Simple Summary
The Cerambycidae comprise a diverse (>35,000 species) family of wood-boring beetles. Many are of concern as invasive species because their long-lived larvae are readily transported around the world concealed in wooden products and packing materials. Over the past two decades, our understanding of cerambycid pheromone chemistry has advanced rapidly, with pheromone structures now described for several hundred species. Furthermore, mixtures of cerambycid pheromones have been shown to potentially act as effective multispecies lures. In this study, traps baited with generic lures deployed at ground level and in the tree canopy in 22 randomly located permanent plots in a nature reserve in Yunnan, China, captured 4541 beetles of 71 species. Using Hierarchical Modeling of Species Communities, we developed informative models for 18 species and demonstrated that trap height, slope, elevation, and leaf-area index were important determinants of cerambycid beetle distribution. Our results demonstrate the potential for using generic lures to detect and monitor cerambycid populations at ports of entry, and for the study of cerambycid beetle ecology.
Abstract
The Cerambycidae comprise a large and ecologically important family of wood-boring beetles. The purpose of this study was to examine the effectiveness of a generic lure as a potential monitoring tool. Working in a subtropical forest in southwest China, we set traps baited with generic lures at ground level (1 m) and canopy height (~18 m) across 22 randomly located forest plots (12 regenerating forest, 10 mature forest). Three stations were established per plot and each plot was trapped for 7 days in May–June 2013. In total, 4541 beetles of 71 species were caught, including 26 species with 10 or more individuals. We used Hierarchical Modeling of Species Communities (HMSC) to analyze the data and produced informative models for 18 species, showing that trap height, slope, elevation, and leaf-area index were important determinants of cerambycid distribution. Our results demonstrate the potential for using generic lures to detect and monitor cerambycid populations, both for regulatory purposes and for the study of cerambycid beetle ecology. Further research should focus on refining lure blends, and on repeated sampling to determine temporal and spatial dynamics of cerambycid communities.
1. Introduction
The Cerambycidae, commonly known as longhorned beetles, comprise a large family of woodborers with >35,000 described species in eight subfamilies [1]. The endophytic larvae develop in woody plants [2], and while some species have become globally important as invasive forest pests [3], they generally perform valuable ecosystem services by initiating the degradation of woody plants and can be indicators of forest ecosystem health [4]. The larvae can be long-lived and, when concealed in wooden dunnage and other packing materials, are readily transported in global commerce [2]. Consequently, cerambycid beetles are among the most frequently intercepted phytophagous species at international ports of entry, with numerous cases of accidental introductions resulting in invasive outbreaks. Thus, the development of surveillance tools based on semiochemically-baited traps for detection and prevention of introductions is of high importance. Conversely, such tools may also be useful in ecological studies, and for monitoring endangered species [5].
Less than two decades ago, pheromones had been reported for only nine species of cerambycids [6]. Since then, there has been rapid progress in our understanding of cerambycid semiochemistry, with the identification of pheromone-based attractants for several hundred species [7,8], and these compounds are increasingly being incorporated into quarantine surveillance and monitoring programs [9,10]. The cumulative body of research suggests that pheromone structures are often conserved within cerambycid genera and tribes, with related species often using similar or the same chemical structures in their pheromone blends. For example, many species in the subfamily Cerambycinae utilize short-chain (6–10 carbon) hydroxyketones and diols as pheromone components, whereas terpenoids such as fuscumol [(E)-6,10-dimethyl-5,9-undecadien-2-ol] and fuscumol acetate are recurring motifs in the pheromones of species in the subfamilies Spondylidinae and Lamiinae [7,8]. Within the Lamiinae, hydroxyethers such as monochamol [2-(undecyloxy)ethanol] also appear to be shared among a number of species [7,8].
As a result of this evolutionary conservatism in pheromone chemistry among cerambycid species, traps baited with common pheromone compounds such as those described above frequently catch several species simultaneously e.g., [11,12,13,14]. For example, in a field trial conducted in Yunnan Province, China, using traps baited with ten test components, a total of 1526 cerambycids representing 71 species were captured at a single site in the Bulong Nature Reserve [13]. Of these, fourteen species were significantly attracted to at least one of the test compounds, accounting for 92% of the specimens collected [13]. In particular, compounds with a 3-hydroxyalkan-2-one or 2,3-alkanediol motif attracted significant numbers of both sexes of eight species in the subfamily Cerambycinae, including species in the genera Demonax, Rhaphuma, and Xylotrechus [13]. One species, Rhaphuma horsfieldi (White), was strongly attracted to two homologous test compounds (racemic syn-2,3-hexanediol and syn-2,3-octanediol) [13]. Within the Lamiinae, males and females of five species, including Acalolepta formosana (Breuning), Monochamus bimaculatus Gahan, Pharsalia subgemmata (Thomson), Pseudomacrochenus antennatus (Gahan), and Xenohammus bimaculatus Schwarzer, were significantly attracted to monochamol, suggesting the potential of this chemical as a general attractant rather than as a Monochamus-specific attractant, as its name might suggest [15,16,17,18]. Unexpectedly, males of Megopis costipennis White, subfamily Prioninae, were attracted to racemic anti-2,3-octanediol, and further field tests in 2013 determined that males were equally attracted to (2R,3S)-2,3-octanediol and its racemate, but not to the (2S,3R)-2,3-octanediol enantiomer. Females were found to produce (2R,3S)-2,3-octanediol as a sex pheromone [19]. Previously, 2,3-octanediols had only been reported as male-produced aggregation pheromone components for cerambycine species, although the homologous 2,3-hexanediols are known female-produced sex pheromones or sex attractants for several species in the prionine genus Tragosoma [20]. This suggested that C6 and C8 diols might have potential for use as generic lures for both cerambycines and prionines. However, perhaps the most promising generic component is 3-hydroxyhexan-2-one, which has been reported as a pheromone component for numerous cerambycine species from six continents [7].
A number of recent studies also have demonstrated that several cerambycid pheromone components can be combined to make “generic” lures which can attract multiple species simultaneously (North America, [11,21,22,23]; Europe, [9]). Thus, a primary objective of the study described herein was to follow up on the results from Wickham et al., 2014, [13], by testing the efficacy of a multi-component blend of pheromone components, selected from the most attractive single components in that study. In particular, we wanted to test such blends as a means to rapidly assess the cerambycid biodiversity in a survey conducted across 22 randomly located, permanent plots in the Bulong Nature Reserve in Yunnan Province, China [24]. The plots included both mature forest with a closed canopy and regenerating forest with an open canopy.
In addition, several recent studies have shown that trap placement can significantly affect trap captures of arboreal insects [25,26], including cerambycids, with some species being caught primarily at ground level, whereas others were caught preferentially by traps in the canopy [10,27,28,29,30]. These reports suggest that different species prefer different strata within the tree canopy, possibly as a function of their differing requirements for either standing or fallen trees as hosts, and trunks versus branches. Thus, as a second objective, we examined the effects of placing pheromone-baited traps at two different heights (~1 and ~18 m) in the forest canopy. Furthermore, variation in other characteristics of the sites (e.g., elevation, slope, and leaf area index) allowed us to conduct more detailed analyses of how the distribution of beetles was affected by environmental characteristics.
In a final experiment following up on previous work [19], we tested the relative attractiveness of racemic anti-2,3-octanediol versus each of the two individual enantiomers [(2R,3S)-2,3-octanediol and (2S,3R)-2,3-octanediol], targeting cerambycine and prionine species.
2. Materials and Methods
2.1. Sources of Chemicals
Racemic syn- and anti-2,3-hexanediols were prepared by OsO4-catalyzed oxidation of (E)- or (Z)-2-hexene respectively, as described in Lacey et al., 2004, [31]. Racemic syn-and anti-2,3-octanediols were synthesized in analogous fashion from (E)- or (Z)-2-octene. Racemic 3-hydroxyhexan-2-one and monochamol were purchased from Bedoukian Research (Danbury CT, USA). (2S,3R)-2,3-Octanediol and (2R,3S)-2,3-octanediol were synthesized as described in Wickham et al. (2014) [13].
2.2. Field Trials
From 17 May–12 June 2013, a six-component lure including 50 mg each of syn-2,3-hexanediol, anti-2,3-hexanediol, syn-2,3-octanediol, anti-2,3-octanediol, racemic 3-hydroxyhexan-2-one, and 25 mg monochamol was tested for 7 days per site in 22 randomly selected permanent plots in the Bulong Nature Reserve (21°30′29.39″ N, 100°29′50.60″ E; elevation ~1600 m), at the southern tip of Yunnan Province in China. Ten sites were classified as mature forest with a closed canopy, whereas 12 sites were considered regenerating forest with an open canopy. The reserve (40 km in diameter) is a seasonal tropical montane rain forest, which grades into broadleaf evergreen forest on slopes and ridges, with mixed old-growth and secondary forest interspersed with tea plantations and grasslands [24]. Average summer (May to June) temperatures are 15–21 °C [32]. Lures consisted of six low-density polyethylene press-seal baggies (5 × 7.5 cm, 0.05 mm wall thickness; #01-816-1A, Fisher Scientific, Pittsburgh, PA, USA), each separately containing 1 mL of an ethanol solution of a test compound. Controls consisted of six individual baggies loaded only with 1 mL ethanol.
Each permanent plot was subdivided into a 3 × 3 grid of 9 subplots, spaced 50 m apart (for site characteristics and tree species composition, see Table S1). Fluon-coated black cross-vane panel traps [33] (AlphaScents, Portland, OR, USA; see https://www.alphascents.com/panel-trap-black-complete.html, (accessed on 18 Mar 2021), and Figure S1) were hung from trees at ground level (~1 m) and from tree branches in the canopy (~18 m) on a diagonal within subplots 1, 5, and 9 for a total of six traps per site, with a distance between subplots of >70 m and vertical distance between traps of ~17 m. Trap cups were filled with soapy water to kill and preserve captured beetles. Traps were emptied on day 7, and then moved to a new site. To minimize temporal variation and simulate a rapid assessment, the study was completed within the shortest timeframe possible (27 d) with a crew of three people. The order in which plots were surveyed was randomized, but all subplots within a plot were surveyed at the same time for logistical reasons.
A second experiment consisted of a targeted study for prionine and cerambycine species (see [19]), with the goal of comparing attraction of species to the individual enantiomers (2S,3R)-2,3-octanediol and (2R,3S)-2,3-octanediol), the racemic mixture of the two enantiomers (i.e., anti-2,3-octanediol), and a solvent control. Cross-vane panel traps were hung from trees at a height of ~1 m and lures consisted of the press-seal baggies described above, loaded with the individual enantiomers (25 mg/lure in 1 mL ethanol) or the racemic diol (50 mg/lure in 1 mL ethanol). Control lures contained ethanol only. Traps were deployed at the single site at Bulong Nature Reserve described in Wickham et al. (2016) [19] from 24–31 May 2013 (n = 4 replicates per treatment), with traps checked on 27 May and rotated one position to control for spatial effects. Trap cups filled with soapy water were as described above and beetles were collected on 27 and 31 May.
Beetles were identified to species by Wen Lu using the keys of Gressit, 1951, [34], Gressit et al., 1920, [35], Hua et al., 2009, [36], Nga and Long, 2014, [37], and Nga et al., 2016, [38], and voucher specimens were deposited in the museum collections of Guangxi University, Guangxi, China.
2.3. Statistical Analyses
We used basic summary statistics to demonstrate the effectiveness of the generic lures. The purpose of further analyses was to demonstrate that data derived from beetle captures using generic lures could be used in biodiversity surveys to reveal information concerning the underlying environmental and biological determinants of community composition.
Our ability to analyze community datasets has advanced considerably in recent years through the development of hierarchical modeling frameworks that enable linear modeling of multivariate species responses. Here we applied Hierarchical Modeling of Species Communities (HMSC; [39]), as implemented through the R package HMSC [40]. We tested the hypotheses that (a) trap height, (b) elevation, (c) slope, and (d) leaf area index (LAI) were important determinants of cerambycid community composition. Plot characteristics were obtained from Paudel et al., 2015, [24]. LAI provides a measure of the quality of the forest, with more mature forest supporting a higher LAI, while elevation and slope are often important environmental gradients. Moreover, at our site, forest composition transitions from montane rainforest in valleys to evergreen broadleaf forest at higher elevations, and plant species composition is an important determinant in the distribution of arthropod biodiversity [41,42]. Captures from subplots within a plot were combined for each height, which reduced the number of zeros and produced better response distributions across species. We also removed species with <10 individuals from the analyses to reduce the dimensionality and because, with such low abundances, it is challenging to detect determinants of species distribution. To account for the nested structure of the dataset (two heights per plot), we assigned random effects at the plot and sample levels. In community datasets, sample level random effect represents not only the variation within species (i.e., residual variation) but also the covariation among species. This covariation may represent species interactions (e.g., competition or facilitation) or could represent the effect of a common response to an unspecified factor. HMSC enables models to be structured in a variety of ways through the use of latent variables. For example, autocorrelation among species due to shared ancestry can be modeled given a phylogeny, or the effects of shared traits among species can be considered. In the absence of more detailed data, we used subfamily as a proxy for traits conserved at this taxonomic level.
Our data were zero-inflated and hence we applied a Hurdle model approach and defined a presence-absence model, which in HMSC is specified with a Probit distribution, and an abundance conditional-on-presence model, which we specified as a Lognormal Poisson [43]. These models are independent, and it is of interest to investigate whether similar factors may determine species incidence, as species abundance conditional-on-presence (hereon referred to as ‘abundance’). For example, a species might be found at a particular elevation, but its abundance at that elevation is determined by forest condition. In the maximal model, we specified the main effects of trap height, elevation, slope, and LAI, and all two-way interactions.
For model diagnostics and displaying results, we followed the guidance provided by the HMSC manual [43]. We conducted a five-fold cross-validation to examine predictive performance. In the Probit model, we examined the Tjur r2 across species and in the Lognormal Poisson the r2 [43]. We simplified the models by removing terms one by one, selecting the term with the least support across all species, starting with the higher order terms and respecting the principle of marginality. All analyses were conducted in R version 3.6.3 (R Core Team; [44]).
We tested differences in attraction between racemic anti-2,3-octanediol and its enantiomers using non-parametric Friedman’s Q test followed by the REGWQ test to analyze the differences in number of individuals attracted to each lure (PROC FREQ, option CMH, SAS Institute; [45]).
3. Results
3.1. Field Trials
3.1.1. Generic Lures
In the first, rapid survey experiment in which generic lure mixtures were tested for one week per site at each of 22 different sites (22 sites × 6 traps per site × 7 days = 924 trapping days) within the nature reserve, more than 4500 beetles representing 71 cerambycid species were captured (Table 1). Of these 71 species, one species was caught in numbers >1000, 8 were caught in numbers of 101 to 1000, 17 were caught in numbers of 10 to 100, and 45 were caught in numbers of <10. Twenty-two species were represented by singletons.
Table 1.
Total numbers of each of the 71 species of cerambycids caught at 22 field sites in traps baited with multicomponent pheromone lures, and the code used for species names. At each site, 3 traps were deployed ~1 m above ground, and another 3 traps were hung at ~18 m high in the canopy. Species caught in numbers of 10 or more for which pheromones or likely pheromonal attractants have been identified previously are shown in bold font.
Eleven of the 14 species that had been attracted in significant numbers to traps baited with single compounds in our 2010 trial [13] were also captured in good numbers in the present study, including five lamiine species (A. formosana, M. bimaculatus, P. subgemmata, P. antennatus, X. bimaculatus), five cerambycine species (Demonax gracilestriatus Gressitt and Rondon, Demonax theresae Pic, R. horsfieldi, Rhaphuma laosica Gressitt and Rondon, Xylotrechus incurvatus [Chevrolat]), and the prionine M. costipennis. In contrast, the three remaining species captured in significant numbers in 2010 (the cerambycines Demonax literatus literatus Gahan, Demonax ornatus Pascoe, and Xylotrechus atronotatus draconiceps Gressitt) were not caught in the present study. Seven cerambycine species (Artimpaza lineata [Pic], Demonax occultus Gressitt and Rondon, Demonax pseudonotabilis Gressitt, Xylotrechus lateralis fracturis Guo and Chen, Perissus mimicus Gressitt and Rondon, Perissus griseus Gressitt, and Rhaphuma anongi Gressitt and Rondon) were caught in significant numbers in the current study, which were not caught at all (first four species) or were caught in low and nonsignificant numbers (latter three species) in the previous study testing single components [13].
3.1.2. Racemic Anti-2,3-octanediol versus Its (2R,3S)- and (2S,3R)-Enantiomers
In the targeted experiment comparing attraction to racemic anti-2,3-octanediol versus the (2R,3S)- and (2S,3R)-enantiomers, two cerambycine species in the tribe Clytini were attracted to baited traps in significant numbers (Table 2). Thus, P. mimicus was attracted only to the racemic mixture, and not to either of the enantiomers, indicating synergism between enantiomers. A second species, R. horsfieldi, was also caught in relatively low numbers. For the latter species, the (2S,3R)-enantiomer was significantly more attractive than the controls (which caught no beetles). There was no significant difference in attraction between the racemate or either of the enantiomers, nor were the racemate and the (2R,3S)-enantiomer significantly different than the controls for this species.
Table 2.
Numbers (mean ± SE) of beetles caught in traps baited with (2R,3S)-2,3-octanediol (RS-diol), (2S,3R)-2,3-octanediol (SR-diol), racemic anti-2,3-octanediol (racemate), or a solvent control (R and S denote the configuration of the chiral center). Different letters (a, b) indicate significant different in mean numbers of beetles captured.
3.2. Environmental Determinants of Cerambycid Beetle Trap Captures
The best performing incidence model retained all the main effects (trap height, elevation, slope, and LAI) and the interactions between trap height and elevation, and elevation and LAI. For the abundance model, only the main effects of trap height, elevation, slope, and LAI were retained in the best performing model. The incidence model performed reasonably well (predictive Tjur r2 > 0.10) in 13 species, while the abundance model performed reasonably well (predictive r2 > 0.10) in 11 species. However, eight species were not well predicted by either model (Table 3). For a full description of the modeling, model evaluation, and model outputs please refer to the online Supplementary Materials. Results presented here were based on species with a predictive Tjur r2 > 0.10 or r2 > 0.10 for the incidence and abundance models, respectively.
Table 3.
Model performance for the Hierarchical Modelling of Species Communities (HMSC). We used the predictive r2, which was based on a five-fold cross validation, to determine model performance. Species with values in italics were not well predicted in either model. Note that Pharsalia subgemmata saturated the traps such that an incidence model could not be estimated.
Variance partitioning showed that there was a difference in the importance of factors between the two models (Figure 1). The interaction between Elevation and LAI was by far the most important variable in the incidence model, explaining over 30% of the variance on average across species, while other variables explained around 10% of the variance. The plot level and sample level random variables each explained less than 5% of the variance on average across species. In contrast, in the abundance model, elevation was the most important factor, explaining about 22% of the variance on average across species, while trap height, slope, and LAI explained around half that amount. In the abundance model, the plot level and sample level random variables were also more important, explaining around 15% and 10% of the variance on average across species, respectively.
Figure 1.
Box and whisker plots illustrating the proportion of variance in trap captures explained by environmental variables across species; (a) Incidence model (Probit); (b) Abundance model (Lognormal Poisson). Only species with a predictive r2 of >0.10, based on a 5-fold cross-validation, were included. Models were estimated using Hierarchical Modeling of Species Communities (HMSC; Ovaskainen et al. 2017 [39]).
In the incidence model (Figure 2a), there was substantial (>0.80) support for a negative interaction between elevation and LAI for 11 out of 13 species, and support for a positive interaction between trap height and elevation among four species. Seven out of the 13 species showed a positive association with LAI, ten with slope, and five with elevation. One of the 13 species showed strong support for a negative association with slope. Meanwhile, in the abundance model (Figure 2b), there was significant support for a negative association with LAI in eight out of the 11 species, and strong support for positive association with slope in seven species, with elevation in four species, and with trap height in seven species. Two species showed strong support for a negative association with slope and three species with elevation.
Figure 2.
Heatmap illustrating the support (>0.80) for positive or negative β-coefficients across species (y-axis) and environmental factors (x-axis) (a,b) and for γ-coefficients across cerambycid subfamilies (c,d) (Cerambycinae was the baseline group and hence represents the intercept, while Prioninae was represented by a single species, Megopis costipennis); (a,c) Incidence model (Probit); (b,d) Abundance model (Lognormal Poisson). Red indicates a positive coefficient, while blue indicates a negative coefficient. Models were estimated using Hierarchical Modeling of Species Communities (HMSC; [39]). Only those species for which the predictive Tjur r2 or r2, respectively, based on a 5-fold cross-validation, was >0.10 have been included.
Referring to the analysis of gamma coefficients, in the incidence model Cerambycinae showed strong support for a positive association with slope and LAI, and a negative association with the interaction between elevation and LAI (Figure 2c). In the abundance model, Cerambycinae showed strong support for a positive association with trap height and slope, and a negative association with LAI (Figure 2d). There were no strong associations with environmental factors in either model for Lamiinae. The subfamily effect could not be assessed for Prioninae because only one species was caught. In terms of species-species associations (not shown), there were no associations with significant support in the incidence model and only one (between M. costipennis and R. horsfieldi) in the abundance model.
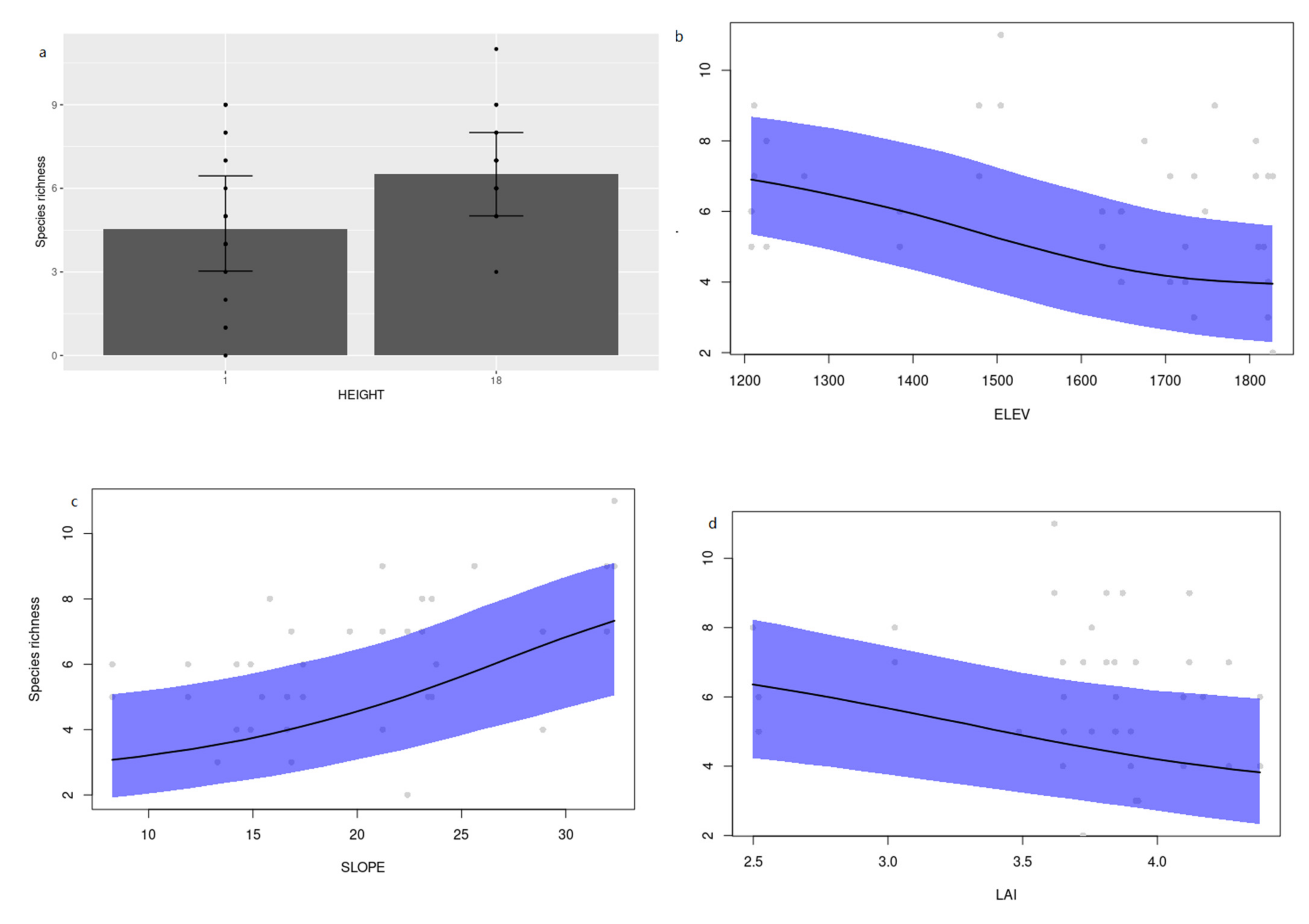
We examined community-level responses to the environmental factors using the models generated. Species richness (incidence model) was higher in canopy traps (Figure 3a) and showed a negative correlation with elevation (Figure 3b) and LAI (Figure 3d), but a positive correlation with slope (Figure 3c). There were no significant community-level associations (total abundance) for the abundance model (not shown).
Figure 3.
Community responses: Species richness vs. (a) Trap height; (b) elevation; (c) slope; (d) leaf area index.
4. Discussion
The results described here suggest that traps baited with multicomponent lures can be a valuable tool for rapidly sampling a representative subset of the cerambycid fauna of a region, at least for the species that respond to pheromones, coupled with random, passive trap captures of species flying at the sampling time. Of the 71 species caught in total, 26 were caught in numbers greater than 10 individuals, with the largest catch being 1601 specimens of P. subgemmata. However, as is typical of arthropod surveys in the tropics e.g., [41] a large proportion of species were represented by only a few specimens. An additional 45 species were caught in numbers < 10, and of those, 22 species were represented by a single individual. Overall, this is not surprising given that to date, pheromones or likely pheromones have been identified for only a few hundred of the >35,000 described cerambycid species worldwide [1]. Thus, numerous additional pheromone structures undoubtedly remain to be discovered.
The mix of species caught was similar but not identical to that caught in our previous study ([13], see Table S2) in which lures consisted of the individual components of the blend tested in this study. Here, we trapped only 11 of the 14 species caught in significant numbers in the previous study, which may have two possible explanations. First, it is possible that one or more of the blend components inhibited attraction of the other three species, a phenomenon which has been noted in other studies in which blends of pheromones were tested where cross-attraction is averted by minor components e.g., [46,47,48,49]. Conversely, in the current study, four species were caught in good numbers which had not been caught at all in the 2010 study, potentially suggesting that the pheromones of these species may consist of two or more components of the tested blend that act synergistically, with minimal attraction to the individual components. This synergism of multiple pheromone components has been observed with cerambycid species in several trapping studies [50,51,52,53]. A second factor that may have contributed to the difference in the mix of species caught between the two studies was the timing of deployment of the experiments. That is, the 2010 study was run from 28 May–25 June, whereas the current study was run from 17 May–12 June, i.e., approximately two weeks earlier. Given that the flight periods of cerambycid species may be only a few weeks long e.g., [54], this difference in the times of deployment may have influenced the species composition seen in each study. Specificity in flight times may also explain the large proportion of species caught in low numbers if trapping periods only overlapped with the very beginning or end of the flight periods of these species. Regular monthly monitoring with generic lures, utilizing different colored traps to capture flower-visiting lepturine cerambycids [49,55] or different canopy traps/baits [56,57,58], as well as testing different combinations of components in the lures, would enable researchers to differentiate between these possibilities and enhance understanding of cerambycid ecology in the nature reserve. Specifically, utilizing different colored traps would potentially include species in the flower-visiting subfamily Lepturinae, that were not targeted with the current trapping design.
Our results also highlight the value of studies such as this in providing leads as to the possible pheromone structures of new species. In particular, of the 26 species caught in numbers > 10 individuals, pheromones have been formally identified for only two species, M. costipennis ((2R,3S)-2,3-octanediol; [19]), and Xylotrechus chinensis (Chevrolat) ((syn-2,3-octanediol, [S]-2-hydroxyoctan-3-one, and 3-hydroxyoctan-2-one; [59,60]). Eleven additional species have been attracted in significant numbers to traps baited with known cerambycid pheromones in previous studies (species in bold font in Table 1). However, for the remaining 13 species caught in numbers >10 individuals, the data presented here represent the first possible leads to their pheromone structures. For at least some of these species, which were caught in numbers > 100 (A. lineata, D. occultus, P. mimicus, R. anongi, R. horsfieldi, R. laosica), it is very likely that the major component(s) of their pheromones were present in the blend that was tested. Leads on the identification of new pheromone structures are particularly important in the context of developing effective lures for known invasive species, such as Asian species in the genera Chlorophorus, Xylotrechus, and Acalolepta e.g., [61,62,63].
In the field trial testing racemic anti-2,3-octanediol versus the individual (2R,3S)- and (2S,3R)-enantiomers, in addition to trapping a large number of the prionine M. costipennis (as previously reported by [19]), we also caught significant numbers of the cerambycines P. mimicus and R. horsfieldi, both in the tribe Clytini. This was remarkable for two reasons. First, it is extremely unusual for the same compound to be used as a female-produced sex pheromone by species in one subfamily, and as a male-produced aggregation-sex pheromone by species in another subfamily. However, there is a precedent for this phenomenon within the Cerambycidae, whereby 2,3-hexanediols are used as sex pheromones by prionine species in the genus Tragosoma [20] and as aggregation-sex pheromones by a number of cerambycine species (summarized in [7]). Second, instances of synergism between enantiomers are also rare in insect pheromones, but several recent examples have been identified in the Cerambycidae. For example, Meier et al. 2016, 2020, reported several cases of the enantiomers of fuscumol or fuscumol acetate acting synergistically as pheromone components in several lamiine species [64,65]. However, to our knowledge, significant attraction of P. mimicus to racemic anti-2,3-octanediol but not to the individual (2R,3S)- and (2S,3R)-enantiomers, may be the first documented case of enantiomeric synergism within the subfamily Cerambycinae.
The recent development of hierarchical modeling frameworks has greatly expanded the potential for analyzing data on species communities. The analyses presented here represent a novel application of Hierarchical Modeling of Species Communities (HMSC; [39]) and we were able to obtain a far more informative output than would have been possible with previous approaches, such as ordination. Selecting the 26 species with ten or more individuals, we were able to produce informative models for 18 species (as defined by a predictive r2 of >0.1). However, neither the incidence nor abundance models performed well for eight species. This may reflect insufficient data (notably seven of the eight species had <50 individuals across 44 trapping locations) or it may suggest that the factors we examined were not important in determining their distribution. Such species could be habitat generalists or, conversely, their distributions may be determined by small-scale factors, such as the presence of particular host tree species, that were not captured in our plot scale analysis.
Our models demonstrated that trap height, elevation, slope, and LAI were all important factors determining the incidence and abundance of species. In the incidence model (Figure 2a), there was support for a positive association with LAI for seven species. At low elevation, most species (11 out of 13) were more likely to occur in high LAI plots, whereas this trend diminished at higher elevation, generating a negative elevation:LAI interaction. Among most species (10 out of 13) there was support for a positive association with slope, although for Megopis costipennis the opposite was true. This may reflect forest quality rather than slope per se, because the steepest slopes occurred in less accessible valleys with largely undisturbed forest. Four species (M. costipennis, D. pseudonotabilis, R. laosica, A. lineata) showed support for a positive trap height:elevation interaction, indicating an increased tendency to occur in the canopy traps at higher elevations. Five species (M. costipennis, D. pseudonotabilis, X. lateralis fracturis, X. incurvatus, D. theresae) also tended to occur at higher elevation. The abundance (condition-on-presence) model further informed our understanding of the effects of environmental factors (Figure 2b). Several species showed strong support for increased captures in the canopy traps (7 out of 11 species), at higher elevations (4 out of 11 species), and on steeper slopes (7 out of 11 species), but reduced captures in plots with higher LAI (8 out of 11 species). However, three species showed support for a negative association with elevation and two with slope. Variable responses among species indicate that the community is segregating according to these environmental factors. Elevation and slope were important determinants of community composition among the tree species [24] and hence these differences may reflect the host preferences. Moreover, it might be expected that species that utilize living trees would be found in the canopy, whereas species that infest long dead, fallen trees would be found closer to ground level. Nonetheless, our results were analogous to several similar recent studies with attractant-baited traps, which found that whereas a subset of the total number of cerambycid species caught might be trapped preferentially in high or low traps, few or no species were caught exclusively at one height e.g., [10,27,28,29,66].
Interestingly, many of the responses seen across species were also captured when looking at the collective responses at the subfamily level for Cerambycinae (Figure 2c,d) but not for Lamiinae, suggesting that these environmental responses may be driven by traits conserved among Cerambycinae. There was only one species-to-species association with significant support, between M. costipennis and R. horsfieldi in the abundance model. This is interesting because M. costipennis was attracted to (2R,3S)-2,3-octanediol [19] and R. horsfieldi was significantly attracted to (2S,3R)-2,3-octanediol (vs. controls) in this study. Perhaps the species-to-species association in response to the generic lures reflects common attraction to the environment around traps or it may reflect pheromone signaling before they were captured. M. costipennis produces (2R,3S)-2,3-octanediol [19], while R. horsfieldi likely produces a multi-component pheromone, of which (2R,3S)-2,3-octanediol and (2S,3R)-2,3-octanediol may be components (Table 2), though captures to syn-2,3-hexanediols and syn-2,3-octanediols were higher than anti-2,3-octanediols (see Figure 2 in [13]). Thus, the species-species association is likely attributed to their presence in the same environment coupled by the attraction of each species to their own pheromone components, and no inhibition of attraction of M. costipennis to racemic anti-2,3-octanediol [19]. Regardless of the overlap of pheromone components and communication channels, cross attraction is completely avoided because M. costipennis is nocturnal and R. horsfieldi is diurnal (JW, pers. obs.) Finally, looking at the overall community responses, it is clear that the diversity of species is higher in canopy traps and on steeper slopes, but there is a decline in species richness with elevation and LAI (Figure 3).
In summary, the results reported here provide a number of new leads for identification of the pheromones of species which were caught in substantial numbers during the course of this study, including some species with the potential to be invasive. This study also demonstrated the potential value of pheromone-based trapping as a tool for assessment of the cerambycid fauna of a site or region. Such assessments are becoming increasingly important, both in the context of monitoring endangered species and in the context of monitoring for incursions of invasive species. Finally, the HMSC analyses allowed a finer-grained assessment of the effects of site and trapping variables on the responses of beetles, providing insights into their ecology.
Supplementary Materials
The following are available online at https://www.mdpi.com/article/10.3390/insects12040277/s1, HMSC Graphical Output, R-code, and Raw Data. Figure S1. AlphaScents Black Panel Trap, Table S1. Plot Characteristics Table, Table S2. Comparison of 2010 vs. 2013 studies.
Author Contributions
Conceptualization, J.D.W.; R.D.H.; L.M.H.; J.G.M.; methodology, J.D.W.; R.D.H.; statistical analysis, L.M.H.; R.D.H.; investigation, J.D.W.; chemical synthesis, J.G.M.; insect identification, W.L.; data curation, J.D.W.; R.D.H.; W.L.; Supervision, Y.C.; Writing—Original draft preparation, J.D.W.; J.G.M.; L.M.H.; R.D.H.; Writing—Review and editing, J.D.W.; J.G.M.; L.M.H.; R.D.H.; project administration, J.D.W.; funding acquisition, J.G.M. All authors have read and agreed to the published version of the manuscript.
Funding
This research was funded by the United States Department of Agriculture-Animal and Plant Health Inspection Service grants 14-8130-1422-CA, 15-8130-1422-CA, 16-8130-1422-CA, 17-8130-1422-CA, 18-8130-1422-CA, and 19-8130-1422-CA.
Institutional Review Board Statement
Not applicable.
Data Availability Statement
Acknowledgments
The authors thank Atu and Yang Er for assistance with fieldwork in Mengsong, Yunnan, China, and Jianchu Xu (Kunming Institute of Botany) for logistical support.
Conflicts of Interest
The authors declare no conflict of interest.
References
- Švácha, P.; Lawrence, J.F. Chapter 2.4 Cerambycidae Latreille, 1802. In Handbook of Zoology: Arthropoda: Insecta: Coleoptera, Beetles. Vol. 3: Morphology and Systematics (Phytophaga); Leschen, R.A.B., Beutel, R.G., Eds.; Walter de Gruyter: Berlin, Germany; Boston, MA, USA, 2014; pp. 77–177. [Google Scholar]
- Haack, R.A. Feeding Biology of Cerambycids. In Cerambycidae of the World: Biology and Pest Management; Wang, Q., Ed.; CRC Press/Taylor and Francis Group: Boca Raton, FL, USA, 2017; pp. 105–124. [Google Scholar]
- Haack, R.A.; Hérard, F.; Sun, J.; Turgeon, J.J. Managing invasive populations of Asian longhorned beetle and citrus longhorned beetle: A worldwide perspective. Annu. Rev. Entomol. 2010, 55, 521–546. [Google Scholar] [CrossRef]
- Maeto, K.; Sato, S.; Miyata, H. Species diversity of longicorn beetles in humid warm-temperate forests: The impact of forest management practices on old-growth forest species in southwestern Japan. Biodiv. Conserv. 2002, 11, 1919–1937. [Google Scholar] [CrossRef]
- Brockerhoff, E.G.; Jones, D.C.; Kimberley, M.O.; Suckling, D.M.; Donaldson, T. Nationwide survey for invasive wood-boring and bark beetles (Coleoptera) using traps baited with pheromones and kairomones. For. Ecol. Manag. 2006, 228, 234–240. [Google Scholar] [CrossRef]
- Allison, J.D.; Borden, J.H.; Seybold, S.J. A review of the chemical ecology of the Cerambycidae (Coleoptera). Chemoecology 2004, 14, 123–150. [Google Scholar] [CrossRef]
- Hanks, L.M.; Millar, J.G. Sex and aggregation-sex pheromones of cerambycid beetles: Basic science and practical applications. J. Chem. Ecol. 2016, 42, 631–654. [Google Scholar] [CrossRef]
- Millar, J.G.; Hanks, L.M. Chemical Ecology of Cerambycids. In Cerambycidae of the World: Biology and Pest Management; Wang, Q., Ed.; CRC Press/Taylor and Francis Group: Boca Raton, FL, USA, 2017; pp. 161–208. [Google Scholar]
- Fan, J.T.; Denux, O.; Courtin, C.; Bernard, A.; Javal, M.; Millar, J.G.; Hanks, L.M.; Roques, A. Multi-component blends for trapping native and exotic longhorn beetles at potential points-of-entry and in forests. J. Pest Sci. 2019, 92, 281–297. [Google Scholar] [CrossRef]
- Rassati, D.; Marini, L.; Marchioro, M.; Rapuzzi, P.; Magnani, G.; Poloni, F.; di Giovanni, F.; Mayo, P.; Sweeney, J. Developing trapping protocols for wood-boring beetles associated with broadleaf trees. J. Pest Sci. 2019, 92, 267–279. [Google Scholar] [CrossRef]
- Hanks, L.M.; Millar, J.G.; Mongold-Diers, J.A.; Wong, J.C.H.; Meier, L.R.; Reagel, P.F.; Mitchell, R.F. Using blends of cerambycid beetle pheromones and host plant volatiles to simultaneously attract a diversity of cerambycid species. Can. J. For. Res. 2012, 42, 1050–1059. [Google Scholar] [CrossRef]
- Sweeney, J.D.; Silk, P.J.; Grebennikov, V. Efficacy of semiochemical–baited traps for detection of longhorn beetles (Coleoptera: Cerambycidae) in the Russian Far East. Eur. J. Entomol. 2014, 111, 397–406. [Google Scholar] [CrossRef]
- Wickham, J.D.; Harrison, R.D.; Lu, W.; Millar, J.G.; Hanks, L.M.; Chen, Y. Generic pheromone lures attract cerambycids in a tropical montane rain forest in southern China. J. Econ. Entomol. 2014, 107, 259–267. [Google Scholar] [CrossRef]
- Miller, D.R.; Crowe, C.M.; Mayo, P.D.; Silk, P.J.; Sweeney, J.D. Responses of Cerambycidae and other insects to traps baited with ethanol, 2,3-hexanediol, and 3,2-hydroxyketone lures in north-central Georgia. J. Econ. Entomol. 2015, 108, 2354–2365. [Google Scholar] [CrossRef] [PubMed]
- Allison, J.D.; McKenney, J.L.; Millar, J.G.; McElfresh, J.S.; Mitchell, R.F.; Hanks, L.M. Response of the woodborers Monochamus carolinensis and Monochamus titillator (Coleoptera: Cerambycidae) to known cerambycid pheromones in the presence and absence of the host plant volatile α-pinene. Environ. Entomol. 2012, 41, 1587–1596. [Google Scholar] [CrossRef] [PubMed]
- Fierke, M.K.; Skabeikis, D.D.; Millar, J.G.; Teale, S.A.; McElfresh, J.S.; Hanks, L.M. Identification of a male-produced aggregation pheromone for Monochamus scutellatus scutellatus and an attractant for the congener Monochamus notatus (Coleoptera: Cerambycidae). J. Econ. Entomol. 2012, 105, 2029–2034. [Google Scholar] [CrossRef] [PubMed]
- Macias-Samano, J.E.; Wakarchuk, D.; Millar, J.G.; Hanks, L.M. 2-Undecyloxy-1-ethanol in combination with other semiochemicals attracts three Monochamus species (Coleoptera: Cerambycidae) in British Columbia, Canada. Can. Entomol. 2012, 144, 821–825. [Google Scholar] [CrossRef]
- Teale, S.A.; Wickham, J.D.; Zhang, F.; Chen, Y.; Xiao, W.; Hanks, L.M.; Millar, J.G. A male-produced aggregation pheromone of Monochamus alternatus (Coleoptera: Cerambycidae), a major vector of pine wood nematode. J. Econ. Entomol. 2011, 104, 1592–1598. [Google Scholar] [CrossRef] [PubMed]
- Wickham, J.D.; Millar, J.G.; Hanks, L.M.; Zou, Y.; Wong, J.C.; Harrison, R.D.; Chen, Y. (2R,3S)-2,3-Octanediol, a female-produced sex pheromone of Megopis costipennis (Coleoptera: Cerambycidae: Prioninae). Environ. Entomol. 2016, 45, 223–228. [Google Scholar] [CrossRef]
- Ray, A.M.; Barbour, J.D.; McElfresh, J.S.; Moreira, J.A.; Swift, I.; Wright, I.M.; Zunic, A.; Mitchell, R.F.; Graham, E.E.; Alten, R.L.; et al. 2,3-Hexanediols as sex attractants and a female-produced sex pheromone for cerambycid beetles in the prionine genus Tragosoma. J. Chem. Ecol. 2012, 38, 1151–1158. [Google Scholar] [CrossRef]
- Hanks, L.M.; Millar, J.G. Field bioassays of cerambycid pheromones reveal widespread parsimony of pheromone structures, enhancement by host plant volatiles, and antagonism by components from heterospecifics. Chemoecology 2013, 23, 21–44. [Google Scholar] [CrossRef]
- Millar, J.G.; Mitchell, R.F.; Mongold-Diers, J.A.; Zou, Y.; Bográn, C.E.; Fierke, M.K.; Ginzel, M.D.; Johnson, C.W.; Meeker, J.R.; Poland, T.M.; et al. Identifying possible pheromones of cerambycid beetles by field testing known pheromone components in four widely separated regions of the United States. J. Econ. Entomol. 2018, 111, 252–259. [Google Scholar] [CrossRef]
- Hanks, L.M.; Mongold-Diers, J.A.; Atkinson, T.H.; Fierke, M.K.; Ginzel, M.D.; Graham, E.E.; Poland, T.M.; Richards, A.B.; Richardson, M.L.; Millar, J.G. Blends of pheromones, with and without host plant volatiles, can attract multiple species of cerambycid beetles simultaneously. J. Econ. Entomol. 2018, 111, 716–724. [Google Scholar] [CrossRef]
- Paudel, E.; Dossa, G.G.O.; Xu, J.; Harrison, R.D. Litter fall and nutrient return along a disturbance gradient in a tropical montane forest. For. Ecol. Manag. 2015, 353, 97–106. [Google Scholar] [CrossRef]
- Dodds, K. Effects of trap height on captures of arboreal insects in pine stands of northeastern United States of America. Can. Entomol. 2014, 146, 80–89. [Google Scholar] [CrossRef]
- Bardiani, M.; Tini, M.; Carpaneto, G.M.; Audisio, P.; Bussola, E.; Campanaro, A.; Cini, A.; Maurizi, E.; Mason, F.; Peverieri, G.S.; et al. Effects of trap baits and height on stag beetle and flower chafer monitoring: Ecological and conservation implications. J. Insect Conserv. 2017, 21, 157–168. [Google Scholar] [CrossRef]
- Schmeelk, T.C.; Millar, J.G.; Hanks, L.M. Influence of trap height and bait type on abundance and species diversity of cerambycid beetles captured in forests of east-central Illinois. J. Econ. Entomol. 2016, 109, 1750–1757. [Google Scholar] [CrossRef]
- Flaherty, L.; Gutowski, J.M.; Mayo, P.; Mokrzycki, T.; Pohl, G.; Silk, P.; Webster, R.; Hughes, C.; Van Rooyen, K.; Sweeney, J. Pheromone-enhanced lure blends and multiple trap heights improve detection of bark and wood-boring beetles potentially moved in solid wood packaging. J. Pest Sci. 2019, 92, 309–325. [Google Scholar] [CrossRef]
- Miller, D.R.; Crowe, C.M.; Sweeney, J.D. Trap height affects catches of bark and wood-boring beetles (Coleoptera, Curculionidae, Cerambycidae) in baited multiple-funnel traps in southeastern United States. J. Econ. Entomol. 2020, 113, 273–280. [Google Scholar] [PubMed]
- Sweeney, J.; Hughes, C.; Webster, V.; Kostanoicz, C.; Webster, R.; Mayo, P.; Allison, J.D. Impact of horizontal edge–interior and vertical canopy–understory gradients on the abundance and diversity of bark and woodboring beetles in survey traps. Insects 2020, 11, 573. [Google Scholar] [CrossRef]
- Lacey, E.S.; Ginzel, M.D.; Millar, J.G.; Hanks, L.M. Male-produced aggregation pheromone of the cerambycid beetle Neoclytus acuminatus acuminatus. J. Chem. Ecol. 2004, 30, 1493–1507. [Google Scholar] [CrossRef]
- Zhao, M.; Geekiyanage, N.; Xu, J.; Khin, M.M.; Nurdiana, D.R.; Paudel, E.; Harrison, R.D. Structure of the epiphyte community in a tropical montane forest in SW China. PLoS ONE 2015, 10, e0122210. [Google Scholar] [CrossRef]
- Graham, E.; Poland, T. Efficacy of fluon conditioning for capturing cerambycid beetles in different trap designs and persistence on panel traps over time. J. Econ. Entomol. 2012, 105, 395–401. [Google Scholar] [CrossRef]
- Gressitt, J.L. Longicorn beetles of China. Longicornia 1951, 2, 1–667. [Google Scholar]
- Gressitt, J.L.; Rondon, J.A.; von Bruening, S. Cerambycid beetles of Laos. Pac. Insects Monogr. 1920, 24, 1–651. [Google Scholar]
- Hua, L.Z.; Hajime, N.; Samuelson, G.A.; Lingafelter, S.W. Iconography of Chinese Longicorn Beetles; Sun Yat-sen University Press: Guangzhou, China, 2009. [Google Scholar]
- Nga, C.T.; Long, K.D. A preliminary list of the subfamily Cerambycinae (Coleoptera: Cerambycidae) of Vietnam. Tap Chi Sinh Hoc. 2014, 36, 12–38. (In Vietnamese) [Google Scholar] [CrossRef]
- Nga, C.T.Q.; Long, K.D.; Thinh, T.H. Additions to the genus Demonax Thomson, 1860 (Coleoptera: Cerambycidae: Cerambycinae) from Vietnam. Tap Chi Sinh Hoc. 2016, 38, 19–32. (In Vietnamese) [Google Scholar]
- Ovaskainen, O.; Tikhonov, G.; Norberg, A.; Blanchet, F.G.; Duan, L.; Dunson, D.; Roslin, T.; Abrego, N. How to make more out of community data? A conceptual framework and its implementation as models and software. Ecol. Lett. 2017, 20, 561–576. [Google Scholar] [CrossRef]
- Tikhonov, G.; Opedal, Ø.H.; Abrego, N.; Lehikoinen, A.; de Jonge, M.M.J.; Oksanen, J.; Ovaskainen, O. Joint species distribution modelling with the r-package Hmsc. Methods Ecol. Evol. 2020, 11, 442–447. [Google Scholar] [CrossRef]
- Basset, Y.; Cizek, L.; Cuenoud, P.; Didham, R.K.; Guilhaumon, F.; Missa, O.; Novotny, V.; Odegaard, F.; Roslin, T.; Schmidl, J.; et al. Arthropod diversity in a tropical forest. Science 2012, 338, 1481–1484. [Google Scholar] [CrossRef]
- Zhang, K.; Lin, S.; Ji, Y.; Yang, C.; Wang, X.; Yang, C.; Wang, H.; Jiang, H.; Harrison, R.D.; Yu, D. Plant diversity accurately predicts insect diversity in two tropical landscapes. Mol. Ecol. 2016, 25, 4407–4419. [Google Scholar] [CrossRef]
- Norberg, A.; Tikhonov, G.; Blanchet, F.G.; Abrego, N.; Ovaskainen, O. User Manual for the Software Packages HMSC-MATLAB 2.0 and HMSC-R 2.0. 2019. Available online: https://www2.helsinki.fi/sites/default/files/atoms/files/hmsc_manual_0.pdf (accessed on 7 February 2021).
- R Core Team. R: A Language and Environment for Statistical Computing; R Foundation for Statistical Computing: Vienna, Austria, 2020; Available online: https://www.R-project.org (accessed on 7 February 2021).
- SAS Institute Inc. SAS/STAT 9.3 User’s Guide; SAS Institute Inc.: Cary, NC, USA, 2011. [Google Scholar]
- Hanks, L.M.; Mongold-Diers, J.A.; Mitchell, R.F.; Zou, Y.; Wong, J.C.; Meier, L.R.; Johnson, T.D.; Millar, J.G. The role of minor pheromone components in segregating 14 species of longhorned beetles (Coleoptera: Cerambycidae) of the subfamily Cerambycinae. J. Econ. Entomol. 2019, 112, 2236–2252. [Google Scholar] [CrossRef]
- Mitchell, R.F.; Reagel, P.F.; Wong, J.C.H.; Meier, L.R.; Silva, W.D.; Mongold-Diers, J.; Millar, J.G.; Lawrence, M. Hanks. Cerambycid beetle species with similar pheromones are segregated by phenology and minor pheromone components. J. Chem. Ecol. 2015, 41, 431–440. [Google Scholar] [CrossRef] [PubMed]
- Silva, W.D.; Millar, J.G.; Hanks, L.M.; Costa, C.M.; Leite, M.O.G.; Tonelli, M.; Bento, J.M.S. Interspecific cross-attraction between the South American cerambycid beetle Cotyclytus curvatus and Megacyllene acuita is averted by minor pheromone components. J. Chem. Ecol. 2018, 44, 268–275. [Google Scholar] [CrossRef] [PubMed]
- Rassati, D.; Marchioro, M.; Flaherty, L.; Poloni, R.; Edwards, S.; Faccoli, M.; Sweeney, J. Response of native and exotic longhorn beetles to common pheromone components provides partial support for the pheromone-free space hypothesis. Insect Sci. 2020, 1–18. [Google Scholar] [CrossRef] [PubMed]
- Wickham, J.D.; Lu, W.; Zhang, L.W.; Chen, Z.Y.; Hanks, L.M.; Millar, J.G. Likely aggregation-sex pheromones of the invasive beetle Callidiellum villosulum, and the related Asian species Allotraeus asiaticus, Semanotus bifasciatus, and Xylotrechus buqueti (Coleoptera: Cerambycidae). J. Econ. Entomol. 2016, 109, 2243–2246. [Google Scholar] [CrossRef] [PubMed]
- Zou, Y.; Rutledge, C.E.; Nakamuta, K.; Maier, C.T.; Hanks, L.M.; Richards, A.B.; Lacey, E.L.; Millar, J.G. Identification of a pheromone component and a critical synergist for the invasive beetle Callidiellum rufipenne (Coleoptera: Cerambycidae). Environ. Entomol. 2016, 45, 216–222. [Google Scholar] [CrossRef]
- Molander, M.A.; Larsson, M.C. Identification of the aggregation-sex pheromone of the cerambycid beetle Phymatodes pusillus ssp. pusillus and evidence of a synergistic effect from a heterospecific pheromone component. J. Chem. Ecol. 2018, 44, 987–998. [Google Scholar]
- Molander, M.A.; Winde, I.B.; Burman, J.; Nyabuga, F.N.; Lindblom, T.U.T.; Hanks, L.M.; Millar, J.G.; Larsson, M.C. Common cerambycid pheromone components as attractants for longhorn beetles (Cerambycidae) breeding in ephemeral oak substrates in Northern Europe. J. Chem. Ecol. 2019, 45, 537–548. [Google Scholar] [CrossRef] [PubMed]
- Hanks, L.M.; Reagel, P.F.; Mitchell, R.F.; Wong, J.C.H.; Meier, L.R.; Silliman, C.A.; Graham, E.E.; Striman, B.L.; Robinson, K.P.; Mongold-Diers, J.A.; et al. Seasonal phenology of the cerambycid beetles of east-central Illinois. Ann. Entomol. Soc. Am. 2014, 107, 211–226. [Google Scholar] [CrossRef]
- Cavaletto, G.; Faccoli, M.; Marini, L.; Spaethe, J.; Giannone, F.; Moino, S.; Rassati, D. Exploiting trap color to improve surveys of longhorn beetles. J. Pest. Sci. 2020, 1–3. [Google Scholar] [CrossRef]
- Allemand, R.; Aberlenc, H.P. Une méthode efficace d’échantillonnage de l’entomofaune des frondaisons: Le piège attractif aérien. Bull. Société Entomol. Suisse 1991, 64, 293–305. (In Swiss) [Google Scholar]
- Ruchin, A.B.; Egorov, L.V.; Khapugin, A.A.; Vikhrev, N.E.; Esin, M.N. The use of simple crown traps for the insects collection. Nat. Conserv. Res. 2020, 5, 87–108. [Google Scholar] [CrossRef]
- Touroult, J.; Witté, I. Beer, wine, or fruit juice: Which is best? A case study of bait efficiency to sample saproxylic beetles (Coleoptera) in an oak woodland. Coleop. Bull. 2020, 74, 763–771. [Google Scholar] [CrossRef]
- Iwabuchi, K.; Takahashi, J.; Sakai, T. Occurrence of 2, 3-octanediol and 2-hydroxy-3-octanone, possible male sex pheromone in Xylotrechus chinensis Chevrolat (Coleoptera: Cerambycidae). Appl. Entomol. Zool. 1987, 22, 110–111. [Google Scholar] [CrossRef]
- Kuwahara, Y.; Matsuyamna, S.; Suzuki, T. Identification of 2, 3-octanediol, 2-hydroxy-3-octanone and 3-hydroxy-2-octanone from male Xylotrechus chinensis Chevrolat as possible sex pheromones (Coleoptera: Cerambycidae). Appl. Entomol. Zool. 1987, 22, 25–28. [Google Scholar] [CrossRef]
- Cocquempot, C.; Lindelöw, Å. Longhorn beetles (Coleoptera, Cerambycidae). In A. Roques et al. Ed.; Alien terrestrial arthropods of Europe. Biorisk 2010, 4, 193–218. [Google Scholar] [CrossRef]
- Sarto i Monteys, V.; Torras i Tutusaus, G. A new alien invasive longhorn beetle, Xylotrechus chinensis (Cerambycidae), is infesting mulberries in Catalonia (Spain). Insects 2018, 9, 52. [Google Scholar] [CrossRef]
- Collignon, R.M.; Siderhurst, M.S.; Millar, J.G.; Cha, D. Response of invasive longhorn beetles (Coleoptera: Lamiinae) to known cerambycid aggregation-sex pheromones in the Puna District of Hawaii Island. Proc. Hawaii. Entomol. Soc. 2019, 51, 15–23. [Google Scholar]
- Meier, L.R.; Zou, Y.; Millar, J.G.; Mongold-Diers, J.A.; Hanks, L.M. Synergism between enantiomers creates species-specific pheromone blends and minimizes cross-attraction for two species of cerambycid beetles. J. Chem. Ecol. 2016, 42, 1181–1192. [Google Scholar] [CrossRef] [PubMed]
- Meier, L.; Zou, Y.; Mongold-Dyers, J.; Millar, J.G.; Hanks, L.M. Pheromone composition and chemical ecology of six species of cerambycid beetles in the subfamily Lamiinae. J. Chem. Ecol. 2020, 46, 30–39. [Google Scholar] [CrossRef]
- Foit, J.; Čermák, V.; Gaar, V.; Hradil, K.; Nový, V.; Rolincová, P. New insights into the life history of Monochamus galloprovincialis can enhance surveillance strategies for the pinewood nematode. J. Pest Sci. 2019, 92, 1203–1215. [Google Scholar] [CrossRef]
Publisher’s Note: MDPI stays neutral with regard to jurisdictional claims in published maps and institutional affiliations. |
© 2021 by the authors. Licensee MDPI, Basel, Switzerland. This article is an open access article distributed under the terms and conditions of the Creative Commons Attribution (CC BY) license (http://creativecommons.org/licenses/by/4.0/).


