Simple Summary
Many insect species of the superfamily Coccoidea rely on sex pheromones to find their mates and increase their populations. Their pheromone blends are generally composed of irregular monoterpenes, with one or two components. Once known, these substances could be employed to develop control methods to manage these pests and reduce their effects. Recent research has reported the main compound of the sex pheromone of the invasive mealybug Delottococcus aberiae, a seriously damaging pest of citrus in eastern Spain that threatens the Mediterranean area. In the present work, we reinvestigated the composition of the D. aberiae virgin female effluvia by volatile collection, finding an additional minor compound, trans-α-necrodyl acetate. Interestingly, this is not a novel compound; it has been reported as a component of the essential oil of the plant Lavandula stoechas subsp. luisieri. This compound showed male attractant activity by itself; therefore, it may participate in the communication of this species and could be a valuable tool for its control.
Abstract
Reported in Europe in the early 2000s, Delottococcus aberiae (De Lotto) (Hemiptera: Pseudococcidae) is an invasive mealybug pest that is causing severe damage to citrus production in eastern Spain. Once its main sex pheromone component was identified in a previous work as (4,5,5-trimethyl-3-methylenecyclopent-1-en-1-yl)methyl acetate 1, the revision of virgin female effluvia is here reported to improve knowledge about the biology of D. aberiae. A new minor component has been identified in the volatile samples collected from virgin females as ((1R, 4R)-3,4,5,5-tetramethylcyclopent-2-en-1-yl)methyl acetate (trans-α-necrodyl acetate, (1R, 4R)-2), a compound also found in the essential oil of Lavandula stoechas subsp. luisieri. Bioassay testing of the activity of this compound showed that a synthetic sample of the racemate (±)-(trans)-2 was attractive to D. aberiae males both in the laboratory and field but with a lower attractant power than enantiopure (1R, 4R)-2 and (±)-(1). The 1:1 mixture of (1R, 4R)-2 and (±)-1 provided a slight additive effect. Further trials are needed to know the pest control potential of this minor compound but the possibility of obtaining this substance from a natural source could pose an important advantage to implement new methods for the sustainable control of D. aberiae.
1. Introduction
Native to sub-Saharan Africa, Delottococcus aberiae (De Lotto) (Hemiptera: Pseudococcidae) is a pest that has recently been introduced in citrus crops of the Mediterranean area. It was first detected in 2009 in the municipality of Benifairó de les Valls (Valencia), causing considerable deformations in sweet orange and clementine fruits that entail their complete commercial depreciation [1]. Although it was described to feed on tropical as well as subtropical and temperate crops, such as coffee, guava, or olive [2], it had never been reported before as damaging for citrus fruits. Like the rest of pseudococcids, it feeds on plant sap and produces honeydew, which causes the proliferation of saprophytic fungi, as well as a decrease in the photosynthetic rate and a loss of plant vigor. Moreover, its presence can cause serious quarantine problems for citrus exports as it is a new pest for citrus fruits in Europe, until now restricted to Africa.
Currently, the active substances that are recommended and still authorized for their use against pseudococcids are mineral oil, maltodextrin, spirotetramat, acetamiprid, and sulfoxaflor [3] since the substances chlorpyrifos and methyl-chlorpyrifos, the most effective against D. aberiae, were withdrawn by the European Commission on 16 February 2020 (modification of Directive 91/414/EEC). Since then, the available tools have been scarce and of questionable effectiveness, and even spirotetramat and sulfoxaflor are next to be retired; thus, alternative methods were needed to manage this pest [4].
So far, α-, β-, and γ-necrodols (Figure 1), or their ester derivatives, have been reported as sex pheromones of a few insect species. The isolation and identification of the main sex pheromone component of D. aberiae were recently described by our group as ((4R)-4,5,5-trimethyl-3-methylenecyclopent-1-en-1-yl)methyl acetate ((R)-1) [5], which has proven effective in attracting the conspecific males. This substance was a new monoterpenoid with a β-necrodol skeleton to be added to the list of mealybug sex pheromones with irregular monoterpene structures [6]. Some mealybugs and other coccoid species possess multicomponent sex pheromone blends, although in many cases, a single compound provides strong biological activity. The already reported pheromone compound (R)-1 demonstrated strong attractant activity for D. aberiae male attraction [7]. However, routine work with larger volumes of volatiles emitted by virgin females of the species allowed us to detect another component that was not present in the volatiles collected from mated females and was therefore suspected of having biological activity. In this research, the identification, characterization, and study of the biological activity of this compound, both alone and in combination with the already reported major pheromone component (R)-1, were the objectives.
Figure 1.
Main sex pheromone component of D. aberiae ((R)-1) and necrodol frameworks.
2. Materials and Methods
2.1. D. aberiae Stock Colony
Mealybugs were reared on pumpkins (Cucurbita maxima Duchesne) to establish the main stock colony in our facilities at the Universitat Politècnica de València (UPV, Valencia, Spain). Insects were maintained in a rearing chamber, under darkness conditions, at 23 ± 2 °C, with 40–60% relative humidity. Ovisacs from the main colony were gently transferred to organic green lemons to obtain individuals for volatile collection. The lemons were previously covered with paraffin wax around the mid-section to delay their desiccation and prolong their useful life. Newly hatched individuals were established on the surface of lemons and followed their biological cycle. Groups of lemons were visually inspected every 2–3 days for the presence of male cocoons, which were manually removed with an entomological needle to leave lemons infested only with virgin females for volatile collection and profiling purposes. Other groups of lemons were left undisturbed to sample mated females. Lemons with virgin females were maintained in separate rooms under the same climate conditions. Virgin adult females were recognized from nymphs by their bigger size, more abundant cereous secretions, and the definition of their lateral wax filaments.
2.2. Insect Volatile Collection
Groups of five to six lemons infested with approx. 500 D. aberiae females (2–25 day-old virgin or mated separately) were placed in 5 L glass containers (25 cm high × 17.5 cm diameter flask) with a 10 cm open mouth. The cover had a 29/32 neck on top to fit the head of a gas washing bottle to connect downstream to a glass cartridge to trap volatiles in 3 g Porapak-Q (Supelco Inc., Torrance, CA, USA) adsorbent resin. Samples were collected continuously for 7–8 days by using an ultra-purified air stream, provided by an air compressor (Jun-air Intl. A/S, Norresundby, Denmark) coupled with an AZ 2020 air purifier system (Claind Srl, Lenno, Italy) to provide ultrapure air (amount of total hydrocarbons < 0.1 ppm). ELL-FLOW digital flowmeters (Bronkhorst High-Tech BV, Ruurlo, the Netherlands) were fitted in front of each glass container to provide an air push flow of 300 mL/min during sampling. Trapped volatiles were eluted with 20 mL pentane (Chromasolv®, Sigma-Aldrich, Madrid, Spain), and the resulting extracts were concentrated up to 500 µL under a gentle nitrogen stream before chromatographic analysis.
All the resulting pentane extracts were analyzed using GC–MS in a Clarus 690 GC apparatus coupled with a TSQ mass spectrometry detector (PerkinElmer Inc., Waltham, MA, USA). The GC was equipped with a ZB-5MS fused silica capillary column (30 m × 0.25 mm i.d. × 0.25 μm; Phenomenex Inc., Torrance, CA, USA). The oven was held at 40 °C for 2 min and then programmed at 5 °C/min to 180 °C before being raised to 280 °C at 10 °C/min and maintained at 280 °C for 1 min. Helium was used as carrier gas with a flow of 1 mL/min. Detection was performed in the electron impact (EI) mode (70 eV) with the ionization source set at 200 °C. Spectrum acquisition was carried out in full scan mode (m/z 35–500) and chromatograms and spectra were recorded using GC–MS Turbomass software v. 5.4 (PerkinElmer Inc., Waltham, MA, USA).
2.3. Identification of the Candidate Compound from Extracts of the Volatile Collections
After comparing the GC–MS volatile profiles of the virgin and mated samples (lemons infested with virgin and mated females, respectively), chromatograms showed a secondary virgin-specific compound whose MS spectra showed a peak at m/z 196, which was assumed to be the molecular ion. A micro saponification of a sample of virgin female volatile collection was performed as follows: the pentane extract of a volatile collection sample of ca. 2000 FDE (~50 ng of the candidate compound) was hydrolyzed following related procedures [8]. The extract was dried under a gentle nitrogen stream in a 2 mL GC glass vial. The residue was treated with a 0.5 M solution of K2CO3 in methanol (150 μL) and stirred for 45 min at room temperature. After this time, water (0.5 mL) was added, and the solution was extracted with dichloromethane (0.3 mL twice). The combined organic phases were concentrated with a stream of nitrogen to a volume of ca. 50 μL before being submitted to GC–MS analysis (under the abovementioned conditions).
2.4. Synthesis of Racemic Trans- and Cis-α-Necrodyl Acetates: (±)-(trans)-2 and (±)-(cis)-2
See Supporting Information for detailed experimental procedures (General Procedures, Figures S1 and S2 and Protocols S1 and S2).
2.5. Isolation of (1R, 4R)-α-Necrodyl Acetate [(1R, 4R)-2] from Lavandula stoechas subp. Luisieri Essential Oil
Enantiomeric pure (1R, 4R)-2 was isolated from extracts of Lavandula stoechas subsp. luisieri specimens grown in greenhouses at the facilities of the Universitat Politècnica de València, starting from seeds of the species purchased from Cantueso Natural Seeds SL (Villarubia, Córdoba, Spain). A hundred grams of fresh plant material (stems, leaves, and flowers) were cut and extracted with 500 mL toluene by using a Soxhlet apparatus for 12 h. The solvent was selected according to its polarity and extraction efficiency, among other organic solvents. The toluene extract was concentrated in a rotary evaporator and the obtained residue (4.3 g) was subjected to chromatography with a gravity column (60 × 3.5 cm) filled with 80 g silica gel and using hexane:Et2O (99:1) as an eluent. The obtained fractions were analyzed using gas chromatography using the same GC–MS and conditions described before. Fractions where the presence of compound (1R, 4R)-2 was identified in a concentration greater than 90%, as measured by the integration of the peak areas, were gathered and concentrated to afford 250 mg of the crude material. See Supporting Information for details on the purification of (1R, 4R)-2 (Protocol S3).
2.6. Laboratory and Field Activity Bioassays
The response of D. aberiae males to a synthetic sample of (±)-(trans)-2 was evaluated using an activity assay in a glass Petri dish. The tests were carried out with light under the same climate conditions as those of the rearing chamber at 23 ± 2 °C and 40–60% relative humidity. For these tests, males from the stock colony were collected and separated in Petri dishes just at the beginning of the formation of the cottony cocoon. After pupating and finally emerging from the cocoon, every male was observed under a stereomicroscope to check their fitness (intact legs and antennae and ability to walk normally) before being employed for the assays. During each test, a sample of (±)-(trans)-2 and a negative control (pentane) were placed at opposite ends of a 30 cm diameter glass Petri dish, following described protocols [9,10,11]. One cm2 filter paper pieces were treated with 5 μL of the samples (ca. 100 ng of (±)-(trans)-2 and pentane). Immediately, groups of five males were carefully deposited with the help of a very fine brush at the center of the dish. Then, the behavior of individuals towards stimulus sources was observed and registered for 10 min. A positive response was considered when males reached the filter paper treated with (±)-(trans)-2, whereas a negative response was those reaching the pentane source. All the males tested made a choice and, once they reached one of the filter papers, they remained there for the rest of the testing period and did not visit the other stimulus. After each test, the insects were discarded, in such a way that each male was exposed to olfactory stimuli only once. The position of the stimuli was rotated in each test. The data obtained were analyzed using the Chi-square test (χ2 test, p < 0.05).
The field activity of the different substances was evaluated under field conditions in a citrus orchard (var. Clemenules), located in the municipality of Villarreal (Castellón, Spain). The conditions of the trials carried out are summarized in Table 1. The substances to be tested were emitted from rubber septa (Ecología y Protección Agrícola SL, Carlet, Spain) dispensers, which were loaded with 100 µg of each substance by impregnation with the corresponding hexane solutions. The traps employed were 95 × 150 mm white sticky boards (Ecología y Protección Agrícola SL, Valencia, Spain). All trials used a completely randomized block design and included blank traps (only with the solvent employed for rubber septa impregnation). Within each block, traps were hung at a height of 1.5 m and were spaced 10 m apart, with each block at least 30 m apart. The traps were revised fortnightly and the number of captured males was counted under a stereomicroscope (Stemi 508; Zeiss, Oberkochen, Germany) at 50× magnification. Delottococcus aberiae males were recognized from other mealybug species potentially present in the orchard, e.g., Planococcus citri Risso, based on the wings and anal cerci, which are not visible in D. aberiae individuals and are obscured in those of P. citri.
Table 1.
Description of the field trials carried out to test the attractant activity of α-necrodyl acetates: (±)-(trans)-2, (±)-(cis)-2, and (1R, 4R)-2.
2.7. Statistical Analysis
The number of captured males with each substance was compared by using generalized linear mixed models (GLMM) using R version 4.0.3 (the R Foundation for Statistical Computing 2020). For this purpose, the glmer function from the lme4 package was employed by assuming the Poisson error distribution. Models were constructed with the fortnightly captures as the dependent variable; substance, time (week of the study period), and their interaction (substance × time) as fixed factors; and block (experimental replicate) as random factor. The significance of the different effects was assessed by removing the corresponding factor from each model and comparing models with likelihood ratio tests. The glht function in the multcomp package was then used to perform Tukey HSD tests for post hoc pairwise comparisons (p < 0.05).
3. Results
3.1. Analysis and Elucidation of the Structure of the Minor Sex Pheromone Component of D. aberiae
The chromatographic volatile profile of lemon samples infested with either mated (Figure 2A) or virgin (Figure 2B) D. aberiae females revealed the presence of (R)-1 at 20.53 min, the major sex pheromone compound first reported in Vacas et al. [11] and a minor virgin-specific peak at 19.72 min. In its mass spectrum, the base peak at m/z 121 and main fragments at m/z 134, 107, 91, and 43, together with a loss of 60 amu to give m/z 134, suggested a very close structure to 1, an acetate ester of a necrodane-type monoterpenoid, but with one less unsaturation and with a molecular formula of C12H20O2. Hydrolytic basic treatment of a sample of volatile collection and subsequent analysis of the crude obtained revealed the presence of a new compound with a molecular ion of m/z 152, and main fragments at m/z 154, 139, 123, 121, and 91 (Figure S3), confirming the existence of an acetate moiety in the former.
Figure 2.
GC–MS chromatograms showing volatile collections of D. aberiae (A) mated and (B) virgin females. The already reported sex pheromone compound of D. aberiae (R)-1 (20.53 min) and the new minor compound (19.72 min) are detected in (B), the latter matching the retention time of the synthetic (±)-(trans)-2 (C) but not with (±)-(cis)-2 (D).
Moreover, a comparison of the mass fragmentation with the literature of related necrodane monoterpenes led us to tentatively identify the new minor virgin-specific peak as α-necrodyl acetate, with a relative arrangement of the substituents at C-1 and C-4 that could be trans or cis (Figure 2C and Figure 2D, respectively). Both diastereomeric α-necrodyl acetates are known since they have been previously identified in other insect species, such as the carrion beetle [12], as well as in plant species, such as Evolvulus alsinoides (L.) (Solanales: Convolvulaceae) [13] and Lavandula stoechas subsp. luisieri (Rozeira) (Lamiales: Lamiaceae) [14]. A racemic synthesis of both diastereomers of α-necrodyl acetate was carried out to unequivocally identify the minor component emitted by D. aberiae females.
3.2. Synthesis of Racemic Cis- and Trans-α-Necrodyl Acetates
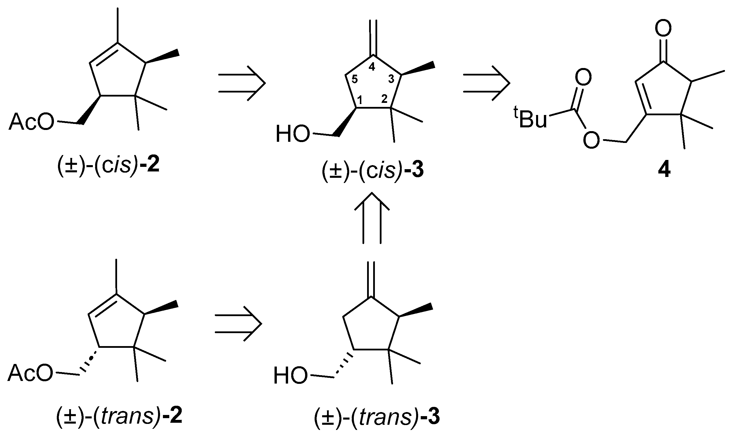
The preparation of cis-α-necrodyl acetate, (±)-(cis)-2 was based on the retrosynthetic analysis depicted in Figure 3. In principle, the hydrogenation reaction of racemic enone 4, previously used as an intermediate in the synthesis of the main pheromone component of D. aberiae [4], followed by methylenation and methanolysis steps, would give access to cis-β-necrodol [(±)-(cis)-3]. Subsequent isomerization of the exo double bond to the endocyclic position and acetylation of the hydroxyl group would provide access to (±)-(cis)-2. Regarding the synthesis of the diastereomer (±)-(trans)-2, its preparation could be approached, in principle, from the same intermediate (±)-(cis)-3 after the change of configuration at the C-1 position of the cyclopentyl nucleus through oxidation of the hydroxymethyl moiety to the corresponding formyl group, epimerization of C-1, and reduction of the formyl group to regenerate the hydroxymethyl moiety.
Figure 3.
Retrosynthetic scheme for the preparation of (±)-(cis)-2 and (±)-(trans)-2 from cyclopentenone 4. All compounds are racemic, for clarity, only one enantiomer is drawn.
3.3. Confirmation of the Structure and Absolute Stereochemistry of Trans-α-Necrodyl Acetate
The comparison of the mass spectra fragmentation observed for synthetic samples of β-necrodols [(±)-(cis)-3 and (±)-(trans)-3] and γ-necrodol, with the necrodol obtained using hydrolysis of the compound collected from D. aberiae virgin female volatiles, allowed us to fully discard β and γ structures as candidates (Figure S3). Then, having both cis–trans isomers of α-necrodyl acetate in our hands, a comparative chromatographic study with the minor virgin-specific compound was carried out. Comparison of the GC–MS chromatograms of virgin volatiles collection of D. aberiae (Figure 2B) with pure synthetic samples of racemic cis-α and trans-α-necrodyl acetates, [(±)-(cis)-2 and (±)-(trans)-2, respectively] (Figure 2C,D), allowed us to unequivocally identify the new component as the trans diastereomer.
Once the structure and relative stereochemistry of the new pheromone component were established, only the absolute stereochemistry of its two stereogenic centers remained to be determined. Due to the small amount of trans-α-necrodyl acetate 2 emitted by D. aberiae virgin females, the isolation of this compound from volatile collections of virgin females by using a preparatory GC–FID technique was not possible, not allowing us to assign the absolute stereochemistry of this component by comparison with enantiopure samples using chiral chromatographic techniques. However, taking into account that the main pheromone component of D. aberiae has been recently identified as (R)-(4,5,5-trimethyl-3-methylenecyclopent-1-en-1-yl)methyl acetate (R)-1 (Figure 1) by our group [4], we hypothesized a common biosynthetic origin for both compounds identified in the volatile collection. Thus, we assumed a similar absolute stereochemistry in the common carbon C-4 present in both necrodane skeletons (Figure 1), as also occurs in other necrodane sex pheromones of related species, such as Nipaecoccus viridis (Newstead) [15] and Pseudococcus maritimus (Ehrhorn) [16]. Therefore, having identified the new compound as the trans diastereomer, we tentatively assume an absolute stereochemistry for this compound as (1R, 4R)-2.
To validate our hypothesis and test its biological activity, we decided to obtain an enantiomeric pure sample of (1R, 4R)-2 from the essential oil of L. stoechas ssp. luisieri [17]. For this purpose, a sample of (1R, 4R)-2 of 90% purity (as determined with GC–FID), obtained by chromatographic purification of the toluene plant extract obtained in the laboratory, was converted to the corresponding alcohol by treatment with K2CO3 in methanol (Figure 4), and the crude material was esterified with p-nitrobenzoic acid chloride. This solid p-nitrobenzoate ester 5 obtained was crystallized from cold hexane, resulting in a product with 99% purity estimated by GC–FID and 1H NMR spectroscopy. Transesterification of 5 with K2CO3 in methanol afforded (1R, 4R)-6, and its enantiomeric excess was determined as being higher than 98% with GC–FID with a chiral stationary phase column (Figure S4). Alcohol (1R, 4R)-6 was acetylated using acetic anhydride and triethyl amine as the base to afford (1R, 4R)-trans-α-necrodyl acetate [(1R, 4R)-2] in 85% yield, which showed a purity of 99% as determined with GC–FID. An enantiomeric excess higher than 99% was determined for both enantiomers. All characterization data of (1R, 4R)-2, including the specific rotation, were in agreement with those previously described in the literature [11].
Figure 4.
Obtainment of an enantiomeric pure sample of (1R, 4R)-trans-α-necrodyl acetate [(1R, 4R)-2] from L. luisieri essential oil extract. Reagents and conditions: (a) K2CO3, MeOH, r.t, 5 h, 98%; (b) ClCOC6H4-p-NO2, Et3N, DMAP, CH2Cl2, rt, 1 h, 90%; (c) K2CO3, MeOH, r.t, 24 h, 98%; (d) Ac2O, Et3N, DMAP, CH2Cl2, rt, 4 h, 85%.
3.4. Laboratory and Field Activity Bioassays
Laboratory bioassays revealed the attractant activity of the synthetic sample of (±)-(trans)-2. Delottococcus aberiae males significantly preferred the filter paper baited with 100 ng of the test substance when it was presented against a blank filter paper loaded with pentane (χ2 = 12.8; p = 0.0003) (Figure 5).
Figure 5.
Behavioral response of male D. aberiae in the two-choice Petri dish laboratory bioassays: 100 ng of (±)-(trans)-2 vs. solvent (pentane). Percentages were calculated according to the total number of males employed in the bioassays. Differences were significant by χ2 goodness of fit test (p < 0.001).
In all the field trials, blank traps captured an average of fewer than 1 male/trap/week, whereas all the tested substances had significantly higher catches, regardless of the different population levels recorded in our field trials, which is due to the natural pest seasonality.
In trial 1, the substance employed to bait the traps had significant effects on male trap catches (χ2 = 1386.5; p < 0.0001). Time factor also had significant effects (χ2 = 423.9; p < 0.0001), but not the interaction of substance x week (χ2 = 11.7; p = 0.7626). The enantiomeric pure sample of (1R, 4R)-2 obtained significantly higher male catches than the (±)-(trans)-2 and (±)-(cis)-2 racemates separately (Figure 6A). Interestingly, the cis racemate captured significantly fewer males than the trans racemate, and, when mixed together (1:1 blend cis:trans), male captures were also significantly lower than those of the trans racemate alone (Figure 6A). Accordingly, these results suggest that the presence of the opposite enantiomer of (1R, 4R)-2 and the cis racemate diastereomers had detrimental effects on D. aberiae attracting efficacy.
Figure 6.
Mean (±standard error) of the number of males captured per week with the different substances tested in the field trials. (A) Trial 1: (1R, 4R)-2, (±)-(trans)-2, (±)-(cis)-2, the 1:1 blend of (±)-(cis)-2:(±)-(trans)-2 and the negative control (blank); (B) trial 2: (1R, 4R)-2; (±)-1; 1:1 blend of (±)-1: (1R, 4R)-2] and the negative control (blank). For each trial, bars labeled with different letters differed significantly (GLMM, Tukey HSD tests, at p < 0.05).
In trial 2, the substance employed to bait the traps had significant effects on male trap catches (χ2 = 22,528.5; p < 0.0001). Time factor also had significant effects (χ2 = 8074.7; p < 0.0001), as well as the interaction of substance x week (χ2 = 1594.6; p < 0.0001). Data recorded during trial 2 (Figure 6B) confirmed the bioactivity of (1R, 4R)-2. Moreover, the results evidenced that the attractant activity of the racemate of the major pheromone compound (±)-1 was significantly higher than that of (1R, 4R)-2, and, when mixing both substances in a 1:1 ratio, we found a significant additive effect.
4. Discussion
Chemical analyses of D. aberiae virgin female volatile profiles allowed us to detect a second minor component of their effluvia, which was identified as a monoterpenoid ester with a necrodane structure, ((1R, 4R)-3,4,5,5-tetramethylcyclopent-2-en-1-yl)methyl acetate ((1R, 4R)-2). Although not very common, necrodane skeletons are found in the plant kingdom, such as cis-α-necrodol in E. alsinoides [13] and trans-α-necrodol in L. stoechas subsp. luisieri [14]. Other necrodane representatives are found in the animal kingdom, such as α- and β-necrodol in defensive secretions of the carrion beetle Necrodes surinamensis (Fabricius) (Coleoptera: Silphidae) [12]; trans-α-necrodyl isobutyrate and γ-trans-necrodyl isobutyrate in the sex pheromones of the mealybug species P. maritimus and N. viridis, respectively [16,17]; and the already identified major sex pheromone compound of D. aberiae with a β-necrodane structure (R)-1 [5,11]. In the case of D. aberiae, both (1R, 4R)-2 and (R)-1, components of their effluvia share a necrodane skeleton, although with a different unsaturation degree, and probably, the structural relationship could be understood assuming a related biosynthetic pathway for both compounds. Given that the majority of sex pheromones are synthesized de novo, as they are structures not found in their host plants, it can be argued that the production of these compounds, which implies an expenditure of energy resources through the metabolism of the insect, is done exclusively out of necessity or for a specific purpose [18]. In fact, both compounds have proven biologically active to attract D. aberiae males by themselves. In our experiments, although (1R, 4R)-2 displayed a weaker attractant power than (±)-1, it is worth noting that the 1:1 blend of (±)-1 and (1R, 4R)-2) has a slightly significant additive effect. The results here presented may suggest a minor role of (1R, 4R)-2 on D. aberiae male long-range attraction but it could act as a species recognition cue or as an aphrodisiac, which needs to be further investigated.
The minor component (1R, 4R)-2 has proven attractive for D. aberiae males under field conditions, and the detrimental effects of using the racemic mixture (±)-(trans)-2 have been observed, following the same trend reported for the main component (R)-1 [5]. Not unexpectedly, the (±)-(cis)-2 had a negligible attracting effect, which could possibly be attributed to traces of (±)-(trans)-2 in the mixture; nevertheless, it also possesses a clear detrimental effect in the attraction as observed when baiting traps with the 1:1 blend of (±)-(cis)-2: (±)-(trans)-2, as regards the captures obtained with (±)-(trans)-2 alone. The relationships between bioactivity and stereochemistry are varied in pheromone science, which has been extensively reviewed by Mori [19,20].
The attraction of insects to sex pheromones may be particularly sensitive to the composition of the pheromonal blend, which has been extensively proven for lepidopterans [21]. Of the 32 species of scale insects (Coccoidea) with reported sex pheromone blends, only seven have more than one component, with male insects being able to respond to the separate compounds, as well as to the complete blend, with different intensities [5]. For instance, the volatile profile of Planococcus ficus (Signoret) (Hemiptera: Pseudococcidae) showed a 5:2 blend of lavandulyl senecioate and lavandulol, with the latter showing negligible attractant activity and no synergistic effects observed on the attraction of the blend [22]. On the contrary, the pheromonal blend of Comstockaspis perniciosa (Comstock) (Hemiptera: Diaspididae) is composed of two regular monoterpenes in an approximately 1:1 mixture, both being bioactive compounds in male attraction, but their combination did not have synergistic effects [23]. Due to the bioactivity shown by (±)-1 and (1R, 4R)-2 and the additive effect of their mixture, we may hypothesize that (1R, 4R)-2 could be a minor component of the D. aberiae sex pheromone complex, adding a new example to this superfamily of important agricultural pests. It is worth mentioning that the fact that both components are effective separately could generate a natural bias towards those individuals who respond better to some of the components of the pheromone complex [6]. Thus, when implementing these pheromones for pest control, it may be important to consider applying the complete pheromonal blend [24].
Semiochemicals, and specifically, sex pheromones, are highly valuable tools for pest control, especially in the current context of the restrictions imposed by the European Union directives on the use of conventional phytosanitary products (Directive 2009/128/EC of the European Parliament and of the Council on the sustainable use of pesticides). In the case of D. aberiae, effective control techniques are scarce and the implementation of its sex pheromone for monitoring and direct control is currently underway in eastern Spain. In this particular case, the minor component could be obtained from a natural source, the essential oil of L. stoechas subsp. luisieri, which contains more than 30% of (1R, 4R)-2 in its composition. The biological production of insect pheromones is a growing field of study, mainly for straight-chain lepidopteran structures [25] but also recently for mealybug irregular monoterpenes [26]. The implementation of this compound to the pheromonal blend could be cost-effective, at least, for monitoring purposes or in attract-and-kill-based techniques. Identifying and developing new attractants that can be obtained from natural sources provides a clear techno–economic and environmental advantage that could be used to improve the control of D. aberiae. These may reduce the number of pesticides used to manage this pest in organic or integrated programs, enhance the effectiveness of the devices employed in the treatment of said species, and prevent at the same time the appearance of resistance to pheromone-based control methods.
5. Conclusions
This study reported the identification of (1R, 4R)-2 as a minor sex pheromone compound emitted by D. aberiae virgin females. Based on the results of the bioassays, (1R, 4R)-2 had male attractant activity by itself, although weaker than that of the main sex pheromone component (R)-1. Further trials are needed to know the pest control potential of (1R, 4R)-2 but, taking into account the high cost of the synthesis of (R)-1, the possibility of obtaining this substance from a natural source could pose an important advantage to implement a new method for the sustainable control of this pest.
Supplementary Materials
The following supporting information can be downloaded at: https://www.mdpi.com/article/10.3390/insects16030318/s1, General procedures of synthesis [27,28]; Figure S1: Synthesis of racemic cis-α-necrodyl acetate; Protocol S1: Synthesis of racemic cis-α-necrodyl acetate; Figure S2: Synthesis of racemic trans-α-necrodyl acetate; Protocol S2: Synthesis of racemic trans-α-necrodyl acetate; Protocol S3: Purification of the (1R, 4R)-trans-α-necrodyl acetate [(1R, 4R)-2] isolated from Lavandula stoechas subp. luisieri essential oil; 1H NMR and 13C NMR spectra of the synthetic compounds; Figure S3: Mass spectra fragmentation observed for samples of (trans)-α-necrodol (A), synthetic β-necrodols (±)-(cis)-3 or (±)-(trans)-3 (B) and γ-necrodol (C); Figure S4: Gas chromatography (GC) with chiral stationary phase column of (1R, 4R)-6, (±)-(cis)-6 and (±)-(trans)-6.
Author Contributions
Conceptualization, S.V., I.N.F., J.P. and V.N.-L.; methodology, J.M.B., S.V., I.N.F. and D.L.-P.; statistical analysis, S.V.; data curation, J.M.B., S.V., I.N.F. and D.L.-P.; writing—original draft preparation, J.M.B., S.V. and I.N.F.; writing—review and editing, J.M.B., S.V., I.N.F., D.L.-P., A.A.-S., J.P. and V.N.-L.; funding acquisition, V.N.-L. All authors have read and agreed to the published version of the manuscript.
Funding
This research was funded by “Convenio de Investigación y experimentación de estrategias agroecológicas para el manejo de la biodiversidad e implementación de la transferencia y demostración de estos modelos en la agricultura ecológica” with Generalitat Valenciana and EPA SL from the Project “Desarrollo de feromonas de especies de la superfamilia Coccoidea para su control”. D.L.-P. was supported by a Margarita Salas postdoctoral grant (MS21-068) from the Ministerio de Universidades, Spain, for the requalification of the Spanish University system, and financed by the European Union (NextGenerationEU).
Data Availability Statement
The raw data supporting the conclusions of this article will be made available by the authors on request.
Acknowledgments
The authors are grateful to Juan Sanchis, Aitor Gavara, and Garazi Ananda Echavarri for their support in field trials.
Conflicts of Interest
The authors declare no conflicts of interest.
References
- Beltrà, A.; García Marí, F.; Soto, A. El cotonet de les Valls, Delottococcus aberiae, nueva plaga de los cítricos. Levante Agrícola 2013, 419, 348–352. [Google Scholar]
- De Lotto, G. New Pseudococcidae (Homoptera: Coccoidea) from Africa. Bull. Br. Mus. Nat. Hist. Entomol. 1961, 10, 211–238. [Google Scholar] [CrossRef]
- IVIA-Instituto Valenciano de Investigaciones Cientifícas. Gestión Integrada de Plagas y Enfermedades en Cítricos. Available online: http://gipcitricos.ivia.es (accessed on 1 October 2024).
- Navarro-Llopis, V.; Gavara, A.; Vacas, S. Dinámica poblacional y distribución de la plaga del cotonet de Sudáfrica Delottococcus aberiae De Lotto (Hemiptera: Pseudococcidae) en la Comunidad Valenciana. Phytoma España 2022, 340, 50–55. [Google Scholar]
- Marzo Bargues, J.; Vacas, S.; Navarro Fuertes, I.; Primo, J.; Abad-Somovilla, A.; Navarro-Llopis, V. Absolute Configuration of the invasive mealybug Delottococcus aberiae (De Lotto) sex pheromone: Synthesis and bioassay of both enantiomers. J. Agric. Food Chem. 2024, 72, 21488–21494. [Google Scholar] [CrossRef] [PubMed]
- Franco, J.C.; Cocco, A.; Lucchi, A.; Mendel, Z.; Suma, P.; Vacas, S.; Mansour, R.; Navarro-Llopis, V. Scientific and technological developments in mating disruption of scale insects. Entomol. Gen. 2022, 42, 251–273. [Google Scholar] [CrossRef]
- Gavara, A.; Vacas, S.; Navarro-Llopis, V. Geographic Location, Population Dynamics, and Fruit Damage of an Invasive Citrus Mealybug: The Case of Delottococcus aberiae De Lotto in Eastern Spain. Insects 2024, 15, 659. [Google Scholar] [CrossRef]
- Zhang, A.; Amalin, D.; Shirali, S.; Serrano, M.S.; Franqui, R.A.; Oliver, J.E.; Klun, J.A.; Aldrich, J.R.; Meyerdirk, D.E.; Lapointe, S.L. Sex pheromone of the pink hibiscus mealybug, Maconellicoccus hirsutus, contains an unusual cyclobutanoid monoterpene. Proc. Natl. Acad. Sci. USA 2004, 101, 9601–9606. [Google Scholar] [CrossRef]
- Arai, T. The existence of sex pheromone of Pseudococcus cryptus Hempel (Homoptera: Pseudococcidae) and a simple bioassay. Appl. Entomol. Zool. 2000, 35, 525–528. [Google Scholar] [CrossRef]
- Ho, H.Y.; Su, Y.T.; Ko, C.H.; Tsai, M.Y. Identification and synthesis of the sex pheromone of the Madeira mealybug, Phenacoccus madeirensis Green. J. Chem. Ecol. 2009, 35, 724–732. [Google Scholar] [CrossRef]
- Vacas, S.; Navarro, I.; Marzo, J.; Navarro-Llopis, V.; Primo, J. Sex pheromone of the invasive mealybug citrus pest, Delottococcus aberiae (Hemiptera: Pseudococcidae). A new monoterpenoid with a necrodane skeleton. J. Agric. Food Chem. 2019, 67, 9441–9449. [Google Scholar] [CrossRef]
- Roach, B.; Eisner, T.; Meinwald, J. Defense mechanisms of arthropods. 83. Alpha-and beta-Necrodol, novel terpenes from a carrion beetle (Necrodes surinamensis, Silphidae, Coleoptera). J. Org. Chem. 1990, 55, 4047–4051. [Google Scholar] [CrossRef]
- Kashima, Y.; Miyazawa, M. Chemical composition and aroma evaluation of essential oils from Evolvulus alsinoides L. Chem. Biodivers. 2014, 11, 396–407. [Google Scholar] [CrossRef] [PubMed]
- García-Vallejo, M.C.; García-Vallejo, M.I.; Sanz, J.; Bernabe, M.; Velasco-Negueruela, A. Necrodane (1,2,2,3,4-pentamethylcyclopentane) derivatives in Lavandula luisieri, new compounds to the plant kingdom. Phytochemistry 1994, 36, 43–45. [Google Scholar] [CrossRef]
- Levi-Zada, A.; Steiner, S.; Fefer, D.; Kaspi, R. Identification of the sex pheromone of the spherical mealybug Nipaecoccus viridis. J. Chem. Ecol. 2019, 45, 455–463. [Google Scholar] [CrossRef]
- Figadère, B.A.; McElfresh, J.S.; Borchardt, D.; Daane, K.M.; Bentley, W.; Millar, J.G. trans−α−Necrodyl isobutyrate, the sex pheromone of the grape mealybug, Pseudococcus maritimus. Tetrahedron Lett. 2007, 48, 8434–8437. [Google Scholar] [CrossRef]
- Levi-Zada, A.; Steiner, S.; Ben-Aziz, O.; Prostasov, A.; Fefer, D.; Kaspy, R. Absolute configuration of the sex pheromone of the spherical mealybug Nipaecoccus viridis sex pheromone, γ-necrodyl isobutyrate: Chemoenzymatic synthesis and bioassays. J. Agric. Food Chem. 2021, 69, 3026–3031. [Google Scholar] [CrossRef]
- Tabata, J.; Ichiki, R.T.; Moromizato, C.; Mori, K. Sex pheromone of a coccoid insect with sexual and asexual lineages: Fate of an ancestrally essential sexual signal in parthenogenetic females. J. R. Soc. Interface 2017, 14, 20170027. [Google Scholar] [CrossRef]
- Mori, K. Significance of chirality in pheromone science. Bioorg. Med. Chem. 2007, 15, 7505–7523. [Google Scholar] [CrossRef]
- Mori, K. Stereochemical studies on pheromonal communications. Proc. Jpn. Acad. Ser. B 2014, 90, 373–388. [Google Scholar] [CrossRef]
- De Bruyne, M.; Baker, T.C. Odor detection in insects: Volatile codes. J. Chem. Ecol. 2008, 34, 882–897. [Google Scholar] [CrossRef]
- Hinkens, D.M.; McElfresh, J.S.; Millar, J.G. Identification and synthesis of the sex pheromone of the vine mealybug, Planococcus ficus. Tetrahedron Lett. 2001, 42, 1619–1621. [Google Scholar] [CrossRef]
- Rice, R.E.; Hoyt, S.C. Response of San Jose scale to natural and synthetic sex pheromones. Environ. Entomol. 1980, 9, 190–194. [Google Scholar] [CrossRef]
- Tabata, J.; Noguchi, H.; Kainoh, Y.; Mochizuki, F.; Sugie, H. Sex pheromone production and perception in the mating disruption-resistant strain of the smaller tea leafroller moth, Adoxophyes honmai. Entomol. Exp. Appl. 2007, 122, 145–153. [Google Scholar] [CrossRef]
- Löfstedt, C.; Xia, Y.H. Biological production of insect pheromones in cell and plant factories. In Insect Pheromone Biochemistry and Molecular Biology, 2nd ed.; Blomquist, G.J., Vogt, R.G., Eds.; Academic Press: London, UK, 2021; pp. 89–121. [Google Scholar] [CrossRef]
- Mateos-Fernández, R.; Vacas, S.; Navarro-Fuertes, I.; Navarro-Llopis, V.; Orzáez, D.; Gianoglio, S. Assessment of tobacco (Nicotiana tabacum) and N. benthamiana as biofactories of irregular monoterpenes for sustainable crop protection. Ind. Crops. Prod. 2023, 206, 117634. [Google Scholar] [CrossRef]
- Jacobs, R.T.; Feutrill, G.I.; Meinwald, J. Defense mechanisms of arthropods. 84. Synthesis of (-)-. alpha.-necrodol and (-)-. beta.-necrodol: Novel cyclopentanoid terpenes from a carrion beetle. J. Org. Chem. 1990, 55, 4051–4062. [Google Scholar] [CrossRef]
- Pamingle, H.; Snowden, R.L.; Schulte–Elte, K.H. 52. Stereoselective conversion of campholene to necrodane–type monoterpenes. Novel access to (−)–(R,R)– and (R,S)–α–necrodol and the enantiomeric γ–necrodols. Helv. Chim. Acta. 1991, 74, 543–548. [Google Scholar] [CrossRef]
Disclaimer/Publisher’s Note: The statements, opinions and data contained in all publications are solely those of the individual author(s) and contributor(s) and not of MDPI and/or the editor(s). MDPI and/or the editor(s) disclaim responsibility for any injury to people or property resulting from any ideas, methods, instructions or products referred to in the content. |
© 2025 by the authors. Licensee MDPI, Basel, Switzerland. This article is an open access article distributed under the terms and conditions of the Creative Commons Attribution (CC BY) license (https://creativecommons.org/licenses/by/4.0/).





