095. [Google Scholar] [CrossRef]
- Wang, X.; Fields, B.D. Are starburst galaxies proton calorimeters? Mon. Not. R. Astron. Soc. 2018, 474, 4073–4088. [Google Scholar] [CrossRef]
- Zhang, Y.; Peng, F.K.; Wang, X.Y. Interpreting the Relation between the Gamma-Ray and Infrared Luminosities of Star-forming Galaxies. Astrophys. J. 2019, 874, 173. [Google Scholar] [CrossRef]
- Strong, A.W.; Porter, T.A.; Digel, S.W.; Jóhannesson, G.; Martin, P.; Moskalenko, I.V.; Murphy, E.J.; Orlando, E. Global Cosmic-ray-related Luminosity and Energy Budget of the Milky Way. Astrophys. J. Lett. 2010, 722, L58–L63. [Google Scholar] [CrossRef]
- Evoli, C.; Gaggero, D.; Grasso, D.; Maccione, L. Common Solution to the Cosmic Ray Anisotropy and Gradient Problems. Phys. Rev. Lett. 2012, 108, 211102. [Google Scholar] [CrossRef]
- Casse, F.; Lemoine, M.; Pelletier, G. Transport of cosmic rays in chaotic magnetic fields. Phys. Rev. D 2001, 65, 023002. [Google Scholar] [CrossRef]
- Pakmor, R.; Pfrommer, C.; Simpson, C.M.; Springel, V. Galactic Winds Driven by Isotropic and Anisotropic Cosmic-Ray Diffusion in Disk Galaxies. Astrophys. J. Lett. 2016, 824, L30. [Google Scholar] [CrossRef]
- Wang, C.Y.; Lo, Y.Y.; Ko, C.M. MHD Simulations of Parker Instability Undergoing Cosmic-Ray Diffusion. arXiv 2010, arXiv:1011.0162. [Google Scholar] [CrossRef]
- Ruszkowski, M.; Yang, H.Y.K.; Zweibel, E. Global Simulations of Galactic Winds Including Cosmic-ray Streaming. Astrophys. J. 2017, 834, 208. [Google Scholar] [CrossRef]
- Lopez-Rodriguez, E.; Mao, S.A.; Beck, R.; Borlaff, A.S.; Ntormousi, E.; Tassis, K.; Dale, D.A.; Roman-Duval, J.; Subramanian, K.; Martin-Alvarez, S.; et al. Extragalactic Magnetism with SOFIA (SALSA Legacy Program). IV. Program Overview and First Results on the Polarization Fraction. Astrophys. J. 2022, 936, 92. [Google Scholar] [CrossRef]
- Pattle, K.; Gear, W.; Redman, M.; Smith, M.W.L.; Greaves, J. Submillimetre observations of the two-component magnetic field in M82. Mon. Not. R. Astron. Soc. 2021, 505, 684–688. [Google Scholar] [CrossRef]
- Whitmore, B.C.; Chandar, R.; Schweizer, F.; Rothberg, B.; Leitherer, C.; Rieke, M.; Rieke, G.; Blair, W.P.; Mengel, S.; Alonso-Herrero, A. The Antennae Galaxies (NGC 4038/4039) Revisited: Advanced Camera for Surveys and NICMOS Observations of a Prototypical Merger. Astron. J. 2010, 140, 75–109. [Google Scholar] [CrossRef]
- Lopez-Rodriguez, E.; Borlaff, A.S.; Beck, R.; Reach, W.T.; Mao, S.A.; Ntormousi, E.; Tassis, K.; Martin-Alvarez, S.; Clark, S.E.; Dale, D.A.; et al. Extragalactic Magnetism with SOFIA (SALSA Legacy Program): The Magnetic Fields in the Multiphase Interstellar Medium of the Antennae Galaxies. Astrophys. J. Lett. 2023, 942, L13. [Google Scholar] [CrossRef]
- Fletcher, A.; Beck, R.; Shukurov, A.; Berkhuijsen, E.M.; Horellou, C. Magnetic fields and spiral arms in the galaxy M51. Mon. Not. R. Astron. Soc. 2011, 412, 2396–2416. [Google Scholar] [CrossRef]
- Barnes, J.E.; Hernquist, L. Dynamics of interacting galaxies. Annu. Rev. Astron. Astrophys. 1992, 30, 705–742. [Google Scholar] [CrossRef]
- Socrates, A.; Davis, S.W.; Ramirez-Ruiz, E. The Eddington Limit in Cosmic Rays: An Explanation for the Observed Faintness of Starbursting Galaxies. Astrophys. J. 2008, 687, 202–215. [Google Scholar] [CrossRef]
- Crocker, R.M.; Krumholz, M.R.; Thompson, T.A. Cosmic rays across the star-forming galaxy sequence—I. Cosmic ray pressures and calorimetry. Mon. Not. R. Astron. Soc. 2021, 502, 1312–1333. [Google Scholar] [CrossRef]
- Crocker, R.M.; Krumholz, M.R.; Thompson, T.A. Cosmic rays across the star-forming galaxy sequence—II. Stability limits and the onset of cosmic ray-driven outflows. Mon. Not. R. Astron. Soc. 2021, 503, 2651–2664. [Google Scholar] [CrossRef]
- Huang, X.; Davis, S.W. The launching of cosmic ray-driven outflows. Mon. Not. R. Astron. Soc. 2022, 511, 5125–5141. [Google Scholar] [CrossRef]
- Heintz, E.; Zweibel, E.G. Galaxies at a Cosmic Ray Eddington Limit. Astrophys. J. 2022, 941, 78. [Google Scholar] [CrossRef]
- Abdo, A.A.; Ackermann, M.; Ajello, M.; Atwood, W.B.; Axelsson, M.; Baldini, L.; Ballet, J.; Barbiellini, G.; Bastieri, D.; Bechtol, K.; et al. Detection of Gamma-Ray Emission from the Starburst Galaxies M82 and NGC 253 with the Large Area Telescope on Fermi. Astrophys. J. Lett. 2010, 709, L152–L157. [Google Scholar] [CrossRef]
- Xi, S.Q.; Zhang, H.M.; Liu, R.Y.; Wang, X.Y. GeV γ-Ray Emission from M33 and Arp 299. Astrophys. J. 2020, 901, 158. [Google Scholar] [CrossRef]
- Xing, Y.; Wang, Z. Identifying the Gamma-ray Emission of the Nearby Galaxy M83. arXiv 2023, arXiv:2304.00229. [Google Scholar] [CrossRef]
- Acero, F.; Aharonian, F.; Akhperjanian, A.G.; Anton, G.; Barres de Almeida, U.; Bazer-Bachi, A.R.; Becherini, Y.; Behera, B.; Bernlöhr, K.; Bochow, A.; et al. Detection of Gamma Rays from a Starburst Galaxy. Science 2009, 326, 1080. [Google Scholar] [CrossRef]
- Acciari, V.A. et al. [VERITAS Collaboration] A connection between star formation activity and cosmic rays in the starburst galaxy M82. Nature 2009, 462, 770–772. [Google Scholar] [CrossRef]
- Abdalla, H. et al. [H. E. S. S. Collaboration] The starburst galaxy NGC 253 revisited by H.E.S.S. and Fermi-LAT. Astropart. Phys. 2018, 617, A73. [Google Scholar] [CrossRef]
- Shimono, N.; Totani, T.; Sudoh, T. Prospects of newly detecting nearby star-forming galaxies by the Cherenkov Telescope Array. Mon. Not. R. Astron. Soc. 2021, 506, 6212–6222. [Google Scholar] [CrossRef]
- Zhang, S.; Wang, Q.D.; Ji, L.; Smith, R.K.; Foster, A.R.; Zhou, X. Spectral Modeling of the Charge-exchange X-ray Emission from M82. Astrophys. J. 2014, 794, 61. [Google Scholar] [CrossRef]
- Wu, K.; Li, K.J.; Owen, E.R.; Ji, L.; Zhang, S.; Branduardi-Raymont, G. Charge-exchange emission and cold clumps in multiphase galactic outflows. Mon. Not. R. Astron. Soc. 2020, 491, 5621–5635. [Google Scholar] [CrossRef]
- Lopez, L.A.; Mathur, S.; Nguyen, D.D.; Thompson, T.A.; Olivier, G.M. Temperature and Metallicity Gradients in the Hot Gas Outflows of M82. Astrophys. J. 2020, 904, 152. [Google Scholar] [CrossRef]
- Lopez, S.; Lopez, L.A.; Nguyen, D.D.; Thompson, T.A.; Mathur, S.; Bolatto, A.D.; Vulic, N.; Sardone, A. X-ray Properties of NGC 253’s Starburst-driven Outflow. Astrophys. J. 2023, 942, 108. [Google Scholar] [CrossRef]
- Perna, M.; Arribas, S.; Catalán-Torrecilla, C.; Colina, L.; Bellocchi, E.; Fluetsch, A.; Maiolino, R.; Cazzoli, S.; Hernán Caballero, A.; Pereira Santaella, M.; et al. MUSE view of Arp220: Kpc-scale multi-phase outflow and evidence for positive feedback. Astropart. Phys. 2020, 643, A139. [Google Scholar] [CrossRef]
- Barker, S.; de Grijs, R.; Cerviño, M. Star cluster versus field star formation in the nucleus of the prototype starburst galaxy M 82. Astropart. Phys. 2008, 484, 711–720. [Google Scholar] [CrossRef][Green Version]
- Chevalier, R.A.; Clegg, A.W. Wind from a starburst galaxy nucleus. Nature 1985, 317, 44–45. [Google Scholar] [CrossRef]
- Völk, H.J.; Aharonian, F.A.; Breitschwerdt, D. The Nonthermal Energy Content and Gamma-Ray Emission of Starburst Galaxies and Clusters of Galaxies. Space Sci. Rev. 1996, 75, 279–297. [Google Scholar] [CrossRef]
- Bolatto, A.D.; Warren, S.R.; Leroy, A.K.; Walter, F.; Veilleux, S.; Ostriker, E.C.; Ott, J.; Zwaan, M.; Fisher, D.B.; Weiss, A.; et al. Suppression of star formation in the galaxy NGC 253 by a starburst-driven molecular wind. Nature 2013, 499, 450–453. [Google Scholar] [CrossRef]
- Leroy, A.K.; Bolatto, A.D.; Ostriker, E.C.; Rosolowsky, E.; Walter, F.; Warren, S.R.; Donovan Meyer, J.; Hodge, J.; Meier, D.S.; Ott, J.; et al. ALMA Reveals the Molecular Medium Fueling the Nearest Nuclear Starburst. Astrophys. J. 2015, 801, 25. [Google Scholar] [CrossRef]
- Mitsuishi, I.; Yamasaki, N.Y.; Takei, Y. An X-ray Study of the Galactic-Scale Starburst-Driven Outflow in NGC 253. Publ. Astron. Soc. Jpn. 2013, 65, 44. [Google Scholar] [CrossRef]
- Yoast-Hull, T.M.; Gallagher, J.S.; Zweibel, E.G. Cosmic rays, γ-rays, and neutrinos in the starburst nuclei of Arp 220. Mon. Not. R. Astron. Soc. 2015, 453, 222–228. [Google Scholar] [CrossRef]
- Barcos-Muñoz, L.; Aalto, S.; Thompson, T.A.; Sakamoto, K.; Martín, S.; Leroy, A.K.; Privon, G.C.; Evans, A.S.; Kepley, A. Fast, Collimated Outflow in the Western Nucleus of Arp 220. Astrophys. J. Lett. 2018, 853, L28. [Google Scholar] [CrossRef]
- Lacki, B.C.; Thompson, T.A. Diffuse Hard X-ray Emission in Starburst Galaxies as Synchrotron from Very High Energy Electrons. Astrophys. J. 2013, 762, 29. [Google Scholar] [CrossRef]
- Yoast-Hull, T.M.; Everett, J.E.; Gallagher, J.S., III; Zweibel, E.G. Winds, Clumps, and Interacting Cosmic Rays in M82. Astrophys. J. 2013, 768, 53. [Google Scholar] [CrossRef]
- Lacki, B.C.; Thompson, T.A.; Quataert, E.; Loeb, A.; Waxman, E. On the GeV and TeV Detections of the Starburst Galaxies M82 and NGC 253. Astrophys. J. 2011, 734, 107. [Google Scholar] [CrossRef]
- Behrens, E.; Mangum, J.G.; Holdship, J.; Viti, S.; Harada, N.; Martín, S.; Sakamoto, K.; Muller, S.; Tanaka, K.; Nakanishi, K.; et al. Tracing Interstellar Heating: An ALCHEMI Measurement of the HCN Isomers in NGC 253. Astrophys. J. 2022, 939, 119. [Google Scholar] [CrossRef]
- Buckman, B.J.; Linden, T.; Thompson, T.A. Cosmic rays and magnetic fields in the core and halo of the starburst M82: Implications for galactic wind physics. Mon. Not. R. Astron. Soc. 2020, 494, 2679–2705. [Google Scholar] [CrossRef]
- Downes, D.; Solomon, P.M. Rotating Nuclear Rings and Extreme Starbursts in Ultraluminous Galaxies. Astrophys. J. 1998, 507, 615–654. [Google Scholar] [CrossRef]
- Kennicutt, R.C., Jr. The Global Schmidt Law in Star-forming Galaxies. Astrophys. J. 1998, 498, 541–552. [Google Scholar] [CrossRef]
- González-Alfonso, E.; Fischer, J.; Bruderer, S.; Müller, H.S.P.; Graciá-Carpio, J.; Sturm, E.; Lutz, D.; Poglitsch, A.; Feuchtgruber, H.; Veilleux, S.; et al. Excited OH+, H2O+, and H3O+ in NGC 4418 and Arp 220. Astropart. Phys. 2013, 550, A25. [Google Scholar] [CrossRef]
- Persic, M.; Rephaeli, Y.; Arieli, Y. Very-high-energy emission from M 82. Astropart. Phys. 2008, 486, 143–149. [Google Scholar] [CrossRef]
- Paglione, T.A.D.; Abrahams, R.D. Properties of nearby Starburst Galaxies Based on their Diffuse Gamma-Ray Emission. Astrophys. J. 2012, 755, 106. [Google Scholar] [CrossRef]
- Domingo-Santamaría, E.; Torres, D.F. High energy γ-ray emission from the starburst nucleus of NGC 253. Astropart. Phys. 2005, 444, 403–415. [Google Scholar] [CrossRef]
- Rephaeli, Y.; Arieli, Y.; Persic, M. High-energy emission from the starburst galaxy NGC 253. Mon. Not. R. Astron. Soc. 2010, 401, 473–478. [Google Scholar] [CrossRef]
- Heesen, V.; Beck, R.; Krause, M.; Dettmar, R.J. Cosmic rays and the magnetic field in the nearby starburst galaxy NGC 253. I. The distribution and transport of cosmic rays. Astropart. Phys. 2009, 494, 563–577. [Google Scholar] [CrossRef]
- Heesen, V.; Krause, M.; Beck, R.; Dettmar, R.J. Cosmic rays and the magnetic field in the nearby starburst galaxy NGC 253. II. The magnetic field structure. Astropart. Phys. 2009, 506, 1123–1135. [Google Scholar] [CrossRef]
- Heesen, V.; Beck, R.; Krause, M.; Dettmar, R.J. Cosmic rays and the magnetic field in the nearby starburst galaxy NGC 253 III. Helical magnetic fields in the nuclear outflow. Astropart. Phys. 2011, 535, A79. [Google Scholar] [CrossRef]
- de Cea del Pozo, E.; Torres, D.F.; Rodriguez Marrero, A.Y. Multimessenger Model for the Starburst Galaxy M82. Astrophys. J. 2009, 698, 1054–1060. [Google Scholar] [CrossRef]
- Ha, J.H.; Ryu, D.; Kang, H. Modeling of Cosmic-Ray Production and Transport and Estimation of Gamma-Ray and Neutrino Emissions in Starburst Galaxies. Astrophys. J. 2021, 907, 26. [Google Scholar] [CrossRef]
- Yoast-Hull, T.M.; Gallagher, J.S., III; Aalto, S.; Varenius, E. γ-Ray emission from Arp 220: Indications of an active galactic nucleus. Mon. Not. R. Astron. Soc. 2017, 469, L89–L93. [Google Scholar] [CrossRef]
- Hung, C.L.; Sanders, D.B.; Casey, C.M.; Koss, M.; Larson, K.L.; Lee, N.; Li, Y.; Lockhart, K.; Shih, H.Y.; Barnes, J.E.; et al. A Comparison of the Morphological Properties between Local and z ~1 Infrared Luminous Galaxies: Are Local and High-z (U)LIRGs Different? Astrophys. J. 2014, 791, 63. [Google Scholar] [CrossRef]
- Larson, K.L.; Sanders, D.B.; Barnes, J.E.; Ishida, C.M.; Evans, A.S.; U, V.; Mazzarella, J.M.; Kim, D.C.; Privon, G.C.; Mirabel, I.F.; et al. Morphology and Molecular Gas Fractions of Local Luminous Infrared Galaxies as a Function of Infrared Luminosity and Merger Stage. Astrophys. J. 2016, 825, 128. [Google Scholar] [CrossRef]
- Lonsdale, C.J.; Farrah, D.; Smith, H.E. Ultraluminous Infrared Galaxies. In Astrophysics Update 2; Mason, J.W., Ed.; Springer: Berlin/Heidelberg, Germany, 2006; p. 285. [Google Scholar] [CrossRef]
- Pérez-Torres, M.; Mattila, S.; Alonso-Herrero, A.; Aalto, S.; Efstathiou, A. Star formation and nuclear activity in luminous infrared galaxies: An infrared through radio review. Astron. Astrophys. Rev. 2021, 29, 2. [Google Scholar] [CrossRef]
- Palladino, A.; Fedynitch, A.; Rasmussen, R.W.; Taylor, A.M. IceCube neutrinos from hadronically powered gamma-ray galaxies. J. Cosmol. Astropart. Phys. 2019, 2019, 004. [Google Scholar] [CrossRef]
- He, H.N.; Wang, T.; Fan, Y.Z.; Liu, S.M.; Wei, D.M. Diffuse PeV neutrino emission from ultraluminous infrared galaxies. Phys. Rev. D 2013, 87, 063011. [Google Scholar] [CrossRef]
- Aartsen, M.G. et al. [IceCube Collaboration] Characteristics of the diffuse astrophysical electron and tau neutrino flux with six years of IceCube high energy cascade data. arXiv 2020, arXiv:2001.09520. [Google Scholar] [CrossRef]
- Abbasi, R.; Ackermann, M.; Adams, J.; Aguilar, J.A.; Ahlers, M.; Ahrens, M.; Alispach, C.; Alves, A.A.; Amin, N.M.; Andeen, K.; et al. IceCube high-energy starting event sample: Description and flux characterization with 7.5 years of data. Phys. Rev. D 2021, 104, 022002. [Google Scholar] [CrossRef]
- Abbasi, R.; Ackermann, M.; Adams, J.; Aguilar, J.A.; Ahlers, M.; Ahrens, M.; Alameddine, J.M.; Alispach, C.; Alves, A.A., Jr.; Amin, N.M.; et al. Improved Characterization of the Astrophysical Muon-neutrino Flux with 9.5 Years of IceCube Data. Astrophys. J. 2022, 928, 50. [Google Scholar] [CrossRef]
- Ackermann, M.; Ajello, M.; Albert, A.; Atwood, W.B.; Baldini, L.; Ballet, J.; Barbiellini, G.; Bastieri, D.; Bechtol, K.; Bellazzini, R.; et al. Resolving the Extragalactic γ-Ray Background above 50 GeV with the Fermi Large Area Telescope. Phys. Rev. Lett. 2016, 116, 151105. [Google Scholar] [CrossRef]
- Bechtol, K.; Ahlers, M.; Di Mauro, M.; Ajello, M.; Vandenbroucke, J. Evidence against Star-forming Galaxies as the Dominant Source of Icecube Neutrinos. Astrophys. J. 2017, 836, 47. [Google Scholar] [CrossRef]
- Murase, K.; Guetta, D.; Ahlers, M. Hidden Cosmic-Ray Accelerators as an Origin of TeV-PeV Cosmic Neutrinos. Phys. Rev. Lett. 2016, 116, 071101. [Google Scholar] [CrossRef] [PubMed]
- Vereecken, M.; de Vries, K.D. Obscured pp-channel neutrino sources. arXiv 2020, arXiv:2004.03435. [Google Scholar] [CrossRef]
- Hollenbach, D.; Kaufman, M.J.; Neufeld, D.; Wolfire, M.; Goicoechea, J.R. The Chemistry of Interstellar OH+, H2O+, and H3O+: Inferring the Cosmic-Ray Ionization Rates from Observations of Molecular Ions. Astrophys. J. 2012, 754, 105. [Google Scholar] [CrossRef]
- González-Alfonso, E.; Fischer, J.; Bruderer, S.; Ashby, M.L.N.; Smith, H.A.; Veilleux, S.; Müller, H.S.P.; Stewart, K.P.; Sturm, E. Outflowing OH+ in Markarian 231: The Ionization Rate of the Molecular Gas. Astrophys. J. 2018, 857, 66. [Google Scholar] [CrossRef]
- Simpson, J.M.; Swinbank, A.M.; Smail, I.; Alexander, D.M.; Brandt, W.N.; Bertoldi, F.; de Breuck, C.; Chapman, S.C.; Coppin, K.E.K.; da Cunha, E.; et al. An ALMA Survey of Submillimeter Galaxies in the Extended Chandra Deep Field South: The Redshift Distribution and Evolution of Submillimeter Galaxies. Astrophys. J. 2014, 788, 125. [Google Scholar] [CrossRef]
- Dole, H.; Le Floc’h, E.; Pérez-González, P.G.; Papovich, C.; Egami, E.; Lagache, G.; Alonso-Herrero, A.; Engelbracht, C.W.; Gordon, K.D.; Hines, D.C.; et al. Far-infrared Source Counts at 70 and 160 Microns in Spitzer Deep Surveys. Astrophys. J. Suppl. 2004, 154, 87–92. [Google Scholar] [CrossRef]
- Le Floc’h, E.; Aussel, H.; Ilbert, O.; Riguccini, L.; Frayer, D.T.; Salvato, M.; Arnouts, S.; Surace, J.; Feruglio, C.; Rodighiero, G.; et al. Deep Spitzer 24 μm COSMOS Imaging. I. The Evolution of Luminous Dusty Galaxies—Confronting the Models. Astrophys. J. 2009, 703, 222–239. [Google Scholar] [CrossRef]
- Blain, A.W.; Smail, I.; Ivison, R.J.; Kneib, J.P.; Frayer, D.T. Submillimeter galaxies. Phys. Rep. 2002, 369, 111–176. [Google Scholar] [CrossRef]
- Indriolo, N.; Bergin, E.A.; Falgarone, E.; Godard, B.; Zwaan, M.A.; Neufeld, D.A.; Wolfire, M.G. Constraints on the Cosmic-Ray Ionization Rate in the z ∼ 2.3 Lensed Galaxies SMM J2135-0102 and SDP 17b from Observations of OH+ and H2O+. Astrophys. J. 2018, 865, 127. [Google Scholar] [CrossRef]
- Danielson, A.L.R.; Swinbank, A.M.; Smail, I.; Bayet, E.; van der Werf, P.P.; Cox, P.; Edge, A.C.; Henkel, C.; Ivison, R.J. 13CO and C18O emission from a dense gas disc at z = 2.3: Abundance variations, cosmic rays and the initial conditions for star formation. Mon. Not. R. Astron. Soc. 2013, 436, 2793–2809. [Google Scholar] [CrossRef]
- Falgarone, E.; Zwaan, M.A.; Godard, B.; Bergin, E.; Ivison, R.J.; Andreani, P.M.; Bournaud, F.; Bussmann, R.S.; Elbaz, D.; Omont, A.; et al. Large turbulent reservoirs of cold molecular gas around high-redshift starburst galaxies. Nature 2017, 548, 430–433. [Google Scholar] [CrossRef]
- French, K.D.; Yang, Y.; Zabludoff, A.; Narayanan, D.; Shirley, Y.; Walter, F.; Smith, J.D.; Tremonti, C.A. Discovery of Large Molecular Gas Reservoirs in Post-starburst Galaxies. Astrophys. J. 2015, 801, 1. [Google Scholar] [CrossRef]
- French, K.D.; Zabludoff, A.I.; Yoon, I.; Shirley, Y.; Yang, Y.; Smercina, A.; Smith, J.D.; Narayanan, D. Why Post-starburst Galaxies Are Now Quiescent. Astrophys. J. 2018, 861, 123. [Google Scholar] [CrossRef]
- Rowlands, K.; Wild, V.; Nesvadba, N.; Sibthorpe, B.; Mortier, A.; Lehnert, M.; da Cunha, E. The evolution of the cold interstellar medium in galaxies following a starburst. Mon. Not. R. Astron. Soc. 2015, 448, 258–279. [Google Scholar] [CrossRef]
- Alatalo, K.; Lisenfeld, U.; Lanz, L.; Appleton, P.N.; Ardila, F.; Cales, S.L.; Kewley, L.J.; Lacy, M.; Medling, A.M.; Nyland, K.; et al. Shocked POststarburst Galaxy Survey. II. The Molecular Gas Content and Properties of a Subset of SPOGs. Astrophys. J. 2016, 827, 106. [Google Scholar] [CrossRef]
- Watson, D.; Christensen, L.; Knudsen, K.K.; Richard, J.; Gallazzi, A.; Michałowski, M.J. A dusty, normal galaxy in the epoch of reionization. Nature 2015, 519, 327–330. [Google Scholar] [CrossRef]
- Laporte, N.; Ellis, R.S.; Witten, C.E.C.; Roberts-Borsani, G. Resolving ambiguities in the inferred star formation histories of intense [O III] emitters in the reionization Era. Mon. Not. R. Astron. Soc. 2023, 523, 3018–3024. [Google Scholar] [CrossRef]
- Lanz, L.; Stepanoff, S.; Hickox, R.C.; Alatalo, K.; French, K.D.; Rowlands, K.; Nyland, K.; Appleton, P.N.; Lacy, M.; Medling, A.; et al. Are Active Galactic Nuclei in Post-starburst Galaxies Driving the Change or Along for the Ride? Astrophys. J. 2022, 935, 29. [Google Scholar] [CrossRef]
- Smercina, A.; Smith, J.D.T.; Dale, D.A.; French, K.D.; Croxall, K.V.; Zhukovska, S.; Togi, A.; Bell, E.F.; Crocker, A.F.; Draine, B.T.; et al. After the Fall: The Dust and Gas in E+A Post-starburst Galaxies. Astrophys. J. 2018, 855, 51. [Google Scholar] [CrossRef]
- Papadopoulos, P.P. A Cosmic-ray-dominated Interstellar Medium in Ultra Luminous Infrared Galaxies: New Initial Conditions for Star Formation. Astrophys. J. 2010, 720, 226–232. [Google Scholar] [CrossRef]
- Yokoyama, S.L.; Ohira, Y. Resistive heating induced by streaming cosmic rays around a galaxy in the early Universe. Mon. Not. R. Astron. Soc. 2023, 523, 3671–3677. [Google Scholar] [CrossRef]
- Owen, E.R. Cosmic rays as a feedback agent in primordial galactic ecosystems. arXiv 2022, arXiv:2212.06469. [Google Scholar] [CrossRef]
- Tumlinson, J.; Peeples, M.S.; Werk, J.K. The Circumgalactic Medium. Annu. Rev. Astron. Astrophys. 2017, 55, 389–432. [Google Scholar] [CrossRef]
- Putman, M.E.; Peek, J.E.G.; Joung, M.R. Gaseous Galaxy Halos. Annu. Rev. Astron. Astrophys. 2012, 50, 491–529. [Google Scholar] [CrossRef]
- Faucher-Giguere, C.A.; Oh, S.P. Key Physical Processes in the Circumgalactic Medium. arXiv 2023, arXiv:2301.10253. [Google Scholar] [CrossRef]
- Girichidis, P.; Naab, T.; Hanasz, M.; Walch, S. Cooler and smoother—The impact of cosmic rays on the phase structure of galactic outflows. Mon. Not. R. Astron. Soc. 2018, 479, 3042–3067. [Google Scholar] [CrossRef]
- Werk, J.K.; Prochaska, J.X.; Tumlinson, J.; Peeples, M.S.; Tripp, T.M.; Fox, A.J.; Lehner, N.; Thom, C.; O’Meara, J.M.; Ford, A.B.; et al. The COS-Halos Survey: Physical Conditions and Baryonic Mass in the Low-redshift Circumgalactic Medium. Astrophys. J. 2014, 792, 8. [Google Scholar] [CrossRef]
- Chen, H.W.; Helsby, J.E.; Gauthier, J.R.; Shectman, S.A.; Thompson, I.B.; Tinker, J.L. An Empirical Characterization of Extended Cool Gas Around Galaxies Using Mg II Absorption Features. Astrophys. J. 2010, 714, 1521–1541. [Google Scholar] [CrossRef]
- Prochaska, J.X.; Weiner, B.; Chen, H.W.; Mulchaey, J.; Cooksey, K. Probing the Intergalactic Medium/Galaxy Connection. V. On the Origin of Lyα and O VI Absorption at z < 0.2. Astrophys. J. 2011, 740, 91. [Google Scholar] [CrossRef]
- Tumlinson, J.; Thom, C.; Werk, J.K.; Prochaska, J.X.; Tripp, T.M.; Katz, N.; Davé, R.; Oppenheimer, B.D.; Meiring, J.D.; Ford, A.B.; et al. The COS-Halos Survey: Rationale, Design, and a Census of Circumgalactic Neutral Hydrogen. Astrophys. J. 2013, 777, 59. [Google Scholar] [CrossRef]
- Keeney, B.A.; Stocke, J.T.; Pratt, C.T.; Davis, J.D.; Syphers, D.; Danforth, C.W.; Shull, J.M.; Froning, C.S.; Green, J.C.; Penton, S.V.; et al. A Galaxy Redshift Survey Near HST/COS AGN Sight Lines. Astrophys. J. Suppl. 2018, 237, 11. [Google Scholar] [CrossRef]
- Fox, A.; Davé, R. (Eds.) Gas Accretion onto Galaxies; Astrophysics and Space Science Library; Springer: London, UK, 2017; Volume 430. [Google Scholar] [CrossRef]
- Thom, C.; Tumlinson, J.; Werk, J.K.; Prochaska, J.X.; Oppenheimer, B.D.; Peeples, M.S.; Tripp, T.M.; Katz, N.S.; O’Meara, J.M.; Ford, A.B.; et al. Not Dead Yet: Cool Circumgalactic Gas in the Halos of Early-type Galaxies. Astrophys. J. Lett. 2012, 758, L41. [Google Scholar] [CrossRef]
- Berg, M.A.; Howk, J.C.; Lehner, N.; Wotta, C.B.; O’Meara, J.M.; Bowen, D.V.; Burchett, J.N.; Peeples, M.S.; Tejos, N. The Red Dead Redemption Survey of Circumgalactic Gas about Massive Galaxies. I. Mass and Metallicity of the Cool Phase. Astrophys. J. 2019, 883, 5. [Google Scholar] [CrossRef]
- Butsky, I.S.; Fielding, D.B.; Hayward, C.C.; Hummels, C.B.; Quinn, T.R.; Werk, J.K. The Impact of Cosmic Rays on Thermal Instability in the Circumgalactic Medium. Astrophys. J. 2020, 903, 77. [Google Scholar] [CrossRef]
- Butsky, I.S.; Nakum, S.; Ponnada, S.B.; Hummels, C.B.; Ji, S.; Hopkins, P.F. Constraining cosmic ray transport with observations of the circumgalactic medium. Mon. Not. R. Astron. Soc. 2023, 521, 2477–2483. [Google Scholar] [CrossRef]
- Field, G.B. Thermal Instability. Astrophys. J. 1965, 142, 531. [Google Scholar] [CrossRef]
- Putman, M.E.; Staveley-Smith, L.; Freeman, K.C.; Gibson, B.K.; Barnes, D.G. The Magellanic Stream, High-Velocity Clouds, and the Sculptor Group. Astrophys. J. 2003, 586, 170–194. [Google Scholar] [CrossRef]
- McCourt, M.; Sharma, P.; Quataert, E.; Parrish, I.J. Thermal instability in gravitationally stratified plasmas: Implications for multiphase structure in clusters and galaxy haloes. Mon. Not. R. Astron. Soc. 2012, 419, 3319–3337. [Google Scholar] [CrossRef]
- Sharma, P.; McCourt, M.; Quataert, E.; Parrish, I.J. Thermal instability and the feedback regulation of hot haloes in clusters, groups and galaxies. Mon. Not. R. Astron. Soc. 2012, 420, 3174–3194. [Google Scholar] [CrossRef]
- Voit, G.M.; Donahue, M.; Bryan, G.L.; McDonald, M. Regulation of star formation in giant galaxies by precipitation, feedback and conduction. Nature 2015, 519, 203–206. [Google Scholar] [CrossRef]
- Salem, M.; Bryan, G.L.; Corlies, L. Role of cosmic rays in the circumgalactic medium. Mon. Not. R. Astron. Soc. 2016, 456, 582–601. [Google Scholar] [CrossRef]
- Sharma, P.; Parrish, I.J.; Quataert, E. Thermal Instability with Anisotropic Thermal Conduction and Adiabatic Cosmic Rays: Implications for Cold Filaments in Galaxy Clusters. Astrophys. J. 2010, 720, 652–665. [Google Scholar] [CrossRef]
- Kempski, P.; Quataert, E. Thermal instability of halo gas heated by streaming cosmic rays. Mon. Not. R. Astron. Soc. 2020, 493, 1801–1817. [Google Scholar] [CrossRef]
- Hopkins, P.F.; Chan, T.K.; Garrison-Kimmel, S.; Ji, S.; Su, K.Y.; Hummels, C.B.; Kereš, D.; Quataert, E.; Faucher-Giguère, C.A. But what about…: Cosmic rays, magnetic fields, conduction, and viscosity in galaxy formation. Mon. Not. R. Astron. Soc. 2020, 492, 3465–3498. [Google Scholar] [CrossRef]
- Buck, T.; Pfrommer, C.; Pakmor, R.; Grand, R.J.J.; Springel, V. The effects of cosmic rays on the formation of Milky Way-mass galaxies in a cosmological context. Mon. Not. R. Astron. Soc. 2020, 497, 1712–1737. [Google Scholar] [CrossRef]
- Dekel, A.; Birnboim, Y. Galaxy bimodality due to cold flows and shock heating. Mon. Not. R. Astron. Soc. 2006, 368, 2–20. [Google Scholar] [CrossRef]
- Dekel, A.; Birnboim, Y.; Engel, G.; Freundlich, J.; Goerdt, T.; Mumcuoglu, M.; Neistein, E.; Pichon, C.; Teyssier, R.; Zinger, E. Cold streams in early massive hot haloes as the main mode of galaxy formation. Nature 2009, 457, 451–454. [Google Scholar] [CrossRef]
- Kereš, D.; Katz, N.; Weinberg, D.H.; Davé, R. How do galaxies get their gas? Mon. Not. R. Astron. Soc. 2005, 363, 2–28. [Google Scholar] [CrossRef]
- Kereš, D.; Katz, N.; Fardal, M.; Davé, R.; Weinberg, D.H. Galaxies in a simulated ΛCDM Universe—I. Cold mode and hot cores. Mon. Not. R. Astron. Soc. 2009, 395, 160–179. [Google Scholar] [CrossRef]
- Roberts-Borsani, G.W.; Saintonge, A. The prevalence and properties of cold gas inflows and outflows around galaxies in the local Universe. Mon. Not. R. Astron. Soc. 2019, 482, 4111–4145. [Google Scholar] [CrossRef]
- Ceverino, D.; Dekel, A.; Bournaud, F. High-redshift clumpy discs and bulges in cosmological simulations. Mon. Not. R. Astron. Soc. 2010, 404, 2151–2169. [Google Scholar] [CrossRef]
- Emonts, B.H.C.; Lehnert, M.D.; Yoon, I.; Mandelker, N.; Villar-Martín, M.; Miley, G.K.; De Breuck, C.; Pérez-Torres, M.A.; Hatch, N.A.; Guillard, P. A cosmic stream of atomic carbon gas connected to a massive radio galaxy at redshift 3.8. Science 2023, 379, 1323–1326. [Google Scholar] [CrossRef]
- Mandelker, N.; Nagai, D.; Aung, H.; Dekel, A.; Birnboim, Y.; van den Bosch, F.C. Instability of supersonic cold streams feeding galaxies—IV. Survival of radiatively cooling streams. Mon. Not. R. Astron. Soc. 2020, 494, 2641–2663. [Google Scholar] [CrossRef]
- Martin, D.C.; Matuszewski, M.; Morrissey, P.; Neill, J.D.; Moore, A.; Cantalupo, S.; Prochaska, J.X.; Chang, D. A giant protogalactic disk linked to the cosmic web. Nature 2015, 524, 192–195. [Google Scholar] [CrossRef]
- Daddi, E.; Valentino, F.; Rich, R.M.; Neill, J.D.; Gronke, M.; O’Sullivan, D.; Elbaz, D.; Bournaud, F.; Finoguenov, A.; Marchal, A.; et al. Three Lyman-α-emitting filaments converging to a massive galaxy group at z = 2.91: Discussing the case for cold gas infall. Astropart. Phys. 2021, 649, A78. [Google Scholar] [CrossRef]
- Dijkstra, M.; Loeb, A. Lyα blobs as an observational signature of cold accretion streams into galaxies. Mon. Not. R. Astron. Soc. 2009, 400, 1109–1120. [Google Scholar] [CrossRef]
- Rosdahl, J.; Blaizot, J. Extended Lyα emission from cold accretion streams. Mon. Not. R. Astron. Soc. 2012, 423, 344–366. [Google Scholar] [CrossRef]
- Pandya, V.; Somerville, R.S.; Anglés-Alcázar, D.; Hayward, C.C.; Bryan, G.L.; Fielding, D.B.; Forbes, J.C.; Burkhart, B.; Genel, S.; Hernquist, L.; et al. First Results from SMAUG: The Need for Preventative Stellar Feedback and Improved Baryon Cycling in Semianalytic Models of Galaxy Formation. Astrophys. J. 2020, 905, 4. [Google Scholar] [CrossRef]
- Nelson, D.; Genel, S.; Vogelsberger, M.; Springel, V.; Sijacki, D.; Torrey, P.; Hernquist, L. The impact of feedback on cosmological gas accretion. Mon. Not. R. Astron. Soc. 2015, 448, 59–74. [Google Scholar] [CrossRef]
- Hopkins, P.F.; Chan, T.K.; Ji, S.; Hummels, C.B.; Kereš, D.; Quataert, E.; Faucher-Giguère, C.A. Cosmic ray driven outflows to Mpc scales from L * galaxies. Mon. Not. R. Astron. Soc. 2021, 501, 3640–3662. [Google Scholar] [CrossRef]
- Su, K.Y.; Hopkins, P.F.; Hayward, C.C.; Faucher-Giguère, C.A.; Kereš, D.; Ma, X.; Orr, M.E.; Chan, T.K.; Robles, V.H. Cosmic rays or turbulence can suppress cooling flows (where thermal heating or momentum injection fail). Mon. Not. R. Astron. Soc. 2020, 491, 1190–1212. [Google Scholar] [CrossRef]
- Schawinski, K.; Urry, C.M.; Simmons, B.D.; Fortson, L.; Kaviraj, S.; Keel, W.C.; Lintott, C.J.; Masters, K.L.; Nichol, R.C.; Sarzi, M.; et al. The green valley is a red herring: Galaxy Zoo reveals two evolutionary pathways towards quenching of star formation in early- and late-type galaxies. Mon. Not. R. Astron. Soc. 2014, 440, 889–907. [Google Scholar] [CrossRef]
- Laporte, N.; Meyer, R.A.; Ellis, R.S.; Robertson, B.E.; Chisholm, J.; Roberts-Borsani, G.W. Probing cosmic dawn: Ages and star formation histories of candidate z ≥ 9 galaxies. Mon. Not. R. Astron. Soc. 2021, 505, 3336–3346. [Google Scholar] [CrossRef]
- Gronke, M.; Oh, S.P. The growth and entrainment of cold gas in a hot wind. Mon. Not. R. Astron. Soc. 2018, 480, L111–L115. [Google Scholar] [CrossRef]
- Huang, X.; Jiang, Y.f.; Davis, S.W. Cosmic-Ray-driven Multiphase Gas Formed via Thermal Instability. Astrophys. J. 2022, 931, 140. [Google Scholar] [CrossRef]
- Fujita, A.; Martin, C.L.; Mac Low, M.M.; New, K.C.B.; Weaver, R. The Origin and Kinematics of Cold Gas in Galactic Winds: Insight from Numerical Simulations. Astrophys. J. 2009, 698, 693–714. [Google Scholar] [CrossRef]
- Cooper, J.L.; Bicknell, G.V.; Sutherland, R.S.; Bland-Hawthorn, J. Three-dimensional simulations of a starburst wind. Astrophys. Space Sci. 2007, 311, 99–103. [Google Scholar] [CrossRef]
- Zhang, D. A Review of the Theory of Galactic Winds Driven by Stellar Feedback. Galaxies 2018, 6, 114. [Google Scholar] [CrossRef]
- Murray, N.; Ménard, B.; Thompson, T.A. Radiation Pressure from Massive Star Clusters as a Launching Mechanism for Super-galactic Winds. Astrophys. J. 2011, 735, 66. [Google Scholar] [CrossRef]
- Gronke, M.; Oh, S.P.; Ji, S.; Norman, C. Survival and mass growth of cold gas in a turbulent, multiphase medium. Mon. Not. R. Astron. Soc. 2022, 511, 859–876. [Google Scholar] [CrossRef]
- Lyutikov, M. Magnetic draping of merging cores and radio bubbles in clusters of galaxies. Mon. Not. R. Astron. Soc. 2006, 373, 73–78. [Google Scholar] [CrossRef]
- Li, Z.; Hopkins, P.F.; Squire, J.; Hummels, C. On the survival of cool clouds in the circumgalactic medium. Mon. Not. R. Astron. Soc. 2020, 492, 1841–1854. [Google Scholar] [CrossRef]
- Breitschwerdt, D.; McKenzie, J.F.; Voelk, H.J. Galactic winds. I-Cosmic ray and wave-driven winds from the Galaxy. Astropart. Phys. 1991, 245, 79–98. [Google Scholar]
- Uhlig, M.; Pfrommer, C.; Sharma, M.; Nath, B.B.; Enßlin, T.A.; Springel, V. Galactic winds driven by cosmic ray streaming. Mon. Not. R. Astron. Soc. 2012, 423, 2374–2396. [Google Scholar] [CrossRef]
- Booth, C.M.; Agertz, O.; Kravtsov, A.V.; Gnedin, N.Y. Simulations of Disk Galaxies with Cosmic Ray Driven Galactic Winds. Astrophys. J. Lett. 2013, 777, L16. [Google Scholar] [CrossRef]
- Salem, M.; Bryan, G.L. Cosmic ray driven outflows in global galaxy disc models. Mon. Not. R. Astron. Soc. 2014, 437, 3312–3330. [Google Scholar] [CrossRef]
- Wiener, J.; Pfrommer, C.; Oh, S.P. Cosmic ray-driven galactic winds: Streaming or diffusion? Mon. Not. R. Astron. Soc. 2017, 467, 906–921. [Google Scholar] [CrossRef]
- Chan, T.K.; Kereš, D.; Hopkins, P.F.; Quataert, E.; Su, K.Y.; Hayward, C.C.; Faucher-Giguère, C.A. Cosmic ray feedback in the FIRE simulations: Constraining cosmic ray propagation with GeV γ-ray emission. Mon. Not. R. Astron. Soc. 2019, 488, 3716–3744. [Google Scholar] [CrossRef]
- Samui, S.; Subramanian, K.; Srianand, R. Cosmic ray driven outflows from high-redshift galaxies. Mon. Not. R. Astron. Soc. 2010, 402, 2778–2791. [Google Scholar] [CrossRef]
- Farber, R.; Ruszkowski, M.; Yang, H.Y.K.; Zweibel, E.G. Impact of Cosmic-Ray Transport on Galactic Winds. Astrophys. J. 2018, 856, 112. [Google Scholar] [CrossRef]
- Armillotta, L.; Ostriker, E.C.; Jiang, Y.F. Cosmic-Ray Transport in Varying Galactic Environments. Astrophys. J. 2022, 929, 170. [Google Scholar] [CrossRef]
- Yu, B.P.B.; Owen, E.R.; Pan, K.C.; Wu, K.; Ferreras, I. Outflows from starburst galaxies with various driving mechanisms and their X-ray properties. Mon. Not. R. Astron. Soc. 2021, 508, 5092–5113. [Google Scholar] [CrossRef]
- Gronke, M.; Girichidis, P.; Naab, T.; Walch, S. The Imprint of Cosmic Ray Driven Outflows on Lyman-α Spectra. Astrophys. J. Lett. 2018, 862, L7. [Google Scholar] [CrossRef]
- Mao, S.A.; Ostriker, E.C. Galactic Disk Winds Driven by Cosmic Ray Pressure. Astrophys. J. 2018, 854, 89. [Google Scholar] [CrossRef]
- Recchia, S.; Blasi, P.; Morlino, G. Cosmic ray-driven winds in the Galactic environment and the cosmic ray spectrum. Mon. Not. R. Astron. Soc. 2017, 470, 865–881. [Google Scholar] [CrossRef]
- Fujita, A.; Mac Low, M.M. Cosmic ray driven outflows in an ultraluminous galaxy. Mon. Not. R. Astron. Soc. 2018, 477, 531–538. [Google Scholar] [CrossRef]
- Jacob, S.; Pakmor, R.; Simpson, C.M.; Springel, V.; Pfrommer, C. The dependence of cosmic ray-driven galactic winds on halo mass. Mon. Not. R. Astron. Soc. 2018, 475, 570–584. [Google Scholar] [CrossRef]
- Peschken, N.; Hanasz, M.; Naab, T.; Wóltański, D.; Gawryszczak, A. The angular momentum structure of CR-driven galactic outflows triggered by stream accretion. Mon. Not. R. Astron. Soc. 2021, 508, 4269–4281. [Google Scholar] [CrossRef]
- Peschken, N.; Hanasz, M.; Naab, T.; Wóltański, D.; Gawryszczak, A. The phase structure of cosmic ray driven outflows in stream fed disc galaxies. Mon. Not. R. Astron. Soc. 2023, 522, 5529–5545. [Google Scholar] [CrossRef]
- Quataert, E.; Thompson, T.A.; Jiang, Y.F. The physics of galactic winds driven by cosmic rays I: Diffusion. Mon. Not. R. Astron. Soc. 2022, 510, 1184–1203. [Google Scholar] [CrossRef]
- Hopkins, P.F.; Chan, T.K.; Squire, J.; Quataert, E.; Ji, S.; Kereš, D.; Faucher-Giguère, C.A. Effects of different cosmic ray transport models on galaxy formation. Mon. Not. R. Astron. Soc. 2021, 501, 3663–3669. [Google Scholar] [CrossRef]
- Quataert, E.; Jiang, Y.F.; Thompson, T.A. The physics of galactic winds driven by cosmic rays—II. Isothermal streaming solutions. Mon. Not. R. Astron. Soc. 2022, 510, 920–945. [Google Scholar] [CrossRef]
- Bai, X.N. Toward First-principles Characterization of Cosmic-Ray Transport Coefficients from Multiscale Kinetic Simulations. Astrophys. J. 2022, 928, 112. [Google Scholar] [CrossRef]
- Ko, C.M.; Ramzan, B.; Chernyshov, D.O. Outflows in the presence of cosmic rays and waves with cooling. Astropart. Phys. 2021, 654, A63. [Google Scholar] [CrossRef]
- Modak, S.; Quataert, E.; Jiang, Y.F.; Thompson, T.A. Cosmic-Ray Driven Galactic Winds from the Warm Interstellar Medium. arXiv 2023, arXiv:2302.03701. [Google Scholar] [CrossRef]
- Hopkins, P.F.; Butsky, I.S.; Panopoulou, G.V.; Ji, S.; Quataert, E.; Faucher-Giguère, C.A.; Kereš, D. First predicted cosmic ray spectra, primary-to-secondary ratios, and ionization rates from MHD galaxy formation simulations. Mon. Not. R. Astron. Soc. 2022, 516, 3470–3514. [Google Scholar] [CrossRef]
- Girichidis, P.; Pfrommer, C.; Pakmor, R.; Springel, V. Spectrally resolved cosmic rays—II. Momentum-dependent cosmic ray diffusion drives powerful galactic winds. Mon. Not. R. Astron. Soc. 2022, 510, 3917–3938. [Google Scholar] [CrossRef]
- Müller, A.L.; Romero, G.E.; Roth, M. High-energy processes in starburst-driven winds. Mon. Not. R. Astron. Soc. 2020, 496, 2474–2481. [Google Scholar] [CrossRef]
- Peretti, E.; Morlino, G.; Blasi, P.; Cristofari, P. Particle acceleration and multimessenger emission from starburst-driven galactic winds. Mon. Not. R. Astron. Soc. 2022, 511, 1336–1348. [Google Scholar] [CrossRef]
- Chisholm, J.; Tremonti, C.A.; Leitherer, C.; Chen, Y.; Wofford, A.; Lundgren, B. Scaling Relations Between Warm Galactic Outflows and Their Host Galaxies. Astrophys. J. 2015, 811, 149. [Google Scholar] [CrossRef]
- Heckman, T.M.; Borthakur, S. The Implications of Extreme Outflows from Extreme Starbursts. Astrophys. J. 2016, 822, 9. [Google Scholar] [CrossRef]
- Chisholm, J.; Tremonti, C.A.; Leitherer, C.; Chen, Y. The mass and momentum outflow rates of photoionized galactic outflows. Mon. Not. R. Astron. Soc. 2017, 469, 4831–4849. [Google Scholar] [CrossRef]
- Oppenheimer, B.D.; Davé, R.; Kereš, D.; Fardal, M.; Katz, N.; Kollmeier, J.A.; Weinberg, D.H. Feedback and recycled wind accretion: Assembling the z = 0 galaxy mass function. Mon. Not. R. Astron. Soc. 2010, 406, 2325–2338. [Google Scholar] [CrossRef]
- Bertone, S.; De Lucia, G.; Thomas, P.A. The recycling of gas and metals in galaxy formation: Predictions of a dynamical feedback model. Mon. Not. R. Astron. Soc. 2007, 379, 1143–1154. [Google Scholar] [CrossRef]
- Marinacci, F.; Fraternali, F.; Nipoti, C.; Binney, J.; Ciotti, L.; Londrillo, P. Galactic fountains and the rotation of disc-galaxy coronae. Mon. Not. R. Astron. Soc. 2011, 415, 1534–1542. [Google Scholar] [CrossRef]
- Zhang, S.; Cai, Z.; Xu, D.; Shimakawa, R.; Arrigoni Battaia, F.; Prochaska, J.X.; Cen, R.; Zheng, Z.; Wu, Y.; Li, Q.; et al. Inspiraling streams of enriched gas observed around a massive galaxy 11 billion years ago. Science 2023, 380, 494–498. [Google Scholar] [CrossRef]
- Cen, R.; Ostriker, J.P. Where Are the Baryons? II. Feedback Effects. Astrophys. J. 2006, 650, 560–572. [Google Scholar] [CrossRef]
- Nelson, D.; Kauffmann, G.; Pillepich, A.; Genel, S.; Springel, V.; Pakmor, R.; Hernquist, L.; Weinberger, R.; Torrey, P.; Vogelsberger, M.; et al. The abundance, distribution, and physical nature of highly ionized oxygen O VI, O VII, and O VIII in IllustrisTNG. Mon. Not. R. Astron. Soc. 2018, 477, 450–479. [Google Scholar] [CrossRef]
- Bertone, S.; Vogt, C.; Enßlin, T. Magnetic field seeding by galactic winds. Mon. Not. R. Astron. Soc. 2006, 370, 319–330. [Google Scholar] [CrossRef]
- Donnert, J.; Dolag, K.; Lesch, H.; Müller, E. Cluster magnetic fields from galactic outflows. Mon. Not. R. Astron. Soc. 2009, 392, 1008–1021. [Google Scholar] [CrossRef]
- Arámburo-García, A.; Bondarenko, K.; Boyarsky, A.; Nelson, D.; Pillepich, A.; Sokolenko, A. Magnetization of the intergalactic medium in the IllustrisTNG simulations: The importance of extended, outflow-driven bubbles. Mon. Not. R. Astron. Soc. 2021, 505, 5038–5057. [Google Scholar] [CrossRef]
- Oppenheimer, B.D.; Davé, R. Mass, metal, and energy feedback in cosmological simulations. Mon. Not. R. Astron. Soc. 2008, 387, 577–600. [Google Scholar] [CrossRef]
- Anglés-Alcázar, D.; Faucher-Giguère, C.A.; Kereš, D.; Hopkins, P.F.; Quataert, E.; Murray, N. The cosmic baryon cycle and galaxy mass assembly in the FIRE simulations. Mon. Not. R. Astron. Soc. 2017, 470, 4698–4719. [Google Scholar] [CrossRef]
- Christensen, C.R.; Davé, R.; Governato, F.; Pontzen, A.; Brooks, A.; Munshi, F.; Quinn, T.; Wadsley, J. In-N-Out: The Gas Cycle from Dwarfs to Spiral Galaxies. Astrophys. J. 2016, 824, 57. [Google Scholar] [CrossRef]
- Girichidis, P.; Naab, T.; Walch, S.; Hanasz, M.; Mac Low, M.M.; Ostriker, J.P.; Gatto, A.; Peters, T.; Wünsch, R.; Glover, S.C.O.; et al. Launching Cosmic-Ray-driven Outflows from the Magnetized Interstellar Medium. Astrophys. J. Lett. 2016, 816, L19. [Google Scholar] [CrossRef]
- Jana, R.; Gupta, S.; Nath, B.B. Role of cosmic rays in the early stages of galactic outflows. Mon. Not. R. Astron. Soc. 2020, 497, 2623–2640. [Google Scholar] [CrossRef]
- Ji, S.; Kereš, D.; Chan, T.K.; Stern, J.; Hummels, C.B.; Hopkins, P.F.; Quataert, E.; Faucher-Giguère, C.A. Virial shocks are suppressed in cosmic ray-dominated galaxy haloes. Mon. Not. R. Astron. Soc. 2021, 505, 259–273. [Google Scholar] [CrossRef]
- Butsky, I.S.; Werk, J.K.; Tchernyshyov, K.; Fielding, D.B.; Breneman, J.; Piacitelli, D.R.; Quinn, T.R.; Sanchez, N.N.; Cruz, A.; Hummels, C.B.; et al. The Impact of Cosmic Rays on the Kinematics of the Circumgalactic Medium. Astrophys. J. 2022, 935, 69. [Google Scholar] [CrossRef]
- Chan, T.K.; Kereš, D.; Gurvich, A.B.; Hopkins, P.F.; Trapp, C.; Ji, S.; Faucher-Giguère, C.A. The impact of cosmic rays on dynamical balance and disc-halo interaction in L★ disc galaxies. Mon. Not. R. Astron. Soc. 2022, 517, 597–615. [Google Scholar] [CrossRef]
- Ipavich, F.M. Galactic winds driven by cosmic rays. Astrophys. J. 1975, 196, 107–120. [Google Scholar] [CrossRef]
- Simpson, C.M.; Pakmor, R.; Marinacci, F.; Pfrommer, C.; Springel, V.; Glover, S.C.O.; Clark, P.C.; Smith, R.J. The Role of Cosmic-Ray Pressure in Accelerating Galactic Outflows. Astrophys. J. Lett. 2016, 827, L29. [Google Scholar] [CrossRef]
- Bustard, C.; Zweibel, E.G.; D’Onghia, E.; Gallagher, J.S., III; Farber, R. Cosmic-Ray-driven Outflows from the Large Magellanic Cloud: Contributions to the LMC Filament. Astrophys. J. 2020, 893, 29. [Google Scholar] [CrossRef]
- Gupta, S.; Sharma, P.; Mignone, A. A numerical approach to the non-uniqueness problem of cosmic ray two-fluid equations at shocks. Mon. Not. R. Astron. Soc. 2021, 502, 2733–2749. [Google Scholar] [CrossRef]
- Semenov, V.A.; Kravtsov, A.V.; Diemer, B. Entropy-conserving Scheme for Modeling Nonthermal Energies in Fluid Dynamics Simulations. Astrophys. J. Suppl. 2022, 261, 16. [Google Scholar] [CrossRef]
- Hopkins, P.F.; Squire, J.; Butsky, I.S.; Ji, S. Standard self-confinement and extrinsic turbulence models for cosmic ray transport are fundamentally incompatible with observations. Mon. Not. R. Astron. Soc. 2022, 517, 5413–5448. [Google Scholar] [CrossRef]
- Girichidis, P.; Werhahn, M.; Pfrommer, C.; Pakmor, R.; Springel, V. Spectrally resolved cosmic rays—III. Dynamical impact and properties of the circumgalactic medium. arXiv 2023, arXiv:2303.03417. [Google Scholar] [CrossRef]
- Werhahn, M.; Girichidis, P.; Pfrommer, C.; Whittingham, J. Gamma-ray emission from spectrally resolved cosmic rays in galaxies. arXiv 2023, arXiv:2301.04163. [Google Scholar] [CrossRef]
- Lazarian, A.; Xu, S. Damping of Alfvén Waves in MHD Turbulence and Implications for Cosmic Ray Streaming Instability and Galactic Winds. Front. Phys. 2022, 10, 702799. [Google Scholar] [CrossRef]
- Zweibel, E.G. The microphysics and macrophysics of cosmic rays. Phys. Plasmas 2013, 20, 055501. [Google Scholar] [CrossRef]
- Hopkins, P.F.; Squire, J.; Chan, T.K.; Quataert, E.; Ji, S.; Kereš, D.; Faucher-Giguère, C.A. Testing physical models for cosmic ray transport coefficients on galactic scales: Self-confinement and extrinsic turbulence at ∼GeV energies. Mon. Not. R. Astron. Soc. 2021, 501, 4184–4213. [Google Scholar] [CrossRef]
- Lazarian, A. Damping of Alfvén Waves by Turbulence and Its Consequences: From Cosmic-ray Streaming to Launching Winds. Astrophys. J. 2016, 833, 131. [Google Scholar] [CrossRef]
- Bai, X.N.; Ostriker, E.C.; Plotnikov, I.; Stone, J.M. Magnetohydrodynamic Particle-in-cell Simulations of the Cosmic-Ray Streaming Instability: Linear Growth and Quasi-linear Evolution. Astrophys. J. 2019, 876, 60. [Google Scholar] [CrossRef]
- Holcomb, C.; Spitkovsky, A. On the Growth and Saturation of the Gyroresonant Streaming Instabilities. Astrophys. J. 2019, 882, 3. [Google Scholar] [CrossRef]
- van Marle, A.J.; Casse, F.; Marcowith, A. Three-dimensional simulations of non-resonant streaming instability and particle acceleration near non-relativistic astrophysical shocks. Mon. Not. R. Astron. Soc. 2019, 490, 1156–1165. [Google Scholar] [CrossRef]
- Hopkins, P.F.; Butsky, I.S.; Ji, S.; Kereš, D. A simple sub-grid model for cosmic ray effects on galactic scales. Mon. Not. R. Astron. Soc. 2023. [Google Scholar] [CrossRef]
- Cherenkov Telescope Array Consortium; Acharya, B.S.; Agudo, I.; Al Samarai, I.; Alfaro, R.; Alfaro, J.; Alispach, C.; Alves Batista, R.; Amans, J.P.; Amato, E.; et al. Science with the Cherenkov Telescope Array; World Scientific Publishing Co Pte Ltd.: Singapore, 2019. [Google Scholar] [CrossRef]
- Huentemeyer, P.; BenZvi, S.; Dingus, B.; Fleischhack, H.; Schoorlemmer, H.; Weisgarber, T. The Southern Wide-Field Gamma-Ray Observatory (SWGO): A Next-Generation Ground-Based Survey Instrument. Bull. Am. Astron. Soc. 2019, 51, 109. [Google Scholar] [CrossRef]
- Tomsick, J.; Zoglauer, A.; Sleator, C.; Lazar, H.; Beechert, J.; Boggs, S.; Roberts, J.; Siegert, T.; Lowell, A.; Wulf, E.; et al. The Compton Spectrometer and Imager. Bull. Am. Astron. Soc. 2019, 51, 98. [Google Scholar] [CrossRef]
- Tomsick, J. et al. [COSI Collaboration] The Compton Spectrometer and Imager Project for MeV Astronomy. In Proceedings of the 37th International Cosmic Ray Conference, Berlin, Germany, 15–22 July 2021; Sissa Medialab srl Partita IVA: Trieste, Italy, 2022; Volume 395, p. 652. [Google Scholar] [CrossRef]
- Adrián-Martínez, S.; Ageron, M.; Aharonian, F.; Aiello, S.; Albert, A.; Ameli, F.; Anassontzis, E.; Andre, M.; Androulakis, G.; Anghinolfi, M.; et al. Letter of intent for KM3NeT 2.0. J. Phys. Nucl. Phys. 2016, 43, 084001. [Google Scholar] [CrossRef]
- Avrorin, A.D. et al. [Baikal-GVD Collaboration] Neutrino Telescope in Lake Baikal: Present and Future. arXiv 2019, arXiv:1908.05427. [Google Scholar]
- Krumholz, M.R.; Crocker, R.M.; Sampson, M.L. Cosmic ray interstellar propagation tool using Itô Calculus (CRIPTIC): Software for simultaneous calculation of cosmic ray transport and observational signatures. Mon. Not. R. Astron. Soc. 2022, 517, 1355–1380. [Google Scholar] [CrossRef]
- Hanasz, M.; Strong, A.W.; Girichidis, P. Simulations of cosmic ray propagation. Living Rev. Comput. Astrophys. 2021, 7, 2. [Google Scholar] [CrossRef] [PubMed]
- Zweibel, E.G. The Role of Pressure Anisotropy in Cosmic-Ray Hydrodynamics. Astrophys. J. 2020, 890, 67. [Google Scholar] [CrossRef]
- Ji, S.; Squire, J.; Hopkins, P.F. Numerical study of cosmic ray confinement through dust resonant drag instabilities. Mon. Not. R. Astron. Soc. 2022, 513, 282–295. [Google Scholar] [CrossRef]











| Model | ISRF Energy Density | ISRF Radiation Temperatures | Gas Density | Redshift | ||
|---|---|---|---|---|---|---|
| Stars | Dust | Stars | Dust | |||
| Coronal gas/HIM | 0.66 | 0.31 | 3000 | 17 | 0.004 | 0 |
| Warm neutral gas | 0.66 | 0.31 | 3000 | 17 | 0.6 | 0 |
| Dense molecular cloud | – | – | – | – | 10 | 0 |
| Molecular cloud core | – | – | – | – | 10 | 0 |
| Inner starburst | 79.2 | 1.5 | 18,000 | 135 | 6.5 | 0.018 |
| ULIRG | 673 | 310 | 18,000 | 135 | 0.1 | 0.64 |
| Cosmic noon starburst | 2630 | 1230 | 18,000 | 57 | 10 | 2.33 |
| Protogalaxy | 2.77 | 1.30 | 18,000 | 40 | 0.0003 | 9.11 |
Disclaimer/Publisher’s Note: The statements, opinions and data contained in all publications are solely those of the individual author(s) and contributor(s) and not of MDPI and/or the editor(s). MDPI and/or the editor(s) disclaim responsibility for any injury to people or property resulting from any ideas, methods, instructions or products referred to in the content. |
© 2023 by the authors. Licensee MDPI, Basel, Switzerland. This article is an open access article distributed under the terms and conditions of the Creative Commons Attribution (CC BY) license (https://creativecommons.org/licenses/by/4.0/).
Share and Cite
Owen, E.R.; Wu, K.; Inoue, Y.; Yang, H.-Y.K.; Mitchell, A.M.W. Cosmic Ray Processes in Galactic Ecosystems. Galaxies 2023, 11, 86. https://doi.org/10.3390/galaxies11040086
Owen ER, Wu K, Inoue Y, Yang H-YK, Mitchell AMW. Cosmic Ray Processes in Galactic Ecosystems. Galaxies. 2023; 11(4):86. https://doi.org/10.3390/galaxies11040086
Chicago/Turabian StyleOwen, Ellis R., Kinwah Wu, Yoshiyuki Inoue, H.-Y. Karen Yang, and Alison M. W. Mitchell. 2023. "Cosmic Ray Processes in Galactic Ecosystems" Galaxies 11, no. 4: 86. https://doi.org/10.3390/galaxies11040086
APA StyleOwen, E. R., Wu, K., Inoue, Y., Yang, H.-Y. K., & Mitchell, A. M. W. (2023). Cosmic Ray Processes in Galactic Ecosystems. Galaxies, 11(4), 86. https://doi.org/10.3390/galaxies11040086

