Conservation Genomic Analysis of the Asian Honeybee in China Reveals Climate Factors Underlying Its Population Decline
Abstract
Simple Summary
Abstract
1. Introduction
2. Materials and Methods
2.1. Whole Genome Shotgun Reads
2.2. Read Mapping, Variant Calling and Filtering
2.3. Estimation of the Recent Effective Population Size
2.4. Selective Sweep Analysis
2.5. Extraction of Bioclimatic Variables
3. Results and Discussion
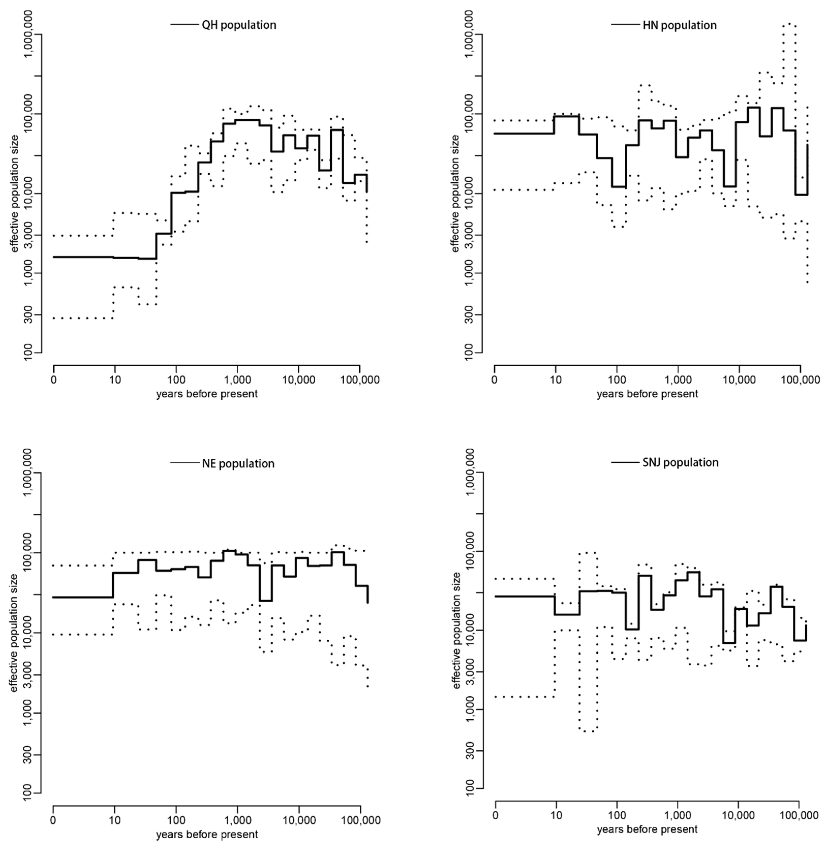
3.1. Population Decline Was Observed in One of the Six Asian Honeybee Population Groups
3.2. Genes under Selection in a Population with Declining Ne
3.3. Low Temperatures and High Ultraviolet Radiation May Synergistically Affect Asian Honeybees
4. Conclusions
Supplementary Materials
Author Contributions
Funding
Institutional Review Board Statement
Data Availability Statement
Acknowledgments
Conflicts of Interest
References
- Abrol, D.P. Asiatic Honeybee Apis Cerana: Biodiversity Conservation and Agricultural Production; Springer: Dordrecht, The Netherlands, 2013. [Google Scholar]
- Yang, G.H. Harm of introducing the western honeybee Apis mellifera L. to the Chinese honeybee Apis cerana F. and its ecological impact. Acta Entomol. Sin. 2005, 48, 401–406. [Google Scholar]
- Koetz, A.H. Ecology, behaviour and control of Apis cerana with a focus on relevance to the Australian incursion. Insects 2013, 4, 558–592. [Google Scholar] [CrossRef] [PubMed]
- Ollerton, J.; Winfree, R.; Tarrant, S. How many flowering plants are pollinated by animals? Oikos 2011, 120, 321–326. [Google Scholar] [CrossRef]
- Potts, S.G.; Imperatriz-Fonseca, V.; Ngo, H.T.; Aizen, M.A.; Biesmeijer, J.C.; Breeze, T.D.; Dicks, L.V.; Garibaldi, L.A.; Hill, R.; Settele, J.; et al. Safeguarding pollinators and their values to human well-being. Nature 2016, 540, 220–229. [Google Scholar] [CrossRef] [PubMed]
- Theisen-Jones, H.; Bienefeld, K. The Asian honey bee (Apis cerana) is significantly in decline. Bee World 2016, 93, 90–97. [Google Scholar] [CrossRef]
- Shafer, A.B.A.; Wolf, J.B.W.; Alves, P.C.; Bergstrom, L.; Bruford, M.W.; Brannstrom, I.; Colling, G.; Dalen, L.; De Meester, L.; Ekblom, R.; et al. Genomics and the challenging translation into conservation practice. Trends Ecol. Evol. 2015, 30, 78–87. [Google Scholar] [CrossRef] [PubMed]
- Lozier, J.D.; Zayed, A. Bee conservation in the age of genomics. Conserv. Genet. 2017, 18, 713–729. [Google Scholar] [CrossRef]
- Whitlock, M.C. Fixation of new alleles and the extinction of small populations: Drift load, beneficial alleles, and sexual selection. Evolution 2000, 54, 1855–1861. [Google Scholar] [CrossRef] [PubMed]
- Savolainen, O.; Lascoux, M.; Merila, J. Ecological genomics of local adaptation. Nat. Rev. Genet. 2013, 14, 807–820. [Google Scholar] [CrossRef]
- Bay, R.A.; Harrigan, R.J.; Le Underwood, V.; Gibbs, H.L.; Smith, T.B.; Ruegg, K. Genomic signals of selection predict climate-driven population declines in a migratory bird. Science 2018, 359, 83–86. [Google Scholar] [CrossRef]
- Stanley, R.R.E.; DiBacco, C.; Lowen, B.; Beiko, R.G.; Jeffery, N.W.; Van Wyngaarden, M.; Bentzen, P.; Brickman, D.; Benestan, L.; Bernatchez, L.; et al. A climate-associated multispecies cryptic cline in the northwest Atlantic. Sci. Adv. 2018, 4, eaaq0929. [Google Scholar] [CrossRef] [PubMed]
- Crow, J.; Kimura, M. An Introduction to Population Genetics Theory; Harper and Row: New York, NY, USA, 1970. [Google Scholar]
- Leitwein, M.; Duranton, M.; Rougemont, Q.; Gagnaire, P.A.; Bernatchez, L. Using Haplotype Information for Conservation Genomics. Trends Ecol. Evol. 2020, 35, 245–258. [Google Scholar] [CrossRef] [PubMed]
- Kent, C.F.; Dey, A.; Patel, H.; Tsvetkov, N.; Tiwari, T.; MacPhail, V.J.; Gobeil, Y.; Harpur, B.A.; Gurtowski, J.; Schatz, M.C.; et al. Conservation Genomics of the Declining North American Bumblebee Bombus terricola Reveals Inbreeding and Selection on Immune Genes. Front. Genet. 2018, 9, 316. [Google Scholar] [CrossRef] [PubMed]
- Ji, Y.K.; Li, X.G.; Ji, T.; Tang, J.B.; Qiu, L.F.; Hu, J.H.; Dong, J.X.; Luo, S.Q.; Liu, S.L.; Frandsen, P.; et al. Gene reuse facilitates rapid radiation and independent adaptation to diverse habitats in the Asian honeybee. Sci. Adv. 2020, 6, eabd3590. [Google Scholar] [CrossRef] [PubMed]
- Chen, C.; Wang, H.H.; Liu, Z.G.; Chen, X.; Tang, J.; Meng, F.M.; Shi, W. Population Genomics Provide Insights into the Evolution and Adaptation of the Eastern Honey Bee (Apis cerana). Mol. Biol. Evol. 2018, 35, 2260–2271. [Google Scholar] [CrossRef] [PubMed]
- Chen, S.F.; Zhou, Y.Q.; Chen, Y.R.; Gu, J. fastp: An ultra-fast all-in-one FASTQ preprocessor. Bioinformatics 2018, 34, 884–890. [Google Scholar] [CrossRef] [PubMed]
- Li, H.; Durbin, R. Fast and accurate short read alignment with Burrows-Wheeler transform. Bioinformatics 2009, 25, 1754–1760. [Google Scholar] [CrossRef] [PubMed]
- McKenna, A.; Hanna, M.; Banks, E.; Sivachenko, A.; Cibulskis, K.; Kernytsky, A.; Garimella, K.; Altshuler, D.; Gabriel, S.; Daly, M.; et al. The Genome Analysis Toolkit: A MapReduce framework for analyzing next-generation DNA sequencing data. Genome Res. 2010, 20, 1297–1303. [Google Scholar] [CrossRef] [PubMed]
- Danecek, P.; Auton, A.; Abecasis, G.; Albers, C.A.; Banks, E.; DePristo, M.A.; Handsaker, R.E.; Lunter, G.; Marth, G.T.; Sherry, S.T.; et al. The variant call format and VCFtools. Bioinformatics 2011, 27, 2156–2158. [Google Scholar] [CrossRef] [PubMed]
- Santiago, E.; Novo, I.; Pardiñas, A.F.; Saura, M.; Wang, J.; Caballero, A. Recent demographic history inferred by high-resolution analysis of linkage disequilibrium. Mol. Biol. Evol. 2020, 37, 3642–3653. [Google Scholar] [CrossRef]
- Novo, I.; Santiago, E.; Caballero, A. The estimates of effective population size based on linkage disequilibrium are virtually unaffected by natural selection. PLoS Genet 2022, 18, e1009764. [Google Scholar] [CrossRef] [PubMed]
- Purcell, S.; Neale, B.; Todd-Brown, K.; Thomas, L.; Ferreira, M.A.R.; Bender, D.; Maller, J.; Sklar, P.; de Bakker, P.I.W.; Daly, M.J.; et al. PLINK: A tool set for whole-genome association and population-based linkage analyses. Am. J. Hum. Genet. 2007, 81, 559–575. [Google Scholar] [CrossRef] [PubMed]
- Shi, Y.Y.; Sun, L.X.; Huang, Z.Y.; Wu, X.B.; Zhu, Y.Q.; Zheng, H.J.; Zeng, Z.J. A SNP Based High-Density Linkage Map of Apis cerana Reveals a High Recombination Rate Similar to Apis mellifera. PLoS ONE 2013, 8, e76459. [Google Scholar] [CrossRef] [PubMed]
- Boitard, S.; Rodriguez, W.; Jay, F.; Mona, S.; Austerlitz, F. Inferring Population Size History from Large Samples of Genome-Wide Molecular Data—An Approximate Bayesian Computation Approach. PLoS Genet. 2016, 12, e1005877. [Google Scholar] [CrossRef]
- Wallberg, A.; Han, F.; Wellhagen, G.; Dahle, B.; Kawata, M.; Haddad, N.; Simões, Z.L.P.; Allsopp, M.H.; Kandemir, I.; De la Rúa, P.; et al. A worldwide survey of genome sequence variation provides insight into the evolutionary history of the honeybee Apis mellifera. Nat. Genet. 2014, 46, 1081–1088. [Google Scholar] [CrossRef] [PubMed]
- Quinlan, A.R.; Hall, I.M. BEDTools: A flexible suite of utilities for comparing genomic features. Bioinformatics 2010, 26, 841–842. [Google Scholar] [CrossRef]
- Bu, D.C.; Luo, H.T.; Huo, P.P.; Wang, Z.H.; Zhang, S.; He, Z.H.; Wu, Y.; Zhao, L.H.; Liu, J.J.; Guo, J.C.; et al. KOBAS-i: Intelligent prioritization and exploratory visualization of biological functions for gene enrichment analysis. Nucleic Acids Res. 2021, 49, W317–W325. [Google Scholar] [CrossRef] [PubMed]
- Feng, S.H.; Fang, Q.; Barnett, R.; Li, C.; Han, S.J.; Kuhlwilm, M.; Zhou, L.; Pan, H.L.; Deng, Y.; Chen, G.J.; et al. The Genomic Footprints of the Fall and Recovery of the Crested Ibis. Curr. Biol. 2019, 29, 340–349.e7. [Google Scholar] [CrossRef] [PubMed]
- Sprecher, H. The roles of anabolic and catabolic reactions in the synthesis and recycling of polyunsaturated fatty acids. Prostaglandins Leukot. Essent. Fat. Acids 2002, 67, 79–83. [Google Scholar] [CrossRef] [PubMed]
- Burdge, G.C.; Calder, P.C. Conversion of alpha-linolenic acid to longer-chain polyunsaturated fatty acids in human adults. Reprod. Nutr. Dev. 2005, 45, 581–597. [Google Scholar] [CrossRef] [PubMed]
- Malcicka, M.; Visser, B.; Ellers, J. An Evolutionary Perspective on Linoleic Acid Synthesis in Animals. Evol. Biol. 2018, 45, 15–26. [Google Scholar] [CrossRef]
- Stover, P.J. One-Carbon Metabolism-Genome Interactions in Folate-Associated Pathologies. J. Nutr. 2009, 139, 2402–2405. [Google Scholar] [CrossRef]
- Ducker, G.S.; Rabinowitz, J.D. One-carbon metabolism in health and disease. Cell Metab. 2017, 25, 27–42. [Google Scholar] [CrossRef]
- Jablonski, N.G.; Chaplin, G. Human skin pigmentation as an adaptation to UV radiation. Proc. Natl. Acad. Sci. USA 2010, 107, 8962–8968. [Google Scholar] [CrossRef]
- Li, G.M. Mechanisms and functions of DNA mismatch repair. Cell Res. 2008, 18, 85–98. [Google Scholar] [CrossRef] [PubMed]
- Berridge, M.J.; Irvine, R.F. Inositol phosphates and cell signalling. Nature 1989, 341, 197–205. [Google Scholar] [CrossRef] [PubMed]
- Watanabe, M. Cold tolerance and myo-inositol accumulation in overwintering adults of a lady beetle, Harmonia axyridis (Coleoptera: Coccinellidae). Eur. J. Entomol. 2002, 99, 5–9. [Google Scholar] [CrossRef]
- Vesala, L.; Salminen, T.S.; Kostal, V.; Zahradnickova, H.; Hoikkala, A. Myo-inositol as a main metabolite in overwintering flies: Seasonal metabolomic profiles and cold stress tolerance in a northern drosophilid fly. J. Exp. Biol. 2012, 215, 2891–2897. [Google Scholar] [CrossRef][Green Version]
- Toxopeus, J.; Kostal, V.; Sinclair, B.J. Evidence for non-colligative function of small cryoprotectants in a freeze-tolerant insect. Proc. R. Soc. B Biol. Sci. 2019, 286, 20190050. [Google Scholar] [CrossRef]
- Weidenmuller, A.; Meltzer, A.; Neupert, S.; Schwarz, A.; Kleineidam, C. Glyphosate impairs collective thermoregulation in bumblebees. Science 2022, 376, 1122–1126. [Google Scholar] [CrossRef]
- Heinrich, B. The Mechanisms and Energetics of Honeybee Swarm Temperature Regulation. J. Exp. Biol. 1981, 91, 25–55. [Google Scholar] [CrossRef]
- Döke, M.A.; Frazier, M.; Grozinger, C.M. Overwintering honey bees: Biology and management. Curr. Opin. Insect Sci. 2015, 10, 185–193. [Google Scholar] [CrossRef] [PubMed]
- Seeley, T.D.; Visscher, P.K. Survival of honeybees in cold climates: The critical timing of colony growth and reproduction. Ecol. Entomol. 1985, 10, 81–88. [Google Scholar] [CrossRef]
- Villena, O.C.; Momen, B.; Sullivan, J.; Leisnham, P.T. Effects of ultraviolet radiation on metabolic rate and fitness of Aedes albopictus and Culex pipiens mosquitoes. PeerJ 2018, 6, e6133. [Google Scholar] [CrossRef]







| Population Group | Number of Individuals | Mean Elevation (m) | Mean Temperature for Summer (°C) | Mean Solar Radiation Year-Round (kJ m−2 day−1) |
|---|---|---|---|---|
| BM | 29 | 2360.42 | 17.02 | 15,253.02 |
| AB | 28 | 2652.83 | 14.55 | 12,970.50 |
| QH | 20 | 2154.5 | 17.18 | 15,178.33 |
| NE | 29 | 369.32 | 21.21 | 14,839.49 |
| HN | 34 | 133.58 | 28.33 | 17,014.26 |
| SNJ | 15 | 1637.6 | 18.83 | 13,238.05 |
| Term | Database | ID | p-Value |
|---|---|---|---|
| alpha-linolenic acid metabolism | KEGG PATHWAY | ame00592 | 0.039084 |
| One carbon pool by folate | KEGG PATHWAY | ame00670 | 0.046028 |
| Arachidonic acid metabolism | KEGG PATHWAY | ame00590 | 0.063174 |
| Ether lipid metabolism | KEGG PATHWAY | ame00565 | 0.066567 |
| Mismatch repair | KEGG PATHWAY | ame03430 | 0.069948 |
| Protein export | KEGG PATHWAY | ame03060 | 0.073317 |
| Basal transcription factors | KEGG PATHWAY | ame03022 | 0.116042 |
| DNA replication | KEGG PATHWAY | ame03030 | 0.122442 |
| Nucleotide excision repair | KEGG PATHWAY | ame03420 | 0.128797 |
| Toll and Imd signaling pathway | KEGG PATHWAY | ame04624 | 0.131957 |
| Inositol phosphate metabolism | KEGG PATHWAY | ame00562 | 0.159902 |
| Apoptosis-fly | KEGG PATHWAY | ame04214 | 0.162952 |
| Glycerophospholipid metabolism | KEGG PATHWAY | ame00564 | 0.18992 |
| RNA degradation | KEGG PATHWAY | ame03018 | 0.192864 |
| Peroxisome | KEGG PATHWAY | ame04146 | 0.195797 |
| Purine metabolism | KEGG PATHWAY | ame00230 | 0.238563 |
| Endocytosis | KEGG PATHWAY | ame04144 | 0.332338 |
| Metabolic pathways | KEGG PATHWAY | ame01100 | 0.340409 |
| Term | Database | ID | p-Value |
|---|---|---|---|
| Mismatch repair | KEGG PATHWAY | ame03430 | 0.0131 |
| DNA replication | KEGG PATHWAY | ame03030 | 0.0235 |
| Nucleotide excision repair | KEGG PATHWAY | ame03420 | 0.0248 |
| Inositol phosphate metabolism | KEGG PATHWAY | ame00562 | 0.0312 |
| Endocytosis | KEGG PATHWAY | ame04144 | 0.0709 |
| Metabolic pathways | KEGG PATHWAY | ame01100 | 0.426 |
Publisher’s Note: MDPI stays neutral with regard to jurisdictional claims in published maps and institutional affiliations. |
© 2022 by the authors. Licensee MDPI, Basel, Switzerland. This article is an open access article distributed under the terms and conditions of the Creative Commons Attribution (CC BY) license (https://creativecommons.org/licenses/by/4.0/).
Share and Cite
Sang, H.; Li, Y.; Sun, C. Conservation Genomic Analysis of the Asian Honeybee in China Reveals Climate Factors Underlying Its Population Decline. Insects 2022, 13, 953. https://doi.org/10.3390/insects13100953
Sang H, Li Y, Sun C. Conservation Genomic Analysis of the Asian Honeybee in China Reveals Climate Factors Underlying Its Population Decline. Insects. 2022; 13(10):953. https://doi.org/10.3390/insects13100953
Chicago/Turabian StyleSang, Huiling, Yancan Li, and Cheng Sun. 2022. "Conservation Genomic Analysis of the Asian Honeybee in China Reveals Climate Factors Underlying Its Population Decline" Insects 13, no. 10: 953. https://doi.org/10.3390/insects13100953
APA StyleSang, H., Li, Y., & Sun, C. (2022). Conservation Genomic Analysis of the Asian Honeybee in China Reveals Climate Factors Underlying Its Population Decline. Insects, 13(10), 953. https://doi.org/10.3390/insects13100953

