Abstract
Spittlebugs are the vectors of the bacterium Xylella fastidiosa Wells in Europe, the causal agent of olive dieback epidemic in Apulia, Italy. Selection and distribution of different spittlebug species on host-plants were investigated during field surveys in 2016–2018 in four olive orchards of Apulia and Liguria Regions of Italy. The nymphal population in the herbaceous cover was estimated using quadrat samplings. Adults were collected by sweeping net on three different vegetational components: herbaceous cover, olive canopy, and wild woody plants. Three species of spittlebugs were collected: Philaenus spumarius L., Neophilaenus campestris (Fallén), and Aphrophora alni (L.) (Hemiptera: Aphrophoridae). Philaenus spumarius was the predominant species both in Apulia and Liguria olive groves. Nymphal stages are highly polyphagous, selecting preferentially Asteraceae Fabaceae plant families, in particular some genera, e.g., Picris, Crepis, Sonchus, Bellis, Cichorium, and Medicago. Host-plant preference of nymphs varies according to the Region and through time and nymphal instar. In the monitored sites, adults peak on olive trees earlier in Apulia (i.e., during inflorescence emergence) than in Liguria (i.e., during flowering and beginning of fruit development). Principal alternative woody hosts are Quercus spp. and Pistacia spp. Knowledge concerning plant selection and ecological traits of spittlebugs in different Mediterranean olive production areas is needed to design effective and precise control strategies against X. fastidiosa vectors in olive groves, such as ground cover modifications to reduce populations of spittlebug vectors.
1. Introduction
True spittlebugs (Hemiptera: Aphrophoridae), a family of xylem-sap feeder insects, recently gained fame as the vectors of the exotic plant pathogenic bacterium Xylella fastidiosa Wells in Europe [1,2,3]. The introduction in Europe of this xylem-limited bacterium, the causal agent of the Olive Quick Decline Syndrome (OQDS), led to dramatic dieback of olives in Apulia in recent years and prompted applied research on spittlebugs, previously overlooked as agricultural pests in Europe [4]. Currently, several aspects of bionomics of Aphrophoridae, e.g., abundance, spatial and ecological distribution, temperature developmental threshold, and alternative host plants, are not yet well known, particularly in cropping systems, such as the olive groves in the Mediterranean area. Recent field surveys in olive groves of different Mediterranean countries have shown the predominance of Aphrophoridae as xylem-sap feeder group in the Mediterranean environment, with little or no presence of sharpshooters (Hemiptera: Cicadellidae: Cicadellinae) [5,6,7,8]. These findings highlighted the profound difference between X. fastidiosa pathosystems in Europe compared to the ones occurring in the United States of America and Brazil, where sharpshooters are the predominant xylem-sap feeders and main vectors of the bacterium [9,10,11].
Spittlebugs are among the main phytophagous insects for biomass in a meadow environment in temperate regions of Europe, although presenting a relatively low number of species [12,13,14,15]. European spittlebugs are generally univoltine, i.e., one generation per year, and their five nymphal instars are characterized by the production of foamy masses on herbaceous or woody plants, with shelter function against desiccation, solar radiation, and predation [16,17,18]. Spittlebug adults are characterized by extraordinary jumping ability [19] and feed on xylem vessels of both herbaceous and woody plants [2,20,21].
Philaenus spumarius L. (Hemiptera: Aphrophoridae) is the most ubiquitous and abundant spittlebug species in Europe, and is, therefore, considered the key vector in Apulia epidemic of X. fastidiosa [1,3,22,23]. In Mediterranean conditions, nymphs develop through spring on herbaceous plants, and adults start to emerge in late April–May [4,8,24,25]. Upon emergence, adults move onto woody plants in late spring/early summer also as a result of the water stress of herbaceous cover [4,24]. Adults tend to return on herbaceous cover in late summer or early autumn, where females oviposit eggs that will hatch the following spring [6,16,25]. A schematic representation of the spittlebug life cycle in olive agroecosystems can be found in European Food Security Agency (EFSA) [26].
Most spittlebugs are oligophagous or polyphagous [12,27,28], and feed on a wide range of host-plants apparently because xylem sap is relatively free from chemical defenses common in phloem sap and other plant parts [29,30]. The meadow spittlebug P. spumarius is considered one of the most polyphagous insects, with at least 500 documented host-plants [4,12,16,31]. However, data on P. spumarius host-plant association are mainly qualitative information on plant selection among its host range [12,32,33] and only preliminary information is available in agroecosystems, including those affected by X. fastidiosa in Europe [6,8]. The genus Philaenus is considered to be originally monophagous during nymphal stages on asphodel plants (Asphodelus L.), and the adaptation to various plant food sources made possible a great expansion of P. spumarius distribution [24,34]. Indeed, the monophagous species P. italosignus Drosopoulos & Remane—a reported vector of X. fastidiosa—is restricted to areas and groves where asphodel is abundant [35,36]. Conversely, the related species Neophilaenus campestris (Fallén) can reach quite high population levels in olive groves, and in Spain has been often reported as the most abundant species [6,37]. Its nymphal stages are usually associated with Poaceae, whereas adults tend to estivate on coniferous trees [37,38].
A detailed description of host plants and their preferential exploitation by both nymphal and adult stages of spittlebugs in the Mediterranean region is still lacking. Indeed, from the perspective of X. fastidiosa control, it is essential not only to identify the wild host-plants that allow nymphal development but also to determine the most important host-plants that permit the build-up and establishment of abundant adult populations of spittlebugs, thus speeding up the spread of the bacterium.
The aim of our study is to quantitatively describe the selection and distribution of nymphal and adult stages of spittlebugs on both wild and crop plants in olive groves during their entire life cycle. Data were collected during a three-year survey of spittlebug populations in olive agroecosystems in two regions of Italy—Apulia and Liguria—presenting different climate characteristics within the Mediterranean climate. Our results provide different information on spittlebugs bionomics: (1) identification of key plant taxa that, both within and nearby olive groves, allow nymphal development and adult survival of spittlebugs and can act as reservoirs of the vectors’ populations; (2) description of exploitation of host-plants by nymphs based also on their instar and plant phenology; (3) host-plant selection of P. spumarius nymphs related to the abundance of plant taxa in the sampling sites; (4) patterns of spatial distribution of nymphal stages. This information will help (i) to draw up effective and selective management strategies against spittlebugs in Mediterranean regions, (ii) to estimate risks of X. fastidiosa outbreaks in non-infectedareas based on plant composition of agroecosystems.
2. Materials and Methods
2.1. Survey Sites
Four olive groves were surveyed in two Italian Regions, Apulia (about 41° N) and Liguria (about 44° N), during three years of field sampling (2016–2018) to assess host-plant exploitation of xylem-sap feeder insects. The monitored olive groves in Apulia were outside the X. fastidiosa-infected area at the time of the survey. Olive groves were selected based on low-input management, e.g., no insecticides were sprayed, no tillage was applied in the olive groves during the study period in Northern Italy, while soil was plowed in Southern Italy in June or July—thus not affecting the development of spittlebug nymphs—to avoid fire hazards during summer. In each Region, the selected olive groves were located one in a coastal area and the other one in an inland area, to investigate spittlebug populations under different climatic conditions within the Mediterranean basin. Detailed information regarding the characteristics of surveyed olive groves is reported in Bodino et al. (2019) [25]. From 2017, the field survey in the inland olive grove in Apulia (Locorotondo municipality) was moved to a new olive grove, very close to the previous one, because the grower tilled the soil and sowed broad bean planting in the olive grove monitored during 2016. Therefore, surveys in the two Apulia olive groves only were prolonged to 2018. The sampled area in each survey site was a homogeneous area of 1 ha (i.e., primary sampling unit: PSU), including both the agricultural crop (olive) and alternative woody host-plants (e.g., hedgerows of native garrigue plant species).
2.2. Sampling of Nymphal Stages
Nymphal populations of spittlebugs and their host-plants were monitored within the PSU using the quadrat sampling method, frequently used to quantify the abundance of spittlebug nymphs [6,8,39,40]. Thirty quadrats (secondary sampling unit for preimaginal instars: SSUp; 0.25 m2—100 cm × 25 cm each) were randomly positioned on the ground cover inside each PSU. Since sampling is partially destructive, the SSUp was always different within and between sampling dates. Vegetation and soil surface inside the quadrat were visually inspected for the presence of spittlebug nymphs. These latter were identified at the species level and their preimaginal stage determined. The number of nymphs per spittle was assessed per individual host-plant and per host-plant taxon, together with the position of the nymphs on the individual host-plant (bottom, medium, and upper third). Spittlebug samplings were conservative, and instar was determined directly in the field using classification from Vilbaste (1982) [41]. Only a few nymphs from each olive groves were collected and reared to the adult stage in laboratory facilities to confirm species identification.
The ground plant community was defined for each sample quadrat based on (i) average height of herbaceous plant cover, (ii) total plant cover percentage, and (iii) cover percentage of the most abundant plant taxa (range: 2–12 dominant plant taxa/SSUp). Plants found with spittlebug foams (i.e., host-plants) and most abundant plants inside SSUp were identified at the genus level directly in the field or sampled to be later identified in the laboratory using classification keys from Pignatti (1982) [42]. Since field samplings started in late winter, often plants were not showing yet characteristic morphological traits necessary for correct identification at the species’ level. The phenological phases of host-plants at the time of sampling have been classified into three classes: the pre-flowering, flowering, and post-flowering phase. Sampling of nymphal stages was carried out weekly or fortnightly from early March until Late-May or until no nymphs were found in any SSUp for two consecutive sampling dates.
2.3. Sampling of Adult Stage
Spittlebug adults were sampled using a sweep net (38 cm in diameter) on three different vegetation types inside each olive grove: herbaceous cover, olive trees, and wild woody plants (shrubs or trees growing inside or in the immediate surroundings of the olive orchard). Sweep net has proven to be the most reliable sampling method for the adult stage of spittlebugs [6,43]. Samplings were carried out at random locations within PSU for each sampling date to avoid repeated disturbance on the same points during the sampling season. Spittlebugs in the ground vegetation were sampled in 30 randomly distributed secondary sampling units (SSUh), consisting of 4 sweeps each performed along a 2.8-m transect (120 sweeps per site per sampling dates). Therefore, the area effectively sampled by sweeping in a SSUh was estimated in about 1.0 m2. (0.7 m length × 0.38 m width × 4 sweeps). On olive canopies, insects were sampled using a sweep net (38 cm in diameter) with a 2-m long stick on 20 randomly distributed olive trees (SSUo); 10 sweeps were performed on each SSUo, spread around the entire olive canopy. Samplings on wild woody plants were carried out with the same methodology used for olive trees, but on 10 different plants randomly chosen (SSUs). Given the dense Mediterranean shrubland (garrigue), it was not always possible to perform the sweeps all around a single plant. Wild woody plant species present in each site were identified to species level using Pignatti (1982) [42]. Phenology of sampled olive trees was assessed through visual observation, following the BBCH scale [44]. A sampling of spittlebug adults was carried out from their first appearance in quadrat samplings until late autumn or when no spittlebugs were found in any SSU for two consecutive dates. Spittlebug adult samplings were conservative, thus collected spittlebugs were immediately released in the field after being identified.
2.4. Statistical Analysis
To investigate if the number of spittlebug nymphs (response variable) was different according to cover percentage (continuous) and mean height (continuous) of herbaceous cover (covariates), a negative binomial generalized linear mixed model (GLMM) was performed. Distribution of nymphs on host-plants (response variable: no. of nymphs) according to the covariates’ Spittle position (part of host-plant on which the spittle was found), host-plant phenology, and Nymphal instar was analyzed as a Poisson GLMM in which year, region, olive grove, and sampling date were used as random intercepts. The models assumptions were verified by plotting residuals versus fitted values versus each covariate in the model. The package lme4 in the software R [45] was used to fit the models.
To assess the host-preference of P. spumarius, we compared the relative frequency distribution of plant taxa in the sampling area () with the relative frequency distribution of plant taxa selected by nymphs of P. spumarius (). is the proportion of SSUp covered by the i-th plant taxon (). is computed as the proportion of individuals found on the i-th plant taxon out of the total number of P. spumarius individuals found in the sampling area. The hypothesis is that in the absence of host-preference by P. spumarius, should be equal to . For the i-th plant taxon, if this plant taxon is more attractive for spittlebugs than the others, otherwise if the plant taxon is less attractive for P. spumarius than the others. To measure the degree of deviation between and we applied the Kullback–Leibler divergence () measure [46]:
represents the level of attractiveness of the i-th plant taxon for P. spumarius.
Host-preference analyses were conducted for each site separately, as the plant compositions found in the 4 survey sites are quite different, given their geographical and altitudinal diversity. At each sampling site, a two-step analysis was performed. In the first step, we analyzed the host-plant preferences at plant family taxon. We defined as the mean over time and sampling unit of the relative frequency distribution of plant species in the sampling site and as the mean over time and sampling unit of the relative frequency distribution of plant species selected by P. spumarius (). and have been used to compute the Kullback–Leibler divergence. In the second step, the analysis was performed on a genus level for each plant family separately. We focused on the two plant families on which more P. spumarius individuals were sampled. In this step, represents the proportion of area covered by the i-th plant genus over the area covered only by the considered plant family. is computed as the proportion of individuals found on the i-th plant genus out of the total number of P. spumarius individuals found on the considered plant family. To compute we calculated the mean over time and sampling unit of and . The analysis of host-preference was conducted on nymphal stages’ sampling data only. Indeed, adult stage association with specific plants is more difficult to assess, since adults can be sampled on plants on which they do not feed upon, given their high mobility; moreover, sampling through sweep net did not allow specific plants to be sampled, especially on herbaceous cover.
Aggregation of nymphs of spittlebugs on single plants and spittles was described by the mean of nymphs/plant and nymphs/spittle, together with 95% confidence intervals of sample calculated for each spittlebug species through bootstrapping procedure (10,000 iterations, adjusted bootstrap percentile (BCa) method), using the R package boot [47]. Aggregation of nymphal instar of P. spumarius in sampling quadrats and within spittles was assessed using Iwao mean-crowding function. Index of mean crowding (), i.e., “the mean number per individual of other individuals in the same quadrat” [48], is given by:
where is the sample mean of the density and is the sample variance of the density. Thus, the index is the mean number of other individuals per sample unit per individual and is an expression of the intensity of interaction between individuals [49]. Mean crowding can be expressed over a range of densities by a linear regression [50]:
The intercept α represents the tendency to crowding (or repulsion), also referred to as “index of basic contagion” [49]. The regression slope β is related to the way insects spread in their habitat, named also “density contagiousness coefficient”, expressing the extent to which individuals are contagious at higher densities. The slope is equal to 1 in a random Poisson distribution, is greater than 1 in a contagious or clumped distribution and is lower than 1 in a more uniform distribution than a Poisson distribution. The same interpretation of “patchiness” index values—i.e., the ratio between mean crowding and mean density ()—is assumed [51].
3. Results
3.1. Nymphal Stages
Nymphal stages of spittlebugs were observed on the herbaceous cover of olive groves from early March through late May. The development of nymphs onto herbaceous cover usually started and peaked slightly earlier (one-two weeks) in Apulia than in Liguria. Three spittlebug species were collected during visual observation of herbaceous vegetation: P. spumarius, N. campestris and Aphrophora alni (Fallen), the latter sampled in Liguria olive groves only. Philaenus spumarius was the most abundant species in all the surveyed sites. A detailed description of population structure through season and phenology of preimaginal instars is reported in Bodino et al. (2019) [25]. Density of P. spumarius nymphs increased slightly, although significantly, at higher percentages of herbaceous cover [Negative binomial GLMM: β = 0.004 (CI 0.001–0.007), F = 6.56, df = 1, p = 0.012]. No effect of height of herbaceous cover on density of P. spumarius nymphs was registered [Negative binomial GLMM: β = 0.002 (CI −0.003–0.008), F = 0.89, df = 1, p = 0.373].
3.1.1. Selection and Exploitation of Host-Plants
The nymphs of the three species of spittlebugs, although all of them somehow polyphagous, showed several differences in plant association. Considering the plant family level, P. spumarius was found mainly on Asteraceae (4538 nymphs: representing 48.2% of total individuals collected) and Fabaceae (2794 nymphs: 29.7%), with other botanical families far less represented, e.g., Apiaceae (3.6%), Poaceae (3.2%), and Plantaginaceae (2.4%) (Figure 1 and Table S1). The host-plant association with P. spumarius differed between olive groves located in Apulia and Liguria. Asteraceae and Fabaceae were both highly attractive to P. spumarius nymphs in Apulia (KLD = 0.29–0.46), whereas Asteraceae were much more attractive (KLD = 0.8–0.9) than Fabaceae (KLD = 0.02–0.03) in Liguria olive groves. Poaceae exhibited a low level of attractiveness in both Regions (KLD = −0.07–−0.18). The number of nymphs on both Apiaceae and Plantaginaceae is proportional to the percentage of cover of these plant families (KLD ≈ 0) (Figure 2). The nymphs of N. campestris were instead found almost exclusively on Poaceae (1771 nymphs: 95.6%), and marginally on other plants, e.g., Apiaceae (1.6%) and Asteraceae (1.4%) (Figure 1). Plant family association of A. alni nymphs was similar to the one of nymphs of P. spumarius—40.1% were found on Asteraceae, 19.9% on Fabaceae, and 12.5% on Apiaceae—although the abundance was lower, i.e., 297 nymphs found in total.
Figure 1.
Relative percentage of nymphs of spittlebug species (Philaenus spumarius, Neophilaenus campestris, Aphrophora alni) on the most selected plant families in Apulia and Liguria olive groves.
Figure 2.
(A) Selection of most common plant families by nymphs of Philaenus spumarius—Kullback-Leibler divergence () measure; (B) relative percentage of soil cover by most common plant families in Apulia and Liguria olive groves.
Focusing on plant genera, nymphs of P. spumarius were found on a total of 98 different plant genera, 42 in Apulia and 84 in Liguria (Table S1). Most of the host-plant genera belonged to Asteraceae—19 genera in Liguria and 12 in Apulia—followed by Fabaceae—12 genera in Apulia and 8 in Liguria. Selection of host-plant genera by P. spumarius nymphs was greatly variable among sampling years, locations, and Regions, as shown by both insects counts and Kullback–Leibler divergence results (Figure 3 and Figure 4). Medicago was the plant genus with more P. spumarius nymphs collected on (15% on the overall data), and this host-plant genus alone accounted for 34.3% of total nymphs sampled in Apulia. However, being also the most common plant genus within the samplings (up to 36%), the KLD index was negative, showing a similar attractiveness of Medicago compared to other common plant genera of Fabaceae present in the studied olive groves (Figure 4). In Liguria, several Asteraceae genera (Picris, Crepis, Sonchus, Bellis, Cichorium) and Medicago were highly attractive in both olive groves (Figure 3 and Figure 4). Interestingly, the Asteraceae genus Hyoseris hosted 4.4% of total P. spumarius nymphs but, being very common in Liguria olive groves, the KLD index was strongly negative, showing a low attractiveness of this genus. Plant genera Cervaria (Apiaceae), Plantago (Plantaginaceae), Euphorbia (Euphorbiaceae), and Stellaria (Caryophyllaceae) appeared highly attractive only in the second year of the study in Liguria (Table S1).
Figure 3.
(A) Selection of most common plant genera of Asteraceae by nymphs of Philaenus spumarius—Kullback–Leibler divergence () measure; (B) relative percentage of soil cover of most common plant genera of Asteraceae in Apulia and Liguria olive groves.
Figure 4.
(A) Selection of most common plant genera of Fabaceae by nymphs of Philaenus spumarius—Kullback–Leibler divergence () measure; (B) relative percentage of soil cover of most common plant genera of Fabaceae in Apulia and Liguria olive groves.
Nymphal stages of N. campestris were found mainly on Poaceae (Figure 1), with genera Poa, Arrhenatherum, Anisantha, and Hordeum more represented. It is worth noting that grasses were only seldom identified at genus level, given the absence of morphological traits necessary for identification in early spring. Thus, we do not provide precise nymph/host-plant association data at the genus level. Only occasionally N. campestris nymphs were found on forbs, e.g., genera Crepis, Hyoseris, and Medicago (4.2% of total nymphs) (Figure 1). Aphrophora alni nymphs were observed on 37 different plant genera, although the genera Daucus, Trifolium, Picris, and Sonchus hosted 37% of total A. alni nymphs (Figure 1).
3.1.2. Selection of Host-Plant Taxa during Time
Host-plant selection by P. spumarius nymphs changed over time. Species belonging to Asteraceae (mainly genera Bellis and Picris) were mainly exploited at the beginning and the end of the nymphal development in Liguria (Figure 5). In Apulia species belonging to Asteraceae showed some peaks of attractiveness, with different temporal patterns across year and sites. Fabaceae, the dominant host-plant family in Apulia, show a high level of attractiveness in the middle-end of the season (Figure 5). The proportion of nymphs slightly increased on Poaceae in late spring in Apulia. Interestingly, considering the morphology of the host-plants, 54.9% of P. spumarius nymphs (i.e., 5160 individuals) were found on plants with basal rosette, although this morphological trait was present in only 23.1% of host-plant taxa identified. Both N. campestris and A. alni nymphs did not show clear differences in host-plant taxa selection during the season.
Figure 5.
Relative percentage of nymphs of Philaenus spumarius on the most selected host-plant families (i.e., plant families hosting the highest number of spittlebug nymphs) in Apulia and Liguria olive groves during spring.
3.1.3. Distribution of Nymphal Instars on Host-Plants
The recorded changes in host-plant selection by P. spumarius nymphs reflect differences in plant preference among preimaginal instars, as well as modifications in plant communities during the season. Early instars (i.e., 1st and 2nd) were more abundant on Asteraceae than older stages, both in Apulia (33.6% of total nymphs) and in Liguria (49.4%), compared to the percentage of early instar found on other plant families (mean = 20.3%) (Figure 1). Different Asteraceae genera hosted high percentages of early instars, such as Bellis (76.7% of the nymphs belongs to 1st and 2nd instars), Cichorium (64.9%) and Picris (56.4%) in Liguria and Picris (54.5%) and Crepis (58.3%) in Apulia (Figure 6). Conversely, Poaceae, Polygonaceae, Plantaginaceae, and Fabaceae hosted higher proportions of late nymphal instars of P. spumarius (i.e., 4th and 5th) than early nymphal instars, up to 63.1% of 5th instar on Polygonaceae in Liguria and 43.8% on Poaceae in Apulia. Late instars represented 69.6% and 54% of total nymphs on the Fabaceae genera Medicago and Trifolium in Apulia, and 60.2% and 43.5% on Plantago and Crepis in Liguria, respectively. Neophilaenus campestris nymphs were found almost exclusively on Poaceae regardless of the instar (Figure 1). In addition, A. alni did not show relevant plant association changes among nymphal stages.
Figure 6.
Relative percentage of the nymphal instars of Philaenus spumarius on the 10 most selected host-plant genera in Apulia and Liguria olive groves (i.e., plant genera hosting the highest number of spittlebug nymphs). Numbers beside bars represent the total number of nymphs sampled on each genus in each region.
3.1.4. Nymphal Stages Aggregation
The mean number of spittlebug nymphs per individual host-plant was different among spittlebug species. Overall, more P. spumarius nymphs per plant were observed [mean = 1.79 nymphs/plant (95% CI 1.75–1.85)] than N. campestris [1.33 (CI 1.29–1.38)] and A. alni nymphs [1.49 (95% CI 1.35–1.69)]. Some herbaceous plant genera hosted significantly more P. spumarius nymphs per individual plant than the overall mean number of nymphs per plant, e.g., Cervaria (4.92 ± 0.87 nymphs/plant), Cytisus (4.09 ± 0.95), Picris (3.11 ± 0.393), Urospermum (2.83 ± 0.44), and Crepis (2.37 ± 0.15) in Liguria, Picris (3.11 ± 0.39) and Vicia (3.05 ± 0.77) in Apulia. In some cases, more than 20 P. Spumarius nymphs were present on a single plant at a given moment, i.e., on genera Picris, Stellaria, Cervaria, Plantago, Onobrychis, and Crepis.
The mean number of nymphs per spittle was greater for P. spumarius [mean = 1.45 nymphs/spittle (95% CI 1.42–1.48)] and A. alni [1.39 (95% CI 1.27–1.54)] than for N. campestris [1.24 (95% CI 1.21–1.28)]. Plant genera that hosted more P. spumarius nymphs often had more crowded spittles, e.g., in Liguria Cervaria (2.4 ± 0.28 nymphs/spittle), Bellis (1.95 ± 0.10), and Taraxacum (1.96 ± 0.26), in Apulia Picris (2.74 ± 0.34). The maximum number of P. spumarius nymphs-per-spittle was 39 (on Picris in Apulia), while a maximum of 8 and 7 nymphs-per-spittle was recorded for both N. campestris and A. alni on Poaceae.
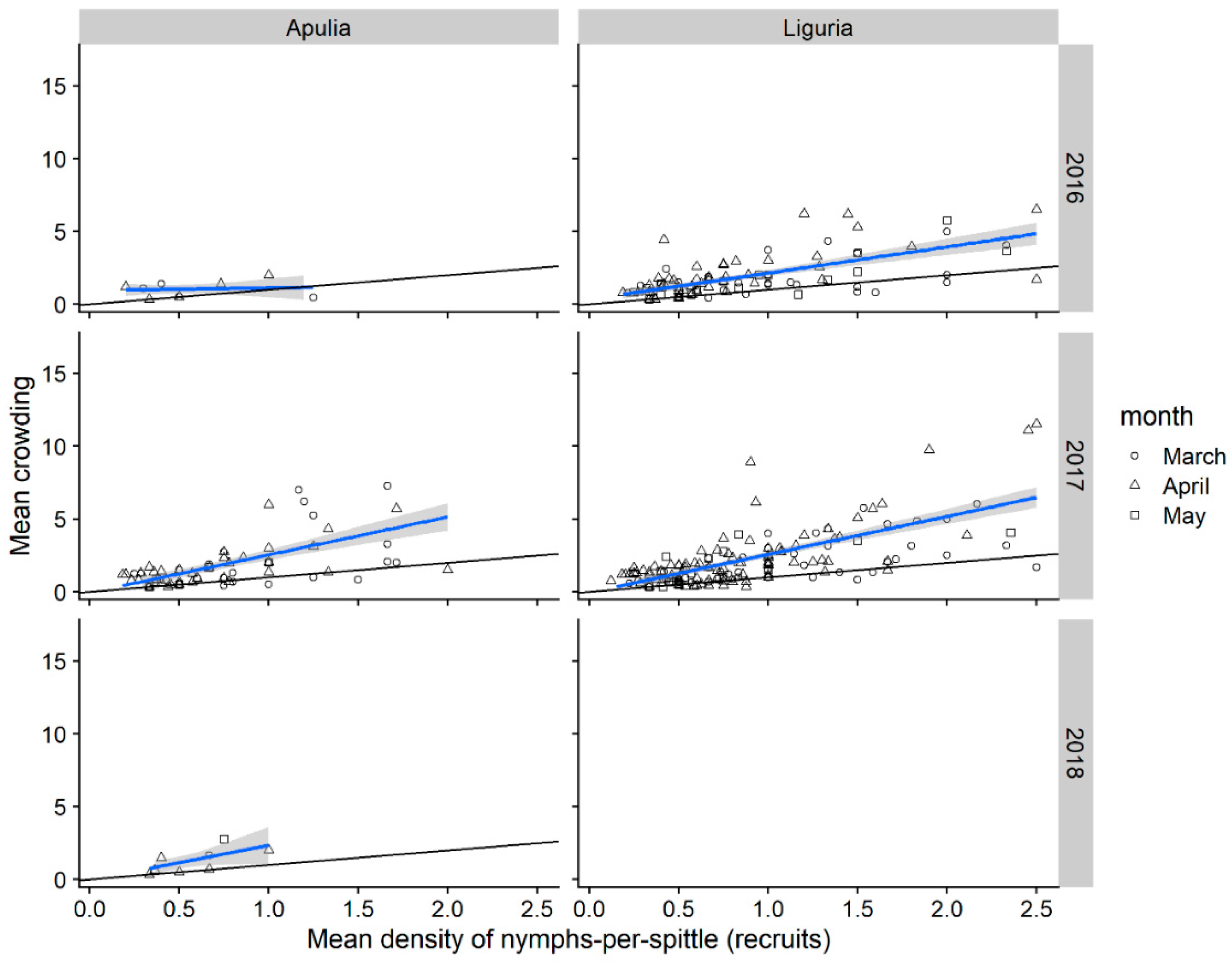
The majority of P. spumarius spittle masses contained a single nymph (83.8%). Mean crowding—i.e., the mean number per individual of other individuals in the same quadrat—was similar among regions (Apulia = 0.774; Liguria = 0.780), but with a considerable difference among years in Apulia (Table 1). Crowding was higher in Apulia during 2017, mainly due to a few quadrats presenting a very high mean density of nymphs-per-mass (i.e., strong outliers). Distribution analyses of nymphs per spittle by Iwao’s regression with data pooled for each sampling quadrat are reported in Figure 7 and Table 1. Following preliminary analysis, four strong outlier data with mean density nymphs-per-mass > 5 were discarded. p-values for Iwao’s regression were not significant for samplings in Apulia during 2016, together with the low value of adjusted R2, therefore, results from Apulia 2016 samplings are not considered hereafter. Intercept values for Iwao’s models were negative, but not significantly different from zero, suggesting that nymphs emerging from egg masses tend to disperse randomly as individuals rather than in groups, initially creating single foam masses [49,50]. Iwao’s regression slopes were all significantly positive, showing a tendency of P. spumarius nymphs to aggregate in more crowded spittles as the average density per spittle increases (i.e., overdispersal). However, the aggregation pattern could also be driven by time and/or nymphal stage. For example, sampling dates showing the highest densities (and hence, the highest crowding) were in April, when the nymphal population peak was registered and mainly 3rd–4th and 5th instar were found [25]. Furthermore, early nymphal instars showed higher aggregation, e.g., in Liguria 60.8% of 1st instar and 56.5% of 2nd instar lived in spittles with ≥ 2 nymphs, whereas the percentage of nymphs living aggregated decreased to 50%–52% for later instars. In Apulia, the percentage of nymphs living aggregated was generally lower—even if the behavior is quite different between instars—45.7% of 2nd instars and 44.3% of 3rd instar lived in spittles with ≥ 2 nymphs, compared to 24.6% of 4th and 35.2% of 5th instar.
Table 1.
Iwao’s mean crowdedness regression parameters of nymphs of Philaenus spumarius.
Figure 7.
Relation of mean crowding to mean density of Philaenus spumarius nymphs-per-spittle in Apulia and Liguria olive groves. Blue line represents fitted values of Iwao’s regression. Black line represents x = y, expectation from Poisson series. Strong outlier data (>3rd quartile + 3× IQR) were discarded.
Crowding of P. spumarius nymphs-per-quadrat (i.e., mean number of other individuals per quadrat per individual) was twice in Liguria (9.23) than in Apulia olive groves (4.03), whereas patchiness was similar (Liguria: 1.32; Apulia: 1.17), although with great differences among sampling years (Table 1). Iwao’s regression slopes were all significantly positive, showing a tendency of P. spumarius nymphs to aggregate in more crowded areas as the average density per quadrat increases (i.e., overdispersal) (Figure S2).
3.1.5. Spittle Position vs. Phenology of the Plant and Preimaginal Instar
Nymphs of Aphrophoridae were not randomly distributed along the height of host-plants. The abundance distribution of P. spumarius nymphs on host-plants was affected by position on plant height, plant phenology, and nymphal instar, with significant interaction among these three variables (Table 2). Indeed, early instars (i.e., 1st–2nd) of P. spumarius were observed mainly in the basal part of the host-plants (64.4% of total early instars) and on pre-flowering plants, whereas from 3rd instar nymphs were found in similar numbers along the entire height of host-plants, without clear selection for pre-flowering plants (Figure 8). However, it is not possible to separate the effect of a change in preference of nymphs and the increase in the number of flowering plants in late spring. Both N. campestris and A. alni were instead found mainly at the basal third of host-plants (respectively, 88% and 99% of total), with no effect of the nymphal stage (Figure 8).
Table 2.
Effects of fixed covariates on the abundance of Philaenus spumarius nymphs. Poisson GLMM of nymphal counts with covariates spittle position, phenology host-plant, and instar, and their interactions. The estimated value for σRegion was 0.64 and for σYear was 0.57.
Figure 8.
Abundance of spittlebugs nymphs (Philaenus spumarius, Neophilaenus campestris, Aphrophora alni) in relation to their instar, position on host-plant, and host-plant phenology.
3.2. Adults
Spittlebug adults were present from late April in Apulia and early May in Liguria olive groves. All the three spittlebug species—P. spumarius, N. campestris and A. alni—found during samplings for nymphs were collected as adults inside the olive groves, and a single individual of the Aphrophoridae Lepyronia coleptrata (L.) was collected on ground cover in Liguria. Most of the adults were collected on the herbaceous cover during late spring (>50% in both regions), while in summer months (July–August), adults were collected mostly on olive and alternative woody host-plants (Figure 9). In Apulia, few spittlebugs were collected in the whole olive agroecosystem during summer months (in total ≈ 30–40 adults sampled in July–August for each sampling year), whereas in Liguria the number of spittlebugs collected constantly remained high also during summer (Figure 9). In September–October spittlebugs returned to the herbaceous layer, although in Apulia, the population abundance was much lower than Liguria, probably because of different weeds’ management carried out in the two regions (e.g., mowing or tilling to reduce fire hazard in Apulia). Spittlebug adults disappeared in the olive agroecosystem from November–December, although in Apulia, few individuals may overwinter and die in early spring [25].
Figure 9.
Abundance of Philaenus spumarius adults on different vegetational components in Apulia and Liguria olive groves throughout the year.
3.2.1. Distribution on Woody Plants—Olive vs. Wild Shrubs/Trees
The number of spittlebug adults on wild woody plants located within or on the hedgerows of monitored olive varied greatly along the season, presenting higher densities during May–June in Apulia and late June through September in Liguria (range 1–5 spittlebugs/SSUh) (Figure 10 and Figure 11). Most spittlebug adults—i.e., 71.8% and 67% in Liguria and Apulia, respectively—were collected on Quercus ilex L., Pistacia lentiscus L., and P. terebinthus L., among the most common wild woody plants in Mediterranean olive agroecosystems in Italy. Nonetheless, other woody plants may host high number of spittlebugs: In Liguria, up to 5 P. spumarius were collected on a single SSUs on Quercus × crenata Lam. and up to 4 P. spumarius on a single SSUs on Hedera helix L. Neophilaenus campestris was only occasionally collected on woody plants, probably because only broadleaf woody plants were located in the study sites, and Neophilaenus spp. are known to move onto coniferous plants during drought periods [24,38]. Aphrophora alni reached densities similar to those of P. spumarius on Quercus spp. and Pistacia spp.; on a single plant of Rhamnus alaternus L. in 2016, up to 8 individuals on a single date was recorded (Figure 11).
Figure 10.
Abundance of spittlebug adults of different species (Philaenus spumarius, Neophilaenus campestris) on different wild woody plant species in Apulia olive groves throughout the year.
Figure 11.
Abundance of spittlebug adults of different species (Philaenus spumarius, Neophilaenus campestris, Aphorphora alni) on different wild woody plant species in Liguria olive groves throughout the year.
3.2.2. Abundance of Spittlebugs on Olive According to Crop Phenology
The highest number of spittlebugs on olive trees in Apulia was observed in May, immediately after the emergence, corresponding to the olive phenological stage of inflorescence emergence and development. During the following months, the population abundance continued to steadily reduce, reaching zero in October or November, across the late maturation of fruits and senescence phenological stages of olive (BBCH 85–92) (Figure 12). The situation was different in Liguria olive groves: The peak of spittlebugs on olive trees occurred later than in Apulia (June–July), corresponding to flowering and beginning of fruit development, and the reduction was less abrupt than the one registered in Apulia. Indeed, P. spumarius adults were present in quite high numbers during the entire spring–summer period, especially during 2016 (Figure 12). Philaenus spumarius was the dominant spittlebug species on olive trees, except in Apulia during 2018, when its populations were low and similar to those of N. campestris. In Liguria, A. alni was an important component of the spittlebug community on olive, accounting for up to 20%–30% of total spittlebugs collected until July, especially in 2016.
Figure 12.
Abundance of spittlebug adults (Philaenus spumarius, Neophilaenus campestris, Aphrophora alni) on olive canopy in Apulia and Liguria olive groves throughout the year in relation to phenological stages of the crop, according to the BBCH scale (ie = inflorescence emergence; fl = flowering; fd = fruit development; mt = maturity of fruits; sn = senescence).
4. Discussion
Philaenus spumarius is an extremely polyphagous insect, with more than 500 plant species recorded as hosts [16,31]. However, few studies investigated in detail the host-plant range of P. spumarius and other spittlebugs, especially in Europe, where they seldom caused significant crop losses [12,52,53]. The situation changed following the X. fastidiosa outbreak in South Italy (Apulia), and the subsequent identification of spittlebugs as the vectors of the bacterium in Europe [1,22]. Soil tilling or mowing are currently mandatory control measures of spittlebugs’ populations in infected and buffer zones in Apulia, carried out to limit the expansion of X. fastidiosa in South Italy [54,55]. However, the capability of spittlebugs to feed and live on many different plant species makes it difficult to effectively suppress the population of these insects. Nymphal stages may grow outside the olive groves and subsequently reach olive trees as adults; spittlebug adults can also actively disperse among host-plants surrounding the agroecosystems, spreading X. fastidiosa within a hidden compartment (reservoir), making even more difficult to detect and control the pathogen [56,57,58].
We conducted three-year monitoring of host-plant exploitation by spittlebug nymphs and adults in Italian olive groves. Our study better defines variation in host-plant exploitation by spittlebugs among insect species, plant taxa, phenological stage, period of the year, and insect instar. This information may guide the development of effective control strategies against spittlebugs, e.g., through modification of plant communities within and surrounding olive agroecosystems to limit their attractiveness to spittlebugs.
P. spumarius nymphs and adults were confirmed to be highly polyphagous, with a total of 98 plant genera exploited by nymphal stage, and adult collected on 16 woody host-plant species. Some plant genera, however, demonstrated to be of key importance for hosting high numbers of P. spumarius in olive agroecosystems. Asteraceae and Fabaceae were the botanical families more selected by nymphs, as also noticed in our previous study carried out in South Apulia (Lecce Province) [8]. The exploitation of plant taxa was not constant throughout the year, both for nymphs and adults. Nymphs of P. spumarius shifted from Asteraceae with basal rosettes (e.g., genera Picris and Bellis) to Fabaceae or Plantaginaceae (e.g., genera Medicago and Plantago), especially in Liguria. These findings may be caused partly by different phenological stages through the season and different availability of plant taxa during the season. However, preferential selection of plants based on their morphology by different instars of P. spumarius is another explanation. Indeed, the host-plant is a place in which the insect herbivore lives, not only a source of food [49]. Nymphs of P. spumarius prefer to feed in plant axils over other sites, probably because they represent higher-quality shelter, characterized by lower dispersion of the spittle, and thus an increase in the average foam size [59]. Furthermore, the apparent preference for host-plants with basal rosettes could be favored by the reduced loss of foam by evaporation in the lower parts of vegetation [17]. As the season progresses, the hardening of plant tissue below the terminal bud as the herbaceous host grows may cause difficulties for stylet penetration, compelling spittlebug nymphs to move up on the stem to feed [60]. Preferential host-plant selection could also be affected by different amino acids in the xylem sap, as partially demonstrated by Horsfield (1978) [20], although he analyzed sap from leaves, whereas P. spumarius feed mainly on stem or petioles.
Preferential selection of some host-plant taxa by P. spumarius nymphs is also supported by the aggregation pattern. Nymphs tended to concentrate in more crowded spittles and quadrats as overall density increased. This can be explained by (i) the presence of preferred plant species, (ii) attractiveness of more favorable habitat niches (e.g., basal rosettes), (iii) benefits of gregarious feeding [61]. However, since spittlebug nymphs have limited movement capability, patterns in oviposition preference by females of the previous year generation could partly cause the spatial distribution of juveniles in the agroecosystem [62,63]. Aggregation of nymphs occurring mainly on some plant species, or in specific areas within the olive agroecosystem, could favor the application of targeted control measures, e.g., mowing, provided that they are carried out with a correct timing [8,54].
Spittlebug adults were more abundant on olive trees and in the whole olive agroecosystem soon after emergence in May/June. Indeed, the peak of spittlebug abundance on olive trees occurred during the phenological stages of inflorescence emerging and development of flowers, when high content of amino acids is present in xylem, while amino acids are strongly reduced in xylem during water stress periods [43,64]. During the summer, the situations in Apulia and Liguria olive groves were clearly different: In Apulia, the number of spittlebugs collected in the olive agroecosystem during hot months was low, while in Liguria, spittlebugs were collected inside the olive groves in relatively high numbers until autumn. The continuative presence of spittlebugs on olive trees and in the agroecosystem is probably related to the less severe water stress of olive trees growing in Liguria compared to Apulia, Spain, and Greece, where adults almost disappear in summer from the olive agroecosystem [1,5,6,7,34]. Such a difference in crop exploitation may have important consequences if X. fastidiosa were introduced in Liguria, since the prolonged presence of vectors on the crop trees may contribute to the higher spread of the bacterium.
The relatively high number of spittlebugs on the herbaceous cover during autumn reflects the characteristic oviposition behavior of spittlebugs on weed stubble and dried vegetation [16]. It is a critical moment for disrupting the biological cycle of these insects, since the presence of old individuals, usually less motile than in the first months after emergence, may permit the application of control measures against adults more effective than in the rest of the year. Research on the drivers of oviposition preference by spittlebugs’ females could permit weed management of olive groves and surrounding habitats to obtain less attractive plant communities for oviposition in late summer, thus limiting the number of nymphs present inside or close to olive agroecosystems in the next generation.
Our data, together with those of [6,24,34,65], indicate that wild woody host-plants within and surrounding the olive agroecosystem may host a considerable number of spittlebugs, especially during summer, allowing aestivation of the spittlebugs. Some of the species naturally present in the olive agroecosystem and visited by spittlebugs are also hosts of X. fastidiosa, e.g., Q. ilex, R. alaternus, Phillyrea latifolia, and Myrtus communis [3]. These plant species may represent a reservoir of the bacterium, thus being potentially important for disease spread [56,57]. Accurate management of such wild woody plants, e.g., limiting their number inside or close to olive groves, may reduce the source of inoculum of X. fastidiosa, although the prevalence of transmission from olive to olive has been demonstrated [1].
5. Conclusions
This study provides a thorough description of host-plants selection and exploitation by spittlebugs in olive agroecosystems located in two Mediterranean regions of Italy, Apulia, and Liguria, representing different dry-summer climates and olive cropping conditions. The most important differences between the two areas concerned (i) host-plant association that, besides being determined by insect preference, was driven by ground cover floral composition, (ii) summer colonization of olive trees by adults, that visited olive canopies in a higher number and for a prolonged period in Northern Italy, and (iii) spittlebug population level that appeared to be higher in Northern Italy. Actually, several reports indicated that the populations of P. spumarius and of other spittlebug species are quite low under warm and dry Mediterranean conditions [6,7], although with some exceptions [8]. The knowledge of preferential plant selection by both nymphal and adult stages of the main X. fastidiosa vector in Europe may allow designing more effective integrated pest management programs, so far based on soil tilling to eliminate nymphs and on insecticide applications targeting adults on the crop canopy. The application of extensive soil tilling in dry environments such as some Mediterranean olive agroecosystems may compromise, in the long term, the quality of soil and augment the risk of desertification [66], while insecticides may impact on beneficial and non-target insects. Albeit an “aggressive” control strategy to limit the expansion of X. fastidiosa is nowadays needed, the future outlooks would be to implement low impact control methods, at least in the areas where eradication is no longer feasible. Examples of such control strategies are (i) targeted soil tilling/mowing of specific areas of the agroecosystems where spittlebugs nymphs tend to aggregate, e.g., plant communities rich in preferred host-plants, and (ii) shaping ground cover and wild plants composition within and close to susceptible crops to limit both colonization of spittlebugs and sources of inoculum of X. fastidiosa.
Supplementary Materials
The following are available online at https://www.mdpi.com/2075-4450/11/2/130/s1, Table S1: No. of Philaenus spumarius nymphs on plant genera and families in Apulia and Liguria olive groves during 2016–2018 sampling campaigns, Figure S1: Relation of mean crowding to mean density of Philaenus spumarius nymphs-per-quadrat in Apulia and Liguria olive groves. Blue line represents fitted values of Iwao’s regression. Black line represents x = y, expectation from Poisson series. Strong outlier data (>3rd quartile + 3 × IQR) were discarded.
Author Contributions
Conceptualization, N.B., V.C., C.D., E.P., G.G., and D.B.; methodology, N.B., V.C., C.D., E.P., G.G., and D.B.; data curation, N.B., M.A.S., A.S., and S.V.; formal analysis, N.B., A.S., S.V., and G.G.; investigation, N.B., V.C., C.D., M.A.S., E.P., G.A., and D.T.; resources, D.B.; writing—original draft preparation, N.B. and A.S.; writing—review and editing, N.B., V.C., C.D., A.S., G.G., and D.B.; supervision, D.B.; project administration, D.B.; funding acquisition, D.B. All authors have read and agreed to the published version of the manuscript.
Funding
This research was funded by the European Food Safety Authority, EFSA, grant RC/EFSA/ALPHA/2015/01—CT1, and by the Project XF-ACTORS (Xylella fastidiosa Active Containment Through a multidisciplinary-Oriented Research Strategy); Grant ID No. 727987 from the European Union’s Horizon 2020 Research and Innovation Program.
Acknowledgments
The authors wish to thank Sara Tramontini and Giuseppe Stancanelli (EFSA) for their suggestions in planning and designing field surveys; Claudio Merlini and Pini Stefano (Regione Liguria), Maria Saponari (IPSP-CNR) for helping in planning and organizing field surveys in Apulia, Michele Di Carolo, Giulio Fumarola, and Angelo Ciniero (CRSFA Basile Caramia), Francesco La Rosa, Matteo Ripamonti, and Davide Isetta for technical support in the field surveys.
Conflicts of Interest
The authors declare no conflict of interest. The funders had no role in the design of the study; in the collection, analyses, or interpretation of data; in the writing of the manuscript, or in the decision to publish the results.
References
- Cornara, D.; Saponari, M.; Zeilinger, A.R.; de Stradis, A.; Boscia, D.; Loconsole, G.; Bosco, D.; Martelli, G.P.; Almeida, R.P.P.; Porcelli, F. Spittlebugs as vectors of Xylella fastidiosa in olive orchards in Italy. J. Pest Sci. 2017, 90, 521–530. [Google Scholar] [CrossRef]
- Cornara, D.; Morente, M.; Markheiser, A.; Bodino, N.; Tsai, C.-W.; Fereres, A.; Redak, R.A.; Perring, T.M.; Lopes, J.R.S. An overview on the worldwide vectors of Xylella fastidiosa. Entomol. Gen. 2019, 39, 157–181. [Google Scholar] [CrossRef]
- EFSA Panel on Plant Health (EFSA PLH Panel); Jeger, M.; Caffier, D.; Candresse, T.; Chatzivassiliou, E.; Dehnen-Schmutz, K.; Gilioli, G.; Grégoire, J.; Jaques, M.J.A.; MacLeod, A.; et al. Updated pest categorisation of Xylella fastidiosa. EFSA J. 2018, 16, 5357. [Google Scholar] [CrossRef]
- Cornara, D.; Bosco, D.; Fereres, A. Philaenus spumarius: When an old acquaintance becomes a new threat to European agriculture. J. Pest Sci. 2018, 91, 957–972. [Google Scholar] [CrossRef]
- Ben Moussa, I.E.; Mazzoni, V.; Valentini, F.; Yaseen, T.; Lorusso, D.; Speranza, S.; Digiaro, M.; Varvaro, L.; Krugner, R.; D’Onghia, A.M. Seasonal fluctuations of sap-feeding insect species infected by Xylella fastidiosa in apulian olive groves of southern Italy. J. Econ. Entomol. 2016, 109, 1512–1518. [Google Scholar] [CrossRef] [PubMed]
- Morente, M.; Cornara, D.; Plaza, M.; Durán, J.M.; Capiscol, C.; Trillo, R.; Ruiz, M.; Ruz, C.; Sanjuan, S.; Pereira, J.A.; et al. Distribution and relative abundance of insect vectors of Xylella fastidiosa in olive groves of the iberian Peninsula. Insects 2018, 9, 175. [Google Scholar] [CrossRef] [PubMed]
- Tsagkarakis, A.E.; Afentoulis, D.G.; Matared, M.; Thanou, Z.N.; Stamatakou, G.D.; Kalaitzaki, A.P.; Tzobanoglou, D.K.; Goumas, D.; Trantas, E.; Zarboutis, I.; et al. Identification and seasonal abundance of Auchenorrhyncha with a focus on potential insect vectors of Xylella fastidiosa in olive orchards in three regions of Greece. J. Econ. Entomol. 2018, 111, 2536–2545. [Google Scholar] [CrossRef] [PubMed]
- Dongiovanni, C.; Cavalieri, V.; Bodino, N.; Tauro, D.; Di Carolo, M.; Fumarola, G.; Altamura, G.; Lasorella, C.; Bosco, D. Plant selection and population trend of spittlebug immatures (Hemiptera: Aphrophoridae) in olive groves of the Apulia region of Italy. J. Econ. Entomol. 2019, 112, 67–74. [Google Scholar] [CrossRef]
- Redak, R.A.; Purcell, A.H.; Lopes, J.R.S.; Blua, M.J.; Mizell, R.F., III; Andersen, P.C. The biology of xylem fluid-feeding insect vectors of Xylella fastidiosa and their relation to disease epidemiology. Annu. Rev. Entomol. 2004, 49, 243–270. [Google Scholar] [CrossRef]
- Esteves, M.B.; Kleina, H.T.; Sales, T.d.M.; Oliveira, T.P.; de Lara, I.A.R.; Almeida, R.; Coletta-Filho, H.; Lopes, J.S. Transmission efficiency of Xylella fastidiosa subsp. pauca sequence types by sharpshooter vectors after in vitro acquisition. Phytopathology 2018, 109, 286–293. [Google Scholar] [CrossRef]
- Sicard, A.; Zeilinger, A.R.; Vanhove, M.; Schartel, T.E.; Beal, D.J.; Daugherty, M.P.; Almeida, R.P.P. Xylella fastidiosa: Insights into an Emerging Plant Pathogen. Annu. Rev. Phytopathol. 2018, 56, 181–202. [Google Scholar] [CrossRef] [PubMed]
- Halkka, O.; Raatikainen, M.; Vasarainen, A.; Heinonen, L. Ecology and ecological genetics of Philaenus spumarius (L.) (Homoptera). Ann. Zool. Fenn. 1967, 4, 1–18. [Google Scholar]
- Nickel, H.; Remane, R. Check list of the planthoppers and leafhoppers of Germany, with notes on food plants, diet width, life cycles, geographic range and conservation status (Hemiptera, Fulgoromorpha and Cicadomorpha). Beitr. Zur. Zikadenkunde 2002, 5, 27–64. [Google Scholar]
- Eyre, M.D. Habitat diversity in the conservation of the grassland Auchenorrhyncha (Homoptera: Cercopidae, Cicadellidae, Cixidae, Delphacidae) of Northern Britain. J. Insect Conserv. 2005, 9, 309–317. [Google Scholar] [CrossRef]
- Capinera, J.L.; Capinera, J.L. Encyclopedia of entomology. Volume 4, S-Z. Available online: http://www.cabdirect.org/abstracts/20083298254.html?resultNumber=4&q=capinera+yr%3A2008 (accessed on 24 February 2012).
- Weaver, C.; King, D. Meadow spittlebug Philaenus leucophthalmus (L.). Ohio Agric. Exp. Stn. Res. Bull. 1954, 741, 1–99. [Google Scholar]
- Whittaker, J.B. Cercopid spittle as a microhabitat. Oikos 1970, 21, 59. [Google Scholar] [CrossRef]
- Chen, X.; Meyer-Rochow, V.B.; Fereres, A.; Morente, M.; Liang, A.-P. The role of biofoam in shielding spittlebug nymphs (Insecta, Hemiptera, Cercopidae) against bright light. Ecol. Entomol. 2018, 43, 273–281. [Google Scholar] [CrossRef]
- Burrows, M. Jumping performance of froghopper insects. J. Exp. Biol. 2006, 209, 4607–4621. [Google Scholar] [CrossRef]
- Horsfield, D. Evidence for xylem feeding by Philaenus spumarius (L.) (Homoptera: Cercopidae). Entomol. Exp. Appl. 1978, 24, 95–99. [Google Scholar] [CrossRef]
- Ponder, K.L.; Watson, R.J.; Malone, M.; Pritchard, J. Mineral content of excreta from the spittlebug Philaenus spumarius closely matches that of xylem sap. New Phytol. 2002, 153, 237–242. [Google Scholar] [CrossRef]
- Saponari, M.; Loconsole, G.; Cornara, D.; Yokomi, R.K.; Stradis, A.D.; Boscia, D.; Bosco, D.; Martelli, G.P.; Krugner, R.; Porcelli, F. Infectivity and transmission of Xylella fastidiosa by Philaenus spumarius (Hemiptera: Aphrophoridae) in Apulia, Italy. J. Econ. Entomol. 2014, 107, 1316–1319. [Google Scholar] [CrossRef]
- Cornara, D.; Cavalieri, V.; Dongiovanni, C.; Altamura, G.; Palmisano, F.; Bosco, D.; Porcelli, F.; Almeida, R.P.P.; Saponari, M. Transmission of Xylella fastidiosa by naturally infected Philaenus spumarius (Hemiptera, Aphrophoridae) to different host plants. J. Appl. Entomol. 2017, 141, 80–87. [Google Scholar] [CrossRef]
- Drosopoulos, S.; Maryańska-Nadachowska, A.; Kuznetsova, V.G. The Mediterranean: Area of origin of polymorphism and speciation in the spittlebug Philaenus (Hemiptera, Aphrophoridae). Zoosystematics Evol. 2010, 86, 125–128. [Google Scholar] [CrossRef]
- Bodino, N.; Cavalieri, V.; Dongiovanni, C.; Plazio, E.; Saladini, M.A.; Volani, S.; Simonetto, A.; Fumarola, G.; Carolo, M.D.; Porcelli, F.; et al. Phenology, seasonal abundance and stage-structure of spittlebug (Hemiptera: Aphrophoridae) populations in olive groves in Italy. Sci. Rep. 2019, 9, 17725. [Google Scholar] [CrossRef] [PubMed]
- EFSA (European Food Safety Authority); Vos, S.; Camilleri, M.; Diakaki, M.; Lázaro, E.; Parnell, S.; Schenk, M.; Schrader, G.; Vicent, A. Pest survey card on Xylella fastidiosa. EFSA Supporting Publ. 2019, 16, 1667E. [Google Scholar]
- Halkka, O.; Raatikainen, M.; Halkka, L.; Raatikainen, T. Coexistence of four species of spittle-producing Homoptera. Ann. Zool. Fenn. 1977, 16, 228–231. [Google Scholar]
- Thompson, V. Spittlebug indicators of nitrogen-fixing plants. Ecol. Entomol. 1994, 19, 391–398. [Google Scholar] [CrossRef]
- Raven, J.A. Phytophages of xylem and phloem: A comparison of animal and plant sap-feeders. In Advances in Ecological Research; Elsevier: Amsterdam, The Netherlands, 1983; Volume 13, pp. 135–234. [Google Scholar]
- Owen, D.F. native and alien plants in the diet of Philaenus spumarius (L.) (homoptera: Cercopidae). Entomol. Gaz. 1998, 39, 2. [Google Scholar]
- Ossiannilsson, F. The Auchenorrhyncha (Homoptera) of Fennoscandia and Denmark, 2: The families Cicadidae, Cercopidae, Membracidae, and Cicadellidae (excl. Deltocephalinae) [Sweden, Norway, Finland]. Fauna Entomol. Scand. Den. V 72 1981, 7, 223–593. [Google Scholar]
- Wiegert, R.G. The ingestion of xylem sap by meadow spittlebugs, Philaenus spumarius (L.). Am. Midl. Nat. 1964, 71, 422. [Google Scholar] [CrossRef]
- Latini, A.; Foxi, C.; Borfecchia, F.; Lentini, A.; De Cecco, L.; Iantosca, D.; Serafini, M.; Laneri, U.; Citterio, M.; Campiotti, A.; et al. Tacking the vector of Xylella fastidiosa: Geo-statistical analysis of long-term field observations on host plants influencing the distribution of Phylaenus spumarius nymphs. Environ. Sci. Pollut. Res. 2019, 26, 6503–6516. [Google Scholar] [CrossRef] [PubMed]
- Maryańska-Nadachowska, A.; Drosopoulos, S.; Lachowska, D.; Kajtoch, Ł.; Kuznetsova, V.G. Molecular phylogeny of the Mediterranean species of Philaenus (Hemiptera: Auchenorrhyncha: Aphrophoridae) using mitochondrial and nuclear DNA sequences. Syst. Entomol. 2010, 35, 318–328. [Google Scholar] [CrossRef]
- Cavalieri, V.; Altamura, G.; Fumarola, G.; di Carolo, M.; Saponari, M.; Cornara, D.; Bosco, D.; Dongiovanni, C. Transmission of Xylella fastidiosa subspecies pauca sequence type 53 by different insect species. Insects 2019, 10, 324. [Google Scholar] [CrossRef] [PubMed]
- Panzavolta, T.; Bracalini, M.; Croci, F.; Ghelardini, L.; Luti, S.; Campigli, S.; Goti, E.; Marchi, R.; Tiberi, R.; Marchi, G. Philaenus italosignus a potential vector of Xylella fastidiosa: Occurrence of the spittlebug on olive trees in Tuscany (Italy). Bull. Insectology 2019, 72, 317–320. [Google Scholar]
- Lopes, J.R.S.; Landa, B.B.; Fereres, A. A survey of potential insect vectors of the plant pathogenic bacterium Xylella fastidiosa in three regions of Spain. Span. J. Agric. Res. 2014, 12, 795–800. [Google Scholar] [CrossRef]
- Mazzoni, V. Contribution to the knowledge of the Auchenorrhyncha (Hemiptera Fulgoromorpha and Cicadomorpha) of Tuscany (Italy). Redia 2005, 88, 85–102. [Google Scholar]
- Whittaker, J.B. Density regulation in a population of Philaenus spumarius (L.) (Homoptera: Cercopidae). J. Anim. Ecol. 1973, 42, 163–172. [Google Scholar] [CrossRef]
- Biedermann, R. Aggregation and survival of Neophilaenus albipennis (Hemiptera: Cercopidae) spittlebug nymphs. Eur. J. Entomol. 2003, 100, 493–500. [Google Scholar] [CrossRef]
- Vilbaste, J. Preliminary key for the identification of the nymphs of North European Homoptera Cicadinea. II. Cicadelloidea. Ann. Zool. Fenn. 1982, 19, 1–20. [Google Scholar]
- Pignatti, S. Flora d’Italia; 3 vols; Bologna Edagricole: Bologna, Italy, 1982. [Google Scholar]
- Bodino, N.; Plazio, E.; Picciau, L.; Cavalieri, V.; Dongiovanni, C.; Di Carolo, M.; Tauro, D.; Volani, S.; Salerno, M.; Russo, V.; et al. Phenology population dynamics and host plants of Philaenus spumarius in Italian olive groves. In Proceedings of the European Conference on Xylella Fastidiosa: Finding Answers To a Global Problem, Palma de Mallorca, Spain, 13–15 November 2017; p. 63. [Google Scholar]
- Sanz-Cortés, F.; Martinez-Calvo, J.; Badenes, M.L.; Bleiholder, H.; Hack, H.; Llacer, G.; Meier, U. Phenological growth stages of olive trees (Olea europaea). Ann. Appl. Biol. 2002, 140, 151–157. [Google Scholar] [CrossRef]
- R Core Team. R: A Language and Environment for Statistical Computing; R Foundation for Statistical Computing: Vienna, Austria, 2018. [Google Scholar]
- Kullback, S.; Leibler, R.A. On information and sufficiency. Ann. Math. Stat. 1951, 22, 79–86. [Google Scholar] [CrossRef]
- Canty, A. Ripley Brian Boot: Bootstrap R (S-Plus) Functions, R Package Version 1.3-22; Available online: https://cran.r-project.org/web/packages/boot/citation.html (accessed on 1 January 2020).
- Lloyd, M. Mean crowding. J. Anim. Ecol. 1967, 36, 1–30. [Google Scholar] [CrossRef]
- Southwood, R.; Henderson, P. Ecological Methods; Blackwell Science: Oxford, UK, 2000. [Google Scholar]
- Iwao, S. A new regression method for analyzing the aggregation pattern of animal populations. Res. Popul. Ecol. 1968, 10, 1–20. [Google Scholar] [CrossRef]
- Mangan, R.L.; Wutz, A. Aggregation patterns of meadow spittlebugs, Philaenus spumarius L. (Homoptera: Cercopidae), on old-field alfalfa plants. Environ. Entomol. 1983, 12, 151–157. [Google Scholar] [CrossRef]
- Raatikainen, M.; Vasarainen, A. Froghoppers (Hom., Cercopidae) in strawberry plantations. Ann. Agric. Fenn. 1970, 9, 290–292. [Google Scholar]
- Yurtsever, S. On the polymorphic meadow spittlebug, Philaenus spumarius (L.) (Homoptera: Cercopidae). Turk. J. Zool. 2000, 24, 447–459. [Google Scholar]
- EFSA Panel on Plant Health (PLH) Scientific Opinion on the risks to plant health posed by Xylella fastidiosa in the EU territory, with the identification and evaluation of risk reduction options. EFSA J. 2015, 13, 3989. [CrossRef]
- Saponari, M.; Giampetruzzi, A.; Loconsole, G.; Boscia, D.; Saldarelli, P. Xylella fastidiosa in Olive in Apulia: Where We Stand. Phytopathology 2018, 109, 175–186. [Google Scholar] [CrossRef]
- White, S.M.; Bullock, J.M.; Hooftman, D.A.P.; Chapman, D.S. Modelling the spread and control of Xylella fastidiosa in the early stages of invasion in Apulia, Italy. Biol. Invasions 2017, 19, 1825–1837. [Google Scholar] [CrossRef]
- Cruaud, A.; Gonzalez, A.-A.; Godefroid, M.; Nidelet, S.; Streito, J.-C.; Thuillier, J.-M.; Rossi, J.-P.; Santoni, S.; Rasplus, J.-Y. Using insects to detect, monitor and predict the distribution of Xylella fastidiosa: A case study in Corsica. Sci. Rep. 2018, 8, 15628. [Google Scholar] [CrossRef]
- Soubeyrand, S.; de Jerphanion, P.; Martin, O.; Saussac, M.; Manceau, C.; Hendrikx, P.; Lannou, C. Inferring pathogen dynamics from temporal count data: The emergence of Xylella fastidiosa in France is probably not recent. New Phytol. 2018, 219, 824–836. [Google Scholar] [CrossRef] [PubMed]
- McEvoy, P.B. Niche partitioning in spittlebugs (Homoptera: Cercopidae) sharing shelters on host plants. Ecology 1986, 67, 465–478. [Google Scholar] [CrossRef]
- Hoffman, G.; McEvoy, P.B. Mechanical limitations on feeding by meadow spittlebugs Philaenus spumarius (Homoptera: Cercopidae) on wild and cultivated host plants. Ecol. Entomol. 1985, 10, 415–426. [Google Scholar] [CrossRef]
- Wise, M.J.; Kieffer, D.L.; Abrahamson, W.G. Costs and benefits of gregarious feeding in the meadow spittlebug, Philaenus spumarius. Ecol. Entomol. 2006, 31, 548–555. [Google Scholar] [CrossRef]
- Pires, C.S.S.; Price, P.W.; Fontes, E.G. Preference–performance linkage in the neotropical spittlebug Deois flavopicta, and its relation to the Phylogenetic Constraints Hypothesis. Ecol. Entomol. 2000, 25, 71–80. [Google Scholar] [CrossRef]
- Craig, T.P.; Ohgushi, T. Preference and performance are correlated in the spittlebug Aphrophora pectoralis on four species of willow. Ecol. Entomol. 2002, 27, 529–540. [Google Scholar] [CrossRef]
- Drossopoulos, J.B.; Niavis, C.A. Seasonal changes of the metabolites in the leaves, bark and xylem tissues of olive tree (Olea europaea L.) I. Nitrogenous compounds. Ann. Bot. 1988, 62, 313–320. [Google Scholar] [CrossRef]
- Santoiemma, G.; Tamburini, G.; Sanna, F.; Mori, N.; Marini, L. Landscape composition predicts the distribution of Philaenus spumarius, vector of Xylella fastidiosa, in olive groves. J. Pest Sci. 2019, 92, 1101–1109. [Google Scholar] [CrossRef]
- Kairis, O.; Karavitis, C.; Kounalaki, A.; Salvati, L.; Kosmas, C. The effect of land management practices on soil erosion and land desertification in an olive grove. Soil Use Manag. 2013, 29, 597–606. [Google Scholar] [CrossRef]
© 2020 by the authors. Licensee MDPI, Basel, Switzerland. This article is an open access article distributed under the terms and conditions of the Creative Commons Attribution (CC BY) license (http://creativecommons.org/licenses/by/4.0/).











