Test Particles and Quasiperiodic Oscillations around Gravitational Aether Black Holes
Abstract
1. Introduction
2. Black Holes in the Gravitational Aether Theory
3. Scalar Invariants
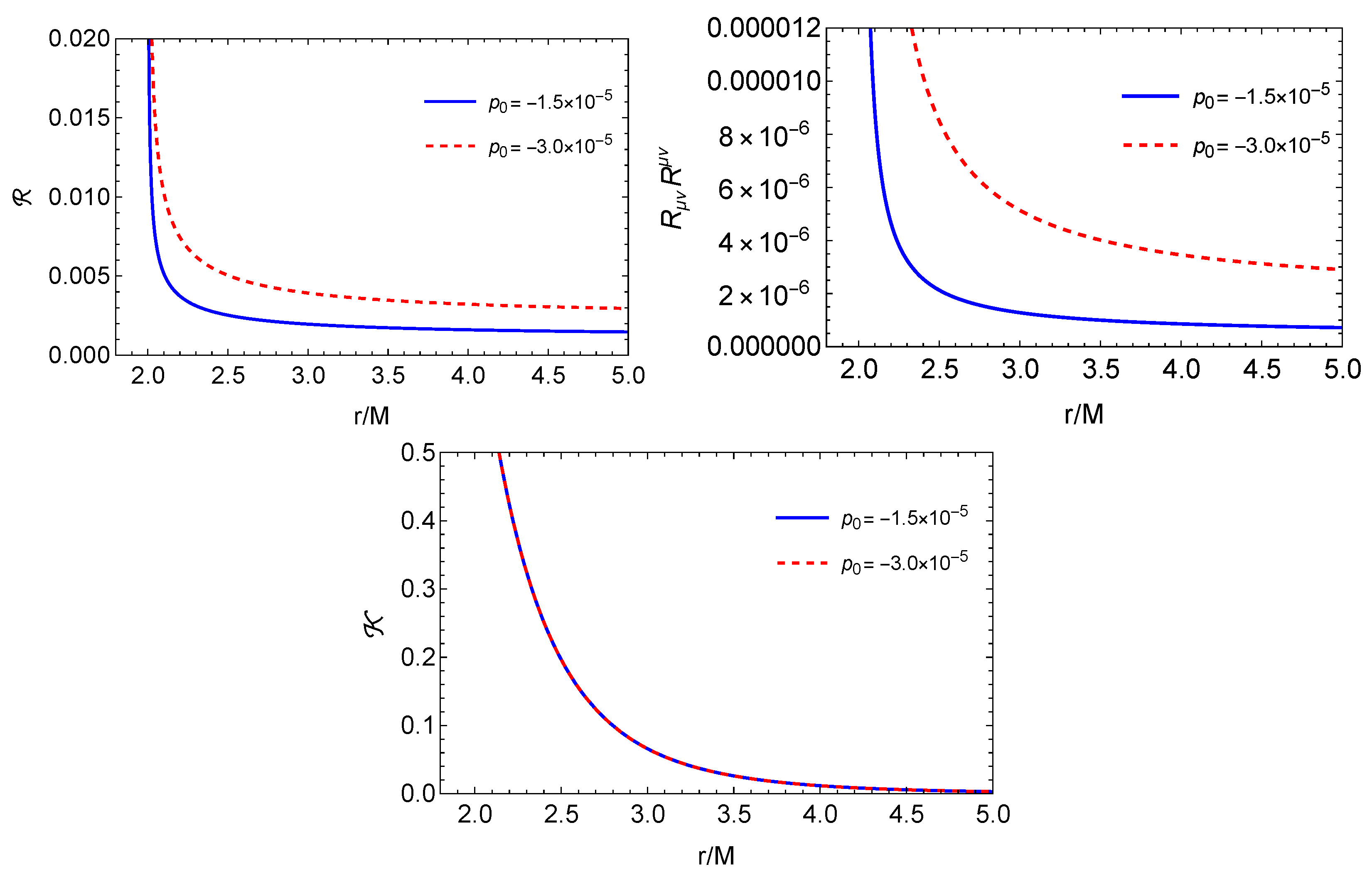
3.1. Ricci Scalar
3.2. Square of Ricci Tensor
3.3. Kretschmann Scalar
4. Motion of a Test Particle in the Vicinity of the Aether BH
5. The Efficiency of Energy Extraction
6. Center of Mass Energy of the Colliding Particles
7. Fundamental Frequencies
7.1. Keplerian Frequency
7.2. Harmonic Oscillations
8. QPOs
- Relativistic Precession (RP) model: Originally introduced in Ref. [29] to explain the kHz twin-peak QPOs observed in neutron stars of Low-Mass X-ray Binary systems. Later, the RP model was shown to be applicable to black hole candidates in binary systems involving black holes and neutron stars [40]. The RP model was further developed in Ref. [41] to obtain mass and spin measurements of black holes located at the centers of microquasars, utilizing data from the power–density spectrum of the accretion disk. In the RP model, the upper and lower frequencies are described by the frequencies of the fundamental oscillations, and , respectively.
- Epicyclic resonance (ER) model: This model is based on the resonances of modes of axisymmetric oscillations in the accretion disk of black holes [42]. It has been demonstrated that the oscillation modes of the disk are related to the frequencies of harmonic (quasi-) oscillations of circular geodesics of test particles. We consider two submodels within the ER model: ER2 and ER3, which differ in their oscillation modes. The upper and lower frequencies in the ER2 and ER3 models are given by and , and and , respectively, [42].
- Warped Disc (WD) model: This model utilizes the nonaxisymmetric oscillatory modes of the accretion disk oscillations around black holes and neutron stars [43,44]. According to the WD model, the upper and lower frequencies are and , respectively, and the vertical oscillations cause the thin accretion disk to warp [43,44].
9. Constraints on the BH Mass and Aether Parameter
9.1. GRO J1655-40
9.2. GRS 1915+105
10. Conclusions
- First, we have explored the spacetime structure by analyzing the scalar invariants. It has been shown that the presence of the aether field causes a decrease in the Ricci scalar and the square of the Ricci tensor. We have also shown that the Kretschmann scalar is less sensitive to the change in aether parameter.
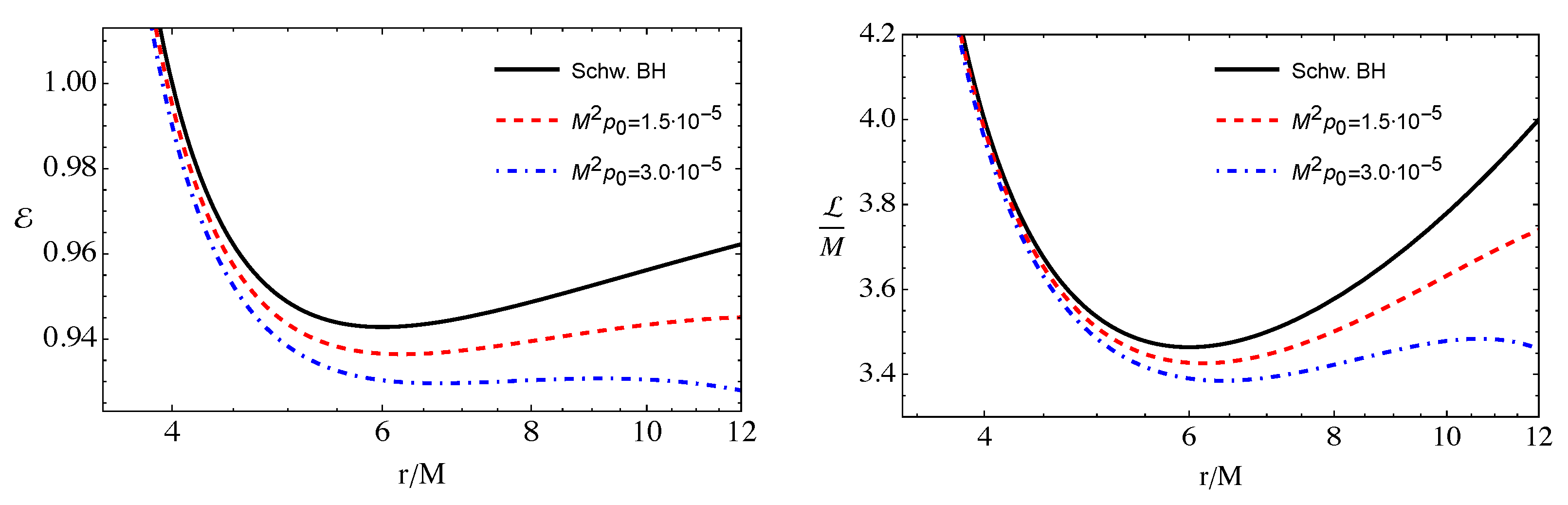
- We performed an analysis of the dynamics of test particles around the black hole in the presence of aether. Particularly, we explored the circular orbits of the particles around the central object. The study of specific energy and angular momentum of test particles corresponding to circular orbits around the black hole has shown that both energy and angular momentum decrease in the presence of the aether field. However, the ISCO radius increases with increasing absolute values of the aether parameter.
- Collisions of test particles near the aether black holes have also been studied. The critical value of the angular momentum of the colliding particle, in which collision may occur, has been analyzed. Our analysis has shown that in the presence of the aether field, the angular momentum increases slightly and takes values between and the corresponding values of . The expression for the center of mass energy has been obtained, and it has been shown that the latter decreases with the increase in the absolute value of the aether parameter.
- In this work, we have also investigated the fundamental frequencies of radial and vertical oscillations of test particles around the equatorial plane along stable circular orbits around a black hole in the presence of the aether field. It has been shown that the frequencies of Keplerian orbits and radial oscillations decrease with the increase in the absolute value of the aether parameter.
- As an application of fundamental frequencies, we considered the upper and lower frequencies of twin-peaked QPOs around the black holes. It has been shown that an increase in the absolute value of the aether parameter causes a decrease in the possible values of the frequency ratio. In this case, the QPO at the low-frequency regime will not be observed. We have also noted that the aether parameter cannot mimic the spin of the Kerr black hole, providing the same value of upper and lower frequencies in twin-peaked QPOs.
- Finally, using the observation data on observed twin peak QPOs and our numerical results, we obtained the constraints on the aether parameter (see Section 9 for the details).
Author Contributions
Funding
Data Availability Statement
Conflicts of Interest
References
- Hořava, P. Quantum gravity at a Lifshitz point. Phys. Rev. D 2009, 79, 084008. [Google Scholar] [CrossRef]
- Randall, L.; Sundrum, R. Large Mass Hierarchy from a Small Extra Dimension. Phys. Rev. Lett. 1999, 83, 3370–3373. [Google Scholar] [CrossRef]
- Afshordi, N. Gravitational Aether and the thermodynamic solution to the cosmological constant problem. arXiv 2008, arXiv:0807.2639. [Google Scholar] [CrossRef]
- Prescod-Weinstein, C.; Afshordi, N.; Balogh, M.L. Stellar black holes and the origin of cosmic acceleration. Phys. Rev. D 2009, 80, 043513. [Google Scholar] [CrossRef]
- Bambi, C. Black Holes: A Laboratory for Testing Strong Gravity; Springer: Singapore, 2017. [Google Scholar]
- Chandrasekhar, S. The Mathematical Theory of Black Holes; Oxford University Press: New York, NY, USA, 1998. [Google Scholar]
- Bambi, C. Testing the Kerr nature of stellar-mass black hole candidates by combining the continuum-fitting method and the power estimate of transient ballistic jets. Phys. Rev. D 2012, 85, 043002. [Google Scholar] [CrossRef]
- Bambi, C.; Jiang, J.; Steiner, J.F. Testing the no-hair theorem with the continuum-fitting and the iron line methods: A short review. Class. Quantum Gravity 2016, 33, 064001. [Google Scholar] [CrossRef]
- Zhou, M.; Cao, Z.; Abdikamalov, A.; Ayzenberg, D.; Bambi, C.; Modesto, L.; Nampalliwar, S. Testing conformal gravity with the supermassive black hole in 1H0707-495. Phys. Rev. D 2018, 98, 024007. [Google Scholar] [CrossRef]
- Tripathi, A.; Yan, J.; Yang, Y.; Yan, Y.; Garnham, M.; Yao, Y.; Li, S.; Ding, Z.; Abdikamalov, A.B.; Ayzenberg, D.; et al. Constraints on the spacetime metric around seven “bare” AGN using X-ray reflection spectroscopy. arXiv 2019, arXiv:1901.03064. [Google Scholar]
- Wald, R.M. Black hole in a uniform magnetic field. Phys. Rev. D. 1974, 10, 1680–1685. [Google Scholar] [CrossRef]
- Aliev, A.N.; Galtsov, D.V.; Petukhov, V.I. Negative absorption near a magnetized black hole: Black hole masers. Astrophys. Space Sci. 1986, 124, 137–157. [Google Scholar] [CrossRef]
- Aliev, A.N.; Gal’tsov, D.V. Reviews of Topical Problems: “Magnetized” black holes. Sov. Phys. Uspekhi 1989, 32, 75–92. [Google Scholar] [CrossRef]
- Aliev, A.N.; Özdemir, N. Motion of charged particles around a rotating black hole in a magnetic field. Mon. Not. R. Astron. Soc. 2002, 336, 241–248. [Google Scholar] [CrossRef]
- Stuchlík, Z.; Schee, J.; Abdujabbarov, A. Ultra-high-energy collisions of particles in the field of near-extreme Kehagias-Sfetsos naked singularities and their appearance to distant observers. Phys. Rev. D 2014, 89, 104048. [Google Scholar] [CrossRef]
- Stuchlík, Z.; Kološ, M. Acceleration of the charged particles due to chaotic scattering in the combined black hole gravitational field and asymptotically uniform magnetic field. Eur. Phys. J. C 2016, 76, 32. [Google Scholar] [CrossRef]
- Kovář, J.; Kopáček, O.; Karas, V.; Stuchlík, Z. Off-equatorial orbits in strong gravitational fields near compact objects II: Halo motion around magnetic compact stars and magnetized black holes. Class. Quantum Gravity 2010, 27, 135006. [Google Scholar] [CrossRef]
- Kovář, J.; Slaný, P.; Cremaschini, C.; Stuchlík, Z.; Karas, V.; Trova, A. Electrically charged matter in rigid rotation around magnetized black hole. Phys. Rev. D 2014, 90, 044029. [Google Scholar] [CrossRef]
- Stuchlík, Z.; Kološ, M.; Kovář, J.; Slaný, P.; Tursunov, A. Influence of Cosmic Repulsion and Magnetic Fields on Accretion Disks Rotating around Kerr Black Holes. Universe 2020, 6, 26. [Google Scholar] [CrossRef]
- de Felice, F.; Sorge, F. Magnetized orbits around a Schwarzschild black hole. Class. Quantum Gravity 2003, 20, 469–481. [Google Scholar]
- de Felice, F.; Sorge, F.; Zilio, S. Magnetized orbits around a Kerr black hole. Class. Quantum Gravity 2004, 21, 961–973. [Google Scholar] [CrossRef]
- Rahimov, O.G.; Abdujabbarov, A.A.; Ahmedov, B.J. Magnetized particle capture cross section for braneworld black hole. Astrophys. Space Sci. 2011, 335, 499–504. [Google Scholar] [CrossRef][Green Version]
- Narzilloev, B.; Rayimbaev, J.; Shaymatov, S.; Abdujabbarov, A.; Ahmedov, B.; Bambi, C. Can the dynamics of test particles around charged stringy black holes mimic the spin of Kerr black holes? Phys. Rev. D 2020, 102, 044013. [Google Scholar] [CrossRef]
- Vrba, J.; Abdujabbarov, A.; Kološ, M.; Ahmedov, B.; Stuchlík, Z.; Rayimbaev, J. Charged and magnetized particles motion in the field of generic singular black holes governed by general relativity coupled to nonlinear electrodynamics. Phys. Rev. D 2020, 101, 124039. [Google Scholar] [CrossRef]
- Vrba, J.; Abdujabbarov, A.; Tursunov, A.; Ahmedov, B.; Stuchlík, Z. Particle motion around generic black holes coupled to non-linear electrodynamics. Eur. Phys. J. C 2019, 79, 778. [Google Scholar] [CrossRef]
- Ingram, A.; van der Klis, M.; Middleton, M.; Done, C.; Altamirano, D.; Heil, L.; Uttley, P.; Axelsson, M. A quasi-periodic modulation of the iron line centroid energy in the black hole binary H1743-322. Mon. Not. R. Astron. Soc. 2016, 461, 1967–1980. [Google Scholar] [CrossRef]
- Stuchlík, Z.; Kotrlová, A.; Török, G. Multi-resonance orbital model of high-frequency quasi-periodic oscillations: Possible high-precision determination of black hole and neutron star spin. Astron. Astrophys. 2013, 552, A10. [Google Scholar] [CrossRef]
- Toshmatov, B.; Stuchlík, Z.; Ahmedov, B. Generic rotating regular black holes in general relativity coupled to nonlinear electrodynamics. Phys. Rev. D 2017, 95, 084037. [Google Scholar] [CrossRef]
- Stella, L.; Vietri, M. Lense-Thirring Precession and Quasi-periodic Oscillations in Low-Mass X-Ray Binaries. Astrophys. J. Lett. 1998, 492, L59–L62. [Google Scholar] [CrossRef]
- Rezzolla, L.; Yoshida, S.; Maccarone, T.J.; Zanotti, O. A new simple model for high-frequency quasi-periodic oscillations in black hole candidates. Mon. Not. R. Astron. Soc. 2003, 344, L37–L41. [Google Scholar] [CrossRef]
- Stuchlík, Z.; Kotrlová, A.; Török, G. Resonant radii of kHz quasi-periodic oscillations in Keplerian discs orbiting neutron stars. Astron. Astrophys. 2011, 525, A82. [Google Scholar] [CrossRef]
- Török, G.; Kotrlová, A.; Srámková, E.; Stuchlík, Z. Confronting the models of 3:2 quasiperiodic oscillations with the rapid spin of the microquasar GRS 1915+105. Astron. Astrophys. 2011, 531, A59. [Google Scholar] [CrossRef]
- Silbergleit, A.S.; Wagoner, R.V.; Ortega-Rodríguez, M. Relativistic Diskoseismology. II. Analytical Results for C-modes. Astrophys. J. 2001, 548, 335–347. [Google Scholar] [CrossRef]
- Wagoner, R.V.; Silbergleit, A.S.; Ortega-Rodríguez, M. “Stable” Quasi-periodic Oscillations and Black Hole Properties from Diskoseismology. Astrophys. J. Lett. 2001, 559, L25–L28. [Google Scholar] [CrossRef]
- Rayimbaev, J.; Majeed, B.; Jamil, M.; Jusufi, K.; Wang, A. Quasiperiodic oscillations, quasinormal modes and shadows of Bardeen-Kiselev Black Holes. Phys. Dark Universe 2022, 35, 100930. [Google Scholar] [CrossRef]
- Stuchlík, Z.; Vrba, J. Epicyclic Oscillations around Simpson-Visser Regular Black Holes and Wormholes. Universe 2021, 7, 279. [Google Scholar] [CrossRef]
- Stuchlík, Z.; Vrba, J. Epicyclic orbits in the field of Einstein–Dirac-Maxwell traversable wormholes applied to the quasiperiodic oscillations observed in microquasars and active galactic nuclei. Eur. Phys. J. Plus 2021, 136, 1127. [Google Scholar] [CrossRef]
- Stuchlík, Z.; Vrba, J. Supermassive black holes surrounded by dark matter modeled as anisotropic fluid: Epicyclic oscillations and their fitting to observed QPOs. J. Cosmol. Astropart. Phys. 2021, 2021, 059. [Google Scholar] [CrossRef]
- Bian, W.H.; Zhao, Y.H. Accretion Rates and the Accretion Efficiency in AGNs. Publ. Astron. Soc. Jpn. 2003, 55, 599–603. [Google Scholar] [CrossRef]
- Stella, L. The relativistic precession model for QPOs in low mass X-ray binaries. In Proceedings of the X-ray Astronomy: Stellar Endpoints, AGN, and the Diffuse X-ray Background, Bologna, Italy, 6–10 September 2001; American Institute of Physics Conference Series. White, N.E., Malaguti, G., Palumbo, G.G.C., Eds.; Curran Associates, Inc.: Nice, France, 2001; Volume 599, pp. 365–376. [Google Scholar] [CrossRef]
- Ingram, A.; Motta, S. Solutions to the relativistic precession model. Mon. Not. R. Astron. Soc. 2014, 444, 2065–2070. [Google Scholar] [CrossRef]
- Abramowicz, M.A.; Kluźniak, W. A precise determination of black hole spin in GRO J1655-40. Astron. Astrophys. 2001, 374, L19–L20. [Google Scholar] [CrossRef]
- Kato, S. Resonant Excitation of Disk Oscillations by Warps: A Model of kHz QPOs. Publ. Astron. Soc. Jpn. 2004, 56, 905–922. [Google Scholar] [CrossRef]
- Kato, S. Frequency Correlation of QPOs Based on a Resonantly Excited Disk-Oscillation Model. Publ. Astron. Soc. Jpn. 2008, 60, 889. [Google Scholar] [CrossRef]
- Stella, L.; Vietri, M.; Morsink, S.M. Correlations in the Quasi-periodic Oscillation Frequencies of Low-Mass X-ray Binaries and the Relativistic Precession Model. Astrophys. J. 1999, 524, L63–L66. [Google Scholar] [CrossRef]
- Bambi, C. Testing the nature of the black hole candidate in GRO J1655-40 with the relativistic precession model. arXiv 2013, arXiv:1312.2228. [Google Scholar] [CrossRef]
- Belloni, T.; Soleri, P.; Casella, P.; Méndez, M.; Migliari, S. High-frequency quasi-periodic oscillations from GRS 1915+105 in its C state. Mon. Not. R. Astron. Soc 2006, 369, 305–310. [Google Scholar] [CrossRef]















Disclaimer/Publisher’s Note: The statements, opinions and data contained in all publications are solely those of the individual author(s) and contributor(s) and not of MDPI and/or the editor(s). MDPI and/or the editor(s) disclaim responsibility for any injury to people or property resulting from any ideas, methods, instructions or products referred to in the content. |
© 2023 by the authors. Licensee MDPI, Basel, Switzerland. This article is an open access article distributed under the terms and conditions of the Creative Commons Attribution (CC BY) license (https://creativecommons.org/licenses/by/4.0/).
Share and Cite
Rayimbaev, J.; Abdulxamidov, F.; Tojiev, S.; Abdujabbarov, A.; Holmurodov, F. Test Particles and Quasiperiodic Oscillations around Gravitational Aether Black Holes. Galaxies 2023, 11, 95. https://doi.org/10.3390/galaxies11050095
Rayimbaev J, Abdulxamidov F, Tojiev S, Abdujabbarov A, Holmurodov F. Test Particles and Quasiperiodic Oscillations around Gravitational Aether Black Holes. Galaxies. 2023; 11(5):95. https://doi.org/10.3390/galaxies11050095
Chicago/Turabian StyleRayimbaev, Javlon, Farrux Abdulxamidov, Sardor Tojiev, Ahmadjon Abdujabbarov, and Farhod Holmurodov. 2023. "Test Particles and Quasiperiodic Oscillations around Gravitational Aether Black Holes" Galaxies 11, no. 5: 95. https://doi.org/10.3390/galaxies11050095
APA StyleRayimbaev, J., Abdulxamidov, F., Tojiev, S., Abdujabbarov, A., & Holmurodov, F. (2023). Test Particles and Quasiperiodic Oscillations around Gravitational Aether Black Holes. Galaxies, 11(5), 95. https://doi.org/10.3390/galaxies11050095

