Effects of Moderate- versus Mixed-Intensity Training on VO2peak in Young Well-Trained Rowers
Abstract
:1. Introduction
2. Materials and Methods
2.1. Subjects
2.2. Study Design
2.3. Incremental Exercise Test
2.4. Two-Thousand-Meter Time Trial
2.5. Intervention
2.6. Statistical Analysis
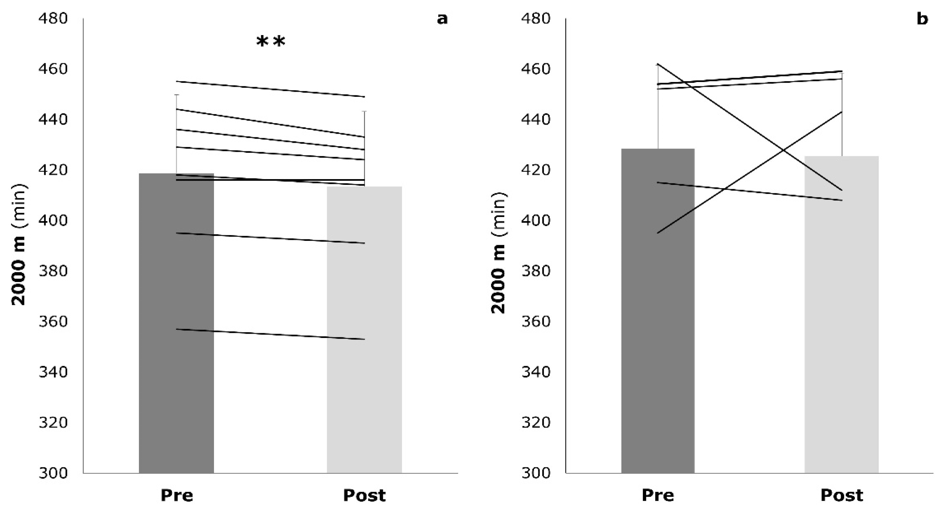
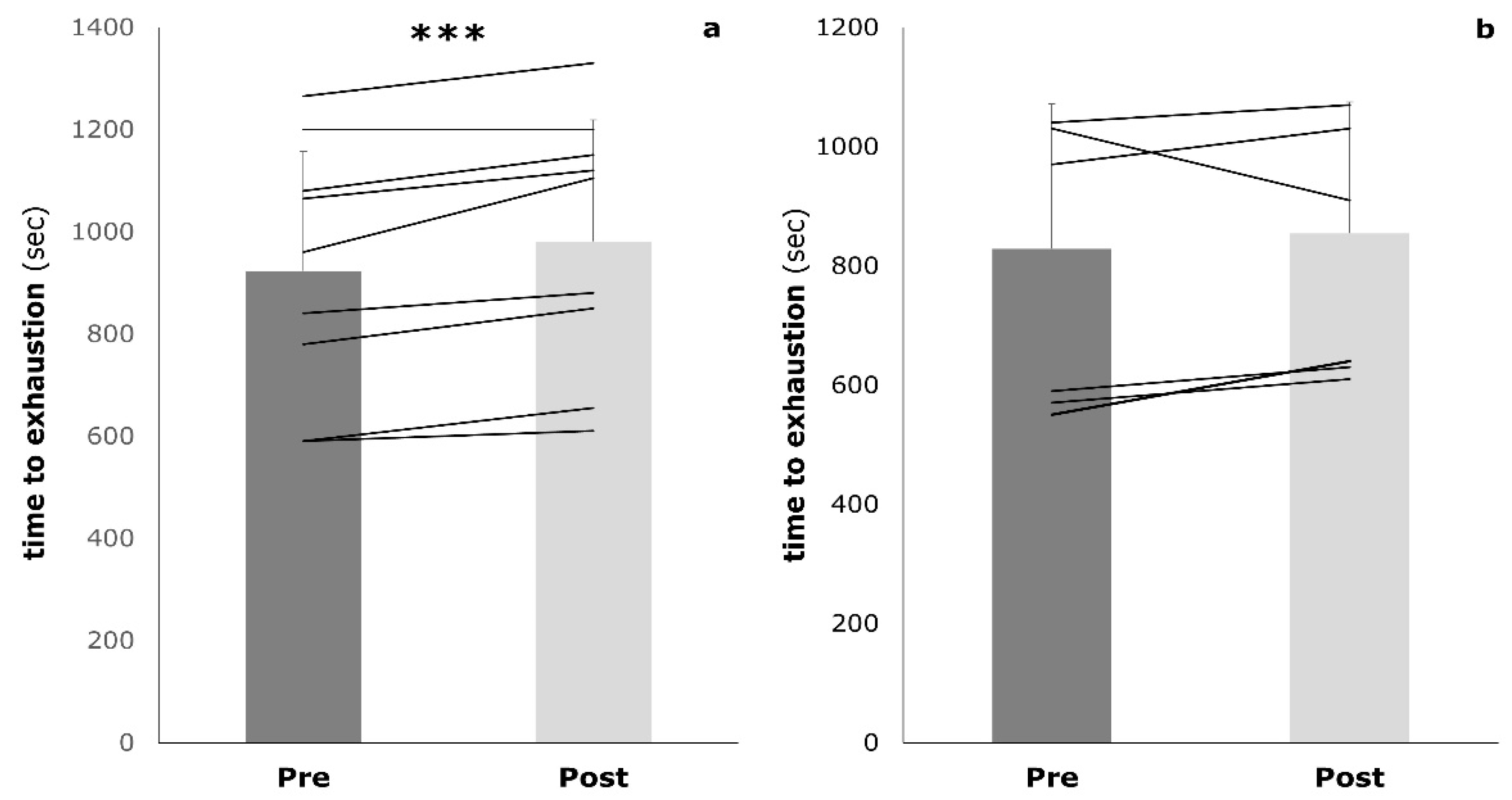
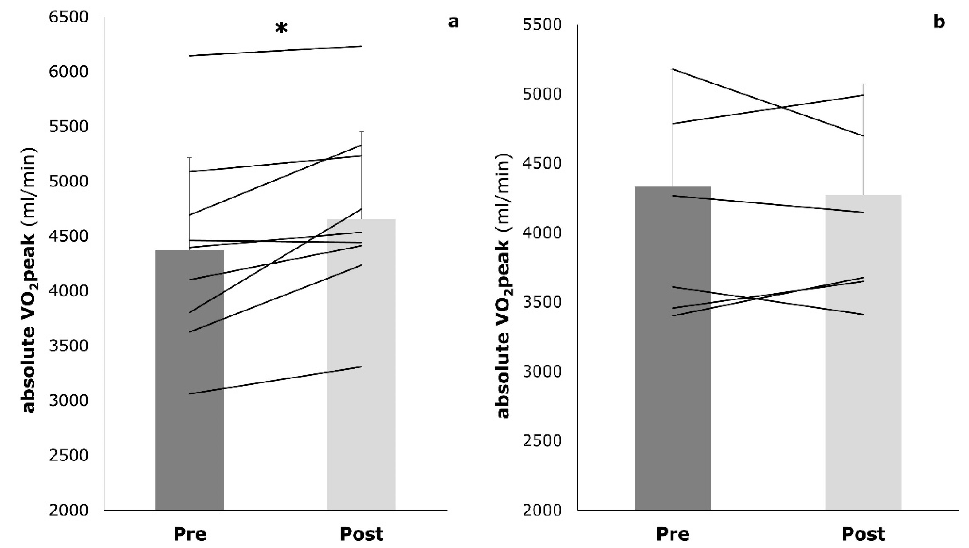
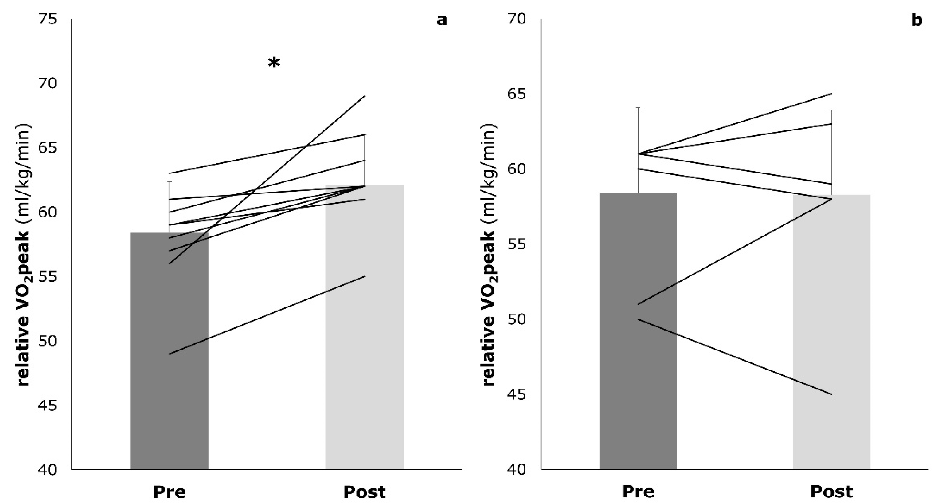
3. Results
4. Discussion
Limitations
5. Conclusions
Author Contributions
Funding
Institutional Review Board Statement
Informed Consent Statement
Data Availability Statement
Acknowledgments
Conflicts of Interest
References
- Batacan, R.B., Jr.; Duncan, M.J.; Dalbo, V.J.; Tucker, P.S.; Fenning, A.S. Effects of high-intensity interval training on cardiometabolic health: A systematic review and meta-analysis of intervention studies. Br. J. Sports Med. 2017, 51, 494–503. [Google Scholar] [CrossRef] [PubMed]
- Weston, K.S.; Wisløff, U.; Coombes, J.S. High-intensity interval training in patients with lifestyle-induced cardiometabolic disease: A systematic review and meta-analysis. Br. J. Sports Med. 2014, 48, 1227–1234. [Google Scholar] [CrossRef] [PubMed]
- Kilen, A.; Larsson, T.H.; Jørgensen, M.; Johansen, L.; Jørgensen, S.; Nordsborg, N.B. Effects of 12 Weeks High-Intensity & Reduced-Volume Training in Elite Athletes. PLoS ONE 2014, 9, e95025. [Google Scholar] [CrossRef]
- Milanović, Z.; Sporiš, G.; Weston, M. Effectiveness of High-Intensity Interval Training (HIT) and Continuous Endurance Training for VO2max Improvements: A Systematic Review and Meta-Analysis of Controlled Trials. Sports Med. 2015, 45, 1469–1481. [Google Scholar] [CrossRef] [PubMed]
- Purkhús, E.; Krustrup, P.; Mohr, M. High-Intensity Training Improves Exercise Performance in Elite Women Volleyball Players During a Competitive Season. J. Strength Cond. Res. 2016, 30, 3066–3072. [Google Scholar] [CrossRef] [PubMed]
- Chéilleachair, N.N.; Harrison, A.J.; Warrington, G.D. HIIT enhances endurance performance and aerobic characteristics more than high-volume training in trained rowers. J. Sports Sci. 2016, 35, 1052–1058. [Google Scholar] [CrossRef]
- Stevens, A.W.; Olver, T.T.; Lemon, P.W. Incorporating Sprint Training With Endurance Training Improves Anaerobic Capacity and 2000-m Erg Performance in Trained Oarsmen. J. Strength Cond. Res. 2015, 29, 22–28. [Google Scholar] [CrossRef] [PubMed]
- Esteve-Lanao, J.; Foster, C.; Seiler, S.; Lucia, A. Impact of Training Intensity Distribution on Performance in Endurance Athletes. J. Strength Cond. Res. 2007, 21, 943–949. [Google Scholar] [CrossRef] [PubMed]
- Driller, M.W.; Fell, J.W.; Gregory, J.R.; Shing, C.M.; Williams, A.D. The Effects of High-Intensity Interval Training in Well-Trained Rowers. Int. J. Sports Physiol. Perform. 2009, 4, 110–121. [Google Scholar] [CrossRef] [Green Version]
- Ingham, S.A.; Carter, H.; Whyte, G.P.; Doust, J.H. Physiological and Performance Effects of Low- versus Mixed-Intensity Rowing Training. Med. Sci. Sports Exerc. 2008, 40, 579–584. [Google Scholar] [CrossRef]
- Birat, A.; Bourdier, P.; Piponnier, E.; Blazevich, A.J.; Maciejewski, H.; Duché, P.; Ratel, S. Metabolic and Fatigue Profiles Are Comparable Between Prepubertal Children and Well-Trained Adult Endurance Athletes. Front. Physiol. 2018, 9, 387. [Google Scholar] [CrossRef] [PubMed] [Green Version]
- Hebestreit, H.; Mimura, K.; Bar-Or, O. Recovery of muscle power after high-intensity short-term exercise: Comparing boys and men. J. Appl. Physiol. 1993, 74, 2875–2880. [Google Scholar] [CrossRef] [PubMed]
- Guellich, A.; Seiler, S.; Emrich, E.; Arne, G.; Stephen, S.; Eike, E. Training Methods and Intensity Distribution of Young World-Class Rowers. Int. J. Sports Physiol. Perform. 2009, 4, 448–460. [Google Scholar] [CrossRef]
- Harriss, D.; Macsween, A.; Atkinson, G. Ethical Standards in Sport and Exercise Science Research: 2020 Update. Int. J. Sports Med. 2019, 40, 813–817. [Google Scholar] [CrossRef] [Green Version]
- Arvidsson, D.; Slinde, F.; Larsson, S.; Hulthèn, L. Energy cost of physical activities in children: Validation of Sense Wear Armband. Med. Sci. Sports Exerc. 2007, 39, 2076–2084. [Google Scholar] [CrossRef]
- Jekauc, D.; Wagner, M.O.; Kahlert, D.; Woll, A. Reliabilität und Validität des MoMo- Aktivitätsfragebogens für Jugendliche (MoMo-AFB). Diagnostica 2013, 59, 100–111. [Google Scholar] [CrossRef] [Green Version]
- Deutscher Ruderverband e.V. (Ed.) Trainingsmethodische Grundkonzeption; DRV: Hannover, Germany, 2014; pp. 44–47. [Google Scholar]
- Schabort, E.J.; Hawley, J.A.; Hopkins, W.G.; Blum, H. High reliability of performance of well-trained rowers on a rowing ergometer. J. Sports Sci. 1999, 17, 627–632. [Google Scholar] [CrossRef] [PubMed]
- Papandreou, A.; Philippou, A.; Zacharogiannis, E.; Maridaki, M. Physiological Adaptations to High-Intensity Interval and Continuous Training in Kayak Athletes. J. Strength Cond. Res. 2020, 34, 2258–2266. [Google Scholar] [CrossRef] [PubMed]
- Eddolls, W.T.B.; McNarry, M.A.; Stratton, G.; Winn, C.O.N.; Mackintosh, K.A. High-Intensity Interval Training Interventions in Children and Adolescents: A Systematic Review. Sports Med. 2017, 47, 2363–2374. [Google Scholar] [CrossRef] [PubMed] [Green Version]
- García-Hermoso, A.; Cerrillo-Urbina, A.J.; Herrera-Valenzuela, T.; Cristi-Montero, C.; Saavedra, J.M.; Martínez-Vizcaíno, V. Is high-intensity interval training more effective on improving cardiometabolic risk and aerobic capacity than other forms of exercise in overweight and obese youth? A meta-analysis. Obes. Rev. 2016, 17, 531–540. [Google Scholar] [CrossRef]
- Fernández-Fernandez, J.; Sanz-Rivas, D.; Sarabia, J.; Moya, M. Preseason Training: The Effects of a 17-Day High-Intensity Shock Microcycle in Elite Tennis Players. J. Sports Sci. Med. 2015, 14, 783–791. [Google Scholar] [PubMed]
- Harrison, C.B.; Kinugasa, T.; Gill, N.; Kilding, A.E. Aerobic Fitness for Young Athletes: Combining Game-based and High-intensity Interval Training. Int. J. Sports Med. 2015, 36, 929–934. [Google Scholar] [CrossRef] [PubMed]
- Sperlich, B.; Zinner, C.; Heilemann, I.; Kjendlie, P.-L.; Holmberg, H.-C.; Mester, J. High-intensity interval training improves VO2peak, maximal lactate accumulation, time trial and competition performance in 9–11-year-old swimmers. Graefe’s Arch. Clin. Exp. Ophthalmol. 2010, 110, 1029–1036. [Google Scholar] [CrossRef] [PubMed] [Green Version]
- Engel, F.A.; Ackermann, A.; Chtourou, H.; Sperlich, B. High-Intensity Interval Training Performed by Young Athletes: A Systematic Review and Meta-Analysis. Front. Physiol. 2018, 9, 1012. [Google Scholar] [CrossRef] [PubMed] [Green Version]
- Gibala, M.J.; McGee, S.L. Metabolic adaptations to short-term high-intensity interval training: A little pain for a lot of gain? Exerc. Sport Sci. Rev. 2008, 36, 58–63. [Google Scholar] [CrossRef]
- Gibala, M.J.; Little, J.P.; MacDonald, M.J.; Hawley, J.A. Physiological adaptations to low-volume, high-intensity interval training in health and disease. J. Physiol. 2012, 590, 1077–1084. [Google Scholar] [CrossRef]
- Burgomaster, K.A.; Howarth, K.R.; Phillips, S.M.; Rakobowchuk, M.; Macdonald, M.J.; McGee, S.L.; Gibala, M.J. Similar metabolic adaptations during exercise after low volume sprint interval and traditional endurance training in humans. J. Physiol. 2008, 586, 151–160. [Google Scholar] [CrossRef]
- Astorino, T.A.; Allen, R.P.; Roberson, D.W.; Jurancich, M. Effect of High-Intensity Interval Training on Cardiovascular Function, Vo2max, and Muscular Force. J. Strength Cond. Res. 2012, 26, 138–145. [Google Scholar] [CrossRef]
- Lepretre, P.M.; Koralsztein, J.P.; Billat, V.L. Effect of exercise intensity on relationship between VO2max. and cardiac output. Med. Sci. Sports Exerc. 2004, 36, 1357–1363. [Google Scholar] [CrossRef] [PubMed] [Green Version]
- Nottin, S.; Vinet, A.; Stecken, F.; N’Guyen, L.-D.; Ounissi, F.; Lecoq, A.-M.; Obert, P. Central and peripheral cardiovascular adaptations to exercise in endurance-trained children. Acta Physiol. Scand. 2002, 175, 85–92. [Google Scholar] [CrossRef]
- Kilpatrick, M.W.; Greeley, S.J.; Collins, L.H. The Impact of Continuous and Interval Cycle Exercise on Affect and Enjoyment. Res. Q. Exerc. Sport 2015, 86, 1–8. [Google Scholar] [CrossRef] [PubMed]





| Items | Total (n = 17) | IG (n = 10) | CG (n = 7) |
|---|---|---|---|
| Age (years) | 15.3 ± 1.26 | 15.4 ± 1.3 | 15.3 ± 1.2 |
| Height (cm) | 182.9 ± 9.1 | 183.4 ± 7.7 | 182.3 ± 11.4 |
| Body mass (kg) | 74.5 ± 13.3 | 74.4 ± 11.7 | 74.7 ± 16.3 |
| Body mass index (kg/m2) | 22.1 ± 2.6 | 22.00 ± 2.9 | 22.3 ± 2.4 |
| VO2peak (mL/kg/min) | 59.0 ± 3.9 | 59.4 ± 2.3 | 58.4 ± 5.7 |
| Number of light weight rowers (<65 kg) | 5 | 3 | 2 |
Publisher’s Note: MDPI stays neutral with regard to jurisdictional claims in published maps and institutional affiliations. |
© 2021 by the authors. Licensee MDPI, Basel, Switzerland. This article is an open access article distributed under the terms and conditions of the Creative Commons Attribution (CC BY) license (https://creativecommons.org/licenses/by/4.0/).
Share and Cite
Kirchenberger, T.; Ketelhut, S.; Ketelhut, R.G. Effects of Moderate- versus Mixed-Intensity Training on VO2peak in Young Well-Trained Rowers. Sports 2021, 9, 92. https://doi.org/10.3390/sports9070092
Kirchenberger T, Ketelhut S, Ketelhut RG. Effects of Moderate- versus Mixed-Intensity Training on VO2peak in Young Well-Trained Rowers. Sports. 2021; 9(7):92. https://doi.org/10.3390/sports9070092
Chicago/Turabian StyleKirchenberger, Timo, Sascha Ketelhut, and Reinhard G. Ketelhut. 2021. "Effects of Moderate- versus Mixed-Intensity Training on VO2peak in Young Well-Trained Rowers" Sports 9, no. 7: 92. https://doi.org/10.3390/sports9070092
APA StyleKirchenberger, T., Ketelhut, S., & Ketelhut, R. G. (2021). Effects of Moderate- versus Mixed-Intensity Training on VO2peak in Young Well-Trained Rowers. Sports, 9(7), 92. https://doi.org/10.3390/sports9070092

